数理统计课后习题答案科学出版社(供参考)
- 格式:doc
- 大小:590.00 KB
- 文档页数:40
第一章 事件与概率1.写出下列随机试验的样本空间。
(1)记录一个班级一次概率统计考试的平均分数(设以百分制记分)。
(2)同时掷三颗骰子,记录三颗骰子点数之和。
(3)生产产品直到有10件正品为止,记录生产产品的总件数。
(4)对某工厂出厂的产品进行检查,合格的记上“正品”,不合格的记上“次品”,如连续查出2个次品就停止检查,或检查4个产品就停止检查,记录检查的结果。
(5)在单位正方形内任意取一点,记录它的坐标。
(6)实测某种型号灯泡的寿命。
解 (1)},100,,1,0{n i n i==Ω其中n 为班级人数。
(2)}18,,4,3{ =Ω。
(3)},11,10{ =Ω。
(4)=Ω{00,100,0100,0101,0110,1100,1010,1011,0111,1101,0111,1111},其中0表示次品,1表示正品。
(5)=Ω{(x,y)| 0<x<1,0<y<1}。
(6)=Ω{ t | t ≥ 0}。
2.设A ,B ,C 为三事件,用A ,B ,C 的运算关系表示下列各事件,。
(1)A 发生,B 与C 不发生。
(2)A 与B 都发生,而C 不发生。
(3)A ,B ,C 中至少有一个发生。
(4)A ,B ,C 都发生。
(5)A ,B ,C 都不发生。
(6)A ,B ,C 中不多于一个发生。
(7)A ,B ,C 至少有一个不发生。
(8)A ,B ,C 中至少有两个发生。
解 (1)C B A ,(2)C AB ,(3)C B A ++,(4)ABC ,(5)C B A ,(6)C B C A B A ++或C B A C B A C B A C B A +++,(7)C B A ++,(8)BC AC AB ++或ABC BC A C B A C AB ⋃⋃⋃ 3.指出下列命题中哪些成立,哪些不成立,并作图说明。
(1)B B A B A = (2)AB B A =(3)AB B A B =⊂则若, (4)若 A B B A ⊂⊂则,(5)C B A C B A = (6) 若Φ=AB 且A C ⊂, 则Φ=BC 解 : (1) 成立,因为B A B B B A B B A ==))((。
习题22.1 X 23456789101112P1/36 1/18 1/12 1/9 5/36 1/65/36 1/9 1/12 1/18 1/36解:根据1)(0==∑∞=k k X P ,得10=∑∞=-k kae,即1111=---eae 。
故 1-=e a2.3解:用X 表示甲在两次投篮中所投中的次数,X~B(2,0.7) 用Y 表示乙在两次投篮中所投中的次数, Y~B(2,0.4) (1) 两人投中的次数相同P{X=Y}= P{X=0,Y=0}+ P{X=1,Y=1} +P{X=2,Y=2}=1122020*********2222220.70.30.40.60.70.30.40.60.70.30.40.60.3124C C C C C C ⨯+⨯+⨯=(2)甲比乙投中的次数多P{X >Y}= P{X=1,Y=0}+ P{X=2,Y=0} +P{X=2,Y=1}=12211102200220112222220.70.30.40.60.70.30.40.60.70.30.40.60.5628C C C C C C ⨯+⨯+⨯=2.4解:〔1〕P{1≤X ≤3}= P{X=1}+ P{X=2}+ P{X=3}=12321515155++= (2) P{0.5<X<2.5}=P{X=1}+ P{X=2}=12115155+= 2.5解:〔1〕P{X=2,4,6,…}=246211112222k +++=11[1()]1441314k k lim→∞-=-〔2〕P{X ≥3}=1―P{X <3}=1―P{X=1}- P{X=2}=1111244--=2.6解:设i A 表示第i 次取出的是次品,X 的所有可能取值为0,1,212341213124123{0}{}()(|)(|)(|)P X P A A A A P A P A A P A A A P A A A A ====18171615122019181719⨯⨯⨯= 1123412342341234{1}{}{}{}{}2181716182171618182161817162322019181720191817201918172019181795P X P A A A A P A A A A P A A A A P A A A A ==+++=⨯⨯⨯+⨯⨯⨯+⨯⨯⨯+⨯⨯⨯= 12323{2}1{0}{1}1199595P X P X P X ==-=-==--=2.7解:(1)设X 表示4次独立试验中A 发生的次数,那么X~B(4,0.4)34314044(3)(3)(4)0.40.60.40.60.1792P X P X P X C C ≥==+==+= (2)设Y 表示5次独立试验中A 发生的次数,那么Y~B(5,0.4)345324150555(3)(3)(4)(5)0.40.60.40.60.40.60.31744P X P X P X P X C C C ≥==+=+==++=2.8 〔1〕X ~P(λ)=P(0.5×3)= P(1.5)0 1.51.5{0}0!P X e -=== 1.5e - 〔2〕X ~P(λ)=P(0.5×4)= P(2)0122222{2}1{0}{1}1130!1!P X P X P X e e e ---≥=-=-==--=-解:设应配备m 名设备维修人员。
第二章 随机变量2.1 X 2 3 4 5 6 7 8 9 10 11 12 P 1/361/181/121/95/361/65/361/91/121/181/362.2解:根据1)(0==∑∞=k k XP ,得10=∑∞=-k kae,即1111=---eae 。
故 1-=e a2.3解:用X 表示甲在两次投篮中所投中的次数,X~B(2,0.7) 用Y 表示乙在两次投篮中所投中的次数, Y~B(2,0.4) (1) 两人投中的次数相同P{X=Y}= P{X=0,Y=0}+ P{X=1,Y=1} +P{X=2,Y=2}=1122020*********2222220.70.30.40.60.70.30.40.60.70.30.40.60.3124C C C C C C ⨯+⨯+⨯=(2)甲比乙投中的次数多P{X >Y}= P{X=1,Y=0}+ P{X=2,Y=0} +P{X=2,Y=1}=12211102200220112222220.70.30.40.60.70.30.40.60.70.30.40.60.5628C C C C C C ⨯+⨯+⨯=2.4解:(1)P{1≤X ≤3}= P{X=1}+ P{X=2}+ P{X=3}=12321515155++= (2) P {0.5<X<2.5}=P{X=1}+ P{X=2}=12115155+=22.5解:(1)P{X=2,4,6,…}=246211112222k +++=11[1()]1441314k k lim→∞-=- (2)P{X ≥3}=1―P{X <3}=1―P{X=1}- P{X=2}=1111244--= 2.6解:设i A 表示第i 次取出的是次品,X 的所有可能取值为0,1,212341213124123{0}{}()(|)(|)(|)P X P A A A A P A P A A P A A A P A A A A ====18171615122019181719⨯⨯⨯= 1123412342341234{1}{}{}{}{}2181716182171618182161817162322019181720191817201918172019181795P X P A A A A P A A A A P A A A A P A A A A ==+++=⨯⨯⨯+⨯⨯⨯+⨯⨯⨯+⨯⨯⨯=12323{2}1{0}{1}1199595P X P X P X ==-=-==--=2.7解:(1)设X 表示4次独立试验中A 发生的次数,则X~B(4,0.4)34314044(3)(3)(4)0.40.60.40.60.1792P X P X P X C C ≥==+==+=(2)设Y 表示5次独立试验中A 发生的次数,则Y~B(5,0.4)345324150555(3)(3)(4)(5)0.40.60.40.60.40.60.31744P X P X P X P X C C C ≥==+=+==++=2.8 (1)X ~P(λ)=P(0.5×3)= P(1.5)0 1.51.5{0}0!P X e -=== 1.5e -(2)X ~P(λ)=P(0.5×4)= P(2)(概率课后习题答案详解)董永俊(概率课后习题答案详解)30122222{2}1{0}{1}1130!1!P X P X P X e e e ---≥=-=-==--=-2.9解:设应配备m 名设备维修人员。
第二章 随机变量2.1 X 2 3 4 5 6 7 8 9 10 11 12 P 1/361/181/121/95/361/65/361/91/121/181/362.2解:根据1)(0==∑∞=k k XP ,得10=∑∞=-k kae,即1111=---eae 。
故 1-=e a2.3解:用X 表示甲在两次投篮中所投中的次数,X~B(2,0.7) 用Y 表示乙在两次投篮中所投中的次数, Y~B(2,0.4) (1) 两人投中的次数相同P{X=Y}= P{X=0,Y=0}+ P{X=1,Y=1} +P{X=2,Y=2}=1122020*********2222220.70.30.40.60.70.30.40.60.70.30.40.60.3124C C C C C C ⨯+⨯+⨯=(2)甲比乙投中的次数多P{X >Y}= P{X=1,Y=0}+ P{X=2,Y=0} +P{X=2,Y=1}=12211102200220112222220.70.30.40.60.70.30.40.60.70.30.40.60.5628C C C C C C ⨯+⨯+⨯=2.4解:(1)P{1≤X ≤3}= P{X=1}+ P{X=2}+ P{X=3}=12321515155++= (2) P {0.5<X<2.5}=P{X=1}+ P{X=2}=12115155+=22.5解:(1)P{X=2,4,6,…}=246211112222k +++=11[1()]1441314k k lim→∞-=- (2)P{X ≥3}=1―P{X <3}=1―P{X=1}- P{X=2}=1111244--= 2.6解:设i A 表示第i 次取出的是次品,X 的所有可能取值为0,1,212341213124123{0}{}()(|)(|)(|)P X P A A A A P A P A A P A A A P A A A A ====18171615122019181719⨯⨯⨯= 1123412342341234{1}{}{}{}{}2181716182171618182161817162322019181720191817201918172019181795P X P A A A A P A A A A P A A A A P A A A A ==+++=⨯⨯⨯+⨯⨯⨯+⨯⨯⨯+⨯⨯⨯=12323{2}1{0}{1}1199595P X P X P X ==-=-==--=2.7解:(1)设X 表示4次独立试验中A 发生的次数,则X~B(4,0.4)34314044(3)(3)(4)0.40.60.40.60.1792P X P X P X C C ≥==+==+=(2)设Y 表示5次独立试验中A 发生的次数,则Y~B(5,0.4)345324150555(3)(3)(4)(5)0.40.60.40.60.40.60.31744P X P X P X P X C C C ≥==+=+==++=2.8 (1)X ~P(λ)=P(0.5×3)= P(1.5)0 1.51.5{0}0!P X e -=== 1.5e -(2)X ~P(λ)=P(0.5×4)= P(2)(概率课后习题答案详解)董永俊(概率课后习题答案详解)30122222{2}1{0}{1}1130!1!P X P X P X e e e ---≥=-=-==--=-2.9解:设应配备m 名设备维修人员。
习题 2 参考答案X 2 3 4 5 6 7 8 9 10 11 12P1/36 1/18 1/12 1/95/36 1/65/361/91/12 1/18 1/36解:根据P( Xk) 1 ,得aek1 ,即 ae 11。
k 0k 01 e 1故 a e 1解:用 X 表示甲在两次投篮中所投中的次数, X~B(2, 用 Y 表示乙在两次投篮中所投中的次数 , Y~B(2, (1) 两人投中的次数相同P{X=Y}= P{X=0,Y=0}+ P{X=1,Y=1} +P{X=2,Y=2}=0 0 1 1 2 2C 20.700.32C 20.400.62C 20.710.31C 20.410.61C 20.720.30C 2 0.420.60 0.3124(2) 甲比乙投中的次数多P{X>Y}= P{X=1,Y=0}+ P{X=2,Y=0} +P{X=2,Y=1}=122 1C 20.710.31C 20.400.62 C 20.72 0.30 C 2 0.400.62 C 2 0.720.30 C 20.410.610.5628解 : ( 1) P{1≤X ≤3}= P{X=1}+ P{X=2}+ P{X=3}=1 2 3 21515 1551 2 1 (2)P{<X<}=P{X=1}+ P{X=2}=15 15511111[1 ( 1)k]1解:( 1)P{X=2,4,6, }=L =lim 44 242 62k3222k1 141 1 1( 2) P{X≥3}=1 ―P{X<3}=1―P{X=1}- P{X=2}= 12 4 4解:设 A i表示第i次取出的是次品,X的所有可能取值为0,1,2P{ X 0} P{ A1A2 A3 A4}P(A1)P(A2 | A1)P(A3 | A1 A2)P( A4 | A1A2 A3) =18 17 16 15 1220 19 18 17 19P{ X 1} P{ A1 A2 A3 A4 } P{ A1A2 A3 A4} P{ A1 A2 A3 A4} P{ A1 A2 A3A4}2 18 17 16 18 2 17 16 18 18 2 16 18 17 16 2 3220 19 18 17 20 19 18 17 20 19 18 17 20 19 18 17 95P{ X 2} 1 P{X 0} P{ X 1}12 32 3 195 9519解: (1) 设 X 表示 4 次独立试验中 A 发生的次数,则 X~B(4,3 4P( X 3) P( X 3) P( X 4) C4 0.430.61 C40.440.60 0.1792(2)设 Y 表示 5 次独立试验中 A 发生的次数,则 Y~B(5,30.43 0.62 4 50.450.60P( X 3) P(X 3) P( X 4) P(X 5) C5 C50.440.61 C5 0.31744 (1)X~P( λ)=P×3)= PP{X 0} 1.50 e 1.5 =e 1.50!(2)X~P( λ)=P×4)= P(2)P{X 2} 1 P{X 0} P{X 1} 1 20e2 21e2 1 3e 20! 1!解:设应配备名设备维修人员。
(概率课后习题答案详解)1第二章 随机变量2.1 X 2 3 4 5 6 7 8 9 10 11 12 P 1/361/181/121/95/361/65/361/91/121/181/362.2解:根据1)(0==∑∞=k k XP ,得10=∑∞=-k kae,即1111=---eae。
故 1-=e a2.3解:用X 表示甲在两次投篮中所投中的次数,X~B(2,0.7) 用Y 表示乙在两次投篮中所投中的次数, Y~B(2,0.4) (1) 两人投中的次数相同P{X=Y}= P{X=0,Y=0}+ P{X=1,Y=1} +P{X=2,Y=2}= 011220202111120202222220.70.30.40.60.70.30.40.60.70.30.40.60.3124CC C C C C ⨯+⨯+⨯=(2)甲比乙投中的次数多P{X >Y}= P{X=1,Y=0}+ P{X=2,Y=0} +P{X=2,Y=1}=(概率课后习题答案详解)212211102200220112222220.70.30.40.60.70.30.40.60.70.30.40.60.5628CC C C C C ⨯+⨯+⨯=2.4解:(1)P{1≤X ≤3}= P{X=1}+ P{X=2}+ P{X=3}=12321515155++=(2) P {0.5<X<2.5}=P{X=1}+ P{X=2}=12115155+=2.5解:(1)P{X=2,4,6,…}=246211112222k+++ =11[1()]1441314kk lim →∞-=-(2)P{X ≥3}=1―P{X <3}=1―P{X=1}- P{X=2}=1111244--=2.6解:设iA 表示第i 次取出的是次品,X 的所有可能取值为0,1,212341213124123{0}{}()(|)(|)(|)P X P A A A A P A P A A P A A A P A A A A ====18171615122019181719⨯⨯⨯=1123412342341234{1}{}{}{}{}2181716182171618182161817162322019181720191817201918172019181795P X P A A A A P A A A A P A A A A P A A A A ==+++=⨯⨯⨯+⨯⨯⨯+⨯⨯⨯+⨯⨯⨯=12323{2}1{0}{1}1199595P X P X P X ==-=-==--=2.7解:(1)设X 表示4次独立试验中A 发生的次数,则X~B(4,0.4)3431444(3)(3)(4)0.40.60.40.60.1792P X P X P X CC ≥==+==+= (2)设Y 表示5次独立试验中A 发生的次数,则Y~B(5,0.4)(概率课后习题答案详解)3345324150555(3)(3)(4)(5)0.40.60.40.60.40.60.31744P X P X P X P X CC C ≥==+=+==++=2.8 (1)X ~P(λ)=P(0.5×3)= P(1.5)1.51.5{0}0!P X e-=== 1.5e-(2)X ~P(λ)=P(0.5×4)= P(2)122222{2}1{0}{1}1130!1!P X P X P X eee---≥=-=-==--=-2.9解:设应配备m 名设备维修人员。
概率论与数理统计习题1 ( P25 )1. 1) }),(),,(),,(),,({T T H T T H H H =Ω, 其中 :H 正面出现; :T 反面出现.}),(),,({T H H H A =; }),(),,({T T H H B =; }),(),,(),,({H T T H H H C =.2) 由题意,可只考虑组合,则⎭⎬⎫⎩⎨⎧=)5,4,3(),5,4,2(),5,3,2(),4,3,2(),5,4,1(),5,3,1(),4,3,1(),5,2,1(),4,2,1(),3,2,1(Ω;{})5,4,1(),5,3,1(),4,3,1(),5,2,1(),4,2,1(),3,2,1(=A .3) 用9,,2,1 号表示正品,10号表示废品.则⎪⎪⎪⎭⎪⎪⎪⎬⎫⎪⎪⎪⎩⎪⎪⎪⎨⎧=)10,9()10,8()10,2(,),4,2(),3,2()10,1(,),4,1(),3,1(),2,1( Ω; {})10,9(,),10,2(),10,1( =A .4) 记第一袋中的球为),(11b w ,第二袋中的球为),(22b w ,则{}),(),,(),,(),,(),,(),,(112121112121b b b b w b w w b w w w =Ω; {}),(),,(),,(),,(11211121b b b b w w w w A =.5) ⎪⎪⎭⎪⎪⎬⎫⎪⎪⎩⎪⎪⎨⎧=)6,6(,),2,6(),1,6()6,2(,),2,2(),1,2()6,1(,),2,1(),1,1( Ω;{})1,6(),1,4(),1,2(),6,1(),4,1(),2,1(=A ⎭⎬⎫⎩⎨⎧=)6,6(),4,6(),2,6(),5,5(),3,5(),6,4(),4,4(),2,4(),5,3(),3,3(),6,2(),4,2(),2,2(B .注: 也可如下表示:⎪⎪⎭⎪⎪⎬⎫⎪⎪⎩⎪⎪⎨⎧=)6,6()6,2(,),2,2()6,1(,),2,1(),1,1( Ω;{})6,1(),4,1(),2,1(=A ;{})6,6(),5,5(),6,4(),4,4(),5,3(),3,3(),6,2(),4,2(),2,2(=B .2. 1) ni i A 1=; 2) ni i A 1=; (亦即:全部为正品的对立事件)3))]([11 n i n ij j j i A A =≠=⋂; 4) )])(([)(111 n i nij j j i n i i A A A =≠==⋂⋃.3.解:1) A ; 2) C B A ; 3) C AB ; 4) ABC ; 5) C B A ⋃⋃; 6) BC A C B A C AB ABC ⋃⋃⋃(AC BC AB ⋃⋃= B A C A C B ⋃⋃=) (等价说法:至少有两个不发生的对立事件); 7) C B A C B A C B A ⋃⋃; 8) BC A C B A C AB ⋃⋃; 9) C B A (=C B A ⋃⋃);10)ABC (=C B A ⋃⋃)(等价说法:至少有一个不发生.);11) C B A C B A C B A C B A ⋃⋃⋃ (=B A C A C B ⋃⋃)(即:至少有两个不发生).4.答案: n n A A A A A A A A A 11321211-⋃⋃⋃⋃ . 5.解: 所有可能情况有2555=⨯种,所涉事件共有15种可能,则所求概率为 532515==p . 6.解: 所有可能情况有⎪⎭⎫ ⎝⎛540种 (注:组合数 540540C =⎪⎭⎫ ⎝⎛)!540(!5!40-⨯=,下同.),则所求概率为 1) ⎪⎭⎫ ⎝⎛⎪⎭⎫ ⎝⎛=5405371p ; 2) ⎪⎭⎫ ⎝⎛⎪⎭⎫ ⎝⎛⨯⎪⎭⎫ ⎝⎛=540233372p .7.解: 所有可能情况为79种,则所求概率为 7799A p =.8解: 利用对立事件求概率的公式,所求概率为 441091-=p .9.解: 所有可能情况有))((d c b a ++种,则所求概率为 ))((d c b a bcad p +++=.10.解: 所有可能情况为67种,则所求概率为 667)22(27-⨯⎪⎭⎫⎝⎛=p .11.解: 样本空间可考虑有⎪⎭⎫⎝⎛r n 22种可能结果,古典概型,则所求概率分别为 1) ⎪⎭⎫⎝⎛⎪⎭⎫ ⎝⎛⋅⎪⎭⎫ ⎝⎛=r n r n p r 22]12[221⎪⎭⎫ ⎝⎛⋅⎪⎭⎫ ⎝⎛=r n r n r 22222;2) ⎪⎭⎫⎝⎛⎪⎭⎫ ⎝⎛⋅⎪⎭⎫ ⎝⎛--⋅⎪⎭⎫ ⎝⎛⋅⎪⎭⎫ ⎝⎛=-r n r n n p r 22]12[221221222⎪⎭⎫ ⎝⎛⋅⋅⎪⎭⎫ ⎝⎛--=-r n n r n r 22222122;3) ⎪⎭⎫ ⎝⎛⎪⎭⎫ ⎝⎛⋅⎪⎭⎫ ⎝⎛=r n r n p r 22]22[3⎪⎭⎫ ⎝⎛⎪⎭⎫ ⎝⎛=r n r n 22.12.解: 所有可能情况为n N 种,则所求概率分别为1) n Nn p !1=; 2) n N n n N p !2⨯⎪⎭⎫ ⎝⎛=.13.解: 甲先摸到白球,则可能结果如下(注: 至多有限次摸球):W 甲, W B B 甲乙甲, W B B B B 甲乙甲乙甲, W B B B B B B 甲乙甲乙甲乙甲,① 当b 为偶数时,则所求概率为211-+⋅-+-⋅+++=b a a b a b b a b b a a p 甲 4332211-+⋅-+-⋅-+-⋅-+-⋅++b a ab a b b a b b a b b a b a aa ab a b b a b ⋅+⋅+-+-⋅+++112211)2()1()1(1[-+⋅-+-++=b a b a b b b a a ])1()2()1(!aa b a b a b ⋅+-+⋅-+++ . ② 当b 为奇数时,则所求概率为甲p )2()1()1(1[-+⋅-+-++=b a b a b b b a a ])1()2()1(!+-+⋅-+++a b a b a b .14.解: 记事件i B :表示第i 次摸到黑球; i W :表示第i 次摸到白球.则事件{偶数次摸到白球}⋃=21W B ⋃4321W B B B ⋃654321W B B B B B . 故所求概率为P {偶数次摸到白球}⋃=21(W B P ⋃4321W B B B )654321 ⋃W B B B B B+=)(21W B P +)(4321W B B B P +)(654321W B B B B B Pb a a b a b +⋅+=b a a b a b +⋅++3)( ++⋅++ba ab a b 5)( +⋅+⋅=1[)(2b a ba ])()(42 ++++b a b b a b ba b 2+=.15.解: 在三个孩子的家庭中,样本点总数为823=种,记事件=A {三个孩子的家庭中有女孩}, =B {三个孩子的家庭中至少有一个男孩}.要求 =)|(A B P ? 由 )()()|(A P AB P A B P =, 又 87)(=A P , 86)(=AB P , 则 76)|(=A B P .16.解: A ∆{掷三颗骰子,点数都不一样}, ∆B {掷三颗骰子,有1点}. 要求 =)|(A B P ? 由 )()()|(A P AB P A B P =, 且 36456)(⨯⨯=A P , 36453)(⨯⨯=AB P .则 216/4566/453)|(33=⨯⨯⨯⨯=A B P .17.解: 记事件}{个球为同一种颜色所取n A =, }{个球全为黑球所取n B =, 要求 =)|(A B P ?则 )()()|(A P AB P A B P =⎪⎭⎫ ⎝⎛-⎪⎭⎫ ⎝⎛+⎪⎭⎫ ⎝⎛-⎪⎭⎫ ⎝⎛-⎪⎭⎫ ⎝⎛=n n n n n n n n n n 14]212[142⎪⎭⎫ ⎝⎛+⎪⎭⎫ ⎝⎛-⎪⎭⎫ ⎝⎛=n n n n n n 2122!!)!2()!1(!)!12(!!)!2(n n n n n n n n n ⨯+-⨯-⨯=32=.18.解: 1) 记事件},{有废品任取两件=A , },{均为废品任取两件=B ,则所求概率为)()()|(1A P AB P A B P p ==)()(A P B P =⎪⎭⎫ ⎝⎛⎪⎭⎫ ⎝⎛--⎪⎭⎫ ⎝⎛⎪⎭⎫ ⎝⎛=22122M m M M m ⎪⎭⎫ ⎝⎛--⎪⎭⎫ ⎝⎛⎪⎭⎫ ⎝⎛=222m M M m 121---=m M m .2) 记事件},{有正品任取两件=C ,},{有一正品一件废品任取两件=D ,则所求概率为)()()|(2C P CD P C D P p ==)()(C P D P =⎪⎭⎫ ⎝⎛⎪⎭⎫ ⎝⎛-⎪⎭⎫ ⎝⎛⎪⎭⎫ ⎝⎛⨯⎪⎭⎫ ⎝⎛-=221211M m M m m M⎪⎭⎫ ⎝⎛-⎪⎭⎫ ⎝⎛-⋅=22)(m M m M m 12-+=m M m . 19.解: 记事件i A :第i 次摸到白球, n i ,,2,1 =, 要求: =)(21n A A A P ? 由计算概率的乘法定理,则所求概率为=)(21n A A A P )(1A P )|(12A A P ⋅)|(213A A A P ⋅)|(11-n n A A A P1433221+⨯⨯⨯⨯=n n 11+=n .20.解: 记事件=k A {第k 个人摸到彩票}, n k ,,2,1 =, 1) 所求概率为 =-)|(11k k A A A P 11+-k n .2) 由k k k A A A A A 121-= ,则)()(121k k k A A A A P A P -= )(1A P =)|(12A A P ⋅)|(211--k k A A A P )|(121-⋅k k A A A A P1121121+-⨯+-+-⨯⨯--⨯-=k n k n k n n n n n n1=.21.解: 记事件=B {所选射手能进入比赛}, =i A {所选射手为第i 级}, 4,3,2,1=i . 已知 204)(1=A P , 208)(2=A P , 207)(3=A P , 201)(4=A P , 9.0)|(1=A B P , 7.0)|(2=A B P , 5.0)|(3=A B P , 2.0)|(4=A B P .用全概率公式,则所求概率为 ∑=⋅=41)|()()(i i i A B P A P B P 2.02015.02077.02089.0204⨯+⨯+⨯+⨯=645.0=.22.解: 记事件=i A {从第i 袋中取出白球}, N i ,,2,1 =. 1) nm nA P +=)(1,)|()()(1212A A P A P A P ⋅=)|()(121A A P A P ⋅+111++⋅+++++⋅+=n m n n m m n m n n m n nm n+=, 归纳假设: nm nA P k +=)(, 则 )|()()(11k k k k A A P A P A P ++⋅=)|()(1k k k A A P A P +⋅+111++⋅+++++⋅+=n m n n m m n m n n m n n m n +=. 所以 nm nA P N +=)(.2) 要求:=)|(1A A P N ?=)|(1A A P N )()(11A P A A P N )()()(11111A P A A A P A A A P N N N N --+= )|()|()|()|(11111111A A P A A A P A A P A A A P N N N N N N ----⋅+⋅= )|()|()|()|(111111A A P A A P A A P A A P N N N N N N ----⋅+⋅=)]|(1[1)|(111111A A P n m n A A P n m n N N ---⋅+++⋅+++= )|(11111A A P n m n m n N -⋅+++++=, ,3,2=N 记11++=n m t ,则)|(1A A P N )]|([11A A P n t N -+⋅=)]]|([[12A A P n t n t N -+⋅+⋅=)|(1222A A P t t n t n N -⋅+⋅+⋅=)|(11112A A P t t n t n t n N N ⋅+⋅++⋅+⋅=-- 112--+⋅++⋅+⋅=N N t t n t n t n]1[21--+++⋅+=N N t t t n t tt nt tN N --+=--1)1(11.23.解: 记事件321,,A A A 表示所取产品分别是甲、乙、丙机器所生产; 事件=B {所取产品是废品}. 要求:=)|(B A P i ? (3,2,1=i ) 已知 25.0)(1=A P , 35.0)(2=A P , 40.0)(3=A P ,05.0)|(1=A B P , 04.0)|(2=A B P , 02.0)|(3=A B P .则 ∑=⋅=31)|()()(i i i A B P A P B P 02.04.004.035.005.025.0⨯+⨯+⨯=0345.0=.由贝叶斯公式,则所求概率分别为)|(1B A P )()(1B P B A P =)()|()(11B P A B P A P ⋅=0345.005.025.0⨯=3623.06925≈=, )|(2B A P )()|()(22B P A B P A P ⋅=4058.06928≈=, )|(3B A P )()|()(33B P A B P A P ⋅=2319.06916≈=.24解: 记事件4321,,,A A A A 分别表示朋友乘火车、轮船、汽车、飞机来.事件=B {朋友迟到}. 要求:=)|(1B A P ?已知 3.0)(1=A P , 2.0)(2=A P , 1.0)(3=A P , 4.0)(4=A P ,41)|(1=A B P , 31)|(2=A B P , 121)|(3=A B P , 0)|(4=A B P .则 ∑=⋅=41)|()()(i i i A B P A P B P 04.01211.0312.0413.0⨯+⨯+⨯+⨯=15.0=. 由贝叶斯公式,则所求概率为)|(1B A P )()|()(11B P A B P A P ⋅=5.015.0413.0=⨯=. 25.由 )|()()|()()|()()()()|(A B P A P A B P A P A B P A P B P AB P B A P ⋅+⋅⋅==,已知n m m A P +=)(, n m nA P +=)(,)|(A B P ⎪⎭⎫ ⎝⎛-+⎪⎭⎫ ⎝⎛-=2121n m m )2)(1()2)(1(-+-+--=n m n m m m ,)|(A B P ⎪⎭⎫ ⎝⎛-+⎪⎭⎫ ⎝⎛=212n m m )2)(1()1(-+-+-=n m n m m m .则所求概率为=)|(B A P )2)(1()1()2)(1()2)(1()2)(1()2)(1(-+-+-⨯++-+-+--⨯+-+-+--⨯+n m n m m m n m n n m n m m m n m m n m n m m m n m m 22-+-=n m m .26解:1) )(21n A A A P ∏==ni i A P 1)(])(1[1∏=-=ni i A P ∏=-=ni i p 1)1(;2) )(1 n i i A P =)(11 ni i A P =-=)(121n A A A P -=∏=--=ni i p 1)1(1;3) )}({11n kj j j nk k A A P ≠==∑=≠==n k n kj j j k A A P 11)( ])(1()([11∑∏=≠=-⋅=n k n kj j j k A P A P ])1([11∑∏=≠=-⋅=n k nkj j j k p p .27.解: 记事件=i A {击中i 号目标}, 2,1=i .要求:=⋃)(21A A P ?方法一: =⋃)(21A A P )()()(2121A A P A P A P -+)()()()(2121A P A P A P A P ⋅-+= 90.05.08.05.08.0=⨯-+=.方法二: =⋃)(21A A P )(121A A P ⋃-)(121A A P -=)()(121A P A P ⋅-=90.0)5.01()8.01(1=-⨯--=.28.解: 分别以i i i D C B A ,,,表示对应元件能正常工作.则所求概率分别为1) )(332211B A B A B A P ⋃⋃)(1332211B A B A B A P ⋃⋃-=)(131=-=i i i B A P )(131∏=-=i i i B A P)](1[131∏=--=i i i B A P )]()(1[131∏=⋅--=i i i B P A P311)]()(1[1B P A P ⋅--=3)1(1B A p p ⋅--=.2) ))((21D C B A D P ⋃⋃)()()(21C B A P D P D P ⋃⋃⋅⋅=)](1[2C B A P p D ⋃⋃-⋅=)](1[2C B A P p D -⋅= )]()()(1[2C P B P A P p D ⋅⋅-⋅=)]1()1()1(1[2C B A D p p p p -⋅-⋅--⋅=.3) 方法一: )})(()({21212211B B A A C B A B A C P ⋃⋃⋃⋃)})(({)}({21212211B B A A C P B A B A C P ⋃⋃+⋃=)()()()()(21212211B B P A A P C P B A B A P C P ⋃⋅⋃⋅+⋃⋅=)2()2()2()1(2222B B A A C B AB AC p p p p p p p p p p -⋅-⋅+⋅-⋅⋅-=. 方法二: )(12212211CB A CB A B A B A P ⋃⋃⋃))((12212211B A B A C B A B A P ⋃⋃⋃=))(()()(12212211B A B A C P B A P B A P ⋃++=))(())(()(1221221221112211B A B A C B A P B A B A C B A P B A B A P ⋃-⋃-- ))((12212211B A B A C B A B A P ⋃+)()()()()()(12212211B A B A P C P B P A P B P A P ⋃⋅+⋅+⋅=)()()()()()(1212112211B A A B B A P C P B P A P B P A P ⋃⋅-⋅⋅⋅- )()(212221B B A B A A P C P ⋃⋅-)()(2121B B A A P C P ⋅+]2[222B A B A C B A p p p p p p p -+=22B A p p -][22222B A B A BA C p p p p p p p -+-22B A C p p p + )22222(C B A C B C A B A C B A p p p p p p p p p p p p +---+=.29.解: 记事件=i A {第i 轮甲命中目标}, =i B {第i 轮乙命中目标}, ,2,1=i . 则 {甲获胜} ⋃⋃⋃=322112111A B A B A A B A A , 所以 =}{甲获胜P )(322112111 ⋃⋃⋃A B A B A A B A A P+++=)()()(322112111A B A B A P A B A P A P+⋅⋅⋅⋅+⋅⋅+=)()()()()()()()()(322112111A P B P A P B P A P A P B P A P A P +⋅-⋅-+⋅-⋅-+=12211211)]1()1[()1()1(p p p p p p p)1()1(1211p p p -⋅--=21211p p p p p ⋅-+=.由于 {乙获胜} ⋃⋃⋃=332211221111B A B A B A B A B A B A , 所以 =}{乙获胜P )(332211221111 ⋃⋃⋃B A B A B A B A B A B A P+++=)()()(332211221111B A B A B A P B A B A P B A P+⋅-⋅-+⋅-⋅-+⋅-=22231222121)1()1()1()1()1(p p p p p p p p)1()1(1)1(2121p p p p -⋅--⋅-=212121)1(p p p p p p ⋅-+⋅-=.或: =}{乙获胜P }{1甲获胜P -212111p p p p p ⋅-+-=212121)1(p p p p p p ⋅-+⋅-=.30解: 一名患者痊愈的概率记为p , 10名患者痊愈的个数记为X ,则),10(~p b X .1) 由题意知,35.0=p ,所求概率为 =}{通过试验被否定P }3{≤X P i i i i -=⨯⨯⎪⎭⎫⎝⎛=∑103065.035.0105138.0≈. 2) 由题意知,25.0=p ,所求概率为=}{通过试验被认定有效P }4{≥X P }3{1≤-=X Pi i i i -=⨯⨯⎪⎭⎫⎝⎛-=∑103075.025.01012241.0≈.习题2(p53)1. 设随机变量X 的分布律为:2(), 1,2,33xP X x c x ⎛⎫=== ⎪⎝⎭求c 的值。
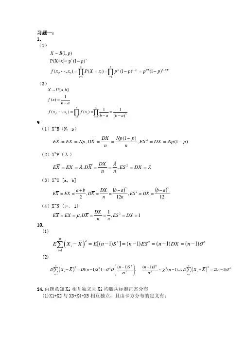
习题一、基本概念1.解: 设12345,,,,X X X X X 为总体的样本1)51151~(1,) (,,)(1)i ix x i X B p f x x p p -==-∏555(1)11(1),5x x i i p p x x -==-=∑2)λλλλλ55155151!!),,( )(~-==-∏∏==e x ex x x f P X i ixi i xi3)5155111~(,) (,,),,1,...,5()i X U a b f x x a xi b i b a b a ===≤≤=--∏所以5151,,1,...,5()(,,)0,a xi b i b a f x x ⎧≤≤=⎪-=⎨⎪⎩其他 4)()⎪⎭⎫ ⎝⎛-==∑∏=-=-5122/55125121exp 221),,( )1,(~2i i i x x e x x f N X i ππμ 2.解: 由题意得:因为0110,(),1,n k k k x x k F x x x x n x x ++<⎧⎪⎪≤<⎨⎪≥⎪⎩,所以40,00.3,010.65,12()0.8,230.9,341,4x x x F x x x x <⎧⎪≤<⎪⎪≤<⎨≤<⎪⎪≤<⎪≥⎩3.解:它近似服从均值为172,方差为5.64的正态分布,即(172,5.64)N 4.解:()55-5 510/2- -⎪⎪⎭⎫ ⎝⎛<<-=⎪⎪⎭⎫ ⎝⎛<=<k X k P k X P k X P μμμ 因k 较大()()()()()()()-555(15)2510.950.95P X k k k k k k k μ<≈Φ-Φ-=Φ--Φ=Φ-=Φ=,5 1.65,0.33k k ==查表5.解:()-5250.853.8 1.1429 1.7143(1.7143)( 1.14296.3/6X P X P ⎛⎫<<=-<<=Φ-Φ- ⎪⎝⎭)0.9564(10.8729)0.8293=--=6.解:()()()~(20,0.3),~(20,0.2),~(0,0.5),0.3 0.30.3Y N Z N Y Z Y Z N P Y Z P Y Z P Y Z -->=->+-<-设与相互独立,0.42430.42431(0.4243)(1(0.4243))22(0.4243)P P ⎫⎫=>=+<-⎪⎪⎭⎭=-Φ+-Φ=-Φ220.66280.6744=-⨯= 7.解:101010222111~(0,4),~(0,1),2111 10.05,0.95444444ii i i i i i i X X N N c c c P X P X P X ===⎛⎫⎛⎫⎛⎫>=-≤=≤= ⎪ ⎪ ⎪⎝⎭⎝⎭⎝⎭∑∑∑则查卡方分位数表 c/4=18.31,c=73.24 8.解:由已知条件得:(1,),1()iX Y B p p F μ=-由i X 互相独立,知i Y 也互相独立,所以1(,),1().niX i Y B n p p F μ==-∑9.解: 1))1(,)1(,2p Np DX ES np Np n DX X D Np EX X E -==-==== 2)λλλ======DX ES nn DX X D EX X E 2,, 3)()()12,12,2222a b DX ES n a b n DX X D b a EX X E -==-==+==4)1,1,2======DX ES nn DX X D EX X E μ10.解: 1)()22212)1()1()1()1(σ-=-=-=-=-∑=n DX n ES n S n E X X E ni i2)()222242221(1)(1)(1), ~(1)nii n S n S DXX D n S D n σχσσ=⎛⎫---=-=- ⎪⎝⎭∑ ()2412(1)ni i D X X n σ=∴-=-∑11.解:ππππππn X E dt e dy ey dy ey X nE Y E nn DY X E EY N X n Y n N X t y y 2)(,2)1(222222||21)(),11,0(),1,0(~),/1,0(~)102222==Γ==========-∞+-∞+-∞+∞-⎰⎰⎰ 令ππππππ211,2)1(222222||21),1,0(~)21102222===Γ====∑∑⎰⎰⎰==-∞+-∞+-∞+∞-n i i n i i t x x X E n X n E dt e dx ex dx ex X E N X12.解:1)()2224X E X E X E n μμ-=-=()244100.1X X D E n n⎡⎤=+=+≤⎢⎥⎣⎦ 40n ∴≥2)2222,2u u X u E u du ue du +∞+∞---∞===⎰⎰222220022002(1)0.1,80010,254.6,255u uutue du ue duue d e dtE X En nμπ+∞+∞--+∞+∞--===Γ=-==≤≥≥=∴≥⎰⎰⎰⎰3) ()()111P X P X Pμμ⎛-≤=-≤-≤=≤≤⎝⎭0.975210.95,2221.96,15.36,16u n n⎛⎛⎫⎛=Φ-Φ-=Φ-≥⎪⎪⎝⎭⎝⎭⎝⎭≥=≥≥13.解:()()()112221111111,n ni ii iY XY X a X na X an b b n bEY EX a S Sb b==⎛⎫=-=-=-⎪⎝⎭=-=∑∑14.解:1)12345~(0,2),~(0,3)X X N X X X N+++~~(0,1)N N1111,, 2.23c d n∴===2)()2345222212~(2),~(1)3X X XX Xχχ+++()()22122234523~(2,1),,2,123XX F c m n X X X +===++15.解: 设1(1,)p F n α-=,即()1(1P F p P p α≤=-⇔≤=-()()12()2()12P T P T pP T ppP T ⇔≤-≤=-⇔≤=-⇔≤=-122112()()(1,)p p p t n tn F n α---=∴==16.解:()()()()()()()()()121222222221212222212121212212221212~(0,2),~(0,~~(0,1)~~(2)2210.1,2X X N X X N N N X X X X t P t P X X X X X X X X X X t P X X X X c χχ+-+⎛⎫⎛⎫++>=> ⎪ ⎪⎪ ⎪++-++-⎝⎭⎝⎭⎧⎫+⎪⎪=-≤=⎨⎬++-⎪⎪⎩⎭=0.9(1,2)8.532tF == 17.证明: 1)2211122211()0,(),(0,)1(1)(1)n n n n n E X X D X X X X N nnn S n t n σσχσ+++++-=-=∴---=-又2)2211111()0,(),(0,)n n n n n E XX D X X X X N nnσσ+++++-=-=∴- 3)2211111()0,(),(0,)n n E X X D X X X X N nnσσ---=-=∴- 18. 解:()()()62,47.61,96.125.0,975.025.0,95.0125.0225.0/25.025.0975.0≥≥=≥≥Φ≥-Φ=⎪⎪⎭⎫ ⎝⎛≤-≤-=≤-n n u n n n n n X n P X P σμσμ 19.解[,]0,1,[,](),(),0,[,]1,X U a b x a x a b x a f x F x a x b b a b a x a b x b ≤⎧⎧⎪∈-⎪⎪∴==<≤-⎨⎨-⎪⎪∉⎩>⎪⎩1(1)()(1())()n f x n F x f x -∴=-111()1(),[,]0,[,]1(),[,]()(())()0,[,]n n n n b a n x a b b a b a x a b x a n x a b f x n F x f x b a b ax a b ----⎧∈⎪=--⎨⎪∉⎩-⎧∈⎪==--⎨⎪∉⎩20.解:()()()()()()()55(1)(1)11515555555(5)111011011011101211121(1(1))1(11(1))1(1)0.5785121515 1.5(1.5)0.93320.70772i i i i i i i i i i P X P X P X P X X P X P XP X P =====<=-≥=-≥=--≤⎛-⎫⎛⎫=--≤- ⎪⎪⎝⎭⎝⎭=--Φ-=--+Φ=-Φ=-⎛⎫<==<=<=Φ== ⎪⎝⎭∏∏∏∏∏21. 解:1)因为21~(0,)mii XN m σ=∑,从而~(0,1)miXN ∑2221~()m ni i m Xn χσ+=+∑,所以~()miX t n ξ=2)因为22211~()mii Xm χσ=∑,22211~()m nii m Xn χσ+=+∑所以2121~(,)mi i m ni i m n X F m n m X =+=+∑∑3)因为21~(0,)mii XN m σ=∑,21~(0,)m nii m XN n σ+=+∑所以2212()~(1)mi i X m χσ=∑,2212()~(1)m ni i m X n χσ+=+∑故222221111~(2)mm ni i i i m X X m n χσσ+==+⎛⎫⎛⎫+ ⎪ ⎪⎝⎭⎝⎭∑∑ 22.解:由Th1.4.1 (2)()(),95.047.321),1(~122222=⎪⎪⎭⎫⎝⎛≤---σχσS n P n S n查表:n 121,n 22-==23.解: 由推论1.4.3(2)05.095.0139.2139.2),14,19(~222122212221=-=⎪⎪⎭⎫ ⎝⎛≤-=⎪⎪⎭⎫ ⎝⎛>S S P S S P F S S 24.解: 1)()()94.005.099.057.3785.10)20(~),1,0(~),,0(~2201222220122=-=≤≤=⎪⎭⎫ ⎝⎛-=---∑∑==χχχσμσμσμσμP X XN X N X i i i ii i2)()895.01.0995.058.381965.11),19(~192222222012=-=⎪⎪⎭⎫ ⎝⎛≤≤=-∑=σχσσS P S X Xi i25. 解: 1)()4532.07734.0221)75.0(21431435/2080380=⨯-=+Φ-=⎪⎭⎫ ⎝⎛≤-=⎪⎪⎭⎫ ⎝⎛>-=>-U P X P X P2)()()05.01975.021064.21064.25/2674.780380=+⨯-=≤-=⎪⎪⎭⎫ ⎝⎛>-=>-T P X P X P 26.解: 1)8413.0120472.4472.4=⎪⎪⎭⎫ ⎝⎛<-=⎪⎪⎭⎫ ⎝⎛<-=⎪⎭⎫ ⎝⎛+<σσσa X P a X P a XP 2)2222222222223132222222S P S P S P S P σσσσσσσσ⎛⎫⎛⎫⎛⎫⎛⎫-<=-<-<=<<=<< ⎪ ⎪ ⎪ ⎪⎝⎭⎝⎭⎝⎭⎝⎭22199.528.50.950.050.9S P σ⎛⎫=<<=-= ⎪⎝⎭3)3676.3,328.120,1.020,9.02012020/1===⎪⎪⎭⎫ ⎝⎛≤=⎪⎪⎭⎫⎝⎛≤-=⎪⎪⎭⎫⎝⎛>-=⎪⎪⎭⎫⎝⎛>-=⎪⎪⎭⎫ ⎝⎛>-c c c T P c T P c S X P c S X P c X S P μμμ27.解:22cov(,)(,))(1()()1cov(,)()1(,)1i j j i j i j i j i j i j X X X X r X X X X D X n D X X D X X nX X X X E X X X X X X X X nr X X X X n σσ----=---=-=--=---=-∴--=--28.解:()2221212)1(2)1(,)1(,21),2,2(~σσμ-=-=-=-===+=∑∑==+n ES n ET S n Y Y T X Y n Y N X X Y Y Y ni i ni i in i i 令习题二、参数估计1.解:矩估计()1 3.40.10.20.90.80.70.766X =+++++= ()()11111ln ln(1)ln nnni i i i nii L x x L n x αααααα===⎡⎤=+=+⎣⎦=++∏∏∑121ln ln 01ˆ10.2112ln n i i n ii d n L x d n x αααα====+=+=--=∑∑3077.0121ˆ,212)1()1(110121=--==++=++=+=⎰++X XX x dx x EX αααααααα所以12112ˆˆ,11ln n ii X nX X αα=⎛⎫⎪- ⎪==-+-⎪ ⎪⎝⎭∑,12ˆˆ0.3079,0.2112αα≈≈ 2.解: 1)3077.02ˆ,21====X X EX θθ111ln 0nni L nL θθθ====-=∏无解,依定义:21ˆmax ii nX θ≤≤= 2)矩法:211ˆˆ1.2,0.472212EX DX θθ====极大似然估计:22ˆˆ1.1,0.1833212EX DX θθ====3. 1)解:矩法估计:111ˆ,EX X Xλλ===最大似然估计:111,ln ln niii nnx x ni i i L eeL n L x λλλλλ=--==∑===-∑∏2111ˆln 0,ni ni ii d n nL x d Xxλλλ===-===∑∑2)解:~()X P λ矩估计:X X EX ===1ˆ,λλ最大似然估计:1,ln ln ixnxnn i i iiL eeL n nx x x xλλλλλλ--====-+-∑∏∏2ˆln 0,d nx L n X d λλλ=-+==3)解:矩估计:()2,212b a a bEX DX -+==联立方程:()2*221ˆ2ˆa X b X a bX b a M ⎧=-⎪→+⎧=⎪⎪⎨-⎪=⎪⎩⎨=+⎪⎩极大似然估计:依照定义,11ˆˆmin ,max i ii ni na Xb X ≤≤≤≤== 4) 解: 矩估计:00ln EX dx xxθθ+∞+∞==⎰,不存在22111,ln ln 2ln nnni i i i iL L n x x x θθθ=====-∑∏∏ln 0n L αθ∂==∂,无解;故,依照定义,(1)ˆX θ= 5)解: 矩法:()/0()(1)(2)x txEX edx t e dt αβααβαββ+∞+∞---==+=Γ+Γ⎰⎰ X αβ=+=2222()(1)2(2)(3)t EX t e dt αβααββ+∞-=+=Γ+Γ+Γ⎰ 222222122()i M X nααββαββ=++=++==∑22222*2111ˆˆi M X X X M nX βαβ=-=-==-=∑即11ˆˆX X αβ=-===极大似然估计:()()/1111exp ,ln ln i nx ni n L enx n L n nx αβαβαβββββ---=⎡⎤==--=--+⎢⎥⎣⎦∏2ln 0,ln ()0n n nL L x ααββββ∂∂===-+-=∂∂ α无解,依定义有:(1)(1)ˆˆ,L L X X X X αβα==-=- 7)解: 矩法:22223222(2)x x tx EX dx dte dt Xθθθ+∞+∞+∞---=====⎰⎰⎰ˆ2Mθ=极大似然估计:22222211iixnxn ni ii iL x eθθ--==∑⎛⎫== ⎪⎝⎭∏222ln ln43ln ln ln iixL n n n xθθ=---∑∑233ˆln20,iLxnLθθθθ∂=-+==∂∑8)解:矩法:2222222222022222223(1)(1)[(1)](1)(1)(1)1221x x x x x xxxd dEX x xd dd dq Xdq dq qθθθθθθθθθθθθθ∞∞∞-===∞==--=-=---=====-∑∑∑∑2ˆM Xθ=极大似然估计:22221(1)(1)(1)(1)ln2ln(2)ln(1)ln(1)inx n nx ni iiiL x xL n nx n xθθθθθθ--==--=--=+--+-∏∏∑222ˆln0,1Ln nx nLXθθθθ∂-=-==∂-4解:11112112(,,)(1)(1)ln(,,)ln(1)ln(1)n ni ii i i iy yny y nninL p y y y p p p pL p y y y ny p n y p==--=∑∑=-=-=+--∏12(,,)0(1)ny pd L p y y y ndp p p-==-ˆp Y=记001,;0,i i i iy x a y x a=≥=<则(1,)iY B p;5.解:1,ln lninx n nxiL e e L n nxλλλλλλ--====-∏711120000ˆln 0,,2010001000i i i d n L nx X x v d X λλλ==-=====∑ 1ˆ0.05Xλ== 6解:因为其寿命服从正态分布,所以极大似然估计为:2211ˆˆ,()ni i x x n μσμ===-∑ 根据样本数据得到:2ˆˆ997.1,17235.811μσ==。
数理统计习题答案第一章1.解: ()()()()()()()12252112222219294103105106100511100519210094100103100105100106100534n i i n i i i i X x n S x x x n ===++++====-=-⎡⎤=-+-+-+-+-⎣⎦=∑∑∑2. 解:子样平均数 *11li i i X m x n ==∑()118340610262604=⨯+⨯+⨯+⨯=子样方差 ()22*11l i i i S m x x n ==-∑()()()()222218144034106422646018.67⎡⎤=⨯-+⨯-+⨯-+⨯-⎣⎦=子样标准差4.32S == 3. 解:因为i i x ay c-=所以 i i x a cy =+11ni i x x n ==∑()1111ni i ni i a cy n na cy n ===+⎛⎫=+ ⎪⎝⎭∑∑1ni i ca y n a c y==+=+∑所以 x a c y =+ 成立()2211nxi i s x x n ==-∑()()()22122111ni i ini i nii a cy a c y n cy c yn c y y n====+--=-=-∑∑∑因为 ()2211nyi i s y yn ==-∑ 所以222x ys c s = 成立()()()()()172181203.2147.211.2e n n e nM X X R X X M X X +⎛⎫ ⎪⎝⎭⎛⎫+ ⎪⎝⎭====-=--====4. 解:变换 2000i i y x =-11n i i y y n ==∑()61303103042420909185203109240.444=--++++-++=()2211n y i i s y y n ==-∑()()()()()()()()()222222222161240.444303240.4441030240.4449424240.44420240.444909240.444185240.44420240.444310240.444197032.247=--+--+-+⎡⎣-+-+-+⎤--+-+-⎦=利用3题的结果可知2220002240.444197032.247x y x y s s =+===5. 解:变换 ()10080i i y x =-13111113n i i i i y y y n ====∑∑[]12424334353202132.00=-++++++-+++++=()2211n y i i s y y n ==-∑()()()()()()22222212 2.0032 2.005 2.0034 2.001333 2.003 2.005.3077=--+⨯-+-+⨯-⎡⎣⎤+⨯-+--⎦=利用3题的结果可知2248080.021005.30771010000yx yx s s -=+===⨯ 6. 解:变换()1027i i y x =-11li i i y m y n ==∑()13529312434101.5=-⨯-⨯+⨯+=-2710yx =+=26.85 ()2211lyi i i s m y y n ==-∑()()()()22221235 1.539 1.5412 1.534 1.510440.25⎤=⨯-++⨯-++⨯+++⎡⎣⎦= 221 4.4025100x y s s ==*11li i i x m x n ==∑()1156101601416426172121682817681802100166=⨯+⨯+⨯+⨯+⨯+⨯+⨯=()22*11l i i i s m x x n ==-∑()()()()()()()2222222110156166141601662616416628168166100121721668176166218016633.44=⨯-+⨯-+⨯-+⨯-⎡⎣⎤+⨯-+⨯-+⨯-⎦= 8解:将子样值重新排列(由小到大)-4,-2.1,-2.1,-0.1,-0.1,0,0,1.2,1.2,2.01,2.22,3.2,3.21()()()()()172181203.2147.211.2e n n e nM X X R X X M X X +⎛⎫ ⎪⎝⎭⎛⎫+ ⎪⎝⎭====-=--====9解: 121211121211n n i ji j n x n x n n x n n ==+=+∑∑112212n x n xn n +=+()12221121n n ii s x x n n +==-+∑()()()1212221122111122121222222111222112212122222211221122112212121222211211122121n n i i n n iji j x xn n x xn x n x n n n n n s x n sx n x n xn n n n n s n s n x n x n x n x n n n n n n n n n x n n s n s n n +====-++⎛⎫+=- ⎪++⎝⎭+++⎛⎫+=-⎪++⎝⎭⎛⎫+++=+- ⎪+++⎝⎭+++=++∑∑∑()()()()()()22212211222122222112212112212122121222212121122212122n n x n x n x n n n s n s n n x n n x n n x x n n n n n n x x n s n s n n n n +-++++-=+++-+=+++解:()20040.1460.3670.75790.9910110x x x F x x x x <⎧⎪≤<⎪⎪≤<=⎨≤<⎪⎪≤<⎪≥⎩15415816216617017417812. 解: ()ix P λ i Ex λ= i Dx λ= 1,2,,i n =⋅⋅⋅1122111111n n i i i i n ni i i i n E X E x Ex n n n n DX D x Dx n nn n λλλλ============∑∑∑∑13.解:(),i x U a b 2i a bEx += ()212i b a Dx -= 1,2,,i n =⋅⋅⋅ 在此题中()1,1ix U - 0i Ex = 13i Dx = 1,2,,i n =⋅⋅⋅112111101113n ni i i i nni i i i E X E x Ex n n DX Dx Dx n n n==========∑∑∑∑14.解:因为 ()2,iX N μσ 0i X Eμσ-= 1i X Dμσ-=所以()0,1i X N μσ- 1,2,,i n =⋅⋅⋅由2χ分布定义可知()222111nni ii i X Y Xμμσσ==-⎛⎫=-= ⎪⎝⎭∑∑服从2χ分布所以 ()2Yn χ15. 解:因为 ()0,1i X N 1,2,,i n =⋅⋅⋅ ()1230,3X X X N ++0E=1=所以()0,1N()221χ同理()221χ由于2χ分布的可加性,故()222123Y χ=+可知 13C =16. 解:(1)因为 ()20,i X N σ 1,2,,i n =⋅⋅⋅()0,1iX N σ所以 ()22121ni i X Y n χσσ=⎛⎫= ⎪⎝⎭∑(){}11122Y Y y F y P Y y P σσ⎧⎫=≤=≤⎨⎬⎩⎭()220yf x d xσχ=⎰()()211'221Y Y y f y F y f χσσ⎛⎫==⨯ ⎪⎝⎭因为 ()2122202200n x n x e x n f x x χ--⎧⎪>⎪⎛⎫=⎨Γ ⎪⎪⎝⎭⎪≥⎩所以 ()21122202200n y n n Y y e y n f y y σσ--⎧⎪>⎪⎛⎫=⎨Γ ⎪⎪⎝⎭⎪≤⎩(2) 因为 ()20,i X N σ 1,2,,i n =⋅⋅⋅()0,1iX N σ所以 ()22221ni i X nY n χσσ=⎛⎫= ⎪⎝⎭∑(){}()22222220nyY nYny F y P Y y P f x dx σχσσ⎧⎫=≤=≤=⎨⎬⎩⎭⎰()()222'22Y Y ny n f y F y f χσσ⎛⎫==⎪⎝⎭ 故 ()221222202200n nny n n Y n y e y n f y y σσ--⎧⎪>⎪⎛⎫=⎨Γ ⎪⎪⎝⎭⎪≤⎩(3)因为 ()20,i X N σ 1,2,,i n =⋅⋅⋅()10,1ni N =所以()22311ni Y n χσ=⎛=⎝(){}()()22333210yn Y Y F y P Y y P y f x dx n σχσ⎧⎫=≤=≤=⎨⎬⎩⎭⎰()()()233'2211Y Y y f y F y f n n χσσ⎛⎫== ⎪⎝⎭()()221000x x f x x χ-⎧>=≤⎩故 ()232000y n Y y f y y σ-⎧>=≤⎩(4)因为 ()20,iX N σ 1,2,,i n =⋅⋅⋅所以()()1224210,11ni ni N Y χσ==⎛= ⎝(){}()()()()()224224442210'2211yY Y Y y F y P Y y P f x dxy f y F y f σχχχσσσσ⎧⎫=≤=≤=⎨⎬⎩⎭⎛⎫== ⎪⎝⎭⎰故 ()242000y Y y f y y σ-⎧>=≤⎩17.解:因为 ()X t n存在相互独立的U ,V()0,1UN ()2Vn χ使X =()221Uχ则 221U X V n=由定义可知()21,F n χ18解:因为 ()20,i X N σ 1,2,,i n =⋅⋅⋅()10,1ni N =()221n mi i n X m χσ+=+⎛⎫⎪⎝⎭∑所以()1nniX Y t m ==(2)因为()0,1iX N σ1,2,,i n m =⋅⋅⋅+()()221221ni i n mi i n X n X m χσχσ=+=+⎛⎫ ⎪⎝⎭⎛⎫ ⎪⎝⎭∑∑所以 ()221122211,ni n i ii n m n mi ii n i n X m X n Y F n m X n X mσσ==++=+=+⎛⎫⎪⎝⎭==⎛⎫ ⎪⎝⎭∑∑∑∑19.解:用公式计算()20.010.019090χ=查表得 0.01 2.33U = 代入上式计算可得 ()20.01909031.26121.26χ=+=20.解:因为 ()2X n χ 2E n χ= 22D n χ=由2χ分布的性质3可知()0,1N{}P X c P≤=≤22lim tnP dt-→∞-∞≤==Φ故{}P X c≤≈Φ第二章1.00,0()0,0()()1()111xxx xxe xf xxE x f x xdx xe dxxe e d xexλλλλλλλλλλλλ-+∞+∞--∞+∞+∞--+∞-⎧≥=⎨<⎩=⋅==-+=-==⎰⎰⎰令从而有1xλ∧=2.()111121).()(1)(1)1111k kx xE x k p p p k pppp∞∞--===-=-==⎡⎤--⎣⎦∑∑令1p=X所以有1pX∧=2).其似然函数为1`11()(1)(1)ni x i i nX nni L P P p p p -=-=∑=-=-∏1ln ()ln ()ln(1)n i i L P n p X n p ==+--∑1ln 1()01ni i d L n X n dp p p ==--=-∑解之得11nii np XX∧===∑3.解:因为总体X服从U(a ,b )所以()2122!2!!()12ni i a b n E X r n r X X X X a b S X b X =∧∧+=--⎧=⎪⎪⎨-⎪=⎪⎩⎧=-⎪⎨⎪=+⎩∑222(a-b )() D (X )=12令E (X )= D (X )=S ,1S =n a+b 2()a4. 解:(1)设12,,n x x x 为样本观察值则似然函数为:111()(),01,1,2,,ln ()ln ln ln ln 0n ni i i nii inii L x x i nL n x d L nxd θθθθθθθθ-====<<==+=+=∏∑∑(-1)解之得:11ln ln nii nii nxnxθθ=∧==-==∑∑(2)母体X 的期望1()()1E x xf x dx x dx θθθθ+∞-∞===+⎰⎰而样本均值为:5.。
习题22.1 X 23456789101112P1/36 1/18 1/12 1/95/36 1/65/36 1/9 1/12 1/18 1/362.2解:根据1)(0==∑∞=k k X P ,得10=∑∞=-k kae,即1111=---eae 。
故 1-=e a2.3解:用X 表示甲在两次投篮中所投中的次数,X~B(2,0.7) 用Y 表示乙在两次投篮中所投中的次数, Y~B(2,0.4) (1) 两人投中的次数相同P{X=Y}= P{X=0,Y=0}+ P{X=1,Y=1} +P{X=2,Y=2}=11220202111120202222220.70.30.40.60.70.30.40.60.70.30.40.60.3124C C C C C C ⨯+⨯+⨯=(2)甲比乙投中的次数多P{X >Y}= P{X=1,Y=0}+ P{X=2,Y=0} +P{X=2,Y=1}=12211102200220112222220.70.30.40.60.70.30.40.60.70.30.40.60.5628C C C C C C ⨯+⨯+⨯=2.4解:(1)P{1≤X ≤3}= P{X=1}+ P{X=2}+ P{X=3}=12321515155++= (2) P{0.5<X<2.5}=P{X=1}+ P{X=2}=12115155+= 2.5解:(1)P{X=2,4,6,…}=246211112222k +++=11[1()]1441314k k lim→∞-=-(2)P{X ≥3}=1―P{X <3}=1―P{X=1}- P{X=2}=1111244--=2.6解:设i A 表示第i 次取出的是次品,X 的所有可能取值为0,1,212341213124123{0}{}()(|)(|)(|)P X P A A A A P A P A A P A A A P A A A A ====18171615122019181719⨯⨯⨯= 1123412342341234{1}{}{}{}{}2181716182171618182161817162322019181720191817201918172019181795P X P A A A A P A A A A P A A A A P A A A A ==+++=⨯⨯⨯+⨯⨯⨯+⨯⨯⨯+⨯⨯⨯= 12323{2}1{0}{1}1199595P X P X P X ==-=-==--= 2.7解:(1)设X 表示4次独立试验中A 发生的次数,则X~B(4,0.4)34314044(3)(3)(4)0.40.60.40.60.1792P X P X P X C C ≥==+==+= (2)设Y 表示5次独立试验中A 发生的次数,则Y~B(5,0.4)345324150555(3)(3)(4)(5)0.40.60.40.60.40.60.31744P X P X P X P X C C C ≥==+=+==++=2.8 (1)X ~P(λ)=P(0.5×3)= P(1.5)0 1.51.5{0}0!P X e -=== 1.5e - (2)X ~P(λ)=P(0.5×4)= P(2)0122222{2}1{0}{1}1130!1!P X P X P X e e e ---≥=-=-==--=-2.9解:设应配备m 名设备维修人员。