2008年西北工业大学2030数理统计考博试题
- 格式:pdf
- 大小:82.69 KB
- 文档页数:2
中国科学院自动化研究所2008年招收攻读博士学位研究生入学统一考试试题科目名称:数学考生须知:1.本试卷满分为100分,全部考试时间总计180分钟。
2.所有答案必须写在答题纸上,写在试题纸上或草稿纸上一律无效。
一. 设矩阵200111113A ⎡⎤⎢⎥=⎢⎥⎢⎥−⎣⎦, 求(i )A e ; (ii )tA e , 其中t 属于实数; (iii )tA e 关于t 的导数。
二.求矩阵041111032B ⎡⎤⎢⎥=⎢⎥⎢⎥⎣⎦的QR (正交三角)分解。
三. 证明矩阵211211141112n n n C n n n n n n n ⎡⎤⎢⎥⎢⎥⎢⎥⎢⎥=⎢⎥⎢⎥⎢⎥⎢⎥⎣⎦""####" 能够相似于对角矩阵,且C 的特征值都是实数。
四、设2维随机变量(,)X Y 的分布密度为:,,(,),x x y x g x y ⎧<<<<⎪⎪=⎨⎪⎪⎩30100其它1. 求边缘分布密度:(),()X Y g x g y ;2. 求条件分布密度:(|),(|)g x y g y x 。
五、设随机变量X 的分布密度为:||()/,x f x e x −=−∞<<+∞21.求E(),Var(),E(||),Var(||)X X X X ; 2.求Cov(,||),Corr(,||)X X X X ; 3.X 与||X 是否独立?为什么?六、设,,...,N X X X 12和,,...,M Y Y Y 12分别是来自正态总体(,)N θσ21和(,)N θσ22的样本,其中,σσ12是已知的。
1. 求常数c , d ,使得ˆcX dY θ=+为θ的无偏估计,并使其方差达到最小(在所有形如aX bY +的无偏估计类中最小);2.基于估计ˆθ,求θ的置信系数为α−1的置信区间。
科目名称:数学第2页 共2页。
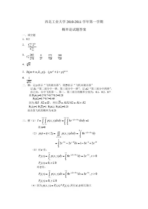
西北工业大学2010-2011学年第一学期概率论试题答案一.填空题 1.0.22. 22222r rn rnC C3.38265278C 827 272729 20872945.(,,)b m n k p +,(1)it m n pe p ++-6二.解:记D 表示“飞机被击落”,则D 表示“飞机未被击落” 记Α1“第二部分中一弹,第三部分中一弹”,记A2“第三部分中两弹”。
由已知,击中飞机第一、第二、第三部分的概率分别为:0.1,0.2,0.7 故P(A1)=0.2*0.7+0.7*0.2=0.28 P(A2)=0.7*0.7=0.49因为12A A =∅ ,所以1212D A A A A ==+ P(D )=1-P(D )=1- P(A1)- P(A2)=0.23故击落飞机的概率为0.23三、解(1)(23)(,)1x y I p x y dxdy kedxdy +∞+∞+∞+∞-+-∞-∞===⎰⎰⎰⎰故k=6(2)2(23)2(2)(,)6xx y x y p p x y dxdy edy εη--++<+<==⎰⎰⎰22646022132x x e e dx e e ----=-=-+⎰(3)对ε有:(23)20()(,)62,0x y x P x p x y dy e dy e x ε+∞+∞-+--∞===>⎰⎰()0,0P x x ε=≤ 对η有:(23)30()(,)63,0x y y P y p x y dx edx e y η+∞+∞-+--∞===>⎰⎰()0,0P y y η=≤(4)因为(,)()*()p x y P x P y εη=,所以,εη相互独立四、解:(1)12min{,,...}n ηζζζ=,且12,,...n ζζζ相互独立 故12{}{}{}...{}n P x P x P x P x ηζζζ≥=≥≥≥ 设η的分布函数为G(x),则1()[1()]n G x F x -=- 即()1[1()]n G x F x =--,所以'()n x G x n e λλ-= η服从参数为n λ的指数分布(2),εη的联合密度函数为2221(,)2xy p x y eπ+-=令u=x-y ,v=x+y ,则J=-0.5, 2241(,)(,)4u v q u v p x y J e π+-==五、证明:设k a ε-的特征函数为g(t),则'(0)()0k g iE a ε=-= 222''(0)()k g i E a εσ=-=-,易见()/k a ε-的特征函数为(/)g t1()/nn kk a ηε==-∑,因为()/k a ε-独立同分布,故η的特征函数为2222()[(/)][1()]()2t nn t tf tg t o e n n n-==-+→→∞故n η的极限是标准正态分布,证毕。
2008年西北工业大学3097材料物理与化学专业综合二考博试题(回忆版)
说明∶所有试题一律写在答题纸上
一、对于二维点阵,有①种布拉菲点阵、②种二维品系、③种二维点群、④种二维空间群。
(本题16分)
二、薄膜品体中有哪儿类缺陷?并举例说明。
(本题20分)
三、简述至少三种薄膜的表征方法.(本题20分)
四、比较现有几类透明导电薄膜的优缺点。
(本题16分)
五、计算题
1.在薄膜沉积过程中,取垂直基底表面且指向基底内部为坐标轴X的正方向,且坐标原点位于基底表面处。
若基底表面某种化学元素的浓度C,保持不变,并向无该成分的、无限厚的基底中扩散,即C=0(当t=0,0<X<∞)。
求扩散t时间后,基底内部任意位置x处扩散元素的浓度C(x,t);
恒定,且初始时刻基底内部各处的扩散浓度相等且不为零,即2若表面浓度C
s
C=C
(当t=00<x<∞),则此种情况下的C(x,t)又将如何?(本题28分)s。
2002年硕士研究生入学考试试题试题名称:自动控制原理 试题编号:541说明:所有试题一律写在答题纸上 共 3 页 第 3 页221-=K , 1)(=s H2002年硕士研究生入学考试试题试题名称:自动控制原理试题编号:541说明:所有试题一律写在答题纸上共 3 页第 3 页2002年硕士研究生入学考试试题试题名称:自动控制原理试题编号:541说明:所有试题一律写在答题纸上共 3 页第 3 页试题名称:自动控制原理 试题编号: 427试题名称:自动控制原理 试题编号: 427试题名称:自动控制原理 试题编号: 427西北工业大学2004年硕士研究生入学考试试题试题名称:自动控制原理(A 卷) 试题编号: 427 说 明:所有答题一律写在答题纸上 第 1 页 共 3 页1.(25分)已知系统结构图如图1所示(1) 确定使系统稳定的参数t K K ~0的取值范围,并在t K K ~0平面上表示出来;(2) 要求在2)(2t t r =作用下系统的稳态误差0=ss e ,试确定)(s G c 的表达式。
2.(25分)系统结构图如图2所示(1) 绘制当∞→变化时的系统根轨迹(求出渐近线,分离点,与虚轴交点),确定使系统稳定的开环增益=00K K 的取值范围;(2) 若已知闭环系统的一个极点为11-=λ,试确定系统的闭环传递函数。
试题名称:自动控制原理(A 卷) 试题编号: 427 说 明:所有答题一律写在答题纸上 第 2 页 共 3 页3.(25分)某单位反馈的最小相角系统,其开环对数幅频特性如图3所示。
(1) 写出系统开环传递函数)(s G 表达式; (2) 求系统的截止频率c ω和相角裕度γ。
[ 注:振荡环节的谐振频率221ξωω-=n r ,谐振峰值2121ξξ-=r M ]4.(25分)系统结构图如图4所示,被控对象的传递函数为)101.0)(11.0()(0++=s s s Ks G(1) 当1)(=s G c 时,若要求系统的静态误差系数100=v ,试判断系统此时是否稳定;K (2) 令100=K ,为使系统获得大于︒30的相角裕度,采用校正装置 1005.0105.0)(++=s s s G c试验证校正后系统是否满足要求。
基础理论课考试大纲(2020)《高等电磁理论》考试大纲考试内容:Maxwell方程组,平面电磁波,复杂媒质中的电磁波,各项异性媒质,导波理论,金属波导理论,介质波导理论,谐振腔,谐振腔的微扰,电磁波的辐射与反射,口面天线理论。
参考书目:1.Fields & Waves in Communication Electronics S.Ramo & J.Whinnery John Wiley & Sons;2.导波场论 R.E.柯林著上海科学技术出版社。
3.正弦场电磁场哈林顿著上海科学技术出版社(2021)《信号检测与估计》考试大纲考试内容:1.随机信号分析平稳随机信号与非平稳随机信号,随机信号的数字特征,平稳随机过程,复随机过程,随机信号通过线性系统。
2.信号检测信号检测的基本概念,确知信号的检测(包括匹配滤波原理、高斯白噪声中已知信号检测、简单二元检测)3.信号估计信号参数(包括贝叶斯估计、最大似然估计、线性均方估计和最小二乘估计),信号波形估计(主要指卡尔曼滤波)。
参考书目:1.景占荣,羊彦,信号检测与估计,化学工业出版社 20042.赵树杰,信号检测与估计理论,西安电子科技大学出版社 2001(2022)《现代网络分析》考试大纲考试内容:1.网络元件和网络特性:二端元件的参数与性质、二端口元件、性质及六组参数、受控电源、网络特性。
2.网络图论:图的概念与定义、节点关联矩阵、回路关联矩阵、割集关联矩阵、独立变量组、非基本关联矩阵、图形的树数、求全部树、由矩阵求图。
3.网络方程:支路电流方程和支路电压方程、回路电流方程和网孔电流方程、割集电压方程和节点电位方程、混合方程、含受控源网络和理想运放器网络的节点方程。
4.网络的拓扑分析:割集方程和回路方程的拓扑解、驱动点函数的拓扑公式、传输函数的拓扑公式、含受控源网络的传输导纳、节点方程的拓扑解。
5.信号流图:信号流图基本概念、信号流图的构成方法、梅森公式、状态变换图解、线图到流图、Shannon-Happ公式、Coates公式。
西北工业大学考试试题(卷)2007 -2008学年第 1 学期开课学院人文与经法学院课程马克思主义基本原理学时48考试日期2008年6月15日考试时间2小时考试形式(闭)(A)卷题号一二三四五六七总分得分考生班级学号姓名一、单项选择题(在下列各小题的4个备选答案中,只有一项是符合题意的,请把正确答案的序号填写在答题纸上。
每小题1分,共20分)1、经济基础是指()A、社会中各种生产关系的总和B、生产力和生产关系各个方面的总和C、占统治地位的生产关系各个方面的总和D、社会中各种生产资料所有制形式的总和2. 反映生产力发展水平的主要标志是()A、劳动者的经验技能B、生产工具的水平C、劳动对象的质量D、运输设备的状况3、在社会发展中起决定作用的是()A、生产方式B、地理环境C、人口因素D、生产关系4、任何科学理论都不能穷尽真理,而只能在实践中不断地开辟认识真理的道路。
这说明()A、真理具夸大了意识的能有客观性B、真理具有绝对性C、真理具有相对性D、真理具有全面性5、认识的本质是主体对()A、人的心灵活动的内省B、客观事物的直观反映C、客观事物的能动反映D、客体的选择和重构6. 垄断资本主义阶段的一个重要经济特征是( )A. 商品输出B. 技术输出C. 资本输出D. 劳务输出7、矛盾斗争性的无条件是指()注:1.命题纸上一般不留答题位置,试题请用小四、宋体打印且不出框。
- 1 -A、矛盾斗争性的存在不需要任何具体条件 B.矛盾斗争性的存在不受特定条件的限制C、矛盾斗争性既受特定的条件制约又能打破这些条件限制D、矛盾斗争性可以脱离矛盾同一性而对事物发展起推动作用8、主要矛盾和非主要矛盾,矛盾的主要方面和非主要方面辩证关系原理要求我们()A、坚持均衡论和重点论的统一B、坚持均衡论和一点论的统一C、坚持两点论夸大了意识的能和重点论的统一D、坚持两点论和一点论的统一9、“建设有中国特色社会主义”这一命题表明()A、个别完全包含在一般之中B、个别先于一般而存在C、没有一般就没有个别D、个别与一般的辩证统一10、意识对物质有反作用,这种反作用是()A、无限的B、受客观条件制约的,归根结底还是由物质决定的C、被动的D、可以为所欲为的11、马克思主义哲学区别于一切旧哲学的最主要最显著的特征是()A、阶级性B、革命性C、实践性D、科学性12、在现实中夸大了意识的能缺乏充分的根据,因而在将来才能实现的可能性称之为()A、不可能性夸大了意识的能B、现实的可能性C、抽象的可能性D、具体的可能性13. 资本主义经济危机爆发的根本原因是( )A. 具体劳动和抽象劳动的矛盾B. 使用价值和价值的矛盾C. 资本主义的基本矛盾D. 无产阶级和资产阶级的矛盾14 、“金无足赤, 人无完人”, 这句俗语表达的哲学思想是()A、混淆是非界限的相对主义观点B、混淆肯定和否定的区别的形而上学观点C、割裂肯定夸大了意识的能和否定的辩证关系的形而上学观点D、承认肯定和否定的对立统一关系的辩证法关系15、古语说:“奢靡之始,危亡之渐。
西北工业大学2009-2010学年第一学期概率论试题答案一、 填空题1. 02.13 -163. 2281017()()88C 54 35324. 0.35.22(2)4()x u P x σ--= 222()uit t f t e σ-=6.二、解:(1)、122261252C CP C =(2)、2262252C P C = (3)、11483252C CP C = (4)、24842521C PC =- 三、解(1)(2)00(,)1x y I p x y dxdy Ae dxdy +∞+∞+∞+∞-+-∞-∞===⎰⎰⎰⎰故A=2(2)21(2)1400(2,1)2(1)(1)x y p dx e dy e e εη-+--<<==--⎰⎰(3)ε的边际分布:(2)200()(,)22x y x P x p x y dy edy e ε+∞+∞-+-===⎰⎰(4) 22(2)2400{2}212x x y P dx e dy e e εη--+--+<==-+⎰⎰ (5) ()y P y e η-=,故110(1)1y P y e dy e η--<==-⎰故4{2,1}{2/1}1{1}P P e P εηεηη-<<<<==-< (6)由上面可得2()2(0),()(0)x y P x e x P y e y εη--=>=> 因为(,)()*()f x y P x P y εη=,所以,εη相互独立四、解:221()2211(,)22u x y P x y e e εηππ-+-== 又22222(1)1U U x y xy J V x V V y y x y ∂∂⎛⎫⎛⎫ ⎪∂∂ ⎪ ⎪===-+ ⎪∂∂ ⎪ ⎪-⎝⎭⎪∂∂⎝⎭ 故1222111(,)(0)24(1)u U P U V e e V J V ππ--==≥+ 五、证明:1n ξξ…独立同分布,且有有限的期望i =a E ξ 要设11lim {}1k n k P a n ξε∞→∞=-<=∑ 设i ξ的特征函数为()f t ,则()1()f t ait o t =++则由1n ξξ…之间的独立性可得[()][(1()]n n t t t f ai o n n n =++对于任何固定的t ,[()]()n ait t f e n n→→∞ 而aite 是连续的,它是()Z x a -的特征函数 根据逆极限定理,11ni k n ξ=∑的分布函数收敛于a ,由a 为常数,故它依概率收敛于a .证毕六、证明:(1).已知二项分布的特征函数()()it n n f t pe q =+,则对于两个独立的随机变量1ξ,2ξ,分别服从二项分布1(,)B n p ,2(,)B n p ,则12ξξ+的特征函数为12n n it it e e (p +q)*(p +q)12n n it e +=(p +q),故由逆极限定理知12ξξ+服从二项分布12(,)B n n p +.证毕(2).泊松分布的特征函数为(1)()it e n f t e λ-=,则对于两个独立的随机变量1ξ,2ξ分别服从泊松分布12(),()P P λλ,则由它们之间的独立性可得12ξξ+的特征函数为1212(1)(1)()(1)it it it e e e e e e λλλλ--+-=,故由逆极限定理可知12ξξ+服从泊松分布12()P λλ+.证毕七、证:i ξ满足两点分布,它的特征函数为1122it e +22itt e =cos ()f t =,则n η的特征函数为n 111(+)-22222n 21n n+11t 1()cos =sin t2222sin 2n i i n t t f t e e η++∑=…(1)…cos 则当n →∞时,()n f t ηt 2t 2sin2ti e →t -1it i e =,它就是[0,1]均匀分布的特征函数.则由逆极限定理可得n η依分布收敛于[0,1]上的均匀分布。
西北工业大学航空学院德语(一外)2007理论力学1997,2000,2002——2004,2007腐蚀防护2007自动控制原理1995——1996,2000——2007(2001——2006有答案)信号与系统2002——2007(注:2006年试卷共4页,缺第1页)材料科学基础2003——2010(2010为回忆版)(2005——2009有答案)飞机总体设计原理2003——2004,2007材料力学2003——2004,2007数字电子技术2003,2007数字电路2004空气动力学2003——2004,2007空中交通管理基础2003——2004,2007结构有限元分析基础2007流体力学2003——2004,2007机械振动基础2007自动化检测技术2007航天学院日语(一外)2007德语(一外)2007自动控制原理1995——1996,2000——2007(2001——2006有答案)航天器与导弹控制原理2007飞行器飞行力学2007气体动力学2007飞行器结构力学2007火箭发动机原理2007数字电子技术2003,2007数字电路2004材料力学2003——2004,2007航海学院水声学原理2003——2004,2007噪声与振动控制2007理论力学1997,2000,2002——2004,2007流体力学2003——2004,2007自动控制原理1995——1996,2000——2007(2001——2006有答案)模拟电子技术2003——2004,2007数字信号处理2002——2004,2007通信原理2001——2004,2007(2002有答案)微弱信号检测技术2007信号检测与估计2003——2004,2007动力装置原理2007微机原理及应用2000——2004,2007(2000——2003有答案)[说明:2003年试卷名称为“微型计算机原理”]信号与系统2002——2007(注:2006年试卷共4页,缺第1页)塑性成形原理2003——2004材料学院材料科学基础2003——2010(2010为回忆版)(2005——2009有答案)陶瓷工艺原理2007材料力学2003——2004,2007塑性成形原理2003——2004机电学院设计理论2007工业设计2007电工技术与电子技术2007工业设计基础2003——2004电子技术基础1996——1997,2004,2007设施规划与设计2007汽车理论基础2007数控机床2007机械设计2003——2004,2007机械原理1996,2001,2003——2004微机原理及应用2000——2004,2007(2000——2003有答案)[说明:2003年试卷名称为“微型计算机原理”]电路1998——1999电路基础2001——2004,2007数字电子技术2003,2007数字电路2004电力电子技术2003——2004,2007机械加工工艺学2003——2004,2007计算机辅助管理2002——2004,2007计算机辅助制造2003——2004,2007C语言2003C语言程序设计2004塑性成形原理2003——2004力学与土木建筑学院建筑历史2007建筑设计原理2007道面工程2007理论力学1997,2000,2002——2004,2007材料力学2003——2004,2007结构力学(土建)2003——2004,2007钢筋混凝土结构2007道面工程2007动力与能源学院德语(一外)2007自动控制原理1995——1996,2000——2007(2001——2006有答案)传热学2003——2004,2007工程流体力学2003——2004,2007工程热力学2002——2004,2007叶轮机械原理2007信号与系统2002——2007(注:2006年试卷共4页,缺第1页)电子技术基础1996——1997,2004,2007电工技术与电子技术2007数字电子技术2003,2007数字电路2004模拟电子技术2003——2004,2007电子信息学院电路1998——1999电路基础2001——2004,2007模拟电子技术2003——2004,2007信号与系统2002——2007(注:2006年试卷共4页,缺第1页)通信原理2001——2004,2007(2002有答案)数字电子技术2003,2007数字电路2004自动控制原理1995——1996,2000——2007(2001——2006有答案)数字信号处理2002——2004,2007电磁场与电磁波2002——2004,2007武器运筹学2007航空火力控制原理2007随机信号分析2003——2004教育学专业基础综合(全国统考试卷)2007——2008自动化学院德语(一外)2007自动控制原理1995——1996,2000——2007(2001——2006有答案)电路1998——1999电路基础2001——2004,2007计算机网络2007概率论2004,2007概率论与数理统计2003系统工程概论2007交通工程导论2007惯性导航原理2007传感器原理2007电机学2007电力电子技术2003——2004,2007电子技术基础1996——1997,2004,2007机电控制元件与系统2007微机原理及应用2000——2004,2007(2000——2003有答案)[说明:2003年试卷名称为“微型计算机原理”]C语言2003C语言程序设计2004医学图像处理2007计算机学院计算机专业基础2004,2007计算机组成与系统结构2001——2003计算方法2003——2004计算机综合技术2004编译原理2000——2002操作系统1999——2002数据结构1998——1999,2002软件综合技术2004离散数学2000——2002理学院高等代数2007数学分析2002,2007数学分析与高等代数2003——2004量子力学2002——2004,2007电动力学2007光学2003——2004,2007有机化学2004,2007数学(理学)2007普通物理2007数字电子技术2003,2007数字电路2004物理化学(凝聚态物理、材料物理与化学、材料学、材料加工工程、应用化学专业)2007物理化学(物理化学、药剂学专业)2007高分子化学2007高分子物理2007环境化学2007管理学院运筹学2003——2007(2005有答案)(注:2005年试卷共6页,缺第6页;2005年答案共6页,缺第6页)管理经济学2003——2004,2007管理学2002——2004,2007计算机辅助管理2002——2004,2007计算机辅助制造2003——2004,2007人文与经法学院俄语(一外)2007日语(一外)2007法语(一外) 2007英语水平测试2002——2004,2007英语写作知识与技能2002英语语言学测试2003英语语言学基础2002英语综合知识测试2004,2007英语(一外)2007德语水平考试(含语法、词汇、阅读、翻译及写作)2007综合知识考试(含德国国情, 语言学与德语文学基础知识)2007 法学综合2007马克思主义发展史2007政治学原理2007,2010(2010为回忆版)中国近现代史2007中国特色社会主义理论与实践2007经济法2007教育学专业基础综合(全国统考试卷)2007——2008现代西方经济学2007艺术史2007艺术专业综合理论2007行政管理学2007,2010(2010为回忆版)软件学院计算机组成与系统结构2001——2003计算方法2003——2004计算机专业基础2004,2007计算机综合技术(含操作系统、计算机组成原理)2004,2007 编译原理2000——2002操作系统1999——2002数据结构1998——1999,2002软件综合技术(含数据结构、C++程序设计)2004,2007离散数学2000——2002生命科学院生物综合2007分子生物学2007生物医学工程综合2007有机化学2004,2007物理化学(凝聚态物理、材料物理与化学、材料学、材料加工工程、应用化学专业)2007物理化学(物理化学、药剂学专业)2007。
模拟题一(03年)一、(每小题3分,共45分)填空: 1.⎰∞∞-=-' ____________)1(dt t t δ。
2.已知:)()(3t 2t f -=δ,则⎰∞-=- 0_____________)25(dt t f 。
3.对信号)()(t 100S t f 2a =进行理想抽.样时的最大允许抽样间隔_________=N T 。
4.若)()()(00U U j F ωωωωω--+=,则__________)(=t f 。
5.⎰∞∞-= ___________cos tdt ω。
6.理想低通滤波器的频率特性____________)(=ωj H 。
7.已知系统的状态方程)(1103142121t f x x xx⎥⎦⎤⎢⎣⎡+⎥⎦⎤⎢⎣⎡⎥⎦⎤⎢⎣⎡--=⎥⎦⎤⎢⎣⎡ ,则系统的自然频率为____。
8.已知某系统的状态转移矩阵⎥⎦⎤⎢⎣⎡-=t ete t e te t ttt t 3cos 3sin 3sin 3cos )(4444φ,则系统矩阵____A =。
9.信号tt 2t f sin )(=的能量J W ____________=。
10.某离散系统函数41121)(22-+++=kz z z z z H ,使其稳定的k 的范围是____________。
11.某离散系统的差分方程为)(6)2(6)1(7)(k f k y k y k y =-+--,则其单位序列响应_______________)(=k h 。
12.)()41()()2()(k U k U k k f k++-=δ的z 变换_______________)(=z F 。
13.已知:)2()2(2sin )(--=t t t f ππ,则其频谱函数_______________)(=ωj F 。
14.图1示电路的自然频率为_______________。
12F32F图115.某连续系统的特征方程为0209234=++++k ks s s s ,确定使系统稳定的k 的取值范围____________。
2008西北工大自主招生高考测试数学试题(考试时间:120分钟,满分150分)第Ⅰ卷(选择题 共60分)一、选择题(本大题共12小题,每小题5分,共60分,在每小题给出的四个选项中,只有一项是符合题目要求的):1.(理)若复数z 满足(34)25i i Z -=,则z 对应的点位于 ( )A. 第一象限B. 第二象限C. 第三象限D. 第四象限(文)若:2,:(2)10p x q x x ≥-+,则p 是q 的( )A 、充分而不必要条件B 、必要而不充分条件C 、充要条件D 、既不充分也不必要条件 2.设集合{}2M |0x x x =->,}{N=|||2x x <,则A. R (C M)N=φB. R R (C M)N=C MC. R (C M)N=MD. R (C M)N=R 3.将4名实习老师分配到高一年级的3个班级实习,每班至少1名,则不同的分配方案有( )A .6种B .12种C .24种D .36种4.定义在R 上的函数f(x)满足f(x+2)=f(x),当x ∈[1,3],f(x)=2-|x -2|, 则下列结论中正确的是( )A .(sin)(cos )66f f ππ< B .f(sin1)>f(cos1) C .22(cos )(sin )33f f ππ< D .f(cos2)>f(sin2) 5.已知函数f(x)=2x -1x -1,若函数y=g(x)的图象与函数-1y f (x)+1=的图象关于直线y=x对称,则g(3)的值为( )A. 2 B. 3 C. 4 D. 76.M为△ABC 内一点,且1145AM AB AC =+,则△ABM 与△ABC 的面积之比为( )A. 15B. 23 C. 25 D. 147.平面内有一长度为6的线段AB ,动点P 满足|PA|+|PB|=10,则|PA|的取值范围为( ) A.[1,3] B.[2,8] C.[6,8] D.[3,5] 8.在等差数列{a n }中,前n 项和n n S m=,前m 项和()m m S m n n=≠,则n m S +的值( )A .大于4B .等于4C .小于4D .大于2小于4 9.在正三棱柱111ABC--A B C 中,若12BB =AB 2,则1C B 与1AB 所成角的大小为( ) A.15 B.75 C.90 D.60 10.(理)定义在R 上的连续函数f(x),若x ≠0时,f(x)=1+x -131+x -1,则f(0)=( )A.2 B.23C.1 D.32(文)已知函数()3(24,x b f x x b -=≤≤是常数)过点(2,1),则1212()[()]()F x fx f x --=-的值域为( ) A.[2,5] B.[1,)+∞ C.[2,10] D.[2,3]11. 如果直线y=kx+1与圆22x +y +kx+my-4=0 交于M 、N 两点,且M 、N 关于直线x-y=0对称,动点P(a,b)在不等式组kx-y+20kx-my 0y 0≥⎧⎪≤⎨⎪≥⎩表示的平面区域内部及边界上运动,则点A(1,2)与点P连线的斜率取值范围是( ) A .[2,)+∞ B.(,2]-∞- C.[2,2]- D.(,2][2,)-∞-+∞12.(理)长为5,宽为4,高为3的长方体密闭容器内有一半径为1的小球,小球可在容器里任意运动,则容器内小球不能到达的空间的体积为( ) A.22323π-B. 6πC.223π D.60π- (文)半径为r 的一个圆在一个长为7,宽为5的长方形(25r <)内任意滚动,则该圆滚不到的平面区域的面积为( )A.2(4)r π-B. 2(5)r π-C. 2(7)r π-D. 235r π-第Ⅱ卷(非选择题 共90分)二、填空题(本大题共4小题,每小题4分,共16分):13.已知()6211⎪⎭⎫ ⎝⎛++a ax x 的展开式中含4x 项的系数为30,则正实数a 的值为 .14.等腰直角三角形的直角顶点A (1,0),重心(2,0)G ,则三角形另两个顶点B 、C 的坐标为 .15.若20a ab >>>, log bbm a=、log a a n b =、log b p a =、log a q b =则把m 、n 、p 、q 从小到大的排列顺序是 .16.已知函数f (x )满足:()()()f p q =f p f q +, (1)3,f =则:)7()8()4()5()6()3()3()4()2()1()2()1(2222f f f f f f f f f f f f +++++++= . 三、解答题(本大题共6小题,共74分。