中国县域统计年鉴数据处理:北京、上海、天津各区县2013-2017多年宏观经济指标数据分析对比
- 格式:xlsx
- 大小:86.66 KB
- 文档页数:10
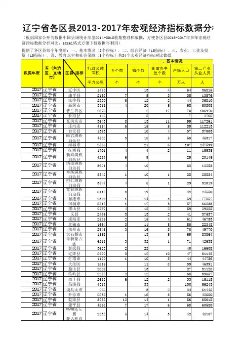
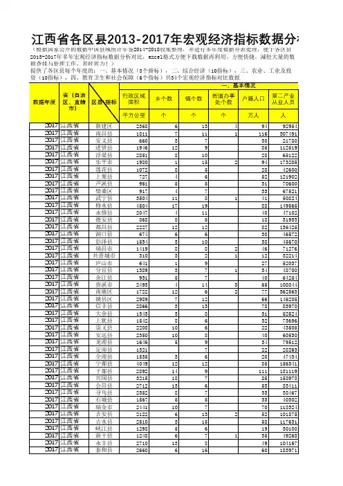
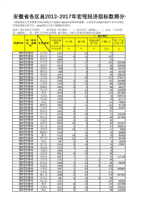
江西省各区县2013-2017年宏观经济指标数据分析对(根据国家公开的数据中国县域统计年鉴2014-2018收集整理,并进行多年度数据并表处理,便于各区县
2013-2017年多年宏观经济指标数据分析对比,excel格式方便下载数据再利用。
方便快捷,减轻大量的数
据查找与处理工作,省时省力!)
提供了各区县每个年度的:一、基本情况(8个指标),二、综合经济(10指标),三、农业、工业及投
资(10指标),四、教育卫生和社会保障(6个指标)共34个宏观经济指标对比数据
分析对比表
各种社会福利收养性单位床
床
3041
4165
2655
1336
3172
1235
1137
1273
2605
1237
4593
2817
781
1270
1349
2314
2200
70
430
860
1520
1470
1968
851
1723
738
866
880
906
856
1091
630
3615
2049
2861
2126
1074
1426
2541
1109
1347
1064
1001。
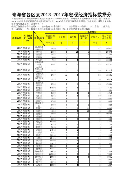
青海省各区县2013-2017年宏观经济指标数据分析对(根据国家公开的数据中国县域统计年鉴2014-2018收集整理,并进行多年度数据并表处理,便于各区县
2013-2017年多年宏观经济指标数据分析对比,excel格式方便下载数据再利用。
方便快捷,减轻大量的数
据查找与处理工作,省时省力!)
提供了各区县每个年度的:一、基本情况(8个指标),二、综合经济(10指标),三、农业、工业及投
资(10指标),四、教育卫生和社会保障(6个指标)共34个宏观经济指标对比数据
分析对比表
各种社会福利收养性单位床
床
638
452
260
240
506
417
454
320
167
160
111
120
110
100
466
140
100
109
336
185
248
120
315
290
360
280
254
170
1171
345
791
569
105
240
120
114
34
150。
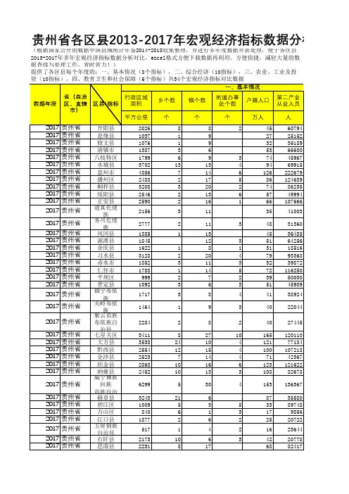
贵州省各区县2013-2017年宏观经济指标数据分析对(根据国家公开的数据中国县域统计年鉴2014-2018收集整理,并进行多年度数据并表处理,便于各区县
2013-2017年多年宏观经济指标数据分析对比,excel格式方便下载数据再利用。
方便快捷,减轻大量的数
据查找与处理工作,省时省力!)
提供了各区县每个年度的:一、基本情况(8个指标),二、综合经济(10指标),三、农业、工业及投
资(10指标),四、教育卫生和社会保障(6个指标)共34个宏观经济指标对比数据
分析对比表
各种社会福利收养性单位床
床
2164
1083
1298
1713
80
1260
3154
2510
2672
1750
3232
658
1476
970
1546
313
1716
3432
2335
538
569
903
732
377
1687
2206
1310
1090
1530
1036
1558
759
517
433
810
314
1400
1125。
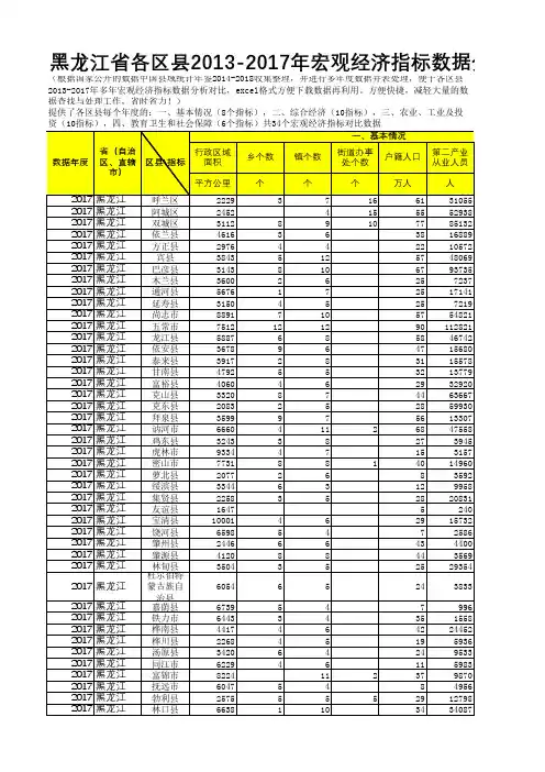
黑龙江省各区县2013-2017年宏观经济指标数据分析(根据国家公开的数据中国县域统计年鉴2014-2018收集整理,并进行多年度数据并表处理,便于各区县
2013-2017年多年宏观经济指标数据分析对比,excel格式方便下载数据再利用。
方便快捷,减轻大量的数
据查找与处理工作,省时省力!)
提供了各区县每个年度的:一、基本情况(8个指标),二、综合经济(10指标),三、农业、工业及投
资(10指标),四、教育卫生和社会保障(6个指标)共34个宏观经济指标对比数据
据分析对比表
各种社会福利收养性单位床
床
2108
1210
2181
556
1238
3970
1361
1103
1107
1250
514
4778
900
2044
1847
1140
1172
1871
640
1153
3732
1376
654
2325
125
260
961
998
1039
120
1552
2020
1432
361
578
2992
990
380
792
516
1266
30
680。
湖南省各区县2013-2017年宏观经济指标数据分析对(根据国家公开的数据中国县域统计年鉴2014-2018收集整理,并进行多年度数据并表处理,便于各区县
2013-2017年多年宏观经济指标数据分析对比,excel格式方便下载数据再利用。
方便快捷,减轻大量的数
据查找与处理工作,省时省力!)
提供了各区县每个年度的:一、基本情况(8个指标),二、综合经济(10指标),三、农业、工业及投
资(10指标),四、教育卫生和社会保障(6个指标)共34个宏观经济指标对比数据
分析对比表
各种社会福利收养性单位床
床
2827
4055
7078
5323
925
1839
135
1260
4450
2150
5810
349
4775
2414
2244
1398
2280
1344
1926
4712
875
1412
1282
794
659
998
507
1024
2242
1250
2248
2310
1757
1385
2950
245
3933
3000
4567
2055
2367
2007
429。
山东省各区县2013-2017年宏观经济指标数据分析对(根据国家公开的数据中国县域统计年鉴2014-2018收集整理,并进行多年度数据并表处理,便于各区县
2013-2017年多年宏观经济指标数据分析对比,excel格式方便下载数据再利用。
方便快捷,减轻大量的数
据查找与处理工作,省时省力!)
提供了各区县每个年度的:一、基本情况(8个指标),二、综合经济(10指标),三、农业、工业及投
资(10指标),四、教育卫生和社会保障(6个指标)共34个宏观经济指标对比数据
分析对比表
各种社会福利收养性单位床
床
967
2006
1226
1339
997
3408
2499
2505
2901
2542
856
369
3795
1536
1489
1618
80
2452
2390
4866
833
3444
986
4925
1365
1921
6930
7863
6955
1366
5899
2132
3569
1826
1347
1250
2566
3356
2041
2467
1842
6710
2899
2450。
甘肃省各区县2013-2017年宏观经济指标数据分析对(根据国家公开的数据中国县域统计年鉴2014-2018收集整理,并进行多年度数据并表处理,便于各区县
2013-2017年多年宏观经济指标数据分析对比,excel格式方便下载数据再利用。
方便快捷,减轻大量的数
据查找与处理工作,省时省力!)
提供了各区县每个年度的:一、基本情况(8个指标),二、综合经济(10指标),三、农业、工业及投
资(10指标),四、教育卫生和社会保障(6个指标)共34个宏观经济指标对比数据
分析对比表
各种社会福利收养性单位床
床
170
253
220
290
244
427
330
262
60
500
200
269
985
2152
660
400
559
120
640
326
356
219
126
393
426
189
77
435
217
1336
180
310
50
50
410
259
198
192
186
190
282。
重庆各区县2013-2017年宏观经济指标数据分析对比(根据国家公开的数据中国县域统计年鉴2014-2018收集整理,并进行多年度数据并表处理,便于各区县
2013-2017年多年宏观经济指标数据分析对比,excel格式方便下载数据再利用。
方便快捷,减轻大量的数
据查找与处理工作,省时省力!)
提供了各区县每个年度的:一、基本情况(8个指标),二、综合经济(10指标),三、农业、工业及投
资(10指标),四、教育卫生和社会保障(6个指标)共34个宏观经济指标对比数据
析对比表
各种社会福利收养性单位床
床
6218
2607
2336
5497
4729
4150
1250
4731
3326
3268
2193
5451
2750
1646
860
1988
1549
5292
7206
3893
3980
915
1060
3238
902
1802
558
3488
2336
7008
4573
4580
1217
2338
3326
3238
3326
4785
2759
890
3279
5354。