通信电路基础第五章答案
- 格式:doc
- 大小:1.14 MB
- 文档页数:21
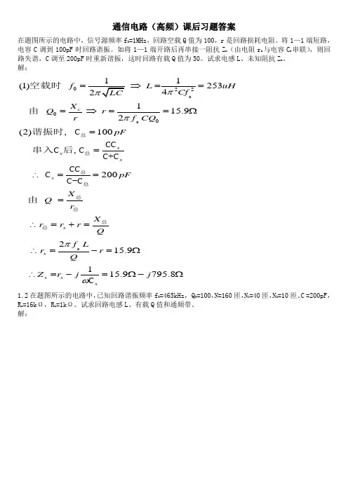
通信电路(高频)课后习题答案在题图所示的电路中,信号源频率f 0=1MHz ,回路空载Q 值为100,r 是回路损耗电阻。
将1—1端短路,电容C 调到100pF 时回路谐振。
如将1—1端开路后再串接一阻抗Z x (由电阻r x 与电容C x 串联),则回路失谐,C 调至200pF 时重新谐振,这时回路有载Q 值为50。
试求电感L 、未知阻抗Z x 。
解:000022001(1)2534115.92(2)100200215.9115.9795.8πππω=⇒===⇒==Ω==∴===∴=+=∴=-=Ω∴=-=Ω-Ωc xx xx x x x x xf L uH Cf X Q r r f CQ pFpFX Q r X r r r Q f L r r QZ r j j 总总总总总总总总空载时由谐振时, C CC 串入C 后,C C+C CC C C-C 由C1.2在题图所示的电路中,已知回路谐振频率f 0=465kHz , Q 0=100,N=160匝,N 1=40匝,N 2=10匝。
C =200pF ,R s =16k Ω,R L =1k Ω。
试求回路电感L 、有载Q 值和通频带。
解:002260000000322362223610115864 5.8410(171.2)11010()10 3.9110160401()10 3.9110(255.7)160161.361e e e L L L L s s s sL e f L uHf C C C Qg sR k g Q g sR g n g sg n g sR k g g g g πωω------∑=⇒===⇒==⨯=Ω=='==⋅=⨯'==⋅⨯=⨯=Ω''∴=++=⨯由并联谐振:折合到线圈两端:5000.70(73.2)4310.8e es R k CQ g f BW kHzQ ω-∑∑=Ω==1.3在题图所示的电路中,L=,C 1 = C 2 =20pF ,R s =10k Ω,R L =5k Ω,Q 0=100。
习题5-1 设待发送的数字序列为10110010,试分别画出2ASK 、2FSK 、2PSK 和2DPSK 的信号波形。
已知在2ASK 、2PSK 和2DPSK 中载频为码元速率的2倍;在2FSK 中,0码元的载频为码元速率的2倍,1码元的载频为码元速率的3倍。
解:波形略5-2 已知某2ASK 系统的码元传输速率为1200B ,采用的载波信号为A cos(48π⨯102t ),所传送的数字信号序列为101100011:(1)试构成一种2ASK 信号调制器原理框图,并画出2ASK 信号的时间波形; (2)试画出2ASK 信号频谱结构示意图,并计算其带宽。
解:(1)2ASK 信号调制器原理框图如图5.2.1-2,2ASK 信号的时间波形略。
(2)2ASK 信号频谱结构示意图如图5.2.1-5,则其带宽为B 2ASK =2f s =2400Hz 。
5-3 若对题5-2中的2ASK 信号采用包络检波方式进行解调,试构成解调器原理图,并画出各点时间波形。
解:2ASK 信号采用包络检波的解调器原理图:cos ωc t(t )(a )图5.2.1-2 2ASK 信号调制原理框图(b )(t )开关电路图5.2.1-5 2ASK 信号的功率谱e各点时间波形:(下图对应各点要换成101100011)5-4 设待发送的二进制信息为1100100010,采用2FSK 方式传输。
发1码时的波形为A cos(2000π t +θ1),发0码时的波形为A cos(8000π t +θ0),码元速率为1000B :(1)试构成一种2FSK 信号调制器原理框图,并画出2FSK 信号的时间波形; (2)试画出2FSK 信号频谱结构示意图,并计算其带宽。
解:(1)2FSK 信号调制器原理框图如下图,时间波形略。
(2)2FSK 信号频谱结构示意图如下图,其带宽221240001000210005000FSK s B f f f Hz =-+=-+⨯=。
通信专业实务(初级)课后练习题(含答案)第一章:电信网概述。
一单选:1、电信网是为公众提供信息服务,完成信息传递和交换的(通信)网络。
1、根据电信网的构成及功能,通常把电信网分为业务网、传输网和(支撑)网。
2、OSI七层模型从下到上的第四层为(传送层)1、传输网通过(光纤、微波、卫星)等传输方式为不同服务范围的业务网之间传送信号。
2、OSI七层模型从下到上的下三层为(物理层、数据链路层、网络层)。
三判断:1、电信网中的节点包括网络节点和终端节点,其中,网络节点大多是指交换中心,终端节点是指各种用户终端设备。
(对)1、电信网的组成除了硬件外,为了保证网络能正常运行还应有相应的软件和协议。
(错)2、协议是指对等实体之间的通信制定的有关通信规则约定的集合。
(对)四简答:1、电信网的拓扑结构有几种?请简述各种结构的特点和适用场合。
答:电信网的拓扑结构有多种形式,常用的有网型、星型、复合型、树型、线型、环型、总线型等。
网型网的网内任意两个节点之间均有链路连接。
当节点数增加时,传输链路数会迅速增加,网络结构的冗余度较大,稳定性较好,但线路利用率不高,经济性较差。
星型网又称为辐射网,其中的一个节点作为辐射点,该节点与其他其他节点均有线路相连.与网型网相比,星型网的传输链路少,线路利用率高,但其稳定性较差.复合型网由网型网和星型网复合而成,根据电信网业务量的需要,以星型网为基础,在业务量较大的转换交换中心区间采用网型结构,可以使整个网络比较经济,且稳定性较好.复合型网具有网型和星型网的优点,是电信网中常用的网络拓扑结构.树型网可以看成是星型网拓扑结构的扩展,其节点按层次进行连接,信息交换主要在上、下节点之间进行。
树型结构主要用于用户接入网,以及主从网同步方式中的时钟分配网中。
线型网的结构非常简单,常用于中间需要上、下电路的传输网中。
环型网的结构与线型的结构很相似,但其首尾相接形成闭合的环路,这种拓扑结构的网络具有自愈能力,能实现网络的自动保护,所以其稳定性比较高。
5.1 已知非线性器件的伏安特性为:i =0a +1a u+2a 2u +3a 3u +4a 4u 若u =1m U 1cos w t +22cos m U w t试写出电流i 中有哪些组合频率分量?求出其中1w 土2w 分量的振幅并说明他们是由i 中的哪些项产生的?解:其中的组合频率分量有:直流,1w ,2w ,21w ,22w ,1w 土2w ,31w ,32w ,21w 土2w ,1w 土22w ,41w ,42w ,21w 土22w ,31w 土2w ,1w 土32w 其中1w 土2w 是由2a 2u 和4a 4u 的振幅产生的。
5.2 已知非线性器件的伏安特性为i =0D g ⎧⎨⎩ 00U U >≤ 若u=Q U +1m U 1cos w t +2m U 2cos w t ,且Q U = -1/21m U ,2m U 1m U ,满足线性时变条件,求时变电导g(t) 的表达式 并写出i 中的组合频率分量.解:T=2πτ=2/3πΩ=2π/T ∴Ω=1∴n a =2/T /2/2ττ-⎰()f t cos n tdt Ω=2/T /2/2ττ-⎰cos n tdt Ω=2sin t Ω/Tn Ω|/2/2ττ- =2sin n s π/πn 0a =2/3∴g(t)=( 0a /2+11cos nn anw t ∞=∑)D g =D g /3+2D g /π111/sin(/3)cos n n n nw t π∞=∑∴其中的组合频率分量有:直流,n 1w 以及︱土n 1w 土2w ︳(n=0,1,2,…).5.3 已知在题5.2中,若Q U =0或Q U =1m U ,2m U 1m U ,满足线性对变条件,求时变电导g(t)的表达式,并写出中的组合频率分量,在这两种情况下能实现频谱搬移吗?解:1) Q U =0时有相应波形如图:T=2π Л=2π/T∴Л=1 τ=π∴n a =(2/T) /2/2ττ-⎰()f t cos n tdt Ω=(2/T) sin n t Ω/n Ω|/2/2ττ-=(2/n π)sin(/2)n π0a =1 ∴ g(t)= D g [1/2+112sin(/2)cos /n n nw t n ππ∞=∑]sin(/2)n π 在n=1,2,3,4分别为1,0,-1,0∴ g(t)=D g [1/2+111(1)2cos(22)/(21)n n n w t n π∞-=---∑]显然可以实现频谱搬移2)当Q U = 1m U 时g(t)= D g ,i 中的频谱只有1W ,2W 直流5.4 已知晶体管转移特性曲线为c i =(1/)T BEU U es I e若BE U =BB U +s u ,s u =m U cos c t ω,试写出c i 中C W 的基波二次谐波,三次谐波,四次谐波的 振幅取xe 展开式的前5项。
第一章概述1-01 计算机网络向用户可以提供那些服务?答:连通性和共享1-02 简述分组交换的要点。
答:(1)报文分组,加首部(2)经路由器储存转发(3)在目的地合并1-03 试从多个方面比较电路交换、报文交换和分组交换的主要优缺点。
答:(1)电路交换:端对端通信质量因约定了通信资源获得可靠保障,对连续传送大量数据效率高。
(2)报文交换:无须预约传输带宽,动态逐段利用传输带宽对突发式数据通信效率高,通信迅速。
(3)分组交换:具有报文交换之高效、迅速的要点,且各分组小,路由灵活,网络生存性能好。
1-04 为什么说因特网是自印刷术以来人类通信方面最大的变革?答:融合其他通信网络,在信息化过程中起核心作用,提供最好的连通性和信息共享,第一次提供了各种媒体形式的实时交互能力。
1-05 因特网的发展大致分为哪几个阶段?请指出这几个阶段的主要特点。
答:从单个网络APPANET向互联网发展;TCP/IP协议的初步成型建成三级结构的Internet;分为主干网、地区网和校园网;形成多层次ISP结构的Internet;ISP首次出现。
1-06 简述因特网标准制定的几个阶段?答:(1)因特网草案(Internet Draft) ——在这个阶段还不是RFC 文档。
(2)建议标准(Proposed Standard) ——从这个阶段开始就成为RFC 文档。
(3)草案标准(Draft Standard)(4)因特网标准(Internet Standard)1-07小写和大写开头的英文名字internet 和Internet在意思上有何重要区别?答:(1)internet(互联网或互连网):通用名词,它泛指由多个计算机网络互连而成的网络。
;协议无特指(2)Internet(因特网):专用名词,特指采用TCP/IP 协议的互联网络区别:后者实际上是前者的双向应用1-08 计算机网络都有哪些类别?各种类别的网络都有哪些特点?答:按范围:(1)广域网WAN:远程、高速、是Internet的核心网。
11.3答:分组交换网中,将消息分成许多较短的,格式化的分组进行传输和交换,每一个分组由若干比特组成一个比特串,每个分组都包括一个附加的分组头,分组头指明该分组的目的节点及其它网络控制信息。
每个网络节点采用存储转发的方式来实现分组的交换。
1.4答:虚电路是分组传输中两种基本的选择路由的方式之一。
在一个会话过程开始时,确定一条源节点到目的节点的逻辑通路,在实际分组传输时才占用物理链路,无分组传输时不占用物理链路,此时物理链路可用于其它用户分组的传输。
会话过程中的所有分组都沿此逻辑通道进行。
而传统电话交换网PSTN 中物理链路始终存在,无论有无数据传输。
1.7答:OSI 模型七个层次为:应用层,表示层,会话层,运输层,网络层,数据链路层,物理层。
TCP/IP 五个相对独立的层次为:应用层,运输层,互联网层,网络接入层,物理层。
它们的对应关系如下:OSI 模型 TCP/IP 参考模型1.10解:()()Y t t X +=π2cos 2()()Y Y X cos 22cos 21=+=π()[]10212211=⨯+⨯=X E ()()Y X t X cos 201==()()()Y Y X t X cos 22cos 212=+==π()()[]()()[][][]22102114 cos 4cos 2cos 21022221=⎪⎭⎫ ⎝⎛⨯+⨯==⋅==Y E Y Y E X X E t X t X E1.11解:()()[]()()()0cos 2cos =+=⋅+==⎰⎰+-+-θθπθθθππππd t w Ad f t w A t X E t m cc X()()()[]()()[]()()[]τθπτθτθθθτθττππππc c c c c c X w Ad w w t w Ad f t w A t w A t X t X E t t R cos 221cos 22cos 21 cos cos ,22=⋅+++=⋅++⋅+=+=+⎰⎰+-+-[]()+∞<==20)(22A R t X E X显然,()t X 的均值为常数,相关函数仅与时差τ有关,且为二阶矩过程,所以该随机过程是广义平稳的。
电路答案第五版邱关源与罗先觉【篇一:课后习题答案合集】【khdaw_lxywyl】供配电技术曾令琴人民邮电出版社课后答案【khdaw_lxywyl】电工技术 (黄军辉黄晓红著) 人民邮电出版社课后答案【khdaw_lxywyl】信号检测理论第二版 (段凤增著) 哈尔滨工业大学出版社课后答案【khdaw】protel 99se实用教程(第2版)顾滨赵伟军人民邮电出版社课后答案【khdaw_lxywyl】电工技术基础曾令琴胡修池人民邮电出版社课后答案【khdaw_lxywyl】单片机程序按键数码管显示与串联通信【khdaw_lxywyl】信号与系统 (张建奇著) 浙江大学出版社课后答案【khdaw】《数字通信》第四版 proakis英文版电子工业出版社课后答案_【khdaw_lxywyl】《工控组态设计》【khdaw_lxywyl】大学英语精读1答案 (潘永春著) 人民大学出版社课后答案【khdaw】《热力发电厂》课后答案_【khdaw_lxywyl】电工基础俞艳人民邮电出版社课后答案【khdaw_lxywyl】电工电子技术赵景波人民邮电出版社课后答案【khdaw_lxywyl】测控仪器设计(第2版) (浦昭邦王宝光著) 机械工业出版社课后答案【khdaw】第三代移动通信技术与业务(第二版) (罗凌焦元媛陆冰著) 人民邮电出版社课后答案【khdaw_lxywyl】2006年哈工大微电子复试题电子技术基础曾令琴人民邮电出版社课后答案【khdaw_lxywyl】机电专业英语朱丽芬人民邮电出版社课后答案【khdaw_lxywyl】概率论与数理统计 (苏德矿张继昌著) 高等教育出版社课后答案【khdaw_lxywyl】单片机原理与应用凌阳spce061a 黄军辉人民邮电出版社课后答案【khdaw_lxywyl】电磁场导论(第一章)“十一五”国家级规划教材 (孟昭敦著) 中国电力出版社课后答案【khdaw】集成电子技术习题册参考答案(版本未知)【khdaw】通信电子电路 (于洪珍著) 清华大学出版社课后答案【khdaw_lxywyl】电机与电气控制施振金人民邮电出版社课后答案【khdaw_lxywyl】物理学第三版下卷 (刘克哲张承琚著) 高等教育出版课后答案【khdaw_lxywyl】电路基础与仿真实验童建华人民邮电出版社课后答案【khdaw_lxywyl】高频电子技术 (刘骋著) 人民邮电出版社课后答案【khdaw_lxywyl】《plc应用技术》瞿彩萍张伟林人民邮电出版社课后答案【khdaw_lxywyl】信号分析与处理 (杨育霞许珉廖晓辉著) 中国电力出版社课后答案【khdaw】高等数学习题下 (四川大学数学学院著) 四川大学出版社课后答案数值分析第二版 (孙志忠袁慰平闻震初著) 东南大学出版社课后答案【khdaw】《检测与传感技术》冯柏群祁和义人民邮电出版社课后答案【khdaw_lxywyl】《电路题型解析与考研辅导》孙玉琴东北大学出版社课后答案【khdaw_lxywyl】大学物理下册(15-20章) (邓文基文德华著) 华南理工大学出版社课后答案【khdaw】模拟电子技术基础第三版 (华成英童诗白著) 高等教育出版社课后答案电机学 (张松林著) 机械工业出版社课后答案【khdaw】高频电子线路 (曾兴雯著) 高等教育出版社课后答案【khdaw_lxywyl】数字信号处理第二版 (丁玉美高西全著) 西安电子科技大学出版社课后答案【khdaw_lxywyl】模拟电子技术基础简明教程(第二版) (杨素行著) 高等教育出版社出版课后答案电力电子技术第四版 (王兆安黄俊著) 机械工业出版社课后答案【khdaw】通信原理教程 (樊昌信著) 电子工业出版社课后答案【khdaw_lxywyl】电子技术基础第五版模拟部分 (康华光著) 高等教育出版社课后答案电子技术基础数字部分(第四版) 康华光高等教育出版社课后答案【khdaw】高频电子线路第四版 (张肃文著) 高等教育出版社课后答案【khdaw】电磁场与电磁波 (谢处方著) 高等教育出版社课后答案通信原理 (周炯槃著) 北京邮电大学出版社课后答案【khdaw_lxywyl】数字电子技术基础第四版 (阎石著) 高等数学出版社课后答案微型计算机原理与接口技术 (杨立著) 中国水利水电出版社课后答案《电工电子技术》(第二版)习题答案【khdaw_lxywyl】《高频电子线路》(曾兴雯)版高等教育出版社课后答案【khdaw_lxywyl】自动控制原理第五版 (胡寿松著) 科学出版社课后答案【khdaw_lxywyl】通信原理(樊昌信著) 国防工业出版社课后答案【khdaw_lxywyl】《数字信号处理教程》程佩青(第三版)清华大学出版社课后答案【khdaw_lxywyl】《信号与系统书》第二版沈元隆周井泉人民邮电出版社课后答案【khdaw_lxywyl】电磁场与电磁波课后习题(西安交大第2版)《电路》邱关源罗先觉第五版高等教育第二章课后答案2【khdaw_lxywyl】电机与拖动基础 (刘启新著) 中国电力出版社课后答案【khdaw】《模拟电子技术基础》(童诗白第三版)习题答案电子技术基础(数字部分) 第五版 (康华光著) 高等教育出版社课后答案《ibm-pc 汇编语言》课后习题答案【khdaw_lxywyl】《数字电子技术基础》第3版(余孟尝)高等教育出版社课后答案【khdaw_lxywyl】移动通信第三版 (郭梯云李建东著) 西安电子科技大学出版社课后答案【khdaw_ricardo】信号与线性系统分析(第四版) (吴大正著) 高等教育出版社课后答案《电路》邱关源罗先觉第五版高等教育第三章课后答案3【khdaw_lxywyl】《电路》第四版邱关源【khdaw】《电力电子技术》第四版王兆安黄俊机械工业出版课后答案【khdaw_lxywyl】通信原理(樊昌信著) 国防工业出版社课后答案【khdaw_lxywyl】自动控制原理第四版 (胡寿松著) 科学出版社课后答案《自动控制理论》第2版夏德钤翁贻方机械工业出版社习题答案【khdaw_lxywyl】信号与系统第二版刘树棠答案《电路》邱关源罗先觉第五版高等教育第九章课后答案11【khdaw_lxywyl】《电子线路(非线性部分)》谢嘉奎高等教育出版社课后答案【khdaw_lxywyl】数字电子技术基础第五版 (阎石著) 高等教育出版社课后答案【khdaw_lxywyl】模拟电子技术基础第四版 (华成英童诗白著) 高等教育出版社课后答案【篇二:大学课后习题答案】##################【公共基础课-答案】####################新视野大学英语读写教程答案(全)【khdaw】/bbs/viewthread.php?tid=108fromuid=425658概率论与数理统计教程 (茆诗松著) 高等教育出版社课后答案/bbs/viewthread.php?tid=234fromuid=425658高等数学(第五版)含上下册高等教育出版社课后答案/bbs/viewthread.php?tid=29fromuid=425658新视野英语听力原文及答案课后答案【khdaw】/bbs/viewthread.php?tid=586fromuid=425658线性代数 (同济大学应用数学系著) 高等教育出版社课后答案/bbs/viewthread.php?tid=31fromuid=42565821世纪大学英语第3册(1-4)答案【khdaw】/bbs/viewthread.php?tid=285fromuid=425658概率与数理统计第二,三版 (浙江大学盛骤谢式千潘承毅著) 高等教育出版社课后答案/bbs/viewthread.php?tid=32fromuid=425658复变函数全解及导学[西安交大第四版]【khdaw】/bbs/viewthread.php?tid=142fromuid=425658大学英语精读第三版2册课后习题答案/bbs/viewthread.php?tid=411fromuid=425658线性代数(第二版)习题答案/bbs/viewthread.php?tid=97fromuid=42565821世纪(第三册)课后答案及课文翻译(5-8)【khdaw】/bbs/viewthread.php?tid=365fromuid=425658大学英语精读第2册课文翻译(上外)【khdaw】/bbs/viewthread.php?tid=598fromuid=425658新视野英语视听说教程1-4答案【khdaw】/bbs/viewthread.php?tid=2639fromuid=425658物理学教程(马文蔚)答案/bbs/viewthread.php?tid=1188fromuid=425658毛邓三课后思考题答案(高教版)高等教育出版社【khdaw】/bbs/viewthread.php?tid=1263 fromuid=425658##################【通信/电子/电气/自动化类--答案】#################### 电路第四版 (邱关源著) 高等教育出版社课后答案/bbs/viewthread.php?tid=259fromuid=425658电路第五版 (邱关源罗先觉著) 高等教育出版社课后答案【khdaw_lxywyl】/bbs/viewthread.php?tid=4097fromuid=425658数字电子技术基础第四版 (阎石著) 高等教育出版社课后答案【khdaw_lxywyl】/bbs/viewthread.php?tid=215fromuid=425658模拟电子技术基础(第三版华成英主编)习题答案通信原理第5版 (樊昌信著) 国防工业出版社课后答案【khdaw_lxywyl】/bbs/viewthread.php?tid=34fromuid=425658电磁场与电磁波西安电子科技大学(第二版)/bbs/viewthread.php?tid=588fromuid=425658《信号与系统》第二版(郑君里)高等教育出版社课后答案【khdaw_lxywyl】/bbs/viewthread.php?tid=994fromuid=425658电机学 (张松林著) 机械工业出版社课后答案【khdaw】/bbs/viewthread.php?tid=356fromuid=425658《数字信号处理》(第二版)西安电子科技大学(丁玉美)课后答案【khdaw_lxywyl】/bbs/viewthread.php?tid=882fromuid=425658高频电子线路 (曾兴雯著) 高等教育出版社课后答案【khdaw_lxywyl】/bbs/viewthread.php?tid=1110fromuid=425658模拟电子技术基础简明教程第三版 (杨素行著) 高等教育出版社课后答案/bbs/viewthread.php?tid=166fromuid=425658##################【计算机/软件/网络/信息/数学类--答案】#################### c程序设计第三版 (谭浩强著) 清华大学出版社课后答案/bbs/viewthread.php?tid=80fromuid=425658c语言程序设计教程第三版 (谭浩强张基温著) 高等教育出版社课后答案/bbs/viewthread.php?tid=79fromuid=425658复变函数与积分变换第四版 (张元林西安交大著) 高等教育出版社课后答案/bbs/viewthread.php?tid=612fromuid=425658离散数学(第三版) (耿素云屈婉玲张立昂著) 清华大学出版社课后答案/bbs/viewthread.php?tid=293fromuid=425658谭浩强c++程序设计习题答案/bbs/viewthread.php?tid=420fromuid=425658《微机原理与接口技术》清华(冯博琴吴宁)版课后答案/bbs/viewthread.php?tid=707fromuid=425658严蔚敏《数据结构(c语言版)习题集》答案/bbs/viewthread.php?tid=102fromuid=425658数据库系统概论 (王珊萨师煊著) 清华大学出版社课后答案/bbs/viewthread.php?tid=991fromuid=425658《计算机网络第四版》答案【khdaw】/bbs/viewthread.php?tid=340fromuid=425658《数学物理方法》(梁昆淼第二版)习题解答/bbs/viewthread.php?tid=334fromuid=425658谢希仁版《计算机网络教程》课后答案/bbs/viewthread.php?tid=203fromuid=425658清华大学《数据结构》习题+课后答案/bbs/viewthread.php?tid=249fromuid=425658数据结构习题集(c版)答案/bbs/viewthread.php?tid=374fromuid=425658刘绍学版《近世代数基础》课后习题答案计算机组成原理习题&答案唐朔飞高等教育出版社【khdaw】/bbs/viewthread.php?tid=984fromuid=425658离散数学 (左孝凌著) 上海科学技术文献出版社课后答案/bbs/viewthread.php?tid=466fromuid=425658计算机网络(第4版)清华(andrew s.tanenbaum)版答案(中文版)/bbs/viewthread.php?tid=201fromuid=425658耿国华数据结构课后答案/bbs/viewthread.php?tid=103fromuid=425658计算机操作系统 (汤子赢著) 西安电子科技大学课后答案/bbs/viewthread.php?tid=1083fromuid=425658《编译原理》课后习题答案/bbs/viewthread.php?tid=175fromuid=425658《常微分方程》王高雄高等教育出版社课后答案/bbs/viewthread.php?tid=567fromuid=425658##################【物理/光学/声学/热学/力学类--答案】#################### 理论力学第六版 (哈尔滨工业大学理论力学教研室著) 高等教育出版社课后答案/bbs/viewthread.php?tid=932fromuid=425658理论力学第六版 (哈尔滨工业大学理论力学教研室编著) 高等教育出版社【khdaw】 /bbs/viewthread.php?tid=461fromuid=425658《热力学统计物理》汪志诚(第三版)高教出版社 (手抄版)习题答案【khdaw】/bbs/viewthread.php?tid=84fromuid=425658原子物理学褚圣麟版课后答案【khdaw】/bbs/viewthread.php?tid=368fromuid=425658《物理学教程》 (马文蔚著) 高等教育出版社【khdaw】/bbs/viewthread.php?tid=2782fromuid=425658《光学》姚启钧第三版高等教育出版社课后答案【khdaw】/bbs/viewthread.php?tid=178fromuid=425658大学物理实验报告与部分范例陈金太厦门大学【khdaw】/bbs/viewthread.php?tid=2350fromuid=425658梁昆淼数学物理方法第三版的课后答案/bbs/viewthread.php?tid=2600fromuid=425658《理论力学教程》周衍柏高等教育出版社完整版课后答案【khdawlxywyl】/bbs/viewthread.php?tid=676fromuid=425658固体物理 (黄昆版) 课后习题答案【khdaw】/bbs/viewthread.php?tid=339fromuid=425658哈工大《理论力学》第6版 (赵诒枢尹长城沈勇著) 华中科技大学出版社课后答案 /bbs/viewthread.php?tid=1033fromuid=425658热力学统计物理汪志诚第三版高等教育出版课后答案【khdaw】 /bbs/viewthread.php?tid=289fromuid=425658《量子力学教程》周习勋课后习题答案【khdaw】/bbs/viewthread.php?tid=388fromuid=425658《原子物理学》杨福家版部分答案高等教育出版社【khdaw】/bbs/viewthread.php?tid=566fromuid=425658《固体物理教程》王矜奉山东大学出版社课后答案【khdaw】/bbs/viewthread.php?tid=1645fromuid=425658##################【化学/环境/生物/医学/制药类--答案】#################### 物理化学 (董元彦著) 科学出版社课后答案/bbs/viewthread.php?tid=412fromuid=425658化工原理 (陈敏恒著) 化学工业出版社课后答案【khdaw】/bbs/viewthread.php?tid=704fromuid=425658生物化学第三版 (王镜岩朱圣庚著) 高等教育出版社课后答案/bbs/viewthread.php?tid=241fromuid=425658遗传学第三版 (朱军著) 农业大学出版社课后答案/bbs/viewthread.php?tid=39fromuid=425658有机化学 (汪小兰著) 高等教育出版社课后答案/bbs/viewthread.php?tid=841fromuid=425658武汉大学版《无机化学》(第三版) 上册【khdaw】/bbs/viewthread.php?tid=196fromuid=425658有机化学 (徐寿昌著) 高教出版社课后答案/bbs/viewthread.php?tid=1752fromuid=425658物理化学习题及答案【khdaw】/bbs/viewthread.php?tid=965fromuid=425658有机化学第二版 (胡宏纹著) 高等教育出版社课后答案/bbs/viewthread.php?tid=41fromuid=425658分析化学第三版武汉大学课后答案/bbs/viewthread.php?tid=199fromuid=425658武汉大学版无机化学(第三版) 下册【khdaw】/bbs/viewthread.php?tid=200fromuid=425658物理化学第四版 (傅献彩著) 高等教育出版社课后答案/bbs/viewthread.php?tid=3611fromuid=425658##################【土建/机械/车辆/制造/材料类--答案】#################### 西工大机械原理配套作业题答案/bbs/viewthread.php?tid=570fromuid=425658机械设计基础(第五版) 杨可桢程光蕴李仲生高教版课后答案 /bbs/viewthread.php?tid=2316fromuid=425658材料力学第4版(刘鸿文)答案(有附件)/bbs/viewthread.php?tid=1931fromuid=425658材料力学课后答案/bbs/viewthread.php?tid=96fromuid=425658材料力学 (范钦珊主编著) 高等教育出版社课后答案/bbs/viewthread.php?tid=120fromuid=425658机械设计基础(第五版) 答案7-18章杨可桢程光蕴李仲生《结构力学习题集》课后答案【khdaw】/bbs/viewthread.php?tid=3016fromuid=425658电工学第六版秦曾煌高等教育出版社课后答案/bbs/viewthread.php?tid=2986fromuid=425658机械原理学习指南(第二版) (孙恒著) 课后答案/bbs/viewthread.php?tid=569fromuid=425658机械原理高等教育出版社课后答案【khdaw_cola】/bbs/viewthread.php?tid=664fromuid=425658电力电子技术试题习题考题及答案题解【khdaw】/bbs/viewthread.php?tid=1169fromuid=425658机械原理习题+答案【khdaw_cola】/bbs/viewthread.php?tid=1210fromuid=425658材料力学第四版 (刘鸿文著) 高等教育出版社课后答案/bbs/viewthread.php?tid=2461fromuid=425658机械设计及答案【khdaw_cola】/bbs/viewthread.php?tid=1172fromuid=425658材料力学(i)第四版(孙训方)高等教育出版社课后答案/bbs/viewthread.php?tid=5342fromuid=425658##################【经济/金融/营销/管理/电子商务类--答案】####################高鸿业版西方经济学习题答案(微观.宏观)【khdaw】/bbs/viewthread.php?tid=92fromuid=425658西方经济学(微观部分) (高鸿业著) 中国人民大学出版社课后答案 /bbs/viewthread.php?tid=2817fromuid=425658袁卫统计学(第二版)习题答案【khdaw】/bbs/viewthread.php?tid=98fromuid=425658曼昆《经济学原理》题目及课后答案/bbs/viewthread.php?tid=162fromuid=425658统计学(贾俊平第二版)中国人民大学出版社课后答案/bbs/viewthread.php?tid=42fromuid=425658运筹学教程第三版 (甘应爱胡运权等著) 清华大学出版社课后答案 /bbs/viewthread.php?tid=7016fromuid=425658高鸿业版西方经济学习题答案(第三版)/bbs/viewthread.php?tid=1277fromuid=425658西方经济学(宏观部分)第四版 (高鸿业著) 中国人民大学出版社课后答案/bbs/viewthread.php?tid=7171fromuid=425658财务管理学课后答案荆新王化成中国人民大学出版社/bbs/viewthread.php?tid=3433fromuid=425658西方经济学课后答案 (高鸿业著) 人民大学出版社/bbs/viewthread.php?tid=6189fromuid=425658克鲁格曼_国际经济学(第六版)的教师手册(含习题答案)/bbs/viewthread.php?tid=237fromuid=425658微观经济学第二版 (高鸿业著) 西方经济学课后答案【篇三:电路-邱关源5教学大纲】一、课程教学目标电路理论是一门研究电网络分析、设计与综合的基础工程学科,它是属于电类各专业共同的理论基础课。
第一章通信网概述1.1简述通信系统模型中各个组成部分的含义,并举例说明。
答:通信系统的基本组成包括:信源,变换器,信道,噪声源,反变换器和信宿六部分。
信源:产生各种信息的信息源。
变换器:将信源发出的信息变换成适合在信道中传输的信号。
信道:按传输媒质分有线信道和无线信道,有线信道中,电磁信号或光电信号约束在某种传输线上传输;无线信道中,电磁信号沿空间传输。
反变换器:将信道上接收的信号变换成信息接收者可以接收的信息。
信宿:信息的接收者。
噪声源:系统内各种干扰。
1.2现代通信网是如何定义的?答:由一定数量的节点和连接这些节点的传输系统有机地组织在一起的,按约定信令或协议完成任意用户间信息交换的通信体系。
适应用户呼叫的需要,以用户满意的效果传输网内任意两个或多个用户的信息。
1.3试述通信网的构成要素及其功能。
答:通信网是由软件和硬件按特定方式构成的一个通信系统。
硬件由:终端设备,交换设备和传输系统构成,完成通信网的基本功能:接入、交换和传输;软件由:信令、协议、控制、管理、计费等,它们完成通信网的控制、管理、运营和维护,实现通信网的智能化。
1.4分析通信网络各种拓扑结构的特点。
(各种网络的拓扑结构图要掌握)答:基本组网结构:Ø网状网:优点:①各节点之间都有直达线路,可靠性高;②各节点间不需要汇接交换功能,交换费用低;缺点:①各节点间都有线路相连,致使线路多,建设和维护费用大;②通信业务量不大时,线路利用率低。
如网中有N个节点,则传输链路数H=1/2*N(N-1)。
Ø星形网:优点:①线路少,建设和维护费用低;②线路利用率高;缺点:①可靠性低,②中心节点负荷过重会影响传递速度。
如网中有N个节点,则传输链路数H=N-1。
Ø环形网:同样节点数情况下所需线路比网状网少,可靠性比星形网高。
如网中有N个节点,则传输链路数H=N。
Ø总线形网:优点:①节点接入方便②成本低,缺点:①传输时延不稳定②若传输总线损坏,整个网络会瘫痪。
第五章〔正弦载波数字调制系统〕习题及其答案【题5-1】设发送数字信息为,试分别画出 2ASK 、2FSK 、2PSK 及2DPSK 信号的波形示意图。
【答案5-1】2ASK 、2FSK 、2PSK 及2DPSK 信号的波形如下列图所示。
【题5-2】确定某2ASK 系统的码元传输速率为103Band ,所用的载波信号为()6cos 410A π⨯。
1〕设所传送的数字信息为011001,试画出相应的2ASK 信号波形示意图; 2〕求2ASK 信号的带宽。
【答案5-2】1〕由题中的确定条件可知310B R Baud =因此一个码元周期为3110s B T s R -==载波频率为664102102s f Hz ππ⨯==⨯载波周期为61102T s -=⨯所以一个码元周期内有2000个载波周期。
如下列图所示我们画出2ASK 信号的波形图,为简便,我们用两个载波周期代替2000个载波周期。
2〕依据2ASK 的频谱特点,可知其带宽为 222000B B R Hz T ===【题5-3】设某2FSK 调制系统的码元传输速率为1000Baud ,已调信号的载频为1000Hz 或 2000 HZ 。
1〕假设发送数字信息为011010,试画出相应的ZFSK 信号波形;2〕摸索讨这时的2FSK 信号应选择怎样的解调器解调?3〕假设发送数字信息是等可能的,试画出它的功率谱密度草图。
【答案5-3】1〕由题意可画出ZFSK 信号波形如下列图所示。
2〕由于ZFSK 信号载波频差较小,频谱有较大重叠,接受非相干解调时上下两个支路有较大串扰,使解调性能降低。
由于两个载频人与人构成正交信号,接受相干解调可减小相互串扰,所以应接受相干解调。
3〕该2FSK 信号功率谱密度草图如下列图所示。
【题5-4】假设在某2DPSK 系统中,载波频率为 2400 Hz ,码元速率为 1200 Band ,确定相对码序列为11000101ll 。
1〕试画出2DPSK 信号波形〔注:相对偏移ϕ∆,可自行假设〕;2〕假设接受差分相干解调法接收该信号时,试画出解调系统的各点波形;3〕假设发送信息符号0和1的概率分别为0.6和0.4,试求2DPSK 信号的功率谱密度。
《通信原理》习题参考答案第五章5-3. 设随机二进制序列中的0和1分别由g(t)和-g(t)组成,它们的出现概率分别为P 和(1-P);(1)求其功率谱密度及功率;(2)若g(t)为图P5-2(a)所示,T s 为码元宽度,问该序列存在离散分量f s =1/T s 否?(3)若g(t)改为图P5-2(b),回答题(2)所问。
解:(1)随机二进制的功率谱密度是由稳态波)(t v T 的功率谱密度和交流波)(t u T 的功率谱密度之和,即: )()()(ωωωu v s P P P +=()[]sm s s s s T f G f G P P mf f mf G P mf PG f 1)()()1()()(1)(221221--+-⋅-+=∑∞-∞=δ ()sm s s s T f G P P mf fmf G P f1)()1(4)()(12222-+-⋅-=∑∞-∞=δ s m s s s T f G P P mf f mf G P f 1)()1(4)()()12(2222-+-⋅-=∑∞-∞=δ∴⎰∞∞-=ωωπd P S s )(21df T f G P P mf f mf G P f s m s s s ⎰∑∞∞-∞-∞=⎥⎦⎤⎢⎣⎡-+-⋅-=1)()1(4)()()12(2222δ df T f G P P df mf f mf G P f s m s s s ⎰⎰∑∞∞-∞∞-∞-∞=-+-⋅-=1)()1(4)()()12(2222δtt(a) (b) 图P5-2df f G P P T df mf f mf G P f s s m s s⎰⎰∑∞∞-∞∞-∞-∞=-+--=2222)()1(41)()()12(δ (2) 若g(t)为图P5-2(a),则g(t)经过傅立叶变化可得到它的频谱,即:)2()(ss T Sa T G ωω=将ω换为f 得: ffT f T f T T f T Sa T f G s s s ss s πππππsin sin )()(=== 判断频域中是否存在s T f 1=,就是将sT f 1=代入)(f G 中,得:0sin sin )(===ππππss T f f T f G说明sT f 1=时g(t)的功率为0,所以不存在该分量。
通信技术基础习题答案第⼀章习题1、试举出若⼲个模拟信号与数字信号的例⼦。
答:模拟信号:语⾳信号等数字信号:计算机处理数据等。
2、请说明有线电视、市内电话、调频⼴播、移动电话、校园⽹等通信系统各使⽤哪些信道。
答:有线电视:同轴电缆市内电话:双绞线调频⼴播:⽆线信道移动电话:⽆线信道校园⽹:双绞线、同轴电缆或光纤3、试述通信系统的组成。
答:通信系统包括五个组成部分:1)信源;2)发送设备;3)接收设备;4)信宿;5)信道。
4、⼀个有10个终端的通信⽹络,如果采⽤⽹型⽹需要⽤到多少条通信链路?如果采⽤星型⽹需要有多少条通信链路?答:⽹状⽹:45条;星状⽹:10条5、试述传码率,传信率,误码率,误信率的定义,单位。
并说明⼆进制和多进制时码元速率和信息速率的相互关系。
答:1)传码率是指单位时间内通信系统传送的码元数⽬,单位为“波特”或“B”。
2)传信率也称为⽐特率(bit rate),是指单位时间内通信系统所传送的信息量,单位为“bit/s”或“bps”。
3)误码率就是码元在传输系统中被传错的概率,Pe=传输中的误码/所传输的总码数。
4)误信率是指发⽣差错的信息量在信息传输总量中所占的⽐例,Peb=系统传输中出错的⽐特数/系统传输的总⽐特数。
r=Rmlog2m(bit/s)式中,r为传信率,Rm为m进制的传码率。
6、描述点对点通信的⼏种⽅式。
答:对于点对点之间的通信,按消息传送的⽅向与时间,通信⽅式可分为单⼯通信、半双⼯通信及全双⼯通信三种。
7、线路交换与分组交换的区别在哪⾥?各有哪些优点?答:线路交换:⽹上的交换设备根据⽤户的拨号建⽴⼀条确定的路径,并且在通信期间保持这条路径,从被呼⽤户摘机建⽴通话开始到⼀⽅挂机为⽌,这条线路⼀直为该⽤户所占⽤。
线路交换的很⼤⼀个优点是实时性好。
分组交换:分组交换是⼀种存储与转发的交换⽅式,很适合于数据通信。
它将信息分成⼀系列有限长的数据包,并且每个数据包都有地址,⽽且序号相连。
【电子信息类】课后习题答案大全第9类【一共15类】【电子信息类课后习题答案大全】▆▆▆▆▆▆▆▆▆▆▆▆▆▆▆▆▆▆▆▆▆▆▆▆▆▆▆▆▆▆▆▆第9类【一共15类】【电子信息类课后习题答案大全】▆▆▆▆▆▆▆▆▆▆▆▆▆▆▆▆▆▆▆▆▆▆▆▆▆▆▆▆▆▆▆▆《模拟电子技术基础》详细习题答案(童诗白,华成英版,高教版)/viewthread.php?tid=42&fromuid=1000《电工学》课后习题答案(第六版,上册,秦曾煌主编)/viewthread.php?tid=232&fromuid=1000《数字电子技术基础》习题答案(阎石,第五版)/viewthread.php?tid=90&fromuid=1000《电路》习题答案上(邱关源,第五版)/viewthread.php?tid=137&fromuid=1000《电工学》习题答案(第六版,秦曾煌)/viewthread.php?tid=112&fromuid=1000《模拟电子技术基础》课后习题答案(共10章)/viewthread.php?tid=21&fromuid=1000《模拟电子技术基础简明教程》课后习题答案(杨素行第三版)/viewthread.php?tid=41&fromuid=1000《信号与线性系统分析》习题答案及辅导参考(吴大正版)/viewthread.php?tid=74&fromuid=1000《通信原理》课后习题答案及每章总结(樊昌信,国·防工业出版社,第五版)/viewthread.php?tid=203&fromuid=1000《电力电子技术》习题答案(第四版,王兆安,王俊主编)/viewthread.php?tid=164&fromuid=1000《自动控制原理》课后题答案(胡寿松,第四版)/viewthread.php?tid=52&fromuid=1000《信号与系统》习题答案(第四版,吴大正)/viewthread.php?tid=268&fromuid=1000《电工学——电子技术》习题答案(下册)/viewthread.php?tid=237&fromuid=1000《微机原理及应用》习题答案/viewthread.php?tid=261&fromuid=1000《信息论与编码》辅导PPT及部分习题答案(曹雪虹,张宗橙,北京邮·电大学出版社)/viewthread.php?tid=136&fromuid=1000《数字电子技术基础》课后习题答案(完整答案版)/viewthread.php?tid=197&fromuid=1000《单片机原理及应用》课后习题答案(张毅刚主编,高教版)/viewthread.php?tid=36&fromuid=1000《高频电子线路》习题参考答案(第四版)/viewthread.php?tid=142&fromuid=1000《信号与系统》习题详解(奥本海姆版)/viewthread.php?tid=79&fromuid=1000《电路分析》课后答案及学习指导(第二版,胡翔骏,高教版)/viewthread.php?tid=177&fromuid=1000《数字电路与逻辑设计》课后习题答案,讲解详细/viewthread.php?tid=233&fromuid=1000《电路》第五版课后答案/viewthread.php?tid=1678&fromuid=1000自动控制原理习题集(自学辅导推荐)/viewthread.php?tid=53&fromuid=1000《现代通信原理》习题答案(曹志刚版)/viewthread.php?tid=44&fromuid=1000《数字信号处理》课后答案及详细辅导(丁美玉,第二版)/viewthread.php?tid=58&fromuid=1000《控制工程基础》课后习题解答(清华版)/viewthread.php?tid=127&fromuid=1000《信息论与编码》学习辅导及习题详解(傅祖芸版)/viewthread.php?tid=238&fromuid=1000《自动控制原理》习题答案/viewthread.php?tid=117&fromuid=1000《微机原理》作业答案(李继灿版)/viewthread.php?tid=218&fromuid=1000《电力电子技术》习题答案(第4版,西安交通·大学)/viewthread.php?tid=130&fromuid=1000《通信原理》习题答案/viewthread.php?tid=190&fromuid=1000《控制工程基础》习题答案(第二版,燕山·大学)/viewthread.php?tid=126&fromuid=1000《自动控制原理》课后习题答案———胡寿松,第五版/viewthread.php?tid=1740&fromuid=1000《数字电子技术基础》详细习题答案(阎石第四版)/viewthread.php?tid=167&fromuid=1000《数字信号处理——基于计算机的方法》习题答案(第二版)/viewthread.php?tid=174&fromuid=1000《电力拖动自动控制系统》习题答案/viewthread.php?tid=115&fromuid=1000《自动控制原理》课后题答案(卢京潮主编,西北工业·大学出版社)/viewthread.php?tid=128&fromuid=1000《电路分析》习题答案(第2版,高等教育出版社,胡翔俊)/viewthread.php?tid=250&fromuid=1000《信号与系统》习题解析(燕庆明,第3版)非常详细/viewthread.php?tid=71&fromuid=1000《信号与系统》课后习题答案/viewthread.php?tid=198&fromuid=1000《电磁场与电磁波》习题答案(第4版,谢处方编,高教版)/viewthread.php?tid=2514&fromuid=1000《信号与系统》习题答案详解(郑君莉,清·华大学,牛逼完整版)/viewthread.php?tid=257&fromuid=1000《高频电子线路》课后答案(第四版,张肃文)/viewthread.php?tid=3392&fromuid=1000《通信电路》课后习题答案(沈伟慈,西安电子科技·大学出版社)/viewthread.php?tid=259&fromuid=1000《数字信号处理》完整习题答案(程佩青,英文版)/viewthread.php?tid=223&fromuid=1000《数字信号处理教程》习题解答(第二版)/viewthread.php?tid=65&fromuid=1000《电子线路-非线性部分》课后答案(谢嘉奎高等教育出版社)/viewthread.php?tid=192&fromuid=1000《数字信号处理》习题答案/viewthread.php?tid=111&fromuid=1000《数字逻辑》(第二版)习题答案(欧阳明星主编)/viewthread.php?tid=26&fromuid=1000《数字逻辑电路与系统设计》习题答案/viewthread.php?tid=234&fromuid=1000数字信号处理程佩青第三版清·华大学出版社/viewthread.php?tid=2264&fromuid=1000《信息论与编码》曹雪虹-张宗橙清·华大学出版社可配北邮版本/viewthread.php?tid=1956&fromuid=1000《数字通信》习题答案(第四版,Proakis)/viewthread.php?tid=275&fromuid=1000电子技术数字和模拟部分答案(第四版,康华光)/viewthread.php?tid=100&fromuid=1000《单片机及接***术》课后答案(梅丽凤,王艳秋,清·华大学出版社)/viewthread.php?tid=159&fromuid=1000《信号与线性系统》习题详解(管致中,第四版)/viewthread.php?tid=858&fromuid=1000《信号与系统》习题及精解/viewthread.php?tid=108&fromuid=1000《电路与电子学》习题解答与实验指导(电子工业出版社出版,第3版)/viewthread.php?tid=2788&fromuid=1000《信号与系统》课后习题答案(西安电子科·技大学)/viewthread.php?tid=106&fromuid=1000《测控电路》习题答案(机械出版社)/viewthread.php?tid=166&fromuid=1000《数字逻辑》第四版习题答案/viewthread.php?tid=11&fromuid=1000《高频电子线路》习题集参考答案(曾兴雯版,高等教育出版社)/viewthread.php?tid=1502&fromuid=1000电工学(第6版)上册(电工技术)秦曾煌主编高教出版社/viewthread.php?tid=2655&fromuid=1000《数字电子技术》课后习题答案详解(阎石,第四版)/viewthread.php?tid=97&fromuid=1000模拟电子技术课后习题答案/viewthread.php?tid=1145&fromuid=1000《电工学》习题答案(高教版,第六版)/viewthread.php?tid=1621&fromuid=1000《信号与系统》课后习题答案(于慧敏著)/viewthread.php?tid=107&fromuid=1000《电子电路分析与设计》课后题答案(英文版)/viewthread.php?tid=135&fromuid=1000《电工学》课后习题答案(第六版,上册,秦曾煌主编)/viewthread.php?tid=2076&fromuid=1000《基础电子技术》习题解答(哈工大,蔡惟铮)/viewthread.php?tid=266&fromuid=1000《现代控制系统》答案(英文版)730页/viewthread.php?tid=98&fromuid=1000奥本海姆《信号与系统》第二版习题详解/viewthread.php?tid=1343&fromuid=1000《数字电路》习题答案(龚之春,电子科·技大学出版社)/viewthread.php?tid=2342&fromuid=1000《热工测量与自动控制》习题及答案/viewthread.php?tid=248&fromuid=1000简明电路分析基础李瀚荪高教版/viewthread.php?tid=6218&fromuid=1000传感器与检测技术+课后习题答案/viewthread.php?tid=2175&fromuid=1000《信息论基础教程》习题答案(李亦农,李梅版)/viewthread.php?tid=2159&fromuid=1000传感器期末考试复习资料大全/viewthread.php?tid=5262&fromuid=1000《IBM-PC汇编语言》课后习题答案/viewthread.php?tid=67&fromuid=1000《信号与系统》课后习题答案(郑君里,第二版)/viewthread.php?tid=2682&fromuid=1000化工原理第三版答案(清晰版)(缺三七章)陈敏恒等化学工业出版社/viewthread.php?tid=3523&fromuid=1000电磁场与电磁波(第二版)课后题答案/viewthread.php?tid=1705&fromuid=1000自动控制原理习题答案/viewthread.php?tid=1944&fromuid=1000电力电子技术+第四版+王兆安/viewthread.php?tid=6306&fromuid=1000数字逻辑与数字系统设计课后答案王永军/viewthread.php?tid=2050&fromuid=1000信号与系统(第三版)陈生潭西安电子科·技大学出版社/viewthread.php?tid=1525&fromuid=1000《信息论与编码》习题答案(高等教育出版社)仇佩亮编/viewthread.php?tid=99&fromuid=1000《电磁场与电磁波》课后习题答案(冯恩信)/viewthread.php?tid=3863&fromuid=1000模拟电子技术期末复习/viewthread.php?tid=7366&fromuid=1000工厂供电习题答案/viewthread.php?tid=1929&fromuid=1000《电路与模拟电子技术》习题答案/viewthread.php?tid=2861&fromuid=1000(新)图像处理2008(A卷)及答案!/viewthread.php?tid=5533&fromuid=1000面向21世纪课程教材电子电路基础/viewthread.php?tid=3261&fromuid=1000《16/32位微机原理、汇编语言及接***术》答案1~10章钱晓婕版机械工业出版社/viewthread.php?tid=3655&fromuid=1000《高频电路原理与分析》西电出版社第三版习题答案/viewthread.php?tid=2649&fromuid=1000《自动控制理论》第2版_夏德钤翁贻方机械工业出版社习题答案/viewthread.php?tid=2716&fromuid=1000电工电子技术-王鼎等主编/viewthread.php?tid=7946&fromuid=1000模拟电子技术基础(第3版华成英主编)习题答案/viewthread.php?tid=2125&fromuid=1000哈工大(威海)电工学期末试题/viewthread.php?tid=3408&fromuid=1000《C语言程序设计》习题参考答案(罗朝盛版)/viewthread.php?tid=4561&fromuid=1000高教版计算方法(施吉林,刘淑珍,陈桂芝编)课后习题答案/viewthread.php?tid=7088&fromuid=1000《电路与电子技术基础》习题参考解答/viewthread.php?tid=856&fromuid=1000固体物理习题答案/viewthread.php?tid=7715&fromuid=1000通信原理课件第五版/viewthread.php?tid=7716&fromuid=1000《数字电路》习题解答(余孟尝,第3版)/viewthread.php?tid=444&fromuid=1000《微电子器件与IC设计》习题答案(科学出版社)/viewthread.php?tid=116&fromuid=1000高频电子线路答案/viewthread.php?tid=1501&fromuid=1000《数字逻辑》PPT课件/viewthread.php?tid=673&fromuid=1000高频电路/viewthread.php?tid=1683&fromuid=1000数电实验报告/viewthread.php?tid=5501&fromuid=1000信息论与编码学习辅导及习题详解/viewthread.php?tid=4557&fromuid=1000《固体物理》习题答案(黄昆版)/viewthread.php?tid=1319&fromuid=1000电工电子学第二版课后答案/viewthread.php?tid=7322&fromuid=1000电气控制与可编程序控制器习题解答/viewthread.php?tid=6907&fromuid=1000微积分II复习/viewthread.php?tid=5875&fromuid=1000《Visual foxpro 程序设计》课后答案(重`庆大学出版社)/viewthread.php?tid=610&fromuid=1000传感器与传感器技术第二版何道清习题解答/viewthread.php?tid=6815&fromuid=1000微观经济学/viewthread.php?tid=5876&fromuid=1000《传感器与检测技术》陈杰高教版高等教育出版社课后答案/viewthread.php?tid=3173&fromuid=1000信息安全数学基础(陈恭亮)课后习题答案/viewthread.php?tid=5948&fromuid=1000量子力学/viewthread.php?tid=4488&fromuid=1000数据处理模拟练习题参考答案(14张word)/viewthread.php?tid=820&fromuid=1000C++语言学习质料/viewthread.php?tid=7889&fromuid=1000模拟电子技术基础部分答案/viewthread.php?tid=8499&fromuid=1000计算机操作系统期末复习题/viewthread.php?tid=5996&fromuid=1000电力电子技术练习及参考解/viewthread.php?tid=7123&fromuid=1000《传感器与检测技术》课后答案,陈杰编著,高等教育出版社。
第五章习题习题5.1 若消息码序列为1101001000001,试求出AMI 和3HDB 码的相应序列。
解: A MI 码为 3HDB 码为习题5.2 试画出A MI 码接收机的原理方框图。
解:如图5-20所示。
图5-1 习题5.2图习题 5.3 设)(1t g 和)(2t g 是随机二进制序列的码元波形。
它们的出现概率分别是P 和)1(P -。
试证明:若k t g t g P =-=)](/)(1[121,式中,k 为常数,且10<<k ,则此序列中将无离散谱。
证明:若k t g t g P =-=)(/)(1121,与t 无关,且10<<k ,则有1)()]()([212=-t g t g t g P即 )()1()()()(2221t g P t g t Pg t Pg -=-=0)()1()(21=-+t g P t Pg所以稳态波为 ∑∑--+-=)()1()()(s 2s 1nT t g P nT t g P t v0)]()1()([s 2s 1=--+-=∑nT t g P nT t g P即0)(=w P v 。
所以无离散谱。
得证!习题5.4 试证明式()()()()⎰+-=1011d 2sin 2sin 4W f ft W f H Wt t h ππ。
证明:由于⎰∞∞-=df e f H t h ft j π211)()(,由欧拉公式可得⎰⎰⎰∞∞-∞∞-∞∞-+=+=fft f H ftdf f H fft ft f H t h d 2sin )(j 2cos )(d )2sin j 2)(cos ()(1111ππππ由于)(1f H 为实偶函数,因此上式第二项为0,且⎰∞∞-=f ft f H t h d )2cos()(2)(11π10100010010111000001001011+--+-++-+-+k a令,'d d ,'f f W f f =+=,代入上式得⎰⎰⎰∞-∞-∞-+++=++=WWW fWt ft W f H f Wt ft W f H f t W f W f H t h d 2sin 2sin )(2d 2cos 2cos )(2'd ])'(2cos[)'(2)(1111πππππ由于)(1f H 单边为奇对称,故上式第一项为0,因此⎰⎰+=+=∞-WW fftt W f H W fftt W f H W t h 0111d 2sin )(2sin 4d 2sin )(2sin 2)(ππππ习题5.5 设一个二进制单极性基带信号序列中的“1”和“0”分别用脉冲)(t g [见图5-2的有无表示,并且它们出现的概率相等,码元持续时间等于T 。
第5章 数字基带传输系统5.1 学习指导 5.1.1 要点本章的要点主要有数字基带传输系统结构及各部件功能;基带信号常用波形及其频谱特性;基带传输常用码型的编译及其特点;码间串扰和奈奎斯特第一准则;理想低通传输特性和奈奎斯特带宽;升余弦滚将特性;第一类部分响应系统;无码间串扰基带系统的抗噪声性能;眼图和均衡的概念。
1.数字基带传输系统数字基带传输系统:不经载波调制而直接传输数字基带信号的系统,其基本结构如图5-1所示。
主要有发送滤波器、信道、接收滤波器、同步提取电路以及抽样判决器组成。
发送滤波器用于产生适合于信道中传输的基带信号波形。
信道是基带信号传输媒质(通常为有线信道)。
加性n (t )是均值为零的高斯白噪声。
接收滤波器的功能接收有用信号,滤除带外噪声,对信道特性均衡,使输出的基带波形有利于抽样判决。
同步提取即从接收信号中提取用来抽样的定位脉冲。
抽样判决器用来对对接收滤波器的输出波形进行抽样、判决和再生(恢复基带信号)。
图5 - 1 数字基带传输系统的原理方框图发送滤波器信道接收滤波器抽样、判决器e (t )n (t)位同步提取y (t )2.数字基带信号及其频谱特性(1) 数字基带信号数字基带信号用不同的电平或脉冲来表示不同的消息代码。
数字基带信号的单个脉冲有矩形脉冲、余弦脉冲、升余弦脉冲、高斯脉冲等等形式。
常用的基本信号波形有:单极性与双极性波形、不归零码与归零码波形、差分波形、多电平波形等。
数字基带信号通常是一个随机的脉冲序列。
若其各码元波形相同而电平取值不同,则可表示为()()nsn s t a g t nT ∞=-∞=-∑ (5-1)式(5-1)中,a n 是第n 个码元所对应的电平值(随机量);T s 为码元持续时间;g (t )为某种脉冲波形。
一般情况下,数字基带信号可表示为()()nn s t s t ∞=-∞=∑ (5-2)(2) 基带信号的频谱特性数字基带信号s (t )的频谱特性可以用功率谱密度来描述。
第五章振幅调制与解调习题参考答案5-1 有一调幅波,载波功率为100W ,试求当a 1M =与a 0.3M =时,每一对边频功率是多少?[参考答案:SB150W P =,SB2 4.5W P =]解:因为边频功率2SB a o 12P M P =,所以当a 1M =时,SB1o 11100W =50W 22P P ==⨯ 当a 0.3M =时,()2SB110.3100W =4.5W 2P =⨯⨯5-2 试指出下列两种电压是什么已调波?写出已调波表示式,并指出它们在单位负载上消耗的平均功率av P 及相应的频谱宽度BW 。
(1) 1()(2cos100π0.1cos110π0.1cos90π)V t t t t =++v (2) 1()(0.1cos110π0.1cos90π)V t t t =+v[参考答案:(1)SB av 10mW, 2.01W,10Hz P P BW ===,(2)av 10mW,10Hz P BW ==] 解:(1)1v 为标准调幅波12cos1000.1cos900.1cos1102(10.1cos10cos100t +t +t =t)t=πππ+ππvcm1a c 2V,0.1,10,100V M Ωω===π=π222a cm1a av o 11 2.01W 222M V M P P ⎛⎫⎛⎫=+=+= ⎪ ⎪⎝⎭⎝⎭频谱宽度AM 210Hz BW F == (2)2v 为双边带调幅波20.1cos900.1cos1100.2cos10cos100t +t =t t =ππππv2222a a cm SB o 0.2W =10mW 2224M M V P P ==⋅= SB 210Hz BW F ==5-3 如图P5-3所示,用频率1000kHz 的载波信号同时传送两路的频谱图(1)求输出电压v 表示式。
(2)画出用理想模拟相乘器实现该调幅框图。
(3)估算在单位负载上平均功率av P 和频带宽度AM BW 。
图P5-3解:(1) 图P5-3所示的频率图是两路已调波作为调制信号对载波进行二次调制,即对载波C f =103kHz 而言,它的调制信号是由两个调幅信号合成。
第一个调幅信号的载波频率为1f =10kHz ,第二个调幅信号的载波频率为2f =3×104kHz ,且它们的调制频率F 均为3×10kHz 。
合成后的已调波为[]Cm a11a22C 1(1cos )cos (1cos )cos cos V M t t M t t t ωωω=++++v ΩΩ 由图5-1可知644C 122π10rad/s ,2π10rad/s ,6π10rad/s ,ωωω=⨯=⨯=⨯32π6π10rad/s F ==⨯Ω 6.0=8.0=a2a1M M ,[]12C 1010.8(1cos )cos 0.6(1cos )cos cos t t t t t ωωω=++++v ΩΩ (2) 实现调幅的方框图如图P5-3J 所示。
图P5-3J (1)(3) 负载上平均功率av P 应为所有分量功率之和,故222222Cm av L 14 1.542232410W 87.5W 22V P R ⎡⎤==⨯+⨯+⨯+⨯+=⎣⎦∑频带宽度为 kHz 66=kHz )9671033(=AM -BW 5-4 试画出下列三种已调波电压的波形和频谱图。
(1)V cos cos 5=)(C t ωt Ωt v (2)V cos )cos 3+5(=)(C t ωt Ωt v (3)V +sin(3=)(C t Ωωt )v解:(1)V cos cos 5=)(C t ωt Ωt v 为双边带(DSB )波,波形和频谱图如图P5-4J1 所示。
(a )波形图 (b )频谱图图P5-4J1(2)V cos )cos 3+5(=)(C t ωt Ωt v 为普通调幅(AM )波,波形和频谱图如图P5-4J2所示。
(a )波形图 (b )频谱图图P5-4J2(3)V +sin(3=)(C t Ωωt )v 为单边带(SSB )波,波形和频谱图如图P5-4J3所示。
(a )波形图 (b )频谱图图P5-4J35-5 如图P5-5所示,试画出它们的频谱图。
图P5-5解:图P5-5(a )所示波形为载波和单音频信号叠加,频谱图如图P5-5J (a )所示。
图P5-5J (a ) 图P5-5J (b )图P5-5(b )所示波形为普通调幅(AM )波,频谱图如图P5-5J (b )所示。
图P5-5(c )所示波形为双边带(DSB )波,频谱图如图P5-5J (c )所示。
图P5-5J (c ) 图P5-5J (d )图P5-5(d )所示波形为单边带(SSB )波,频谱图如图P5-5J (d )所示。
图P5-5(e )所示波形为普通调幅(AM )波的正向检波信号,即)+sin π2+21(sin )Ωsin +1(=)(=c c a m AM c 1Λt ωt ωt M V t ωk v v频谱图如图P5-5J (e )所示。
图P5-5J (e )5-6 一调幅发射机输出功率av 100W P =,平均调制系数a 0.3M =,试求其中的边带功率SB P ,若要求一双边带发射机输出相同的边带功率,已知泄漏的载波功率低于边带功率20dB ,试求双边带发射机的输出功率av P (答案:SB 4.3W P =,av 4.35W P =)解:22a a av O SB O 1,22M M P P P P ⎛⎫=+=⎪⎝⎭ 因为2a SB2aav212M P M P =+22a SB av 22a 0.3100W =4.3W 220.3M P P M ==⨯++ 又因SB10lg20P P =-泄所以2SB 100.043W P P -==泄漏av SB 4.343W P P P =+=泄漏5-7 如图P5-7所示,电路中已知m ()cos t V t ΩΩ=v Ω,C cm C ()cos t V t ω=v ,且C <<ωΩ,m V Ω<<cm V ,二极管工作在受C v 控制的开关状态,若设二极管D 1和D 2的伏安特性均为一条自原点的折线,其导通电阻为D R ,试求通过i 的电流表示式,并指出它包含那些频谱分量。
图P5-7解:将电路改画成如图P5-7J 所示。
图P5-7J列网孔方程,注意到大信号C v 反相加到二极管 D 1、D 2上。
1D L 2L C 1C 2D L 1L C 1C (+)-()()(+)-()(π)i R R i R K t i R R i R K t ωωΩΩ=+⎧⎨=--⎩v v v v 两式相减得[][]C C121C 1C D L D LC 1C 1C 1C 1CD L D LC 2CD L D L C C C C D L D L-()(π)+2+2()(π)()(π)+2+2()+2+2444cos cos3cos5+2+2π3π5πi i i K t K t R R R R K t K t K t K t R R R R K t R R R R t t t R R R R ωωωωωωωωωωΩΩΩΩΩ+-==--=+-+--=+⎡⎤=+-++⎢⎥⎣⎦L v v v v v v v v v v故电流i 中含有的频谱分量为C ω,C Ωω±,C C 3(2+1)(012Ωn Ωn ωω±±=L L 、、)5-8 如图P5-8所示,假设二极管D 1、D 2均为自原点出发的直线,直线斜率为D D 1/g R =,C Cm C ()cos t V t ω=v ,t V t Ωcos =)(m ΩΩv ,并且Cm m V V Ω>>。
二极管工作在受C v 控制的开关状态,试求在L R 上产生的双边带调制波分量的电压表示式。
图P5-8图P5-8J解: 大信号C v 开关控制二极管D 1、D 2,当C 0>v 时, D 1、D 2导通;当C 0<v 时, D 1、D 2截止,由等效电路图P5-8J 得到C C 121C 1CD L D L 1C 1C D L L()()()()()+2+22()()+2i i i K t K t R R R R K t K t R R R ωωωωΩΩΩΩ⎡⎤+-=-=-⎢⎥⎣⎦=≈v v v v v vi 中含有C ω±Ω频谱分量,在负载端加上中心频率为C ω、3dB 带宽为2Ω的LC 带通滤波器,即可在负载两端得到双边带DSB 波。
DSB C Cm2πV Ω=v v v 5-9 如图P5-9所示双差分对模拟相乘器输出接一只隔直电容C C 和输出滤波器构成的电路,输出电流kTq R I kT q i i I i 2th +2≈2th 2+2=1E 2016C C50I v v v -,试分析为了实现下列不失真功能,输入端各加什么信号电压?输出电流含有哪些频率分量?输出滤波器要求是什么?(1) 双边带调制;(2) 对AM 波解调;(3) C L I =ωωω-的混频。
图P5-9解:(1) 欲实现双边带调制,令1C Cm C ()cos t V t ω=v =v , 2m ()cos t V t ΩΩ=v =v Ω,单 端输出电流为0C5C6001212C E Eth th ()222222I i i I I q q i K t kT R kT R ωΩI =+≈+=+-v v v v i I 输出电流中含有的频谱分量有:直流、C Ωω±、3C Ωω±、….,经隔直电容CC 及中心频率为C ω,3dB 带宽为2Ω的LC 带通滤波器后,即可实现双边带调制型电压。
(2) 要实现对AM 波解调,则1v 应加载波信号C Cm C ()cos t V t ω=v ,2v 应加AM 波2AM Cm a C (1cos )cos V M Ωt t ω==+v v ,输出电流含有直流分量及调制信号频率分量Ω,输出滤波器应为低通滤波器。
(3) 要实现对C L I =ωωω-的混频,则1v 应加本振电t ωV L Lm L 1cos ==v v ,2v 应 加已调波信号电压,如AM 波2AM Cm a C (1cos )cos V M Ωt t ω==+v v ,输出信号频谱分量为L C Ωωω±±,输出端应接中频滤波器,中心频率为I ω、3dB 带宽 为Ω2,即可得到中频的已调波,实现了混频。
5-10 对一个通用型BG314集成模拟相乘器,若R 3=R 13=13.8kΩ,R C =11kΩ,E2E1=R R =15kΩ,CC V =32V ,EE V =15V ,BE(on)V =0.7V ,β足够大,在下列三种情况下,求O v 表示式,说明可以实现何种功能,并对外接滤波器提出要求。