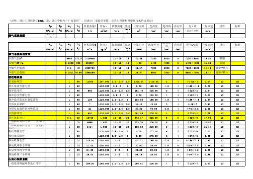
湿法脱硫工艺计算书表格
- 格式:xls
- 大小:186.50 KB
- 文档页数:9
1湿法脱硫系统物料平衡一、计算基础数据(1)待处理烟气烟气量:1234496Nm3/h(wet)、1176998 Nm3/h(dry)烟气温度:114℃烟气中SO2浓度:3600mg/Nm3烟气组成:石灰石浓度:96.05%二、平衡计算(1)原烟气组成计算(2)烟气量计算1、①→②(增压风机出口→ GGH出口):取GGH的泄漏率为0.5%,则GGH出口总烟气量为1234496 Nm3/h×(1-0.5%)=1228324Nm3/h=1629634kg/h泄漏后烟气组分不变,但其质量分别减少了0.5%,见下表。
温度为70℃。
2、⑥→⑦(氧化空气):假设脱硫塔设计脱硫率为95.7%,即脱硫塔出口二氧化硫流量为3778×(1-95.7%)=163 kg/h,二氧化硫脱除量=(3778-163)/64.06=56.43kmol/h。
取O/S=4需空气量=56.43×4/2/0.21=537.14kmol/h×28.86(空气分子量)=15499.60kg/h,约12000Nm3/h。
其中氧气量为537.14 kmol/h×0.21=112.80 kmol/h×32=3609.58kg/h氮气量为537.14 kmol/h×0.79=424.34 kmol/h×28.02=11890.02kg/h。
氧化空气进口温度为20℃,进塔温度为80℃。
3、②→③(GGH出口→脱硫塔出口):烟气蒸发水量计算:1)假设烟气进塔温度为70℃,在塔内得到充分换热,出口温度为40℃。
由物性数据及烟气中的组分,可计算出进口烟气的比热约为0.2536kcal/kg.℃,Cp =0.2520 kcal/kg.℃。
(40℃)Cp烟气=(0.2536+0.2520)/2=0.2528 kcal/kg.℃氧化空气进口温度为80℃,其比热约为0.2452 kcal/kg.℃,Cp(40℃)=0.2430kcal/kg.℃。
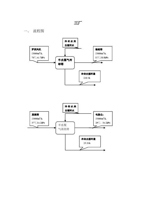
三厂一、流程图二、各设备热量衡算进半脱冷却塔的气量为: 53000 m 3 气体成分物料衡算(1) H 2S 脱除量---G 1,kg/h 、G 1=G 0(C 1-C 2)=5.3*104*(1.5-0.06)/1.0*103=76.32 kg/h (2)溶液循环量L T ,m 3/h 、 L T =1200 m 3/h(3) 生成Na 2S 2O 3消耗的H 2S 的量 G 2, kg/h 、 取Na 2S 2O 3的生成率为H 2S 脱除量的8%计算 即G 2=76.32*8%=6.11 kg/h (4) Na 2S 2O 3DE 生成量,G 3, kg/hG3=6.11*158/2*32=14.20 kg/h(5) 理论回收硫量G4, kg/hG4=(76.32-6.11)*32/34=66.08 kg/h(6) 硫泡沫生成量G5 m3/hS1--------硫泡沫中的硫含量,kg/ m3此处取S1=30 kg/ m3G5=66.08/30=2.22 m3/h(7) 入熔硫釜硫膏量G6 kg /hG6= G4/S2S2-----硫膏含硫量,此处取S2=20%G6=66.08/0.2=330.4 kg /h1、冷却塔热量衡算(1)冷却塔热负荷,Q1,kJ/h半水煤气进冷凝塔的温度为:70℃,出口的温度为:35℃70℃水蒸汽的压力为31.2 KPa;35℃水蒸汽的压力为5.6KPa即70℃半水煤气含水量31.2*5.3*104/141=1.17*104 m3 35℃半水煤气含水量5.6*5.3*104/138=2.15 *103m3Q1= G0 [C P (t1-t2)+ W1i1- W2i2]C P-----半水煤气平均等压比热容kJ/(kmol.℃)W1. W2------------入.出冷却塔半水煤气含水量C P=43%*10.13*2+31.5%*0.754*28+6.8%*0.653*44+18%*0.745*28+0.7%*0.653*32=21.22 kJ/(kmol.℃)即Q1= G0 [C P (t1-t2)+ W1i1- W2i2]=5.3*104*21.22*(70-35)/22.4+1.17*104*0.1979*2624.3-2.15*103*0.03960*2559=7.62*106 kJ/h(2)冷却水消耗W3 kg /hW3= Q1/C△t △t=8℃即W3=7.62*106/8*4.183=2.28*105kg /h2、清洗热量衡算(1)清洗塔热负荷,Q1,kJ/h半水煤气进清洗的温度为:37℃,34.2KPa出口的温度为:29℃,34.2KPa37℃水蒸汽的压力为6.3 KPa;29℃水蒸汽的压力为4.0KPa即37℃半水煤气含水量6.3*5.3*104/134=2.49*103 m333℃半水煤气含水量4.0*5.3*104/134=1.58*103m3Q1= G0 [C P (t1-t2)+ W1i1- W2i2]C P-----半水煤气平均等压比热容kJ/(kmol.℃)W1. W2------------入.出冷却塔半水煤气含水量C P=43%*10.13*2+31.5%*0.754*28+6.8%*0.653*44+18%*0.745*28+0.7%*0.653*32=21.22 kJ/(kmol.℃)即Q1= G0 [C P (t1-t2)+ W1i1- W2i2]=5.3*104*21.22*(37-29)/22.4 +2.49*103*0.05114*2401.0-1.58*103*0.03036*2423.7=5.91*105 kJ/h(2)冷却水消耗W3 kg /hW3= Q1/C△t △t=8℃即W3=5.91*105/8*4.183=2.32*104kg /h3、熔硫釜热量消耗(1)熔硫釜热负荷,Q3,kJ/h硫的比热容:0.71KJ/(kg.℃)硫的熔融热:1.72*103 kJ/kmol由前面物料衡算知道:硫泡沫生成量G5=2.22m3/h同时硫的理论回收量:G4=66.68 kg/h即硫的体积:V=66.08/(1.96*103)=0.034m3/h即清液的量为:G8=(2.22-0.034)m3/h= 2.19m3/hQ3=Q硫+Q清液Q硫=0.71*(120-40)*66.68+1.72*103*66.68/32=7.47*103 kJ/hQ清液=0.8834*4.1868*(135-40)*2.19*1.04626*103=0.81*106 kJ/h即Q3=Q硫+Q清液=7.47*103+0.812*106=0.819*106 kJ/h(2)蒸汽消耗量,W,kg/h进熔硫釜的蒸汽压力为:0.6MPa,温度为164℃,出口冷凝液的温度为:164℃,,压力为:0.5 MPa。
一、工艺流程二、设计计算定额1.煤气处理量7000Nm3/h2.脱硫塔前煤气硫化氢含量0.8g/Nm33.脱硫塔后煤气硫化氢含量20mg/Nm34.脱硫效率98%5.脱硫塔煤气进口温度35℃6.脱硫塔煤气进口压力11000Pa7.脱硫塔煤气出口压力10000Pa三、设备计算1.脱硫塔:(见图一)进脱硫塔湿煤气体积为V=7000×[(273+35)/273]×[(1.01325×105)/(1.01325×105+11000-5720)]=7506m3/h (式中5720为35℃时饱和水蒸气压力Pa)脱硫塔进口吸收推动力为△p1=*11000/101325+1+×0.8×(22.4/34)×(1/1000)×101325=59.2PαH2S物质的量脱硫塔出口吸收推动力为△p2=*10000/101325+1+×0.02×(22.4/34)×(1/1000)×101325=1.5Pα硫化氢的吸收量为G=7000×[(800-20)/(1000×1000)]=5.46kg/h脱硫塔的传质系数K取为17×10-5kg/(m2·h·Pa),则需用传质面积为F=5.46/(17×10-5×15.7)=2046m2选用多孔组合洗涤环ZHΦ240,比表面90m2/m3,空隙率0.75m3/m3,需填料体积V1=2046/90=22.73m3。
取每层填料层高1.8m,则共需N=22.73/(1.8×0.785×22)=4.02,共设四层。
取脱硫吸收液的硫容量为0.20kg/m3,则溶液循环量(即脱硫塔顶的喷淋量)为L=5.46/0.20=27.3m3/h 喷淋密度校核:脱硫塔的喷淋密度为l=27.3/(0.785×22)=8.69m3/(m2·h);按喷淋密度27.5m3/(m2·h)计算得到的喷淋量为27.5×0.785×22=86.4m3;脱硫塔的液气比为(86.4×1000)/7506=11.5L/m3,符合脱硫塔的液气比要求。
1湿法脱硫系统物料平衡一、计算基础数据(1)待处理烟气烟气量:1234496Nm3/h(wet)、1176998 Nm3/h(dry)烟气温度:114℃烟气中SO2浓度:3600mg/Nm3烟气组成:石灰石浓度:96.05%二、平衡计算(1)原烟气组成计算(2)烟气量计算1、①→②(增压风机出口→ GGH出口):取GGH的泄漏率为0.5%,则GGH出口总烟气量为1234496 Nm3/h×(1-0.5%)=1228324Nm3/h=1629634kg/h泄漏后烟气组分不变,但其质量分别减少了0.5%,见下表。
温度为70℃。
2、⑥→⑦(氧化空气):假设脱硫塔设计脱硫率为95.7%,即脱硫塔出口二氧化硫流量为3778×(1-95.7%)=163 kg/h,二氧化硫脱除量=(3778-163)/64.06=56.43kmol/h。
取O/S=4需空气量=56.43×4/2/0.21=537.14kmol/h×28.86(空气分子量)=15499.60kg/h,约12000Nm3/h。
其中氧气量为537.14 kmol/h×0.21=112.80 kmol/h×32=3609.58kg/h氮气量为537.14 kmol/h×0.79=424.34 kmol/h×28.02=11890.02kg/h。
氧化空气进口温度为20℃,进塔温度为80℃。
3、②→③(GGH出口→脱硫塔出口):烟气蒸发水量计算:1)假设烟气进塔温度为70℃,在塔内得到充分换热,出口温度为40℃。
由物性数据及烟气中的组分,可计算出进口烟气的比热约为0.2536kcal/kg.℃,Cp =0.2520 kcal/kg.℃。
(40℃)Cp烟气=(0.2536+0.2520)/2=0.2528 kcal/kg.℃氧化空气进口温度为80℃,其比热约为0.2452 kcal/kg.℃,Cp(40℃)=0.2430kcal/kg.℃。
锅炉燃煤数据
输入完后
黄色区域为输入数据取
请不要改动蓝色区域点击"露点计算"表中计算按钮完成计算
数
-来自《化学
气体比热
-来自《化学
气体比热
-来自《化学
硫和石灰脱硫计算有区别)
参数
气体比热
-来自《化学
气体比热
-来自《化学
体比热用-来自《化学化工物性数据手册》(无机卷)
体比热用-来自《化学化工物性数据手册》(无机卷)
体比热用-来自《化学化工物性数据手册》(无机卷)
体比热用-来自《化学化工物性数据手册》(无机卷)
体比热用-来自《化学化工物性数据手册》(无机卷)。
备注:1、湿法指的是石灰石--石膏湿法脱硫。
2、我们地区硫含量平均值基本在4.5%。
3、
法脱硫设计必须满足100%脱硫标准进行(若超净排放建议炉内脱硫效率也不能超过30%)。
4、通过自己大致核算结比,在硫含量低于0.8时,认为办干法脱硫运行比较经济,但随着硫含量增加,湿法运行经济性逐步比干法好,硫优势越明显。
5、若有不足之处望各位同仁多批评指正。
6、干法脱硫没考虑水质提高和蒸汽费用。
)。
3、湿法脱硫不考虑炉内脱硫部分,即是湿过30%)。
4、通过自己大致核算结合我公司运行情况对法运行经济性逐步比干法好,硫含量越高,湿法比干法提高和蒸汽费用。