《应用统计学》练习试题和答案解析
- 格式:doc
- 大小:633.00 KB
- 文档页数:18
应用统计学练习题第一章绪论一、填空题1.统计工作与统计学的关系是__统计实践____和___统计理论__的关系。
2.总体是由许多具有_共同性质_的个别事物组成的整体;总体单位是__总体_的组成单位。
3.统计单体具有3个基本特征,即__同质性_、__变异性_、和__大量性__。
4.要了解一个企业的产品质量情况,总体是_企业全部产品__,个体是__每一件产品__。
5.样本是从__总体__中抽出来的,作为代表_这一总体_的部分单位组成的集合体。
6.标志是说明单体单位特征的名称,按表现形式不同分为__数量标志_和_品质标志_两种。
7.性别是_品质标志_标志,标志表现则具体体现为__男__或__女_两种结果。
8.统计指标按其数值表现形式不同可分为__总量指标__、__相对指标_和__平均指标__。
9.指标与标志的主要区别在于:10.(1)指标是说明__总体__特征的,而标志则是说明__总体单位__特征的。
11.(2)标志有不能用__数量__表示的_品质标志_与能用_数量_表示的_数量标志_,而指标都是能用_数量_表示的。
12.一个完整的统计工作过程可以划分为_统计设计_、_统计调查_、_统计整理_和__统计分析__4个阶段。
二、单项选择题1.统计总体的同质性是指(A)。
A.总体各单位具有某一共同的品质标志或数量标志B.总体各单位具有某一共同的品质标志属性或数量标志值C.总体各单位具有若干互不相同的品质标志或数量标志D.总体各单位具有若干互不相同的品质标志属性或数量标志值2.设某地区有800家独立核算的工业企业,要研究这些企业的产品生产情况,总体是( D)。
A.全部工业企业家工业企业C.每一件产品家工业企业的全部工业产品3.有200家公司每位职工的工资资料,如果要调查这200家公司的工资水平情况,则统计总体为(A)。
家公司的全部职工家公司家公司职工的全部工资家公司每个职工的工资4.一个统计总体( D)。
A.只能有一个标志B.可以有多个标志C.只能有一个指标D.可以有多个指标5.以产品等级来反映某种产品的质量,则该产品等级是(C)。
《应用统计学》模拟考试题参考答案一、单项选择题(每题2分,共20分)1. 统计学的三个基本概念是()A. 总体、个体、样本B. 标志、指标、变量C. 数据、分布、概率D. 参数、统计量、假设答案:B2. 下列哪个是统计总体的定义?()A. 具有相同特征的事物集合B. 统计研究对象的总体C. 统计调查的对象D. 统计分析的总体答案:B3. 下列哪个是变量的定义?()A. 具有不同数值的量B. 具有相同数值的量C. 具有相同单位的量D. 具有不同单位的量答案:A4. 下列哪个是统计量的定义?()A. 样本中所有变量的集合B. 样本中所有变量的平均值C. 样本中所有变量的标准差D. 样本中所有变量的方差答案:D5. 下列哪个是假设检验的定义?()A. 对总体参数的假设进行检验B. 对样本数据的假设进行检验C. 对总体数据的假设进行检验D. 对样本参数的假设进行检验答案:A6. 下列哪个是正态分布的特点?()A. 对称性、单峰性、无限延伸B. 集中趋势、离散程度、分布形状C. 均值、方差、标准差D. 参数估计、假设检验、置信区间答案:A7. 下列哪个是相关系数的定义?()A. 描述两个变量之间线性关系的程度B. 描述两个变量之间非线性关系的程度C. 描述两个变量之间相关关系的程度D. 描述两个变量之间相互作用的程度答案:A8. 下列哪个是回归分析的定义?()A. 分析两个变量之间线性关系的统计方法B. 分析两个变量之间非线性关系的统计方法C. 分析多个变量之间相关关系的统计方法D. 分析多个变量之间相互作用的统计方法答案:A9. 下列哪个是置信区间的定义?()A. 根据样本数据估计总体参数的区间B. 根据总体数据估计样本参数的区间C. 根据样本数据估计样本参数的区间D. 根据总体数据估计总体参数的区间答案:A10. 下列哪个是方差分析的定义?()A. 分析多个样本均数差异的统计方法B. 分析多个样本标准差差异的统计方法C. 分析多个样本方差差异的统计方法D. 分析多个样本相关系数差异的统计方法答案:A二、判断题(每题2分,共10分)1. 统计学的研究对象是客观现象总体的数量方面。
《应用统计学》本科第一章导论一、单项选择题1.统计有三种涵义,其基础是( )。
(1)统计学 (2)统计话动 (3)统计方法 (4)统计资料2.一个统计总体( )。
(1)只能有个标志 (2)只能有一个指标 (3)可以有多个标志 (4)可以有多个指标3.若要了解某市工业生产设备情况,则总体单位是该市( )。
(1)每一个工业企业 (2)每一台设备 (3)每一台生产设备 (4)每一台工业生产设备4.某班学生数学考试成绩分刷为65分、71分、80分和87分,这四个数字是( )。
(1)指标 (2)标志 (3)变量 (4)标志值5.下列属于品质标志的是( )。
(1)工人年龄 (2)工人性别 (3)工人体重 (d)工人工资6.现要了解某机床厂的生产经营情况,该厂的产量和利润是( )。
(1)连续变量 (2)离散变量 ()3前者是连续变量,后者是离散变量 (4)前者是离散变量,后者是连续变量7.劳动生产率是( )。
(1)动态指标 (2)质量指标 (3)流量指标 (4)强度指标8.统计规律性主要是通过运用下述方法经整理、分析后得出的结论( )。
(1)统计分组法 (2)大量观察法 (3)练台指标法 (4)统计推断法9.( )是统计的基础功能。
(1)管理功能 (2)咨询功能 (3)信息功能 (4)监督功能10.( )是统计的根本准则,是统计的生命线。
(1)真实性 (2)及时件 (3)总体性 (4)连续性11.构成统计总体的必要条件是( )。
(1)差异性 (2)综合性 (3)社会性 (4)同质性12.数理统计学的奠基人是( )。
(1)威廉·配第 (2)阿亭瓦尔 (3)凯特勒 (4)恩格尔13.统汁研究的数量必须是( )。
(1)抽象的量 (2)具体的量 (3)连续不断的量 (4)可直接相加量14.数量指标一般表现为( )。
(1)平均数 (2)相对数 (3)绝对数 (1)众数15.指标是说明总体特征的.标志则是说明总体单位特征的,所以( )。
应用统计学练习题第一章绪论一、填空题1.统计工作与统计学的关系是__统计实践____和___统计理论__的关系。
2.总体是由许多具有_共同性质_的个别事物组成的整体;总体单位是__总体_的组成单位。
3.统计单体具有3个基本特征,即__同质性_、__变异性_、和__大量性__。
4.要了解一个企业的产品质量情况,总体是_企业全部产品__,个体是__每一件产品__。
5.样本是从__总体__中抽出来的,作为代表_这一总体_的部分单位组成的集合体。
6.标志是说明单体单位特征的名称,按表现形式不同分为__数量标志_和_品质标志_两种。
7.8.统计指标按其数值表现形式不同可分为__总量指标__、__相对指标_和__平均指标__。
9.指标与标志的主要区别在于:(1)指标是说明__总体__特征的,而标志则是说明__总体单位__特征的。
(2)标志有不能用__数量__表示的_品质标志_与能用_数量_表示的_数量标志_,而指标都是能用_数量_表示的。
10.一个完整的统计工作过程可以划分为_统计设计_、_统计调查_、_统计整理_和__统计分析__4个阶段。
二、单项选择题1.统计总体的同质性是指(A)。
A.总体各单位具有某一共同的品质标志或数量标志B.总体各单位具有某一共同的品质标志属性或数量标志值C.总体各单位具有若干互不相同的品质标志或数量标志D.总体各单位具有若干互不相同的品质标志属性或数量标志值2.设某地区有800家独立核算的工业企业,要研究这些企业的产品生产情况,总体是( D)。
A.全部工业企业B.800家工业企业C.每一件产品D.800家工业企业的全部工业产品3.有200家公司每位职工的工资资料,如果要调查这200家公司的工资水平情况,则统计总体为(A)。
A.200家公司的全部职工B.200家公司C.200家公司职工的全部工资D.200家公司每个职工的工资4.一个统计总体( D)。
A.只能有一个标志B.可以有多个标志C.只能有一个指标D.可以有多个指标5.以产品等级来反映某种产品的质量,则该产品等级是(C)。
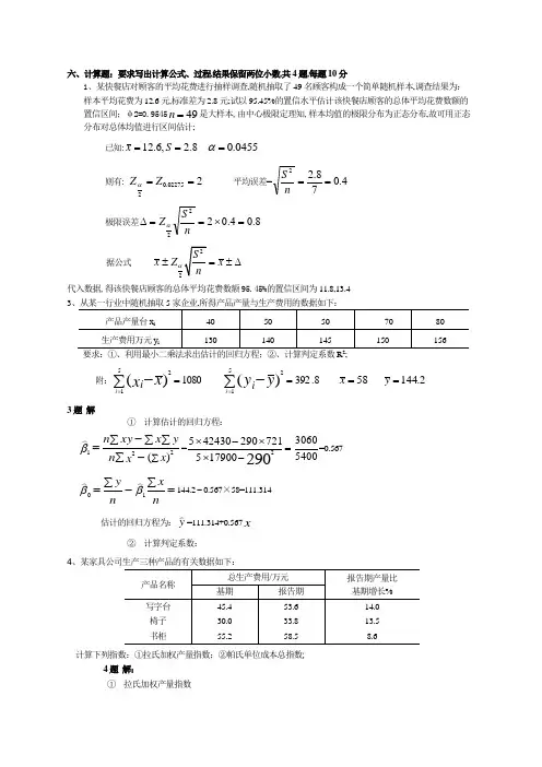
六、计算题:(要求写出计算公式、过程,结果保留两位小数,共4题,每题10分)1、某快餐店对顾客的平均花费进行抽样调查,随机抽取了49名顾客构成一个简单随机样本,调查结果为:样本平均花费为12.6元,标准差为2.8元。
试以95.45%的置信水平估计该快餐店顾客的总体平均花费数额的置信区间;(φ(2)=0.9545)49=n 是大样本,由中心极限定理知,样本均值的极限分布为正态分布,故可用正态分布对总体均值进行区间估计。
已知:8.2,6.12==S x 0455.0=α 则有:202275.02==Z Z α平均误差=4.078.22==n S334计算下列指数:①拉氏加权产量指数;②帕氏单位成本总指数。
4题解:① 拉氏加权产量指数=1000001.1445.4 1.13530.0 1.08655.2111.60%45.430.055.2q p q q p q ⨯+⨯+⨯==++∑∑②帕氏单位成本总指数=11100053.633.858.5100.10%1.1445.4 1.13530.0 1.08655.2q p q q p q ++==⨯+⨯+⨯∑∑ 模拟试卷(二) 一、填空题(每小题1分,共10题)1、我国人口普查的调查对象是,调查单位是。
2、___频数密度=频数÷组距,它能准确反映频数分布的实际状况。
143>σ,x 甲>x 乙,由此可推断()x 的代表性高于乙组 4、通常所说的指数是指()①、个体指数②、动态相对数③、复杂现象总体综合变动的相对数 5、抽样误差大小()①、不可事先计算,但能控制②、能够控制,但不能消灭③、能够控制和消灭6、某人持有一种股票,连续三年皆获益,但三年的收益率皆不同,要计算这三年的平均收益率应采用的方法为()①、算术平均数②、中位数③、几何平均数7、某企业生产属连续性生产,为了检查产品质量,在每天生产过程中每隔一小时抽取一件产品进行检验.这种抽样方式是()①、简单随机抽样②、分层抽样③、等距抽样8、在假设检验中,若500:,500:10<≥μμH H ,则此检验是()①、左侧检验②、右侧检验③、双侧检验9、季节指数刻画了时间序列在一个年度内各月或季的典型季节特征。
六、计算题:要求写出计算公式、过程,结果保留两位小数,共4题,每题10分1、某快餐店对顾客的平均花费进行抽样调查,随机抽取了49名顾客构成一个简单随机样本,调查结果为:样本平均花费为12.6元,标准差为2.8元;试以95.45%的置信水平估计该快餐店顾客的总体平均花费数额的置信区间;φ2=0.954549=n 是大样本,由中心极限定理知,样本均值的极限分布为正态分布,故可用正态分布对总体均值进行区间估计;已知:8.2,6.12==S x 0455.0=α则有:202275.02==Z Z α 平均误差=4.078.22==n S极限误差8.04.0222=⨯==∆nS Z α据公式xx ±=±∆ 代入数据,得该快餐店顾客的总体平均花费数额95.45%的置信区间为11.8,13.4 3要求:①、利用最小二乘法求出估计的回归方程;②、计算判定系数R ; 附:1080512)(=∑-=i x x i8.392512)(=∑-=i y y i 58=x 2.144=y3题 解① 计算估计的回归方程:∑∑∑∑∑--=)(221x x n y x xy n β==-⨯⨯-⨯290217900572129042430554003060=0.567 =-=∑∑nxnyββ10144.2 – 0.567×58=111.314估计的回归方程为:y=111.314+0.567x② 计算判定系数:4计算下列指数:①拉氏加权产量指数;②帕氏单位成本总指数;4题 解:① 拉氏加权产量指数= 1000001.1445.4 1.13530.0 1.08655.2111.60%45.430.055.2q p q q p q ⨯+⨯+⨯==++∑∑② 帕氏单位成本总指数=11100053.633.858.5100.10%1.1445.4 1.13530.0 1.08655.2q p q q p q ++==⨯+⨯+⨯∑∑ 模拟试卷二 一、填空题每小题1分,共10题1、我国人口普查的调查对象是 ,调查单位是 ;2、___ 频数密度 =频数÷组距,它能准确反映频数分布的实际状况;3、分类数据、顺序数据和数值型数据都可以用 饼图 条图 图来显示;4、某百货公司连续几天的销售额如下:257、276、297、252、238、310、240、236、265,则其下四分位数5、某地区2005年1季度完成的GDP=30亿元,2005年3季度完成的GDP=36亿元,则GDP年度化增长率6、某机关的职工工资水平今年比去年提高了5%,职工人数增加了2%,则该企业工资总额增长了 7.1% ; 7、对回归系数的显着性检验,通常采用的是 t 检验;8、设置信水平=1-α,检验的P 值拒绝原假设应该满足的条件是 p<a ;1、 具有我国国籍并在我国境内长住的人指自然人、每一个人2、 频数密度 6、7.1%3、 饼图、条形 7、t4、 286.5 8、P<α5、 44% 9、16二、单项选择题在每小题的3个备选答案中选出正确答案,并将其代号填在题干后面的括号内;每小题1分,共14分1、研究如何对现象的数量特征进行计量、观察、概括和表述的理论和方法属于 ①、应用统计学 ②、描述统计学 ③、推断统计学2、若某总体次数分布呈轻微左偏分布,则成立的有①、x > e M >o M ③、x >o M >e M3>σ,x 甲>x 乙,由此可推断②、甲组x 的代表性高于乙组 ③、甲、乙组的工作均衡性相同4、通常所说的指数是指①、个体指数 ②、动态相对数 ③、复杂现象总体综合变动的相对数5、抽样误差大小①、不可事先计算,但能控制 ②、能够控制,但不能消灭 ③、能够控制和消灭6、某人持有一种股票,连续三年皆获益,但三年的收益率皆不同,要计算这三年的平均收益率应采用的方法为①、算术平均数 ②、中位数 ③、几何平均数7、某企业生产属连续性生产,为了检查产品质量,在每天生产过程中每隔一小时抽取一件产品进行检验.这种抽样方式是①、简单随机抽样 ②、分层抽样 ③、等距抽样8、在假设检验中,若500:,500:10<≥μμH H ,则此检验是 ①、左侧检验 ②、右侧检验 ③、双侧检验9、季节指数刻画了时间序列在一个年度内各月或季的典型季节特征;在乘法模型中,季节指数是以其平均数等于什么为条件而构成的 ①、100% ②、400% ③、1200%10、某专家小组成员的年龄分别为29,45,35,43,45,58,他们年龄的中位数为①、45 ②、40 ③、4411、若直线回归方程中的回归系数1ˆβ为负数,则 ①、r 为0 ②、r 为负数 ③、r 为正数12、当分布数列中各变量值的频率相等时 ①、该数列众数等于中位数 ②、该数列众数等于算术均值 ③、该数列无众数13、某次考试学生的考试成绩X 近似服从正态分布,()64,78~N X ,则可认为有大约68.26%的学生考试成绩分布的范围是 ①、70,80 ②、70,86 ③、62,9414、某班有40名学生,其中男女学生各占一半,则该班学生的成数方差为①、三、多项选择题:在下列备选答案中,有一个以上正确答案,请将其全部选出并把顺序号填入括号内;共7题,每题2分;1、二手数据审核的主要内容是数据的①、适用性 ②、时效性 ③、准确性2、下列命题正确的有①、样本容量与置信水平与正比 ②、样本容量与总体方差成反比 ③、样本容量与边际误差成反比 3、统计中计算数值型数据的平均数时,依据资料的不同,平均数的计算形式有 ①、算术平均数 ②、移动平均数 ③、调和平均数4、某商业企业今年与去年相比,各种商品的价格总指数为117.5%,这一结果说明①、商品零售价格平均上涨了17.5% ②、商品零售量平均上涨了17.5% ③、由于价格提高使零售额增长了17.5%5、指出下列表述中哪些肯定是错误的①、1.1,3.1100ˆ-=--=r x y②、8.0,5.2304ˆ=--=r x y ③、6.0,5180ˆ=-=r x y6、区间估计①、没有考虑抽样误差大小 ②、考虑了抽样误差大小 ③、能说明估计结论的可靠程度 7、回归分析中①、t 检验是双侧检验 ②、F 检验是检验回归方程的显着性 ③、在一元线性回归分析中,t 检验和F 检验是等价的四、判断题:判断命题的正误,对的,在题干前的括号内打√号;错的,在题干前的括号内打×号;共10题,每题1分;Y1、统计要说明现象总体的数量特征,必须要先搜集该总体中的全部个体的数据; Y2、询问调查属于定性方法,它通常围绕一个特定的主题取得有关定性资料; Y3、箱线图主要展示分组的数值型数据的分布;N 4、异众比率主要用于衡量中位数对一组数据的代表程度;N 5、统计数据的误差通常有抽样误差和非抽样误差两类; N6、若一组数据的均值是450,则所有的观测值都在450周围; Y7、移动平均不仅能消除季节变动,还能消除不规则变动; N8、右侧检验中,如果P 值<α,则拒绝H 0; Y9、 r=0说明两个变量之间不存在相关关系;Y10、方差分析是为了推断多个总体的方差是否相等而进行的假设检验; 五、简要回答下列问题共2题,每题6分; 2、根据下面的方差分析表回答有关的问题:方差分析注:试验因素A 有三个水平;⑴写出原假设及备择假设;⑵写出SST,SSA,SSE,e A T f f f ,,,MSA,MSE,n 以及P 值; ⑶判断因素A 是否显着; 答案 ⑴ 原假设 3210:μμμ==H备择假设 ()3,2,1:1=i H i μ不全等⑵ SST=0.001245 SSA=0.001053 SSE=0.000192 14=T f 2=A f 12=e f MSA=0.000527 MSE=0.000016 15=nP 值=1.34E-05⑶ F 值=32.91667>()88529.312,2=αF拒绝原假设,因素A 显着;六、计算题:要求写出计算公式、过程,结果保留两位小数,共4题,每题10分1、某小区居民共有居民500户,小区管理者准备采用一项新的供水设施,想了解居民是否赞成;采取重复抽样方法随机抽取了50户,其中有32户赞成,18户反对;1求总体中赞成该项改革的户数比例的置信区间,置信水平为95.45%Z α/2=22如果小区管理者预计赞成的比例能达到80%,应抽取多少户进行调查 设边际误差E=0.081题 解:1 n = 50 p = 32/50 =64%E=()213.58%64%13.58%50.42%,77.58%αZ ==±置信区间为即 应抽取100户进行调查;21采用指数平滑法平滑系数α=0.5预测第十周的营业额F 8=555.19;2若经过计算,平滑系数α=0.5时误差均方=3847.31,平滑系数α=0.3时误差均方=5112.92,问用哪一个平滑系数预测更合适2题 解:2平滑系数α=0.5时误差均方=3847.31<平滑系数α=0.3时误差均方=5112.92∴ 用平滑系数α=0.5预测更合适;3、某汽车生产商欲了解广告费用x 对销售量y 的影响,收集了过去12年的有关数据;通过计算得到下面的有关结果:①求A 、B 、C 的值;②销售量的变差中有多少是由于广告费用的变动引起的③销售量与广告费用之间的相关系数是多少 ④写出估计的回归方程并解释回归系数的实际意义;⑤检验线性关系的显着性 a =0.053题 解1A=SSR / 1=1422708.6 B=SSE / n-2=220158.07/10=22015.807C=MSR / MSE=1422708.6/22015.807=64.6221221422708.6086.60%1642866.67SSR RSST === 表明销售量的变差中有88.60%是由于广告费用的变动引起的;30.93R ===4估计的回归方程:回归系数1ˆ 1.420211β=表示广告费用每增加一个单位,销售量平均增加1.420211个单位;5检验线性关系的显着性:H 0 :01=β∵Significance F=2.17E-09<α=0.05∴拒绝H 0,, 线性关系显着;4、某企业三种产品的出口价及出口量资料如下:(1)计算拉氏出口量指数;2计算帕氏出口价指数4题 解:统计学试卷及答案三一、 判断题1.统计学是一门方法论科学,其目的是探索数据的内在数量规律性,以达到对客观事物的科学认识;2.统计研究的过程包括数据收集、数据整理、分析数据和解释数据四个阶段; 3.统计数据误差分为抽样误差和非抽样误差;4.按所采用的计量尺度不同,可以将统计数据分为时间序列数据和截面数据 5.用来描述样本特征的概括性数字度量称为参数;6.如果数据呈左偏分布,则众数、中位数和均值的关系为:均值<中位数<众数; 7.通过散点图可以判断两个变量之间有无相关关系; 8.所有可能样本均值的数学期望等于总体均值;9.影响时间序列的因素可分为:长期趋势、季节变动、循环波动和不规则变动四种;10.狭义的统计指数是用来说明那些不能直接加总的复杂现象综合变动的一种特殊相对数; 二、单项选择题1.D 2.C 3.B 4.C 5.B 6.C 7.A 8.C 9.B 10.B 11.B 12.C 13.C 14.B 15.B1.为了估计全国高中生的平均身高,从20个城市选取了100所中学进行调查;在该项研究中样本是 ;A 100所中学B 20个城市C 全国的高中生D 100所中学的高中生2.一名统计学专业的学生为了完成其统计作业,在统计年鉴中找到的2005年城镇家庭的人均收入数据;这一数据属于;A 分类数据B 顺序数据C 截面数据D 时间序列数据3.某连续变量数列,其首组为50以下;又知其邻近组的组中值为75,则首组的组中值为A 24B 25C 26D 274.两组数据相比较 ;A 标准差大的离散程度也就大B 标准差大的离散程度就小C 离散系数大的离散程度也就大D 离散系数大的离散程度就小5.在下列指数中,属于质量指数的是 ;A 产量指数B 单位产品成本指数C 生产工时指数D 销售量指数6.定基增长速度与环比增长速度的关系为 ;A 定基增长速度等于相应的各个环比增长速度的算术和B 定基增长速度等于相应的各个环比增长速度的连乘积C 定基增长速度等于相应的各个环比增长速度加1后的连乘积再减1D 定基增长速度等于相应的各个环比增长速度的连乘积加1或100%7.某企业报告期产量比基期增长了10%,生产费用增长了8%,则其产品单位成本降低了 ;A 1.8%B 2.5%C 20%D 18%8.用简单随机重复抽样方法抽取样本单位,如果要使抽样标准差降低50%,在其他条件不变的情况下,则样本容量需要扩大到原来的 ;A 2倍B 3倍C 4倍D 5倍9.如果变量x和变量y之间的相关系数为﹣1,这说明两个变量之间是 ;A 低度相关关系B 完全相关关系C 高度相关关系D 完全不相关10.合理施肥量与农作物亩产量之间的关系是 ;A 函数关系B 相关关系C 没有关系D 正比例关系11.在回归分析中,描述因变量y如何依赖自变量x和误差项ε的方程称为 ;A 回归方程B 回归模型C 估计的回归方程D 理论回归方程12.平均指标是用来反映一组数据分布的的指标;A 相关程度B 离散程度C 集中程度D 离差程度13.在正态总体方差已知时,在小样本条件下,总体均值在1-α置信水平下的置信区间可以写为 ;A nz x 22σα± B nt x σα2±ns z x 22α±14.在其他条件不变的情况下,降低估计的置信水平,其估计的置信区间将 ; A 变宽 B 变窄 C 保持不变 D 无法确定15.在同等条件下,重复抽样误差和不重复抽样误差相比 ; A 两者相等 B 前者大于后者 C 前者小于后者 D 无法判断三、 多项选择题1.按计量尺度不同,统计数据可分为三类即 A 时间序列数据 B 实验数据 C 分类数据 D 顺序数据 E 数值型数据 2.统计调查方案的内容包括 ;A 确定调查目的B 确定调查对象和调查单位C 设计调查项目和调查表D 调查所采用的方式和方法E 调查时间及调查组织和实施的具体细则 3.反映分类数据的图示方法包括 ;A 条形图B 直方图C 圆饼图D 累积频数分布图E 茎叶图 4.具有相关关系的有 ;A 工号和工作效率B 受教育程度与收入水平C 子女身高和父母身高D 收入水平与消费量E 人口与物价水平 5.下列属于时期数列的有 ;A 某商店各月库存数B 某商店各月的销售额C 某企业历年产品产量D 某企业某年内各季度产值E 某企业某年各月末人数 1.CDE 2. ABCDE 3.AC 4.BCD 5.BCD 五、计算分析题1.从一个正态总体中随机抽取样本容量为8的样本,各样本值分别为:10,8,12,15,6,13,5,11;求总体均值95%的置信区间;已知365.2)18(025.0=-t ;12分1.解:已知n=8,总体服从正态分布,σ未知,样本抽样分布服从t 分布 365.2)18(025.0=-t 置信下限=10-2.89=7.11 置信上限=10+2.89=12.89总体均值μ的95%的置信区间为 7.11,12.89 2.已知某企业连续5年钢产量资料如下:试根据上表资料填出表中数字;注意没有的数字划“—”,不准有空格10分3.某商场出售三种商品销售资料如下表所示:14分试计算:1三种商品销售额总指数;2三种商品的价格综合指数;3三种商品的销售量综合指数;4分析销售量和价格变动对销售额影响的绝对数和相对数;注:计算结果保留2位小数4.某地区1991—1995年个人消费支出和收入资料如下:14分要求:1计算个人收入与消费支出之间的相关系数,说明两个变量之间的关系强度;2用个人收入作自变量,消费支出作因变量,求出估计的直线回归方程,并解释回归系数的实际意义;3当个人收入为100万元时预测该地区的消费支出为多少注:计算结果保留4位小数答案:统计学试卷三标准答案一、判断题在题后的括号里正确划“√”、错误划“×”,每题1分,共计10分1.√ 2.√ 3. √ 4. × 5. × 6. √ 7. √ 8. √ 9. √ 10. √五、计算分析题本题共50分2.已知某企业连续五年钢产量资料如下:3.某企业三种产品的销售资料如下表所示:相对数:商品销售额指数%84.160285004584011===∑∑qp q p K pq绝对数:元)(1734028500458400011=-=-∑∑q p q p 2价格综合指数%54.11739000458401011===∑∑q p q p3相销售量综合指数%84.1362850039000001===∑∑p q p q 4综合分析160.84%=136.84%117.54% 17340元=10500元+3840元从相对数上看:三种商品销售额报告期比基期提高了60.84%,是由于销售价格的提高是销售额提高了17.54%和由于销售量的增加使销售额提高了36.84%两因素共同影响的结果;从绝对值上看,报告期比基期多销售17340元,由于销售价格的提高而使销售额增加6840元和由于销售量的提高是销售额增加10500元两因素共同影响的结果;19872.0)345244615)(385301135(345385271125])(][)([222222=-⨯-⨯⨯-⨯=---=∑∑∑∑∑∑∑y y n x x n yx xy n r 8.09872.0>=r ,所以两个变量之间为高度相关;2设估计的值直线回归方程为 x y ∧∧∧+=10ββ∴ x y 1688.19976.20+-=∧回归系数1.1688说明当个人收入增加1个万元时,消费支出平均增加1.1688万元;3当100=x 万时,8824.951001688.19976.20y =⨯+-=∧。
大学课程《应用统计学》试题及答案一、单项选择题1、要了解居民消费支出状况,应该采用()A.普查B.重点调查C.统计报表制度D.抽样调查答案:D2、以下哪种集中趋势的描述指标适用于任意分布类型。
()A.算术均数B.中位数C.几何均数D.众数答案:A)3、以下描述数据间结构状况较为合适的是(A.直方图B.线图C.饼图D.条线图答案:C4、如果所有标志值的频数都减少为原来的1/5 ,而标志值仍然不变,那么算术平均数()。
A.不变B.扩大到原来的5 倍C.减少为原来的1/5D.不能预测其变化答案:A5、在下列两两组合的平均指标中,两个平均数完全不受极端数值影响的是()。
A.算术平均数和中位数B.几何平均数和众数D.众数和中位数C.算术平均数和众数答案:D6、总量指标按反映总体的时间状态不同,可分为()。
A.时期指标和时点指标B.总体标志总量和总体单位总数C.数量指标和质量指标D.实物量指标、价值量指标和劳动量指标答案:A7、标志值较小的一组其权数较大时,则算术平均数()。
A.接近标志值较大的一组B.接近标志值较小的一组D.仅受标志值影响C.不受权数影响答案:B8、若甲单位的平均数比乙单位的平均数小,但甲单位的标准差比乙单位的标准差大,则()。
A.甲单位的平均数代表性比较大B.甲单位的平均数代表性比较小D.无法判断C.两单位的平均数一样大答案:B二、多项选择题1、以下关于变量数列中频率的说法中正确的是()A.各族频率之和一定大于0B.各组频率大于1D.各族频率之和等于1C.各族频率大于或等于0E.各族频率之和小于1答案:CD2、适合编制组距式分配数列的变量是()A.变异范围小的连续变量B.所有离散变量C.变异范围大的连续变量D.变异范围大的离散变量E.变异范围小的离散变量答案:CD3、统计指标的表现形式有()。
A.比重指标B.总量指标C.相对指标D.人均指标E.平均指标答案:BCE4、某单位100 名职工按工资额分为3000 元以下、3000~4000 元、4000~6000元、6000~8000 元、8000 元以上等5 个组。
应用统计学试题和答案分析1、某快餐店对顾客的平均花费进行抽样调查,随机抽取了49名顾客构成一个简单随机样本,调查结果为:样本平均花费为12.6元,标准差为2.8元。
试以95.45%的置信水平估计该快餐店顾客的总体平均花费数额的置信区间。
解题过程:由于样本量n=49是大样本,应用中心极限定理,样本均值的极限分布为正态分布,因此可以用正态分布对总体均值进行区间估计。
已知:x=12.6,S=2.8,α=0.0455(φ(2)=0.9545)则有:Zα/2=Z0.=1.96平均误差=2.8/√49=0.4极限误差Δ=1.96×0.4=0.784置信区间为x±Δ,代入数据得该快餐店顾客的总体平均花费数额95.45%的置信区间为(11.8,13.4)。
2、从某一行业中随机抽取5家企业,所得产品产量与生产费用的数据如下:产品产量(台)xi:40、50、50、70、80;生产费用(万元)yi:130、140、145、150、156.要求:①利用最小二乘法求出估计的回归方程;②计算判定系数R2.解题过程:首先计算xi、yi、xi^2、yi^2、xiyi的和:xi=40+50+50+70+80=290yi=130+140+145+150+156=721xi^2=40^2+50^2+50^2+70^2+80^2=1080yi^2=130^2+140^2+145^2+150^2+156^2=xiyi=40×130+50×140+50×145+70×150+80×156=代入最小二乘法公式计算斜率β和截距α:n∑xiyi-∑xi∑yiβ=———————————n∑xi^2-(∑xi)^25×-290×7210.5675×1080-(290)^2α=1/n(∑yi-β∑xi)1/5(721-0.567×290)111.314因此,估计的回归方程为y=111.314+0.567x。
《应用统计学》练习试题和答案解析 《应用统计学》本科
第一章 导 论 一、单项选择题 1.统计有三种涵义,其基础就是( )。 (1)统计学 (2)统计话动 (3)统计方法 (4)统计资料 2.一个统计总体( )。 (1)只能有个标志 (2)只能有一个指标 (3)可以有多个标志 (4)可以有多个指标 3.若要了解某市工业生产设备情况,则总体单位就是该市( )。 (1)每一个工业企业 (2)每一台设备 (3)每一台生产设备 (4)每一台工业生产设备 4.某班学生数学考试成绩分刷为65分、71分、80分与87分,这四个数字就是( )。 (1)指标 (2)标志 (3)变量 (4)标志值 5.下列属于品质标志的就是( )。 (1)工人年龄 (2)工人性别 (3)工人体重 (d)工人工资 6.现要了解某机床厂的生产经营情况,该厂的产量与利润就是( )。 (1)连续变量 (2)离散变量 ()3前者就是连续变量,后者就是离散变量 (4)前者就是离散变量,后者就是连续变量 7.劳动生产率就是( )。 (1)动态指标 (2)质量指标 (3)流量指标 (4)强度指标 8.统计规律性主要就是通过运用下述方法经整理、分析后得出的结论( )。 (1)统计分组法 (2)大量观察法 (3)练台指标法 (4)统计推断法 9.( )就是统计的基础功能。 (1)管理功能 (2)咨询功能 (3)信息功能 (4)监督功能 10.( )就是统计的根本准则,就是统计的生命线。 (1)真实性 (2)及时件 (3)总体性 (4)连续性 11.构成统计总体的必要条件就是( )。 (1)差异性 (2)综合性 (3)社会性 (4)同质性 12.数理统计学的奠基人就是( )。 (1) 威廉·配第 (2)阿亭瓦尔 (3)凯特勒 (4)恩格尔 13.统汁研究的数量必须就是( )。 (1)抽象的量 (2)具体的量 (3)连续不断的量 (4)可直接相加量 14.数量指标一般表现为( )。 (1)平均数 (2)相对数 (3)绝对数 (1)众数 15.指标就是说明总体特征的.标志则就是说明总体单位特征的,所以( )。 (1)指标与标志之同在一定条件下可以相互变换 (2)指标与标志都就是可以用数值表示的 (3)指标与标志之间不存在戈系 (4)指标与标志之间的关系就是固定不变的 答案:一、1(2) 2(4)3(4)4(4)5(2)6(4)7(2)8(2)9(3)10(1)11(4)12(3)13(2)14(3)15(1) 二、1× 2× 3√ 4× 5√ 6× 7√ 8× 9√ 10× 11× 12× 二、判析题 l.统计学就是一门研究现象总体数量方面的方法论科学,所以它不关心、也不考虑个别现象的数量特征。 ( ) 2.三个同学的成绩不同.因此仃在三个变量 ( ) 3.统计数字的具体性就是统讣学区别于数学的根本标志。 ( ) 4.统计指标体系就是许多指标集合的总称。 ( ) 5.一般而言,指标总就是依附在总体上,而总体单位则就是标志的直接承担者。( ) 6.统计研究小的变异就是指总体单位质的差别。 ( ) 7.社会经济统计就是在质与量的联系中.观察与研究社会经济现象的数量方面。( ) 8.运用大量观察法必须对研究对象的所有单位进行观察调查。( ) 《应用统计学》练习试题和答案解析 9.综合为统计指标的前提就是总体的同质性。( ) 10.单位产品原材料消耗量就是数量指标,其值大小与研究的范围大小有关。( ) 11.质量指标就是反映总体质的特征,因此,可以用文字来表述。 () 12.大量观察法、统计分组法与综合指标法分别用于统计调查阶段、统计整理阶段与统计分析阶段。 ( )
第二章 统计调查 一、单项选择题 1.对百货商店工作人员进行普查,调查对象就是( )。 (1)各百货商店(2)各百货商店的全体工作人员 (3)一个百货商店 (4)每位工作人员 2.全国人口普查中,调查单位就是( )。 (1)全国人口 (2)每一个人(3)每一户 (4)工人工资 3.对某城市工业企业的设备进行普查,填报单位就是( )。 (1)全部设备(2)每台设备 (3)每个工业企业 (4)全部工业企业 4.某城市拟对占全市储蓄额4/5的几个大储蓄所进行调查,以了解全市储蓄的一般情况,则这种调查方式就是( )。 (1) 普查(2)典型调查(3)抽样调查(4)重点调查 5.统计调查项目就是( )。 (1)调查过程中应进行的工作总与 (2)统计调查计划 (3)在进行调查过程中必须得到回答的问题目录 (4)用统计调查的结果来得到答案的项目 6.人口普查规定统一的标准时间就是为了( )。 (1)避免登记的重复与遗漏(2)确定调查的范围 (3)确定调查的单位(4)登记的方便 7.某厂的职工人数构成如下: 性 别 职工人数 文化程度
大专以上 中学 小学 半文盲与文盲 男 女 合 计 该组的分组标志就是( ) (1)性别(2)男、女(3)文化程度(4) 性别与文化程度 8.某连续变量数列,其末组为500以上。又如其邻近组的组中值 为480,则末组的组中值为( )。 (1)520(2)510(3)530(4)540 9.次数密度就是( )。 (1)平均每组组内分布的次数(2)各组单位组距内分布的次数 (3)平均每组组内分布的频率(4)单位次数的组距长度 10.变量数列中各组频率的总与应该( )。 (1)小于1(2)等于l(3)大于1(4)不等于1 11.某连续变量分为五组t第一组为40~50,第二组为50~60,第 三组为60~70,第四组为70~80,第五组为80以上。依习惯上规定 ( )。 (1)50在第一组,70在第四组(2)60在第二组,80在第五组 (3)70在第四组,80在第五组 (4)80在第四组,50在第二组 12.对职工的生活水平状况进行分组研究,正确地选择分组标志 应当用( )。 (1)职工月工资总额的多少 (2)职工人均月收入额的多少 (3)职工家庭成员平均月收入额的多少(4)职工的人均月岗位津贴 及奖金的多少 13.分配数列有两个组成要素,它们就是( )。 《应用统计学》练习试题和答案解析 ’(1)一个就是单位数,另一个就是指标数(2)一个就是指标数,另一个就是分配次数(3)一个就是分组,另一个就是次数 (4)一个就是总体总量,另一个就是标志总量 14.下面哪一条不就是统计分组的作用( )。 (1)划分类型(2)反映总体内部结构 (3)研究现象间的依存关系 (4)反映现象的变动趋势 15.统计表中的任何一个具体数值都要由( )限定。 (1)表的总标题(2)表的横行标题 (3)表的横行与表的纵栏 (4)表的总标题、横行标题与纵栏标题 二、判析题 1.重点调查的重点单位就是根据当前的工作重点来确定的。 ( ) 2.调查时间就是指进行调查工作所需的时间。 ( ) 3,对变化较小、变动较慢的现象应采用一次性调查来取得资料。 ( ) 4.调查单位就就是填报单位。 ( ) 5.调查对象就就是统计总体,而统计总体不都就是调查对象。( ) 6.在统计调查中,调查对象可以同时又就是调查单位,调查单位可以同时又就是总体单位。 ( ) 7.进行组距分组时,当标志值刚好等于相邻两组上下限数值时,一般把此值归并列作为上限的那一组。 ( ) 8.统计表的主词栏就是说明总体各种统计指标的。 ( ) 9.直接观察法不能用于对历史资料的搜集。 ( ) 10.为了解某县主要农产品生产成本可进行经常性调查。( ) 11.较小制累计次数表示大于该组变量值下限的次数合计有多少。 ( ) 12.在组距相等的条件下,次数分布与次数密度的分布就是相同的。( ) 第二章答案: 一、1(2) 2(2)3(3)4(4)5(3)6(1)7(4)8(1)9(2)10(3)11(3)12(3)13(3)14(4)15(4) 二、1× 2× 3√ 4× 5√ 6× 7× 8× 9√ 10× 11× 12√
第三章 统计资料整理 1.某灯泡厂从一批灯泡中抽取100只进行检查,测得每只灯泡耐用时间如下(耐用时间单位:小时): 851 901 800 914 991 827 909 904 891 996 886 928 999 946 950 864 1 049 927 949 852 948 991 948 867 988 849 958 934 1 000 878 l 027 928 978 816 1 001 918 l 040 854 1 098 900 936 938 869 949 890 1 038 927 878 1 050 924 866 1 021 905 954 890 1 006 926 900 999 886
898 977 907 , 956 900 963 838 961 948 950
893 900 800 937 864 919 863 981 916 878 903 891 910 870 986 913 850 911 886 950 946 926 895 967 921 978 821 924 95l 850 试将以上数据整理成组距数列,并绘制次数分布直方图与次数分配曲线图。(以50小时为组距)
体重(千克) 组距 学生人数 次数密度 标准组距学生人数 44~46 47~49 50~52 3 3 3 10 16 22 3.3 5.3 7.3 6.6 10.6 14.6 2.某学院某系毕业班学生共有30人,她们的情况如下表: 学员 编号 性别 年龄 分配工作 单 位 学员 编号 性别 年龄 分配工作 单 位
17 男 23 交通企业 24 女 2l 交通企业