(完整版)数列通项公式的习题
- 格式:doc
- 大小:82.01 KB
- 文档页数:1
高二数学数列的通项公式题库数列是数学中重要的概念之一,它在高中数学中也占据着重要的地位。
数列的通项公式是指可以通过一个公式来表示数列中每一项的数值的规律。
掌握数列的通项公式对于解决数列相关的问题至关重要。
本文将为大家提供一份高二数学数列的通项公式题库,帮助大家巩固和提升对数列通项公式的理解和应用能力。
一、等差数列等差数列是指数列中相邻两项之差都相等的数列。
在等差数列中,通项公式的形式为An = a1 + (n-1)d,其中a1为首项,d为公差,n为项数。
下面是一些关于等差数列通项公式的题目:1. 求等差数列2,5,8,11,...的第n项通项公式。
2. 已知等差数列的首项是3,公差是4,求第10项的值。
3. 若等差数列的前三项分别是5,8,11,则该数列的公差是多少?4. 若等差数列的前n项和为100,首项为2,公差为3,求n的值。
5. 求等差数列4,1,-2,-5,...的第n项通项公式。
二、等比数列等比数列是指数列中相邻两项之比都相等的数列。
在等比数列中,通项公式的形式为An = a1 * r^(n-1),其中a1为首项,r为公比,n为项数。
下面是一些关于等比数列通项公式的题目:1. 求等比数列1,2,4,8,...的第n项通项公式。
2. 已知等比数列的首项是2,公比是3,求第4项的值。
3. 若等比数列的前三项分别是3,6,12,则该数列的公比是多少?4. 若等比数列的前n项和为80,首项为5,公比为2,求n的值。
5. 求等比数列0.5,1,2,4,...的第n项通项公式。
三、斐波那契数列斐波那契数列是指该数列中,从第3项开始,每一项都等于前两项之和。
在斐波那契数列中,通项公式的形式为An = An-1 + An-2,其中A1和A2为已知值。
下面是一些关于斐波那契数列的题目:1. 求斐波那契数列的通项公式。
2. 求斐波那契数列的第n项的值。
3. 求斐波那契数列的前n项和。
4. 若斐波那契数列的第5项是8,第6项是13,求第7项的值。
数列通项公式练习题1. 已知数列的前几项为1, 2, 4, 8, 16, ...,求该数列的通项公式。
2. 一个数列的前四项为2, 4, 8, 16,请找出该数列的通项公式。
3. 给定数列的前三项为3, 6, 12,确定该数列的通项公式。
4. 一个数列的前五项是1, 3, 6, 10, 15,求该数列的通项公式。
5. 已知数列的前三项为1, 2, 4,求该数列的通项公式。
6. 一个数列的前四项为1, 2, 3, 5,找出该数列的通项公式。
7. 给定数列的前三项为5, 10, 20,确定该数列的通项公式。
8. 一个数列的前五项是2, 4, 8, 16, 32,求该数列的通项公式。
9. 已知数列的前三项为1, 4, 9,求该数列的通项公式。
10. 一个数列的前四项为2, 6, 12, 20,找出该数列的通项公式。
11. 给定数列的前三项为3, 9, 27,确定该数列的通项公式。
12. 一个数列的前五项是1, 5, 14, 30, 55,求该数列的通项公式。
13. 已知数列的前三项为2, 5, 10,求该数列的通项公式。
14. 一个数列的前四项为1, 3, 6, 10,找出该数列的通项公式。
15. 给定数列的前三项为4, 12, 36,确定该数列的通项公式。
16. 一个数列的前五项是3, 7, 13, 21, 31,求该数列的通项公式。
17. 已知数列的前三项为1, 7, 19,求该数列的通项公式。
18. 一个数列的前四项为2, 5, 10, 17,找出该数列的通项公式。
19. 给定数列的前三项为6, 15, 28,确定该数列的通项公式。
20. 一个数列的前五项是1, 4, 9, 16, 25,求该数列的通项公式。
求数列通项公式专题练习1、 设n S 就是等差数列}{n a 得前n 项与,已知331S 与441S 得等差中项就是1,而551S 就是331S 与441S 得等比中项,求数列}{n a 得通项公式2、已知数列{}n a 中,311=a ,前n 项与n S 与n a 得关系就是 n n a n n S )12(-= ,试求通项公式n a 。
3、已知数列{}n a 中,11=a ,前n 项与n S 与通项n a 满足)2,(,1222≥∈-=n N n S S a n n n ,求通项n a 得表达式、4、在数列{n a }中,1a =1, (n+1)·1+n a =n ·n a ,求n a 得表达式。
5、已知数}{n a 得递推关系为4321+=+n n a a ,且11=a 求通项n a 。
6、已知数列{}a n 得前n 项与S n b n n =+()1,其中{}b n 就是首项为1,公差为2得等差数列,数列{}a n 得通项公式7、已知等差数列{a n }得首项a 1 = 1,公差d > 0,且第二项、第五项、第十四项分别就是等比数列{b n }得第二项、第三项、第四项. (Ⅰ)求数列{a n }与{b n }得通项公式;lTsK3。
8、已知数列}{n a 得前n 项与为n S ,且满足322-=+n a S n n )(*N n ∈.(Ⅰ)求数列}{n a 得通项公式;9、设数列{}n a 满足211233333n n n a a a a -++++=…,n ∈*N .(Ⅰ)求数列{}n a 得通项; 10、已知数列}a {n 满足1a 1n 2a a 1n 1n =++=+,,求数列}a {n 得通项公式。
11、 已知数列}a {n 满足3a 132a a 1n n 1n =+⋅+=+,,求数列}a {n 得通项公式。
数列求与公式练习1、 设{}n a 就是等差数列,{}n b 就是各项都为正数得等比数列,且111a b ==,3521a b +=,5313a b +=(Ⅰ)求{}n a ,{}n b 得通项公式;(Ⅱ)求数列n n a b ⎧⎫⎨⎬⎩⎭得前n 项与n S .2、(){213}.nn n -⋅求数列前项和3、已知等差数列{}n a 满足:37a =,5726a a +=、{}n a 得前n 项与为n S 、(Ⅰ)求n a 及n S ;(Ⅱ)令211n n b a =-(n N +∈),求数列{}n b 得前n 项与n T 、4、已知等差数列{}n a 得前3项与为6,前8项与为-4。
数列练习题——求数列的通项公式一、选择题:本大题共10小题,每小题5分,共50分.在每小题给出的四个选项中,只有一个是符合题目要求的.1.在等差数列{}n a 中,已知1232,13,a a a =+=则456a a a ++等于( ) A .40 B .42 C .43 D .45 2.数列{}n a 的前n 项和为n S ,若1(1)n a n n =+,则5S 等于( )A .1B .56C .16D .1303.设n S 是等差数列{}n a 的前n 项和,若735S =,则4a =( )A .8B .7C .6D . 54.已知等差数列共有10项,其中奇数项之和15,偶数项之和为30,则其公差是( ) A .5 B .4 C .3 D . 25.一个等比数列前n 项的和为48,前2n 项的和为60,则前3n 项的和为( ) A .83 B .108 C .75 D .636.等比数列{}n a 的各项为正数,且5647313231018,log log log a a a a a a a +=+++=则( )A .12B .10C .8D .2+3log 57.已知a b c d ,,,成等比数列,且曲线223y x x =-+的顶点是()b c ,,则ad 等于( ) A .3 B .2 C .1 D .2-8.已知等比数列}{n a 的前n 项和21n n S =-,则22212na a a +++等于( ) A .2(21)n - B .1(21)3n- C .41n - D .1(41)3n-9.设n S 是等差数列{}n a 的前n 项和,若5359a a =,则95SS = A .1 B .-1 C .2 D .5910.在等比数列{}n a 中,公比q 是整数,142318,12,a a a a +=+=则此数列的前8项和为()A .514B .513C .512D .510 二、填空题:本大题共4小题, 每小题5分,满分20分.11.111(1)(2)()242n n ++++++= .12.设4710310()22222()n f n n N +=+++++∈,则()f n = .13.若数列{}n a 的前n 项和210(123)n S n n n =-=,,,,则此数列的通项公式为;数列{}n na 中数值最小的项是第项.14.在等差数列}{n a 中,10a <,912S S =,该数列前_______项的和最小.三、解答题:本大题共6小题,共80分.解答应写出文字说明、演算步骤或推证过程. 15.(本小题满分12分)设{}n a 是一个公差为(0)d d ≠的等差数列,它的前10项和10110S =,且124,,a a a 成等比数列.(Ⅰ)证明:1a d =; (Ⅱ)求公差d 的值和数列{}n a 的通项公式.16.(本小题满分12分)已知数列{}n a 的前项和为n S ,且*1111,,3n n a a S n N +==∈. (Ⅰ)求234,,a a a 的值及数列{}n a 的通项公式; (Ⅱ) 求2462...n a a a a ++++的和.17.(本小题满分14分)已知数列}{n a 满足1111,3(2)n n n a a a n --==+≥(Ⅰ)求23,a a ; (Ⅱ)证明213-=n n a .18.求下列数列的通项公式(本小题满分14分) (1)111,3(2)n nn a a n a -==≥; (2)111,1(2)3n n a a a n -==-+≥;(3)n S 是{}n a 的前n 项和,121n n S +=-。
求数列通项公式练习题数列通项公式是数学中常见的一种表达方式,它可以帮助我们找到数列中任意一项的数值。
在解决数列问题时,求得通项公式是非常重要的一步。
下面,我将为大家提供一些数列通项公式的练习题,帮助大家更好地掌握这一知识点。
1. 求下列数列的通项公式:(1) 1, 4, 7, 10, 13, ...(2) 2, 6, 18, 54, 162, ...(3) 3, 9, 27, 81, 243, ...对于第一个数列,观察可以发现,每一项都比前一项大3。
因此,我们可以猜测通项公式为an = 1 + 3n,其中n为项数。
我们可以通过验证前几项来证明这个猜想。
对于第二个数列,观察可以发现,每一项都是前一项的3倍。
因此,我们可以猜测通项公式为an = 2 * 3^n。
对于第三个数列,观察可以发现,每一项都是前一项的3倍。
因此,我们可以猜测通项公式为an = 3^n。
2. 求下列数列的通项公式:(1) 1, 4, 9, 16, 25, ...(2) 1, 3, 6, 10, 15, ...(3) 1, -2, 4, -8, 16, ...对于第一个数列,观察可以发现,每一项都是该项的平方。
因此,通项公式为an = n^2。
对于第二个数列,观察可以发现,每一项都是前一项加上当前项的项数。
因此,通项公式为an = 1 + 2 + 3 + ... + n,即an = n * (n + 1) / 2。
对于第三个数列,观察可以发现,每一项都是前一项的相反数的两倍。
因此,通项公式为an = (-2)^(n-1)。
3. 求下列数列的通项公式:(1) 1, 2, 4, 8, 16, ...(2) 1, 4, 9, 16, 25, ...(3) 1, 3, 9, 27, 81, ...对于第一个数列,观察可以发现,每一项都是前一项的2倍。
因此,通项公式为an = 2^(n-1)。
对于第二个数列,观察可以发现,每一项都是该项的平方。
求数列的通项公式练习题数列是数学中的重要概念,它是由一系列按照一定规律排列的数所组成的。
而数列的通项公式则是指能够用一个公式来表示数列中任意一项的数学表达式。
求解数列的通项公式是数学中的一项基本技能,也是数学学习的重要内容之一。
在本文中,我们将通过一些练习题来巩固和提高对数列通项公式的理解和应用。
练习题一:等差数列首先,我们来看一个简单的等差数列的例子。
假设有一个等差数列的前五项分别是2、5、8、11、14,我们需要求解该等差数列的通项公式。
解答:对于等差数列,其通项公式可以表示为 an = a1 + (n-1)d,其中an表示第n项,a1表示首项,d表示公差。
根据题目中给出的前五项,我们可以得到以下等式:a1 = 2a2 = 5a3 = 8a4 = 11a5 = 14我们可以观察到每一项与前一项之间的差值都是3,因此该等差数列的公差d为3。
代入通项公式,我们可以得到:an = 2 + (n-1)3练习题二:等比数列接下来,我们来看一个等比数列的例子。
假设有一个等比数列的前四项分别是1、2、4、8,我们需要求解该等比数列的通项公式。
解答:对于等比数列,其通项公式可以表示为 an = a1 * r^(n-1),其中an表示第n项,a1表示首项,r表示公比。
根据题目中给出的前四项,我们可以得到以下等式:a1 = 1a2 = 2a3 = 4a4 = 8我们可以观察到每一项与前一项之间的比值都是2,因此该等比数列的公比r 为2。
代入通项公式,我们可以得到:an = 1 * 2^(n-1)练习题三:斐波那契数列最后,我们来看一个经典的数列,斐波那契数列。
斐波那契数列是一个以0和1开始,后续每一项都等于前两项之和的数列。
我们需要求解斐波那契数列的通项公式。
解答:斐波那契数列的通项公式可以表示为 an = a(n-1) + a(n-2),其中an表示第n项,a(n-1)表示前一项,a(n-2)表示前两项。
根据斐波那契数列的定义,我们可以得到以下等式:a1 = 0a2 = 1a3 = 1a4 = 2a5 = 3我们可以观察到每一项与前两项之和都是下一项的值,因此斐波那契数列的通项公式可以表示为:an = a(n-1) + a(n-2)通过以上练习题,我们巩固了对数列通项公式的理解和应用。
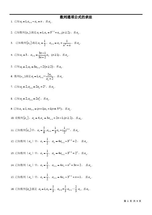
数列通项公式的求法1. 已知111,n n a a a n +=-=,求n a .2. 已知数列}{n a 满足1111,3(2)n n n a a a n --==+≥,求n a .3. 已知数列{}n a 满足211=a ,n n a a n n ++=+211,求n a .4. 已知31=a ,n n a n n a 23131+-=+ )1(≥n ,求n a .5. 已知()112,322n n a a a n -==-≥,求n a .6. 数列{a n }满足1121,2nn n a a a a +=+=,求n a .7. 已知112,22nn n a a a +==+,求n a .8. 已知2112,2n n a a a +==,求n a .9. 已知,11=a *)(1)1(1N n a n na n n ∈++=+,求n a .10. 设数列{}n a :)2(,123,411≥-+==-n n a a a n n ,求n a .11. 已知数列{}n a 中,651=a ,11)21(31+++=n n n a a ,求n a .12. 已知数列{n a }中,211=a ,23411+-=--n n n a a , 求n a .13. 已知数列{n a }中,211=a ,n n n n a a 23411+-=--,求n a .14. 已知数列{n a }中,211=a ,23421++-=+n n a a n n , 求n a .15. 已知数列{n a }中,211=a ,13411++-=-+n a a n n n , 求n a .16. 已知数列{}n a 满足 ,35,121==a a 2n a +=531n a +—23n a , 求n a .17.已知数列{}n a 满足*12211,2,44()n n n a a a a a n N ++===-∈,求n a .18.已知数列{}n a 满足11122,(2)21n n n a a a n a --+==≥+,求n a .19.已知数列{}n a 满足*11212,()46n n n a a a n N a +-==∈+,求n a . 20. 已知数列中,;数列中,. 当时,,求.21. 已知{}n a 是正数组成的数列,前n 项和为n S ,对所有的*N n ∈,n a 与2的等差中项等于n S 与2的等比 中项. 求n a .22. 已知数列{}n a 的前n 项和S n 满足.*,)1(2N n a S n n n ∈-+= 求n a .23. 数列}{n a 的前n 项和记为S n ,已知*).(2,111N n S n n a a n n ∈+==+求n a .24. 数列}{n a 的前n 项和为S n ,且*,31,111N n S a a n n ∈==+,求n a .25. 已知数列{}n a 中,n S 是其前n 项和,且1142(1,2,),1n n S a n a +=+==. 求n a .26.在数列{a n }中,a 1=1,当n ≥2时,其前n 项和S n 满足⎪⎭⎫ ⎝⎛-=212n n n S a S ,求n a .27. 已知数列{}n a 的各项为正数,S n 为前n 项和,且11()2n n n S a a =+,求n a .答案1. 222n n -+2. 213-=n n a3. na n 123-= 4. 136-n 5. 131n -+ 6. 21n + 7. ()112n n -+⋅ 8. 212n - 9. 12-n 10. 132--⨯=n a n n 11. n n n a )31(2)21(3-= 12. 32424113-⋅-=n n n a 13. 32223---=n n n n a 14. 5444495421812-⋅+-=-n n n n a 15. 18864531811--⋅+⋅=--n a n n n16. n a =3-123nn - 17. 1223--n n 18. ()()n n nn 1313-+-- 19. 6105-13-n n20.21.44-n 22. n a []12)1(232---+=n n 23. ()221-⋅+=n n n a 24. ⎪⎩⎪⎨⎧≥==-.2,)34(31,1,12n n a n n 25. ()2213-⋅-=n n n a26. ()()⎪⎩⎪⎨⎧≥---==.2,32122,1,1n n n n a n 27. 1--=n n a n。
数列通项公式的练习
1、已知数列na的首项为1,且*12()nnaannN写出数列na的通项公式. (累加法)
2、已知数列{}na满足11211nnaana,,求数列{}na的通项公式。(累加法)
3、设na是首项为1的正项数列,且011221nnnnaanaan(n=1,2, 3,…),则它
的通项公式是na=________.(累乘法)
4、nnnaaaa求已知,2,211n(累乘法)
5、已知数列{}na满足112,12nnnaaaa,求数列{}na的通项公式。(倒数法)
6、nnnnaaaaa求已知,1,1311(倒数法)
7、已知数列}{na中,,2121,211nnaaa求通项na。(构造法)
8、已知数列{}na中,111,21(2)nnaaan,求数列na的通项公式。(构造法)
9、nnnaanaa求已知,1,211
10、nnaanaa求已知,1,12211n
11、已知数列{}na满足211256,1,2nnnaaaaa,求数列{}na的通项公式。
12、练习.数列{}na中,若2,821aa,且满足03412nnnaaa,求na.
13、nnnnaaaa求已知,1,2211(用求指数幂的方法)
14、nnnnaaaa求已知,1,33111(用求指数幂的方法)