石油化学工程基础课后习题5答案
- 格式:doc
- 大小:966.50 KB
- 文档页数:21
流体流动和输送1、液体高度:,器底所受的力:压强:指示液为CCl4,其读数:2、人孔面积:压力:槽壁面积:槽壁所受压力:3、 4、6、(1)求空气的体积流量流通截面:体积流量:(2)求质量流量表压:绝压:空气的平均分子量:当时温度:空气密度:∴质量流量:7**、对容器A 孔口流速:体积流量:流出的总体积:液体降至0.5m处所需时间:剩余部分为非稳定流动,所需时间:对于容B由于B下端有短管,管内流体在流动中有下拉液体的作用,故需时间短。
8、以水平管中心线为基准面,在1-1,,2-2,间列柏式,在操作条件下,甲烷的密度:水柱压差计读数:9、10、对孔板流量计:流量与流速度关系:,即,(1)当读数为80mmHg时,,即误差=1.2%(2)读数为20mmHg时,,即误差=4.9%(3)指示液为四氯化碳时,∴流量的相对误差与以上相同。
11、体积流量:质量流量:导管中苯的流速:12、忽略阻力,,,,将数据代入,得体积流量:13、,,, , ∴=,空气流量:质量流量:,∵,,,解得,,体积流量:14、当量直径:流速:湍流15、相对粗糙度:,查图得16、,,查图得H1=0,H2=10,v1=0,v2=2.2,P2=0,17、用试差法求流量,∵λ=f(Re),Re=f(v),难以直接求解。
由Re~λ图可见,对ε=0.001的无缝钢管而言,Re在2×104~1×107之间,λ值在0.02~0.028之间,设λ=0.025,H1=5,H2=0,P1=P2=0(表压),v1=0,查图得λ=0.0235,苯的体积流量:qv=1.47×0.785×0.0282=0.91L/S (若设λ=0.024,qv=0.92L/S)校核:基本相符。
18、强烈湍流时,λ可看作常数。
,,10=1.2764×10-6/d5d5=1.2764×10-7,∴d=42mm19、(1)、(2)、(3)、20、(1)、,增加3倍(2)、(3)、,增加1倍21、(1)、, ,,,∴(2)、,,,,22、,查图,λ=0.034,∵ P1=P2=0,H1=0,动压头可忽略有效功率:轴功率:23、,H1=0,v1=0,H2=15,v2=0.74,P1=P2=0(表压)∴理论功率:轴功率:24、,∴主管中水的流量:支管中流量:25、支路管道26、40mm水柱=0.4kPa(表压),绝对压:101.3+0.4=101.4kPa 50℃空气密度:空气在导管中流速:, , 查图λ=0.026输送功率:效率:27、(1)、更换后,输出量为:扬程:(2)、两台并联两台并联后输出水量最多能达到20m3/h,但是在6.3m的扬程下,而不是25m。
石油工程基础知识单选题100道及答案解析1. 石油的主要成分是()A. 碳氢化合物B. 碳水化合物C. 氧化物D. 硫化物答案:A解析:石油主要由碳氢化合物组成。
2. 以下哪种岩石不是常见的储油岩石()A. 砂岩B. 石灰岩C. 花岗岩D. 白云岩答案:C解析:花岗岩不是常见的储油岩石,砂岩、石灰岩和白云岩是常见的储油岩石。
3. 石油勘探中,最常用的地球物理勘探方法是()A. 重力勘探B. 磁力勘探C. 地震勘探D. 电法勘探答案:C解析:地震勘探在石油勘探中应用广泛且效果较好。
4. 油井的井底压力()井口压力。
A. 大于B. 小于C. 等于D. 不一定答案:A解析:通常情况下,井底压力大于井口压力。
5. 提高采收率的方法不包括()A. 化学驱油B. 热力采油C. 微生物采油D. 降低采油速度答案:D解析:降低采油速度不是提高采收率的方法,其他选项都是常见的提高采收率的方法。
6. 石油的初次运移是指()A. 从生油岩到储集岩B. 从储集岩到圈闭C. 在储集岩内的运移D. 从圈闭到地面答案:A解析:石油的初次运移是指从生油岩到储集岩的运移。
7. 以下哪种不是石油的加工产品()A. 汽油B. 煤炭C. 柴油D. 煤油答案:B解析:煤炭不是石油的加工产品。
8. 储层的非均质性不包括()A. 层内非均质性B. 平面非均质性C. 纵向非均质性D. 体积非均质性答案:D解析:储层的非均质性通常包括层内非均质性、平面非均质性和纵向非均质性。
9. 注水开发油田时,注水井的位置通常()A. 均匀分布B. 靠近油井C. 远离油井D. 集中在高产区答案:A解析:注水开发油田时,注水井的位置通常均匀分布。
10. 油藏的驱动方式不包括()A. 水压驱动B. 气压驱动C. 重力驱动D. 人工驱动答案:D解析:油藏的驱动方式包括水压驱动、气压驱动和重力驱动等,人工驱动不是常见的油藏驱动方式。
11. 以下哪种储层孔隙类型不是主要的()A. 粒间孔隙B. 裂缝孔隙C. 溶洞孔隙D. 晶间孔隙答案:D解析:晶间孔隙在储层中不是主要的孔隙类型,粒间孔隙、裂缝孔隙和溶洞孔隙较为常见。
1.现有含15%(质)醋酸的水溶液30kg ,在25℃下用60kg 纯乙醚作萃取剂进行单级萃取,试求:(1)萃取相、萃余相的量及组成;(2)平衡两相中醋酸的分配系数;(3)萃取剂的选择性系数。
在25℃时醋酸(A)—水(B)—乙醚(S)系统的平衡数据列于附表。
解:(1) 根据相平衡数据作出三角形相图,由F x =0.15(质量分率)在三角形相图的AB 边上确定F 点,连接FS 。
有杠杆定律确定点M495.73603060=⨯+=⋅=FS M S MF 由图中读得A y =5% , B y =4% , S y =91%;A x =6% ,B x =87% , S x =7%。
过M 点的平衡联结线RE ,从图中量得线段ME 和RE 的长度,由杠杆定律可得萃取相的流量为==RE RMME (30+60)8863⨯=64.4kg/h R=M-E=90-64.4=25.6kg/h(2) 平衡两相中醋酸的分配系数:==A A A x y k 83.0%6%5= (3) 萃取剂的选择性系数:1.18%87/%6%4/%5//===B A B A x x y y β2.在单级萃取器内,用800kg 水作萃取剂,从醋酸与氯仿的混合液中萃取醋酸。
已知原料液的量也为800kg ,其中醋酸的组成为35%(质),在操作条件下(25℃)萃取系统的平衡曲线的数据列于附表。
试求:(1)萃取相和萃余相中醋酸的组成及两相的量; (2)萃取液和萃余液中醋酸的组成及各自的量;(3)醋酸的萃取率。
解:(1) 根据相平衡数据作出三角形相图,由F x =0.35(质量分率)在三角形相图AB 边上确定F 点,连接FS 。
因为F =S ,则混合点M 位于线段FS 的中点:M=F+S=800+800=1600kg/h过M 点的作平衡联结线RE ,量出线段RM 和RE 的长度,由杠杆定律:8456)800800(+==RERM ME =1067kg/hR=M-E=1600-1067=533kg/h从图读得萃取相和萃余相中醋酸的组成:y =25% ,x =7%(质量分率)。
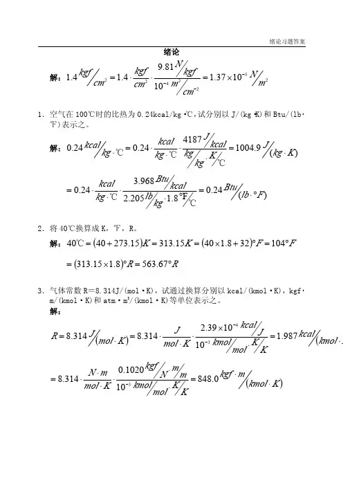
绪论解:25224221037.11081.94.14.1m N cm m kgf Ncm kgf cm kgf −−−×=⋅⋅=1.空气在100℃时的比热为0.24kcal/kg·℃,试分别以J/(kg·K)和Btu/(lb·℉)表示之。
解:)(9.1004418724.024.0K kg J Kkg kg kcal J kg kcal kg kcal ⋅=⋅⋅⋅⋅=⋅℃℃℃)(24.0F8.1205.2968.324.0F lb Btu kg lb kcal Btu kg kcal °⋅=°⋅⋅⋅⋅=℃℃2.将40℃换算成K,℉,R。
解:()()FF K K °=°+×==+=104328.14015.31315.2734040℃()RR °=°×=67.5638.115.3133.气体常数R=8.314J/(mol·K),试通过换算分别以kcal/(kmol·K),kgf·m/(kmol·K)和atm·m 3/(kmol·K)等单位表示之。
解:()(K kmol kcalKKmol kmolJ kcalK mol JK mol J R ⋅=⋅×⋅⋅⋅=⋅=−−987.1101039.2314.8314.834()K kmol m kgf KKmol kmol m m N kgfK mol m N ⋅⋅=⋅⋅⋅⋅⋅⋅=−0.848101020.0314.83()K kmol m atm molkmol K mol m m N atm m N ⋅⋅=⋅⋅⋅×⋅=−−33326208206.01010869.9314.84.苯的饱和蒸气压与温度的关系符合下述经验公式:36.5251.27889008.15ln −−=T p 式中:p-饱和蒸气压,mmHg;T-热力学温度,K。
第八章 吸 收8-1 100克纯水中含有2克2SO ,试以摩尔比表示该水溶液中2SO 的组成。
解:水的摩尔数:mol . 5556518100= 2SO 的摩尔数:mol . 1012536422-⨯=摩尔比:2210625555565101253--⨯=⨯= (X)8-2 含3NH 3%(体积)的混合气体,在填料塔中为水所吸收。
试求氨溶液的最大浓度。
塔内绝对压力为26202m kN.。
在操作条件下,气液平衡关系为x p 267=,式中:p —气相中的氨的分压,2m kN ;x —液相中氨的摩尔分率。
解:2m kN 07860306202...y P p =⨯==总x p 267= 则 0227602670782267..p *x ===3kmol 2641181000022760m ..C A =⎪⎭⎫ ⎝⎛⨯=8-3 于23101m kN.、27℃下用混于空气中的甲醇蒸汽。
甲醇在气液两相中的浓度很低,平衡关系服从亨利定律。
已知溶解度系数()239551m kN m kmol .H ⋅=,气膜吸收系数()k P a S m km o l .k G ⋅⋅=2551,液膜吸收系数()]22510082m kmol S m kmol .k L ⋅⋅⨯=-。
试求吸收总系数G K 和气膜阻力在总阻力中所占的分率。
解:4551091181008295511105511111⨯=⨯⨯+⨯=+=--....Hk k K L G G()k Pa S m k mol .K G ⋅⋅⨯=-25101221气膜阻力:6451610551115=⨯=-.k G 气膜阻力所占分率:%..K k G G 407210911864516114=⨯=8-4 20℃的水与氮气逆流接触以脱除水中的氧气。
塔底入口的氮气中含氧0.1%(体积),设气液两相在塔底达到平衡,平衡关系服从亨利定律。
求下列两种情况下水离开塔底时的最低含氧量。
以3m mg水表示。
化学工程基础课后习题及答案化学工程基础课后习题及答案【篇一:化工基础第5章习题答案】xt>5.2气体的吸收1.空气和co2的混合气体中,co2的体积分数为20%,求其摩尔分数y和摩尔比y各为多少?解因摩尔分数=体积分数,y?0.2摩尔分数摩尔比 y?y0.20.25 1?y1?0.22. 20℃的l00g水中溶解lgnh3, nh3在溶液中的组成用摩尔分数x、浓度c及摩尔比x表示时,各为多少?解摩尔分数x?1/17=0.01051/17?100/18浓度c的计算20℃,溶液的密度用水的密度?s?998.2kg/m3代替。
溶液中nh3的量为 n?1?10?3/17kmol 溶液的体积v?101?10?3/998.2 m3n1?10?3/17溶液中nh3的浓度c?==0.581kmol/m3 ?3v101?10/998.299.82c?sx??0.010?5.0kmol582/m3 或ms18nh3与水的摩尔比的计算 x?1/170.0106100/18x0.0105??0.0106 1?x1?0.0105或 x?3.进入吸收器的混合气体中,nh3的体积分数为10%,吸收率为90%,求离开吸收器时nh3的组成,以摩尔比y和摩尔分数y表示。
吸收率的定义为y被吸收的溶质量y1?y21?2原料气中溶质量 y1 y1解原料气中nh3的摩尔分数y?0.1 摩尔比 y1?y10.10.111 1?y11?0.1吸收器出口混合气中nh3的摩尔比为y2?(1??)y1?(1?0.9)?0.111?0.0111摩尔分数 y2?y20.0111=?0.01098 1?y21?0.01114.l00g水中溶解lg nh3,查得20℃时溶液上方nh3的平衡分压为798pa。
此稀溶液的气液相平衡关系服从亨利定律,试求亨利系数e(单位为kpa)、溶解度系数h[单位为kmol/(m3?kpa)]和相平衡常数m。
总压为100kpa。
化学工程基础习题答案第二章流体流动与输送5、解:0013.60.22.181.25gH gRgR H mg ρρρρ=⨯=== 00 1.25 2.181.701.6gH gRH R mρρρρ=⨯=== 6、解:1001223113.60.1302.210.80()2(2.210.2)800 6.051044gH gRR H mm d H h kgρρρρππρ=⨯====+=+⨯=⨯ 10、解:列柏努力方程221122122212121222210,20,0,12.3213.382ff p u p u z z hg g g gu z m z p p u h g u gρρ++=+++======⨯⨯=∑∑ 解得12 3.44u m s -=⋅22313120.1 3.440.027 1.62min 44v q d u m s m ππ--==⨯⨯=⋅=⋅11、解:列柏努力方程()()()2211221222122121212212212222212122()20()22()2i i i p u p u z z g g g g p p u u z z g g z z p p p uu ghu u u u h g gρρρρρρρρρρρ++=++--=-+-=∆=-=-=---=≈=-1122112221700/360014.0(0.21920.006)441700/360026.7(0.15920.0045)440.037737.7v v q u m s d q u m s d h m mmππππ--===⋅⨯-⨯===⋅⨯-⨯==12、解:列柏努力方程221211222212212121122312222()()20,215.8()114.5()()114.5102u u z g p z g p ggu u p z z g p z z p kPa kPa u u p ρρρρρρρ++=++-=-++-===-=+⨯绝压表压 1122112220.5/36000.4420.02440.5/360019.70.00344v v q u m s d q u m s d ππππ--===⋅⨯===⋅⨯22321000(0.44219.7)104.51079.42p kPa ⨯-=+⨯=-17、解:列柏努力方程221122122221212121121122222()216,0,06/36002.91(0.03220.0025)44e fe fv p u p u z H z h g g g g p p u u H z z h g gz z m p p u q u m s d ρρρππ-+++=+++--=-+++-=======⋅⨯-⨯∑∑900弯头阻力系数ξ=0.75 全开截止阀阻力系数ξ=6.0531230 2.910.027Re 1.01109.510ud ρμ-⨯⨯===⨯⨯,查图得到λ=0.026 2280 2.91(60.754 6.0)(0.026 4.524)45.5520.0272f l u h m d g g λ=+⨯+⨯=⨯++=∑222212121 2.91()16045.5561.9822e f p p u u H z z h m g g gρ--=-+++=+++=∑18、解:列柏努力方程221122121212122150,0,15ffp u p u z z h g g g g z z m p p u hρρ++=+++-=====∑∑忽略动能假设流体流动类型为层流2222222222520010.2224.251040.43415e f V f l l u u u h d g d g dqu d d h d λλλπλ---+==⋅===⨯==∑∑解得0.111d m = 核算1223.454Re V q u m s d udπρμ-==⋅==22、解:列柏努力方程220022022220202020020112222()26.5,0,05/36000.630.05344e fe fv p u p u z H z h g g g g p p u u H z z h g g z z m p p u q u m s d ρρρππ-+++=+++--=-+++-=======⋅⨯∑∑由连续性方程得到221212220.530.63 1.05/0.41d u u m s d ==⨯=113223112218300.630.053Re 122250101830 1.050.041Re 15765010640.052Re 640.041Re u d u d ρμρμλλ--⨯⨯===⨯⨯⨯===⨯====900弯头阻力系数ξ=0.75 全开截止阀阻力系数ξ=6.0 三通阻力系数ξ=1.022112212121222(40.752 6.01)[(300200)50.75]22400.6325 1.05 (0.0523121)[0.041(300200) 3.75]0.05320.0412 1.12 2.77 3.89ff f l u l u h hh d g d gg gmλλ=+=+⨯+⨯+++++⨯=+++++++=+=∑∑∑222020202()21.05=6.5+3.8910.452e fp p u u H z z h g gm gρ--=-++++=∑10.455/360018309.814340.4340.6V Heq gP W kW ρη⨯⨯⨯====24、解:根据汽蚀余量的定义2111102210102212101.32573.328.0250.75100.03810 2.050.084Va p p u h g g gp kPa u C m s d u u m sd ρρ--∆=+-=-====⋅==⨯=⋅ 查表得到p V =2.3346kPa代入上式解得2231128.025 2.3346 2.0510 2.8429989.8129.81V a p p u h m g g g ρρ-∆=+-=⨯+=⨯⨯第三章 传热过程 2、解:⑴2111121222213330.250.1791.40.130.8670.150.200.250.8R m K W R m K W R m K W δλδλδλ---===⋅⋅===⋅⋅===⋅⋅⑵22328202606460.867T T q W m R ---===⋅ ⑶23112313123646116820260560162838T T Tq W m R R R R R T KT K T K T K-∆∆∆====⋅++∆=∆=-=∆=∆=8、解:热量衡算36111222216213226216000() 3.010(485155) 1.65103600()1.6510503765800 3.141036001.6510514(485376)(15550)302m p m p m p mm Q q c T T W Q q c t t Q t t q c Q KA t Q K W m K A t --=-=⨯⨯⨯-=⨯=-⨯=+=+=⨯⨯=∆⨯===⋅⋅-+-∆⨯10、解: ⑴热量衡算:乙醇冷凝热3511500/360088010 1.2210m Q q r W ==⨯⨯=⨯乙醇冷却热3421112()500/3600 2.810(78.530) 1.8610m p Q q c T T W =-=⨯⨯⨯-=⨯ 水的用量122231541122231()1.2210 1.8610 1.67() 4.2(3515)m p m p Q Q q c t t Q Q q kg s c t t -+=-+⨯+⨯===⋅-⨯- 冷却器水出口温度的计算222214221322()1.86101517.71.67 4.210m p m p Q q c t t Q t t q c =-⨯=+=+=⨯⨯ 冷却器面积的计算 以外表面为基准21112211380124111700201000(78.517.7)(3015)33(78.517.7)ln(3015)m K W m K d d t Kαα--===⋅⋅+⋅+⋅---∆==--214221 1.8610 1.4838033mm Q KA t Q A m K t =∆⨯===∆⨯ 冷凝器面积的计算211122116731241113500201000(78.535)(78.517.7)51.7(78.535)ln(78.517.7)m K W m K d d t Kαα--===⋅⋅+⋅+⋅---∆==--125212 1.2210 3.5167351.7mm Q KA t Q A mK t =∆⨯===∆⨯ 总面积212 1.48 3.51 4.99A A A m =+=+=⑵1 4.99333.140.0242A n d l π===⨯⨯根 16、解: ⑴361162221661232214000109251.03103600() 1.03101.0310 1.031012.3() 4.1810(4020)m m p m p Q q r WQ q c t t W q kg s c t t -⨯⨯===⨯=-=⨯⨯⨯===⋅-⨯⨯-⑵因为酒精冷凝为相变传热,因此并流或逆流没有差别 ⑶1212()()(7820)(7840)47.3()7820ln ln7840()m T t T t t T t T t ------∆===----℃第五章 吸收6、解:⑴42421134 1.34100111 1.3427363.8410 1.02103.6610Y y x Y E m p m K k k K kmol m s -----====+=+=⨯⨯=⨯⋅⋅ ⑵气膜阻力321411 2.60103.8410y m s kmol k --==⨯⋅⋅⨯ 液膜阻力22121.34 1.31101.0210x m m s kmol k --==⨯⋅⋅⨯332.610==0.9522.610131⨯⨯+气膜阻力总阻力气膜阻力远大于液膜阻力,因此为气膜控制 ⑶* 1.340.050.067y mx ==⨯=*0.10.9520.10.0670.06860.06860.05121.34i ii i i y y y y y y y x m --==--==== 9、解:1220.08/1140.0930.08/114(10.008)/135)0.0081140.000950.0008/114(10.0008)/135)0X X Y ==+-⨯==+-=最小汽液比的计算12*min 12121210.0930.00095 1.980.0930.503 1.98 5.945.940.0930.0009500.01555.94X X V L Y Y VL X X V L Y Y Y --⎛⎫=== ⎪-⨯-⎝⎭=⨯=-==--=+= **1122*11*2212()()(0.50.0930.0155)(0.50.000950)0.0073(0.50.0930.0155)ln ln (0.50.000950)0.015502.050.00730.8 2.05 1.64m OG m OG OG Y Y Y Y Y Y Y Y Y Y Y N Y H H N m---⨯--⨯-∆===⨯--⨯----===∆=⋅=⨯=12、解:⑴根据已知条件可得12120.01(1)0.0010Y Y Y X η==⋅-==12*min 1212min 121210.010.0010.90.0101.5 1.350.00671.35Y Y L V X X Y Y L L V V X X Y Y X --⎛⎫=== ⎪--⎝⎭-⎛⎫=== ⎪-⎝⎭-== **1122*11*2212()()(0.010.0067)(0.0010)0.00193(0.010.0067)ln ln (0.0010)0.010.0014.660.00193m OG m Y Y Y Y Y Y Y Y Y Y Y N Y ------∆===------===∆ ⑵可增大吸收剂用量12120.01(1)0.00050Y Y Y X η==⋅-== 120.010.00054.660.00204OG m m m Y Y N Y Y Y --===∆∆∆=***11221**111*22*1*11()()(0.01)(0.00050)0.00204(0.01)ln ln (0.00050)0.004680.00468m Y Y Y Y Y Y Y Y Y Y Y Y X Y ------∆===----===1212'0.010.00052.030.004680' 2.031.35' 2.03 1.350.50450.4%1.35Y Y L V X X L VL VL L V VL V--===--==--===第六章 精馏 5、解: 解方程组0.7230.2631.250.0187y x y x =+=-得0.535F x = 解方程组0.7230.263y x y x=+=得0.949D x = 解方程组1.250.0187y xy x ==-得0.0748W x =0.26312.6Dx R R =+= 12、解:已知精馏端操作线方程为0.720.25y x =+0.7212.570.2510.893DD RR R x R x =+==+=平衡线方程为2.21 2.211(1)1(2.211)1 1.212.21 1.21x x xy x x xyx yαα===+-+-+=-011*0101*1111210.650.8930.7912.21 1.210.8930.65(0.8930.791)0.8270.720.250.845mL D x x E x x x y x y x y x y x -==-=====-=-⨯-==+=7、解:⑴由进料状态方程6 1.5y x =-可知611.2qq q =-=1.510.3F F x q x =-= 平衡线方程为21(1)1x x y x xαα==+-+ 由平衡线方程和进料状态方程可解得交点坐标为0.3330.496e e x y ==最小回流比0.940.496 2.720.4960.3331.5 4.08D e M e e M x y R y x R R --===--== 精馏段操作想方程为10.8030.18511F R y x x x R R =+=+++ ⑵物料衡算F D WF D W Fx Dx Wx =+=+ 已知:1150,0.30,0.04,0.94F W D W kmol h x x x -=⋅===解得:1160.94,210.94D kmol h F kmol h --=⋅=⋅⑶提馏端操作线方程 4.0860.94 1.2210.94150 4.0860.94 1.2210.94150 4.0860.94 1.2210.94150 1.430.017W W R D qF W y x x R D qF W R D qF Wx x x ⋅+=-⋅+-⋅+-⨯+⨯=-⨯+⨯-⨯+⨯-=- 9、解:⑴物料衡算F D WF D W Fx Dx Wx =+=+ 已知:0.40,0.02,0.97F W D x x x ===解得2.5, 1.5F D W D ==回收率0.970.972.50.4D F DX D Fx D η⨯===⨯ ⑵根据q 的定义30.623q ==+ q 线方程为1 1.5111F q y x x x q q =-=-+-- 平衡线方程为21(1)1x x y x xαα==+-+ 由平衡线方程和进料状态方程可解得交点坐标为0.3330.501e e x y == 0.970.501 2.790.5010.3331.8 5.02D e M e e M x y R y x R R --===--==提馏端操作线方程5.020.6 2.5 1.5 5.020.6 2.5 1.5 5.020.6 2.5 1.5 1.300.006W W R D qF W y x x R D qF W R D qF WD D D x x D D D D D D x ⋅+=-⋅+-⋅+-+⨯=-+⨯-+⨯-=- 13、解:⑴物料衡算F D WF D W Fx Dx Wx =+=+ 已知:14000,0.30,0.05,0.910.91/46'0.7980.91/460.09/18F W D D F kg h x x x x -=⋅=====+转换成摩尔分数 解得111304,2696D kg h W kg h --=⋅=⋅ ⑵精馏段操作线方程1'0.667 2.6611D R y x x x R R =+=+++ ⑶1133131313040.9113040.09'32.34618(1)'96.996.9108.314(27378)27910.775101.310V D kmol h V R D kmol h q m h m s ----⨯⨯=+=⋅=+=⋅⨯⨯⨯+==⋅=⋅⨯1.28D m ==。
第五章 传热及换热设备5-1 燃烧炉的平壁由两层组成,内壁为105mm 厚的耐火砖[导热系数为1.05()K m W⋅],外层为215mm 的普通砖[导热系数为0.93()K m W ⋅]。
内、外壁温度分别为760℃和155℃。
试计算通过每平方米炉壁的热损失及两层间的界面温度。
解:2221131827193021500511050155760m kW .....b b t t A Q q =+-=+-==λλ 在两平壁交界处:22112182710511050760m W k ...t b t t q =-=-=λ 可解得界面温度:℃ 3577 2.t =5-2 某平壁炉的炉壁是用内层为120mm 厚的某耐火材料和外层为230mm 厚的普通建筑材料砌成的,两种材料的导热系数未知。
已测得炉内壁温度为800℃,外侧壁面温度为113℃。
为了减少热损失,在普通建筑材料外面又包一层厚度为50mm 的石棉层[导热系数为0.15()K m W⋅],包扎后测得炉内壁温度为800℃,耐火材料与建筑材料交界面温度为686℃,建筑材料与石棉交界面温度为405℃,石棉外侧面温度为77℃。
试问包扎石棉后热损失比原来减少了多少? 解:包扎石棉层后的热损失2334322113198415005077405m W ..b 't 't b b 't 't 'q =-=-=+-=λλλ则有()W K m . q 't 't b b ⋅=-=-=⎪⎪⎭⎫⎝⎛+231221140140984405800λλ 包扎石棉层前的热损失:2221131171140140113800m W .b b t t q =-=+-=λλ所以绝对热损失27279841711m W 'q q q =-=-=∆所以相对热损失%.t t 't 't q 'q q 'q q 5421138004058001113131=---=---=-=-5-3 燃烧炉的平壁由下列三种材料构成:耐火砖导热系数()K m W .⋅=051λ,厚度b=230mm;绝热砖导热系数()K m W.⋅=1510λ;普通砖导热系数()K m W .⋅=930λ,厚度b=240mm 。
石油炼制思考题第一章:石油及产品组成与性质1.什么叫石油?它的一般性质如何?本书中指液态的原油石油是气态(自然气)、液态和固态的烃类混合物。
石油分为:气态—自然气,干气——含CH4 ,80%以上,不能分散成液体湿气——含CH4 ,80%以下,能分散成液体液态—原油固态—焦油、沥青、石蜡原油的性质与状态:颜色:随产地不同,颜色不同。
原油的颜色一般是黑色或暗绿色气味:原油有浓烈的臭味,主要是硫引起状态:多数原油是流淌或半流淌粘稠液体2.石油中的元素组成有哪些?它们在石油中的含量如何?3.什么叫分馏、馏分?它们的区分是什么?分馏:用蒸馏的方法将其按沸点的凹凸切割馏分:分馏切割的假设干个成分网上查询:分馏:分别几种不同沸点的挥发性的互溶有机物馏分:表示分馏某种液体时在肯定范围内蒸馏出来的成分分馏是一个操作,馏分是蒸馏出来的成分。
4.石油中有哪些烃类化合物?它们在石油中分布状况如何?原油中主要以烷烃,环烷烃和芳烃等烃类所组成。
其的分布状况:气态、液态、固态。
烷烃:存在于石油全部沸点范围,随沸点上升其含量降低。
环烷烃:低沸点馏分中,相对含量随馏分沸点的上升而增多。
高沸点馏分中,相对含量削减。
芳烃:相对含量随馏分沸点的上升而增多5.烷烃在石油中有几种形态?什么叫干气、湿气?烷烃以气态、液态和固态三种状态存在。
干气:纯气田自然气湿气:凝析气田自然气干气——含CH4 ,80%以上,不能分散成液体湿气——含CH4 ,80%以下,能分散成液体6.石油中所含的石蜡、微晶蜡有何区分?7.与国外原油相比,我国原油性质有哪些主要特点?我国原油含硫量较低,凝点及蜡含量较高、庚烷沥青质含量较低。
含硫量较低,含氮量偏高,减压渣油含量较高,汽油馏分含量较少8.石油分别按沸程〔馏程〕、烃类组成可划分为哪些组分?按沸程:汽油馏分、煤柴油馏分、润滑油馏分、减压渣油汽油馏分:初馏点~200℃;AGO常压瓦斯油〔煤、柴油馏分〕:200~350℃;VGO减压瓦斯油〔润滑油馏分〕:350~500℃;VR减压渣油:〉500℃〕按烃成分:烷烃、环烷烃、芳香烃9.汽、煤、柴油的沸程范围是多少?它们的烃类组成如何?直馏汽油中主要单体烃有:正构烷烃、C5-C9、异构烷烃、环烷烃、芳烃如苯、甲苯、二甲苯等。
第一章思考题答案1.按一般化工产品生产过程和作用划分,化工工艺流程可概括为哪几个过程?按一般化工产品生产过程的划分和它们在流程中所担负的作用可概括为以下几个过程:(1)生产准备过程——原料工序包括反应所需的主要原料、氧化剂、氮化剂、溶剂、水等各种辅助原料的贮存、净化、干燥以及配制等等。
为了使原料符合进行化学反应所要求的状态和规格,根据具体情况,不同的原料需要经过净化、提浓、混合、乳化或粉碎(对固体原料)等多种不同的预处理。
(2)催化剂准备过程——催化剂工序包括反应使用的催化剂和各种助剂的制备、溶解、贮存、配制等。
(3)反应过程——反应工序是化学反应进行的场所,全流程的核心。
经过预处理的原料,在一定的温度、压力等条件下进行反应,以达到所要求的反应转化率和收率。
反应类型是多样的,可以是氧化、还原、复分解、磺化、异构化、聚合、焙烧等。
通过化学反应,获得目的产物或其混合物。
以反应过程为主,还要附设必要的加热、冷却、反应产物输送以及反应控制等。
( 4)分离过程——分离工序将反应生成的产物从反应系统分离出来,进行精制、提纯、得到目的产品。
并将未反应的原料、溶剂以及随反应物带出的催化剂、副反应产物等分离出来,尽可能实现原料、溶剂等物料的循环使用。
分离精制的方法很多,常用的有冷凝、吸收、吸附、冷冻、蒸馏、精馏、萃取、膜分离、结晶、过滤和干燥等,对于不同生产过程可以有针对性的采用相应的分离精制方法。
( 5)回收过程——回收工序对反应过程生成的一些副产物,或不循环的一些少量的未反应原料、溶剂,以及催化剂等物料均应有必要的精制处理以回收使用,因此要设置一系列分离、提纯操作,如精馏、吸收等。
( 6)后加工过程——后处理工序将分离过程获得的目的产物按成品质量要求的规格、形状进行必要的加工制作,以及贮存和包装出厂。
( 7)辅助过程除了上述六个主要生产过程外,在流程中还有为回收能量而设的过程(如废热利用),为稳定生产而设的过程(如缓冲、稳压、中间贮存),为治理三废而设的过程(如废气焚烧)以及产品贮运过程等。
化学基础工程习题与答案化学工程基础习题及答案详解第一章流体流动与输送一、选择题(每题2分)1、某物体的质量为1000 kg ,则其重量为()。
B(A )1000 N (B )9810N (C )9810 kgf (D )1000/9.81 kgf2、离心泵的压头H 流量Q 的关系为()。
C(A )Q 增大,H 增大(B )H 增大,N 先增大后减小(C )Q 增大,H 减小(D )H 增大,N 先减小后增大3、如图所示,若液面恒定,忽略流动阻力损失,则放水管的出口速度u 与()有关。
A(A )H (B )H 、d (C )d (D )Pa4、用标准孔板流量计测量管中的流量,采用如图所示三种装置,两测压孔距离h 相等,321d d d ==,各管流速相等。
其读数分别为1R ,2R ,3R 。
则()。
(流体皆为水,指示液皆为汞)D (A )312R R R << (B )321R R R =< (C )321R R R << (D )321R R R == (E )321R R R =>5、图示所表示的R 值大小反映()。
A(A )A、B两截面间压差值(B )A-B截面间流动压降损失(C )A、B两截面间动压头变化(D )突然扩大或缩小流动损失。
6、一敞口容器,底部有一出水管(如图示)。
容器内水面保持恒定,管内水流动的速度头为0.5 m 水柱。
水由容器流入管内,则2点的表压2p =()水柱。
C(A )1.5 m (B )1.0 m (C )0.75 m (D )0.5 m7、如图所示,用U 形压差计与管道A 、B 两点相连。
已知各图中管径、A 、B 间的管长L 及管道中流体流量均相同,管内流体均为20 ℃水,指示液均为汞,则()。
B(A )21R R ≠,431R R R == (B )4321R R R R ===(C )4321R R R R <<= (D )4321R R R R ≠≠≠8、如图表明,管中的水处于( C )。
流体流动和输送1、液体高度:,器底所受的力:压强:指示液为CCl4,其读数:2、人孔面积:压力:槽壁面积:槽壁所受压力:3、 4、6、(1)求空气的体积流量流通截面:体积流量:(2)求质量流量表压:绝压:空气的平均分子量:当时温度:空气密度:∴质量流量:7**、对容器A 孔口流速:体积流量:流出的总体积:液体降至0.5m处所需时间:剩余部分为非稳定流动,所需时间:对于容B由于B下端有短管,管内流体在流动中有下拉液体的作用,故需时间短。
8、以水平管中心线为基准面,在1-1,,2-2,间列柏式,在操作条件下,甲烷的密度:水柱压差计读数:9、10、对孔板流量计:流量与流速度关系:,即,(1)当读数为80mmHg时,,即误差=1.2%(2)读数为20mmHg时,,即误差=4.9%(3)指示液为四氯化碳时,∴流量的相对误差与以上相同。
11、体积流量:质量流量:导管中苯的流速:12、忽略阻力,将数据代入,得体积流量:13、,,,, ∴=,空气流量:质量流量:解得,,体积流量:14、当量直径:流速:湍流15、相对粗糙度:,查图得16、,,查图得H1=0,H2=10,v1=0,v2=2.2,P2=017、用试差法求流量,∵λ=f(Re),Re=f(v),难以直接求解。
由Re~λ图可见,对ε=0.001的无缝钢管而言,Re在2×104~1×107之间,λ值在0.02~0.028之间,设λ=0.025,H1=5,H2=0,P1=P2=0(表压),v1=0,查图得λ=0.0235,苯的体积流量:qv=1.47×0.785×0.0282=0.91L/S(若设λ=0.024,qv=0.92L/S)校核:基本相符。
18、强烈湍流时,λ可看作常数。
10=1.2764×10-6/d5d5=1.2764×10-7,∴d=42mm 19、(1)、(2)、(3)、20、(1)、,增加3倍(2)、(3)、,增加1倍21、(1)、,,(2)、,,22、,查图,λ=0.034,∵ P1=P2=0,H1=0,动压头可忽略有效功率:轴功率:23、H1=0,v1=0,H2=15,v2=0.74,P1=P2=0(表压)∴理论功率:轴功率:24、,∴主管中水的流量:支管中流量:25、支路管道26、40mm水柱=0.4kPa(表压),绝对压:101.3+0.4=101.4kPa 50℃空气密度:空气在导管中流速:,, 查图λ=0.026输送功率:效率:。
化学工程基础第二版习题答案【篇一:化工基础第四章习题答案】???a?550a30.230.240.0412?????1a?2a?3a1.1630.58150.07 ?t1720?t2?a?550a,t2?611.210.23 1.163?1a ?t3t?70?3a?550a,30.04 0.07?3a3.平壁炉是用内层为120mm厚的耐火砖和外层为230mm的普通砖砌成。
两种砖的导热系数均为未知。
测得炉内壁温度为800℃,炉外侧壁面温度为113℃。
为减少热损失,后又在普通砖外包一层厚度为50mm、导热系数为0.2 w/(m?℃)的石棉。
包扎后测得各层温度为:炉内壁温度为800℃,耐火砖和普通砖界面温度为686℃,普通砖和石棉界面温度为405℃,石棉外侧温度为77℃。
试求包扎后热损失较原来热损失减小的百分数?3-1-1= 0.07) 。
问:该保温材料的厚度应为多少?解:⑴管线的热损失ri+1 1=r2 r31 1①管线各层半径12③管线的热损失3140 25 55 1 10.22 ?25 163140 0.014 + 3.584q/l ==②求r441?ln55 0.07314041 ?ln0.07移项整理有:ln(r4/55) =(3140 - 1256.4)/4990 = 0.377 l4 = 0.377 + ln55 = 0.377 + 4.007 = 4.384 即:r4 = arcln4.384 = 80(mm) ③确定保温材料的厚度r4 - r3 = 80 - 55 = 25(mm)= 0.025m3140r4k?2 d2h,121?? h1d1d1h21-2-1k2??310w?m?k251.5?10?3?251??1000?202010000【篇二:化工基础课后习题答案(高等教育出版社)】液体高度:,器底所受的力:压强:指示液为ccl4,其读数:2、人孔面积:压力:槽壁面积:槽壁所受压力:3、4、6、(1)求空气的体积流量流通截面:体积流量:(2)求质量流量表压:绝压:空气的平均分子量:当时温度:空气密度:∴质量流量:7**、对容器a孔口流速:体积流量:流出的总体积:液体降至0.5m处所需时间:剩余部分为非稳定流动,所需时间:对于容b由于b下端有短管,管内流体在流动中有下拉液体的作用,故需时间短。
第五章 传热及换热设备5-1 燃烧炉的平壁由两层组成,内壁为105mm 厚的耐火砖[导热系数为1.05()K m W⋅],外层为215mm 的普通砖[导热系数为0.93()K m W ⋅]。
内、外壁温度分别为760℃和155℃。
试计算通过每平方米炉壁的热损失及两层间的界面温度。
解:2221131827193021500511050155760m kW .....b b t t A Q q =+-=+-==λλ 在两平壁交界处:22112182710511050760m W k ...t b t t q =-=-=λ 可解得界面温度:℃ 3577 2.t =5-2 某平壁炉的炉壁是用内层为120mm 厚的某耐火材料和外层为230mm 厚的普通建筑材料砌成的,两种材料的导热系数未知。
已测得炉内壁温度为800℃,外侧壁面温度为113℃。
为了减少热损失,在普通建筑材料外面又包一层厚度为50mm 的石棉层[导热系数为0.15()K m W⋅],包扎后测得炉内壁温度为800℃,耐火材料与建筑材料交界面温度为686℃,建筑材料与石棉交界面温度为405℃,石棉外侧面温度为77℃。
试问包扎石棉后热损失比原来减少了多少? 解:包扎石棉层后的热损失2334322113198415005077405m W ..b 't 't b b 't 't 'q =-=-=+-=λλλ则有()W K m . q 't 't b b ⋅=-=-=⎪⎪⎭⎫⎝⎛+231221140140984405800λλ 包扎石棉层前的热损失:2221131171140140113800m W .b b t t q =-=+-=λλ所以绝对热损失27279841711m W 'q q q =-=-=∆所以相对热损失%.t t 't 't q 'q q 'q q 5421138004058001113131=---=---=-=-5-3 燃烧炉的平壁由下列三种材料构成:耐火砖导热系数()K m W .⋅=051λ,厚度b=230mm;绝热砖导热系数()K m W.⋅=1510λ;普通砖导热系数)K m W .⋅=930λ,厚度b=240mm 。
若耐火砖内侧温度为1000℃,耐火砖与绝热砖接触面最高温度为940℃,绝热砖与普通砖间的最高温度不超过138℃(假设每两种砖之间接触良好,界面上的温度相等)。
试求:⑴绝热砖的厚度(绝热砖的尺寸为65×113×230mm ); ⑵普通砖外侧的温度。
解:⑴耐火砖的热通量 21121m W 927305123009401000...b t t q =-=-=λ 根据稳定传热,绝热砖的热通量与耐火砖的热通量相等,即22232m W 92731510230138940...n b n t t q =⋅-=⋅-=λ由此解得 n=1.922≈2块即需要2块绝热砖,厚度为460mm 才能达到要求的温度。
⑵根据稳定传热,燃烧炉平壁的热通量与耐火砖的热通量相等,即2433221141927393024015104600512301000m W .......t b b b t t q =++-=++-=λλλ由此解得: ℃9344.t =即普通砖外侧的温度为34.9℃。
5-4 某工厂用一φ170×5mm 的无缝钢管输送水蒸气。
为了减少热损失,在管外包两层绝热材料:第一层为厚30mm 的矿渣棉,其导热系数为0.065()K m W ⋅;第二层为厚30mm 的石棉灰,其导热系数为0.21()K m W⋅。
管内壁温度为300℃,保温层外表面温度为40℃。
管道长50m 。
试求该管道的散热量。
解:已知:r 1=80mm r 2=85mm r 3=115mm r 4=145mm t 1=300℃ t 4=40℃ λ1=45)W m K ⋅ λ2=0.065()W m K ⋅ λ3=0.21)W m K ⋅ 根据圆筒壁传热量计算公式:()kW14.1915 = W 101.419= 11514521018511506501808545150240-300=212121434323212141⨯++⋅⋅++-=ln .ln .ln r r ln L r r ln L r r ln L t t Q πλπλπλπ5-5 有一蒸汽管外径为25mm ,为了减少热损失拟在管外包两层绝热材料,每层厚度均为25mm,两种材料的导热系数之比512=λλ。
试问哪一种材料包在内层更有效?(忽略金属热阻)解:如果将导热系数λ大者(即λ2)包在内侧,则有1311131231122312730550537562215125375212121πλπλλππλπλ⋅-=+⋅-=+-==.tt ..ln ..ln t t r r lnr r ln t t LQ q 而如果将导热系数λ小者(即λ1)包在内侧,则有131113123212131220078153756252151253721 2121πλλππλπλπλ⋅-=⋅+-=+-==.t t ..ln ..ln t t r r lnr r ln t t LQ q 将两者进行比较,则有 644122007812730550131131..t t .t t 'q q =⋅-⋅-=πλπλ前者的散热量大一些,因此将导热系数小的绝热材料放在内侧更好一些。
5-6 外径为100mm 的蒸汽管,先包一层50mm 厚的绝热材料[导热系数为0.06)K m W ⋅],其外再包一层20mm 厚的绝热材料[导热系数为0.075()K m W⋅]。
若第一绝热层的内表面温度为170℃,第二绝热层的外表面温度为38℃。
试求每米管长的热损失和两绝热层界面的温度。
解:根据圆筒壁传热量计算公式:mW .ln .ln .r r ln r r ln t t LQ 31259 100120075021501000602138170212123212131=⋅+⋅-=+-=πππλπλ由于稳定传热各层的传热量相等,则第一层圆筒壁的传热量为m W .r r ln t t LQ 312592112121=-=πλ 由此可解得:℃59605010006021312591702112112.ln ..r r ln L Q t t =⎪⎭⎫ ⎝⎛⋅-=⎪⎪⎭⎫ ⎝⎛-=ππλ5-7 水在φ38×1.5mm 的管内流动,流速为1m/s ,水的进、出口温度分别为15℃及80℃。
试求水与管壁间的对流传热系数。
解:在定性温度()℃547801521.t m =+=下水的物理性质为313989m kg .=ρ()K kg J k 4.174=Cp ⋅ S mPa 0.575=⋅μ ()K m ⋅W 0.6445= λ44331010020861057501398911035>⨯=⨯⨯⨯⨯==--...du Re μρ湍流723936445010575010174433....Cp Pr =⨯⨯⨯==-λμ()()()Km W .....Pr Re d .....⋅=⨯⨯⨯⨯⨯==-2408043408034775 72393100208610356445002300230λα5-8 空气以4m/s 的流速通过直径为φ75.5×3.75mm 的钢管,管长20m 。
空气的入口及出口温度分别为32℃及68℃。
试计算空气与管内壁间的对流传热系数。
如空气流速增加一倍,其它条件不变,对流传热系数为多少? 解:在定性温度()℃50683221=+=m t 下空气的物理性质为:30931m kg .=ρ()K kg J k 1.005=Cp ⋅ S Pa 19.6= ⋅μμ ()K m ⋅W 0.0283=λ446310105168110619093141068>⨯=⨯⨯⨯⨯==--...du Re μρ湍流 6960028301061910005163....Cp Pr =⨯⨯⨯==-λμ()()()Km W .....Pr Re d .....⋅=⨯⨯⨯⨯⨯==-2408043408031518 6960105168110680283002300230λα当其他条件不变,空气流速增加一倍时,有80.u ∝α所以 ()Km W ..u u ..⋅=⨯=⎪⎭⎫ ⎝⎛=28080888********αα5-9 一列管换热器,其蒸汽在管间冷凝,冷却水在管内流动,其流速为0.25m/s ,进出口温度分别为15℃及45℃,列管直径为φ25×2.5mm 。
试求水对管壁的对流传热系数。
解:在定性温度()℃30451521=+=m t 下水的物理性质为 3 7995m kg .=ρ()K kg J k 4.174=Cp ⋅ S mPa 0.801=⋅μ ()K m ⋅W 0.618= λ属于过渡流 101021561080107995250020433<⨯=⨯⨯⨯==-.....du Re μρ4105618010801010174433....Cp Pr =⨯⨯⨯==-λμ()()()Km W ......Pr Re d.....⋅=⨯⨯⨯⨯==240803408061512 4105102156020618002300230λα校正系数 ()91090102156106110618135815..Re f ..=⨯⨯-=⨯-=则 ()KmW...f ' ⋅=⨯==2813776151291090αα5-10 现用一蛇管换热器冷却某液体,该液体流量为3h m 3,进口温度和出口温度分别为50℃及20℃,在平均温度下该液体的密度为12003m kg,粘度为S Pa .⋅⨯-31022,比热为3.77()K kg KJ⋅,导热系数为0.558)K m W ⋅。
蛇管的直径为φ45×3.5mm ,平均圈径为0.6m ,液体在蛇管内流动。
试求该液体的对流传热系数。
解:s m ..d V A V u734803600038034422=⨯⋅⨯===ππ 443310105230110221200734801038>⨯=⨯⨯⨯⨯==--...du Re μρ湍流 86414558010********3....Cp Pr =⨯⨯⨯==-λμ()()()Km W ....Pr Re d .....⋅=⨯⨯⨯⨯⨯==-230804340801684 8641410523011038558002300230λα校正 ()K m W ....R d .' ⋅=⎪⎭⎫ ⎝⎛+=⎪⎭⎫ ⎝⎛+=2552061300380771116847711αα5-11 有一套管换热器,内管为φ25×1mm ,外管为φ38×1.5mm 。