厦门大学景润杯数学竞赛复习材料
- 格式:ppt
- 大小:2.57 MB
- 文档页数:47
第十届厦门大学景润杯数学竞赛获奖名单公示根据厦门大学“关于组织申报校级本科生学业竞赛项目的通知”〔厦大教(2013)16号〕,由数学科学学院组织协办的第10届厦门大学景润杯数学竞赛活动历经3个多月于6月22日圆满结束。
本届厦门大学“景润杯”数学竞赛活动共有1846名学生报名参赛,其中厦门大学1316名,集美大学和厦门理工学院530名。
我校实际参赛的总人数为1207名,其中数学专业组76人,理工类专业组861人,经管类专业组270人。
根据第10届“景润杯”数学竞赛组委会的规定,按照数学专业组、理工类组与经管类组三个组别分别进行竞赛评奖,117名学生分获竞赛一、二、三等奖,其中一等奖9名、二等奖27名、三等奖81名,名单如下:
第十届厦门大学景润杯数学竞赛获奖学生名单
一、数学专业(一等奖2人,二等奖6人,三等奖18人,合计26人)
二、理工专业组(一等奖4人,二等奖12人,三等奖36人,合计52人)
三、经管专业组(一等奖3人,二等奖9人,三等奖27人,合计39人)
厦门大学数学科学学院
2013.6.25。
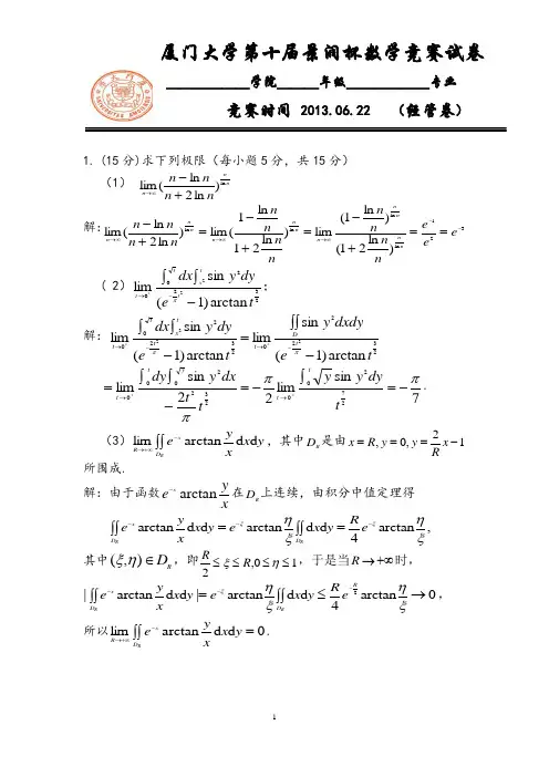
1. (15分)求下列极限(每小题5分,共15分)(1) nnn nn n n ln )ln 2ln (lim +-∞→ 解:321ln ln ln ln )ln 21()ln 1(lim )ln 21ln 1(lim )ln 2ln (lim --∞→∞→∞→==+-=+-=+-e e e nn n n n n n n n n n n n n nn n n nn n n n ( 2)23202arctan )1(sin lim 22t e dy y dx t t txt --→⎰⎰+π; 解:232223202arctan )1(sin lim arctan )1(sin lim222tedxdyy tedyy dx t Dt t t tx t -=--→-→⎰⎰⎰⎰++ππ7sin lim22sin lim27202320020πππ-=-=-=⎰⎰⎰++→→t dyy y t tdx y dy t t tyt .(3)y x x ye RD xR d d arctan lim ⎰⎰-+∞→,其中R D 是由12,0,-===x Ry y R x所围成.解:由于函数xye x arctan-在R D 上连续,由积分中值定理得 ,arctan 4d d arctan d d arctan ξηξηξξ---==⎰⎰⎰⎰e R y x e y x x y e RRD D x 其中R D ∈),(ηξ,即10,2≤≤≤≤ηξR R ,于是当+∞→R 时,0arctan 4d d arctan |d d arctan |2→≤=---⎰⎰⎰⎰ξηξηξR D D x e R y x e y x x y e RR, 所以0d d arctan lim =⎰⎰-+∞→y x xye RD xR .厦门大学第十届景润杯数学竞赛试卷______学院___年级______专业竞赛时间 2013.06.22 (经管卷)2. (10分) 设)(x f 在]1,0[上连续,在)1,0(内可导,且)1()0(2f f =,试证明:至少存在一点)1,0(∈ξ,使得)()()1(ξξξf f ='+。
全国大学生数学竞赛(非数学专业)微分学一、基本概念与内容提要1.出参数方程确定的函数的导数则冬二 dy df 二 d ),/dx 二 ©'(/)二儿‘ dx dt dx dt dt 0(f) x t 'd 严⑴ d/ 二以⑴0(/)-0(/)0® 1dt(p\ty dx~ [©(ordt2.多元函数微分学全微分:衣二空血臬密•腸式不变^=—dx + — Jy + —dx oydx dy dz处的切线对和轴的斜率。
函数的连续性和可微、可导必须会用定义判断。
连续的混合高阶偏导数与求导顺序无关。
二元函数的偏导数存在是连续的既不充分乂不必要条件。
二元两数存在两个偏导数是可微的必要不充分条件。
偏导数连续是函数可微的充分不必要条件。
函数连续是可微的必要不充分条件。
全微分的近似计算:Az"卩人(兀,刃山+/;(x ,y)Ay 多元复合函数的求导法:z = /D/(O,v(O]— = —dt du dt dv dt偏导数的儿何意义:粼規示册緝奇成,,z = /(s) y = >o(x o Jo Zo)z = /[u(x,y),u(x,y)] 当M 出&(x, y) v = v(x, y) dz dz du dz dv—= ----- ---- 1 -- ---dx du dx dv dxf du . du fdu =—dx-\ --- dy dx dydv = ^dx^dydx dy隐函数的求导公式:隐函数F(X,)')F O 尘=_・dx F y台7 F隐函数F(x,)^) = 0 — = -一dx Ed~y _ *( F C( F d y 乔一去(一亍石F忑) J 比_ Pydu _ 1 3(F,G) dv _ 1 a (F,G) du _ 1 Q(F,G) Ox J 6(x,v) ' 8x‘ J 8(u.x) ' dy J 6(>\v)二、常考例题讲解用基本方法求导数1. 设函数y = y(x)由方程xe f(y) =e y\n29确定,其中于具有二阶导数,冃广工1,则器,CF72.已知函数z = w(x,y)e ax+,y9且— =0,确定a,b ,使得函数z =z(x,y)满足 dxdy82z dz 8z n -------------------- z = 0 • Cd c c oxoy ox dy求訝罷4. 己知<2山(1 +戶),求y = t — arctan e 1V 丿5. 设函数i 心,刃的所有二阶偏导数都连续,空=驾且/心,2切“,dx~ dy~W](x, 2x) = x 29 求 wfj (x, 2x).解:u(x,2x) = x 两边对兀求导,得到:山(兀,2兀)+ 2弘;(兀,2兀)=1,代入”|'(兀,2兀)=/求[-x 2得:弘;(兀,2兀)= - ;u[(x,2x) = x 2两边对 x 求导,得到:wfj (兀,2兀)+ 2U [2(X 92X ) = 2x ;\ — x~ u ; (x,2x)= 两边对 x 求导,得到 «2i (兀,2x) + 2M 22 (x,2x) = -x.以上两式与 驾=驾联立,乂二阶导数连续,所以u ;2=u :\,故U^,2x) = --x 8x 2 dy2 12J " 3用全微分求解隐函数隐函数方程组ygzT[G(x,y,u,v) = OJ 』F,G)d(u.v)ar一加竺avaG-avFv GrD 巩化G) dy J Q(u,y)3.设函数/⑴有二阶连续的导数,5.设z = z(x,y)是方程F(z +上,z -一) = 0确定的隐函数,且具有连续的二阶偏导 兀 y数,以及 F u (w,v) = F v (W ,v)^(),求证兀3密+小(兀+刃籍+)异笑=0 ox dxdy dy导数与极限、积分、微分方程等结合求函数表达式6.设函数/(%)在[0,+oo)上连续,在(0,+oo)上可导,一川科)满足帶+弊』2詁严必(1) .求函数广(x)(x>0)的表达式;⑵•若ME 求出册522 q其中0(t)具有一阶导数,曲线y = 0(f)与y=f e~uclii + —在匸1处相2e8.设一元函数W = /(r)当0。
学号院系 高等数学竞赛(理工类)试题姓名 ( 2006年7月6日 晚 7•00 ~ 9•00 )一、单项选择题(每题4分 共20分)1.方程x e x =--21在),0(+∞内实根的个数为( B )。
A. 0B. 1C. 2D. 32. 若)(x f 在]1,0[上连续且可导,1)0()1(=-f f ,⎰'=102)]([dx x f I , 则有( C )。
A. I = 1B. I < 1C. I ≥1D. I = 03.设(,)f x y 连续,且(,)(,),Df x y xy f u v dudv =+⎰⎰其中D 是由0y =2,1y x x ==所围区域,则(,)f x y 等于( D )。
A .xy ; B. 2xy ; C. 1xy +; D. 18xy +。
4. 设f 在Ω上可积,且Ω区域具有轮换对称性(即若(,,)x y z ∈Ω,则(,,),(,,)y z x z x y ∈Ω∈Ω),则( A )。
A.(,,)(,,)(,,)f x y z dv f y z x dv f z x y dv ΩΩΩ==⎰⎰⎰⎰⎰⎰⎰⎰⎰;B. 1(,,)2(,,)f x y z dv f x y z dv ΩΩ=⎰⎰⎰⎰⎰⎰ 其中1Ω为Ω的0z ≥部分区域; C.(,,)0f x y z dv Ω=⎰⎰⎰;D. 以上结论均不成立。
5. 设函数(),(),()p x q x f x 都连续,且11223()()()y c y x c y x y x =++是非齐次线性微分方程()()()y p x y q x y f x '''++=的通解,则( B )。
A. 123y y y +-是方程的解B. 123,,y y y 线性无关C. 123,,y y y 可能线性无关,也可能线性相关。
D. 123,,y y y 线性相关二、填空题(每题4分 共20分) 1.设函数xx xx x x x f ++-+-+=22ln 212arctan)(222,则 =')(x f 2。
附件一关于举办二○○九年厦门大学漳州校区赛区“景润杯”数学竞赛的通知本科生学业竞赛是提高学生创新意识,推动学生参与科学研究的重要途径。
为了进一步提高我校本科生数学能力,通过竞赛激发学生学习数学的兴趣和积极性,增强校园数学文化的氛围,在成功举办前5届数学竞赛的前提下,今年我们又成功地举办了首届“全球八校联盟”数学竞赛活动,学校决定举办2009年厦门大学“景润杯”数学竞赛(以下简称竞赛),现将漳州校区赛区有关事项申报如下:一、竞赛内容详见厦门大学“景润杯”数学竞赛章程(附件二)、厦门大学“景润杯”数学竞赛大纲(附件三)。
二、竞赛日程第一阶段(5月12日-6月28日):举办厦门大学“景润杯”数学竞赛系列讲座。
讲座具体内容、时间及地点详见每周海报。
第二阶段(2008-2009学年第三学期):正式比赛。
比赛时间、地点另行通知。
三、参赛方式1.漳州校区赛区分成三组:数学专业组(数学科学学院、计算机科学系CST专业)、理工类专业组、经管与文科类专业组,参赛对象为本科一、二年级学生。
2.报名方式:漳州校区各学院教务人员组织学生报名,汇总后交漳州校区院系办(数学科学学院教学秘书)。
3.报名时间:2009年5月28日至6月18日。
四、奖项设置竞赛根据“厦门大学‘景润杯’数学竞赛章程”(附件二)评出组织奖和个人奖。
组织奖若干,颁发奖状。
个人奖按组设置,分别颁发奖状、奖金,其中一等奖400元,二等奖200元,三等奖100元。
漳州校区各组名额如下:数学专业组:一等奖2名,二等奖6名,三等奖13名;理工科专业组:一等奖3名,二等奖10名,三等奖30名;经管类专业组:一等奖3名,二等奖10名,三等奖30名。
厦门大学教务处数学科学学院二〇〇九年五月四日关于举办二○○九年厦门大学校本部赛区“景润杯”数学竞赛的通知本科生学业竞赛是提高学生创新意识,推动学生参与科学研究的重要途径。
为了进一步提高我校本科生数学能力,通过竞赛激发学生学习数学的兴趣和积极性,增强校园数学文化的氛围,在成功举办前5届数学竞赛的前提下,今年我们又成功地举办了首届“全球八校联盟”数学竞赛活动,学校决定举办2009年厦门大学“景润杯”数学竞赛(以下简称竞赛),现将校本部赛区有关事项申报如下:一、竞赛内容详见厦门大学“景润杯”数学竞赛章程(附件二)、厦门大学“景润杯”数学竞赛大纲(附件三)。
大学生数学竞赛辅导材料浙江省首届高等数学竞赛试题(2002.12.7)一.计算题(每小题5分,共30分)1.求极限lim x →。
2.求积分|1|D xy dxdy -??,11{(,)2,2}22D x y x y =≤≤≤≤。
3.设2x y x e =是方程hx y ay by ce '''++=的一个解,求常数,,,a b c h 。
4.设()f x 连续,且当1x >-时,20()[()1]2(1)x xxe f x f t dt x +=+?,求()f x 。
5.设211arctan 2n n k S k ==∑,求lim n n S →∞。
6.求积分12121(1)x x x e dx x ++-?。
2003年浙江省大学生高等数学竞赛试题(2003.12.6)一.计算题7.求2050sin()lim x x xt dt x→?。
8.设31()sin x G x t t dt =?,求21()G x dx ?。
9.求2401x dx x∞+?。
10.求∑=∞→++n k n k n k n 12lim 。
浙江省大学生第三届高等数学竞赛试题1.计算:()()200cos 2lim tan 1x t x x e tdt x x x →----?。
2.计算:20cos 2004x dx x x πππ+-+?。
3.求函数()22,415f x y x y y =++在(){}22,41x y xy Ω=+≤上的最大、小值。
4.计算:()3max ,D xy x d σ??,其中(){},11,01D x y x y =-≤≤≤≤。
5. 设()1tan 1x f x arc x-=+,求)0()(n f 。
天津市竞赛题 1.证明??+≤?+02022021cos 1sin dx x x dx x x ππ.2. 设函数)(x f 在闭区间]2,2[-上具有二阶导数,,1)(≤x f 且,4)]0([)]0([22='+f f 证明:存在一点),2,2(-∈ξ使得0)()(=''+ξξf f .3. (1)证明:当x 充分小时,不等式422tan 0x x x ≤-≤成立.(2)设,1tan 12k n x n k n +=∑=求.lim n x x ∞→ 4. 计算+-??? ??+-∞→61231e 2lim n n n n n n 。
一道竞赛题的几种不同解法(初三)
张发斌
【期刊名称】《数理天地:初中版》
【年(卷),期】2016(000)010
【摘要】题目已知x,y为实数,且满足x2-xy+4y2=4,记u=x2+xy+4y2的最大值为M,最小值为m,则M+m= .解法1 由x2-xy+4y2=4,得 x2+4y2=xy=4.
【总页数】1页(P37-37)
【作者】张发斌
【作者单位】福建省厦门大学附属实验中学,363123
【正文语种】中文
【中图分类】G632.479
【相关文献】
1.一道“希望杯”竞赛题的几种简捷解法
2.对一道竞赛题的几种解法
3.创建物理图景求解静电能问题——一道竞赛题的几种解法
4.由一道数学竞赛题的几种解法反思数学教学
5.一道上海市初三数学竞赛题的几何解法举例
因版权原因,仅展示原文概要,查看原文内容请购买。