湘教版八年级数学上册习题
- 格式:pdf
- 大小:889.05 KB
- 文档页数:14
八年级数学上册第四章测试题-湘教版(含答案)(时间:120分钟 满分:120分)分数:________ 第Ⅰ卷(选择题,共36分)一、选择题(本大题共12小题,每小题3分,共36分)1.下列不等式中是一元一次不等式的是 ( ) A .1x -1>3 B .12 (x -7)<0 C .2x +y ≤-4 D .x 2>22.若a <b ,则下列结论中不一定成立的是 ( ) A .a -1<b -1 B .2a <2bC .-a 3 >-b3 D .a 2<b 23.若式子x +32 的值是非负数,则x 的取值范围是 ( ) A .x ≥3 B .x ≥-3 C .x >3 D .x >-34.如图,天平右盘中的每个砝码的质量为10 g ,则物体M 的质量m(g)的取值范围在数轴上可表示为 ( )5.解不等式组⎩⎨⎧3-x ≥4,①23x +1>x -23 ②时,不等式①②的解集在同一条数轴上正确的表示是 ( ) A .B .C .D .6.下列说法中错误的有 ( ) A .不等式2x<2的一个解为0 B .-2是不等式2x -1<0的一个解 C .不等式-3x<9的解集为x<-3 D .不等式x<10的解有无数个7.若使代数式2x -13 的值在-2和1之间,则x 可以取的整数有( ) A .1个 B .2个 C .3个 D .4个8.某种商品的进价为800元,出售时标价为1 200元,后来由于该商品积压,商店准备打折销售,但要保证利润率不低于5%,则最多可打 ( ) A .6折 B .7折 C .8折 D .9折9.不等式组⎩⎨⎧5x +2>3(x -1),12x -1≤7-32x的所有非负整数解的和是( )A .10B .7C .6D .010.不等式2x +13 +1>ax -13 的解集是x <53 ,则a 的取值范围为( )A .a >5B .a =5C .a >-5D .a =-511.已知⎩⎪⎨⎪⎧x +2y =4k ,①2x +y =2k +1,②且-1<x -y <0,则k 的取值范围是( )A .12 <k <1B .0<k <12 C .0<k <1 D .-1<k <-1212.若关于x 的不等式组⎩⎪⎨⎪⎧x<3a +2,x>a -4 无解,则a 的取值范围是( )A .a ≤-3B .a <-3C .a >3D .a ≥3第Ⅱ卷(非选择题,共84分)二、填空题(本大题共6小题,每小题3分,共18分)13.已知a <b ,则-6a -1_______-6b -1.(选填“>”“<”或“=”) 14.某公司打算至多用1 200元印刷广告单. 已知制版费为50元, 每印一张广告单还需支付0.3元的印刷费,则该公司可印制的广告单数量x 张满足的不等式为____________.15.不等式组⎩⎪⎨⎪⎧x +5>2,4-x ≥3 的最小整数解是__________.16.若关于x 的不等式x -m ≥1的解集如图所示,则m 等于_____.17.已知方程3(x -2a)+2=x -a +1的解适合不等式2(x -5)>8a ,则a 的取值范围为__________.18.某班数学兴趣小组对不等式组⎩⎪⎨⎪⎧x >3,x ≤a讨论得到以下结论:①若a =5,则不等式组的解集为3<x ≤5; ②若a =2,则不等式组无解;③若不等式组无解,则a 的取值范围为a <3; ④若不等式组只有两个整数解,则a 的值可以为5.1. 其中正确结论的序号是________.三、解答题(本大题共8小题,满分66分,解答应写出文字说明、证明过程或演算步骤)19.(本题满分10分)解不等式组⎩⎨⎧2x -7<3(x -1),5-12(x +4)≥x ,并将解集在数轴上表示出来.20.(本题满分5分)解下列不等式,并把解集在数轴上表示出来. x -32 >3x +12 +1.21.(本题满分6分)若关于x 的方程7x +2a =5x -a +1的解不小于2,求a 的取值范围.22.(本题满分8分)已知方程组⎩⎪⎨⎪⎧2x -y =-4+a ,2x +y =2-3a的解中,x 为非正数,y 为正数,求a 的取值范围.23.(本题满分8分)定义:对于实数a ,符号[a]表示不大于a 的最大整数.例如:[5.7]=5,[5]=5,[-π]=-4.(1)如果[a]=-2,那么a 的取值范围是_____________;(2)如果⎣⎢⎡⎦⎥⎤x +12 =3,求满足条件的所有正整数x.24.(本题满分8分)若关于x 的不等式组⎩⎨⎧x 2+x +13>0,①3x +5a +4>4(x +1)+3a ②恰有三个整数解,求实数a 的取值范围.25.(本题满分11分)某游泳馆每年夏季推出两种游泳付费方式,方式一:先购买会员证,每张会员证100元,只限本人当年使用,凭证游泳每次再付费5元;方式二:不购买会员证,每次游泳付费9元.设小明计划今年夏季游泳次数为x(x 为正整数). (1)根据题意,填写下表:(2)若小明计划今年夏季游泳的总费用为270元,选择哪种付费方式,他游泳的次数比较多?(3)当x >20时,小明选择哪种付费方式更合算?并说明理由.26.(本题满分10分)为拓展学生视野,促进书本知识与生活实践的深度融合,某中学组织八年级全体学生前往松滋洈水研学基地开展研学活动.在此次活动中,若每位老师带14名学生,则还剩10名学生没老师带;若每位老师带15名学生,就有一位老师少带6名学生,现有甲、乙两种大型客车,它们的载客量和租金如表所示:学校计划此次研学活动的租金总费用不超过3 000元,为安全起见,每辆客车上至少要有2名老师.(1)参加此次研学活动的老师和学生各有多少人?(2)既要保证所有师生都有车坐,又要保证每辆车上至少要有2名老师,可知租车总辆数为______辆;(3)学校共有几种租车方案?最少租车费用是多少?参考答案第Ⅰ卷(选择题,共36分)一、选择题(本大题共12小题,每小题3分,共36分) 1.下列不等式中是一元一次不等式的是 (B ) A .1x -1>3 B .12 (x -7)<0 C .2x +y ≤-4 D .x 2>22.(宿迁中考)若a <b ,则下列结论中不一定成立的是 (D ) A .a -1<b -1 B .2a <2bC .-a 3 >-b3 D .a 2<b 23.若式子x +32 的值是非负数,则x 的取值范围是 ( B ) A .x ≥3 B .x ≥-3 C .x >3 D .x >-34.如图,天平右盘中的每个砝码的质量为10 g ,则物体M 的质量m(g)的取值范围在数轴上可表示为 (D )5.(威海中考)解不等式组⎩⎨⎧3-x ≥4,①23x +1>x -23 ②时,不等式①②的解集在同一条数轴上正确的表示是 (D ) A .B .C .D .6.下列说法中错误的有 (C ) A .不等式2x<2的一个解为0 B .-2是不等式2x -1<0的一个解 C .不等式-3x<9的解集为x<-3 D .不等式x<10的解有无数个7.若使代数式2x -13 的值在-2和1之间,则x 可以取的整数有( D )A .1个B .2个C .3个D .4个8.某种商品的进价为800元,出售时标价为1 200元,后来由于该商品积压,商店准备打折销售,但要保证利润率不低于5%,则最多可打 (B ) A .6折 B .7折 C .8折 D .9折9.(德州中考)不等式组⎩⎨⎧5x +2>3(x -1),12x -1≤7-32x的所有非负整数解的和是(A )A .10B .7C .6D .010.不等式2x +13 +1>ax -13 的解集是x <53 ,则a 的取值范围为( B )A .a >5B .a =5C .a >-5D .a =-511.已知⎩⎪⎨⎪⎧x +2y =4k ,①2x +y =2k +1,②且-1<x -y <0,则k 的取值范围是( A )A .12 <k <1B .0<k <12 C .0<k <1 D .-1<k <-1212.(贵港中考)若关于x 的不等式组⎩⎪⎨⎪⎧x<3a +2,x>a -4 无解,则a 的取值范围是 (A ) A .a ≤-3 B .a <-3 C .a >3 D .a ≥3第Ⅱ卷(非选择题,共84分)二、填空题(本大题共6小题,每小题3分,共18分) 13.已知a <b ,则-6a -1>-6b -1.(选填“>”“<”或“=”) 14.某公司打算至多用1 200元印刷广告单. 已知制版费为50元, 每印一张广告单还需支付0.3元的印刷费,则该公司可印制的广告单数量x 张满足的不等式为__50+0.3x ≤1_200__.15.(河南中考)不等式组⎩⎪⎨⎪⎧x +5>2,4-x ≥3的最小整数解是-2.16.若关于x 的不等式x -m ≥1的解集如图所示,则m 等于1.17.已知方程3(x -2a)+2=x -a +1的解适合不等式2(x -5)>8a ,则a 的取值范围为a<-113 .18.某班数学兴趣小组对不等式组⎩⎪⎨⎪⎧x >3,x ≤a 讨论得到以下结论:①若a =5,则不等式组的解集为3<x ≤5; ②若a =2,则不等式组无解;③若不等式组无解,则a 的取值范围为a <3; ④若不等式组只有两个整数解,则a 的值可以为5.1. 其中正确结论的序号是__①②④__.三、解答题(本大题共8小题,满分66分,解答应写出文字说明、证明过程或演算步骤)19.(本题满分10分)(威海中考)解不等式组⎩⎨⎧2x -7<3(x -1),5-12(x +4)≥x ,并将解集在数轴上表示出来.解:⎩⎨⎧2x -7<3(x -1),①5-12(x +4)≥x ,②解不等式①,得x >-4. 解不等式②,得x ≤2.不等式组的解集为-4<x ≤2. 解集在数轴上表示如图.20.(本题满分5分)解下列不等式,并把解集在数轴上表示出来. x -32 >3x +12 +1.解:x <-3.如图:21.(本题满分6分)若关于x 的方程7x +2a =5x -a +1的解不小于2,求a 的取值范围.解:解方程,得x =1-3a 2 .∵x ≥2, ∴1-3a 2 ≥2,解得a ≤-1.22.(本题满分8分)已知方程组⎩⎪⎨⎪⎧2x -y =-4+a ,2x +y =2-3a的解中,x 为非正数,y 为正数,求a 的取值范围.解:解方程组⎩⎪⎨⎪⎧2x -y =-4+a ,2x +y =2-3a ,得⎩⎨⎧x =-1-a 2,y =3-2a.∵x 为非正数,y 为正数, ∴x ≤0,y > 0,即⎩⎨⎧-1-a 2≤0,3-2a >0,解得-1≤ a < 32 .23.(本题满分8分)定义:对于实数a ,符号[a]表示不大于a 的最大整数.例如:[5.7]=5,[5]=5,[-π]=-4.(1)如果[a]=-2,那么a 的取值范围是__-2≤a <-1__;(2)如果⎣⎢⎡⎦⎥⎤x +12 =3,求满足条件的所有正整数x. 解:根据题意得3≤x +12 < 4.解得5≤x < 7.∴满足条件的正整数x 为5,6.24.(本题满分8分)若关于x的不等式组⎩⎨⎧x 2+x +13>0,①3x +5a +4>4(x +1)+3a ②恰有三个整数解,求实数a 的取值范围.解:解不等式①,得x >-25 ,解不等式②,得x < 2a , ∴-25< x < 2a.∵不等式组恰有三个整数解, ∴2< 2a ≤3, ∴1< a ≤32 .25.(本题满分11分)(天津中考)某游泳馆每年夏季推出两种游泳付费方式,方式一:先购买会员证,每张会员证100元,只限本人当年使用,凭证游泳每次再付费5元;方式二:不购买会员证,每次游泳付费9元.设小明计划今年夏季游泳次数为x(x为正整数).(1)根据题意,填写下表:他游泳的次数比较多?(3)当x>20时,小明选择哪种付费方式更合算?并说明理由.解:(1)当x=20时,方式一的总费用为100+20× 5=200,方式二的总费用为20× 9=180;当游泳次数为x时,方式一的总费用为100+5x,方式二的费用为9x,故答案为200;100+5x;180;9x.(2)方式一,令100+5x=270,解得x=34.方式二,令9x=270,解得x=30.∵34>30,∴选择方式一付费,他游泳的次数比较多.(3)令100+5x<9x,得x>25;令100+5x=9x,得x=25;令100+5x>9x,得x<25.∴当20<x<25时,小明选择方式二付费更合算;当x=25时,小明选择两种方式付费一样;当x>25时,小明选择方式一付费更合算.26.(本题满分10分)为拓展学生视野,促进书本知识与生活实践的深度融合,某中学组织八年级全体学生前往松滋洈水研学基地开展研学活动.在此次活动中,若每位老师带14名学生,则还剩10名学生没老师带;若每位老师带15名学生,就有一位老师少带6名学生,现有甲、乙两种大型客车,它们的载客量和租金如表所示:每辆客车上至少要有2名老师.(1)参加此次研学活动的老师和学生各有多少人?(2)既要保证所有师生都有车坐,又要保证每辆车上至少要有2名老师,可知租车总辆数为______辆;(3)学校共有几种租车方案?最少租车费用是多少? 解:(1)设参加此次研学活动的老师有x 人,学生有y 人,依题意,得⎩⎪⎨⎪⎧14x +10=y ,15x -6=y. 解得⎩⎪⎨⎪⎧x =16,y =234.答:参加此次研学活动的老师有16人,学生有234人. (2)∵(234+16)÷35=7(辆)……5(人), 16÷2=8(辆),∴租车总辆数为8辆.故填8.(3)设租35座客车m 辆,则需租30座的客车(8-m)辆,依题意,得⎩⎪⎨⎪⎧35m +30(8-m )≥234+16,400m +320(8-m )≤3 000. 解得2≤m ≤512 .∵m 为正整数,∴m =2,3,4,5. ∴共有4种租车方案. 设租车总费用为w 元,则w =400m +320(8-m)=80m +2 560, 当m =2时,租车总费用为2 720元; 当m =3时,租车总费用为2 800元; 当m =4时,租车总费用为2 880元; 当m =5时,租车总费用为2 960元. 当m =2时,w 取得最小值,最小值为2 720.∴学校共有4种租车方案,最少租车费用是2 720元。
第1章分式数学八年级上册-单元测试卷-湘教版(含答案)一、单选题(共15题,共计45分)1、若a+b=3,ab=-7,则的值为()A.-B.-C.-D.-2、若关于x的方程的解是负数,则m的取值范围是:()A. B. C. 且 D. 且3、下列运算正确的是()A. B. C. D.4、下列计算正确的是()A. B. C. D.5、要使分式有意义,则x的取值范围是()A. B. C. D.6、若分式中,x、y都扩大4倍,则该分式的值( )A.不变B.扩大到原来的4倍C.扩大到原来的16倍D.缩小到原来的7、化简分式的结果是()A. B. C. D.8、的值为 ()A.-4B.4C.D.9、下列有理式中是分式的是()A. B. C. D.10、已知分式的值等于零,则x的值为()A.1B.±1C.-1D.11、计算的结果是-1的式子是()A. B. C. D.12、下列各式是分式的是()A. B. C. D.13、小亮的妈妈到超市购买大米,第一次按原价购买,用了100元,几天后,遇上这种大米按原价降低了出售,她用120元又购买了一些,两次一共购买了.设这种大米的原价是每kgx元,则根据题意所列的方程是()A. B. C.D.14、已知()A. B. C. D.15、根据分式的基本性质,分式可以变形为()A. B. C.﹣ D.﹣二、填空题(共10题,共计30分)16、分式,,的最简公分母是________17、函数中,自变量x的取值范围是________.18、若分式有意义,则x取值范围是________.19、分式方程的解为________.20、若,则________.21、方程=的解是________.22、分式:①,②,③,④中,最简分式有________(只填序号)23、使分式的值等于零的x是________.24、已知,则实数A ________ B________25、若a,b都是实数,,则a b的值为________.三、解答题(共5题,共计25分)26、化简:.27、已知:代数式.(1)当m为何值时,该式的值大于零?(2)当m为何整数时,该式的值为正整数?28、先化简,再从中选一个合适的数作为的值代入求值.29、先化简再求值:-,其中x=2.30、先化简,再求值:(﹣)÷,其中x= .参考答案一、单选题(共15题,共计45分)1、C2、D3、C4、D5、D6、B7、C8、C9、C10、A11、A13、B14、C15、A二、填空题(共10题,共计30分)16、17、19、20、21、22、24、25、三、解答题(共5题,共计25分)26、27、28、30、。
湘教版八年级上册数学单元测试题及答案(含期中期末试题)第1章质量评估试卷[时间:90分钟 分值:120分]一、选择题(每小题3分,共30分)1.若代数式有意义,则x的取值范围是( )A.x=0 B.x=1C.x≠0 D.x≠12.办公中常用到的纸张一般是A4纸,其厚度约为0.007 5 m,用科学记数法表示为( )A.7.5×10-3 m B.7.5×10-2 mC.7.5×103 m D.75×10-3 m3.化简结果正确的是( )A.ab B.-abC.a2-b2D.b2-a24.下列运算正确的是( )A.a3·a2=a6B.(π-3.14)0=1C.-1=-2 D.x8÷x4=x25.化简÷的结果是( )A. B.C. D.6.分式方程=的解为( )A.x=-1 B.x=2C.x=4 D.x=37.下列计算正确的是( )A.÷3xy=x2B.·=C.x÷y·=x D.-=8.化简÷的结果为( )A. B.1+aC. D.1-a9.A,B两地相距48 km,一艘轮船从A地顺流航行至B地,又立即从B 地逆流返回A地,共用去9 h,已知水流速度为4 km/h,若设该轮船在静水中的速度为x km/h,则可列方程为( )A.+=9 B.+=9C.+4=9 D.+=910.已知关于x的方程-=0的增根是1,则a的取值为( )A.2 B.-2C.1 D.-1二、填空题(每小题3分,共18分)11.计算:2·= .12.[2018秋·岑溪市期末]要使分式的值为0,则x=.13.计算:-2+(2 019-π)0=.14.化简:÷= .15.化简-的结果是 .16.已知+=3,则代数式的值为 .三、解答题(共72分)17.(8分)计算:(1)+; (2)÷.18.(8分)先化简,再求值:÷,其中x满足x2-2x-2=0.19.(10分)解方程:-=.20.(11分)已知分式A=,B=+,其中x≠±2.学生甲说A与B相等,乙说A与B互为倒数,丙说A与B互为相反数,他们三个人谁的结论正确?为什么?21.(11分)某校学生利用周末去距学校10 km的炎帝故里参观,一部分学生骑自行车先走,过了20 min后,其余学生乘汽车沿相同路线出发,结果他们同时到达.已知汽车的速度是骑车学生速度的2倍,求骑车学生的速度和汽车的速度.22.(12分)先化简:÷,然后解答下列问题:(1)当x=3时,求原代数式的值;(2)原代数式的值能等于-1吗?为什么?23.(12分)阅读下面的材料:把一个分式写成两个分式的和叫做把这个分式表示成“部分分式”.【例】 将分式表示成部分分式.【解】 设=+,将等式右边通分,得=,依题意,得解得所以=+.请运用上面所学到的方法,解决下面的问题:将分式表示成部分分式.参考答案1.D 2.A 3.A 4.B 5.D 6.D 7.B8.B 9.A 10.A11. 12.-213.5 14. 15.- 16.-17.(1) (2) 18., 19.x=-1120.丙的结论正确,理由略.21.骑车学生的速度是15 km/h,汽车的速度是30 km/h.22.,(1)2;(2)不能,理由略.23.=+第2章质量评估试卷[时间:90分钟 分值:120分]一、选择题(每小题3分,共30分)1.下列命题是假命题的是( )A.实数与数轴上的点一一对应B.如果两个数的绝对值相等,那么这两个数必定也相等C.对顶角相等D.三角形的重心是三角形三条中线的交点2.下面各组中的三条线段能组成三角形的是( )A.3 cm,4 cm,5 cm B.8 cm,6 cm,15 cmC.2 cm,6 cm,8 cm D.6 cm,6 cm,13 cm3.如图1,工人师傅做了一个长方形窗框ABCD,E,F,G,H分别是四条边AD,DC,CB,BA上的中点,为了使它稳固,需要在窗框上钉一根木条,这根木条不应钉在( )图1A.A,C两点之间 B.E,G两点之间C.B,F两点之间 D.G,H两点之间4.如图2所示的图形中,x的值是( )图2A.60 B.40C.70 D.805.如图3,△ABC≌△DEF,点A与点D对应,点C与点F对应,则图中相等的线段有( )图3A.1组 B.2组C.3组 D.4组6.如图4,AB∥CD,BC∥AD,AB=CD,BE=DF,其中全等三角形的对数是( )图4A.3 B.2C.1 D.07.如图5,在△ABC中,DE是AC的垂直平分线,△ABC的周长为19 cm,△ABD的周长为13 cm,则AE的长为( )图5A.3 cm B.6 cmC.12 cm D.16 cm8.如图6,AB=CD,AD=CB,则下列结论不正确的是( )图6A.AB∥CD B.AD∥BCC.∠A=∠C D.BD平分∠ABC9.如图7,AB∥DE,AC∥DF,AC=DF,下列条件不能判断△ABC≌△DEF的是( )图7A.AB=DE B.∠B=∠EC.EF=BC D.EF∥BC10.已知△ABC的三条边长分别为3,4,6,在△ABC所在平面内画一条直线,将△ABC分割成两个三角形,使其中的一个是等腰三角形,则这样的直线最多可画( )A.6条 B.7条C.8条 D.9条二、填空题(每小题3分,共18分)11.“同一平面内,若a⊥b,c⊥b,则a∥c”这个命题的条件是,结论是 ,这个命题是 命题.12.如图8,将三角尺的直角顶点放在直尺的一边上,其中∠1=60°,∠2=100°,则∠3= .图813.已知图9中的两个三角形全等,则∠α= .图914.如图10,点D,E分别在线段AB,AC上,AE=AD,不添加新的线段和字母,要使△ABE≌△ACD,需添加的一个条件是(只写一个条件即可).图1015.如图11,AF,AD分别是△ABC的高和角平分线,且∠B=32°,∠C =78°,则∠DAF= .图1116.如图12,已知在△ABC中,AB=7,BC=6,AC的垂直平分线DE交AC于点E,交AB于点D,连接CD,则△BCD的周长为 .图12三、解答题(共72分)17.(8分)如图13,请在图中作出△ABC的中线CD,角平分线BE,高AF.图1318.(8分)如图14,在△ABC中,AD⊥BC,AB=AC,∠BAD=18°,且AD=AE,求∠EDC的度数.图1419.(10分)如图15,已知△ABC中,AB=AC,M是BC的中点,D,E分别是AB,AC边上的点,且BD=CE.求证:MD=ME.图1520.(11分)如图16,AD∥BC,∠BAC=70°,DE⊥AC于点E,∠D=20°.(1)求∠B的度数,并判断△ABC的形状;(2)若延长线段DE恰好过点B,试说明BE是∠ABC的平分线.图16 21.(11分)如图17,已知AB=AC,CE与BF相交于点D,且BD=CD.求证:DE=DF.图1722.(12分)如图18,在边长为4的等边三角形ABC中,AD为BC边上的中线,且AD=2,以AD为一边向左作等边三角形ADE.(1)求△ABC的面积;(2)AB与DE的位置关系是什么?请加以证明.图1823.(12分)认真阅读下面关于三角形内外角平分线所夹角的探究片段,完成所提出的问题.探究1:如图19(1),在△ABC中,O是∠ABC与∠ACB的平分线BO和CO的交点,通过分析发现∠BOC=90°+∠A,理由如下:∵BO和CO分别是∠ABC和∠ACB的平分线,∴∠1=∠ABC,∠2=∠ACB,∴∠1+∠2=(∠ABC+∠ACB).又∵∠ABC+∠ACB=180°-∠A,∴∠1+∠2=(180°-∠A)=90°-∠A,∴∠BOC=180°-(∠1+∠2)=180°-(90°-∠A)=90°+∠A.(1)探究2:如图19(2),O是∠ABC与外角∠ACD的平分线BO和CO的交点,试分析∠BOC与∠A有怎样的关系?请说明理由;(2)探究3:如图19(3),O是外角∠DBC与外角∠ECB的平分线BO和CO 的交点,则∠BOC与∠A有怎样的关系?(只写结论,不需证明)结论: .图19参考答案1.B 2.A 3.B 4.A 5.D 6.A 7.A8.D 9.C 10.B11.同一平面内,若a⊥b,c⊥b a∥c 真12.40° 13.50°14.∠B=∠C或AB=AC或∠AEB=∠ADC或∠BDC=∠CEB 15.23° 16.13 17.略 18.9° 19.略20.∠B=40°,△ABC是等腰三角形 (2)略21.略 22.(1)4;(2)AB与DE的位置关系是AB⊥DE,证明略.23.(1)∠BOC=∠A,理由略;(2)∠BOC=90°-∠A第3章质量评估试卷[时间:90分钟 分值:120分]一、选择题(每小题3分,共30分)1.144的算术平方根是( )A.12 B.-12C.±12 D.122.的绝对值是( )A.5 B.-5C. D.-3.一个实数a的相反数是,则a等于( )A. B.C.- D.-4.在-35,,0.010 010 001…(每两个1之间依次增加一个0),,,这六个实数中,无理数有( )A.2个 B.3个C.4个 D.5个5.下列各式正确的是( )A.=±4 B.=-3C.±=±9 D.=26.如图1,表示的点在数轴上表示时,在哪两个字母之间( )图1A.C与D B.A与BC.A与C D.B与C7.[2018·福建]在实数|-3|,-2,0,π中,最小的数是( )A.|-3| B.-2C.0 D.π8.下列说法错误的是( )A.的平方根是±2 B.是无理数C.是有理数 D.是分数9.[2018·台州]估计+1的值在( )A.2和3之间 B.3和4之间C.4和5之间 D.5和6之间10.一个数值转换器的原理如图2,当输入的x为256时,输出的y是()图2A.16 B.C. D.二、填空题(每小题3分,共18分)11.4的算术平方根是 ,9的平方根是 ,-27的立方根是 .12.64的算术平方根是 ,平方根是 ,立方根是.13.写出一个大于3小于5的无理数: .14.一种集装箱是正方体形状的,它的体积是64 m3,则这种正方体的集装箱的棱长是 m.15.已知a,b为两个连续的整数,且a<<b,则a+b= .16.若x,y为实数,且|x+2|=0,=0,则(x+y)2 020的值为 .三、解答题(共72分)17.(8分)计算下列各式的值:(1)±; (2);(3); (4)-.18.(8分)求下列各式中x的值:(1)25x2=36; (2)(x+1)3=8.19.(10分)把下列各数填入相应的集合内:-6.8,,,,-5,,-π,,0.21.(1)有理数集合:{ };(2)无理数集合:{ }.20.(11分)已知一个正数的平方根是3x-2和5x+6,求这个数.21.(11分)计算:(1)[2018·湘潭]计算:|-5|+(-1)2--1-;(2)-+.22.(12分)已知2a-3的平方根是±5,2a+b+4的立方根是3,求a+b的平方根.23.(12分)【阅读理解】大家知道:是无理数,而无理数是无限不循环小数,因此的小数部分我们不可能全部写出来,因为的整数部分是1,所以我们可以用-1来表示的小数部分.【请你解答】已知x是10+的整数部分,y是10+的小数部分,求x-y+的值.参考答案1.A 2.A 3.D 4.B 5.C 6.A 7.B 8.D9.B 10.B 11.2 ±3 -312.8 ±8 4 13.或π等(答案不唯一)14.4 15.15 16.117.(1)± (2)15 (3) (4)18.(1)x=± (2)x=119.(1)-6.8,,-5,,,0.21,…(2),,-π,…20.这个数是 21.(1)1 (2)-622.±3 23.12期中质量评估试卷[时间:90分钟 分值:120分]一、选择题(每小题3分,共30分)1.下列语句不是命题的是( ) A.锐角小于钝角 B.作∠A的平分线C.对顶角相等 D.同角的补角相等2.分式方程=的解是( )A.x=3 B.x=2C.x=1 D.x=-13.如果分式的值为0,则x的值为( )A.1 B.±1C. D.-14.如图1,若△ABE≌△ACF,且AB=5,AE=2,则EC的长为( )图1A.2 B.3C.5 D.2.55.用反证法证明命题“三角形中必有一个内角小于或等于60°”时,首先应假设这个三角形中( )A.有一个内角大于60° B.有一个内角小于60°C.每一个内角都大于60° D.每一个内角都小于60°6.用直尺和圆规作已知角的平分线的示意图如图2,则说明∠CAD=∠DAB的依据是( )图2A.“SSS” B.“SAS”C.“ASA” D.“AAS”7.如图3,直线l1∥l2,若∠1=140°,∠2=70°,则∠3的度数是( )图3A.70° B.80°C.65° D.60°8.如图4,在△ABC中,AB=AC,AB的垂直平分线交AC于点P,若AB=5 cm,BC=3 cm,则△PBC的周长等于( ) 图4A.4 cm B.6 cmC.8 cm D.10 cm9.化简÷的结果是( )A. B.C.(x+1)2D.(x-1)210.如图5,△ABC是等边三角形,AB=6,BD是∠ABC的平分线,延长BC到点E,使CE=CD,则BE的长是( )图5A.7 B.8C.9 D.10二、选择题(每小题3分,共18分)11.若分式有意义,则x满足的条件是 .12.计算3的结果是 .13.命题“和为180°的两个角互为补角”的逆命题是:.14.计算:b2c-3·-3= (结果化成正整数指数幂的形式).15.如图6,已知BC=EC,∠BCE=∠ACD,要使△ABC≌△DEC,则应添加的一个条件为(答案不唯一,只需填一个).图616.如图7,D是△ABC的角平分线BD和CD的交点,若∠A=50°,则∠D= .图7三、解答题(共72分)17.(8分)计算:|-4|--2+(π-3.14)0.18.(8分)先化简÷,再从0,-2,-1,1中选择一个合适的数代入并求值.19.(10分)如图8,在△ABC中,∠B=38°,∠C=112°.(1)画出下列图形:①BC边上的高AD;图8②∠A的平分线AE.(保留作图痕迹)(2)试求∠DAE的度数.20.(11分)解分式方程:-=1.21.(11分)如图9,∠ACB=90°,AC=BC,AD⊥CE,BE⊥CE,垂足分别为D,E.求证:△ACD≌△CBE.图922.(12分)马小虎的家距离学校1 800 m,一天马小虎从家去上学,出发10 min后,爸爸发现他的数学课本忘记拿了,立即带上课本去追他,在距离学校200 m 的地方追上了他,已知爸爸的速度是马小虎速度的2倍,求马小虎的速度.23.(12分)如图10①,△ABC和△CEF是两个大小不等的等边三角形,且有一个公共顶点C,连接AF和BE.(1)线段AF和BE有怎样的大小关系?请证明你的结论.(2)将图10①中的△CEF绕点C旋转一定的角度,得到图10②,(1)中的结论还成立吗?作出判断并说明理由.图10参考答案1.B 2.C 3.A 4.B 5.C 6.A 7.A 8.C9.D 10.C 11.x≠5 12.-13.互为补角的两个角的和为180°14.15.CA=CD或∠A=∠D或∠B=∠E16.115° 17.1 18.,当a=0时,原式=-19.(1)略;(2)37°20.x=-1 21.略22.马小虎的速度是80 m/min.23.(1)AF=BE,证明略;(2)成立,理由略.第4章质量评估试卷[时间:90分钟 分值:120分]一、选择题(每小题3分,共30分) 1.[2018春·南安市期中]a的一半与b的差是负数,用不等式表示为( )A.a-b<0 B.a-b≤0C.(a-b)<0 D.a-b<02.已知实数a,b满足a+1>b+1,则下列选项错误的为( )A.a>b B.a+2>b+2C.-a<-b D.2a>3b3.[2018春·定西期末]不等式6-3x>0的解集在数轴上表示为( )4.[2018春·西安期末]不等式2x+1>x+2的解集是( )A.x>1 B.x<1C.x≥1 D.x≤15.小华拿27元钱打算买圆珠笔和练习本,已知一个练习本2元,一支圆珠笔1元,他买了4个练习本,x支圆珠笔,则关于x的不等式表示正确的是( )A.2×4+x<27 B.2×4+x≤27C.2x+4≤27 D.2x+4≥276.下列不等式组求解的结果,正确的是( )A.不等式组的解集是x≤-3B.不等式组的解集是x≥-4C.不等式组无解D.不等式组的解集是-3≤x≤107.[2018·毕节]不等式组的解集在数轴上表示正确的是( )8.不等式组的最小整数解为( )A.-1 B.0C.1 D.49.若不等式组恰有两个整数解,则m的取值范围是( )A.-1≤m<0 B.-1<m≤0C.-1≤m≤0 D.-1<m<010.为了举行班级晚会,小明准备去商店购买20个乒乓球做道具,并买一些乒乓球拍做奖品.已知乒乓球每个1.5元,球拍每个22元.如果购买金额不超过200元,购买的球拍为x个,那么x的最大值是( )A.7 B.8C.9 D.10二、填空题(每小题3分,共18分)11.“x的3倍与2的差不大于5”用不等式表示为 . 12.不等式x-3≤0的解集是 .13.不等式组的解集是 .14.不等式组的解集是 .15.不等式组的解集是 .16.[2018春·永春县期末]设a,b是任意两个有理数,用max{a,b}表示a,b两数中较大者,如:max{-1,-1}=-1,max{1,2}=2,max{4,3}=4,解答下列问题:若max{3x+1,-x+1}=-x+1,则x满足的条件是.三、解答题(共72分)17.(8分)解不等式-≥1,并把它的解集在数轴上表示出来.18.(8分)当x为何值时,代数式-的值是非负数?19.(10分)[2018秋·富源县期末]解不等式组20.(11分)解不等式组:把解集在数轴上表示出来,并写出它的整数解.21.(11分)已知方程组当m在什么范围内取值时,x>y?22.(12分)南京市“全民低碳出行,共创绿色南京”活动启动,下载手机APP“我的南京”,绿色出行将获得积分,积分可兑换卡片,兑换规则如图1.某市民现有积分不超过650分,他兑换了“叶”和“树”的卡片共6张,该市民最多兑换了几张“树”卡片?23.(12分)[2018春·宜春期末]某校在“汉字听写”大赛中,准备一次性购买若干钢笔和笔记本(每支钢笔的价格相同,每本笔记本的价格相同)作为优胜者的奖品,已知购买3支钢笔和4本笔记本共需88元,购买4支钢笔和5本笔记本共需114元.(1)求购买1支钢笔和1本笔记本各需多少元?(2)学校准备购买钢笔和笔记本共80件奖品,根据规定购买的总费用不能超过1 200元,求最多可以购买多少支钢笔?参考答案1.D 2.D 3.A 4.A 5.B 6.B 7.D 8.B9.A 10.A 11.3x-2≤5 12.x≤3 13.无解14.x>4 15.1<x<2 16.x≤0 17.x≤1,图略18.x≥- 19.-1<x≤220.-1≤x<2,图略,它的整数解是-1,0,1. 21.当m>4时,x>y.22.该市民最多兑换了2张“树”卡片.23.(1)1支钢笔需16元,1本笔记本需10元.(2)最多可以购买66支钢笔.第5章质量评估试卷[时间:90分钟 分值:120分]一、选择题(每小题3分,共30分)1.若二次根式有意义,则a的取值范围是( ) A.a≥2 B.a≤2C.a>2 D.a≠22.二次根式的值是( )A.2 020 B.-2 020C.2 020或-2 020 D.2 02023.二次根式的计算结果是( )A.2 B.-2C.6 D.124.下列运算正确的是( )A.=±5 B.4-=1C.÷=9 D.×=65.计算÷×的结果估计在( )A.5至6之间 B.6至7之间 C.7至8之间 D.8至9之间6.计算-的结果是( )A. B.2C.3 D.27.下列各式计算正确的是( )A.-2=- B.=4a(a>0)C.=×D.÷=8.下列各式化简结果为无理数的是( )A. B.(-1)0C. D.9.已知 ·=,则( )A.x≥6 B.x≥0C.0≤x≤6 D.x为一切实数10.下列计算错误的是( )A.×=7 B.(-1)2 019(+1)2 019=1C.=-8 D.3-=3二、填空题(每小题3分,共18分)11.使有意义的 x的取值范围是 .12.计算·(a≥0)的结果是 .13.若-有意义,则-x= .14.×+的运算结果是 .15.若实数x,y满足+2(y-1)2=0,则x+y的值等于 .16.计算(+)(-)的结果为 .三、解答题(共72分)17.(8分)化简:(1);(2)(3)2;(3);(4)()2.18.(8分)已知y=--2 018,求x+y的平方根.19.(10分)计算下列各题:(1)|-4|-22+;(2)÷2;(3)(-3)0-+|1-|+.20.(11分)先化简,再求值:-,其中a=1+,b=-1+.21.(11分)先化简,再求值:+÷,其中a=1+.22.(12分)[2018秋·武冈市期末]已知x=(+),y=(-),求下列各式的值.(1)x2-xy+y2;(2)+.23.(12分)先阅读下列材料,再解决问题.阅读材料:数学上有一种根号内又带根号的数,它们能通过完全平方公式及二次根式的性质化去一层根号.例如:====|1+|=1+.解决问题:(1)在括号内填上适当的数:====| 3+ |= 3+ ;(2)根据上述思路,试将予以化简.参考答案1.A 2.A 3.A 4.D 5.B 6.D 7.A 8.C9.A 10.D 11.x≥ 12.4a 13.-14.3 15. 16.-117.(1)36 (2)45 (3) (4)8-a18.±1 19.(1) (2) (3)-220.a-b,221.,22.(1) (2)1223.(1)3 3+ 3+ 3+ (2)5-期末质量评估试卷[时间:90分钟 分值:120分]一、选择题(每小题3分,共30分)1.[2018秋·平谷区期末]有意义,那么x的取值范围是( ) A.x≥5 B.x>-5C.x≥-5 D.x≤-52.将一副三角板按如图1的方式放置,则∠1的度数是( )图1A.15° B.20°C.25° D.30°3.若分式的值为0,则x的值为( )A.0 B.4C.-4 D.±44.在实数3.141 59,,1.010 010 001,4.,π,中,无理数有( )A.1个 B.2个C.3个 D.4个5.下列计算正确的是( )A.a6÷a2=a3B.(a3)2=a5C. =±5 D.=-26.下列各式计算正确的是( )A.+= B.4-3=1C.2×3=6 D.÷=37.[2018·辽阳]九(1)班学生周末从学校出发到某实践基地研学旅行,实践基地距学校150千米,一部分学生乘慢车先行,出发30分钟后,另一部分学生乘快车前往,结果他们同时到达实践基地,已知快车的速度是慢车速度的1.2倍,如果设慢车的速度为x千米/时,根据题意列方程得( )A.-30= B.+30=C.-= D.+=8.不等式组的解集在数轴上表示正确的是( )9.如图2,在Rt△ABC中,∠B=90°,ED是AC的垂直平分线,交AC 于点D,交BC于点E.已知∠BAE=10°,则∠C的度数为( )图2A.30° B.40°C.50° D.60°10.如图3,在△ABC中,AB=AC,D是BC的中点,下列结论不正确的是( )图3A.∠B=∠C B.AD⊥BCC.AD平分∠BAC D.AB=2BD二、填空题(每小题3分,共18分)11.49的平方根是 ,36的算术平方根是 ,-8的立方根是 .12.不等式3x-9>0的解集是 .13.当x=2 018时,-的值为 .14.计算:-×= .15.如图4,AB∥CD,BC与AD相交于点M,N是射线CD上的一点.若∠B=65°,∠MDN=135°,则∠AMB= .图416.如图5,点B,A,D,E在同一直线上,BD=EA,BC∥EF,要使△ABC≌△DEF,则只需添加一个适当的条件是 (只填一个即可).图5三、解答题(共72分)17.(8分)计算:(1)-;(2)(2-5)-(-).18.(8分)计算:|-2|+(π-2 019)0+--2.19.(10分)[2018·娄底]先化简,再求值:÷,其中x=.20.(11分)[2018春·端州区期末]解不等式组:并把解集在数轴上表示出来.21.(11分)如图6,已知点B,F,C,E在一条直线上,BF=EC,AC=DF.能否由上面的已知条件证明AB∥DE?如果能,请给出证明;如果不能,请从下列三个条件中选择一个合适的条件,添加到已知条件中,使AB∥DE成立,并给出证明.图6供选择的三个条件:①AB=DE;②BC=EF;③∠ACB=∠DFE.22.(12分)荣庆公司计划从商店购买同一品牌的台灯和手电筒,已知购买一个台灯比购买一个手电筒多用20元,若用400元购买台灯和用160元购买手电筒,则购买台灯的个数是购买手电筒个数的一半.(1)求购买该品牌的一个台灯、一个手电筒各需要多少元;(2)经商谈,商店给予荣庆公司购买一个该品牌台灯赠送一个该品牌手电筒的优惠,如果荣庆公司需要手电筒的个数比台灯个数的2倍还多8个,且该公司购买台灯和手电筒的总费用不超过670元,那么荣庆公司最多可购买多少个该品牌台灯?23.(12分)(1)如图7(1),在△ABC中,∠BAC=90°,AB=AC,直线m经过点A,BD⊥直线m,CE⊥直线m,垂足分别为点D,E.求证:DE=BD+CE;(2)如图7(2),将(1)中的条件改为:在△ABC中,AB=AC,D,A,E三点都在直线m上,并且有∠BDA=∠AEC=∠BAC=α,其中α为任意锐角或钝角.请问结论DE=BD+CE是否成立?如成立,请你给出证明;若不成立,请说明理由;(3)拓展与应用:如图7(3),D,E是D,A,E三点所在直线m上的两动点(D,A,E三点互不重合),点F为∠BAC平分线上的一点,且△ABF和△ACF 均为等边三角形,连接BD,CE,若∠BDA=∠AEC=∠BAC,试判断△DEF 的形状.图7参考答案1.C 2.A 3.B 4.A 5.D 6.D 7.C 8.A9.B 10.D 11.±7 6 -2 12.x>313.2 017 14. 15.70°16.答案不唯一,如:BC=EF或∠BAC=∠EDF17.(1) (2)-7 18.2-19.,3+220.-3≤x<3,图略21.略22.(1)购买一个台灯需要25元,购买一个手电筒需要5元.(2)荣庆公司最多可购买21个该品牌的台灯.23.(1)略;(2)成立,证明略;(3)△DEF是等边三角形.。
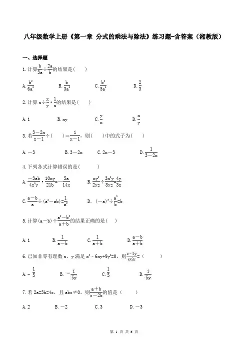
湘教版八年级上册数学第一章第一节练习题(附答案)一、单选题1.下列分式是最简分式的是()A.2a3a2bB.aa2−3a C.a2−aba2−b2D.a+ba2+b22.分式3x−1有意义,则x的取值范围是()A.x≠1B.x≠﹣1C.x=1D.x=﹣1 3.下列各式中,是分式的是()A.−b2a B.a+b2C.12ab+a2b D.3abπ4.下列各式中,是分式的是()A.2πB.3x−1C.b3D.y2+15.下列分式中,是最简分式的是()A.2(x+1)x+1B.a−ba+b C.2ax3ay D.a2−b2a−b6.若分式2x−5有意义,则x的取值范围是()A.x≠5B.x≠0C.x=0D.x=57.使分式x 2−1x+1等于0的x的值是()A.1B.−1C.±1D.不存在8.若分式2x−2有意义,则x的取值范围是()A.x≠2B.x=2C.x≥-2D.x≥29.当分式x−22x−3的值不存在,则x的值是()A.x= 2B.x= 3C.x=23D.x=3 210.当x分别取2020、2018、2016、…、4、2、0、12、14、…、12016、12018、12020时,计算分式x−1x+1的值,再将所得的结果全部相加,则其和等于().A.-1B.1C.0D.2020二、填空题11.使分式2−|x|6−x−x2的值为零的x的值是.12.当a时,分式1a+2有意义.13.若分式 2x+1无意义,则x 的值为 . 14.当分式 2x 2−x的值为0时,x 的值为 . 15.请选择你认为合适的不等号填入:a 2 0,1a 2 0. 16.如果分式4x−12x+3的值为0,则x 的值是 . 17.要使分式3x 2+2有意义,则x 的取值范围是 . 18.分式1m−2有意义,则m 的取值范围是 . 19.使得分式2x−6x+3有意义的条件是 . 20.如果分式x+3x−2的值为0,那么x 的取值为 . 三、计算题21.约分:(1)10a 3bc −5a 2b 3c 2; (2)a 3−4ab 2a 2−4ab+4b 2. 四、解答题22.x 为何值时,分式 3−x x 2−2x+1的值为正数? 23.如果分式 x 2−12x+2的值为0,求x 的值是多少? 24.若成立,求a 的取值范围.答案1.D 2.A 3.A 4.B 5.B 6.A 7.A 8.A 9.D 10.A 11.-2 12.≠﹣213.-1 14.0 15.≥;> 16.14 17.任意实数 18.m ≠2 19.x≠﹣3 20.−321.(1)解:10a 3bc−5a 2b 3c 2=−2a b 2c . (2)解:a 3−4ab2a 2−4ab+4b 2=a(a 2−4b 2)(a−2b)2=a(a+2b)(a−2b)(a−2b)2=a(a+2b)a−2b . 22.解:分母 x 2−2x +1=(x −1)2≥0, 分母不为0,则: x −1≠0,要使分式的值为正数,则 3−x >0,解得: x <3 且 x ≠1 .23.解:依题意得: x 2−1=0 且 2x +2≠0 ,解得 x =1 ,即分式 x 2−12x+2的值为0时,x 的值是1. 24.a≠3.。
八年级数学上册试题新版湘教版:第5章测试题一、选择题:(每小题4分,共40分)1.(4分)如果有意义,那么x的取值范围是()A.x>1 B.x≥1 C.x≤1 D.x<12.(4分)的相反数是()A.﹣B.C.﹣D.3.(4分)下列根式中属最简二次根式的是()A.B.C.D.4.(4分)下列计算错误的是()A.B.C. D.5.(4分)下列二次根式中与是同类二次根式的是()A. B.C.D.6.(4分)若是整数,则正整数n的最小值是()A.2 B.3 C.4 D.57.(4分)设,a在两个相邻整数之间,则这两个整数是()A.1和2 B.2和3 C.3和4 D.4和58.(4分)已知a<b,则化简二次根式的正确结果是()A.B.C.D.9.(4分)若x=﹣3,则等于()A.﹣1 B.1 C.3 D.﹣310.(4分)已知,则的值为()A.B.8 C.D.6二、填空题:(每小题4分,共32分)11.(4分)已知a=,则代数式a2﹣1的值为.12.(4分)若,则m﹣n的值为.13.(4分)如果2a﹣18=0,那么a的算术平方根是.14.(4分)计算:=.15.(4分)比较大小:﹣3﹣2.16.(4分)如果最简二次根式与是同类二次根式,那么a=.17.(4分)与的关系是.18.(4分)观察下列各式:①;②=3;③,…请用含n(n≥1)的式子写出你猜想的规律:.三、解答题:(共6小题,共78分)19.(32分)计算:(1);(2);(3);(4).20.(8分)当x=﹣1时,求代数式x2+2x+2的值.21.(10分)先化简,再求值:(﹣)÷,其中x=2.22.(10分)解方程组,并求的值.23.(10分)若实数x,y满足y=++2,求的值.24.(8分)阅读下面问题:;;.试求:(1)的值;(2)(n为正整数)的值.(3)计算:.参考答案:一、选择题:(每小题4分,共40分)1.(4分)如果有意义,那么x的取值范围是()A.x>1 B.x≥1 C.x≤1 D.x<1【分析】直接利用二次根式有意义的条件分析得出答案.【解答】解:由题意得:x﹣1≥0,解得:x≥1.故选:B.【点评】此题主要考查了二次根式有意义的条件,正确把握二次根式的定义是解题关键.2.(4分)的相反数是()A.﹣B.C.﹣D.【分析】由于互为相反数的两个数和为0,由此即可求解.【解答】解:∵+(﹣)=0,∴的相反数是﹣.故选A.【点评】此题主要考查了求无理数的相反数,无理数的相反数和有理数的相反数的意义相同,无理数的相反数是各地中考的重要考点.3.(4分)下列根式中属最简二次根式的是()A.B.C.D.【分析】根据最简二次根式的定义对各选项分析判断后利用排除法求解.【解答】解:A、无法化简,故本选项正确;B、=,故本选项错误;C、=2故本选项错误;D、=,故本选项错误.故选:A.【点评】本题考查最简二次根式的定义,最简二次根式必须满足两个条件:(1)被开方数不含分母;(2)被开方数不含能开得尽方的因数或因式.4.(4分)下列计算错误的是()A.B.C. D.【分析】结合选项分别进行二次根式的除法运算、乘法运算、加减运算,然后选择正确选项.【解答】解:A、×=7,原式计算正确,故本选项错误;B、÷=,原式计算正确,故本选项错误;C、+=8,原式计算正确,故本选项错误;D、3﹣=2,原式计算错误,故本选项错误.故选D.【点评】本题考查了二次根式的混合运算,解答本题的关键是掌握二次根式的加减法则和乘除法则.5.(4分)下列二次根式中与是同类二次根式的是()A. B.C.D.【分析】根据同类二次根式的定义,先化简,再判断.【解答】解:A、=2,与的被开方数不同,不是同类二次根式,故A选项错误;B、=,与的被开方数不同,不是同类二次根式,故B选项错误;C、=,与的被开方数不同,不是同类二次根式,故C选项错误;D、=3,与的被开方数相同,是同类二次根式,故D选项正确.故选:D.【点评】此题主要考查了同类二次根式的定义,即:化成最简二次根式后,被开方数相同,这样的二次根式叫做同类二次根式.6.(4分)若是整数,则正整数n的最小值是()A.2 B.3 C.4 D.5【分析】先把75分解,然后根据二次根式的性质解答.【解答】解:∵75=25×3,∴是整数的正整数n的最小值是3.故选:B.【点评】本题考查了二次根式的定义,把75分解成平方数与另一个因数相乘的形式是解题的关键.7.(4分)设,a在两个相邻整数之间,则这两个整数是()A.1和2 B.2和3 C.3和4 D.4和5【分析】先对进行估算,再确定是在哪两个相邻的整数之间,然后计算介于哪两个相邻的整数之间.【解答】解:∵16<19<25,∴4<<5,∴3<﹣1<4,∴3<a<4,∴a在两个相邻整数3和4之间;故选C.【点评】此题主要考查了估算无理数的大小,注意首先估算无理数的值,再根据不等式的性质进行计算.现实生活中经常需要估算,估算应是我们具备的数学能力,“夹逼法”是估算的一般方法,也是常用方法.8.(4分)已知a<b,则化简二次根式的正确结果是()A.B.C.D.【分析】由于二次根式的被开方数是非负数,那么﹣a3b≥0,通过观察可知ab必须异号,而a<b,易确定ab的取值范围,也就易求二次根式的值.【解答】解:∵有意义,∴﹣a3b≥0,∴a3b≤0,又∵a<b,∴a<0,b≥0,∴=﹣a.故选A.【点评】本题考查了二次根式的化简与性质.二次根式的被开方数必须是非负数,从而必须保证开方出来的数也需要是非负数.9.(4分)若x=﹣3,则等于()A.﹣1 B.1 C.3 D.﹣3【分析】x=﹣3时,1+x<0,=﹣1﹣x,再去绝对值.【解答】解:当x=﹣3时,1+x<0,=|1﹣(﹣1﹣x)|=|2+x|=﹣2﹣x=1.故选B.【点评】本题考查了二次根式的化简方法,关键是根据x的取值,判断算式的符号.10.(4分)已知,则的值为()A.B.8 C.D.6【分析】首先求出(a+)2=a2++2=10,进而得出(a﹣)2=6,即可得出答案.【解答】解:∵,∴(a+)2=a2++2=10,∴a2+=8,∴a2+﹣2=(a﹣)2=6,∴=.故选:C.【点评】此题主要考查了完全平方公式的应用,根据已知得出a2+的值是解题关键.二、填空题:(每小题4分,共32分)11.(4分)已知a=,则代数式a2﹣1的值为 1 .【分析】把a=代入a2﹣1直接计算即可.【解答】解:当a=时,a2﹣1=()2﹣1=1.故本题答案为:1.【点评】本题考查实数的运算和代数式的求值,主要考查运算能力.12.(4分)若,则m﹣n的值为 4 .【分析】根据任何非负数的平方根以及偶次方都是非负数,两个非负数的和等于0,则这两个非负数一定都是0,即可得到关于m.n的方程,从而求得m,n的值,进而求解.【解答】解:根据题意得:,解得:.则m﹣n=3=(﹣1)=4.故答案是:4.【点评】本题考查了非负数的性质:几个非负数的和为0时,这几个非负数都为0.13.(4分)如果2a﹣18=0,那么a的算术平方根是 3 .【分析】先根据2a﹣18=0求得a=9,再根据算术平方根的定义即可求a的算术平方根.【解答】解:∵2a﹣18=0,∴a=9,∴a的算术平方根是3.【点评】本题考查了平方根的定义.注意一个正数有两个平方根,它们互为相反数;0的平方根是0;负数没有平方根.14.(4分)计算:= 3.【分析】本题是二次根式的减法运算,二次根式的加减运算法则是合并同类二次根式.【解答】解:=5﹣2=3.【点评】合并同类二次根式实际是把同类二次根式的系数相加,而根指数与被开方数都不变.15.(4分)比较大小:﹣3<﹣2.【分析】先把两数平方,再根据实数比较大小的方法即可比较大小.【解答】解:∵(3)2=18,(2)2=12,∴﹣3<﹣2.故答案为:<.【点评】此题主要考查了实数的大小的比较,实数大小比较法则:(1)正数大于0,0大于负数,正数大于负数;(2)两个负数,绝对值大的反而小.16.(4分)如果最简二次根式与是同类二次根式,那么a= 1 .【分析】根据同类二次根式的定义建立关于a的方程,求出a的值.【解答】解:∵最简二次根式与是同类二次根式,∴1+a=4a﹣2,解得a=1.故答案为1.【点评】本题考查了同类二次根式,同类二次根式是化为最简二次根式后,被开方数相同的二次根式称为同类二次根式.17.(4分)与的关系是相等.【分析】把分母有理化,即分子、分母都乘以,化简再比较与的关系.【解答】解:∵=,∴的关系是相等.【点评】正确理解分母有理化的概念是解决本题的关键.18.(4分)观察下列各式:①;②=3;③,…请用含n(n≥1)的式子写出你猜想的规律:=(n+1).【分析】从给出的三个式子中,我们可以发现计算出的等号后面的系数为等号前面的根号里的整数加分数的分子,根号里的还是原来的分数,依此可以找出规律.【解答】解:从①②③三个式子中,我们可以发现计算出的等号后面的系数为等号前面的根号里的整数加分数的分子,根号里的还是原来的分数,即=(n+1).【点评】做这类题的关键是仔细观察各式从中找出规律.三、解答题:(共6小题,共78分)19.(32分)计算:(1);(2);(3);(4).【分析】(1)先把各二次根式化为最简二次根式,然后去括号后合并同类二次根式;(2)根据二次根式的乘除法则运算;(3)利用平方差公式计算;(4)先把括号内的各二次根式化为最简二次根式,然后合并后进行二次根式的除法运算.【解答】解:(1)原式=2﹣﹣2﹣=﹣3;(2)原式=2××=;(3)原式=(2)2﹣()2=12﹣6=6;(4)原式=(8﹣9)÷=﹣÷=﹣=﹣.【点评】本题考查了二次根式的混合运算:先把各二次根式化为最简二次根式,再进行二次根式的乘除运算,然后合并同类二次根式.20.(8分)当x=﹣1时,求代数式x2+2x+2的值.【分析】将代数式进行适当的变形后,将x的值代入.【解答】解:原式=x2+2x+1+1=(x+1)2+1,当x=﹣1时,原式=()2+1=3【点评】本题考查二次根式运算,涉及因式分解,代数式求值问题,属于基础问题.21.(10分)先化简,再求值:(﹣)÷,其中x=2.【分析】按照分式的性质进行化简后代入x=2求值即可.【解答】解:原式=•=当x=2时,原式=.【点评】本题考查了分式的化简求值的知识,解题的关键是能够对分式进行正确的化简,难度不大.22.(10分)解方程组,并求的值.【分析】先根据解二元一次方程组的方法求出x、y的值,再代入进行计算即可.【解答】解:,①×2﹣②得,y=,代入①得,3x+6×=10,解得x=.故==.故答案为:.【点评】本题考查的是解二元一次方程组及代数式求值,能根据解二元一次方程组的加减消元法和代入消元法求出x、y的值是解答此题的关键.23.(10分)若实数x,y满足y=++2,求的值.【分析】根据被开方数是非负数,可得x,y的值,根据代数式求值,可得答案.【解答】解:由题意,得1﹣x≥0,1﹣x≤0,解得x=1,当x=1时,y=2.当x=1,y=2时,=.【点评】本题考查了二次根式有意义的条件,利用被开方数是非负数得出x,y的值是解题关键.24.(8分)(2014春•定陶县期末)阅读下面问题:;;.试求:(1)的值;(2)(n为正整数)的值.(3)计算:.【分析】(1)(2)仿照题目所给的分母有理化的方法进行计算;(3)将每一个二次根式分母有理化,再寻找抵消规律.【解答】解:(1)===﹣;(2)===﹣;(3)原式=﹣1+﹣+﹣+…+﹣+﹣=﹣1=10﹣1=9.【点评】主要考查二次根式的有理化.根据二次根式的乘除法法则进行二次根式有理化.二次根式有理化主要利用了平方差公式,所以一般二次根式的有理化因式是符合平方差公式的特点的式子.即一项符号和绝对值相同,另一项符号相反绝对值相同.。
章节测试题1.【答题】如果,,,那么、、的大小关系为()A.B.C.D.【答案】D【分析】根据负整数指数幂的运算法则进行运算即可.【解答】解:那么、、的大小关系为选D.2.【答题】若,则()A.B.C.D.【答案】B【分析】根据零指数幂和绝对值进行运算即可.【解答】解:当x≠1时,,∴且x≠1,解得:x=-1 选B.3.【答题】下列运算正确的是()A. 2a-3=B. =x2-1C. (3x-y)(-3x+y)=9x2-y2D. (-2x-y)(-2x+y)=4x2-y2【答案】D【分析】根据负整数指数幂的运算法则和乘法公式进行运算即可. 【解答】A. 2a-3=,故A选项错误;B. =x2-1,故B选项错误;C. (3x-y)(-3x+y)=-9x2+6xy-y2,故C选项错误;D. (-2x-y)(-2x+y)=4x2-y2,正确,选D.4.【答题】人体血液中每个成熟红细胞的平均直径为0.0000077米,则数字0.0000077用科学记数法表示为()A. 7.7×10-5B. 0.77×10-4C. 77×10-7D. 7.7×10-6【答案】D【分析】根据负整数指数幂的运算法则进行运算即可.【解答】0.0000077=7.7×10-6.选D.5.【答题】1纳米=0.000 000 001米,则2.5纳米应表示为()A. 2.5×10-8米B. 2.5×10-9米C. 2.5×10-10米D. 2.5×109米【答案】B【分析】绝对值小于1的正数也可以利用科学记数法表示,一般形式为a×10﹣n,与较大数的科学记数法不同的是其所使用的是负指数幂,指数由原数左边起第一个不为零的数字前面的0的个数所决定.【解答】2.5纳米=2.5×0.000000001米=2.5×10−9米.选B.6.【答题】计算的结果是().A.B.C.D.【答案】B【分析】根据负整数指数幂的运算法则进行运算即可.【解答】3-2==.选B.方法总结:a-b=,a≠0.7.【答题】某种球形病毒的直径大约为0.000000102m,这个数用科学记数法表示为()A. 1.02×mB. 1.02×mC. 1.02×mD. 1.02×m【答案】C【分析】绝对值小于1的正数也可以利用科学记数法表示,一般形式为a×10﹣n,与较大数的科学记数法不同的是其所使用的是负指数幂,指数由原数左边起第一个不为零的数字前面的0的个数所决定.【解答】解:0.000000102=1.02×10﹣7,选C.8.【答题】(2016·内蒙古东河区一模)一种细菌的半径是0.000 045米,该数字用科学记数法表示正确的是()A. 4.5×105B. 45×106C. 4.5×10-5D. 4.5×10-4【答案】C【分析】绝对值小于1的正数也可以利用科学记数法表示,一般形式为a×10﹣n,与较大数的科学记数法不同的是其所使用的是负指数幂,指数由原数左边起第一个不为零的数字前面的0的个数所决定.【解答】解:0.000045米米.选C.9.【答题】某种秋冬流感病毒的直径约为0.000000308米,该直径用科学记数法表示为()A. 0.308米B. 3.08米C. 3.08米D. 3.1米【答案】C【分析】绝对值小于1的正数也可以利用科学记数法表示,一般形式为a×10﹣n,与较大数的科学记数法不同的是其所使用的是负指数幂,指数由原数左边起第一个不为零的数字前面的0的个数所决定.【解答】0.0000003083.08米.选C.10.【答题】将0.00000305用科学记数法表示为()A.B.C.D.【答案】D【分析】绝对值小于1的正数也可以利用科学记数法表示,一般形式为a×10﹣n,与较大数的科学记数法不同的是其所使用的是负指数幂,指数由原数左边起第一个不为零的数字前面的0的个数所决定.【解答】0.00000305=30.5×10-6.方法总结:对于一个绝对值小于1的非0小数,用科学记数法写成的形式,其中,n是正整数,n等于原数中第一个非0数字前面所有0的个数(包括小数点前面的0).11.【答题】下列计算正确的是()A.B.C.D.【答案】B【分析】根据负整数指数幂的运算法则和整式的运算进行运算即可. 【解答】A. ∵与不是同类项,∴不能合并,故错误;B. ∵,故正确;C. ∵,故错误;D. ∵,故错误;选B.12.【答题】下列计算正确的是()A.B.C.D.【答案】A【分析】根据负整数指数幂的运算法则进行运算即可.【解答】解:A、,故A正确;B、,故B错误;C、不能化简,故C错误;D、没有意义.故D错误.选A.13.【答题】世界上最小的鸟是生活在古巴的吸蜜蜂鸟,它的质量约为0.056盎司。
八年级上册湘教版数学几何题及答案一、试题部分1. 三角形相关(20分)已知三角形ABC,∠A = 60°,∠B = 40°,求∠C的度数。
(5分)一个三角形的三条边分别为3cm,4cm,5cm,判断这个三角形是什么类型的三角形(按角分类)。
(5分)在等腰三角形ABC中,AB = AC,∠A = 80°,求∠B的度数。
(10分)2. 四边形部分(30分)平行四边形ABCD中,AB = 6cm,BC = 8cm,求平行四边形ABCD的周长。
(5分)矩形的长为8cm,宽为6cm,求矩形的对角线长度。
(5分)菱形的对角线分别为6cm和8cm,求菱形的面积。
(10分)在梯形ABCD中,AD∥BC,AD = 3cm,BC = 7cm,高为4cm,求梯形ABCD的面积。
(10分)3. 相似图形(25分)已知三角形ABC∽三角形DEF,AB = 3cm,DE = 6cm,若三角形ABC的面积为9cm²,求三角形DEF的面积。
(10分)两个相似多边形的相似比为2:3,其中一个多边形的周长为20cm,求另一个多边形的周长。
(15分)4. 视图与投影(25分)一个圆柱的底面直径为4cm,高为6cm,画出它的主视图、左视图和俯视图。
(10分)已知一个物体在灯光下的影子长为5m,物体本身高为2m,光源到物体的水平距离为3m,求光源到地面的垂直距离。
(15分)二、答案与解析1. 三角形相关答案:因为三角形内角和为180°,∠C = 180° - ∠A - ∠B = 180° - 60° - 40° = 80°。
因为3²+4² = 9 + 16 = 25 = 5²,满足勾股定理的逆定理,所以这个三角形是直角三角形。
因为AB = AC,所以∠B=∠C,又因为∠A = 80°,∠B=(180° - 80°)÷2 = 50°。
八年级数学上册《第一章 分式的乘法与除法》练习题-含答案(湘教版)一、选择题1.计算b 3a ÷2a b 的结果是( ) A.b 26a 2 B.b 3a 2 C.b 25a 2 D.232.计算x ÷x y ·1x的结果是( ) A.1 B.xy C.y x D.x y3.若3-2x x -1÷( )=1x -1,则( )中的式子为( ) A.-3 B.3-2x C.2x -3 D.13-2x 4.下列各式计算错误的是( )A.-3ab 4x 2y ·10xy 21b =-5a 14xB.xy 22yz ÷3x 2y 8yz =4y 3xC.a -b a ÷(a 2-ab)=1a 2 D .(-a)3÷a 3b=b 5.计算(a -b)÷a 2-b 2a +b的结果正确的是( ) A.1 B.1a -b C.1a +b D.a -b a +b6.已知非零有理数x ,y 满足x 2﹣6xy+9y 2=0,则=( ) A.- 15 B. C.15 D.7.若2a=3b=4c ,且abc ≠0,则a +bc -2b 的值是( ) A.2 B.-2 C.3 D.-38.甲、乙两同学同时从学校去火车站,已知学校到火车站的路程是a km ,甲骑自行车b h 到达,乙骑摩托车,比甲提前20 min 到达火车站,则甲、乙两人的平均速度之比为( ) A.a b B.3b 2 C.3b -13bD.以上均错 二、填空题9.计算:-3xy 24z ·-8z y=________. 10.填空:x 2-1x ·x x +1= . 11.已知a(m)布料能做b 件上衣,2a(m)布料能做3b 条裤子,则一件上衣的用料是一条裤子用料的 倍.12.已知a 2=b 3≠0,则代数式5a -2b a 2-4b 2·(a -2b)的值为____. 13.李明同学骑自行车上学用了a 分钟,放学时沿原路返回家用了b 分钟,则李明同学上学与回家的速度之比是________.14.已知x 2﹣3x ﹣4=0,则代数式x x 2-x -4的值是 . 三、解答题15.化简:3a 4b ·16b 9a 2.16.化简:a 2-4a 2+6a +9÷a -22a +6.17.化简:(a2-a)÷a2-2a+1a-1.18.化简:(xy-x2)÷x2-2xy+y2xy·x-yx2.19.先化简,再求值:2m+nm2-2mn+n2·(m-n),其中mn=2.20.计算x÷(x-2)·1x-2时,小虎给出了他的解答过程如下:解:x÷(x-2)·1x-2=x÷x-2x-2=x÷1=x.试说明小虎的求解过程是否正确?如果不正确,请你指出错误之处,并写出你认为正确的解答过程.21.有甲、乙两筐水果,甲筐水果重(x-1)2千克,乙筐水果重(x2-1)千克(其中x>1),售完后,两筐水果都卖了50元.(1)哪筐水果的单价卖得低?(2)高的单价是低的单价的多少倍?22.阅读下面的解题过程:已知xx2+1=13,求x2x4+1的值.解:由xx2+1=13知x≠0所以x2+1x=3,即x+1x=3所以x4+1x2=x2+1x2=(x+1x)2-2=32-2=7.故x2x4+1的值为17.该题的解法叫做“倒数法”,请你利用“倒数法”解决下面的题目:已知:xx2-3x+1=15,求x2x4+x2+1的值.参考答案1.A2.C3.B4.D5.A6.C7.B8.C9.答案为:6xy.10.答案为:x -1.11.答案为:1.5.12.答案为:12. 13.答案为:b a. 14.答案为:12. 15.解:原式=43a. 16.解:原式=(a +2)(a -2)(a +3)2·2(a +3)a -2=2a +4a +3. 17.解:原式=a(a -1)÷(a -1)2a -1=a(a -1)·a -1(a -1)2=a. 18.解:原式=x(y -x)·xy (x -y )2·x -y x 2=-y. 19.解:原式=2m +n (m -n )2·(m -n)=2m +n m -n. ∵m n=2,∴m =2n ∴原式=4n +n 2n -n =5.20.解:不正确,错误之处在于先算了乘法,再算除法.正确的解答过程是:原式=x·1x-2·1x-2=x(x-2)2.21.解:(1)甲筐水果的单价为50(x-1)2,乙筐水果的单价为50x2-1.∵0<(x-1)2<x2-1,∴50x2-1<50(x-1)2.答:乙筐水果的单价低.(2)50(x-1)2÷50x2-1=50(x-1)2·(x+1)(x-1)50=x+1x-1.答:高的单价是低的单价的x+1x-1倍.22.解:由xx2-3x+1=15知x≠0∴x2-3x+1x=5∴x+1x-3=5∴x+1x=8∴x4+x2+1x2=x2+1x2+1=(x+1x)2-1=63∴x2x4+x2+1=163.。
第1章分式数学八年级上册-单元测试卷-湘教版(含答案)一、单选题(共15题,共计45分)1、如果把分式中的和都扩大3倍,那么分式的值 ( )A.扩大6倍B.扩大3倍C.缩小3倍D.不变2、要使分式有意义,则x的取值范围是()A.x>2B.x<2C.x≠0D.x≠23、关于分式方程的解,下列说法正确的是()A.解是x=2B.解是x=4C.解是x=﹣4D.无解4、若代数式有意义,则实数的取值范围是()A. B. C. D.5、下列各运算中,正确的是()A.3a+2a=5a 2B.(-3a 3)2=9a 6C.a 4÷a 2=a 3D.(a+2)2=a 2+46、已知关于的分式方程的解为非正数,则的取值范围是()A. B. C. D.7、化简- 的结果为( )A. B. C. D.8、下列运算及判断正确的是()A.﹣5×÷(﹣)×5=1B.方程(x 2+x﹣1)x+3=1有四个整数解 C.若a×567 3=10 3, a÷10 3=b,则a×b= D.有序数对(m 2+1,m)在平面直角坐标系中对应的点一定在第一象限9、化简÷的结果是()A. B. C. D.2(x﹣1)10、下列运算中,正确的是()A.2xa+xa=3x 2a 2B.(a 2)3=a 6C.3a•2a=6aD.3﹣2=﹣611、函数的自变量的取值范围是()A. B. C.且 D.12、泰山风景区推出“智慧泰山”,是未来社会的基础设施,是国家战略. 网络峰值速率是网络峰值速率的10倍,在峰值速率下传输1000兆数据,;网络比网络快约90秒,求这两种网络的蜂值速率,设网络的峰值速率为每秒传输x兆数据,依题意,可列方程是()A. B. C. D.13、若分式在实数范围内有意义,则的取值范围为( )A. B. C. D.且14、计算:()A. B. C. D.15、分式的值是零,那么x的值是( )A.-1B.0C.1D.±1二、填空题(共10题,共计30分)16、若分式值为0,则________.17、已知10m=3,10n=5,则103m﹣n=________.18、若分式的值为0,则x的值是________.19、计算:+(﹣3)2=________.20、方程﹣1=1的解是________.21、已知,则________.22、关于的方程的解是正数,则的取值范围是________.23、9月25日,北京大兴机场正式投运,国庆期间,小罗一家准备自驾去北京游玩,顺便领略一下大兴国际机场的高科技及智慧.手机导航系统推荐了两条线路,线路一全程,线路二全程,汽车在线路二上行驶的平均时速是线路一平均时速的倍,线路二的用时预计比线路一用时少2小时,设汽车在线路一行驶的平均速度为,则所列方程为________.24、计算:=________25、关于x的分式方程的解是正数,则m的取值范围为________.三、解答题(共5题,共计25分)26、化简:27、化简:(1)(2a+3b)(3a﹣2b)﹣(3a+2b)2﹣a(a﹣b);(2)÷(﹣28、已知x=﹣4时,分式无意义,x=2时,此分式的值为零,求分式的值.29、计算(1)(﹣a3)2÷a2(2)|﹣3|﹣(﹣1)0÷()﹣2 .30、计算:(1)(xy﹣x2)÷(2).参考答案一、单选题(共15题,共计45分)1、D2、D3、D4、A5、B6、A7、D8、B10、B11、C12、A13、B14、C15、C二、填空题(共10题,共计30分)16、17、18、19、20、21、22、23、24、三、解答题(共5题,共计25分)26、27、28、29、30、。
湘教版八年级上册数学第一章第五节练习题(含答案)一、单选题1.斑马线前“车让人”,不仅体现着一座城市对生命的尊重,也直接反映着城市的文明程度.如图,某路口的斑马线路段A—B—C横穿双向行驶车道,其中AB=BC=12米,在绿灯亮时,小敏共用22秒通过AC路段,其中通过BC路段的速度是通过AB路段速度的1.2倍,则小敏通过AB路段时的速度是()A.0.5米/秒B.1米/秒C.1.5米/秒D.2米/秒2.关于x的方程m−1x−1+x1−x=0有增根,则m的值是()A.2B.1C.0D.-13.已知关于x的分式方程x−2x+2−mxx2−4=1无解,则m的值为()A.0B.0或-8C.-8D.0或-8或-44.若关于x的分式方程x−3x−1=mx−1+2产生增根,则m的值为()A.−1B.−2C.1D.25.自带水杯已成为人们良好的健康卫生习惯.某公司为员工购买甲、乙两种型号的水杯,用720元购买甲种水杯的数量和用540元购买乙种水杯的数量相同,已知甲种水杯的单价比乙种水杯的单价多15元.设甲种水杯的单价为x元,则列出方程正确的是()A.720x=540x−15B.720x=540x+15C.720x−15=540x D.720x=540x+156.有一段全长为800米的公路,路面需整改,为了尽量减少施工对城市交通所造成的影响,实际施工时,每天的功效比原计划增加10%,结果提前3天完成这一任务,设原计划每天整改x米,则下列方程正确的是()A.800(1+10%)x−800x=3B.800(1−10%)x−800x=3C.800x−800(1+10%)x=3D.800x−800(1−10%)x=37.某灾区恢复生产,计划在一定时间内种60亩蔬菜,实际播种时每天比原计划多种3亩,因此提前一天完成任务,问实际种了几天?现设实际种了x天,则可列出方程()A.60x−60x+1=3B.60x−1−60x=3C.60x−60x+3=1D.60x−3−60x=18.某校八年级一班计划安排一次以“迎冬奥”为主题的知识竞赛,班主任王老师打算到某文具店购买一些笔记本作为竞赛用的奖品.目前该文具店正在搞优惠酬宾活动:购买同样的笔记本,当花费超过20元时,每本便宜1元.已知王老师花费24元比花费20元多买了2本笔记本,求他花费24元买了多少本笔记本,设他花费24元买了x本笔记本,根据题意可列方程()A.24x−20x−2=1B.24x−2−20x=1C.20x−2−24x=1D.20x+2−24x=19.分式方程2−xx−3−13−x=1的解为()A.x=2B.无解C.x=3D.x=﹣310.若正整数m使关于x的分式方程m(x+2)(x−1)=xx+2−x−2x−1的解为正数,则符合条件的m的个数是()A.2B.3C.4D.5二、填空题11.若分式2x−3的值为2,则x的值为.12.若关于x的方程x+1x−2=mx−2有增根,则m的值是.13.方程1x−1=23x+1的解为.14.若关于x的方程4xx−2﹣5=mx2−x无解,则m的值为.15.“绿水青山就是金山银山”.某地为美化环境,计划种植树木2000棵.由于志愿者的加入,实际每天植树的棵树比原计划增加了25%,结果提前4天完成任务.则实际每天植树棵.16.若x=2是关于x的分式方程 2x+ax−1=2 的解,则a的值等于.17.已知aa−4=2−bb−4,则a+b的值为.18.若x=4是关于x的方程2x−mx−3=3的解,则m的值为.19.甲做360个零件与乙做480个零件所用的时间相同,已知两人每天共做140个零件,若设甲每天做x 个零件,则可列方程 .20.“有一种速度叫中国速度,有一种骄傲叫中国高铁.”快速发展的中国高速铁路,正改变着中国人的出行方式.下表是从北京到上海的两次列车的相关信息:已知从北京到上海乘坐G27次高铁列车比T109次特快列车用时少10小时26分钟.设G27次高铁列车的平均速度为x km/h ,根据题意可列方程为 .三、计算题21.解方程(组):(1){y =2xx +y =6; (2)2−x x−3=1x−3−2.四、解答题22.为了做好防疫工作,保障员工安全健康,某公司用4000元购进一批某种型号的口罩.由于质量较好,公司又用6400元购进第二批同一型号的口罩,已知第二批口罩的数量是第一批的2倍,且每包便宜5元.问第一批口罩每包的价格是多少元?23.一粥一饭当思来之不易,半丝半缕恒念物力维艰.开展“光盘行动”,拒绝“舌尖上的浪费”,已经成为一种时尚. 某学校食堂为了鼓励同学们做到光盘不浪费,针对每餐后光盘的学生奖励苹果或砂糖橘一份.近日,学校食堂花了1500 元和1800元分别采购了砂糖橘和苹果,采购的砂糖橘比苹果多50千克,砂糖橘每千克的价格比苹果每千克的价格低40%.求苹果每千克的价格.24.为积极创建全国文明城市,甲、乙两工程队承包了我市某街道路面改造工程.若由甲、乙两工程队合做20天可以完成;若甲工程队先单独施工40天,再由乙工程队单独施工10天也可以完成.求甲、乙两工程队单独完成此项工程各需要多少天?25.列方程解应用题:2021年9月23日,我国迎来第四个中国农民丰收节.在庆祝活动中记者了解到:某种粮大户2020年所种粮食总产量约150吨.在强农惠农富农政策的支持下,2021年该农户种粮积极性不断提高,他不仅扩大耕地面积,而且亩产量也大幅提高,因此取得大丰收.已知他2021年比2020年增加20亩耕地,亩产量是2020年的1.2倍,总产量约216吨,那么2020年该农户所种粮食的亩产量约为多少吨?答案1.B 2.A 3.D 4.B 5.A 6.C 7.A 8.C 9.B 10.A 11.4 12.3 13.x=-3 14.﹣4或1 15.125 16.1 17.8 18.5 19.360x =480140−x 20.146398−1325x =10266021.(1)解: {y =2x①x +y =6②把①代入②得x+2x=6, 解之:x=2;把x=2代入①得y=2×2=4; ∴此方程组的解为{x =2y =4;(2)解:方程两边同时乘以(x-3)得 2-x=1-2(x-3) 解之:x=5,当x=5时x-3=2≠0 ∴x=5是原方程的解, ∴原方程的解为x=5.22.解:设第一批口罩每包x 元,则第二批口罩每包(x-5)元,根据题意得:6400x−5=4000x ×2, 解得:x=25, 经检验x=25是所列方程的根, 答:第一批口罩每包的价格是25元.23.解:设苹果每千克的价格为x 元,则砂糖橘每千克的价格为 (1−40%)x 元. 根据题意,得 1500(1−40%)x −1800x =50 解得 x =14经检验: x =14 是原分式方程的解,且符合题意, ∴ 苹果每千克的价格为14元.24.解:设甲工程队单独完成此项工程需要x 天,依题意,可得40x +10(120−1x )=1,解得:x =60,.经检验,x =60是原方程的解,且符合题意,∴乙工程队单独完成此项工程需要的天数为1÷(120−1x)=30,答:甲工程队单独完成此项工程需要60天,乙工程队单独完成此项工程需要30天.25.解:设2020年所种粮食的亩产量约为x 吨,则2021年所种粮食的亩产量约为1.2x 吨由题意,得150x +20=2161.2x .解得x =1.5.经检验,x =1.5是原分式方程的解,且符合实际. 答:2020年该农户所种粮食的亩产量约为1.5吨.。
八年级数学上册《第一章 分式》练习题-含答案(湘教版)一、选择题1.下列式子是分式的是( ) A.a -b 2 B.5+y π C.x +3xD.1+x 2.下列各式:其中分式共有( )A.2个B.3个C.4个D.5个3.如果分式11 x 在实数范围内有意义,则x 的取值范围是( ) A.x ≠﹣1 B.x >﹣1 C.全体实数 D.x=﹣14.若分式x -2x +1无意义,则( ) A.x =2 B.x =-1 C.x =1 D.x ≠-1 5.若分式2x +63x -9 的值为零,则x 等于( ) A.2 B.3 C.-3 D.3或-36.已知5a=2b ,则值为( )A.25B.35C.23 D.1.47.已知a ﹣b ≠0,且2a ﹣3b =0,则代数式2a -b a -b的值是( ) A.﹣12 B.0 C.4 D.4或﹣128.已知1x -1y =3,则代数式2x +3xy -2y x -xy -y的值是( ) A.-72 B.-112 C.92 D.34二、填空题9.某工厂计划a 天生产60件产品,则平均每天生产该产品 件.10.有游客m 人,若每n 个人住一个房间,结果还有一个人无房住,则客房的间数为.11.若分式2x+1的值不存在,则x的值为 .12.把分式a+13b34a-b的分子、分母中各项系数化为整数的结果为________.13.如果x=-1,那么分式x-2x2-4的值为________.14.若4x+1表示一个整数,则所有满足条件的整数x的值为___________.三、解答题15.下列各分式中,当x取何值时有意义?(1)1x-8;(2)3+x22x-3;(3)xx-3.16.当m为何值时,分式的值为0?(1)mm-1; (2)|m|-2m+2; (3)m2-1m+1.17.求下列各分式的值.(1)5x3x2-2,其中x=12;(2)x-12x2+1,其中x=-1;(3)x-yx+y2,其中x=2,y=-1.18.某公司有一种产品共300箱,将其分配给批发部和零售部销售,批发部经理对零售部经理说:“如果把你们分到的产品让我们卖,可卖得3 500元.”零售部经理对批发部经理说:“如果把你们分到的产品让我们卖,可卖得7 500元.”若假设零售部分到的产品是a箱,则:(1)该产品的零售价和批发价分别是每箱多少元?(2)若a=100,则这批产品一共能卖多少元?19.已知x,y满足xy=5,求分式x2-2xy+3y24x2+5xy-6y2的值.20.对于任意非零实数a,b,定义新运算“*”如下:a*b=a-bab,求2*1+3*2+…+10*9的值.参考答案1.C2.A3.A4.B5.C6.D7.C8.D.9.答案为:60a. 10.答案为:m -1n. 11.答案为:-1.12.答案为:12a +4b 9a -12b13.答案为:114.答案为:-2,-3,-5,0,1,3.15.解:(1)x ≠8 (2)x ≠32(3)x ≠3. 16.解:(1)∵⎩⎨⎧m =0,m -1≠0,∴m =0. (2)∵⎩⎨⎧|m|-2=0,m +2≠0,∴m =2. (3)∵⎩⎨⎧m 2-1=0,m +1≠0,∴m =1. 17.解:(1)把x =12 代入5x 3x 2-2,得原式=-2. (2)当x =-1时,x -12x 2+1 =-1-12×(-1)2+1 =-23. (3)当x =2,y =-1时,x -y x +y 2 =2-(-1)2+(-1)2 =33=1.18.解:(1)该产品的零售价是每箱7 500300-a 元,批发价是每箱3 500a元. (2)这批产品一共能卖10 750元.19.解:∵x y =5,∴x =5y ∴x 2-2xy +3y 24x 2+5xy -6y 2=(5y )2-2×5y ·y +3y 24×(5y )2+5×5y ·y -6y 2=18y 2119y 2=18119. 20.解:2*1+3*2+…+10*9=2-12×1+3-23×2+…+10-910×9=1﹣110=910.。
湘教版八年级上册数学期末考试试题一.选择题:(每小题4分,满分40分)1.在下列各数中,无理数是A .0B .21C .2D .72.若x >y ,则下列不等式成立的是A .3-x <3-y B .5+x >5+y C .3x <3y D .x 2->y2-3.若等腰三角形的一个底角的度数为72°,则顶角的度数为A .108°B .72°C .54°D .36°4.当2015=x 时,分式211xx--的值是A .20151B .20151-C .20161D .20161-5.已知△ABC 中,2(∠B+∠C )=3∠A,则∠A 的度数是A .54°B .72°C .108°D .144°6.一个不等式组的解集在数轴上表示如图,则这个不等式组可能是A .41x x >⎧⎨-⎩,≤B .41x x <⎧⎨-⎩,≥C .41x x >⎧⎨>-⎩,D .41x x ⎧⎨>-⎩≤,7.不等式组43128164x x x+⎧⎨-≤-⎩>的最小整数解是A .0B .-1C .1D .28.如图,AB ∥EF ∥DC ,∠ABC =90°,AB =DC ,那么,图中的全等三角形共有A .1对B .2对C .3对D .4对9.若关于x 的方程322=-x a ax 的解为1=x ,则a 等于AFBCED40-1A .21B .2C .2-D .21-10.若2121-=+=b a ,则代数式ab b a 322-+的值为A .3B .±3C .5D .9二.填空题:(每小题3分,满分24分)11.=-xx 12_____.12.计算5155⨯÷的结果为_____.13.金园小区有一块长为m 18,宽为m 8的长方形草坪,计划在草坪面积不变的情况下,把它改造成正方形,则这个正方形的边长是_____m .14.已知不等式+x 2★>2的解集是x >4-,则“★”表示的数是_____.15.一个工程队计划用6天完成300土方的工程,实际上第一天就完成了60方土,因进度需要,剩下的工程所用的时间不能超过3天,那么以后几天平均至少要完成的土方数是_____.16.如图,在△ABC 中,∠A=30°,∠B=50°,延长BC 到D,则∠ACD=_____.17.如图,在△ADC 中,AD=BD=BC,∠C=30°,则∠ADB=_____.18.A 、B 两地相距km 60,甲骑自行车从A 地到B 地,出发h 1后,乙骑摩托车从A 地到B 地,且乙比甲早到h 3,已知甲、乙的速度之比为1:3,则甲的速度是_____.三.解答题:(请写出主要的推导过程)19.(本题满分7分)CD ABCDAB第16题图第17题图解不等式组2328x x x ≤+⎧⎨⎩<并将其解集在数轴上表示出来.20.(本题满分7分)已知12+=x ,12-=y ,试求xyy x -的值.21.(本题满分7分)已知:72++y x 的立方根是3,16的算术平方根是y x -2,求:(1)x 、y 的值;(2)22y x +的平方根.22.(本题满分8分)若不等式组3224x a x b -⎧⎨-⎩<>的解集为23x -<<,求b a +的值.23.(本题满分8分).如图,在△ABC 中,AD 是BC 上的高,AE 平分∠BAC,∠B=75°,∠C=45°.求∠DAE 与∠AEC 的度数.24.(本题满分9分).金瑞公司决定从厂家购进甲、乙两种不同型号的显示器共50台,购进显示器的总金额不超过77000元,已知甲、乙型号的显示器价格分别为1000元/台、2000元/台.(1)求金瑞公司至少购进甲型显示器多少台?(2)若甲型显示器的台数不超过乙型显示器的台数,则有哪些购买方案?25.(本题满分10分)如图,在△ABC 中,AB=AC,点D、E、F 分别在AB、BC、AC 上,且BE=CF,AD+EC=AB.(1)求证:△DEF 是等腰三角形;(2)当∠A=40°时,求∠DEF 的度数;(3)△DEF 可能是等腰直角三角形吗?为什么?CBD AEAF BCED参考答案一.选择题:(每小题4分,满分40分)1.C 2.B3.D 4.C 5.B 6.B 7.A 8.C 9.D 10.A二.填空题:(每小题3分,满分24分)11.x112.113.1214.1015.8016.80°17.60°18.hkm /10三.解答题:19.(7分)解:不等式组⎩⎨⎧+≤8232 x x x 的解集为x ≤-3<4.20.(7分)解:241222))((22=⨯-+=-=-xy y x y x xy y x x y y x 21.(7分)解:(1)依题意⎩⎨⎧=-=++422772y x y x 解得:⎩⎨⎧==86y x (2)22y x +的平方根是10±22.(8分)解:由⎩⎨⎧--4223 b x a x 得⎪⎪⎩⎪⎪⎨⎧++2432b x a x ∴⎪⎪⎩⎪⎪⎨⎧-=+=+224332b a 解得⎩⎨⎧-==87b a ∴1-=+b a 23.(8分).解:∵∠B=75°,∠C=45°,∴∠BAC=60°.又AE 平分∠BAC.∴∠BAE=∠EAC=30°.⊙又AD⊥BC ∴∠DAE=∠BAD=15°,∠AEC=180°-∠EAC-∠C=180°-30°-45°=105°24.(9分)解:(1)设金瑞公司购进甲型显示器x 台,则购进乙型显示器)50(x -台.依题意得)50(20001000x x -+≤77000解得x ≥23即金瑞公司至少购进甲型显示器23台;(2)依题意可得不等式x ≤-50x ,解是x ≤25,∴23≤x ≤25.∵x 为整数,∴x 可取23、24、25.①购进甲型显示器23台,乙型显示器27台;②购进甲型显示器24台,乙型显示器26台;③购进甲型显示器25台,乙型显示器25台.25.(10分)(1)∵AD +EC=AB=AD+DB,∴EC =DB.又AB =AC∴∠B =∠C 又BE =CF∴△BED≌△ECF∴DE =EF∴△DEF 是等腰三角(2)∵∠A=40°∴∠B =∠C =70°由(1)知∠BDE =∠FE C ∴∠DEF=∠B =70°(3)若△DEF 是等腰直角三角形,则∠DEF=90°∴∠DEB+∠BDE=90°,∴∠B=90°因而∠C=90°∴△DEF 不可能是等腰直角三角形.。
3.3 实 数第1课时 实数的分类及性质1、36的平方根是 ;16的算术平方根是 ;2、8的立方根是 ;327-= ;3、37-的相反数是 ;绝对值等于3的数是4、23的倒数的平方是 ,2的立方根的倒数的立方是 。
5、23-的绝对值是 ,13111-的绝对值是 。
6、9的平方根的绝对值的相反数是 。
7、23+的相反数是 ,23-的相反数的绝对值是 。
8、27-的绝对值与726-+的相反数之和的倒数的平方为 。
9、把下列各数分别填入相应的集合里:2,3.0,10,1010010001.0,125,722,0,1223π---∙- 有理数集合:{ }; 无理数集合:{ }; 负实数集合:{ };1.下列各式中正确的是( )A .B. C. D.2.的平方根是( )A.4 B. C. 2 D.3. 下列说法中①无限小数都是无理数②无理数都是无限小数③-2是4的平方根④带根号的数都是无理数。
其中正确的说法有()A.3个 B. 2个 C. 1个 D. 0个4.和数轴上的点一一对应的是()A.整数 B.有理数 C. 无理数 D. 实数5.对于来说()A.有平方根B.只有算术平方根 C. 没有平方根 D. 不能确定6.在(两个“1”之间依次多1个“0”)中,无理数的个数有()A.3个 B. 4个 C. 5个 D. 6个7.面积为11的正方形边长为x,则x的范围是()A. B. C. D.8.下列各组数中,互为相反数的是()A.-2与 B.∣-∣与 C. 与 D. 与9.-8的立方根与4的平方根之和是()A.0 B. 4 C. 0或-4 D. 0或410.已知一个自然数的算术平方根是a ,则该自然数的下一个自然数的算术平方根是()A. B. C. D.。
第3课时三角形内角和与外角
1、如图,已知点B、C、D、E 在同一直线上,△ABC是等边三角形,
且CG=CD,DF=DE,则∠E=______
2、如图,∠1+∠2+∠3+∠4+∠5+∠6=______
3、把一副三角板按如图方式放置,则两条斜边所形成的钝角
α=_______度.
4、如图,∠1、∠2、∠3的大小关系为()
A.∠2>∠1>∠3 B.∠1>∠3>∠2
C.∠3>∠2>∠1 D.∠1>∠2>∠3
5、如果三角形的一个外角和与它不相邻的两个内角的和为180°,那么与这个外角相邻的内角的度数为( )
A、30°
B、60°
C、90°
D、120°
6、如图,已知∠1=60°,∠A+∠B+∠C+∠D+∠E+∠F=()
A、360°
B、540°
C、240°
D、280°
7、如图,在△ABC中,D、E分别是AB、AC上的点,点F在BC的延长
线上,DE∥BC,∠A=46°,∠1=52°,求∠2的度数.
8、一个零件的形状如图,按规定∠A= 90°,∠B和∠C,应分别是32°,和21°,检验工人量得∠BDC = 148°,就断定这两个零件不合格,运用三角形的有关知识说明零件不合格的理由。
A
B C
D
9、如图,C岛在A岛的北偏东50°方向,B岛在A岛的北偏东80°方向,C岛在B岛的北偏西40°方向,从B岛看A、C两岛的视角∠ABC是多少度?从C岛看A、B两岛的视角∠ACB呢?。
第三章测试卷一、选择题(共10题;共30分)1.已知是整数,且满足,则可能的值共有()A. 3个B. 6个C. 49个D. 99个2.如图,数轴上点N表示的数可能是( )A. B. C. D.3.一个正偶数的算术平方根是a,那么与这个正偶数相邻的下一个正偶数的平方根( )A. a+2B.C.D.4.-64的立方根是()A. -8B. 8C. -4D. 45.下列各式中,正确的是()A. B. =1 C. D. =±0.56.4的平方根是()A. ±2B. ﹣2C. 2D. 167.的立方根是()A. -1B. 0C. 1D. ±18.的算术平方根是()A. 8B. ±8C. 2D. ±29.9的算术平方根为()A. 9B. ±9C. 3D. ±310.已知,则有()A. B. C. D.二、填空题(共8题;共24分)11.25的算术平方根是________.12.在如图所示的数轴上,点C与点B关于点A对称,C、A两点对应的实数分别是和1,则点B对应的实数为________ 第12题第16题13.的平方根为________.14.若实数x、y满足+ =0,则x﹣y的值为________.15.计算:()﹣1﹣=________16.如图,矩形内有两个相邻的正方形,面积分别为4和2,那么阴影部分的面积是________.17.比较大小:________2 .(填“>”、“=”、“<”).18.小于的正整数有________.三、解答题(共6题;共46分)19.已知x=12,y=﹣2,求x﹣y的相反数.20.已知一个正数x的两个平方根分别是3﹣5m和m﹣7,求这个正数x的立方根.21.解方程:3(x﹣2)2=27.22.计算:﹣|﹣3|﹣(﹣π)0+2015.23.已知2a﹣1的平方根是±3,4是3a+b﹣1的算术平方根,求5a+b的立方根.24.阅读下面的文字,解答问题.大家知道是无理数,而无理数是无限不循环小数,因此的小数部分我们不可能全部地写出来,于是小明用﹣1来表示的小数部分,你同意小明的表示方法吗?事实上,小明的表示方法是有道理的,因为的整数部分是1,将这个数减去其整数部分,差就是小数部分.请解答:已知10+ =x+y,其中x是整数,且0<y<1,求x﹣y的相反数.参考答案一、选择题1. B2.B3.C4.C5.B6.A7.A8.C9.C 10.A二、填空题11.5 12. 2﹣13.±3 14. 3 15.-1 16.2 ﹣2 17.>18.1,2三、解答题19.解:x﹣y的相反数是y﹣x,即﹣2﹣12=﹣14.20.解:由已知得(3﹣5m)+(m﹣7)=0,﹣4m﹣4=0,解得:m=﹣1.∴3﹣5m=8,m﹣7=﹣8.∴x=(±8)2=64.∴x的立方根是421.解:3(x﹣2)2=27,(x﹣2)2=9,x﹣2=±3,x1=5,x2=﹣1.22.解:原式=4﹣3﹣1+2015=2015.23.解:∵2a﹣1的平方根是±3,4是3a+b﹣1的算术平方根,∴2a﹣1=9,3a+b﹣1=16,∴a=5,b=2,∴5a+b=5×5+2=27,∴27的立方根是324.解:∵1<<2,∴1+10<10+ <2+10,∴11<10+ <12,∴x=11,y=10+ ﹣11= ﹣1,x﹣y=11﹣(﹣1)=12﹣,∴x﹣y的相反数﹣12。