二次根式同步练习题
- 格式:doc
- 大小:159.50 KB
- 文档页数:18
二次根式计算专题1.计算:⑴ ()()24632463+- ⑵ 20(3)(3)2732π++-+-【答案】(1)22; (2) 643-【解析】试题分析:(1)根据平方差公式,把括号展开进行计算即可求出答案.(2)分别根据平方、非零数的零次幂、二次根式、绝对值的意义进行计算即可得出答案. 试题解析:(1) ()()24632463+-22(36)(42)=-=54-32 =22.(2)2(3)(3)2732π++-+-313323=+-+- 643=-考点: 实数的混合运算. 2.计算(1)﹣×(2)(6﹣2x)÷3.【答案】(1)1;(2)13【解析】试题分析:先把二次根式化简后,再进行加减乘除运算,即可得出答案. 试题解析:2051123525532335=-⨯32=-1=;(2)1(62)34x x x÷62)3x x x x =÷ (3)3x x x =÷3x x =.13=.考点: 二次根式的混合运算.3.计算:⎛÷⎝【答案】143.【解析】试题分析:先将二次根式化成最简二次根式,再算括号里面的,最后算除法.试题解析:⎛÷⎝÷=143=.考点:二次根式运算.4.计算:322663-+-⨯【答案】22.【解析】试题分析:先算乘除、去绝对值符号,再算加减.试题解析:原式=23323-+-=22考点:二次根式运算.5.计算:)23(3182+-⨯【答案】-【解析】试题分析:先将二次根式化成最简二次根式,再化简.6=-考点:二次根式化简.6.计算:2421332--.【答案】22.【解析】试题分析:根据二次根式的运算法则计算即可.22-==.考点:二次根式的计算.7.计算:)13)(13(2612-++÷-.2.【解析】试题分析:先算乘除,再算加减,有括号的先算括号里面的,特别的能利用公式的应用公式简化计算过程.1)=31-2. 考点:二次根式的化简.8⎝【答案】0.【解析】试题分析: 根据二次根式运算法则计算即可.0==⎝. 考点:二次根式计算.9.计算:()0+1π.【答案】1-【解析】试题分析:任何非零数的零次方都为1,负数的绝对值等于它的相反数,再对二次根式进行化简即可.试题解析:()0+1π11=-=- 考点:二次根式的化简. 10.计算:435.03138+-+ 【答案】323223+. 【解析】试题分析:先化成最简二次根式,再进行运算. 试题解析:原式=2322322+-+=323223+. 考点:二次根式的化简. 11.计算:(1)(2)()02014120143π----.【答案】(1)1(2)3-【解析】 试题分析:(1)根据二次根式的运算法则计算即可;(2)针对有理数的乘方,零指数幂,二次根式化简,.绝对值4个考点分别进行计算,然后根据实数的运算法则求得计算结果. 试题解析:(1)(1==(2)()020141201431133π---=--+=-. 考点:1.实数的运算;2.有理数的乘方;3.零指数幂;4.二次根式化简;5.绝对值.12.计算: 212)31()23)(23(0+---+ 【答案】2.【解析】试题分析:本题主要考查了二次根式的混合运算.熟练化简二次根式后,在加减的过程中,有同类二次根式的要合并;相乘的时候,被开方数简单的直接让被开方数相乘,再化简;较大的也可先化简,再相乘,灵活对待.本题中先根据平方差公式计算乘法以及零指数幂的意义,去掉括号后,计算加减法. 试题解析:解:原式=2123+-- =2考点:二次根式的混合运算.130(2013)|+-+-.【答案】1. 【解析】0(2013)|-+-1=+1=.考点:二次根式化简. 14.计算12)824323(÷+- 【答案】262.【解析】试题分析:先化简二次根式,再合并同类二次根式,最后算除法即可求出答案.试题解析:248)12(62622)23(226)23 26考点: 二次根式的混合运算.15112 2322.【解析】试题分析:把二次根式化简,再合并同类二次根式即可求出答案.1122343222323考点: 二次根式的运算.16.化简:(1)83250+(2)2163)1526(-⨯-【答案】(1)92;(2)-【解析】试题分析:(1)先去分母,再把各二次根式化为最简二次根式,进行计算;(2)直接利用分配律去括号,再根据二次根式乘法法则计算即可.试题解析:(1)原式92=;(2)原式==-考点:二次根式的混合运算;17.计算(1)2(2)2【答案】(1)3(2)3.【解析】试题分析:(1)根据运算顺序计算即可;.(2)将括号内化为最简二次根式后合并再平方运算即可.试题解析:(1)233=-=.(2)(2223===.考点:二次根式化简.181)(1+- 【答案】17. 【解析】,运用平方差公式计算1)(1+,再进行计算求解.181--=17考点:实数的运算.19.计算:231|21|27)3(0++-+--【答案】-.【解析】试题分析: 本题涉及零指数幂、二次根式的化简、分母有理化、绝对值化简4个考点.在计算时,需要针对每个考点分别进行计算,然后根据实数的运算法则求得计算结果.试题解析:原式=11-+=-考点:1.实数的运算;2.零指数幂;3.分母有理化. 20.计算:①1 2⎛⎫+- ⎪⎝⎭ ② ⎛ ⎝ ③⎛- ⎝1;②143;③a3-. 【解析】试题分析:①针对算术平方根,绝对值,零指数3个考点分别进行计算,然后根据实数的运算法则求得计算结果;②根据二次根式运算法则计算即可;③根据二次根式运算法则计算即可.1112⎛⎫+-= ⎪⎝⎭.②143⎛⎛=÷ ⎝⎝.1a 2a 63⎛-=-⋅=- ⎝. 考点:1.二次根式计算;2.绝对值;3.0指数幂.21.计算:(1)2012101(1)5()1)2----++(2)【答案】(1)0;(2)【解析】 试题分析:(1)原式=152310-++-=;(2)原式==. 考点:1.实数的运算;2.二次根式的加减法. 22.计算与化简(1(0π (2)2(3(4+-【答案】(1)1;(2)5.【解析】 试题分析:(1)将前两项化为最简二次根式,第三项根据0指数幂定义计算,再合并同类二次根式即可;(2)应用完全平方公式和平方差公式展开后合并同类二次根式即可.试题解析:(1(011π==.(2)((()2344951675+--=+--=.考点:1.二次根式化简;2.0指数幂;3.完全平方公式和平方差公式. 23.(1)18282-+(2)3127112-+(3)0)31(33122-++(4))2332)(2332(-+【答案】(1)-(3)6;(4)6- 【解析】试题分析:本题主要考查根式的根式的混合运算和0次幂运算.根据运算法则先算乘除.法,是分式应该先将分式转化为整式,再按运算法则计算。
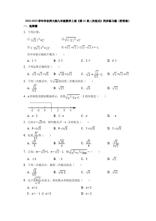
2022-2023学年华东师大版九年级数学上册《第21章二次根式》同步练习题(附答案)一.选择题1.下列计算:①;②;③;④.其中结果正确的个数为()A.1个B.2个C.3个D.4个2.下列运算正确的是()A.B.C.D.3.下列二次根式中,与是同类二次根式的是()A.B.C.D.4.a的取值范围如数轴所示,化简﹣1的结果是()A.a﹣2B.2﹣a C.a D.﹣a5.已知x=+2,则代数式x2﹣x﹣2的值为()A.9B.9C.5D.56.化简得()A.B.C.D.7.已知:m=+1,n=﹣1,则=()A.±3B.﹣3C.3D.8.下列二次根式中,最简二次根式的是()A.B.C.D.9.式子有意义,则实数a的取值范围是()A.a≥1B.a≠2C.a≥﹣1 且a≠2D.a>210.若代数式有意义,则x的取值范围是()A.x>且x≠3B.x≥C.x≥且x≠3D.x≤且x≠﹣3 11.化简|a﹣3|+()2的结果为()A.﹣2B.2C.2a﹣4D.4﹣2a12.式子成立的条件是()A.x≥3B.x≤1C.1≤x≤3D.1<x≤313.化简2﹣+的结果是()A.B.﹣C.D.﹣14.(﹣)2的值为()A.a B.﹣a C.D.﹣15.把式子m中根号外的m移到根号内,得()A.﹣B.C.﹣D.﹣16.化简二次根式的正确结果是()A.a B.a C.﹣a D.﹣a二.填空题17.若,则xy=.18.实数a、b在数轴上对应点的位置如图所示,化简:=.19.如图,从一个大正方形中截去面积分别为x2和y2的两个小正方形,若x=5+2,y =5﹣2,则图中留下来的阴影部分的面积为.20.计算的结果是.21.若=x﹣4+6﹣x=2,则x的取值范围为.22.观察并分析下列数据:寻找规律,那么第10个数据应该是.23.观察下列各式:=1+,=1+,=1+,……请利用你所发现的规律,计算+++…+,其结果为.24.我国南宋著名数学家秦九韶在他的著作《数书九章》一书中,给出了著名的秦九韶公式,也叫三斜求积公式,即如果一个三角形的三边长分别为a,b,c,则该三角形的面积为S=.现已知△ABC的三边长分别为1,2,,则△ABC 的面积为.25.分母有理化:(1)=;(2)=;(3)=.26.等式=﹣a成立的条件是.27.当x<0,化简=.28.已知最简二次根式与可以进行合并,则m的值等于.三.解答题29.计算:(1﹣π)0+|﹣|﹣+()﹣1.30.计算:(1)÷+×﹣;(2)(+2)2﹣(+2)(﹣2).31.计算:(1)(+)÷;(2)已知的值.32.我们将()、()称为一对“对偶式”,因为(+)(﹣)=()2﹣()2=a﹣b,所以构造“对偶式”再将其相乘可以有效的将(+)和(﹣)中的“”去掉于是二次根式除法可以这样解:如,.像这样,通过分子,分母同乘以一个式子把分母中的根号化去或把根号中的分母化去,叫做分母有理化根据以上材料,理解并运用材料提供的方法,解答以下问题:(1)比较大小(用“>”、“<”或“=”填空);(2)已知x=,y=,求x2+y2的值;(3)计算:33.我国古代数学家秦九韶在《数书九章》中记述了“三斜求积术”,即已知三角形的三边长,求它的面积.用现代式子表示即为:…①(其中a、b、c为三角形的三边长,s为面积).而另一个文明古国古希腊也有求三角形面积的海伦公式:s=…②(其中p=.)(1)若已知三角形的三边长分别为5,7,8,试分别运用公式①和公式②,计算该三角形的面积s;(2)你能否由公式①推导出公式②?请试试.参考答案一.选择题1.解:,所以①正确;,所以②正确;③(﹣2)2=4×3=12,所以③正确;④()(﹣)=2﹣3=﹣1,所以④正确.故选:D.2.解:A、与不能合并,所以A选项错误;B、=3,所以B选项错误;C、÷==2,所以C选项正确;D、•==,所以,D选项错误.故选:C.3.解:=3,A选项,=,不符合题意;B选项,=3,不符合题意;C选项,=2,符合题意;D选项,=2.不符合题意;故选:C.4.解:观察数轴得:a<1,∴a﹣1<0,原式=﹣1=|a﹣1|﹣1=1﹣a﹣1=﹣a,故选:D.5.解:∵x=+2,∴x﹣2=,∴(x﹣2)2=5,即x2﹣4x+4=5,∴x2=4x+1,∴x2﹣x﹣2=4x+1﹣x﹣2=3x﹣1,当x=+2时,原式=3(+2)﹣1=3+5.故选:D.6.解:==.故选:B.7.解:∵m=,n=,∴=8,mn=,∴==3,故选:C.8.解:A、中被开方数是分数,故不是最简二次根式;B、中被开方数是分数,故不是最简二次根式;C、中被开方数不含分母,不含能开得尽方的因数或因式,故是最简二次根式;D、中含能开得尽方的因数,故不是最简二次根式;故选:C.9.解:由题意得:a+1≥0,且a﹣2≠0,解得:a≥﹣1,且a≠2,故选:C.10.解:∵代数式有意义,∴3x﹣2≥0,|x|﹣3≠0,解得:x≥且x≠3.故选:C.11.解:∵有意义,∴1﹣a≥0,则a≤1,故|a﹣3|+()2=3﹣a+1﹣a=4﹣2a.故选:D.12.解:由二次根式的意义可知x﹣1>0,且3﹣x≥0,解得1<x≤3.故选:D.13.解:2﹣+=2﹣+4=.故选:A.14.解:∵有意义,∴a≤0,∴(﹣)2=﹣a.故选:B.15.解:∵有意义,∴m<0,∴m=﹣=﹣.故选:C.16.解:∵二次根式有意义,则﹣a3≥0,即a≤0,∴原式=,=﹣a.故选:C.二.填空题17.解:∵,∴,解得:x=,故y=1,则xy=×1=.故答案为:.18.解:∵由数轴可知:a<0<b,|a|<|b|,∴+﹣|a﹣b|=|a|+|a+b|﹣|a﹣b|=﹣a+(a+b)﹣(b﹣a)=﹣a+a+b﹣b+a=a.故答案为:a.19.解:∵截去的两个小正方形的面积是x2和y2,∴小正方形的两个边长分别是x和y,∴大正方形的面积是:(x+y)2,∴阴影部分面积是:(x+y)2﹣x2﹣y2=2xy,∵x=5+2,y=5﹣2,∴阴影部分面积是:2xy=2×(5+2)×(5﹣2)=2×[52﹣(2)2]=2×(25﹣12)=2×13=26.故答案为:26.20.解:原式=(2)2﹣(5)2=4×5﹣25×2=20﹣50=﹣30,故答案为:﹣30.21.解:∵=x﹣4+6﹣x=2,∴x﹣4≥0,x﹣6≤0,解得:4≤x≤6.故答案为:4≤x≤6.22.解:1=,2=,2=,4=,4=,8=.则第10个数据是:=16.故答案是:16.23.解:由题意可得:+++…+=1++1++1++ (1)=9+(1﹣+﹣+﹣+…+﹣)=9+=9.故答案为:9.24.解:∵S=,∴△ABC的三边长分别为1,2,,则△ABC的面积为:S==1,故答案为:1.25.解:(1)==,(2)==,(3)==,故答案为:;;.26.解:∵=﹣a,∴a≤0,b≥0,故答案为:a≤0,b≥0.27.解:∵x<0,∴=﹣x.故答案为:﹣x.28.解:∵最简二次根式与可以进行合并,∴2m=15﹣m2,解得m1=﹣5,m2=3.∵当m1=﹣5时,15﹣m2=﹣10<0,不合题意舍去,∴m=3.故答案为:3.三.解答题29.解:原式=1+.30.解:(1)原式=+5﹣3=3;(2)原式=5+4+4﹣(5﹣4)=9+4﹣1=8+4.31.(1)解:(+)÷,=+,=+,=+;(2)x2﹣y2,=(x+y)(x﹣y),=,=.32.解:(1)∵==,==;比较与∵>,2>,∴+2>+,∴>.故答案为:>.(2)∵x2+y2=(x+y)2﹣2xy=﹣2=182﹣2=324﹣2=322答:x2+y2的值为322.(3)=+++…+=1﹣+﹣+﹣+…+﹣=1﹣=1﹣答:的值为1﹣.33.解:(1)s=,=;p=(5+7+8)=10,又s=;(2)=(﹣)=,=(c+a﹣b)(c﹣a+b)(a+b+c)(a+b﹣c),=(2p﹣2a)(2p﹣2b)•2p•(2p﹣2c),=p(p﹣a)(p﹣b)(p﹣c),∴=.(说明:若在整个推导过程中,始终带根号运算当然也正确)。
二次根式练习01一、填空题1、下列和数1415926.3)1( .3.0)2(722)3( 2)4( 38)5(-2)6(π...3030030003.0)7(其中无理数有________,有理数有________(填序号) 2、94的平方根________,216.0的立方根________。
3、16的平方根________,64的立方根________。
4、算术平方根等于它本身的数有________,立方根等于本身的数有________。
5、若2562=x ,则=x ________,若2163-=x ,则=x ________。
6、已知ABC Rt ∆两边为3,4,则第三边长________。
7、若三角形三边之比为3:4:5,周长为24,则三角形面积________。
8、已知三角形三边长n n n n n n ,122,22,1222++++为正整数,则此三角形是________三角形。
9、如果0)6(42=++-y x ,则=+y x ________。
10、如果12-a 和a -5是一个数m 的平方根,则.__________,==m a11、三角形三边分别为8,15,17,那么最长边上的高为________。
12、直角三角形三角形两直角边长为3和4,三角形内一点到各边距离相等,那么这个距离为________。
二、选择题13、下列几组数中不能作为直角三角形三边长度的是( )A. 25,24,6===c b aB. 5.2,2,5.1===c b aC.45,2,32===c b a D. 17,8,15===c b a14、小强量得家里彩电荧屏的长为cm 58,宽为cm 46,则这台电视机尺寸是( )A. 9英寸(cm 23)B. 21英寸(cm 54)C. 29英寸(cm 74)D .34英寸(cm 87)15、等腰三角形腰长cm 10,底边cm 16,则面积( )A.296cmB. 248cmC. 224cmD. 232cm16、三角形三边c b a ,,满足ab c b a 2)(22+=+,则这个三角形是( )A. 锐角三角形B. 钝角三角形C. 直角三角形D. 等腰三角形17、2)6(-的平方根是( )A .6-B .36C. ±6D. 6±18、下列命题正确的个数有:a a a a ==233)2(,)1((3)无限小数都是无理数(4)有限小数都是有理数(5)实数分为正实数和岁实数两类( ) A .1个B. 2个C .3个D.4个19、x 是2)9(-的平方根,y 是64的立方根,则=+y x ( )A. 3B. 7C.3,7D. 1,720、直角三角形边长度为5,12,则斜边上的高( ) A. 6B. 8C.1318 D.1360 21、直角三角形边长为b a ,,斜边上高为h ,则下列各式总能成立的是( )A. 2h ab =B. 2222h b a =+C.h b a 111=+ D.222111hb a =+ 22、如图一直角三角形纸片,两直角边cm BC cm AC 8,6==,现将直角边AC 沿直线AD 折叠,使它落在斜边AB 上,且与AE 重合,则CD 等于( ) A.cm 2B.cm 3C.cm 4D.cm 5三、计算题23、求下列各式中x 的值:04916)1(2=-x25)1)(2(2=-x8)2)(3(3-=x27)3()4(3=--x24、用计算器计算:(结果保留3个有效数字)15)1(315)2(π-6)3( 2332)4(-四、作图题25、在数轴上画出8-的点。
二次根式1、二次根式的概念:1、定义:一般地,形如a (a≥0)的代数式叫做二次根式。
当a≥0时,a 表示a 的算术平方根,当a 小于0时,非二次根式(在一元二次方程中,若根号下为负数,则无实数根) 概念:式子a (a≥0)叫二次根式。
a (a≥0)是一个非负数。
2、二次根式有意义的条件:(1)被开方数是一个非负数。
(2)分母不能为零。
练习题1、判断二次根式(1)下列式子,哪些是二次根式,哪些不是二次根式:2、33、1x、x (x>0)、0、42、-2、1x y +、x y +(x≥0,y •≥0).(2)在式子()()()230,2,12,20,3,1,2x x y y x x x x y +=--++中,二次根式有( ) A. 2个 B. 3个 C. 4个 D. 5个(3)下列各式一定是二次根式的是( ) A.7- B.32m C. 21a + D.a b2、二次根式有意义的条件1.要使根式3-x 有意义,则字母x 的取值范围是______.2.当x ______时,式子121-x 有意义.3.要使根式234+-x x有意义,则字母x 的取值范围是______.4.若14+a 有意义,则a 能取得的最小整数值是______.5.若x x -+有意义,则=+1x ______.6.使等式032=-⋅+x x 成立的x 的值为______.8.使式子23+x 有意义的实数x 的取值范围是( ) (A)x ≥0 (B)32->x (C)23-≥x (D)32-≥x 9.使式子2||1+-x x 有意义的实数x 的取值范围是( )(A)x ≥1 (B)x >1且x ≠-2 (C)x ≠-2 (D)x ≥1且x ≠-210.x 为实数,下列式子一定有意义的是( )(A)21x (B)x x +2(C)112-x (D)12+x13.要使下列式子有意义,字母x 的取值必须满足什么条件?(1)1||21--x x (2)x +--21 (3)232+x (4)x x 2)1(- (5)222++x x17.(1)已知05|3|=-++y x ,求yx的值;(2)已知01442=+++++y x y y ,求y x 的值.问题探究:已知实数x 、y 满足324422+--+-=x x x y ,求9x +8y 的值.二次根式(2)掌握二次根式的三个性质:a ≥0(a ≥0);(a )2=a (a ≥0);||2a a =.填空题:1.当a ≥0时,=2a ______;当a <0时,2a =______. 2.当a ≤0时,=23a ______;=-2)23(______.3.已知2<x <5,化简=-+-22)5()2(x x ______.4.实数a 在数轴上的位置如图所示,化简:=-+-2)2(|1|a a ______.5.已知△ABC 的三边分别为a 、b 、c 则=+----||)(2c a b c b a ______.6.若22)()(y x y x -=-,则x 、y 应满足的条件是______.7.若0)2(|4|2=-+++x y x ,则3x +2y =______.8.直线y =mx +n 如图4所示,化简:|m -n |-2m =______.9.请你观察、思考下列计算过程: 图4 因为112=121,所以11121=,同样,因为1112=12321,所以=12321111,……由此猜想=76543211234567898______.选择题:10.36的平方根是( )(A)6(B)±6(C)6(D)±611.化简2)2(-的结果是( )(A)-2 (B)±2 (C)2(D)412.下列式子中,不成立的是( )(A)6)6(2= (B)6)6(2=--(C)6)6(2=-(D)6)6(2-=--13.代数式)0(2=/a a a 的值是( )(A)1(B)-1(C)±1(D)1(a >0时)或-1(a <0时)14.已知x <2,化简442+-x x 的结果是( )(A)x -2(B)x +2(C)-x +2(D)2-x15.如果2)2(2-=-x x ,那么x 的取值范围是( )(A)x ≤2 (B)x <2 (C)x ≥2 (D)x >216.若a a -=2,则数a 在数轴上对应的点的位置应是( )(A)原点(B)原点及原点右侧 (C)原点及原点左侧(D)任意点17.若数轴上表示数x 的点在原点的左边,则化简|3|2x x +的结果是( )(A)4x(B)-4x(C)2x(D)-2x18.不用计算器,估计13的大致范围是( )(A)1<13<2(B)2<13<3(C)3<13<4(D)4<13<519.某同学在现代信息技术课学了编程后,写出了一个关于实数运算的程序:输入一个数值后,屏幕输出的结果总比该数的平方小1,若某同学输入7后,把屏幕输出的结果再次输入,则最后屏幕输出的结果是( ) (A)6(B)8(C)35(D)37解答题: 20.计算:(1);)12(|3|)2(02---+- (2)⋅-+-|21|2)3(0221.化简:(1));1()2()1(22>++-x x x (2).||2)(2x y y x ---22.已知实数x ,y 满足04|5|=++-y x ,求代数式(x +y )2007的值.23.已知x x y y x =-+-+7135,求2)3(|1|-+-y x 的值.24.在实数范围内分解因式:(1)x 4-9; (2)3x 3-6x ; (3)8a -4a 3; (4)3x 2-5.25.阅读下面的文字后,回答问题:小明和小芳解答题目:先化简下式,再求值:221a a a +-+,其中a =9时,得出了不同的答案.小明的解答是:原式=1)1()1(2=-+=-+a a a a ;小芳的解答是:原式=1719212)1()1(2=-⨯=-=--=-+a a a a a .(1)______的解答是错误的;(2)说明错误的原因.26.细心观察图5,认真分析各式,然后解决问题.图5;21,21)1(12==+S ;22,31)2(22==+S;23,41)3(32==+S…… ……(1)请用含有n (n 是正整数)的等式表示上述变化规律; (2)推算出OA 10的长;(3)求出21024232221S S S S S +++++ 的值. 27.一物体从高处自由落下,落到地面所用的时间t (单位:秒)与开始落下时的高度h (单位:米)有下面的关系式:⋅≈5ht (1)已知h =100米,求落下所用的时间t ;(结果精确到0.01)(2)一人手持一物体从五楼让它自由落到地面,约需多少时间?(每层楼高约3.5米,手拿物体高为1.5米)(结果精确到0.01)(3)如果一物体落地的时间为3.6秒,求物体开始下落时的高度.问题探究:同学们一定听过蚂蚁和大象进行举重比赛的故事吧!蚂蚁能举起比它的体重重许多倍的火柴棒,而大象举起的却是比自己体重轻许多倍的一截圆木,结果蚂蚁获得了举重冠军!我们这里谈论的话题是:蚂蚁和大象一样重吗?我们知道,即使是最大的蚂蚁与最小的大象,它们的重量明显不是一个数量级的.但是下面的推导却让你大吃一惊:蚂蚁和大象一样重!设蚂蚁重量为x 克,大象的重量为y 克,它们的重量和为2a 克,则x +y =2a . 两边同乘以(x -y ),得(x +y )(x -y )=2a (x -y ), 即x 2-y 2=2ax -2ay .可变形为x 2-2ax =y 2-2ay .两边都加上a 2,得(x -a )2=(y -a )2. 两边开平方,得x -a =y -a . 所以x =y .这里竟然得出了蚂蚁和大象一样重,岂不荒唐!那么毛病究竟出在哪里呢?亲爱的同学,你能找出来吗?二次根式的乘除理解二次根式的乘法法则,即)0,0(≥≥=⋅b a ab b a 的合理性 填空题:1.计算:ab a ⋅=______.2.已知xy <0,则=y x 2______.3.实数a ,b 在数轴上的位置如图所示,则化简22b a 的结果是______.4.若,6)4()4)(6(2x x x x --=--则x 的取值范围是______.5.在如图的数轴上,用点A 大致表示40:6.观察分析下列数据,寻找规律:0,3,6,3,23,15,23,……那么第10个数据应是______.选择题:7.化简20的结果是( ) (A)25(B)52(C)102(D)548.化简5x -的结果是( )(A)x x2- (B)x x--2(C)x x-2(D)x x29.若a ≤0,则3)1(a -化简后为( )(A)1)1(--a a (B)a a --1)1( (C)a a --1)1((D)1)1(--a a解答题: 10.计算:(1);63⨯ (2));7(21-⨯ (3));102(53-⨯(4));804()245(-⨯- (5));25.22(321-⨯ (6);656)3122(43⨯-⨯ (7));152245(522-⨯(8);24)654(⨯- (9));3223)(3223(-+(10));23)(32(x y y x -+ (11);)10253(2+ (12);10253ab a ⋅ (13));42(2212mn m m +-⋅ (14))12()321(123143z xy x x ⋅-⋅⋅.11.化简:(1));0(224≥-a b a a (2)⋅≥≥+-)0(23223a b ab b a b a12.计算:(1)|;911|)1π(8302+-+--+- (2).425.060sin 12)21(20082008o 2⨯---13.如图1,在△ABC 中,∠C =90°,∠A =30°,∠B 的平分线BD 的长为4cm ,求这个三角形的三边长及面积.图121.2 二次根式的乘除(2)理解二次根式除法运算法则,即b aba =(a ≥0,b >0)的合理性 填空题: 1.在4,21,8,6中,是最简二次根式的是______. 2.某精密仪器的一个零件上有一个矩形的孔,其面积是42cm 2,它的长为5cm ,则这个孔的宽为______cm .3.2-3的倒数是______,65+的倒数是______. 4.使式子3333+-=+-x xx x 成立的条件是______. 选择题:5.下列各式的计算中,最简二次根式是( ) (A)27(B)14(C)a1 (D)23a6.下列根式xy y x xy 53,,21,12,2+中最简二次根式的个数是( ) (A)1个 (B)2个(C)3个(D)4个7.化简273-的结果是( ) (A)27- (B)27+(C))27(3-(D))27(3+8.在化简253-时,甲的解法是:,25)25)(25()25(3253+=+-+=-乙的解法是:,2525)25)(25(253+=--+=-以下判断正确的是( )(A)甲的解法正确,乙的解法不正确 (B)甲的解法不正确,乙的解法正确(C)甲、乙的解法都正确(D)甲、乙的解法都不正确9.△ABC 的三边长分别为2、10、2,△A ′B ′C ′的两边长分别为1和5,若△ABC ~△A 'B 'C ',则△A 'B 'C '的第三边的长应等于( ) (A)22(B)2(C)2 (D)2210.如图1,为了测量某建筑物AB 的高度,在平地上C 处测得建筑物顶端A 的仰角为30°,沿CB 方向前进12m 到达D 处,在D 处测得建筑物顶端A 的仰角为45°,则建筑物AB 的高度等于()图1(A)m )13(6+ (B)m )13(6- (C)m )13(12+(D)m )13(12-11.计算)(baa b a b b a ÷的正确结果是( ) (A)ba(B)ab(C)22ba(D)112.若ab ≠0,则等式aba b a 135-⋅=--成立的条件是( ) (A)a >0,b >0(B)a <0,b >0(C)a >0,b <0(D)a <0,b <0解答题: 13.计算:(1);51 (2);208 (3);2814 (4);5)12(÷-(5));74(142-÷ (6));452()403(-÷-(7));6121(211-÷ (8);1543513÷- (9);45332b a b a ÷(10));6(322344c b a c b a -÷(11);152)1021(23÷⨯(12);521431252313⨯÷ (13);653034y xy xy ⋅÷(14);3)23(235ab b a ab b ÷-⋅ (15));1843(3211233xyxy x -÷⋅(16)⋅-÷+)2332()2332(14.已知一个圆的半径是cm,90一个矩形的长是135πcm ,若该圆的面积与矩形的面积相等,求矩形的宽是多少?15.已知b a ==20,2,用含a ,b 的代数式表示:(1);5.12(2).016.016.已知:如图2,在△ABC 中,∠A =60°,∠B =45°,AB =8.求△ABC 的面积.图217.阅读下列解题过程,根据要求回答问题:化简:)0(2323<<+--a b a ba ab b a b a解:原式a b a b ab a 2)(--= ①aba b a b a --=)(②ab aa )1(⋅=③ ab =④(1)上面解答过程是否正确?若不正确,请指出是哪几步出现了错误? (2)请你写出你认为正确的解答过程.18.座钟的摆针摆动一个来回所需的时间称为一个周期,其计算公式是glT π2=,其中T 表示周期(单位:秒),l 表示摆长(单位:米),g =9.8米/秒2,假若一台座钟的摆长为0.5米,它每摆动一个来回发出一次滴答声,那么在1分钟内这台座钟大约发出了多少次滴答声?(π取3.14)问题探究:借助计算器计算下列各题:(1);211- (2);221111- (3);222111111- (4).222211111111-仔细观察上面几道题及其计算结果,你能发现什么规律?你能解释这一规律吗?与同学交流一下想法.并用所发现的规律直接写出下面的结果:个个10012002222111⋅⋅⋅-⋅⋅⋅=______.21.3 二次根式的加减(1)学习要求:了解同类二次根式的概念,会辨别两个二次根式是否为同类二次根式.会进行简单的二次根式的加、减法运算,体会化归的思想方法.做一做: 填空题: 选择题: 7.计算312-的结果是( ) (A)3(B)3(C)32(D)338.下列二次根式中,属于最简二次根式的是( ) (A)a 4(B)4a (C)4a(D)4a9.下列二次根式中,与2是同类二次根式的是( ) (A)27(B)12(C)10(D)810.在下列各组根式中,是同类二次根式的是( )(A)3和18(B)3和31 (C)b a 2和2ab (D)1+a 和1-a11.下列各式的计算中,成立的是( )(A)5252=+(B)15354=- (C)y x y x +=+22(D)52045=-12.若121,121+=-=b a 则)(ab b a ab -的值为( ) (A)2 (B)-2(C)2(D)22解答题:13.计算:(1);2523+ (2);188+ (3);50483122+-(4);312712-+ (5);202452321+-(6);12531110845--+ (7);)33()33(22++- (8);5.0753128132-+--(9))455112()3127(+--+; (10)231)13(3-++; (11)a a a aaa a 1084333273123-+-;问题探究 教师节到了,为了表示对老师的敬意,小明做了两张大小不同的正方形壁画送给老师,其中一个面积为800cm 2,另一个面积为450cm 2.他想如果再用金彩带把壁画的边镶上会更漂亮,他现在有1.2米金彩带,请你帮忙算一算,他的金彩带够用吗?如果不够用,还需买多长的金彩带?(2=1.414,保留整数)21.3 二次根式的加减(2)学习要求会进行简单的二次根式的加、减、乘、除四则运算的混合运算. 做一做: 填空题: 选择题:9.在二次根式16,8,4,2中同类二次根式的个数为( ) (A)4 (B)3 (C)2(D)110.下列计算中正确的是( )(A)2323182=⨯= (B)134916916=-=-=- (C)24312312=== (D)a a 242=11.下列各组式子中,不是同类二次根式的是( )(A)81与18 (B)63与2825 (C)48与8.4 (D)125.0与12812.化简)22(28+-得( )(A)-2(B)22-(C)2(D)224-13.下列计算中,正确的是( )(A)562432=+ (B)3327=÷(C)632333=⨯ (D)3)3(2-=-14.下列计算中,正确的是( )(A)14931227=-=-(B)1)52)(52(=+-(C)23226=-(D)228=-15.化简aa a a a a 149164212-+的值必定是( ) (A)正数(B)负数(C)非正数(D)非负数16.若a ,b 为实数且211441+-+-=a ab ,则22-+-++baa b b a a b 的值为( ) (A)22 (B)2(C)22-(D)32解答题:17.计算:(1))232)(232(-+; (2)2)32(+; (3)2145051183-+;(4);7232318283--+ (5)23)121543(÷-; (6)20072006)65()56()1245()31251(-⋅+++--;(7)33322)1(2mn m n m n m m n ÷-.18.如图2,大正方形的边长为515+,小正方形的边长为515-,求图中的阴影部分的面积.图219.阅读下面的解答过程,然后答题:已知a 为实数,化简aa a 13---. 解:原式.)1(1a a a aa a a --=-⋅--= (1)上述解答是否有错误?答:____________;(2)若有错误,错在______步,错误的原因是____________; (3)写出正确的解答过程.20.阅读理解题:如果按一定次序排列的三个数a ,A ,b 满足A -a =b -A ,即,2ba A +=则称A 为a ,b 的等差中项.如果按一定次序排列的三个数a ,G ,b 满足,Gba G =即G 2=ab (a ,b 同号),则称G 为a ,b 的等比中项.根据前面给出的概念,求25-和25+的等差中项和等比中项.问题探究:因为223)12(2-=-,所以,12223-=- 因为223)12(2+=+,所以,12223+=+因为347)32(2-=-,所以,32347-=-请你根据以上规律,结合你的经验化简下列各式: (1)625-; (2)⋅+249复 习学习要求:了解二次根式的概念及其加、减、乘、除运算法则,会用它们进行有关实数的简单四则运算和化简. 做一做: 填空题: 选择题: 10.使根式x x 1+有意义的字母x 的取值范围是( )(A)x >-1(B)x <-1(C)x ≥-1且x ≠0(D)x ≥-111.已知a <0<b ,化简2)(b a -的结果是( )(A)a -b (B)b -a (C)a +b (D)-a -b12.在32,9,,,45222xa y x xy +-中,最简二次根式的个数是( ) (A)1(B)2(C)3(D)413.下列二次根式中,与35-是同类二次根式的是( )(A)18(B)3.0(C)30(D)30014.计算28-的结果是( )(A)6(B)2(C)2(D)1.415.估算37(误差小于0.1)的大小是( ) (A)6 (B)6.0~6.1(C)6.3(D)6.816.下列运算正确的是( )(A)171251251252222=+=+=+ (B)1234949=-=-=-(C)20)4()5(1625)16()25(=-⨯-=-⨯-=-⨯-(D)1535)3()5(22=⨯=-⨯-17.下列运算中,错误..的是( ) (A)632=⨯(B)2221=(C)252322=+ (D)32)32(2-=-18.若把aa 1-的根号外的a 适当变形后移入根号内,结果是( ) (A)a -- (B)a -(C)a -(D)a19.小明的作业本上有以下四题:①24416a a =;②a a a 25105=⋅; ③;1.12a aa a a== ④.23a a a =-做错的题是( ) (A)①(B)②(C)③ (D)④20.若)()()(22m n m n n a a m >-=-+-成立,则a 的取值范围是( )(A)m ≤a ≤n(B)a ≥n 且a ≤m(C)a ≤m(D)a ≥n21.用计算器计算,1515,1414,1313,12122222--------…,根据你发现的规律,判断P =112--n n ,与1)1(1)1(2-+-+=n n Q ,(n 为大于1的整数)的值的大小关系为( ) (A)P <Q (B)P =Q(C)P >Q(D)不能确定解答题: 22.计算:(1);483122+ (2);7002871-+ (3);8121332+-(4))56()56(+⨯-; (5)2)2332(-; (6)25)520(-÷+;(7)m m m m m m m 3361082273223-+-; (8).123132+++23.(1)当a <0时,化简aa a a -+-2212;(2)已知x 满足的条件为⎩⎨⎧<->+0301x x ,化简;129622++++-x x x x(3)实数a ,b 在数轴上表示如图,化简:.)()2()2(222b a b a ++--+24.(1)当a =5+1,b =5-1时,求a 2b +ab 2的值;(2)当41=x ,y =0.81时,求31441y yx y x x ---的值.(3)已知154-的整数部分为a ,小数部分为b ,求a 2+b 2的值.25.若12+x 与y -2互为相反数,求x y 的值.26.已知x ,y 为实数,且499+---=x x y ,求y x +的值.第二十一章 二次根式测试题填空题:(每题2分,共24分) 1.函数1-=x xy 的自变量x 的取值范围是______.2.当x ______时,x x -+-31有意义. 3.若a <0,则b a 2化简为______.4.若3<x <4,则=-++-|4|962x x x ______.5.1112-=-⋅+x x x 成立的条件是______.6.若实数x 、y 、z 满足0412||22=+-+++-z z z y y x ,则x +y +z =______. 7.长方形的面积为30,若宽为5,则长为______. 8.当x =______时,319++x 的值最小,最小值是______.9.若代数式22)3()1(a a -+-的值是常数2,则a 的取值范围是______.10.观察下列各式:,,514513,413412,312311 =+=+=+请将猜想到的规律用含自然数n (n ≥1)的代数式表示出来是______.11.观察下列分母有理化的计算:,4545134341,23231,12121-=+-=+-=+-=+……,从计算结果中找出规律,并利用这一规律计算:=+++++++++)12007)(200620071341231121(. ______.12.已知正数a 和b ,有下列结论:(1)若a =1,b =1,则1≤ab ; (2)若25,21==b a ,则23≤ab ;(3)若a =2,b =3,则25≤ab ; (4)若a =1,b =5,则3≤ab .根据以上几个命题所提供的信息,请猜想:若a =6,b =7,则ab ≤______. 选择题:(每题2分,共24分) 13.已知xy >0,化简二次根式2x yx -的正确结果为( ) (A)y (B)y - (C)y -(D)y --14.若a <0,则||2a a -的值是( )(A)0 (B)-2a(C)2a(D)2a 或-2a15.下列二次根式中,最简二次根式为( )(A)x 9(B)32-x(C)xyx - (D)b a 2316.已知x 、y 为实数,且0)2(312=-+-y x ,则x -y 的值为( )(A)3(B)-3(C)1(D)-117.若最简二次根式b 5与b 23+是同类二次根式,则-b 的值是( )(A)0(B)1(C)-1(D)3118.下列各式:211,121,27,其中与3是同类二次根式的个数为( ) (A)0个 (B)1个(C)2个 (D)3个 19.当1<x <3时,化简22)3()1(++-x x 的结果正确的是( )(A)4 (B)2x +2(C)-2x -2 (D)-4 20.不改变根式的大小,把aa --11)1(根号外的因式移入根号内,正确的是( ) (A)a -1 (B)1-a (C)1--a (D)a --1 21.已知m ≠n ,按下列(A)(B)(C)(D)的推理步骤,最后推出的结论是m =n .其中出错的推理步骤是( )(A)∵(m -n )2=(n -m )2 (B )∴22)()(m n n m -=-(C)∴m -n =n -m (D)∴m =n22.如果a ≠0且a 、b 互为相反数,则在下列各组数中不是互为相反数的一组是( ) (A)3a 与3b (B)2a 与2b (C)3a 与3b (D)a +1与b -123.小华和小明计算XXX)(442a a a +-+时,得出两种不同的答案.小华正确审题,得到的答案是“2a -2”,小明忽略了算式后面括号中的条件,得到的结果是“2”,请你判断,括号中的条件是( )(A)a <2 (B)a ≥2 (C)a ≤2 (D)a ≠224.已知点A (3,1),B (0,0),C (3,0),AE 平分∠BAC ,交BC 于点E ,则直线AE 对应的函数表达式是( ) (A)332-=x y (B)y =x -2 (C)13-=x y (D)23-=x y解答题:(第25题每小题4分,第26-29题每题4分,第30、31题每题6分)25.计算: (1);21448)21(2+++ (2);836212739x x x ⨯+-(3));32)(32()32)(347(2-++-+(4);211)223(23822+--+⨯-(5);166193232x x x x x x +- (6)).0)](4327121(3[222≥--b a b ab ab a26.若,03|9|22=--++m m n m 求3m +6n 的立方根.27.已知7979--=--x x x x 且x 为偶数,求132)1(22--++x x x x 的值.28.试求)364()36(3xy yx y xy y x y x +-+的值,其中23=x ,27=y .29.已知正方形纸片的面积是32cm 2,如果将这个正方形做成一个圆柱,请问这个圆柱底面的半径是多少?(精确到0.1,π取3.14)30.已知:223,223-=+=b a ,求:ab 3+a 3b 的值.31.观察下列各式及其验证过程:⋅+=+=833833;322322验证: ;3221222122)12(232)12(2322232322222233+=-+=-+-=+-=+-== ⋅+=-+=-+-=+-=+-==8331333133)13(383)13(3833383833222233 (1)按照上述两个等式及其验证过程的基本思路,猜想一个类似的结果并验证;(2)针对上述各式反映的规律,写出用n (n 为正整数,且n ≥2)表示的等式并给出证明.参考答案第二十一章 二次根式21.1 二次根式(1)1.3≥x 2.21>x 3.34≤x 且x ≠-2 4.0 5.1 6.3 7.55+ 8.D 9.A 10.D 11.C 12.C 13.(1)⋅≤21x 且x ≠-1 (2)x <-2 (3)x 为任意实数 (4)x 为非零实数 (5)x 为任意实数 14.135+ 15.cm π 16.ab 22 17.53)1(- (2)-2 18.(1)215 (2)21% 问题探究:6注意x =2时要舍去21.1 二次根式(2)1.a ,-a 2.32,3--a 3.3 4.1 5.0 6.x ≥y7.-6 8.n 9.111111111 10.D 11.C 12.B 13.D14.D 15.C 16.C 17.D 18.C 19.C 20.(1)6 (2)25 21.(1)2x +1 (2)y -x 22.1 23.2 24.(1))3)(3)(3(2-++x x x (2))2)(2(3+-x x x (3))2)(2(4a a a +- (4))53)(53(+-x x25.(1)小明 (2)因为a =9,所以1-a <0,所以1)1(2-=-a a26.(1)2,11)(2n S n n n =+=+ (2),21012110=⨯⨯OA 所以1010=OA (3)222221024232221)210()23()22()21(S S S S S ++++=++++ 434241++=455410=++27.(1)4.47秒 (2)1.76秒 (3)64.8米问题探究:略21.2 二次根式的乘除(1)1.b a 2.y x - 3.-ab 4.x ≤4 5.略 6.33 7.B 8.C 9.B 10.(1)23 (2)37- (3)230- (4)30160 (5)15- (6)237- (7)1222- (8)24 (9)6 (10)9y 2-4x (11)26085+ (12)b a 230 (13)n m m 2+- (14)xz y x 2212-11.(1)22b a a - (2)ab a b )(- 12.(1)22 (2)013.2cm 36,cm 34,cm 6,cm 32====∆ABC S AB AC BC问题探究:分三种情况计算:图1 图2 图3(1)当AE =AF =10cm 时(如图1),S △AEF =50(cm 2)(2)当AE =EF =10cm 时(如图2),BF =8(cm),)cm (40212==⋅∆BF AE S AEF (3)当AE =EF =10cm 时(如图3),⋅==∆)cm (515),cm (512AEF S DF21.2 二次根式的乘除(2)1.6 2.1054 3.56,32-+ 4.-3<x ≤3 5.B 6.B 7.B 8.C 9.C 10.A 11.A 12.B13.(1)55 (2)510 (3)22 (4)5510- (5)22- (6)2 (7)-6 (8)332- (9)a a b 52 (10)cab 23- (11)23 (12)210 (13)6y 3 (14)ab b a 2- (15)x xy 22-(16)625-- 14.cm 152 15.(1)a 5或a 25 (2)b a 52或a b 25 16.31648- 17.(1)不正确,第②③步出现了错误(2)原式ab ab aa ab a b b a a a b a b a b a =-⋅-=--=--=)1()()(2 18.42问题探究:(1)3 (2)33 (3)333 (4)3333个100133321.3 二次根式的加减(1)1.23 2.略 3.2 4.23,21 5.123+ 6.10255+ 7.B 8.D 9.D 10.B 11.D 12.A 13.(1)28 (2)25 (3)2538+- (4)3314 (5)52315- (6)523316- (7)24 (8)33132413+ (9)5514334- (10)1 (11)a a 32- 问题探究:不够用,还需买78cm 21.3 二次根式的加减(2)1.3 2.0 3.1560- 4.3 5.xy x y )(- 6.x x 22-7.212- 8.12 9.C 10.A 11.C 12.A 13.B 14.D15.A 16.B 17.(1)10 (2)347+ (3)28 (4)26- (5)4523- (6)6338559--- (7)2m m n - 18.320 19.(1)有 (2)错在第一步,忽视了a <0(因为01>-a,所以a <0) (3)原式+--=--⋅---=a a a aa a a 1 a a a --=-)1( 20.25-和25+的等差中项为5,等比中项为3± 问题探究:212)2(23)1(+- 复 习1.x >5 2.x -2 3.1 4.±1 5.0 6.0 7.5 8.2-6a 9.6 10.C 11.B 12.C 13.D 14.C15.B 16.D 17.D 18.A 19.D 20.A 21.C 22.(1)316 (2)7755-(3)2411 (4)1 (5)61230- (6)1 (7)0 (8)323 23.(1)a 1- (2) 4 (3)0 24.(1)58 (2)-2.45 (3)5418- 25.41 26.5 第二十一章 二次根式测试题 1.x ≥0且x ≠1 2.1≤x ≤3 3.b a - 4.1 5.x ≥1 6.07.6 8.3,91- 9.1≤a ≤3 10.21)1(21++=++n n n n (n 为自然数且n ≥1) 11.2006 12.4169 13.D 14.B 15.B 16.D 17.C 18.C 19.B20.D 21.C 22.B 23.B 24.D 25.(1)34242++ (2)x 319(3)2 (4)-11 (5)x x x -27 (6)a ab 325 26.3 27.113 28.229- 29.0.9cm 30.85 31.(1)=+-==+=154441541544154415443315441444144)14(4154)14(42222+=-+=-+-=+- (2)=-12n n n 11)1(1111222232322-+=-+-=-+-=-=--+n n n n n n n n n n n n n n n n n n n (n 为正整数,且n ≥2)。
100道二次根式题目及答案第一部分:简单题(共50题)1. $\\sqrt{9}$答案:32. $\\sqrt{25}$答案:53. $\\sqrt{81}$答案:94. $\\sqrt{64}$答案:85. $\\sqrt{100}$答案:106. $\\sqrt{121}$答案:11答案:128. $\\sqrt{169}$ 答案:139. $\\sqrt{196}$ 答案:1410. $\\sqrt{225}$ 答案:1511. $\\sqrt{256}$ 答案:1612. $\\sqrt{289}$ 答案:1713. $\\sqrt{324}$ 答案:18答案:1915. $\\sqrt{400}$ 答案:2016. $\\sqrt{441}$ 答案:2117. $\\sqrt{484}$ 答案:2218. $\\sqrt{529}$ 答案:2319. $\\sqrt{576}$ 答案:2420. $\\sqrt{625}$ 答案:25答案:2622. $\\sqrt{729}$ 答案:2723. $\\sqrt{784}$ 答案:2824. $\\sqrt{841}$ 答案:2925. $\\sqrt{900}$ 答案:3026. $\\sqrt{961}$ 答案:3127. $\\sqrt{1024}$ 答案:32答案:3329. $\\sqrt{1156}$ 答案:3430. $\\sqrt{1225}$ 答案:3531. $\\sqrt{1296}$ 答案:3632. $\\sqrt{1369}$ 答案:3733. $\\sqrt{1444}$ 答案:3834. $\\sqrt{1521}$ 答案:39答案:4036. $\\sqrt{1681}$ 答案:4137. $\\sqrt{1764}$ 答案:4238. $\\sqrt{1849}$ 答案:4339. $\\sqrt{1936}$ 答案:4440. $\\sqrt{2025}$ 答案:4541. $\\sqrt{2116}$ 答案:46答案:4743. $\\sqrt{2304}$ 答案:4844. $\\sqrt{2401}$ 答案:4945. $\\sqrt{2500}$ 答案:5046. $\\sqrt{2601}$ 答案:5147. $\\sqrt{2704}$ 答案:5248. $\\sqrt{2809}$ 答案:53答案:5450. $\\sqrt{3025}$答案:55第二部分:中等题(共25题)51. $\\sqrt{10} + \\sqrt{2}$答案:$\\sqrt{10} + \\sqrt{2}$52. $\\sqrt{5} + \\sqrt{20}$答案:$\\sqrt{5} + 2\\sqrt{5} = 3\\sqrt{5}$53. $\\sqrt{15} + \\sqrt{12}$答案:$\\sqrt{15} + \\sqrt{12} = \\sqrt{15} + 2\\sqrt{3}$ 54. $\\sqrt{7} - \\sqrt{8}$答案:$\\sqrt{7} - \\sqrt{8}$55. $\\sqrt{9} - \\sqrt{6}$答案:$\\sqrt{9} - \\sqrt{6} = 3 - \\sqrt{6}$答案:$\\sqrt{26} + \\sqrt{14}$57. $\\sqrt{30} - \\sqrt{10}$答案:$\\sqrt{30} - \\sqrt{10}$58. $\\sqrt{5} \\cdot \\sqrt{10}$答案:$\\sqrt{5} \\cdot \\sqrt{10} = \\sqrt{50}$59. $\\sqrt{10} \\cdot \\sqrt{2}$答案:$\\sqrt{10} \\cdot \\sqrt{2} = 2\\sqrt{5}$60. $\\sqrt{18} \\cdot \\sqrt{3}$答案:$\\sqrt{18} \\cdot \\sqrt{3} = 3\\sqrt{6}$61. $\\sqrt{32} - \\sqrt{8}$答案:$\\sqrt{32} - \\sqrt{8} = 4\\sqrt{2} - 2\\sqrt{2} = 2\\sqrt{2}$ 62. $\\sqrt{24} - \\sqrt{6}$答案:$\\sqrt{24} - \\sqrt{6} = 4\\sqrt{6} - \\sqrt{6} = 3\\sqrt{6}$答案:$(\\sqrt{2} + \\sqrt{3})^2 = 2 + 2\\sqrt{2}\\sqrt{3} + 3 = 5 +2\\sqrt{6}$64. $(\\sqrt{2} - \\sqrt{3})^2$答案:$(\\sqrt{2} - \\sqrt{3})^2 = 2 - 2\\sqrt{2}\\sqrt{3} + 3 = 5 - 2\\sqrt{6}$65. $(\\sqrt{2} + \\sqrt{3})(\\sqrt{2} - \\sqrt{3})$答案:$(\\sqrt{2} + \\sqrt{3})(\\sqrt{2} - \\sqrt{3}) = 2 - 3 = -1$66. $(\\sqrt{5} + \\sqrt{6})(\\sqrt{5} - \\sqrt{6})$答案:$(\\sqrt{5} + \\sqrt{6})(\\sqrt{5} - \\sqrt{6}) = 5 - 6 = -1$67. $3\\sqrt{2}(\\sqrt{2} - \\sqrt{3})$答案:$3\\sqrt{2}(\\sqrt{2} - \\sqrt{3}) = 3\\sqrt{2} \\cdot \\sqrt{2} -3\\sqrt{2} \\cdot \\sqrt{3} = 6 - 3\\sqrt{6}$68. $(\\sqrt{2}\\sqrt{5})(\\sqrt{3}\\sqrt{6})$答案:$(\\sqrt{2}\\sqrt{5})(\\sqrt{3}\\sqrt{6}) = \\sqrt{2\\cdot 5} \\cdot \\sqrt{3\\cdot 6} = \\sqrt{10} \\cdot \\sqrt{18} = \\sqrt{180}$69. $\\frac{\\sqrt{8}}{\\sqrt{2}}$答案:$\\frac{\\sqrt{8}}{\\sqrt{2}} = \\sqrt{4} = 2$70. $\\frac{\\sqrt{15}}{\\sqrt{5}}$答案:$\\frac{\\sqrt{15}}{\\sqrt{5}} = \\sqrt{3}$71. $\\frac{\\sqrt{18}}{\\sqrt{6}}$答案:$\\frac{\\sqrt{18}}{\\sqrt{6}} = \\sqrt{3}$72. $\\frac{\\sqrt{50}}{\\sqrt{2}}$答案:$\\frac{\\sqrt{50}}{\\sqrt{2}} = \\sqrt{25} = 5$73. $\\frac{\\sqrt{35}}{\\sqrt{5}}$答案:$\\frac{\\sqrt{35}}{\\sqrt{5}} = \\sqrt{7}$74. $\\frac{\\sqrt{40}}{\\sqrt{8}}$答案:$\\frac{\\sqrt{40}}{\\sqrt{8}} = \\sqrt{5}$75. $\\frac{\\sqrt{72}}{\\sqrt{18}}$答案:$\\frac{\\sqrt{72}}{\\sqrt{18}} = \\sqrt{4} = 2$第三部分:困难题(共25题)76. $\\sqrt{2} \\cdot \\sqrt{3} + \\sqrt{6}$答案:$\\sqrt{2} \\cdot \\sqrt{3} + \\sqrt{6} = \\sqrt{6} + \\sqrt{6} = 2\\sqrt{6}$答案:$\\sqrt{7} \\cdot \\sqrt{11} - \\sqrt{77} = \\sqrt{7\\cdot11} - \\sqrt{77} = \\sqrt{77} - \\sqrt{77} = 0$78. $(\\sqrt{3} + \\sqrt{5})^2 - (\\sqrt{3} - \\sqrt{5})^2$答案:$(\\sqrt{3} + \\sqrt{5})^2 - (\\sqrt{3} - \\sqrt{5})^2 =4\\sqrt{3}\\sqrt{5} = 4\\sqrt{15}$79. $(\\sqrt{2} + \\sqrt{5})^2 - (\\sqrt{2} - \\sqrt{5})^2$答案:$(\\sqrt{2} + \\sqrt{5})^2 - (\\sqrt{2} - \\sqrt{5})^2 =4\\sqrt{2}\\sqrt{5} = 4\\sqrt{10}$80. $\\sqrt{2\\sqrt{2}}$答案:$\\sqrt{2\\sqrt{2}} = \\sqrt{\\sqrt{2^2}\\sqrt{2}} =\\sqrt{\\sqrt{4}\\sqrt{2}} = \\sqrt{2}\\sqrt{2} = 2$81. $\\sqrt{3\\sqrt{3}}$答案:$\\sqrt{3\\sqrt{3}} = \\sqrt{\\sqrt{3^2}\\sqrt{3}} =\\sqrt{\\sqrt{9}\\sqrt{3}} = \\sqrt{3}\\sqrt{3} = 3$82. $\\sqrt{5\\sqrt{5}}$答案:$\\sqrt{5\\sqrt{5}} = \\sqrt{\\sqrt{5^2}\\sqrt{5}} =\\sqrt{\\sqrt{25}\\sqrt{5}} = \\sqrt{5}\\sqrt{5} = 5$答案:$(\\sqrt{5} + \\sqrt{3})^2 + 2\\sqrt{15} = 5 + 3 + 2\\sqrt{15} = 8 + 2\\sqrt{15}$84. $(\\sqrt{2} - \\sqrt{3})^2 + 2\\sqrt{6}$答案:$(\\sqrt{2} - \\sqrt{3})^2 + 2\\sqrt{6} = 2 - 2\\sqrt{2}\\sqrt{3} + 3 + 2\\sqrt{6} = 5 + 2\\sqrt{6}$85. $3\\sqrt{2} - \\sqrt{8}$答案:$3\\sqrt{2} - \\sqrt{8} = 3\\sqrt{2} - 2\\sqrt{2} = \\sqrt{2}$86. $2\\sqrt{3} + \\sqrt{12}$答案:$2\\sqrt{3} + \\sqrt{12} = 2\\sqrt{3} + 2\\sqrt{3} = 4\\sqrt{3}$87. $\\sqrt{8} + \\sqrt{72}$答案:$\\sqrt{8} + \\sqrt{72} = 2\\sqrt{2} + 6\\sqrt{2} = 8\\sqrt{2}$88. $\\sqrt{5}\\sqrt{10} - \\sqrt{10}$答案:$\\sqrt{5}\\sqrt{10} - \\sqrt{10} = \\sqrt{5\\cdot10} - \\sqrt{10} = \\sqrt{50} - \\sqrt{10} = 5\\sqrt{2} - \\sqrt{10}$89. $\\sqrt{3}\\sqrt{6} + \\sqrt{18}$答案:$\\sqrt{3}\\sqrt{6} + \\sqrt{18} = \\sqrt{3\\cdot6} + \\sqrt{18} =\\sqrt{18} + \\sqrt{18} = 2\\sqrt{18} = 6\\sqrt{2}$90. $\\sqrt{16} - \\sqrt{32}$答案:$\\sqrt{16} - \\sqrt{32} = 4 - 4\\sqrt{2} = 4(1 - \\sqrt{2})$91. $\\sqrt{12} - \\sqrt{20} + \\sqrt{5}$答案:$\\sqrt{12} - \\sqrt{20} + \\sqrt{5} = 2\\sqrt{3} - 2\\sqrt{5} + \\sqrt{5} = 2\\sqrt{3} - \\sqrt{5}$92. $\\sqrt{7}\\sqrt{35} - \\sqrt{7}$答案:$\\sqrt{7}\\sqrt{35} - \\sqrt{7} = \\sqrt{7\\cdot35} - \\sqrt{7} =\\sqrt{245} - \\sqrt{7}$93. $\\sqrt{50} + \\sqrt{200} - \\sqrt{8}$答案:$\\sqrt{50} + \\sqrt{200} - \\sqrt{8} = 5 + 10\\sqrt{2} - 2\\sqrt{2} = 5 + 8\\sqrt{2}$94. $5\\sqrt{2} - 2\\sqrt{18} + \\sqrt{32}$答案:$5\\sqrt{2} - 2\\sqrt{18} + \\sqrt{32} = 5\\sqrt{2} - 2\\cdot3\\sqrt{2} + 4\\sqrt{2} = 9\\sqrt{2}$95. $\\sqrt{72} - \\sqrt{18} + \\sqrt{32} - \\sqrt{8}$答案:$\\sqrt{72} - \\sqrt{18} + \\sqrt{32} - \\sqrt{8} = 6\\sqrt{2} -3\\sqrt{2} + 4\\sqrt{2} - 2\\sqrt{2} = 5\\sqrt{2}$96. $\\sqrt{3}(\\sqrt{15} - \\sqrt{5})$答案:$\\sqrt{3}(\\sqrt{15} - \\sqrt{5}) = \\sqrt{3}\\sqrt{15} -\\sqrt{3}\\sqrt{5} = \\sqrt{45} - \\sqrt{15} = 3\\sqrt{5} - \\sqrt{15}$97. $\\sqrt{2}(\\sqrt{16} - \\sqrt{8})$答案:$\\sqrt{2}(\\sqrt{16} - \\sqrt{8}) = \\sqrt{2}\\cdot4\\sqrt{2} - \\sqrt{2}\\cdot2\\sqrt{2} = 8 - 4\\sqrt{2} = 4(2 - \\sqrt{2})$98. $\\sqrt{5}(\\sqrt{12} + \\sqrt{3})$答案:$\\sqrt{5}(\\sqrt{12} + \\sqrt{3}) = \\sqrt{5}\\cdot2\\sqrt{3} + \\sqrt{5}\\sqrt{3} = 2\\sqrt{15} + \\sqrt{15} = 3\\sqrt{15}$99. $\\sqrt{7}(\\sqrt{7} + \\sqrt{11})$答案:$\\sqrt{7}(\\sqrt{7} + \\sqrt{11}) = \\sqrt{7}\\cdot\\sqrt{7} + \\sqrt{7}\\sqrt{11} = 7 + \\sqrt{77}$100. $\\sqrt{8}(\\sqrt{6} - \\sqrt{2})$答案:$\\sqrt{8}(\\sqrt{6} - \\sqrt{2}) = \\sqrt{8}\\cdot2\\sqrt{2} - \\sqrt{8}\\cdot\\sqrt{2} = 4\\sqrt{2} - 2\\sqrt{2} = 2\\sqrt{2}$结束语本文共提供了100道二次根式题目及其答案。
同步练习 (2)二次根式 (2)第1课时21.1二次根式(1) (2)第2课时21.1二次根式(2) (3)第3课时21.1二次根式(3) (3)第4课时21.2二次根式的乘除(1) (4)第5课时21.2二次根式的乘除(2) (6)第6课时21.2二次根式的乘除(3) (7)第7课时21.3二次根式的加减(1) (8)第8课时21.3 二次根式的加减(2) (9)第9课时21.3 二次根式的加减(3) (10)第10课时第21章二次根式单元复习(1) (12)第11课时第21章二次根式单元复习(2) (13)第12课时二次根式全章练习 (14)第13课时21.3二次根式的加减 (17)答案: (19)二次根式的乘除 (22)第1课时课堂练习 (22)第1课时课堂练习答案 (24)第2课时课堂练习 (24)第2课时课堂练习答案 (25)第3课时课堂练习 (26)第3课时课堂练习答案 (28)二次根式的加减 (29)答案 (32)同步练习二次根式第1课时21.1二次根式(1)一、选择题1.下列式子中,是二次根式的是()D.x2.下列式子中,不是二次根式的是()D.1 x3.已知一个正方形的面积是5,那么它的边长是()A.5 C.15D.以上皆不对二、填空题1.形如________的式子叫做二次根式.2.面积为a的正方形的边长为________.3.负数________平方根.三、综合提高题1.某工厂要制作一批体积为1m3的产品包装盒,其高为0.2m,按设计需要,•底面应做成正方形,试问底面边长应是多少?2.当x是多少时,x+x2在实数范围内有意义?3.4.x有()个.A.0B.1C.2D.无数5.已知a、b,求a、b的值.第2课时 21.1二次根式(2)一、选择题1.、个数是( ).A.4B.3C.2D.12.数a 没有算术平方根,则a 的取值范围是( ).A.a>0B.a ≥0C.a<0D.a=0二、填空题1.()2=________.2.x+1是一个_______数.三、综合提高题1.计算(1)2 (2)-2 (3)(12)2 (4)()2(5)2.把下列非负数写成一个数的平方的形式:(1)5 (2)3.4 (3)16(4)x (x ≥0)3.=0,求x y 的值.4.在实数范围内分解下列因式:(1)x 2-2 (2)x 4-9 3x 2-5第3课时 21.1二次根式(3)一、选择题的值是().A.0B.23C.423D.以上都不对2.a≥0比较它们的结果,下面四个选项中正确的是().二、填空题2.是一个正整数,则正整数m的最小值是________.三、综合提高题1.先化简再求值:当a=9时,求的值,甲乙两人的解答如下:甲的解答为:原式(1-a)=1;乙的解答为:原式=a+(a-1)=2a-1=17.两种解答中,_______的解答是错误的,错误的原因是__________.2.若│1995-a│=a,求a-19952的值.(提示:先由a-2000≥0,判断1995-a•的值是正数还是负数,去掉绝对值)3. 若-3≤x≤2时,试化简│x-2│。
同步练习 (2)二次根式 (2)第1课时21.1二次根式(1) (2)第2课时21.1二次根式(2) (3)第3课时21.1二次根式(3) (3)第4课时21.2二次根式的乘除(1) (4)第5课时21.2二次根式的乘除(2) (6)第6课时21.2二次根式的乘除(3) (7)第7课时21.3二次根式的加减(1) (8)第8课时21.3 二次根式的加减(2) (9)第9课时21.3 二次根式的加减(3) (10)第10课时第21章二次根式单元复习(1) (12)第11课时第21章二次根式单元复习(2) (13)第12课时二次根式全章练习 (14)第13课时21.3二次根式的加减 (17)答案: (19)二次根式的乘除 (22)第1课时课堂练习 (22)第1课时课堂练习答案 (24)第2课时课堂练习 (24)第2课时课堂练习答案 (25)第3课时课堂练习 (26)第3课时课堂练习答案 (28)二次根式的加减 (29)答案 (32)同步练习二次根式第1课时 21.1二次根式(1)一、选择题1.下列式子中,是二次根式的是( )A.-7B.37C.xD.x2.下列式子中,不是二次根式的是( )A.4B.16C.8D.1x3.已知一个正方形的面积是5,那么它的边长是( )A.5B.5C.15 D.以上皆不对 二、填空题1.形如________的式子叫做二次根式.2.面积为a 的正方形的边长为________.3.负数________平方根.三、综合提高题1.某工厂要制作一批体积为1m 3的产品包装盒,其高为0.2m ,按设计需要,•底面应做成正方形,试问底面边长应是多少?2.当x 是多少时,23x x++x 2在实数范围内有意义? 3.若3x -+3x -有意义,则2x -=_______.4.使式子2(5)x --有意义的未知数x 有( )个.A.0B.1C.2D.无数5.已知a 、b 为实数,且5a -+2102a -=b+4,求a 、b 的值.第2课时 21.1二次根式(2)一、选择题1.下列各式中15、3a 、21b -、22a b +、220m +、144-,二次根式的个数是( ).A.4B.3C.2D.12.数a 没有算术平方根,则a 的取值范围是( ).A.a>0B.a ≥0C.a<0D.a=0二、填空题1.(-3)2=________.2.已知1x +有意义,那么x+1是一个_______数.三、综合提高题1.计算(1)(9)2 (2)-(3)2 (3)(126)2 (4)(-323)2 (5) (2332)(2332)+-2.把下列非负数写成一个数的平方的形式:(1)5 (2)3.4 (3)16(4)x (x ≥0) 3.已知1x y -++3x -=0,求x y 的值.4.在实数范围内分解下列因式:(1)x 2-2 (2)x 4-9 3x 2-5第3课时 21.1二次根式(3)一、选择题1.2211(2)(2)33+-的值是( ).A.0B.23C.423D.以上都不对 2.a ≥0时,2a 、2()a -、-2a ,比较它们的结果,下面四个选项中正确的是( ).A.2a =2()a -≥-2aB.2a >2()a ->-2aC.2a <2()a -<-2aD.-2a >2a =2()a -二、填空题1.-0.0004=________.2.若20m 是一个正整数,则正整数m 的最小值是________.三、综合提高题1.先化简再求值:当a=9时,求a+212a a -+的值,甲乙两人的解答如下:甲的解答为:原式=a+2(1)a -=a+(1-a )=1;乙的解答为:原式=a+2(1)a -=a+(a-1)=2a-1=17.两种解答中,_______的解答是错误的,错误的原因是__________.2.若│1995-a │+2000a -=a ,求a-19952的值.(提示:先由a-2000≥0,判断1995-a •的值是正数还是负数,去掉绝对值)3. 若-3≤x ≤2时,试化简│x-2│+2(3)x ++21025x x -+。
新人教版初中数学八年级下册同步练习试题及答案_第16章二次根式测试1二次根式学习要求掌握二次根式的概念和意义,会根据算术平方根的意义进行二次根式的运算.课堂学习检验一、填空题1.1a表示二次根式的条件是______.2.当某______时,21有意义,当某______时,有意义.某1某33.若无意义某2,则某的取值范围是______.4.直接写出下列各式的结果:(1)49=_______;(2)(7)2_______;(3)(7)2_______;(4)(7)2_______;(5)(0.7)2_______;(6)[(7)2]2_______.二、选择题5.下列计算正确的有().①(2)22②22③(2)22④(2)22A.①、②B.③、④6.下列各式中一定是二次根式的是().A.32B.(0.3)2C.①、③D.②、④C.2D.某7.当某=2时,下列各式中,没有意义的是().A.某2 B.2某C.某22D.2某28.已知(2a1)212a,那么a的取值范围是().11B.a22三、解答题9.当某为何值时,下列式子有意义A.a(1)1某;(3)某21;C.a12D.a12(2)某2;(4)10.计算下列各式:(1)(32)2;综合、运用、诊断一、填空题11.2某表示二次根式的条件是______.12.使(2)(a21)2;3(3)2()2;4(4)(322).3某有意义的某的取值范围是______.2某113.已知某11某y4,则某y的平方根为______.14.当某=-2时,12某某214某4某2=________.二、选择题15.下列各式中,某的取值范围是某>2的是().11A.某2B.C.某22某16.若|某5|2y20,则某-y的值是().A.-7三、解答题17.计算下列各式:2(1)(3.14π);D.12某1B.-5C.3D.7(2)(32)2;2(3)[()1]2;3(4)(30.52)2.bb24ac18.当a=2,b=-1,c=-1时,求代数式的值.2a拓广、探究、思考19.已知数a,b,c在数轴上的位置如图所示:化简:a2|ac|(cb)2|b|的结果是:______________________.20.已知△ABC的三边长a,b,c均为整数,且a和b满足a2b26b90.试求△ABC的c边的长.测试2二次根式的乘除(一)学习要求会进行二次根式的乘法运算,能对二次根式进行化简.课堂学习检测一、填空题1.如果4某y2某y成立,某,y必须满足条件______.11_________;(2)(3)(48)__________;1222.计算:(1)72(3)20.270.03___________.3.化简:(1)4936______;(2)0.810.25______;(3)45______.二、选择题4.下列计算正确的是().A.2355.如果某某3A.某≥0B.236C.84D.(3)23某(某3),那么().B.某≥3C.0≤某≤3D.某为任意实数6.当某=-3时,某2的值是().A.±3三、解答题7.计算:(1)62;(4)(7)(7)249;8.已知三角形一边长为2cm,这条边上的高为12cm,求该三角形的面积.(8)13252;(9)527;3125B.3C.-3D.9(2)53(33);(3)3228;(5)ab11;3a(6)2a2bc;5bc5a72某2y7.综合、运用、诊断一、填空题10.已知矩形的长为25cm,宽为10cm,则面积为______cm2.11.比较大小:(1)32_____23;(2)52______43;(3)-22_______-6.二、选择题12.若a2bab成立,则a,b满足的条件是().A.a<0且b>013.把42B.a≤0且b≥0C.a<0且b≥0D.a,b异号3根号外的因式移进根号内,结果等于().4B.11C.44D.211A.11三、解答题14.计算:(1)53某y36某_______;211_______;32(2)27a29a2b2_______;(3)122(4)3(312)_______.15.若(某-y+2)2与某y2互为相反数,求(某+y)某的值.拓广、探究、思考16.化简:(1)(21)10(21)11________;(2)(31)(31)_________.测试3二次根式的乘除(二)学习要求会进行二次根式的除法运算,能把二次根式化成最简二次根式.课堂学习检测一、填空题1.把下列各式化成最简二次根式:(1)12______;(2)18某______;(3)48某5y3______;(4)y______;某(5)2111______.______;(6)4______;(7)某43某2______;(8)22332.在横线上填出一个最简单的因式,使得它与所给二次根式相乘的结果为有理式,如:32与2.(1)23与______;(2)32与______;(3)3a与______;(4)3a2与______;(5)3a3与______.二、选择题3.1某1某成立的条件是().某某A.某<1且某≠0B.某>0且某≠14.下列计算不正确的是().A.317164C.0<某≤1D.0<某<1 B.2y16某y3某3某42某3某9某111C.()2()24520D.5.把1化成最简二次根式为().32B.A.3232三、计算题6.(1)16;2513232C.128D.1247(2)2;9(3)24;3(4)5752125;(5)5;215(6)6633;11(7)11;32(8)110.125.22综合、运用、诊断一、填空题7.化简二次根式:(1)26________(2)11_________(3)4_________388.计算下列各式,使得结果的分母中不含有二次根式:(1) 15_______(2)22某__________(4)_________(3)__________某235y1______;27_________.(结果精确到0.001)39.已知31.732,则二、选择题10.已知a31,b2,则a与b的关系为().31C.a=-bD.ab=-1A.a=bB.ab=111.下列各式中,最简二次根式是().A.1某yB.abC.某24D.5a2b三、解答题ba312.计算:(1)ab;ba(2)12某y2y;3(3)abab2213.当某42,y42时,求某2某yy和某y2+某2y的值.拓广、探究、思考14.观察规律:12121,13232,12323,并求值.1722_______;(2)11110_______;(3)1nn1_______.15.试探究a2、(a)2与a之间的关系.测试4二次根式的加减(一)学习要求掌握可以合并的二次根式的特征,会进行二次根式的加、减运算.课堂学习检测一、填空题1.下列二次根式32,27,125,445,28,18,12,15化简后,与2的被开方数相同的有______,与3的被开方数相同的有______,与5的被开方数相同的有______.1________;32.计算:(1)123二、选择题(2)3某4某__________.3.化简后,与2的被开方数相同的二次根式是().A.10B.12C.12D.164.下列说法正确的是().A.被开方数相同的二次根式可以合并C.只有根指数为2的根式才能合并5.下列计算,正确的是().A.2323B.5225D.y2某3某yB.8与80可以合并D.2与50不能合并C.52a2a62a三、计算题6.93712548.8.10.32某58某718某.7.24126.11128329.(12411)(340.5)8311.综合、运用、诊断一、填空题12.已知二次根式ab4b与3ab是同类二次根式,(a+b)a的值是______.13.2a8ab3与6b无法合并,这种说法是______的.(填“正确”或“错误”)32b二、选择题14.在下列二次根式中,与a是同类二次根式的是().A.2a三、计算题15.1817.a1a14bb2abB.3a2C.a3D.a4228(51)0.216.13(23)(227).2418.2ababab1aa3b2bab3.四、解答题y311某19.化简求值:某4yy,其中某4,y.29某20.当某拓广、探究、思考21.探究下面的问题:(1)判断下列各式是否成立你认为成立的,在括号内画“√”,否则画“某”.①2123时,求代数式某2-4某+2的值.③444()41515④555()52424(2)你判断完以上各题后,发现了什么规律请用含有n的式子将规律表示出来,并写出n的取值范围.(3)请你用所学的数学知识说明你在(2)题中所写式子的正确性.。
二次根式(1)双基演练1.(-7)2的平方根是_______,的算术平方根是________.2.若- 有意义,则x=_______.3.当x_______a的值是_______.4________.5a≥2),其中二次根式的个数是()A.1个B.2个C.3个D.4个6.下面算式中,错误的是()A±B=±C D.-=7.面积为6cm2的正方形的边长为()A.cm B.2cm C.3cm D.36cm8.若方程(y-2)2=144,则y的值是()A.10 B.-10 C.-10或14 D.129.若,则A的算术平方根是()A.a2+3 B.(a2+3)2C.(a2+9)2D.a2+910.x为何值时,下面各式有意义:;能力提升11.当x_______实数范围内有意义.12有意义,则=_______.13.代数式m nm-是二次根式,则应满足的条件是_______________。
14中,x的取值范围是()A.x≤3 B.x≥3 C.x>3 D.x≥3且x≠415x有()个.A.0 B.1 C.2 D.无数16.x、y都是实数,且满足y<+12,试化简|1|1yy--的值.17.已知a、b=b+4,求a、b的值.聚焦中考18.正数x 的平方根是3a +1和-a -319.函数x 的取值范围是( ) A .x ≥-1 B .-1≤x ≤2 C .-1≤x<2 D .x<2 20.已知代数式11-x 有意义时,字母且x 的取值范围是( )A x >0B x ≥0C x >0且x ≠1D x ≥0且x ≠1答案:1.±7,3 2.0 3.≥1,-1 4.≤-15.C 6.A 7.A 8.C 9.D10.•①0≤x ≤1,②x>-1,③x 取任意实数11.<1 12.1313.m = 2 ,n ≤2 14.D 15.B 16.1-y > 0 ,|1|1y y --=-1 17.a=5,b=-4 18.(3a+1)+(-a-3)=0,∴a=1,x=(3a+1)2=16,19. C 20. D。
二次根式练习01f填空JS1、卜列和«1(1)3 141592( (2)0.3 (3)≡- (4)√2 (5)-√8(6)y (7)0 3030030003.■其中无理数有 ______ •有理数右 ________ (填序号)42、亍的平力H _______ ・0 216的立方H.3、JlB的平方根________ .阿的立方根 ___________ .4、球术平方根等于它本身的数有_______ ・立方根等于本身的数右________5、若X2 = 256. W-IX= ________ ・若x j = -216. WX= ___________ .6、LI)IlRtMBC两边为3∙ 4・则第三边长_________ >7、若三角形三边之比为3: 4:5∙网长为24.则三角形向枳_______& L!⅛∣≡A形L 2n+ IJn1 ÷2n f2n2 + 2n+ Ln为止整数.則此三角滞是三角形.9. ⅛ι⅛√χ34+(y+6)j -0 ・則x + y- _______________10.如果2a-lfπ 5-a是一个数m的平方根•则& = ____________ m= _______ IU三角形二边分别为& 15. 17.那么仪长边上的岛为_____________ .12. K角三角形三角形FWiftft边长为3和4・三角形内一点到备边铢离相等.那么这个丽离为________二.13. 卜刊几组数中不能作为H角二角形三边长度的足< )Aa = 6t b= 24»C= 25 Ba = 1.5,b = 2»C= 2.52 5C. a ≡ —t b ■ 2f c ■ —D. a ■ 15,b ■& C ■ 173 414. 小强Ift御家甲.彩电荧屏的长为58cm •宽为46cm •则这台电视机尺寸足( >A 9 英Q (23 Cm )B 21 英寸(54Cnl) C.29 英寸(74Cm )D S4 英寸« 87Cm)15. 等腰二角形腰长IOan.底边16cm.则面积( >A 96Cm I B. 48Cm i C. 24cm1 D 32Cm J16. 三何形二边a,b,c满足(a+b)'∙c∣+ 2ab∙则这个三角形足()A 角形B.钝ffj^∑flj形 C. H角三角形D等腰三角形17. (-6)'的平方根足( )A - 6B 36 C. 士6 D. ±麻18. bħj∣⅛jg∣E确的个故冇,(I)Va7 = a t(2)√aτ≡a(3)无限小数都足无珅数<4)有眼小数郝是有理数(5)实数分为IE实数和岁实数两类( 〉A l个 B.2个 C 3个D4个19. x½(-√9)2的平方Mi∙ y足64的立方根•则χ + y= <>A 3 B.7 C3. 7 D l. 720. Fnfl三角形边长度为5. 12.則斜边上的高( )IS 60A 6B 8 C. — D —13 132k Γ{ffi~∕fi形边K为a,b.斜边I•高为h∙则卜列冷犬总能成立的地(A. ab= Ii 2 B a 1÷b 2 = 2h i22. ⅛ιffl ∙fi∕{j Ξ角形尿片.两HftJ 边AC-6αnBC-8αn ・现将直角边AC 沿Fl 线AD 折叠.便它落在料边AB 上•且,j AE ⅛fr.则CD 等F ()(3×2Xr = -824.用i ∣∙nsi ∣∙W:(结果保留3个有效数字)A. 2cm B 3an C 4cm 三、计算层23.求F 列待式中X 的值:(1)16X 2-49=0第 22 JSra(2XX-1)2 = 25(4A(x∙F J7(I)VB四、作图题(?)VB(3)√6-< (4)2√3-3√225.庄数轴上Bii 岀■罷的点•D.5an% 25 Sffl26. IT的JI方形网格■毎个止方形顶点叫格点•请在图和Bi—个面枳为10的正方形•五■解善JR27.已Ial如图所示•四边形ABCD 中AB- 3cnχAD- 4α∏BC - 13ClnCD - 12an ZA- 90°求四边形ABCD 的∣6i⅛U«27 JSffl28. ⅛ι附所示•在1⅛长为C的正方形中.有四个斜边为c∙宜角边为a,b的全肆Hfn三和彤.你虢利用这个图说明勾股定円叫?耳出Pf由“%2Sβffl 229.如图所示・】5只空油饲(毎只油桶底面虫径均为60Cm >堆在•起.妥给它盖一个遮甬棚•逋甬棚起码耍多奇?(结呆保昭一位小数〉30.如图所示∙ ΛlRtΔABC 中∙ ZACB- 90° . CDALAB 边上高•若 AD=S.引.XZSABC 中.AB≡15. AC≡13・ BC 边 l:A AD=12.试求/.ABC 周长.BD=2. 求CD,二次根式练习1一.填空题:1. 4. 6. 7. k 2、3、5; 2・0. 6:3. ±2∙ 2: 4. 0 和1∙ 0 和±hL PO 5・±16∙・4: 6・5Λ√7 :7・ 24: S.宜角:9・・2: 10.)・ 81: 11. ≤-:二选择业:13-22: ACBCCBDDDB三.It WSSi23. (1) (2)x=6 或x≡4 (3) x≡-l: (4) x≡6: 24.用il 弊器4计“答案略BL作图題,(«)五、解答题* 27. Ie示,遗箔BD.面税为56: 28.捉川利用面农证明ι 29. 327. S:二次根式练习2 30. CD-4∣ 31.周长为42.二次根式练习02一.选择题〈毎小题2分.共30分) h 25的平方根是()c. V≡2l6--6 D. -Vδ^δol≡-o 15. 下列各数中.无理数的个数有()-O lOlooh √7. 丄 -?• √2-√3. 0, -√1642AV 1 B 、 2 CU 3D 、 46. 如果J 口有总义.則X 的取值范围是()A. X ≥ 2B. X < 2C. X≤ 2D. X > 27. 化简∣1-√2∣+1的结果是()C∙ ±5 D. ±√52、 (-3)】的算术平方桟是()AK 9 B.・3 C 、±3 3. 下列叙述正确的是()A. 0.4的平方根是±0 2 C. ±6是36的算术平方根 4.下列等式中,钳误的是()D. 3B. -(-2?的立方根不存在 D.・27的立方根是・3A . 2- √2B ∙ 2 + √2c 、2 O. √2 8∙下列各式比较大小正确的是() A. -√2<.√3 趴-営八徑56C. -n < -3 14 D 、- VTO >-3 9∙用计算澎求得√3 + V3的络果(保留4个有效数字)是(A. 3. 1742 B % 3.174 CW 3. 175 2'如果栏F=In成立,则实数m 的取值范围是(IK 计鼻5→√5×-^t 所得络果正飜的是( A 、 5 B 、 2512、若x<0,则匚五[的结果为()X13. ∙∙b 为实数.在数轴上的位置如图所示.则ja-b ∣÷√Γβ的值是(—bB. bC. b —2DD.2a —b14. 下列算式中正确的是()AW m λ∕3 - n√3 = m - n√3 B 、5λ∕a + 3√b = 8x ^b C 、7√x+3>∕x≡ IOD∙ ^J545 ■ 2√5D. 3. 1743A. m≥ 3Bi m≤0C% 0 < m≤ 3D∙ O≤m≤3A. 2B. O C∙ O 或-2 D.■ ・15. 左二次根式:ω√Γ5;②爲;③個;④Q 中.与書是同类二次根式的是()A.①蜩B、②和③ C、①她D.③和④二.填空題〈哥小题2分.共20分〉16. - 125的立方根是 ____17. 如果∣3∣≡9t那么L ________ I如果X2 = 9t那么X= _________ •18. 要使心匚3有慮义,则”可以取的嵌小整数是 __________ •19. 平方根等于本身的数是_______ ;立方根需于本身的数是________20. X是实数•且2"・y-0,则______________21. 若仏b是实数・Ia-II+J2b + l = θ. Wa2-2b= _______________22、计算:Φ(-2√3)* = _②启事= _____________________23, SVrS5 = 1 22& = 2 645.则"1850000=.24. 计算:√2 + √8 + √18≡ 25、已知正数"和九有下列命SL(1) Sa+b≡2f M√ab≤l(2)若a+b≡3, M√ab≤∣■(3〉若a+b = 6. M√ab≤3根聞以上三个命題所提供的规徉豹想:若a+b≡9t则屈W _______________三.解答題(共50分)26. ■接写岀答案OO分)Φ√144②士」(■二$③ V-O O64④斗5)f⑤^6×y∕8CD√48-√3⑧(√I + 2∣1φ(√3÷√5)(√5-√3)27■计Jr化閒:(熨求有必夏的解答过程)(18分〉②書(3√I - √7¾6^)√T7-J ∣+√I?TF= 5pj r = ---------------- ∫⅛r =--------------------- √θr = -------------------- •根据计算结果•回答:(1)・ Q —定等于a 吗?你发现其中的规律了吗?谄你用自己的语言描 述出来.(2).利用你总纽的规律,计算①若X 〈人M √(x - 2): - _____________② √(3.14-π)1= ________ ____⑤(-√3),÷√32-2^I28.探究題(10分)29. (6分)己知一个正方形边长为3c叫另一个正方形的面积是它的面积的4 倍.求第二个正方形的边长•饰确到O ICm). --------------- 4 30. (6分)已知X、y满足√2x-3y-l+∣x- 2y+2∣= 0.求2x-<y的平方根附加掘31. (5分)已WX-Iy- L9求下列各式的值32. (5分)已知AZBC的三边为(U b、c・化简J(a +b + c)' + J(a _ b_ cj + Jp- C — a),- — a — b)i根式002参考答案_■ CODBCa)C BeCACOC二• 一5;±9ι±3{2; O S ±K 0; ±0.5; 2; 12;122∙ 8∣三、12J ±|; -0.4i5; 4√3 ; -y-53√3 s9+4√5 ; 2{ 1.5;3; ^6;;羽;牛曲;3+V∑; 1;3; 0. 5; 6:扌;J ; 0;不一定•因为■ IaI ; 2-x; J -3.14 ;6cm;± 2>∕3;;4c •二次根式练习03填空题:每题2分,共28分)1.4的平方根是_________________ .2. 旅的平方根是__________________ •3. 如数亿师数轴上的住置如图所示.则化简7?歹的结昊足------------- 1-------- 1 --------------- ! ------------a o »4. _______________________________________ -右的豆方碎僧数= _______________________________________________ ・5∙己知S b∣ = ?上=Z I,则Ja 4∙ 2b = __________ ・6. ・J(I -刖≡冲7则尸点取7I•范围是____________________ .7. 在实数范IS内分解因式:#-4 = ____________________ ・≡∙化简:捋M9∙化简吋13.妇^J(6-R(X-4沪=0-耳圧?则命取值范围是14・己夕DQY 0,则J^ = ________________ ・二、迭择題(每题4分,共20分〉15.下列说法正确的是( ).(A) 7伏绝对值的平方根是1⑻0的平方根是0(C) £是最简二戻視式(D) G)冷亍才16 •计M(√2-iχ√2+l)啲鉛黑敏)・(A) √2 + l (B) 3血- I (C) 1 (D) -1】7.若寸X+J,÷1 = 2,则& +昭値杲( )•ω±√3⑻±1 (C)I (D) √318.下列各工〔展于最商相式的呈( )•(A) 7771 (B) TΛ7 (C) √i2(D) √0519•式子<ΞI的耽值取值范围().才+ 2(A) x≥ 1(B) x> 1 且x≠-2(C) x≠-2 (D)才勿且x≠-220. <2, Mr-3∣+J,(Λ-]/的值为( )・(A) 2L4(B)-2 (C)4-2x (D) 2三、计算题(各小题6分.共30分)21. h--2^./45+2√20 ・22∙∕lW居z∕l∙23∙(3-√5)% +(3+毎・24+阿"∙卜 3.f-25.∣√27√÷6x.J∣-z21j∣-√iθ8^.10吒傍「諾卜岳四.化简求值(各小题5分,共10分)27.当X詁J = Q81时,求X£-州・点・*77值.+ √36∑y).其中入=#•*27.五、解答βr各小題8分,共24分)29.有一块面积为(2a * t>)2π的图形木板,挖去一个圆后剩下的木板的面积是(2a・6),疗,问所挖去的圆的半径多少?30.已知正方形纸片的面积是32c√,如果将这个正方形做成一个圆柱,请问这个圆柱底圆的半径是多少(保留3个有效数字)?14.15・ B 16. A 17. D 18. A 19. A20・D1. ±22. ±23. - ab4. -25. 0 或 46. ∕π≥17.(^3 + 2)(Λ+√2X<J -√2)8.軾9∙ ⅛Za 2 +⅛2 Ia12. -Jr X 门・Λ≤4根式003答案21. 亘_2不3 22. 10√2 23・ 24 24. — '[ΛB25. 4:7 —6∖Λ^ — 丄,22G. -各、隔 27. +振-3石;-2. 45 29. 2√2^5 30・ 0.900二次根式练习04一•填空赣(毎題3分,共农分)1. 0.4的平方根 ____________ ,吉的舁术平方根是______________2. -27的立方根3・己知α <-6■则∣3-$46/ + 9卜_________________ •4. 式子也手有意义∙QH得肢值范區是_______________________x+25. 写出两个与誓是同类二矢根武的根式杲_____________________6. 当X < 0,M1 -=入若数P在数粘上如图所示,则化简/百y4√(p-2f捋=10.已知2凸*代,则;T=___________________ .11・当么VO且时,化简厶:加十丄=a - CI13. ________________________________________________________ 己丸;Cj 为实数,y - X 一9+ 9一“ +',则X +y - _______________兀一3W.观察下列各式后,再芫成化简:丿3十2旋=√2 + 2^+l = M十A二血十1.Vτ÷2√10 = V5 + 2√l0+2 = 7(75+ √2)a= √5 + √2, .Jg+2√β= ・祢能曰一个相同炖的化简题吗?頁在横线上, __________________________ 二、选择題(每题4分,共20分)15•下列式子成立的是().(A)Ja2 ÷62 =(2 + ∂(B) “ J-2 = -J- ab(D)J-a "b" = —Λ⅛16. 若/芬与囲赤最筠同娄很式.则•甜=值杲().(A)O φ)l (C)-I (D)I17. 下列计算正确的是( ).(A]√2 +x^≡√5(B)2 + ,β ≡ 2√2(C)^3+√28=5Λ∕7(D)^⅛^ = √4÷√9218. 若b<O r化简+二?的结果是( )•(A) - b后(B)fe√≡^ (C)-£> Pab (P)b^fab19. 把儿Jg阴外的因式移入根号内,结果化简为(>(A)F CB)- V (C)∙Λ£)-石20. 満足廣十"=倚的整敖对(XJ)的个数是] ).(盘)多于?个⑻3个©2个(D)I个三.计算題(各小题6分•共30分) 21.9岳-7√127 4 2√6 3馬.23 .(7 + 4√3)(2 -4)2 十(2 十 √3×2 -M)- √124.舟、乔J 耳+ 6碾.22.2(l + ⅛ + √,48 +四.化简求值(各小题8分,共16分)27•巳哑手君'且曲如^,1+χ,J⅞τr28. α > αD > Q■屈运+爲j= 3血書+MI求竺空t逅的危. a -b五■解答題(各小题8分.共24分〉29. = 2-√5.‰4 -8α5+ 16αa -α÷l.50. i⅛等式JeX■小+ Jeyu TXP-Ja-丿在买数范51内成立・矣中"。
第十六章二次根式16.1二次根式---------第1课时二次根式的概念01根底题知识点1二次根式的定义1.以下式子不是二次根式的是( )A. 5B.3-πC.0.5D.1 32.以下各式中,一定是二次根式的是()A.-7B.3m C.1+x2D.2x3.a是二次根式,那么a的值可以是( )A.-2 B.-1 C.2 D.-54.假设-3x是二次根式,那么x的值可以为(写出一个即可).知识点2二次根式有意义的条件5.x取以下各数中的哪个数时,二次根式x-3有意义()A.-2 B.0 C.2 D.46.(2021·广安)要使二次根式2x-4在实数范围内有意义,那么x的取值范围是( )A.x>2 B.x≥2 C.x<2 D.x=27.当x是怎样的实数时,以下各式在实数范围内有意义?(1)-x;(2)2x+6;(3)x2;(4)14-3x;(5)x-4x-3.知识点3二次根式的实际应用8.一个外表积为12 dm2的正方体,那么这个正方体的棱长为( )A.1 dm B. 2 dm C. 6 dm D.3 dm9.假设一个长方形的面积为10 cm2,它的长与宽的比为5∶1,那么它的长为cm,宽为cm.02 中档题 10.以下各式中:①12;②2x ;③x 3;④-5.其中,二次根式的个数有( ) A .1个B .2个C .3个D .4个11.(2021·济宁)假设2x -1+1-2x +1在实数范围内有意义,那么x 满足的条件是( )A .x ≥12B .x ≤12C .x =12D .x ≠1212.使式子1x +3+4-3x 在实数范围内有意义的整数x 有( ) A .5个B .3个C .4个D .2个13.如果式子a +1ab 有意义,那么在平面直角坐标系中点A(a ,b)的位置在() A .第一象限B .第二象限C .第三象限D .第四象限14.使式子-〔x -5〕2有意义的未知数x 的值有 个.15.假设整数x 满足|x|≤3,那么使7-x 为整数的x 的值是 . 16.要使二次根式2-3x 有意义,那么x 的最大值是 . 17.当x 是怎样的实数时,以下各式在实数范围内有意义?(1)32x -1; (2)21-x; (3)1-|x|; (4)x -3+4-x.03 综合题18.a ,b 分别为等腰三角形的两条边长,且a ,b 满足b =4+3a -6+32-a ,求此三角形的周长.第2课时 二次根式的性质01 根底题 知识点1a ≥0(a ≥0)1.(2021·荆门)实数m ,n 满足|n -2|+m +1=0,那么m +2n 的值为 . 2.当x = 时,式子2 018-x -2 017有最大值,且最大值为 .知识点2 (a )2=a (a ≥0)3.把以下非负数写成一个非负数的平方的形式:(1)5= (2)3.4= ; (3)16= (4)x = (x ≥0).4.计算:( 2 018)2= . 5.计算:(1)(0.8)2; (2)(-34)2; (3)(52)2; (4)(-26)2. 知识点3a 2=a (a ≥0)6.计算〔-5〕2的结果是( )A .-5B .5C .-25D .257.二次根式x 2的值为3,那么x 的值是( )A .3B .9C .-3D .3或-38.当a ≥0时,化简:9a 2= . 9.计算:(1)49; (2)〔-5〕2; (3)〔-13〕2; (4)6-2.知识点4 代数式10.以下式子不是代数式的是( )A .3xB .3xC .x>3D .x -311.以下式子中属于代数式的有( )①0;②x ;③x +2;④2x ;⑤x =2;⑥x>2;⑦x 2+1;⑧x ≠2. A .5个 B .6个 C .7个 D .8个02 中档题12.以下运算正确的选项是( )13.假设a <1,化简〔a -1〕2-1的结果是( )A .a -2B .2-aC .aD .-a14.(2021·枣庄)实数a ,b 在数轴上对应点的位置如下图,化简|a|+〔a -b 〕2的结果是( )A .-2a +bB .2a -bC .-bD .b15.实数x ,y ,m 满足x +2+|3x +y +m|=0,且y 为负数,那么m 的取值范围是( )A .m >6B .m <6C .m >-6D .m <-6 16.化简:〔2-5〕2= .17.在实数范围内分解因式:x 2-5= .18.假设等式〔x -2〕2=(x -2)2成立,那么x 的取值范围是 . 19.假设a 2=3,b =2,且ab <0,那么a -b = . 20.计算:(1)-2〔-18〕2; (2)4×10-4;(3)(23)2-(42)2; (4)〔213〕2+〔-213〕2.21.比拟211与35的大小.22.先化简a +1+2a +a 2,然后分别求出当a =-2和a =3时,原代数式的值.16.2 二次根式的乘除 第1课时 二次根式的乘法01 根底题知识点1 a·b =ab (a ≥0,b ≥0)1.计算2×3的结果是( )A . 5B .6C .2 3D .3 22.以下各等式成立的是( )A .45×25=8 5B .53×42=20 5C .43×32=7 5D .53×42=20 6 3.以下二次根式中,与2的积为无理数的是( )A .12B .12C .18D .324.计算:8×12= . 5.计算:26×(-36)= . 6.一个直角三角形的两条直角边分别为a =2 3 cm ,b =3 6 cm ,那么这个直角三角形的 面积为 cm 2. 7.计算以下各题:(1)3×5; (2)125×15; (3)(-32)×27; (4)3xy·1y.知识点2 ab =a·b (a ≥0,b ≥0) 8.以下各式正确的选项是( )A .〔-4〕×〔-9〕=-4×-9B .16+94=16×94C .449=4×49D .4×9=4×9 9.(2021·益阳)以下各式化简后的结果是32的结果是( )A . 6B .12C .18D .3610.化简〔-2〕2×8×3的结果是( )A .224B .-224C .-4 6D .4 611.化简:(1)100×36= ; (2)2y 3= . 12.化简:(1)4×225; (2)300; (3)16y ; (4)9x 2y 5z.13.计算:(1)36×212;(2)15ab2·10ab.02中档题14.50·a的值是一个整数,那么正整数a的最小值是( )A.1 B.2 C.3 D.515.m=(-33)×(-221),那么有( )A.5<m<6 B.4<m<5 C.-5<m<-4 D.-6<m<-5 16.假设点P(a,b)在第三象限内,化简a2b2的结果是.17.计算:(1) 75×20×12;(2)〔-14〕×〔-112〕;(3) -32×45×2;(4)200a5b4c3(a>0,c>0).18.交通警察通常根据刹车后车轮滑过的距离估计车辆行驶的速度,所用的经验公式是v=16df,其中v表示车速(单位:km/h),d表示刹车后车轮滑过的距离(单位:m),f表示摩擦因数,在某次交通事故调查中,测得d=20 m,f=1.2,肇事汽车的车速大约是多少?(结果精确到0.01 km/h)19.一个底面为30 cm×30 cm的长方体玻璃容器中装满水,现将一局部水倒入一个底面为正方形、高为10 cm的长方体铁桶中,当铁桶装满水时,容器中的水面下降了20 cm,铁桶的底面边长是多少厘米?第2课时 二次根式的除法01 根底题 知识点1a b=a b (a ≥0,b >0)1.计算:10÷2=( )A . 5B .5C .52D .1022.计算23÷32的结果是( ) A .1B .23C .32D .以上答案都不对3.以下运算正确的选项是( )A .50÷5=10B .10÷25=22C .32+42=3+4=7D .27÷3=34.计算:123= .5.计算:(1)40÷5; (2)322; (3)45÷215; (4)2a 3b ab(a>0).知识点2a b =ab(a ≥0,b >0) 6.以下各式成立的是( ) A .-3-5=35=35B .-7-6=-7-6C .2-9=2-9D .9+14=9+14=3127.实数0.5的算术平方根等于( )A .2B . 2C .22D .128.如果〔x -1x -2〕2=x -1x -2,那么x 的取值范围是( ) A .1≤x ≤2 B .1<x ≤2 C .x ≥2 D .x >2或x ≤1 9.化简:(1)7100; (2)11549; (3)25a 49b 2(b>0).知识点3 最简二次根式 10.(2021·荆州)以下根式是最简二次根式的是( )A .13B .0.3C . 3D .2011.把以下二次根式化为最简二次根式:(1) 2.5; (2)85; (3)122; (4)2340.02 中档题12.以下各式计算正确的选项是( )A .483=16B .311÷323=1 C .3663=22D .54a 2b6a=9ab13.计算113÷213÷125的结果是( ) A .27 5B .27C . 2D .2714.在①14;②a 2+b 2;③27;④m 2+1中,最简二次根式有 个. 15.如果一个三角形的面积为15,一边长为3,那么这边上的高为 . 16.不等式22x -6>0的解集是 . 17.化简或计算:(1)0.9×121100×0.36; (2) 12÷27×(-18); (3)27×123; (4)12x÷25y.18.如图,在Rt △ABC 中,∠C =90°,S △ABC =18 cm 2,BC = 3 cm ,AB =3 3 cm ,CD ⊥AB 于点D.求AC ,CD 的长.16.3 二次根式的加减 第1课时 二次根式的加减01 根底题知识点1 可以合并的二次根式1.(2021·巴中)以下二次根式中,与3可以合并的是( )A .18B .13C .24D .0.32.以下各个运算中,能合并成一个根式的是( )A .12- 2B .18-8C .8a 2+2aD .x 2y +xy 23.假设最简二次根式2x +1和4x -3能合并,那么x 的值为( )A .-12B .34C .2D .54.假设m 与18可以合并,那么m 的最小正整数值是( )A .18B .8C .4D .2知识点2 二次根式的加减5.(2021·桂林)计算35-25的结果是( )A . 5B .2 5C .3 5D .66.以下计算正确的选项是( )A .12-3= 3B .2+3= 5C .43-33=1D .3+22=5 27.计算27-1318-48的结果是( )A .1B .-1C .-3- 2D .2- 3 8.计算2+(2-1)的结果是( )A .22-1B .2- 2C .1- 2D .2+ 29.长方形的一边长为8,另一边长为50,那么长方形的周长为 . 10.三角形的三边长分别为20 cm ,40 cm ,45 cm ,这个三角形的周长是 cm . 11.计算:(1)23-32; (2)16x +64x ; (3) 125-25+45; (4) 27-6-13.02 中档题12.假设x 与2可以合并,那么x 可以是( )A .0.5B .0.4C .0.2D .0.1 13.计算|2-5|+|4-5|的值是( )14.计算412+313-8的结果是( ) A.3+ 2B. 3C.33D.3- 215.假设a ,b 均为有理数,且8+18+18=a +b 2,那么a = ,b = . 16.等腰三角形的两边长分别为27和55,那么此等腰三角形的周长为 .17.在如下图的方格中,横向、纵向及对角线方向上的实数相乘都得出同样的结果,那么两个空格中的实数之和为 . 18.计算:(1)18+12-8-27;(2) b 12b 3+b 248b ; (3)(45+27)-(43+125);(4) 34(2-27)-12(3-2).19.3≈1.732,求(1327-413)-2(34-12)的近似值(结果保存小数点后两位).第2课时二次根式的混合运算01根底题知识点1二次根式的混合运算1.化简2(2+2)的结果是( )A.2+2 2 B.2+2C.4 D.3 2 2.计算(12-3)÷3的结果是( )A.-1 B.-3C. 3 D.1 3.(2021·南京)计算:12+8×6的结果是.4.(2021·青岛)计算:(24+16)×6=.5.计算:40+55=.6.计算:(1)3(5-2);(2)(24+18)÷2;(3)(2+3)(2+2);(4)(m+2n)(m-3n).知识点2二次根式与乘法公式7.(2021·天津)计算:(4+7)(4-7)的结果等于.8.(2021·包头)计算:613-(3+1)2=.9.计算:(1)(2-12)2;(2)(2+3)(2-3);(3)(5+32)2.10.(2021·盐城)计算:(3-7)(3+7)+2(2-2).02中档题11.a=5+2,b=2-5,那么a2 018b2 017的值为( )A.5+2 B.-5-2 C.1 D.-112.按如下图的程序计算,假设开始输入的n值为2,那么最后输出的结果是( )A.14 B.16 C.8+5 2 D.14+ 2 13.计算:(1)(1-22)(22+1);(2)12÷(34+233);(3)(46-412+38)÷22;(4)24×13-4×18×(1-2)0.14.计算:(1)(1-5)(5+1)+(5-1)2;(2)(3+2-1)(3-2+1).15. a=7+2,b=7-2,求以下代数式的值:(1)ab2+ba2;(2)a2-2ab+b2;(3)a2-b2.小专题(一) 二次根式的运算类型1 与二次根式有关的计算 1.计算:(1)62×136; (2)(-45)÷5145;(3)72-322+218; (4)(25+3)×(25-3).2.计算:(1)334÷(-12123); (2)(6+10×15)×3;(3)354×(-89)÷7115; (4)(12-418)-(313-40.5);(5)(32-6)2-(-32-6)2.3.计算:(1)(2 018-3)0+|3-12|-63; (2) |2-5|-2×(18-102)+32.类型2 与二次根式有关的化简求值4.a =3+22,b =3-22,求a 2b -ab 2的值.5.实数a ,b ,定义“★〞运算规那么如下:a ★b =⎩⎨⎧b 〔a ≤b 〕,a 2-b 2〔a>b 〕,求7★(2★3)的值.6.x =2+3,求代数式(7-43)x 2+(2-3)x +3的值.7.(2021·襄阳)先化简,再求值:(1x +y +1x -y )÷1xy +y 2,其中x =5+2,y =5-2.章末复习(一) 二次根式01 根底题知识点1 二次根式的概念及性质1.(2021·黄冈)在函数y =x +4x中,自变量x 的取值范围是( ) A .x >0 B .x ≥-4 C .x ≥-4且x ≠0 D .x >0且x ≠-4 2.(2021·自贡)以下根式中,不是最简二次根式的是( ) A.10 B.8 C. 6D. 23.假设xy <0,那么x 2y 化简后的结果是( )A .x yB .x -yC .-x -yD .-x y知识点2 二次根式的运算4.与-5可以合并的二次根式的是( )A .10B .15C .20D .25 5.(2021·十堰)以下运算正确的选项是( )A .2+3= 5B .22×32=6 2C .8÷2=2D .32-2=36.计算5÷5×15所得的结果是 .7.计算:(1)(2021·湖州)2×(1-2)+8; (2)(43+36)÷23;(3)1232-275+0.5-3127; (4)(32-23)(32+23).知识点3 二次根式的实际应用8.两个圆的圆心相同,它们的面积分别是25.12和50.24.求圆环的宽度d.(π取3.14,结果保存小数点后两位)02 中档题 9.把-a-1a中根号外面的因式移到根号内的结果是( ) A .-aB .- aC .--aD . a10.x +1x =7,那么x -1x的值为( )A. 3B .±2C .± 3D.711.在数轴上表示实数a 的点如下图,化简〔a -5〕2+|a -2|的结果为 .12.(2021·青岛)计算:32-82= . 13.计算:(3+2)3×(3-2)3= . 14.x =5-12,那么x 2+x +1= . 15.16-n 是整数,那么自然数n 所有可能的值为 . 16.计算:(1)(3+1)(3-1)-16+(12)-1; (2)(3+2-6)2-(2-3+6)2.17.x =3+7,y =3-7,试求代数式3x 2-5xy +3y 2的值.。
二次根式50道计算题(汇编)本文档包含了50道关于二次根式的计算题,可以帮助你巩固和练习有关二次根式的计算技巧。
题目1.计算 $2\\sqrt{3}$。
2.计算 $3\\sqrt{7}-\\sqrt{2}$。
3.计算 $\\sqrt{12}+\\sqrt{27}$。
4.计算 $4\\sqrt{6} - 2\\sqrt{3}$。
5.计算 $\\sqrt{50}$。
6.计算 $2(\\sqrt{5}+\\sqrt{3})$。
7.计算 $\\sqrt{18} - \\sqrt{8}$。
8.计算 $3\\sqrt{5} + 2\\sqrt{45}$。
9.计算 $\\sqrt{72} - 2\\sqrt{18}$。
10.计算 $4\\sqrt{10} - 3\\sqrt{8}$。
11.计算 $2\\sqrt{6} \\times 3\\sqrt{2}$。
12.计算 $(\\sqrt{3}+\\sqrt{5})^2$。
13.计算 $(\\sqrt{7}-\\sqrt{2})^2$。
14.计算 $(\\sqrt{20}+\\sqrt{5})(\\sqrt{20}-\\sqrt{5})$。
15.计算$(\\sqrt{3}+\\sqrt{2})(\\sqrt{3}-\\sqrt{2})$。
16.计算 $(4\\sqrt{2})^2$。
17.计算 $(\\sqrt{2})^4$。
18.计算 $(\\sqrt{3})^3$。
19.计算 $(\\sqrt{7})^2$。
20.计算 $3\\sqrt{5} \\div \\sqrt{3}$。
21.计算 $\\sqrt{8} \\div 2$。
22.计算 $\\sqrt{18} \\div (\\sqrt{6} \\times\\sqrt{2})$。
23.计算 $2\\sqrt{7} + \\sqrt{7}$。
24.计算 $\\sqrt{11} + 2\\sqrt{11}$。
16.1二次根式 同步练习一、单选题1.当x在实数范围内有意义( ) A .1x >B .1≥xC .1x <D .1x ≤2都是有意义的,那么a 应该满足的条件是( ) A .0a ≥ B .0a = C .0a ≤ D .0a ≠3 )A .3B .3-C .3±D .94a 的值不可以是( )A .4B .19C .90D .-252x =-,则x 的取值范围是( )A .x >2B .x≥2C .x≤2D .x <26.已知a 、b 满足5b =,则a b 的值为( ) A .15 B .-15 C .125 D .-1257.已知x 、y 2690y y -+=,则xy 的值是( ) A .4 B .-4 C .94 D .94-8.当12a <<1a +-的值是( ). A .1- B .1C .23a -D .32a -二、填空题9在实数范围内有意义,则实数x 的取值范围是_________.101a =-,则实数a 的取值范围是__________.11.已知||6a =,且a b a b +=+∣∣,则-a b 的值为___________.12.计算:2=_________.13.当2<a <3时,化简:2a -=______.14.已知2y =,则y x =__________.15.已知实数x ,y 满足30x -+=,则以x ,y 的值为两边长的等腰三角形的周长是_____.三、解答题 16.求使下列各式有意义的字母的取值范围:(1(2(317.如图A ,B ,C 三点表示的数分别为a ,b ,c .利用图形化简:a b -18.已知实数a 满足2020a a -=,求22020a -的值.参考答案1.A 2.B 3.A 4.D 5.C 6.D 7.B 8.B9.3x≥10.1a≥116或6 12.513.2a-514.915.1516.(1)43x;(2)全体实数;(3)0x<.17.0 18.2021。
初二数学专题练习《二次根式》一.选择题1.式子在实数范围内有意义,则x 的取值范围是()A .x<1 B.x≤1 C .x> 1D. x≥ 12.若 1<x<2,则的值为() A .2x﹣4 B.﹣ 2 C .4﹣2x D.2 3.下列计算正确的是() A .=2B.=C.=x D.=x 4.实数 a , b 在数轴上对应点的位置如图所示,化简|a|+的结果是()A .﹣ 2a+b B.2a ﹣b C .﹣ b D.b5.化简+ ﹣的结果为()A.0 B.2 C .﹣2 D. 26.已知 x<1,则化简的结果是() A . x﹣ 1 B.x+1 C .﹣ x﹣1D . 1﹣ x7.下列式子运算正确的是() A .B. C .D.8.若,则 x3﹣ 3x2+3x 的值等于()A .B. C .D.二.填空题9.要使代数式有意义,则 x 的取值范围是.10.在数轴上表示实数 a 的点如图所示,化简+|a ﹣2| 的结果为.11.计算:=.12.化简:=.13.计算:(+)=.14.观察下列等式:第 1 个等式: a 1==﹣1,第 2 个等式: a 2==﹣,第 3 个等式: a 3==2﹣,第 4 个等式: a 4==﹣2,按上述规律,回答以下问题:( 1)请写出第 n 个等式: a n=;( 2) a 1+a 2+a 3+ +a n =.15.已知 a 、b 为有理数,m 、n 分别表示的整数部分和小数部分,且amn+bn2=1,则2a+b=.16.已知: a <0,化简=.17.设,,,,.设,则 S=(用含n的代数式表示,其中n 为正整数).三.解答题18.计算或化简:﹣(3+);19.计算:(3﹣)(3+)+(2﹣)20.先化简,再求值:,其中x=﹣3﹣(π﹣3)0.21.计算:(+ )× .22.计算:×(﹣)+| ﹣2 |+ ()﹣3.23.计算:(+1 )(﹣1)+ ﹣()0.24.如图,实数 a 、b 在数轴上的位置,化简:.25.阅读材料,解答下列问题.例:当 a >0 时,如 a=6 则|a|=|6|=6,故此时a的绝对值是它本身;当 a=0 时, |a|=0 ,故此时 a 的绝对值是零;当 a <0 时,如 a= ﹣ 6 则|a|=| ﹣ 6|= ﹣(﹣ 6),故此时 a 的绝对值是它的相反数.∴综合起来一个数的绝对值要分三种情况,即,这种分析方法渗透了数学的分类讨论思想.问:( 1)请仿照例中的分类讨论的方法,分析二次根式的各种展开的情况;( 2)猜想与|a|的大小关系.26.已知: a=,b=.求代数式的值.27.阅读下列材料,然后回答问题.在进行二次根式的化简与运算时,我们有时会碰上如,,一样的式子,其实我们还可以将其进一步化简:(一)==(二)===﹣1(三)以上这种化简的步骤叫做分母有理化.还可以用以下方法化简:====﹣1(四)( 1)请用不同的方法化简.(2=;=.(3)化简:+++ +.28.化简求值:,其中..参考答案与解析一.选择题1.( 2016? 贵港)式子在实数范围内有意义,则x 的取值范围是()A . x< 1B.x≤1 C . x>1D.x≥1【分析】被开方数是非负数,且分母不为零,由此得到:x﹣1>0,据此求得 x 的取值范围.【解答】解:依题意得: x﹣ 1> 0,解得 x>1.故选: C.【点评】考查了二次根式的意义和性质.概念:式子(a≥0)叫二次根式.性质:二次根式中的被开方数必须是非负数,否则二次根式无意义.注意:本题中的分母不能等于零..2.( 2016? 呼伦贝尔)若 1<x<2,则的值为()A . 2x﹣4 B.﹣ 2 C .4﹣2x D.2【分析】已知 1< x< 2,可判断 x﹣3<0,x﹣ 1>0,根据绝对值,二次根式的性质解答.【解答】解:∵ 1< x< 2,∴x﹣ 3< 0, x﹣ 1>0,原式 =|x ﹣ 3|+=|x ﹣3|+|x﹣1|=3﹣x+x ﹣ 1=2.故选 D.【点评】解答此题,要弄清以下问题:1、定义:一般地,形如(a≥0)的代数式叫做二次根式.当 a > 0 时,表示a的算术平方根;当 a=0 时,=0 ;当 a 小于 0 时,非二次根式(若根号下为负数,则无实数根).2、性质:=|a|.3.( 2016? 南充)下列计算正确的是()A .=2B.= C .=x D.=x【分析】直接利用二次根式的性质分别化简求出答案.【解答】解: A 、=2,正确;B、=,故此选项错误;C 、=﹣x,故此选项错误;D、=|x|,故此选项错误;故选: A..【点评】此题主要考查了二次根式的化简,正确掌握二次根式的性质是解题关键.4.( 2016? 潍坊)实数 a ,b 在数轴上对应点的位置如图所示,化简|a|+的结果是()A .﹣ 2a+b B. 2a ﹣ b C .﹣ bD .b【分析】直接利用数轴上 a ,b 的位置,进而得出 a <0,a ﹣b < 0,再利用绝对值以及二次根式的性质化简得出答案.【解答】解:如图所示: a <0,a ﹣b <0,则 |a|+=﹣a ﹣( a ﹣b )=﹣2a+b .故选: A.【点评】此题主要考查了二次根式的性质以及实数与数轴,正确得出各项符号是解题关键.5.( 2016? 营口)化简+﹣的结果为()A.0 B.2C.﹣2D.2【分析】根据根式的开方,可化简二次根式,根据二次根式的加减,可得答案.【解答】解:+﹣=3 +﹣2=2,故选: D.【点评】本题考查了二次根式的加减,先化简,再加减运算.6.已知 x<1,则化简的结果是()A . x﹣ 1B.x+1 C .﹣ x﹣1 D.1﹣x【分析】先进行因式分解, x2﹣2x+1= (x﹣1)2,再根据二次根式的性质来解题即可..【解答】解:==|x ﹣1|∵x< 1,∴原式 =﹣( x﹣ 1) =1﹣ x,故选 D.【点评】根据完全平方公式、绝对值的运算解答此题.7.下列式子运算正确的是()A.B.C.D.【分析】根据二次根式的性质化简二次根式:=|a|;根据二次根式分母有理化的方法“同乘分母的有理化因式”,进行分母有理化;二次根式的加减实质是合并同类二次根式.【解答】解: A 、和不是同类二次根式,不能计算,故 A 错误;B、=2,故B错误;C、=,故C错误;D、=2 ﹣+2+ =4,故 D 正确.故选: D.【点评】此题考查了根据二次根式的性质进行化简以及二次根式的加减乘除运算,能够熟练进行二次根式的分母有理化.8.若,则x3﹣3x2+3x的值等于()A.B.C.D..【分析】把 x 的值代入所求代数式求值即可.也可以由已知得(x﹣1)2 =3,即 x2﹣ 2x﹣2=0,则 x3 ﹣3x2+3x=x (x2﹣ 2x﹣2)﹣( x2﹣2x ﹣2)+3x ﹣ 2=3x﹣ 2,代值即可.【解答】解:∵ x3﹣3x2 +3x=x ( x2﹣3x+3 ),∴当时,原式 =()[﹣3()+3]=3+1 .故选 C.【点评】代数式的三次方不好求,就先提取公因式,把它变成二次方后再代入化简合并求值.二.填空题9.( 2016? 贺州)要使代数式有意义,则x的取值范围是x≥﹣ 1 且 x≠0.【分析】根据二次根式和分式有意义的条件:被开方数大于等于0,分母不等于 0,列不等式组求解.【解答】解:根据题意,得,解得 x≥﹣ 1 且 x≠0.【点评】本题考查的知识点为:分式有意义,分母不为0;二次根式的被开方数是非负数.本题应注意在求得取值范围后,应排除不在取值范围内的值.10.( 2016? 乐山)在数轴上表示实数 a 的点如图所示,化简+|a ﹣2| 的结果为3.【分析】直接利用二次根式的性质以及绝对值的性质分别化简求出答案.【解答】解:由数轴可得: a ﹣5<0,a ﹣ 2> 0,则+|a ﹣ 2|=5﹣a+a ﹣2=3.11.( 2016? 聊城)计算:=12.【分析】直接利用二次根式乘除运算法则化简求出答案.【解答】解:=3×÷=3=12 .故答案为: 12.【点评】此题主要考查了二次根式的乘除运算,正确化简二次根式是解题关键.12.( 2016? 威海)化简:=.【分析】先将二次根式化为最简,然后合并同类二次根式即可.【解答】解:原式 =3﹣2=.故答案为:.【点评】此题考查了二次根式的加减运算,属于基础题,解答本题的关键是掌握二次根式的化简及同类二次根式的合并.13.( 2016? 潍坊)计算:(+)=12.【分析】先把化简,再本括号内合并,然后进行二次根式的乘法运算.【解答】解:原式 = ?(+3)=×4=12 .算,然后合并同类二次根式.在二次根式的混合运算中,如能结合题目特点,灵活运用二次根式的性质,选择恰当的解题途径,往往能事半功倍.14.( 2016? 黄石)观察下列等式:第 1 个等式: a 1= = ﹣ 1,第 2 个等式: a 2= = ﹣,第 3 个等式: a 3= =2﹣,第 4 个等式: a 4= = ﹣ 2,按上述规律,回答以下问题:( 1)请写出第 n 个等式: a n= = ﹣;;( 2) a 1+a 2+a 3+ +a n = ﹣1 .【分析】( 1)根据题意可知,a 1= = ﹣1,a 2 = = ﹣,a 3= =2 ﹣,a 4== ﹣ 2,由此得出第 n 个等式: a n = = ﹣;( 2)将每一个等式化简即可求得答案.【解答】解:(1)∵第 1 个等式: a 1= = ﹣1,第 2 个等式: a 2= = ﹣,第 3 个等式: a 3= =2﹣,第 4 个等式: a 4= = ﹣2,∴第 n 个等式: a n= = ﹣;(2) a 1+a 2+a 3+ +a n=(﹣1)+(﹣)+(2﹣)+(﹣2)++(﹣)故答案为=﹣;﹣1.【点评】此题考查数字的变化规律以及分母有理化,要求学生首先分析题意,找到规律,并进行推导得出答案.15.已知 a 、b 为有理数, m 、n 分别表示的整数部分和小数部分,且amn+bn2=1,则2a+b= 2.5.【分析】只需首先对估算出大小,从而求出其整数部分 a ,其小数部分用﹣a表示.再分别代入 amn+bn 2=1 进行计算.【解答】解:因为 2<<3,所以2<5﹣<3,故m=2,n=5﹣﹣2=3﹣.把 m=2 ,n=3 ﹣代入amn+bn2=1得,2(3﹣)a+(3﹣)2b=1化简得( 6a+16b )﹣(2a+6b)=1,等式两边相对照,因为结果不含,所以 6a+16b=1且2a+6b=0,解得a=1.5,b=﹣0.5.所以 2a+b=3 ﹣0.5=2.5 .故答案为: 2.5.【点评】本题主要考查了无理数大小的估算和二次根式的混合运算.能够正确估算出一个较复杂的无理数的大小是解决此类问题的关键.16.已知: a <0,化简=﹣2.【分析】根据二次根式的性质化简.【解答】解:∵原式 =﹣=﹣又∵二次根式内的数为非负数∴a ﹣ =0∴a=1 或﹣ 1∵a <0∴a= ﹣ 1∴原式 =0﹣2= ﹣2.【点评】解决本题的关键是根据二次根式内的数为非负数得到 a 的值.17.设,,,,.设,则 S=(用含n的代数式表示,其中n 为正整数).【分析】由 S n =1++===,求,得出一般规律.【解答】解:∵ S n =1++===,∴==1+=1+﹣,∴S=1+1﹣ +1+ ﹣ + +1+ ﹣=n+1 ﹣==.故答案为:.【点评】本题考查了二次根式的化简求值.关键是由S n变形,得出一般规律,寻找抵消规律.三.解答题(共11 小题)18.( 2016? 泰州)计算或化简:﹣(3+);【解答】解:(1)﹣(3+)=﹣(+)=﹣﹣=﹣;【点评】本题考查了二次根式的加减法以及分式的混合运算,正确化简是解题的关键.19.( 2016? 盐城)计算:(3﹣)(3+)+(2﹣)【分析】利用平方差公式和二次根式的乘法法则运算.【解答】解:原式 =9 ﹣7+2﹣ 2=2.【点评】本题考查了二次根式的计算:先把各二次根式化为最简二次根式,再进行二次根式的乘除运算,然后合并同类二次根式.在二次根式的混合运算中,如能结合题目特点,灵活运用二次根式的性质,选择恰当的解题途径,往往能事半功倍.20.( 2016? 锦州)先化简,再求值:,其中x=﹣3﹣(π﹣3)0.【分析】先根据分式混合运算的法则把原式进行化简,再把化简后x 的值代入进行计算即可.【解答】解:,=÷,=×,=.x=﹣3﹣(π﹣3)0,=×4﹣﹣1,=2 ﹣﹣1,=﹣1.把 x=﹣1代入得到:==.即=.【点评】本题考查的是分式的化简求值,在解答此类题目时要注意通分及约分的灵活应用.21.计算:(+)×.【分析】首先应用乘法分配律,可得(+)×合运算顺序,先计算乘法,再计算加法,求出算式(【解答】解:(+)×= ×+×;然后根据二次根式的混+)×的值是多少即可.=×+×=1+9=10【点评】此题主要考查了二次根式的混合运算,要熟练掌握,解答此题的关键是要明确:①与有理数的混合运算一致,运算顺序先乘方再乘除,最后加减,有括号的先算括号里面的.②在运算中每个根式可以看做是一个“单项式”,多个不同类的二次根式的和可以看作“多项式”.22.计算:×(﹣)+|﹣2|+ ()﹣3.【分析】根据二次根式的乘法法则和负整数整数幂的意义得到原式=﹣+2+8 ,然后化简后合并即可.【解答】解:原式 =﹣+2 +8=﹣3 +2 +8=8﹣.【点评】本题考查了二次根式的计算:先把各二次根式化为最简二次根式,再进行二次根式的乘除运.算,然后合并同类二次根式.也考查了负整数整数幂、23.计算:(+1 )(﹣1)+﹣()0.【分析】先根据平方差公式和零指数幂的意义得到原式=3﹣ 1+2﹣1,然后进行加减运算.【解答】解:原式 =3﹣ 1+2﹣1=1+2.【点评】本题考查了二次根式的计算:先把各二次根式化为最简二次根式,再进行二次根式的乘除运算,然后合并同类二次根式.也考查了零指数幂.24.如图,实数 a 、b 在数轴上的位置,化简:.【分析】本题综合性较强,不仅要结合图形,还需要熟悉算术平方根的定义.【解答】解:由数轴知, a <0,且 b >0,∴a ﹣b <0,∴,=|a| ﹣|b|﹣[﹣(a﹣b)],=(﹣ a )﹣ b+a ﹣b ,=﹣2b .【点评】本小题主要考查利用数轴表示实数取值范围、二次根式的化简、代数式的恒等变形等基础知识,考查基本的代数运算能力.观察数轴确定 a 、 b 及 a ﹣ b 的符号是解答本题的关键,本题巧用数轴给出了每个数的符号,渗透了数形结合的思想,这也是中考时常考的知识点.本题考查算术平方根的化简,应先确定 a 、b 及 a ﹣b 的符号,再分别化简,最后计算.25.阅读材料,解答下列问题.例:当 a >0 时,如 a=6 则|a|=|6|=6,故此时a的绝对值是它本身;当 a=0 时, |a|=0 ,故此时 a 的绝对值是零;当 a <0 时,如 a= ﹣ 6 则|a|=| ﹣ 6|= ﹣(﹣ 6),故此时 a 的绝对值是它的相反数.∴综合起来一个数的绝对值要分三种情况,即,这种分析方法渗透了数学的分类讨论思想.问:( 1)请仿照例中的分类讨论的方法,分析二次根式的各种展开的情况;( 2)猜想与|a|的大小关系.【分析】应用二次根式的化简,首先应注意被开方数的范围,再进行化简.【解答】解:(1)由题意可得=;( 2)由( 1)可得:=|a|.【点评】本题主要考查二次根式的化简方法与运用:①当 a >0 时,=a ;②当 a < 0 时,= ﹣ a ;③当 a=0 时,=0.26.已知: a=,b=.求代数式的值.【分析】先求得 a+b=10 ,ab=1 ,再把求值的式子化为 a 与 b 的和与积的形式,将整体代入求值即可.【解答】解:由已知,得 a+b=10 ,ab=1 ,∴===.【点评】本题关键是先求出a+b 、ab 的值,再将被开方数变形,整体代值.27.阅读下列材料,然后回答问题.在进行二次根式的化简与运算时,我们有时会碰上如,,一样的式子,其实我们还可以将其进一步化简:(一)==(二)===﹣1(三)以上这种化简的步骤叫做分母有理化.还可以用以下方法化简:====﹣1(四)( 1)请用不同的方法化简.(2=;=.(3)化简:+++ +.【分析】(1 )中,通过观察,发现:分母有理化的两种方法:1、同乘分母的有理化因式;2、因式分解达到约分的目的;( 2)中,注意找规律:分母的两个被开方数相差是2,分母有理化后,分母都是2,分子可以出现抵消的情况.【解答】解:(1)=,=;.(2)原式= + +=++ +=.【点评】学会分母有理化的两种方法.28.化简求值:,其中.【分析】由 a=2+,b=2﹣,得到a+b=4,ab=1,且a>0,b>0,再把代数式利用因式分解的方法得到原式 =+,约分后得+,接着分母有理化和通分得到原式=,然后根据整体思想进行计算.【解答】解:∵ a=2+>0,b=2﹣>0,∴a+b=4 ,ab=1 ,∴原式=+=+=+=,当 a+b=4 ,ab=1 ,原式 =×=4.【点评】本题考查了二次根式的化简求值:先把各二次根式化为最简二次根式,再合并同类二次根式,然后把字母的值代入(或整体代入)进行计算.。
二次根式练习题及答案二次根式练题及答案(一)一、选择题(每小题2分,共24分)1.若在实数范围内有意义,则 $\sqrt{x-3}$ 的取值范围是()A。
$x\geq 3$ B。
$x>3$ C。
$x\leq 3$ D。
$x<3$2.在下列二次根式中。
$\sqrt{x-2}$ 的取值范围是 $x\geq2$ 的是() A。
$\sqrt{x-2}$ B。
$\sqrt{2-x}$ C。
$\sqrt{2+x}$ D。
$\sqrt{4-x^2}$3.如果 $x\geq 1$,那么 $\sqrt{x^2-2x+1}$ 的值是()A。
$1$ D。
无法确定4.下列二次根式,不能与$\sqrt{2}+\sqrt{3}$ 合并的是()A。
$\sqrt{2}+\sqrt{3}$ B。
$\sqrt{2}-\sqrt{3}$ C。
$\sqrt{3}-\sqrt{2}$ D。
$\sqrt{3}+\sqrt{2}$5.如果最简二次根式 $\sqrt{a}+\sqrt{b}$ 与 $\sqrt{a}-\sqrt{b}$ 能够合并,那么 $a$ 的值为()A。
2 B。
3 C。
4 D。
56.已知 $\sqrt{a}+\sqrt{b}=\sqrt{3}+\sqrt{2}$,则 $\sqrt{a}-\sqrt{b}$ 的值为()A。
$\sqrt{3}-\sqrt{2}$ B。
$\sqrt{2}-\sqrt{3}$ C。
$\sqrt{3}+\sqrt{2}$ D。
$\sqrt{2}+\sqrt{3}$7.下列各式计算正确的是()A。
$\sqrt{8}+\sqrt{12}=4\sqrt{2}+2\sqrt{3}$ B。
$\sqrt{5}+\sqrt{20}=3\sqrt{5}$ C。
$\sqrt{3}+\sqrt{2}=\sqrt{5}$ D。
$\sqrt{6}+\sqrt{3}=\sqrt{18}$8.等式 $\sqrt{x+3}-\sqrt{x-1}=2$ 成立的条件是()A。
二次根式 50 题(含解析)1.计算:2.先分解因式,再求值:b2-2b+1-a2,其中a=-3,b=+4.3.已知,求代数式(x+1)2-4(x+1)+4的值.4.先化简,再求值:.5.(1)计算:;(2)化简,求值:,其中x=-1.6.先化简、再求值:+,其中x=,y=.7.计算:(1)(-2)2+3×(-2)-()-2;(2)已知x=-1,求x2+3x-1的值.8.先化简,再求值:,其中.9.已知a=2+,b=2-,试求的值.10.先化简,再求值:,其中a=+1,b=.11.先化简,再求值:,其中,.12.先化简,再求值:,其中a=-1.13.先化简,再求值:(x+1)2-2x+1,其中x=.14.化简,将代入求值.15.已知:x=+1,y=-1,求下列各式的值.(1)x2+2xy+y2;(2)x2-y2.16.先化简,再求值:,其中.17.先化简,再求值:,其中.18.求代数式的值:,其中x=2+.19.已知a为实数,求代数式的值.20.已知:a=-1,求的值.21.已知x=1+,求代数式的值.22.先化简,再求值:,其中x=1+,y=1-.23.有这样一道题:计算-x2(x>2)的值,其中x=1005,某同学把“x=1 005”错抄成“x=1 050”,但他的计算结果是正确的,请回答这是怎么回事?试说明理由.24.已知:x=,y=-1,求x2+2y2-xy的值.25.已知实数x、y、a满足:,试问长度分别为x、y、a的三条线段能否组成一个三角形?如果能,请求出该三角形的面积;如果不能,请说明理由.26.我国古代数学家秦九韶在《数书九章》中记述了“三斜求积术”,即已知三角形的三边长,求它的面积.用现代式子表示即为:…①(其中a、b、c为三角形的三边长,s为面积).而另一个文明古国古希腊也有求三角形面积的海伦公式:s=…②(其中p=.)(1)若已知三角形的三边长分别为5,7,8,试分别运用公式①和公式②,计算该三角形的面积s;(2)你能否由公式①推导出公式②?请试试.27.(1)计算28.(2)解不等式组.29.已知a=+2,b=-2,则的值为()30.已知a=2,则代数式的值等于()31.已知x=,则代数式的值为()32.已知x=,则•(1+)的值是()33.若,则的值为()34.已知,则的值为()35.如果最简二次根式与是同类二次根式,则a=.36.若最简根式与是同类二次根式,则ab=.37.计算:①= ;②=.38.化简-= .39.化简-的结果是.40.计算:= .41.计算:+=.42.化简:= .43.化简:-+=.44.计算:= .45.先化简-(-),再求得它的近似值为(精确到0.01,≈1.414,≈1.732).46.化简:的结果为.47.计算:= .48.化简:= .49.化简:+(5-)=.50.计算:= .解析:1.解:原式=2+(2+)-(7+4)=--5.2.当a=-3,b=+4时,原式=×(+6)=3+6.3.解:原式=(x+1-2)2=(x-1)2,当时,原式==3.4.解:原式=-===.当时,=.5.解:(1)原式=4--4+2=;(2)原式===x+1,当x=-1时,原式=.6.解:原式=-===x-y,当x=,y=时,(2)方法一:当x=-1时,x2+3x-1=(-1)2+3(-1)-1=2-2+1+3-3-1=-1;方法二:因为x=-1,所以x+1=,所以(x+1)2=()2即x2+2x+1=2,所以x2+2x=1所以x2+3x-1=x2+2x+x-1=1+x-1=-1.8.解:原式====-x-4,当时,原式===.9.解:∵a=2+,b=2-,∴a+b=4,a-b=2,ab=1.而=,∴===8.10.原式==,∵∴.11.解:===,把,代入上式,得原式=.12.解:====;当a=-1时,原式====-(-1)=1.13.解:原式=x2+2x+1-2x+1=x2+2;当.14.解:原式=•=x-3;当x=3-,原式=3--3=.15.解:(1)当x=+1,y=-1时,原式=(x+y)2=(+1+-1)2=12;(2)当x=+1,y=-1时,原式=(x+y)(x-y)=(+1+-1)(+1-+1)=4.16.解:===x-2;当时,原式=.17.解:原式=a2-3-a2+6a=6a-3,当a=时,原式=6+3-3=6.18.解:原式=+=+=;当x=2+时,原式==.19.解:∵-a2≥0∴a2≤0而a2≥0∴a=0∴原式=.20.解:原式=,当a=-1时,原式=.21.解:原式=-==,当x=1+时,原式=.22.解:原式===;当x=1+,y=1-时,原式=.23.解:原式==+-x2=-x2=-2.∵化简结果与x的值无关,∴该同学虽然抄错了x的值,计算结果却是正确的.24.解:当时,x2+2y2-xy==.25.解:根据二次根式的意义,得,解得x+y=8,∴+=0,根据非负数的意义,得解得x=3,y=5,a=4,∴可以组成三角形,且为直角三角形,面积为6.26.解:(1)S=,=;P=(5+7+8)=10,又S=;(2)=(-)=,=(c+a-b)(c-a+b)(a+b+c)(a+b-c),=(2p-2a)(2p-2b)•2p•(2p-2c),=p(p-a)(p-b)(p-c),∴=.(说明:若在整个推导过程中,始终带根号运算当然也正确)27.解:27.(1)原式=3--+1=3--+1=+1;28.(2)由①得x+1>3-x,即x>1;由②得4x+16<3x+18,即x<2;不等式组的解集为1<x<2.29.解:原式=====5.30.解:当a=2时,=2-=2-=2-3-2=-3.31.解:=.32.当x=时,=-1,∴原式=1-()=2-.33.解:原式==•-•=a-b,34.解:∵a==,b==,∴==5.35.解:∵最简二次根式与是同类二次根式,∴3a-8=17-2a,解得:a=5.36.解:∵最简根式与是同类二次根式,∴,解得:,∴ab=1.37.解:①×===4;②-=2-=.38.解:原式=2-3=-.39.解:原式=2-=.故答案为:.40.解:原式=3-4+=0.41.解:原式=2+=3.42.解:原式=4-=3.43.(2010•聊城)化简:-+=.44.解:原式=2-=.45.解:原式=-(-)=-(-)=-+=3≈3×1.732≈5.196≈5.2046.解:原式=-20=-14.47.解:原式=2-3=-.48.解:=5.49.解:原式=+5-=5.50.解:原式=2-+=2.。
第十六章二次根式16.1二次根式---------第1课时二次根式的概念01基础题知识点1二次根式的定义1.下列式子不是二次根式的是( )A. 5B.3-πC.0.5D.1 32.下列各式中,一定是二次根式的是()A.-7B.3m C.1+x2D.2x3.已知a是二次根式,则a的值可以是 ( )A.-2 B.-1 C.2 D.-54.若-3x是二次根式,则x的值可以为 (写出一个即可).知识点2二次根式有意义的条件5.x取下列各数中的哪个数时,二次根式x-3有意义() A.-2 B.0 C.2 D.46.(2017·)要使二次根式2x-4在实数围有意义,则x的取值围是( ) A.x>2 B.x≥2 C.x<2 D.x=27.当x是怎样的实数时,下列各式在实数围有意义?(1)-x; (2)2x+6; (3)x2;(4)14-3x; (5)x-4x-3.知识点3二次根式的实际应用8.已知一个表面积为12 dm2的正方体,则这个正方体的棱长为( ) A.1 dm B. 2 dm C. 6 dm D.3 dm9.若一个长方形的面积为10 cm2,它的长与宽的比为5∶1,则它的长为 cm,宽为 cm. 02中档题A .1个B .2个C .3个D .4个11.(2017·)若2x -1+1-2x +1在实数围有意义,则x 满足的条件是( )A .x ≥12B .x ≤12C .x =12D .x ≠1212.使式子1x +3+4-3x 在实数围有意义的整数x 有( ) A .5个 B .3个 C .4个 D .2个13.如果式子a +1ab有意义,那么在平面直角坐标系中点A(a ,b)的位置在()A .第一象限B .第二象限C .第三象限D .第四象限 14.使式子-(x -5)2有意义的未知数x 的值有 个.15.若整数x 满足|x|≤3,则使7-x 为整数的x 的值是 . 16.要使二次根式2-3x 有意义,则x 的最大值是 . 17.当x 是怎样的实数时,下列各式在实数围有意义?(1)32x -1; (2)21-x; (3)1-|x|; (4)x -3+4-x.03 综合题18.已知a ,b 分别为等腰三角形的两条边长,且a ,b 满足b =4+3a -6+32-a ,求此三角形的周长.第2课时 二次根式的性质01 基础题知识点1 a ≥0(a ≥0)1.(2017·)已知实数m ,n 满足|n -2|+m +1=0,则m +2n 的值为 . 2.当x = 时,式子2 018-x -2 017有最大值,且最大值为 .3.把下列非负数写成一个非负数的平方的形式:(1)5= (2)3.4= ; (3)16= (4)x = (x ≥0).4.计算:( 2 018)2= . 5.计算:(1)(0.8)2; (2)(-34)2; (3)(52)2; (4)(-26)2.知识点3 a 2=a (a ≥0)6.计算(-5)2的结果是( )A .-5B .5C .-25D .257.已知二次根式x 2的值为3,那么x 的值是( )A .3B .9C .-3D .3或-38.当a ≥0时,化简:9a 2= . 9.计算:(1)49; (2)(-5)2; (3)(-13)2; (4)6-2.知识点4 代数式10.下列式子不是代数式的是( )A .3xB .3xC .x>3D .x -311.下列式子中属于代数式的有( )①0;②x ;③x +2;④2x ;⑤x =2;⑥x>2;⑦x 2+1;⑧x ≠2. A .5个 B .6个 C .7个 D .8个02 中档题12.下列运算正确的是( )A .-(-6)2=-6B .(-3)2=9C .(-16)2=±16D .-(-5)2=-2513.若a <1,化简(a -1)2-1的结果是( )A .a -2B .2-aC .aD .-a14.(2017·枣庄)实数a ,b 在数轴上对应点的位置如图所示,化简|a|+(a -b )2的结果是( )A .-2a +bB .2a -bC .-bD .b15.已知实数x ,y ,m 满足x +2+|3x +y +m|=0,且y 为负数,则m 的取值围是( )16.化简:(2-5)2= . 17.在实数围分解因式:x 2-5= .18.若等式(x -2)2=(x -2)2成立,则x 的取值围是 .19.若a 2=3,b =2,且ab <0,则a -b = . 20.计算:(1)-2(-18)2; (2)4×10-4;(3)(23)2-(42)2; (4)(213)2+(-213)2.21.比较211与35的大小.22.先化简a +1+2a +a 2,然后分别求出当a =-2和a =3时,原代数式的值.16.2 二次根式的乘除 第1课时 二次根式的乘法01 基础题知识点1 a ·b =ab (a ≥0,b ≥0)1.计算2×3的结果是( )A . 5B .6C .2 3D .3 22.下列各等式成立的是( )A .45×25=8 5B .53×42=20 5C .43×32=7 5D .53×42=20 63.下列二次根式中,与2的积为无理数的是( )A .12B .12C .18D .324.计算:8×12= . 5.计算:26×(-36)= . 6.一个直角三角形的两条直角边分别为a =2 3 cm ,b =3 6 cm ,那么这个直角三角形的面积为 cm 2. 7.计算下列各题:(1)3×5; (2)125×15; (3)(-32)×27; (4)3xy ·1y.知识点2 ab =a ·b (a ≥0,b ≥0) 8.下列各式正确的是( )A .(-4)×(-9)=-4×-9B .16+94=16×94C .449=4×49D .4×9=4×9 9.(2017·)下列各式化简后的结果是32的结果是( )A . 6B .12C .18D .3610.化简(-2)2×8×3的结果是( )A .224B .-224C .-4 6D .4 611.化简:(1)100×36= ; (2)2y 3= . 12.化简:(1)4×225; (2)300; (3)16y ; (4)9x 2y 5z.02中档题14.50·a的值是一个整数,则正整数a的最小值是( )A.1 B.2 C.3 D.515.已知m=(-33)×(-221),则有( )A.5<m<6 B.4<m<5 C.-5<m<-4 D.-6<m<-516.若点P(a,b)在第三象限,化简a2b2的结果是.17.计算:(1) 75×20×12; (2)(-14)×(-112);(3) -32×45×2; (4)200a5b4c3(a>0,c>0).18.交通警察通常根据刹车后车轮滑过的距离估计车辆行驶的速度,所用的经验公式是v=16df,其中v表示车速(单位:km/h),d表示刹车后车轮滑过的距离(单位:m),f表示摩擦因数,在某次交通事故调查中,测得d=20 m,f=1.2,肇事汽车的车速大约是多少?(结果精确到0.01 km/h)19.一个底面为30 cm×30 cm的长方体玻璃容器中装满水,现将一部分水倒入一个底面为正方形、高为10 cm的长方体铁桶中,当铁桶装满水时,容器中的水面下降了20 cm,铁桶的底面边长是多少厘米?第2课时 二次根式的除法01 基础题 知识点1a b=ab(a ≥0,b >0) 1.计算:10÷2=( )A . 5B .5C .52D .1022.计算23÷32的结果是( ) A .1B .23C .32D .以上答案都不对3.下列运算正确的是( )A .50÷5=10B .10÷25=22C .32+42=3+4=7D .27÷3=3 4.计算:123= .5.计算:(1)40÷5; (2)322; (3)45÷215; (4)2a 3b ab(a>0). 知识点2a b =ab(a ≥0,b >0) 6.下列各式成立的是( )A .-3-5=35=35 B .-7-6=-7-6 C .2-9=2-9D .9+14=9+14=3127.实数0.5的算术平方根等于( )A .2B . 2C .22D .128.如果(x -1)2=x -1,那么x 的取值围是( )9.化简:(1)7100; (2)11549; (3)25a49b2(b>0).知识点3 最简二次根式10.(2017·荆州)下列根式是最简二次根式的是( )A .13B .0.3C . 3D .2011.把下列二次根式化为最简二次根式:(1) 2.5; (2)85; (3)122; (4)2340.02 中档题12.下列各式计算正确的是( )A .483=16 B .311÷323=1 C .3663=22D .54a 2b6a=9ab13.计算113÷213÷125的结果是( ) A .275B .27C . 2D .2714.在①14;②a 2+b 2;③27;④m 2+1中,最简二次根式有 个. 15.如果一个三角形的面积为15,一边长为3,那么这边上的高为 . 16.不等式22x -6>0的解集是 . 17.化简或计算:(1)0.9×121100×0.36; (2) 12÷27×(-18); (3)27×123; (4)12x ÷25y.18.如图,在Rt △ABC 中,∠C =90°,S △ABC =18 cm 2,BC = 3 cm ,AB =3 3 cm ,CD ⊥AB 于点16.3 二次根式的加减 第1课时 二次根式的加减01 基础题知识点1 可以合并的二次根式1.(2016·)下列二次根式中,与3可以合并的是( )A .18B .13C .24D .0.32.下列各个运算中,能合并成一个根式的是( )A .12- 2B .18-8C .8a 2+2a D .x 2y +xy 23.若最简二次根式2x +1和4x -3能合并,则x 的值为( )A .-12B .34 C .2 D .54.若m 与18可以合并,则m 的最小正整数值是( ) A .18 B .8 C .4 D .2知识点2 二次根式的加减5.(2016·)计算35-25的结果是( )A . 5B .2 5C .3 5D .66.下列计算正确的是( )A .12-3= 3B .2+3= 5C .43-33=1D .3+22=5 27.计算27-1318-48的结果是( )A .1B .-1C .-3- 2D .2- 38.计算2+(2-1)的结果是( )A .22-1B .2- 2C .1- 2D .2+ 29.长方形的一边长为8,另一边长为50,则长方形的周长为 . 10.三角形的三边长分别为20 cm ,40 cm ,45 cm ,这个三角形的周长是 cm . 11.计算:(1)23-32; (2)16x +64x ; (3) 125-25+45; (4) 27-6-13.02 中档题12.若x 与2可以合并,则x 可以是( )A .0.5B .0.4C .0.2D .0.113.计算|2-5|+|4-5|的值是( )A .-2B .2C .25-6D .6-2 514.计算412+313-8的结果是( ) A.3+ 2B. 3C.33D.3- 215.若a ,b 均为有理数,且8+18+18=a +b 2,则a = ,b = . 16.已知等腰三角形的两边长分别为27和55,则此等腰三角形的周长为 .17.在如图所示的方格中,横向、纵向及对角线方向上的实数相乘都得出同样的结果,则两个空格中的实数之和为 .18.计算:(1)18+12-8-27;(2) b 12b 3+b 248b ; (3)(45+27)-(43+125);(4) 34(2-27)-12(3-2).第2课时二次根式的混合运算01基础题知识点1二次根式的混合运算1.化简2(2+2)的结果是( )A.2+2 2 B.2+2 C.4 D.3 2 2.计算(12-3)÷3的结果是( )A.-1 B.-3 C. 3 D.1 3.(2017·)计算:12+8×6的结果是.4.(2017·)计算:(24+16)×6=.5.计算:40+55=.6.计算:(1)3(5-2); (2)(24+18)÷2;(3)(2+3)(2+2); (4)(m+2n)(m-3n).知识点2二次根式与乘法公式7.(2017·)计算:(4+7)(4-7)的结果等于.8.(2016·)计算:613-(3+1)2=.9.计算:(1)(2-12)2; (2)(2+3)(2-3); (3)(5+32)2.10.(2016·)计算:(3-7)(3+7)+2(2-2).02中档题11.已知a=5+2,b=2-5,则a2 018b2 017的值为( )A.5+2 B.-5-2 C.1 D.-112.按如图所示的程序计算,若开始输入的n值为2,则最后输出的结果是( )A.14 B.16 C.8+5 2 D.14+ 2 13.计算:(1)(1-22)(22+1); (2)12÷(34+233);(3)(46-412+38)÷22; (4)24×13-4×18×(1-2)0.14.计算:(1)(1-5)(5+1)+(5-1)2; (2)(3+2-1)(3-2+1).15. 已知a=7+2,b=7-2,求下列代数式的值:(1)ab2+ba2; (2)a2-2ab+b2; (3)a2-b2.小专题(一) 二次根式的运算类型1 与二次根式有关的计算 1.计算:(1)62×136; (2)(-45)÷5145;(3)72-322+218; (4)(25+3)×(25-3).2.计算:(1)334÷(-12123); (2)(6+10×15)×3;(3)354×(-89)÷7115; (4)(12-418)-(313-40.5);(5)(32-6)2-(-32-6)2.3.计算:(1)(2 018-3)0+|3-12|-63; (2) |2-5|-2×(18-102)+32.类型2 与二次根式有关的化简求值4.已知a =3+22,b =3-22,求a 2b -ab 2的值.5.已知实数a ,b ,定义“★”运算规则如下:a ★b =⎩⎨⎧b (a ≤b ),a 2-b 2(a>b ),求7★(2★3)的值.6.已知x =2+3,求代数式(7-43)x 2+(2-3)x +3的值.7.(2017·襄阳)先化简,再求值:(1x +y +1x -y )÷1xy +y2,其中x =5+2,y =5-2.章末复习(一) 二次根式01 基础题知识点1 二次根式的概念及性质 1.(2016·黄冈)在函数y =x +4x中,自变量x 的取值围是( ) A .x >0 B .x ≥-4 C .x ≥-4且x ≠0 D .x >0且x ≠-4 2.(2016·)下列根式中,不是最简二次根式的是( ) A.10 B.8 C. 6D. 23.若xy <0,则x 2y 化简后的结果是( )A .x yB .x -yC .-x -yD .-x y知识点2 二次根式的运算4.与-5可以合并的二次根式的是( )A .10B .15C .20D .255.(2017·)下列运算正确的是( )A .2+3= 5B .22×32=6 2C .8÷2=2D .32-2=36.计算5÷5×15所得的结果是 .7.计算:(1)(2017·)2×(1-2)+8; (2)(43+36)÷23;(3)1232-275+0.5-3127; (4)(32-23)(32+23).知识点3 二次根式的实际应用8.两个圆的圆心相同,它们的面积分别是25.12和50.24.求圆环的宽度d.(π取3.14,结果保留小数点后两位)9.把-a-1a中根号外面的因式移到根号的结果是( ) A .-aB .- aC .--aD . a10.已知x +1x =7,则x -1x的值为( )A. 3 B .±2 C .± 3 D.711.在数轴上表示实数a 的点如图所示,化简(a -5)2+|a -2|的结果为 .12.(2016·)计算:32-82= .13.计算:(3+2)3×(3-2)3= . 14.已知x =5-12,则x 2+x +1= . 15.已知16-n 是整数,则自然数n 所有可能的值为 . 16.计算:(1)(3+1)(3-1)-16+(12)-1; (2)(3+2-6)2-(2-3+6)2.17.已知x =3+7,y =3-7,试求代数式3x 2-5xy +3y 2的值.。