西北大学2019年博士研究生复试成绩汇总表
- 格式:pdf
- 大小:494.08 KB
- 文档页数:16
西北大学生命科学学院2019年硕士研究生复试工作安排(专业学位)一、生命科学学院硕士研究生招生复试工作领导小组:组长:杨晶、岳明成员:陈富林、刘小光、赵桂仿、刘文哲、高云芳、朱宏莉、尉亚辉、戴鹏高、付爱根、赵新锋、高晓彩、沈立新、朱忠良、田静二、各学科专业招生计划依据《西北大学2019年硕士研究生考试招生专业目录》,报考我院所有专业的考生须在复试前通过CET-4考试(即CET-4成绩不小于425分),因此,CET-4成绩未达425分同学请勿参加复试。
专业领域招生计划复试分数线备注生物工程60(含学硕调专硕)295不足部分从其他专业调剂中药学22(含学硕调专硕)311不足部分从其他专业调剂三、参加复试人员名单(按专业)生物工程排名考生编号姓名成绩备注1106979130612608游珊珊3652106979511112612田春坡3232106979141812611杨媛3234106979140412610王春宇307中药学专硕排名考生编号姓名成绩备注1106979611602253姚方圆3512106979611602250周坤3303106979620707654史文华3174106979142407652陈昱铭315原微生物学排名考生编号姓名成绩备注1106979414911902霍卫萍3382106979141111878吉睿3373106979620111914龚海伦3323106979140611872李婕3323106979614111912鹿韵华3326106979611603890费悦3306106979140911877李澄3308106979620611921陈雪祎3288106979611603887杨秦32810106979611603898杨柳32710106979140411868于新誉32712106979411611899丁柯凡31813106979140911875李越香31314106979614111911王新31015106979140911873苏国栋30716106979620111913包博文30617106979614111910刘庆30418106979620211916豆秀红30018106979370211894薛宇30020106979442011906杜树恒298原细胞生物学排名考生编号姓名成绩备注1106979611603920付嘉祎3301106979141211952宗秀梅3303106979142011979姚倩3294106979140511935刘玉茹3285106979141911977崔慧珍3255106979512212040闫玉婷3257106979141711962孟慧珍3238106979611603913车波3229106979611603916王雪32110106979621212058李成岗31810106979340311994魏冉31812106979614312055代冰31312106979621212059李娟31312106979421412035刘银川31315106979140611939陈悦31115106979611603922孙薇31115106979620212056张美玲31118106979614112046赵雪毅30719106979220711988薛斐30120106979421012034张敏30021106979611603931窦霞29922106979611603905赵小红296原生物化学与分子生物学排名考生编号姓名成绩备注1106979360111998方珂3381106979611603951任夏萌3383106979611603938安国燕3354106979141811970董晨3344106979611603948孙欢3346106979131711929刘元伟3327106979140911942丰星星3317106979611603941付小妮3317106979371412007刘洪凯33110106979371112006陈香芹33011106979370712003郑子奇32812106979371412008刘迪迪32712106979413612018姚相羽32714106979611603944王妍32615106979620412057曹毓蓉32416106979130211927李芮32317106979140611940杨思琪32218106979621412060岳丽欣32019106979511212037田雅杰31820106979141711960王莹31420106979153411986闫媛31422106979142311984赵喜玲31123106979412212014郭鑫磊31024106979370312000张梦婕30825106979614112050高雪30726106979141211951郑红30527106979142111982贺傲30428106979611603947徐梦丽30329106979141911973陈蓉30229106979614312054张睿30231106979140311930高笑29732106979611603953李娟29532106979141711965王昌昊29532106979611603955王怡295原中药学和药物化学排名考生编号姓名成绩备注1106979611604022陈紫月3501106979140407772梁丽虹3503106979413407803李璐遥3473106979411707802孙忠洋3473106979140407775杨健3476106979611603979杨文文3457106979621407821丁宝平3418106979611603997樊沛楠3399106979611604001孙宇33810106979530107814梁冀平33611106979611603993刘瑞敏33412106979611604013任媛媛32913106979140407777范黎明32813106979141007784刘喆宇32815106979611604003叶亚婷32616106979611603987桂艳玲32516106979650207824吴雷32516106979411107801武毅楠32519106979611603960程叶32320106979370107796段克武32220106979411107798韩首叶32222106979220707791郭蒙32123106979611604023赵琪32024106979611603970梁卓菲31824106979360107792张红霞31824106979611603983张萌31827106979611603985白甜田31327106979611604004李健31329106979611604027韩朝宇311四、复试工作流程及原则3月19日下午,学院领导传达学校招生会议精神,研究部署学院招生复试工作,成立生命科学学院招生复试领导小组。
2019年西北大学硕士研究生拟录取名单(学术型)院(系、所)名称:文化遗产学院专业代码:060100专业名称:考古学主管领导:序号考生编号姓名录取类别(请在相应类别下划对号)总排序总成绩初试成绩复试成绩定向单位拟录取导师备注非定向定向1106979611603381郭光义√1612.72397.00255.42钱耀鹏2106979321307682高悦√2584.35385.00237.85冉万里3106979421907709邓晨√3579.32371.00245.42王建新4106979330707685刘蕾√4575.37382.00231.57段清波5106979140107660高嘉珩√5568.18381.00225.28冉万里6106979321107679张鑫荣√6551.01367.00220.71朱之勇7106979211107670刘轩声√7549.10369.00217赵丛苍填表说明:1、总成绩等于初试成绩*0.9+复试成绩;2、请各招生单位分别按专业填写;3、.表上各项内容必须认真对照考生报考基本信息表填写;4、其中录取类别为定向的考生定向单位不能为空,录取类别为非定向的考生在开学一周内必须将个人档案转入所在院系所;5、“少民骨干计划”、“单独考试”的考生只能录取为“定向”;6、“储才计划”类考生院系在审核资格后将成绩换算成硕士复试成绩,并在备注栏标明。
2019年西北大学硕士研究生拟录取名单(学术型)院(系、所)名称:文化遗产学院专业代码:060100专业名称:考古学(文化遗产管理方向)主管领导:序号考生编号姓名录取类别(请在相应类别下划对号)总排序总成绩初试成绩复试成绩定向单位拟录取导师备注非定向定向1106979611603406李静宜√1594.35349.00280.25徐卫民2106979611603410程诚√2560.60329.00264.50刘卫红3106979611603404吴青军√3544.65336.00242.25李颖科,刘卫红填表说明:1、总成绩等于初试成绩*0.9+复试成绩;2、请各招生单位分别按专业填写;3、.表上各项内容必须认真对照考生报考基本信息表填写;4、其中录取类别为定向的考生定向单位不能为空,录取类别为非定向的考生在开学一周内必须将个人档案转入所在院系所;5、“少民骨干计划”、“单独考试”的考生只能录取为“定向”;6、“储才计划”类考生院系在审核资格后将成绩换算成硕士复试成绩,并在备注栏标明。
西北大学经济管理学院“申请-考核”制博士研究生招生工作办法为进一步深化博士研究生招生改革,优化博士研究生生源结构,充分发挥导师的招生自主权,规范研究生招生管理,更好地选拔具有科研创新能力和培养潜质的优秀硕士研究生攻读博士学位,根据国家有关文件精神和法律规定,及《西北大学博士研究生“申请-考核”制招生工作管理办法》(西大研[2019]40 号),结合我院实际情况,特制订本办法。
一、总则第一条适用时间与范围从2021年起,经济管理学院博士研究生实行完全“申请-考核”制招生。
第二条领导机构与职责成立经济管理学院博士研究生招生工作领导小组,负责制定当年“申请-考核”制招生实施方案,负责全面组织“申请-考核”制考生的选拔工作。
第三条工作原则坚持“公平公正、全面考查、择优录取、保证质量、宁缺毋滥”的原则,注重招生工作的规范性和科学性,对申请者的政治态度、思想品德、科研能力、专业素养、培养潜质等进行全面考查。
第四条诚信纪律“申请-考核”制考生所提交的材料出现弄虚作假或出现学术不端,一经查实,取消其申请资格且以后不再受理其报考博士资格;已录取但未入学者,予以取消入学资格处理;已录取且已注册学籍者,予以注销学籍处理。
二、申请资格第五条基本条件1.符合当年《西北大学博士研究生招生简章》中规定的各项报考条件。
2.须获得国民教育序列学术型硕士学位;应届学术硕士毕业生须在博士入学前取得硕士学位。
国(境)外硕士须获得教育部留学服务中心的国(境)外学历(学位)认证,且原则上要求学制不少于两年。
3.具备较强的语言能力,外语水平较高。
(1)英语水平:原则上达到以下条件之一:近五年CET-6成绩≥425分、或IELTS成绩≥5.5分、或TOEFL成绩≥75分、或GRE 成绩≥300分、或TEM-8≥60分,或近三年以第一作者在英文国际期刊上发表过专业学术论文。
(2)日语水平:近五年通过大学日语六级或日语专四或JLPT 达到N1级别。
2019年城市与环境学院研究生招生复试方案一、招生单位复试工作领导小组名单组长:张卫锋李同昇副组长:宋进喜田怡组员:王宁练刘康蒋晓辉白红英权东计陈海张世强李琦王森李建伟二、各学科专业复试分数线二级学科招生计划推免生人数参加复试人数复试分数线备注总分单科(满分100)单科(满分150)自然地理学15 0 20 ≥318 ≥50 ≥90 退伍大学生士兵1名人文地理学13 3 13 ≥290储才A类2名地图学与地理信息系统13 2 14 ≥320储才A类3名城乡规划学11 4 10 ≥290储才A类6名储才B类1名环境科学9 2 8 ≥308储才A类3名环境工程9 0 13 ≥306储才A类3名储才B类2名城市规划(专业硕士)32 0 20 ≥270环境工程(专业硕士)40 0 21 ≥270三、达到复试线的考生名单(分学科专业)1、自然地理学:序号姓名总分政治外语业务课1 业务课2 备注1 邰雪楠403 79 58 134 1322 朱亚茹370 71 63 108 1283 李超368 69 69 102 1284 景珂星367 72 55 116 1245 贾雅娜366 73 55 112 1266 张秀365 72 65 114 1147 王浩宇358 66 52 111 1298 孙何生357 68 65 100 1249 杜建峰356 58 58 121 11910 潘昭烨356 60 52 117 12711 聂桐352 67 57 109 11912 李文351 56 67 106 12213 王鑫350 63 52 113 12214 杨晓艳349 64 52 96 13715 豆荆辉345 67 51 95 13216 李颖辉339 67 54 118 10017 吕春晓336 66 52 104 11418 杨丽335 70 51 90 12419 常璐璐318 55 52 92 11920 杜驰307 55 48 97 107 退伍大学生士兵2、人文地理学序号姓名总分政治外语业务课1 业务课2 备注1 孙来玎366 71 72 97 126 储才A类2 王皎贝342 70 65 115 923 闵典335 71 54 104 1064 董嘉薇323 77 62 97 875 赵佳瑶317 72 52 95 986 唐红林311 72 46 86 1077 郑英杰310 67 60 104 798 祁明月305 64 57 88 96 储才A类9 曹政304 76 52 66 11010 史海金298 59 54 97 8811 朱琳298 59 52 91 9612 于海成297 68 52 111 6613 雷霞290 67 51 66 1063、地图学与地理信息系统序号姓名总分政治外语业务课1 业务课2 备注1 周剑波361 68 70 112 1112 郑玉蓉353 76 71 110 963 胡李发346 68 55 124 994 杨苗苗343 63 60 128 92 储才A类5 王建342 68 64 106 1046 耿雨338 68 61 117 927 李亚丽338 68 54 108 1088 侯丽陶330 61 57 107 1059 蒲旭凡329 64 51 120 94 储才A类10 仲原329 59 58 129 8311 贾鲁净327 70 55 107 9512 姚萌萌320 70 52 97 10113 张玉杰320 63 83 96 7814 盖星华295 64 57 84 90 储才A类4、城乡规划学序号姓名总分政治外语业务课1 业务课2 备注1 任宜欣352 64 66 117 105 储才A类2 杨东迪342 68 68 117 89 储才A类3 王蕾337 59 61 131 86 储才A类4 王浩326 65 63 115 83 储才A类5 呼凯玥324 72 62 96 94 储才A类6 梁家宁313 59 57 94 1037 杨晶310 58 56 95 1018 封茂林307 62 45 109 919 叶苑304 66 52 96 90 储才B类10 罗伟294 65 59 88 82 储才A类5、环境科学序号姓名总分政治外语业务课1 业务课2 备注1 牛地园355 63 60 111 1212 任笑林343 62 54 103 1243 刘鑫332 64 46 106 1164 徐菲328 59 59 90 120 储才A类5 颜学斌320 62 57 82 119 储才A类6 冯晓玲319 68 53 81 117 储才A类7 霍晓宇312 63 48 95 1068 董幸枝308 62 55 93 986、环境工程序号姓名总分政治外语业务课1 业务课2 备注1 郑嘉昊374 61 67 113 1332 张婷357 63 67 111 1163 赵倩353 68 57 97 131 储才A类4 胡芊349 68 68 102 1115 王妘涛340 67 56 99 1186 雷渊329 59 56 102 112 储才B类7 李若晨328 63 42 104 119 储才B类8 戚钱菊327 67 56 92 1129 赵思钰320 60 44 91 12510 段凤311 57 59 95 10011 毛欢309 64 63 82 100 储才A类12 卢致瑞308 59 40 127 8213 山泽萱306 59 50 84 113 储才A类7、环境工程(专业学位):序号姓名总分政治外语业务课1 业务课2 备注1 岳翠霞381 63 74 111 1332 杨阗毓379 66 57 124 1323 裴学政370 69 66 111 1244 王宇航370 64 71 115 1205 段巍岩353 64 56 106 1276 封芳348 62 66 109 1117 李杨子331 62 51 83 1358 窦乃超327 57 40 106 1249 李益325 63 48 95 11910 任静雅324 52 43 109 12011 苏建华323 72 66 93 9212 高媛322 66 60 82 11413 陈宇轩319 63 41 81 13414 王晓晨318 60 79 76 10315 王福慧316 58 44 105 10916 王江307 50 48 103 10617 周林燕299 54 67 74 10418 冯瑶298 49 67 68 11419 田兵兵287 60 57 80 9020 任锐281 63 44 85 8921 白耀玉278 53 75 71 798、城市规划(专业学位):序号姓名总分政治外语业务课1 业务课2 备注1 赵新帅328 61 54 123 902 李健波324 69 56 110 893 陈雷鸣320 68 51 103 984 吴江华316 62 62 98 945 赵志程302 69 51 106 766 高明理301 59 44 105 937 脱斌锋301 62 43 98 988 崔雪振300 65 54 92 899 李宜峰296 57 64 73 10210 储锰293 57 69 79 8811 沈文成292 68 59 91 7412 金安楠290 58 53 82 9713 张付杰290 65 49 80 9614 雷道娜289 62 44 86 9715 孙晨晨287 65 49 92 8116 周宏阳284 66 50 95 7317 武梦鑫277 66 48 65 9818 李闯271 63 42 85 8119 李研271 60 55 71 8520 刘宇航271 71 44 78 78四、复试工作流程及原则:复试时间定于3月28日—4月4日,具体程序如下:1、复试资格审查1)时间:考生相应复试科目前一天,上午8:30-12:00,下午14:00-17:00;2)地点:西北大学城市与环境学院研究生管理办公室(西北大学南校区10-522)注:可选乘车辆:311路、616路、321路到西北大学南校区东门站下车3)资格审查时考生须携带下列材料:(1)本人有效身份证件原件(限第二代居民身份证)及复印件1份。
西北大学(Northwest University),简称“西大”,坐落于陕西省西安市,是中华人民共和国教育部与陕西省人民政府共建的综合性全国重点大学,位列首批国家“世界一流学科建设高校”、国家“211工程”重点建设高校,入选中西部高校基础能力建设工程、高等学校学科创新引智计划、国家建设高水平大学公派研究生项目、国家创新人才培养示范基地、中国政府奖学金来华留学生接收院校、全国深化创新创业教育改革示范高校,中日人文交流大学联盟、新丝绸之路大学联盟、长安联盟创始成员,全国首批博士、硕士、学士学位授予单位,是中国西北地区历史最为悠久的高等学府。
西北大学肇始于1902年的陕西大学堂和京师大学堂速成科仕学馆,由清朝光绪帝御笔朱批设立。
1912年始称西北大学。
1923年改为国立西北大学。
1937年西迁来陕的国立北平大学、北平师范大学、北洋工学院和国立北平研究院等组成国立西安临时大学,1938年改为国立西北联合大学,1939年复称国立西北大学。
新中国成立后为教育部直属综合性大学。
1950年复名西北大学。
1958年改隶陕西省主管。
1978年被确定为全国重点大学。
截至2021年5月,学校有太白、桃园、长安三个校区,总占地2360余亩,设有24个院系、89个本科专业;拥有24个博士后流动站、24个博士学位授权一级学科、36个硕士学位授权一级学科;有教职工3千余人,其中中科院院士4人;全日制在校生2.5万余人,其中全日制本科生1.3万余人,研究生1万余人,留学生1千余人。
据2019年12月学校官网显示,学校拥有1个国家重点实验室、1个国家工程技术研究中心,3个国家国际科技合作基地,2个高等学校学科创新引智计划(简称“111计划”)基地,1个国家创新人才培养示范基地,3个国家地方联合工程研究中心,1个省部共建国家重点实验室培育基地,7个国家级实验教学示范中心,1个国家级虚拟仿真实验教学中心,7个国家级人才培养基地并设有国家大学生文化素质教育基地,39个省部级理工类科研基地和17个省部级人文社科研究基地。
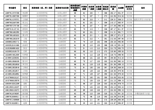
西北大学2019年博士研究生复试成绩汇总表
院(系、所)名称(盖章):地质学系主管领导:黄康俊
西北大学2019年博士研究生复试成绩汇总表
院(系、所)名称(盖章):地质学系主管领导:黄康俊
西北大学2019年博士研究生复试成绩汇总表
院(系、所)名称(盖章):地质学系主管领导:黄康俊
西北大学2019年博士研究生复试成绩汇总表
院(系、所)名称(盖章):地质学系主管领导:黄康俊
西北大学2019年博士研究生复试成绩汇总表
院(系、所)名称(盖章):地质学系主管领导:黄康俊
附件3:2019年西北大学博士研究生拟录取名单
院(系、所)名称:地质学系专业代码:070901 专业名称:矿物学、岩石学、矿床学主管领导:黄康俊
填表说明:1.总成绩(300分)=初试成绩(100分)+复试成绩(170分)+外语复试成绩(30分)
2.请各招生单位分别按专业填写;
3.表上各项内容必须认真对照考生报考基本信息表填写;
4、其中录取类别为定向的考生定向单位不能为空,录取类别为非定向的考生在开学一周内必须将个人档案转入所在院系所;
2019年 5 月 17 日
附件3:2019年西北大学博士研究生拟录取名单
院(系、所)名称:地质学系专业代码:070902 专业名称:地球化学主管领导:黄康俊
填表说明:1.总成绩(300分)=初试成绩(100分)+复试成绩(170分)+外语复试成绩(30分)
2.请各招生单位分别按专业填写;
3.表上各项内容必须认真对照考生报考基本信息表填写;
4、其中录取类别为定向的考生定向单位不能为空,录取类别为非定向的考生在开学一周内必须将个人档案转入所在院系所;
2019年 5 月 17 日
附件3:2019年西北大学博士研究生拟录取名单
院(系、所)名称:地质学系专业代码:070903 专业名称:古生物学与地层学主管领导:黄康俊
填表说明:1.总成绩(300分)=初试成绩(100分)+复试成绩(170分)+外语复试成绩(30分)
2.请各招生单位分别按专业填写;
3.表上各项内容必须认真对照考生报考基本信息表填写;
4、其中录取类别为定向的考生定向单位不能为空,录取类别为非定向的考生在开学一周内必须将个人档案转入所在院系所;
2019年 5 月 17 日
附件3:2019年西北大学博士研究生拟录取名单
院(系、所)名称:地质学系专业代码:070904 专业名称:构造地质学主管领导:黄康俊
填表说明:1.总成绩(300分)=初试成绩(100分)+复试成绩(170分)+外语复试成绩(30分)
2.请各招生单位分别按专业填写;
3.表上各项内容必须认真对照考生报考基本信息表填写;
4、其中录取类别为定向的考生定向单位不能为空,录取类别为非定向的考生在开学一周内必须将个人档案转入所在院系所;
2019年 5 月 17 日
附件3:2019年西北大学博士研究生拟录取名单
院(系、所)名称:地质学系专业代码:070905 专业名称:第四纪地质学主管领导:黄康俊
填表说明:1.总成绩(300分)=初试成绩(100分)+复试成绩(170分)+外语复试成绩(30分)
2.请各招生单位分别按专业填写;
3.表上各项内容必须认真对照考生报考基本信息表填写;
4、其中录取类别为定向的考生定向单位不能为空,录取类别为非定向的考生在开学一周内必须将个人档案转入所在院系所;
2019年 5 月 17 日
附件3:2019年西北大学博士研究生拟录取名单
院(系、所)名称:地质学系专业代码:081801 专业名称:矿产普查与勘探主管领导:黄康俊
填表说明:1.总成绩(300分)=初试成绩(100分)+复试成绩(170分)+外语复试成绩(30分)
2.请各招生单位分别按专业填写;
3.表上各项内容必须认真对照考生报考基本信息表填写;
4、其中录取类别为定向的考生定向单位不能为空,录取类别为非定向的考生在开学一周内必须将个人档案转入所在院系所;
2019年 5 月 17 日
附件3:2019年西北大学博士研究生拟录取名单
院(系、所)名称:地质学系专业代码:081801 专业名称:矿产普查与勘探主管领导:黄康俊
填表说明:1.总成绩(300分)=初试成绩(100分)+复试成绩(170分)+外语复试成绩(30分)
2.请各招生单位分别按专业填写;
3.表上各项内容必须认真对照考生报考基本信息表填写;
4、其中录取类别为定向的考生定向单位不能为空,录取类别为非定向的考生在开学一周内必须将个人档案转入所在院系所;
2019年 5 月 17 日
附件3:2019年西北大学博士研究生拟录取名单
院(系、所)名称:地质学系专业代码:081802 专业名称:地球探测与信息技术主管领导:黄康俊
填表说明:1.总成绩(300分)=初试成绩(100分)+复试成绩(170分)+外语复试成绩(30分)
2.请各招生单位分别按专业填写;
3.表上各项内容必须认真对照考生报考基本信息表填写;
4、其中录取类别为定向的考生定向单位不能为空,录取类别为非定向的考生在开学一周内必须将个人档案转入所在院系所;
2019年 5 月 17 日
附件3:2019年西北大学博士研究生拟录取名单
院(系、所)名称:地质学系专业代码:081803 专业名称:地质工程主管领导:黄康俊
填表说明:1.总成绩(300分)=初试成绩(100分)+复试成绩(170分)+外语复试成绩(30分)
2.请各招生单位分别按专业填写;
3.表上各项内容必须认真对照考生报考基本信息表填写;
4、其中录取类别为定向的考生定向单位不能为空,录取类别为非定向的考生在开学一周内必须将个人档案转入所在院系所;
2019年 5 月 17 日
附件3:2019年西北大学博士研究生拟录取名单
院(系、所)名称:地质学系专业代码:0818Z1 专业名称:油气田地质与开发主管领导:黄康俊
填表说明:1.总成绩(300分)=初试成绩(100分)+复试成绩(170分)+外语复试成绩(30分)
2.请各招生单位分别按专业填写;
3.表上各项内容必须认真对照考生报考基本信息表填写;
4、其中录取类别为定向的考生定向单位不能为空,录取类别为非定向的考生在开学一周内必须将个人档案转入所在院系所;
2019年 5 月 17 日
附件5:2019年西北大学博士研究生“定向”考生备案表院(系、所)名称:地质学系主管领导:黄康俊
填表说明:1、此表作为统计所有参加复试考生录取类别备案使用,不作为任何录取凭证;
2、录取类别为定向的考生个人档案不转入我校,且须和我校、定向单位签订三方协议,考生毕业后按规定回原定向单位就业,学校不予发放就业协议;
3、此表中录取类别、定向单位作为最终拟录取信息,一经考生签字确认后不得更改,请考生仔细核对;
4、“少民骨干计划”、“单独考试”的考生按照国家相关政策规定执行,不需要填写此表;
5、各院系所中若没有定向的考生,可以在第一栏中填写“无”后加盖公章交我办留存。
2019年5 月17 日。