仪器分析章节习题总结
- 格式:doc
- 大小:388.00 KB
- 文档页数:15
《仪器分析》课后习题答案参考第一章电位分析法1~4 略5.(1)pMg x=5.4(2)3.65×10-6– 4.98×10-66. -17%7. 4.27×10-4%8.(1)=5.4×10-4lg=-2.31=5.0×10-3(2) Cl- =1.0×10-2 mol/L9. pH x ==5.74R入=1011Ω10. Cx=8.03×10-4 mol/L第二章电重量分析和库仑分析法1. 1.64 V2. -1.342,0.2383. 1.08 V,0.4V,7333 s4. Co先析出,阴极电位应维持在-0.313 – -0.795V之间阴极电位应维持在-0.455 – -0.795V之间5 Bi:0.283-0.190V(vs.SHE);-0.005 - -0.098(vs. Ag/AgCl)Cu:0.310-0.159V(vs.SHE);0.022 - -0.129(vs. Ag/AgCl)Ag:0.739-0.444V(vs.SHE);0.451 – 0.156(vs. Ag/AgCl)控制阴极电位大于0.310V(vs.SHE),可以使Ag分离,Cu2+和BiO+不能分离。
6 ,7 , ,89.10. t= 4472s11 6.1×10-4 mol/Lpt阴极产生OH-,改变pH使副反应发生,故pt阴极应用玻璃砂芯套管隔离第三章 伏安法和极谱分析法1~3 略4. 当pH=7时,当pH=5时,5. (1) 线性回归方程: y =6.0733x + 0.3652(2)0.536 mmol/L6. M C x 41023.2-⨯=7. 22.7 μA8. 0.0879. 1.75 ×10-3mol/L10. -0.626 V11. 5.9×10-3第四章气相色谱法1~14 略15. 8.5%,20.6%,60.9%16. 2.15%,3.09%,2.75%,6.18%,85.84%17. (1)4.5, (2)48mL,(3)5.4min,(4)103,(5)1866,(6)1.07nm18. (1)8.6,(2)1.4419. (1)n有效(A) = 636.59n有效(B) = 676(2) 2 m20.(1)0.45 ,(2)7111121.(1)4,(2)4,(3),22. (1)3236,2898,2820,3261,(2)3054(3)0.33m第五章高效液相色谱法1~16 略17. 26.24%,27.26%18. 1600,6.7,7.3,1.1,0.8,7 m19. 0.63,2.38,2.65,4.034021,3099,2818,3394,595,1535,1486,217820. 5.1%21. 0.47%第六章原子发射光谱仪1~8 略9. 2.57 eV10. 0.573%。
第一章 气象色谱法1. 死时间tM2. 保留时间tR3. 调整保留时间t ’R4. 死体积VM5. 保留体积VR6. 调整保留体积7.相对保留值γ218.标准偏差σ9.半峰宽度Y1/2 10.峰底宽度Y1、若一个溶质的分配比为,计算它在色谱柱流动相中的质量分数(%)2、在一根色谱柱上分离苯和甲苯,保留时间分别为和,死时间为1min ,问:甲苯停留在固定相中的时间是苯的几倍?甲苯的分配系数是苯的几倍? (3,3)3、某色谱条件下,组分A 的分配比为4,死时间为30s ,求组分A 的保留时间(150s )4、下列哪些参数改变会引起相对保留值变化?A 、柱长B 、相比C 、柱温D 、流动相流速5、在气液色谱中,下列变化对溶质的保留体积几乎没有影响的是A 、改变载气流速B 、改变固定液化学性质C 、增加柱温D 、增加柱长E 、增加固定液的量例1 已知某组分峰Y =40s ,tR=400s 。
计算理论塔板数n 。
例2 已知一根1米长的色谱柱,neff =1600块,组份A 在柱上的调整保留时间为100s ,试求A 峰的半峰宽和Heff 。
例3 在一定条件下,两个组分的调整保留时间分别为85秒和100秒,要达到完全分离,即R= 。
计算需要多少块有效塔板。
若填充柱的塔板高度为 cm ,柱长是多少? 解: γ2,1= 100 / 85 =n 有效 = 16R2 [γ 2,1 / (γ 2,1 -1) ]2= 16× × / ) 2= 1547(块)L 有效 = n 有效·H 有效 = 1547× = 155 cm1600)40400(16)(1622===Y t n R 理'21/25.54() R t L n H Y n ==有效有效有效即柱长为米时,两组分可以得到完全分离。
例2 有一根1m长的柱子,分离组分1和2得到如图的色谱图。
图中横坐标l为记录笔走纸距离。
仪器分析与实验习题整理分析习题整理1.分析方法的选择性指该分析方法不受样品中基体共存物质干扰组分测定的程度12.提高信噪比,就是不但要提高仪器的灵敏度,还要设法降低噪声13.分析仪器的灵敏度就是一定置信水平下,待测组分能被仪器检出的最低量24.分析方法的检出限是指该分析方法在给定的置信度可以检出待测组分的最高浓度25.仪器分析方法的灵敏度和准确度都要比化学分析法高的多26.仪器分析的特点灵敏度比化学分析法要高,但准确度比分析化学低7.化学分析是以物质化学反应的分析方法,仪器分析是以物质的物理性质和物理化学性质为基础的分析方法8.对仪器灵敏度和检出限之间关系描述不正确的是灵敏度高则检出限必然低9.提高分析仪器性能的关键是提高仪器的信噪比1.摄谱法原子光谱定量分析是根据下列哪种关系建立的(I—光强,N 基—基态原子数,DS—分析线对黑度差,c—浓度,I—分析线强度,S—黑度)?DS-lgc2.以光栅作单色器的色散元件,若工艺精度好,光栅上单位距离的刻痕线数越多,则光栅色散率变大,分辨率增高3.用摄谱法进行光谱定性全分析时应选用下列哪种条件?先小电流,后大电流至试样烧完4.下列哪种仪器可用于合金的定性,半定量全分析测定原子发射光谱仪5.用发射光谱进行定性分析时,作为谱线波长的比较标尺的元素是铁6.在谱片板上发现某元素的清晰的10级线,且隐约能发现一根9级线,但未找到其它任何8级线,译谱的结果是既有10级线,又有9级线,该元素必存在7.当不考虑光源的影响时,下列元素中发射光谱谱线最为复杂的是Fe8.乳剂特性曲线,说法错误的是黑度S与曝光量H之间的关系可以用简单的数学公式描述9.原子发射光谱仪中光源的作用是提供足够能量使试样蒸发、原子化/离子化、激发10.带光谱是由下列哪一种情况产生的受激分子11.用原子发射光谱法直接分析海水中重金属元素时,应采用的光源是ICP光源12.原子发射光谱是由下列哪种跃迁产生的电热能使气态原子外层电子激发13.下面几种常用的激发光源中,激发温度最高的是电火花14.下面几种常用的激发光源中,背景最小的是直流电弧15.几种常用光源中,产生自吸现象最小的是等离子体光源16.矿物中微量Ag、Cu的发射光谱定性分析应采用的光源是直流电弧光源17.当浓度较高时进行原子发射光谱分析,其工作曲线(lgI~lgc)形状为直线下部向上弯曲18.电子能级差愈小,跃迁时发射光子的波长越长19.下面几种常用激发光源中,分析灵敏度最高的是高频电感耦合等离子体20.某摄谱仪刚刚可以分辨310.0305nm及309.9970nm的两条谱线,则用该摄谱仪可以分辨出的谱线组是Cr301.82─Ce301.88nm21.发射光谱定量分析选用的“分析线对”应是这样的一对线波长和激发电位都应接近22.用发射光谱法分析高纯稀土中微量稀土杂质,应选用大色散率的光栅光谱仪1.可以消除原子吸收法中的物理干扰的方法是采用标准加入法2.与火焰原子吸收法相比,无火焰原子吸收法的重要优点为试样用量少3.在原子吸收光谱法中,火焰原子化器与石墨炉原子化器相比较,应该是灵敏度要低,检出限却高4.空心阴极灯的主要操作参数是灯电流5.可以概述原子吸收光谱和原子荧光光谱在产生原理上的共同点是辐射能与气态基态原子外层电子的相互作用6.用原子吸收法测定元素M,试样的吸收值读数为0.435,现于9份试样溶液中加入1份100某10-6mol/L的标准溶液,测得吸收值为0.835,计算试样溶液中M的浓度是多少9.81某10-6mol/L7.原子荧光的量子效率是指单位时间发射的光子数与单位时间吸收激发光的光子数之比8.测定水样中Mg的含量,移取水样20.00mL置于50mL容量瓶中,加入HCl溶液酸化后,稀至刻度,选择原子吸收光谱法最佳条件,测得其吸光度为0.200,若另取20.00mL水样于50mL容量瓶中,再加入含Mg为2.00μg/mL的标准溶液1.00mL并用HCl溶液酸化后,5.某化合物在乙醇中lma某=287nm,在二氧六环中lma某=295nm,该吸收峰跃迁类型是n→p某6.双光束分光光度计与单光束...相比,其突出优点是可以抵消因光源的变化而产生的误差7.在310nm时,如果溶液的百分透射比是90%,在这一波长时的吸收值是0.058.某化合物的浓度为1.0某10-5mol/L,在lma某=380nm时,有透射比为50%,用1.0cm吸收池,则在该波长处的摩尔吸收系数ema某/[L/(mol某cm)]为3.0某1049.紫外-可见吸收光谱主要决定于分子的电子结构10.某化合物在乙醇中的lma某=240nm,ema某=13000L/(moL·cm),则该UV-VIS吸收谱带的跃迁类型是p→p某11.现有紫外-可见吸收光谱相互干扰的A和B两组分,它们的最大波长分别为lA和lB,若用双波长测定A组分的含量,则下面哪一种选择l1和l2的方法是正确的选l1等于lA,选l2使B组分在l2的吸光度和它在l1处的吸光度相等12.按一般光度法用空白溶液作参比溶液,测得某试液的透射比为10%,如果更改参比溶液,用一般分光光度法测得透射比为20%的标准溶液作参比溶液,则试液的透光率应等于50%13.下列四种化合物中,在紫外光区出现两个吸收带者是丙烯醛14.在一定波长处,用2.0cm比色皿测得某试液的透光度为60%,若改用3.0cm比色皿时,该试液的吸光度为0.3315.某化合物在lma某=356nm处,在乙烷中的摩尔吸收系数ema某=87,如果用1.0cm吸收池,该化合物在已烷中浓度为1.0某10-4mol/L,则在该波长处,它的百分透射比约为98%16.取2.00mL尿样,用试剂处理使其中的磷酸盐显色,并将处理液最后冲稀至100mL,取该溶液25.0mL,测得吸光度为0.428,另取25.0mL相同的溶液,并加入1.00mL含0.0500mg的磷酸盐标准溶液,测其吸光度为0.517。
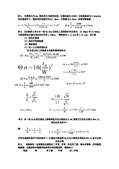
例1: 色谱柱长为2m ,固定相为5%的阿皮松,分离柱温为1000C ,记录纸速度为2.0cm/min 的色谱条件下,测定苯的保留时间为1.5min ,半峰宽为0.20cm ,求理论塔板数。
例2:已知物质A 和B 在一根30.0cm 长的柱上的保留时间分别为 16.40min 和17.63min ,不被保留组分通过该柱的时间为1.30min , 峰底宽为1.11 min 和1.21 min ,试计算(1)柱的分离度(2)柱的平均塔板数(3)塔板高度(4)达1.5分离所需柱长例3:在一根1m 长的色谱柱上测得两组分的分离度为0.68,要使它们完全分离以(R=1.5),则柱长应为多少?解: 即在其他操作条件不变的条件下,色谱柱长要选择5m 左右才能使分离度达R=1.5,组分达到完全分离例4: 准确称取一定质量的色谱纯对二甲苯、甲苯、苯及仲丁醇,混合后稀释,采用氢焰检测器,定量进样并测量各物质所对应的峰面积,数据如下:物质 苯 仲丁醇 甲苯 对二甲苯3221102.1)0.220.05.1(54.5)(54.5⨯===W t n R mm L H 7.1102.120003=⨯==n cm L 602=⇒m/μg 0.4720 0.6325 0.8149 0.4547A/cm2 2.60 3.40 4.10 2.20以仲丁醇为标准,计算各物质的相对质量校正因子例5:在一定条件下,两个组分的调整保留时间分别为85秒和100秒,要达到完全分离,即R =1.5 。
计算需要多少块有效塔板。
若填充柱的塔板高度为0.1 cm ,柱长是多少?即柱长为1.55米时,两组分可以得到完全分离例6:在一定条件下,如果两个组分的柱效均为n=3600块/m ,柱长为1m ,而保留时间分别为12.2s 和12.8s ,计算分离度。
要达到完全分离,即R =1.5,所需要的柱长例7:已知一色谱柱在某温度下的速率方程的A=0.08cm; B=0.65cm2/s; C=0.003s, 求最佳线速度u 和最小塔板高H.解: 欲求 u 最佳和H 最小,要对速率方程微分,即()2cm 40.36325.0g f m μ=仲丁醇()2cm ..10481490g f m μ=甲苯()()()061403632501048149022.....==='cm gcm gf f f m m m μμ仲丁醇甲苯甲苯()06163250814********.....m m m=⨯=⨯=='(仲丁醇)(甲苯)(甲苯)(仲丁醇)(仲丁醇)(甲苯)甲苯m m A A f f f ()()101980..='='对二甲苯苯mm f f minH u op →C B u op =BCA H 2min +=18.185100'1'2==R R t t =α)(154718.018.15.1161162222块=⎪⎭⎫ ⎝⎛⨯⨯=⎪⎭⎫ ⎝⎛-=ααR n eff cmH n L eff eff eff 1551.01547=⨯=⋅=8533.036008.12448133.036002.12442211=⨯===⨯==n t W n t W R b R b 72.08133.08533.0)2.128.12(2=+-⨯=R m L R R L 34.4172.05.1212122=⨯⎪⎭⎫ ⎝⎛=⨯⎪⎪⎭⎫ ⎝⎛=cmBC A H s cm C B u op 1683.0003.065.0208.02/7.14003.065.0min =⨯+=+====如何根据具体情况改进分离度A α太小,两组分未分开应改变固定相极性,降低柱温B k 太小,n 也太小,应增大固定液用量,降低柱温C n 太小,许多组分未分开应设法降低板高,提高柱效例:十八烷基硅烷键合相(简称ODS或C18):是最常用的非极性键合相。
仪器分析经典习题及答案汇总1为什么物体对光选择性吸收?答:因为物体分子的总能量: E=Ee +Ev+ErEe、Ev 、Er分别为分子的电子能、振动能和转动能。
而能级差△E= E1-E所以当光与物质分子相互作用时,分子吸收光能并不是连续的,而是具有量子化的特征。
只有满足当光的能量hν等于物体分能级差子的能级差即hν= E’-E=△E时,分子才能吸收光能,有较低的能级E跃迁到较高的能级E’,所以物体对光选择性吸收。
2价电子跃迁的基本类型及其特点?答:价电子跃迁的基本类型有:σ→σ*跃迁, n →σ*跃迁,π→π*跃迁,n→π*跃迁四种。
特点:(1)σ→σ*跃迁所需能量△E大,约为800KJ/mol,吸收波长λmax小于150nm即在远紫外有吸收,属于这类跃迁的有机分子有烷烃。
(2)n→σ*跃迁所需能量△E较大,吸收波长λmax较小,小于185nm,吸收峰的吸收系数ε较低,有孤对电子的含O,N,S和卤素等杂原子的饱和烃的衍生物可发生此类跃迁。
(3)π→π*跃迁所需能量△E较小,小于725 KJ/mol,吸收波长λmax较大,大于165 nm,ε在近紫外-可见光有吸收,ε大,103-106,不饱和烃、共轭烯烃和芳香烃类都可发生此类跃迁,并随共轭链的增长,△E减少,λmax增大。
(4)n→π*跃迁所需能量△E最小,小于420 KJ/mol,吸收波长λmax最大,大于280 nm,在近紫外-可见光区有吸收,摩尔吸收系数ε小,小于103,在分子中含有孤对电子和π键同时存在时,发生此类跃迁。
3溶剂效应对紫外光谱的影响?为什么?答:(1)溶剂的极性对蓝外光谱的影响很大,极性溶剂可使n→π*跃迁向低波长方向移动,成为蓝移,浅色效应;使π→π*跃迁向高波长方向移动,发生红移,即深色效应;(1)溶剂的酸碱性对吸收光谱的影响也很大,如苯胺在酸性溶液中接受H+成铵离子,渐渐失去n电子使n→π*跃迁带逐渐削弱,即胺基与本环的共轭体系消失,吸收谱带蓝移;苯酚在碱性溶液中失去H+成负氧离子,形成一对新的非键电子,增加了羟基与苯环的共轭效应,吸收谱带红移,所以当溶液由中性变为酸性时,若谱带发生蓝移,应考虑到可能有氨基与芳环的共轭结构存在;当溶液由中性变为碱性时,若谱带发生红移,应考虑到可能有羟基与芳环的共轭结构存在。
仪器分析课后习题答案第二章光学分析法导论(书后习题参考答案)1. 已知1电子伏特=1. 602×10-19J ,试计算下列辐射波长的频率(以兆赫为单位),波数(以cm -1为单位)及每个光子的能量(以电子伏特为单位):(1)波长为900pm 的单色X 射线;(2)589.0nm 的钠D 线;(3)12.6μm 的红外吸收峰;(4)波长为200cm 的微波辐射。
解:已知1eV=1.602×10-19J, h =6.626×10-34J·s, c =3.0×108m·s -1 ①λ=900pm 的X 射线1712810333.310900100.3?=??==-λcv Hz ,即3.333×1011MHz 71010111.11090011?=?==-λσcm -11617341008.210333.310626.6--?===hv E J用eV 表示,则319161910378.110602.11008.210602.1?=??=?=---hv E eV②589.0nm 的钠D 线149810093.5100.589100.3?=??==-λcv Hz ,即5.093×108MHz 4710698.1100.58911?=?==-λσcm -119143410375.310093.510626.6--?===hv E J用eV 表示,则107.210602.11075.310602.1191919=??=?=---hv E eV③12.6μm 的红外吸收峰136810381.2106.12100.3?=??==-λcv Hz ,即2.381×107MHz 2410937.7106.1211?=?==-λσcm -120133410578.110381.210626.6--?===hv E J用eV 表示,则219201910850.910602.110578.110602.1----?=??=?=hv E eV④波长为200cm 的微波辐射8281050.110200100.3?=??==-λcv Hz ,即1.50×102MHz 31000.520011-?===λσcm -12683410939.91050.110626.6--?===hv E J用eV 表示,则719261910204.610602.110939.910602.1----?=??=?=hv E eV2. 一个体系包含三个能级,如果这三个能级的统计权重相同,体系在300K温度下达到平衡时,试计算在各能级上的相对分布(N i /N ).能级的相对能量如下。
仪器分析答案完整版(⾃⼰整理的)第⼆章习题解答1.简要说明⽓相⾊谱分析的基本原理借在两相间分配原理⽽使混合物中各组分分离。
⽓相⾊谱就是根据组分与固定相与流动相的亲和⼒不同⽽实现分离。
组分在固定相与流动相之间不断进⾏溶解、挥发(⽓液⾊谱),或吸附、解吸过程⽽相互分离,然后进⼊检测器进⾏检测。
2.⽓相⾊谱仪的基本设备包括哪⼏部分?各有什么作⽤?⽓路系统.进样系统、分离系统、温控系统以及检测和记录系统.⽓相⾊谱仪具有⼀个让载⽓连续运⾏管路密闭的⽓路系统.进样系统包括进样装置和⽓化室.其作⽤是将液体或固体试样,在进⼊⾊谱柱前瞬间⽓化,然后快速定量地转⼊到⾊谱柱中.3.当下列参数改变时:(1)柱长缩短,(2)固定相改变,(3)流动相流速增加,(4)相⽐减少,是否会引起分配系数的改变?为什么?答:固定相改变会引起分配系数的改变,因为分配系数只于组分的性质及固定相与流动相的性质有关.所以(1)柱长缩短不会引起分配系数改变(2)固定相改变会引起分配系数改变(3)流动相流速增加不会引起分配系数改变(4)相⽐减少不会引起分配系数改变5.试以塔板⾼度H做指标,讨论⽓相⾊谱操作条件的选择.解:提⽰:主要从速率理论(van Deemer equation)来解释,同时考虑流速的影响,选择最佳载⽓流速.P13-24。
(1)选择流动相最佳流速。
(2)当流速较⼩时,可以选择相对分⼦质量较⼤的载⽓(如N2,Ar),⽽当流速较⼤时,应该选择相对分⼦质量较⼩的载⽓(如H2,He),同时还应该考虑载⽓对不同检测器的适应性。
(3)柱温不能⾼于固定液的最⾼使⽤温度,以免引起固定液的挥发流失。
在使最难分离组分能尽可能好的分离的前提下,尽可能采⽤较低的温度,但以保留时间适宜,峰形不拖尾为度。
(4)固定液⽤量:担体表⾯积越⼤,固定液⽤量可以越⾼,允许的进样量也越多,但为了改善液相传质,应使固定液膜薄⼀些。
(5)对担体的要求:担体表⾯积要⼤,表⾯和孔径均匀。
仪器分析课后习题(参考)(部分)第一章绪论1.仪器分析有哪些分析方法请加以简述。
答:a.光学分析法 b.电化学分析法 c.分离分析法 d.其它分析方法。
光学分析法:分为非光谱法和光谱法。
非光谱法是不涉及物质内部能级跃迁,通过测量光与物质相互作用时其散射、折射等性质变化,从而建立起分析方法的一类光学测定法。
光谱法是物质与光相互作用时,物质内部发生的量子化的能级间的跃迁,从而测定光谱的波长和强度而进行的分析方法。
电化学分析方法:利用待测组分的电化学性质进行测定的一类分析方法。
分离分析方法:利用样品中共存组分间溶解能力、亲和能力、吸附和解析能力、迁移速率等方面的差异,先分离,后按顺序进行测定的一类分析方法。
其它仪器分析方法和技术:利用生物学、动力学、热学、声学、力学等性质测定的一类分析方法。
3.仪器分析的联用技术有何显着优点答:多种现代分析技术的联用,优化组合,使各自的优点得到发挥,缺点得到克服,尤其是仪器与现代计算机技术智能融合,实现人机对话,不断开拓了一个又一个的研究领域。
第二章分子分析方法2.为什么分子光谱总是带状光谱答:因为当分子发生电子能级跃迁时,必须伴随着振动能级和转动能级的跃迁,而这些振动的能级和转动的能级跃迁时叠加在电子跃迁之上的,所以是带状光谱。
4.有机化合物分子电子跃迁有哪几种类型那些类型的跃迁可以在紫外可见光区吸收光谱中反映出来答:б→б*、П→б*、n→б*、n→б*、n→П*、П→П*。
其中n→б*、n→П*、П→П*类型的跃迁可以在紫外可见光区吸收光谱中反映出。
5.何谓生色团、助色团、长移、短移、峰、吸收曲线、浓色效应,淡色效应、向红基团、向蓝基团答:深色团:分子中能吸收特定波长的光的原子团或化学键。
助色团:与生色团和饱和烃相连且使吸收峰向长波方向移动,并使吸收强度增强的原子或原子团,如:-OH、-NH2。
长移:某些有机物因反应引入含有未珙县电子对的基团,使吸收峰向长波长的移动的现象。
仪器分析各个章节小结仪器分析是对于物质进行定性、定量和结构分析的一种方法。
它是近几十年来发展迅猛的一门科学,已经成为当代化学、生物学、药学和地球科学等各类研究工作中不可缺少的分析技术。
在仪器分析课程中,涵盖了许多章节,如下。
第一章:分光光度法分光光度法是利用物质对光的吸收作用来分析物质的一种方法。
该方法是一种非常常用、快速准确的分析方法,可以用于测定有机和无机物质,例如测量肝素、胆固醇、蛋白质、染料、金属离子等的浓度。
分光光度法的测定方法有单波长法、多波长法和倒置分光光度法等。
单波长法测定速度快,但多波长法测定的结果更加准确。
第二章:原子吸收光谱法原子吸收光谱法利用物质吸收特定波长的光来分析物质的成分和浓度,这种方法是一种分析化学的经典技术。
原子吸收光谱法的主要优势是其选择性、准确性和精确程度都比较高。
原子吸收光谱法的应用范围广泛,可以用于测定钠、钾、镁、铜、铅、锌等元素的含量。
第三章:荧光分析法荧光分析法是利用物质对光的荧光特性来分析物质的一种方法。
这种方法对于非常微小的样本也具有极高的灵敏度,可以用于检测基于荧光信号的分子诊断,荧光标记的细胞和生物分子等。
在荧光分析法的范畴中,有几种不同的方法,包括比色融合法、固相光谱法和时间分辨荧光光谱法等。
每种方法都有其独特的应用领域和优劣点。
第四章:分析色谱法分析色谱法是一种广泛应用于分析化学、生物化学和环境科学中的方法。
该方法是通过将样品通过色谱柱来分离各种成分,再用检测器来检测成分的浓度来进行分析。
分析色谱法包括气相色谱法、液相色谱法和毛细管电泳法等。
它们的使用范围广泛,涉及到生物和药物的分析、环境监测等方面。
第五章:电化学分析法电化学分析方法是利用电化学反应的原理进行定量分析的方法。
在电化学分析领域中,包括电位滴定法、极谱法和循环伏安法等多种方法。
电化学分析法的优点在于对物质进行非常精确的定量分析,对样品的形状和大小没有要求。
这种方法可以应用于分析化学、电化学和材料科学中的很多方面。
课后部分练习答案第3章紫外-可见分光光度法Ui-visP503.1分子光谱如何产生?与原子光谱的主要区别它的产生可以看做是分子对紫外-可见光光子选择性俘获的过程,本质上是分子内电子跃迁的结果。
区别:分子光谱法是由分子中电子能级、振动和转动能级的变化产生的,表现形式为带光谱;原子光谱法是由原子外层或内层电子能级的变化产生的,它的表现形式为线光谱。
3.2说明有机化合物紫外光谱产生的原因,其电子跃迁有那几种类型?吸收带有那几种类型?有机化合物的紫外-可见光谱决定于分子的结构和分子轨道上电子的性质。
有机化合物分子的特征吸收波长(λmax)决定于分子的激发态与基态之间的能量差跃迁类型与吸收带σ→σ* 发生在远紫外区,小于200nmn →σ* 吸收峰有的在200nm附近,大多仍出现在小于200nm 区域π→π* 一般在200nm左右,发生在任何具有不饱和键的有机化合物分子n →π* 一般在近紫外区,发生在含有杂原子双键的不饱和有机化合物中。
3.3在分光光度法中,为什么尽可能选择最大吸收波长为测量波长?因为在实际用于测量的是一小段波长范围的复合光,由于吸光物质对不同波长的光的吸收能力不同,就导致了对Beer定律的负偏离。
吸光系数变化越大,偏离就越明显。
而最大吸收波长处较平稳,吸光系数变化不大,造成的偏离比较少,所以一般尽可能选择最大吸收波长为测量波长。
3.5分光光度法中,引起对Lambert-Beer定律偏移的主要因素有哪些?如何让克服这些因素的影响偏离Lambert-Beer Law的因素主要与样品和仪器有关。
样品:(1)浓度(2)溶剂(3)光散射的影响;克服:稀释溶液,当c <0.01mol/L时, Lambert-Beer定律才能成立仪器:(1)单色光(2)谱带宽度;克服:Lambert-Beer Law只适用于单色光,尽可能选择最大吸收波长为测量波长3.9 按照公式A=-lgT计算第5章分子发光分析法P1085.3(b)的荧光量子率高,因为(b)的化合物是刚性平面结构,具有强烈的荧光,这种结构可以减少分子的振动,使分子与溶剂或其他溶质分子的相互作用减少,即减少了碰撞失活的可能性5.4苯胺的荧光在10时更强,苯胺在酸性溶液中易离子化,单苯环离子化后无荧光;而在碱性溶液中以分子形式存在,故显荧光。
课后习题答案第一章:绪论1.解释下列名词:(1)仪器分析和化学分析;(2)标准曲线与线性范围;(3)灵敏度、精密度、准确度和检出限。
答:(1)仪器分析和化学分析:以物质的物理性质和物理化学性质(光、电、热、磁等)为基础的分析方法,这类方法一般需要特殊的仪器,又称为仪器分析法;化学分析是以物质化学反应为基础的分析方法。
(2)标准曲线与线性范围:标准曲线是被测物质的浓度或含量与仪器响应信号的关系曲线;标准曲线的直线部分所对应的被测物质浓度(或含量)的范围称为该方法的线性范围。
(3)灵敏度、精密度、准确度和检出限:物质单位浓度或单位质量的变化引起响应信号值变化的程度,称为方法的灵敏度;精密度是指使用同一方法,对同一试样进行多次测定所得测定结果的一致程度;试样含量的测定值与试样含量的真实值(或标准值)相符合的程度称为准确度;某一方法在给定的置信水平上可以检出被测物质的最小浓度或最小质量,称为这种方法对该物质的检出限。
第三章光学分析法导论1.解释下列名词:(1)原子光谱和分子光谱;(2)原子发射光谱和原子吸收光谱;(3)统计权重和简并度;(4)分子振动光谱和分子转动光谱;(5)禁戒跃迁和亚稳态;(6)光谱项和光谱支项;(7)分子荧光、磷光和化学发光;(8)拉曼光谱。
答:(1)由原子的外层电子能级跃迁产生的光谱称为原子光谱;由分子的各能级跃迁产生的光谱称为分子光谱。
(2)当原子受到外界能量(如热能、电能等)的作用时,激发到较高能级上处于激发态。
但激发态的原子很不稳定,一般约在108 s内返回到基态或较低能态而发射出的特征谱线形成的光谱称为原子发射光谱;当基态原子蒸气选择性地吸收一定频率的光辐射后跃迁到较高能态,这种选择性地吸收产生的原子特征的光谱称为原子吸收光谱。
(3)由能级简并引起的概率权重称为统计权重;在磁场作用下,同一光谱支项会分裂成2J+1个不同的支能级,2J+1称为能级的简并度。
(4)由分子在振动能级间跃迁产生的光谱称为分子振动光谱;由分子在不同的转动能级间跃迁产生的光谱称为分子转动光谱。
第一章、绪论1、了解分析化学发展的过程阶段一:16世纪天平的出现,分析化学具有了科学的内涵20世纪初,依据溶液中四大反应平衡理论,形成分析化学理论基础。
第一次变革,20世纪40年代前,化学分析占主导地位,仪器分析种类少与精度低。
阶段二:20世纪40年代后,仪器分析的大发展时期第二次变革,仪器分析的发展。
阶段三:八十年代处初,以计算机应用为标志的分析化学第三次变革2、掌握仪器分析的分类与发展特点分类:电化学分析法、光学分析法、色谱分析法、其它仪器分析法。
发展特点:提高灵敏度,解决复杂体系的分离问题,微型化及微环境的表征与测量,扩展时空多维信息,形态、状态分析及表征,生物大分子及生物活性物质的表征与测定,非破坏性检测与遥测,自动化及智能化。
3、分析仪器的性能应从哪些方面进行评价?精密度:标准偏差、相对标准偏差、方差、变异系数误差:绝对误差、相对误差灵敏度:校正灵敏度、分析灵敏度检测限:空白加3倍的空白标准偏差线性范围:可以分析的浓度范围选择性:选择性系数4、仪器分析常用的校正方法?各有何特点?标准曲线法:标准物配制浓度要准确,标准基体与样品基体一致标准加入法:基体相近,基体干扰相同,但适用于小数量的样品分析内标法:克服或减少仪器或方法的不足等引起的随机误差或系统误差5、了解分析仪器的组成部分信号发生器——(分析信号)——检测器——(输入信号)——信号处理器——读出装置6、内标元素与分析线对选择的条件?内标元素应是原来试样中不含或含量少的元素,内标物的激发电位应与分析线相同或尽量相近,内标元素的待测元素应具有相近的电离电位,两条谱线的波长应接近,分析线对附近的背景干扰应尽量小第二章:离心与电泳技术1、理解相对离心力场(g)与沉降系数(s)的物理意义。
相对离心力场:转头所产生的最大离心力场是重力场的多少倍。
沉降系数:单位离心力场的沉降速度。
迁移率:单位电场强度下电荷移动速率,取决于物质本身。
2、掌握梯度离心的原理、优点与梯度材料选择条件。
第八章电位法和永停滴定法 - 章节小结1.基本概念指示电极:是电极电位值随被测离子的活(浓)度变化而变化的一类电极。
参比电极:在一定条件下,电极电位基本恒定的电极。
膜电位:跨越整个玻璃膜的电位差。
不对称电位:在玻璃电极膜两侧溶液pH相等时,仍有1mV~3mV的电位差,这一电位差称为不对称电位。
是由于玻璃内外两表面的结构和性能不完全相同,以及外表面玷污、机械刻划、化学腐蚀等外部因素所致的。
酸差:当溶液pH<1时,pH测得值(即读数)大于真实值,这一正误差为酸差。
碱差:当溶液pH>9时,pH测得值(即读数)小于真实值,这一负误差为碱差,也叫钠差。
转换系数:指当溶液pH每改变一个单位时,引起玻璃电极电位的变化值。
离子选择电极:一般由电极膜(敏感膜)、电极管、内充溶液和内参比电极四个部分组成。
电位选择性系数:在相同条件下,同一电极对X和Y离子响应能力之比,亦即提供相同电位响应的X和Y离子的活度比。
可逆电对:电极反应是可逆的电对。
此外还有相界电位、液接电位、原电池、残余液接电位。
2.基本理论(1)pH玻璃电极:①基本构造:玻璃膜、内参比溶液(H+与Cl-浓度一定)、内参比电极(Ag-AgCl电极)、绝缘套;②膜电位产生原理及表示式:;③玻璃电极作为测溶液pH的理论依据。
(2)直接电位法测量溶液pH:①测量原理。
②两次测量法。
pHs要准,而且与pHx差值不大于3个pH单位,以消除液接电位。
(3)离子选择电极:①基本构造:电极膜、电极管、内参比溶液、内参比电极;②分类:原电极、敏化电极;③响应机理及电位选择性系数;④测量方法:两次测量法、校正曲线法、标准加入法。
(4)电位滴定法:以电位变化确定滴定终点(E-V曲线法、曲线法、曲线法)。
(5)永停滴定法:以电流变化确定滴定终点,三种电流变化曲线及终点确定。
第九章光谱分析法概论 - 章节小结1.基本概念电磁辐射:是一种以巨大速度通过空间而不需要任何物质作为传播媒介的光子流。
第一章 气象色谱法1. 死时间tM2. 保留时间tR3. 调整保留时间t ’R4. 死体积VM5. 保留体积VR6. 调整保留体积7.相对保留值γ218.标准偏差σ9.半峰宽度Y1/2 10.峰底宽度Y 1、若一个溶质的分配比为,计算它在色谱柱流动相中的质量分数%2、在一根色谱柱上分离苯和甲苯,保留时间分别为和,死时间为1min,问:甲苯停留在固定相中的时间是苯的几倍甲苯的分配系数是苯的几倍 3,33、某色谱条件下,组分A 的分配比为4,死时间为30s,求组分A 的保留时间150s4、下列哪些参数改变会引起相对保留值变化A 、柱长B 、相比C 、柱温D 、流动相流速 5、在气液色谱中,下列变化对溶质的保留体 积几乎没有影响的是A 、改变载气流速B 、改变固定液化学性质C 、增加柱温D 、增加柱长E 、增加固定液的量例1 已知某组分峰Y =40s,tR=400s;计算理论塔板数n;例2 已知一根1米长的色谱柱,neff =1600块,组份A 在柱上的调整保留时间为100s,试求A 峰的半峰宽和Heff;例3 在一定条件下,两个组分的调整保留时间分别为85秒和100秒,要达到完全分离,1600)40400(16)(1622===Y t n R 理'21/25.54() R t Ln H Y n ==有效有效有效即R= ;计算需要多少块有效塔板;若填充柱的塔板高度为 cm,柱长是多少解:γ2,1= 100 / 85 =n有效 = 16R2 γ 2,1 / γ 2,1 -1 2= 16× × / 2= 1547块L有效 = n有效·H有效 = 1547× = 155 cm即柱长为米时,两组分可以得到完全分离;例2 有一根1m长的柱子,分离组分1和2得到如图的色谱图;图中横坐标l为记录笔走纸距离;若欲得到 R=的分离度,有效塔板数应为多少色谱柱要加到多长解:先求出组分2对组分1的相对保留值r2,11从图中可以看出,tR2=17min, Y2=1min,所以; n = 16tR2/Y22 =46242 t’R1= tR1- tM =14-1=13min t’R2=tR2 – tM = 17-1 = 16min3相对保留值α = t’R2/t’R1=16/13neff=16t’R2/Y2=4096Heff=L/neff=3/4096根据公式:L=16R2 Heff =162 16/13/16/13-12 ×3/4096 = 另一种算法25、丙烯和丁烯的混合物进入气相色谱柱得到如下数据组分保留时间/min峰宽/min空气丙烯P丁烯B计算:1丁烯的分配比是多少2丙烯和丁烯的分离度是多少解: 1kB= t’RB/tM = 2 R = tRB-tRP×2/YB+YP= ×2/ + =例6 已知物质A和B在一个柱上的保留时间分别为和分钟;不被保留组分通过该柱的时间为分钟,峰宽为和,计算:1 柱的分辨本领;2 柱的平均塔板数;3 塔板高度;4 达到分离度所需的柱长度;解: 1 R=2 2 nA=162=3493nB=162=3397nav=3493+3397/2=34453 H=L/n=3445=×10-3cm=×10-3cm4 n1/n2=R1/R22n2=3445×=×103L= nH =×103××10-3=7 、已知某色谱柱的理论塔板数为3600,组分A和B在该柱上的保留时间为27mm和30mm,求两峰的峰底宽和分离度;Y1=27/3600/161/2= mmY2=30/3600/161/2= mmR=230-27/+2=6/=例8 已知一色谱柱在某温度下的速率方程的A=; B=s; C=, 求最佳线速度μ和最小塔板高H;解: 欲求 u最佳和H最小,要对速率方程微分,即dH/dμ=dA+B/μ +Cμ/dμ=-B/μ 2+C=0最佳线速: u最佳=B/C1/2最小板高: H最小=A+2BC1/2可得μ最佳=1/2=sH最小=+2×1/2=例题:60℃时在角鲨烷柱上正己烷,正庚烷和某组分的调整保留时间分别为、、,求该组分的保留指数,并确定该组分是什么物质;解:由于tR’6=,tR’7=,tR’x=,n=6Ix=1006+lg tR’x -lg tR’6/ lg tR’7-lg tR’6=100×6+-/=644与文献值比较,可知该组分为苯;解:先利用峰高乘以半峰宽计算各峰面积,然后利用归一化法求各组分质量分数;根据公式A=hY1/2, 求得各组分峰面积分别为:; ; ;从而求得各组分质量分数分别为:苯酚:%; 邻甲酚:%; 间甲酚:%;对甲酚:%例将纯苯与某组分A配成混合液,进行气相色谱分析,苯的样品量为μg时,峰面积为,组分A的样品量为μg时的峰面积为 ,求组分A以苯为标准时的相对校正因子;例一、分析乙醛和丙酮的混合试样,取1μL试样进行色谱分析,乙醛的峰面积为,丙酮的峰面积为;制备纯乙醛和丙酮的标准溶液时,称取乙醛,丙酮,混合后取1μL该混合物进行色谱分析,测得乙醛和丙酮的峰面积分别为和;计算试样中乙醛和丙酮的质量分数;解:单点校正法;P55公式标准溶液中:乙醛:ωs=+=56%丙酮:ωs=+=44%所以:样品中乙醛:ωi=56%/×=%丙酮:ωi=44% /×=%1、当色谱峰的半峰宽为2mm,保留时间为,死时间为1min,色谱柱长为2m,记录仪纸速为2cm/min,计算色谱柱的理论塔板数,塔板高度以及有效理论塔板数,有效塔板高度;2、用一根2米长色谱柱将两种药物A和B分离,实验结果如下:空气保留时间30秒,A 与B的保留时间分别为230秒和250秒,B峰峰宽为25秒;求该色谱柱的理论塔板数,两峰的分离度;若将两峰完全分离,柱长至少为多少第二章、高效液相色谱法1、梯度洗脱与程序升温的区别梯度洗提的实质是通过不断改变流动相的强度,来调整混合样品中个组分的k值,使所有谱带都以最佳平均k值通过色谱柱;流动相强度包括溶质的极性、pH值和离子强度等;它所起的作用与气相色谱中的程序升温相仿,所不同的是梯度洗提中溶质k值的变化是通过溶剂的极性、 pH值和离子强度来实现的,而不是借改变温度来达到的;2、液相色谱法的流动相极性顺序,流动相极性与样品洗脱顺序的关系正相色谱——固定液极性 > 流动相极性NLLC对于亲水性固定液,采用疏水性流动相,即流动相的极性小于固定液的极性;极性小的组分先出柱,极性大的组分后出柱适于分离极性组分;反相色谱——固定液极性 < 流动相极性RLLC极性大的组分先出柱,极性小的组分后出柱,适于分离非极性组分;3、液相色谱流动相正反相色谱定义及区别液相色谱的流动相又称为淋洗液,洗脱剂;流动相组成改变,极性改变,可显着改变组分分离状况;亲水性固定液常采用疏水性流动相,即流动相的极性小于固定相的极性,称为正相液液色谱法,极性柱也称正相柱;极性组分k大;若流动相的极性大于固定液的极性,则称为反相液液色谱法,非极性柱也称为反相柱;极性组分k小4、液相色谱法流动相的极性顺序常用溶剂的极性顺序:水最大 > 甲酰胺> 乙腈> 甲醇> 乙醇> 丙醇> 丙酮> 二氧六环> 四氢呋喃> 甲乙酮> 正丁醇> 乙酸乙酯> 乙醚> 异丙醚> 二氯甲烷>氯仿>溴乙烷>苯>四氯化碳>二硫化碳>环己烷>己烷>煤油最小;5、离子对色谱法的特点有正相离子对色谱法和反相离子对色谱法之分,后者应用广泛;反相离子对色谱法解决了难分离混合物的分离问题;可借助离子对的生成引入紫外吸收或发荧光的基团,提高检测灵敏度;6、空间排阻色谱法的原理试样进入色谱柱后,随流动相在凝胶外部间隙以及孔穴旁流过;太大分子不能进入,直接通过柱子并首先在色谱图上出现;中等大小分子有些空穴能进,有些空穴不能进;小分子可进入胶孔渗透到颗粒中,在色谱图上后出现;溶剂分子最小,在色谱图上最后出现;洗脱次序决定于分子质量大小和形状;适于分离分子质量较大的化合物103~105;1.一般而言,流动相选择对分离基本无影响的是液固吸附色谱;液液分配;离子交换;空间排阻2.选择合适的高效液相色谱法分离以下物质正相色谱;反相色谱;离子交换;分子排阻1极性较低化合物正相色谱2 中高极性分子型化合物反相色谱3分子量大于2000的高分子化合物空间排阻4离子型或可离解化合物离子交换3.分离结构异构体,最适当的选择吸附色谱;离子对色谱;空间排阻;离子交换原子发射光谱法1、能量次序2、为什么原子光谱为线状光谱,分子光谱为带状光谱由于原子光谱不涉及振动和转动能级跃迁,只有电子能级跃迁,原子的各个能级是量子化的,电子的跃迁也是不连续的;而分子光谱形成过程不但存在电子能级,还包括振动能级和转动能级的跃迁;而且三者的能量次序是:E电 > E振 > E转2、原子发射光谱仪构造光源种类及适用范围:3、原子发射光谱法基本原理:根据处于激发态的待测元素原子回到基态时发射的特征谱线对待测元素进行分析的方法;发射光谱的产生:原子的外层电子由高能级向低能级跃迁,多余能量以电磁辐射的形式发射出去,这样就得到了发射光谱;4相关术语:共振线:在所有原子谱线中,凡是由各个激发态回到基态所发射的谱线非共振线:激发态与激发态之间跃迁所产生的谱线灵敏线:元素的最特征谱线,一般主共振线为灵敏线;最后线:当元素含量减小到最低时,仍然坚持到最后出现的谱线;含量低时,最后线为灵敏线,含量高时不一定;分析线:用来进行定性定量分析的谱线5、定性及定量分析依据:定性原理:由于原子或离子的能级很多并且不同元素的结构是不同的,因此对特定元素的原子或离子可产生一系不同波长的特征光谱,通过识别待测元素的特征谱线存在与否进行定性分析;定量原理:待测元素数目越多,其激发态原子的密度也越大,发射的谱线越强,据此可进行---定量分析;6、选择合适的激发光源某经济作物植物体进行元素的定性全分析直流电弧炼钢厂炉前12种元素定量分析高压火花钢中锰的定量分析交流电弧铁矿石定量全分析交流电弧头发各元素定量分析交流电弧/ICP水源调查6种元素Cr、Mn、Cu、Fe、Zn、Pb 定量分析 ICP7、6分下图为乳剂特性曲线,说明AB、BC、CD段的曝光情况,并写出黑度S与曝光量H 间的线性关系方程式,指出线性方程中的斜率及其在横坐标上截距的物理意义;·AB段曝光不足,BC段曝光正常,CD段曝光过量;2分·乳剂特性曲线方程 S = lgH - lgHi2分·为线性部分斜率,称为乳剂的反衬度,表示乳剂在曝光量改变时黑度变化的快慢;1分·lgHi为线性部分在横轴上的截矩,Hi称惰延量,表示感光板的灵敏度;1分1、在谱片板上发现某元素的清晰的 10 级线,且隐约能发现一根 9 级线,但未找到其它任何 8 级线,译谱的结果是1 从灵敏线判断,不存在该元素2 既有 10 级线,又有 9 级线,该元素必存在3 未发现 8 级线,因而不可能有该元素4 不能确定2、用发射光谱进行定量分析时,乳剂特性曲线的斜率较大,说明1 惰延量大2 展度大3 反衬度大4 反衬度小3、摄谱法原子光谱定量分析是根据下列哪种关系建立的N0-基态原子数,S-分析线对黑度差, c-浓度, I-分析线强度, S-黑度1 I -N02 S -lgc3 I - lgc4 S- lgN04、几种常用光源中,产生自吸现象最小的是1 交流电弧2 等离子体光3 直流电弧4 火花光源5、某摄谱仪刚刚可以分辨 nm 及 nm 的两条谱线,则用该摄谱仪可以分辨出的谱线组是1Si ─ Zn nm; 2 Ni ─ Fe nm3 Mn ─ Fe nm;4 Cr ─ Ce nm6、用发射光谱进行定量分析时,乳剂特性曲线的斜率较大,说明1 惰延量大;2 展度大;3 反衬度大;4 反衬度小原子吸收光谱法1、原子吸收光谱分析基本原理原子吸收光谱法是一种基于待测基态原子对特征谱线的吸收而建立的一种分析方法;2、吸收线轮廓的表示方法表征吸收线轮廓的参数:中心频率O:最大吸收系数对应的频率;半宽度ΔO :K0/2处的宽度3、影响谱线宽度的因素(1)自然变宽 2多普勒Doppler变宽 3碰撞变宽4其他因素:场致变宽、自吸效应4、根据爱因斯坦辐射量子理论,谱线的积分吸收与火焰中基态原子数的关系为:其中:e为电子电荷;m为电子质量;c为光速;N0为基态原子密度; f为振子强度,表示的是每个原子中能被入射光激发的平均电子数;对于给定的元素,f为一常数;4、用峰值吸收代替积分吸收的必要条件1锐线光源发射线的中心频率=原子吸收线的中心频率2发射线的半宽度<< 吸收线的半宽度1. 原子吸收光谱法中,测得的吸光度为A. 溶液对光源辐射的峰值吸收B.原子对光源辐射的峰值吸收C.待测元素基态原子对光源辐射的峰值吸D.待测元素基态原子对光源辐射的积分吸收2.在高温下基态原子数与激发态原子数相比A. 几乎相等B. 激发态原子数远多于基态原子数C. 基态原子数远多于激发态原子数D. 无规律3. 在原子吸收分光光度法中,原子蒸气对共振辐射的吸收程度与A. 与入射光强度I0有线性关系B. 基态原子数N0成正比C. 激发态原子数Nj成正比D. 被测物质Nj / N0成正比4. 原子吸收分光光度法需用锐线光源,这是因为A. 扣除背景吸收B. 增加测定灵敏度C. 测定被测组分的峰值吸收D. 去除谱线干扰5. 在原子吸收光谱法中,若用连续光源代替空心阴极灯,测得的吸光度A.与被测物浓度成正比B. 与单位体积基态原子数成正比C. 与被测元素浓度成正比D. 几乎为零6、原子吸收分光光度计的构造构成光源、原子化器、分光系统、检测系统等;7、锐线光源定义作用及工作原理锐线光源是发射线半宽度远小于吸收线半宽度的光源,如空心阴极灯; 作用:提供待测元素的特征光谱;获得较高的灵敏度和准确度;工作原理:8、原子化器种类及特点:1火焰原子化器2石墨炉原子化器:·需样量少,灵敏度高;L:几μL;S:·试样利用率高,原子化效率达90%;·可直接测定粘度较大的试样或固体试样;·整个原子化过程是在一个密闭的配有冷却装置中进行,较安全;·因采用人工加样,精密度不高,装置复杂;1、石墨炉原子吸收法与火焰法相比,其优点是A.灵敏度高B. 重现性好C. 分析速度快D. 背景吸收小2、在原子吸收分析中,测定元素的灵敏度,在很大程度取决于A.空心阴极灯B. 原子化系统C. 分光系统D. 检测系统3、火焰原子吸收光谱法中,吸光物质是A. 火焰中各种原子B. 火焰中的基态原子C. 火焰中待测元素的原子D. 火焰中待测元素的基态原子4、干扰及其抑制种类及其消除办法1光谱干扰2物理干扰基体干扰:非选择性干扰:消除办法:·配制与待测试液基体相似的标准溶液,这是最常用的方法;·当配制其基体与试液相似的标准溶液确有困难时,须采用标准加入法;·当被测元素在试液中的浓度较高时,可用稀释溶液的方法;(2)化学干扰选择性干扰:消除办法:·选择合适的原子化方法·加“消电离剂”·加入释放剂·保护剂·加入缓冲剂·化学分离法(3)有机溶剂的影响一填空、原子分光光度计采用光源,其发射谱线的半宽度于吸收线半宽度,且两者一致;引起原子吸收线变宽因素主要有自然宽度、和等;其中是谱线变宽的最主要因素;多普勒变宽热变宽,压力变宽碰撞变宽;多普勒变宽热变宽;空心阴极灯阳极一般是,而阴极材料是 ,管内通常充有钨棒,待测元素的金属或合金,低压惰性气体5、原子吸收过程中关于基态原子数与激发态原子数关系的说法错误的是A、基态原子数可近似视为原子总数B、两者之和即为原子总数C激发态原子数也有可能等于基态原子数D、基态原子数大于激发态原子数6、为了消除磷酸盐对钙的干扰,可加入EDTA络合剂,将Ca形成EDTA-Ca络合物,EDTA-Ca 在火焰中易原子化,从而消除了磷酸盐的干扰,这里的EDTA称为A、保护剂B、释放剂C、消电离剂D、缓冲剂7、原子吸收分析对光源进行调制,主要是为了消除A、光源透射光的干扰B、原子化器火焰的干扰C、背景干扰D、物理干扰8、原子分光光度计中原子化器的作用是什么火焰原子化器和石墨炉原子化器有何区别答:作用:提供试样离子转变成原子蒸气的能量;二者区别:1原子化原理不同;前者用火焰热原子化,后者用电热;2原子化效率不同;前者只有10%左右,后者可达90%以上;3灵敏度不同;前者低后者高;4基体效应不同;前者小后者大;5最高温度不同;前者通常低于后者;9、何谓锐线光源在原子吸收分光光度分析中为什么要用锐线光源答:锐线光源是能发射出谱线半宽度很窄的发射线的光源;如空心阴极灯;在使用锐线光源时,光源发射线半宽度很小,并且发射线与吸收线的中心频率一致;这时发射线的轮廓可看作一个很窄的矩形,即峰值吸收系数Kv在此轮廓内不随频率而改变,吸收只限于发射线轮廓内;这样,一定的峰值吸收系数即可测出一定的原子浓度;紫外可见光谱1、电子跃迁类型:σ→σ跃迁:指处于成键轨道上的σ电子吸收光子后被激发跃迁到σ反键轨道n→σ跃迁:指分子中处于非键轨道上的n电子吸收能量后向σ反键轨道的跃迁π→π跃迁:指不饱和键中的π电子吸收光波能量后跃迁到π反键轨道;n→π跃迁:指分子中处于非键轨道上的n电子吸收能量后向π反键轨道的跃迁;所需能量ΔΕ大小顺序为:n→π < π→π < n→σ < σ→σ2、吸收带种类,不同种类的吸收带特点R带:由n→π跃迁产生特点:所需能量小,吸收波长一般在200nm~400nm;吸收强度很弱,εmax<100; K带:共轭双键中π→π跃迁产生;特点:跃迁所需能量较R带大,吸收峰位于210~280 nm;吸收强度强,摩尔吸收系数εmax>104;随着共轭体系的增长,K 吸收带长移,一般在 210 ~ 700nm, εmax增大;B带:苯型谱带;是芳香族化合物的特征吸收带;是苯环振动及π→π重叠引起的;特点:在230~270nm之间出现精细结构吸收,又称苯的多重吸收;中等强度吸收;E带:乙烯型谱带;也是芳香族化合物的特征吸收之一;E带可分为E1及E2两个吸收带,也属π→π跃迁;E1带:吸收峰在184 nm左右,是由苯环内乙烯键上的π电子被激发所致;吸收特别强,εmax>104;E2带:吸收峰在203 nm处,是由苯环的共轭二烯所引起;中等强度吸收,εmax=7400; 当苯环上有发色基团取代并和苯环共轭时,E带和B带均发生红移,E2带又称为K带; 3共轭多烯的K带λmax估算链状共轭二烯 217nm 同环共轭二烯253nm增加一个共轭双键+30nm 增加一个环外双键+5nm每个烷基取代+5nm -Cl,-Br +5nm4、某分光光度计使用480nm单色器和2cm吸收池,其入射光强度I0=;当用该分光光度计检测浓度为×10-4 mol · L-1的某有色物质时,其透射光强度I=,试计算该有色物质的摩尔吸光系数;A=-lgT = lgI0/I = ε b cε=1645 L·mol-1·cm-15、以波长为λ1的光测定某浓度为C1的有色溶液吸光度为A1,透光度为T1;同样以波长λ2测定浓度为C2的溶液吸光度为A2,透光度为T2;则它们之间的关系式为:=A2lgT1/lgT2 =A1ε2/ ε1 C. A1=A2ε2/ ε1=A1lgT1/T2 E. lgT1 /lgT2=C1/C26、用参比溶液调节仪器零点时,因无法调至透光度100%,只好调到95%处,此时测得一溶液的透光度为35%,求该溶液的真实透光度;先计算出原始吸光度A=-lg5%7、某溶液中有三种物质,下表列出了它们在特定波长下的吸收系数;设所用试样池的厚度为1cm;拟出分光光度法测定它们的浓度方程式;8、某钢材中含有钛和钒的过氧化物,可以用分光光度法同时检测出来;将1g该钢材用强酸溶解,得到一有色溶液,将溶液稀释到100 mL,用分光光度法进行测量;可知钛在400nm和600nm处的吸光度分别为和;在相同条件下, 钒在400nm和600nm处的吸光度分别为和;若两个样品经过同样的处理,分光光度法进行测量的结果如下;试计算两样品中钛和钒的质量分数;解:设1g样品中钒和钛的质量分别为x mg和y mg,则该样品400nm和600nm处的吸光度A400和A600分别为依据已知条件的吸收系数:A = K b c依据吸光度的加和性联立方程组:将数据代入解得:样品1:V%=%Ti%=%样品2:V%=%Ti%=%1.以下四种化合物,能同时产生B吸收带、K吸收带和R吸收带的是2.在下列化合物中,跃迁所需能量最大的化合物是A. 1,3丁二烯B. 1,4戊二烯C. 1,3环已二烯D. 2,3二甲基1,3丁二烯3.符合朗伯特-比耳定律的有色溶液稀释时,其最大吸收峰的波长位置A. 向短波方向移动B. 向长波方向移动C. 不移动,且吸光度值降低D. 不移动,且吸光度值升高4.双波长分光光度计与单波长分光光度计的主要区别在于A. 光源的种类及个数B. 单色器的个数C. 吸收池的个数D. 检测器的个数5.在符合朗伯特-比尔定律的范围内,溶液的浓度、最大吸收波长、吸光度三者的关系是A. 增加、增加、增加B. 减小、不变、减小C. 减小、增加、减小D. 增加、不变、减小6.在紫外可见分光光度法测定中,使用参比溶液的作用是A. 调节仪器透光率的零点B. 吸收入射光中测定所需要的光波C. 调节入射光的光强度D. 消除试剂等非测定物质对入射光吸收的影响7、某药物的摩尔吸光系数很大,则表明A. 该药物溶液的浓度很大B. 光通过该药物溶液的光程很长C. 该药物对某波长的光吸收很强D. 测定该药物的灵敏度高8、用标准曲线法测定某药物含量时,用参比溶液调节A=0或T=100%,其目的是A. 使测量中c-T成线性关系B. 使标准曲线通过坐标原点C.使测量符合比耳定律,不发生偏离D.使所测吸光度A值真正反应的是待测物的A值红外吸收光谱法1、双原子分子的振动方程当分子发生Δn=1的振动能级跃迁时,吸收红外光的波数和频率符合虎克定律,分别为:2、振动转动能级跃迁的能量相当于A、γ射线B、X射线C、可见光或紫外光D、红外光/3、下列哪种分子没有红外活性A、CO2B、H2C、甲醇D、苯4、红外光谱法主要研究振动中有变化的化合物,因此,除了和分子外,几乎所有的化合物在红外光区均有吸收;5、推测C8H8纯液体结构解:1 =1-8/2+8=5 2峰归属3可能的结构6、推测C8H8O结构式8、确定C8H7N结构1 =1+1-7/2+8=6 2峰归属3可能的结构9、已知化合物的元素组成为C8H7N解:不饱和度 = 1+8+1/21-7=63062cm-1是不饱和C-H伸缩振动=C-H,说明化合物有不饱和双键;2924cm-1是饱和C-H伸缩振动C-H ,说明化合物中有饱和C-H键;2229cm-1是不饱和叁键CN伸缩振动 C N,不饱和度为2;1589cm-1,1481 cm-1 ,1458cm-1是芳环骨架振动C=C ,说明化合物中有芳环,不饱和度为4;芳环不饱和度为4,叁键CN不饱和度为2,这说明该化合物除芳环和叁键以外的结构是饱和的;1381cm-1是CH3的伸缩振动C-H ,说明化合物中有CH3;787cm-1,687cm-1 是芳环间位二取代面外弯曲振动=C-H,说明化合物为间位二取代苯环化合物综合以上推测,由化合物分子式C8H7N得出该化合物结构为:10、已知化合物的分子式C4H8O,测得IR谱图如下,写出可能的构造式;解:Ω =1+0-8/2+4=1;从分子式看,化合物可能是烯醇、烯醚、酮或醛;1750-1700cm-1强吸收,它是>C=O特征吸收,化合物只能是酮、醛化合物;2738cm-1是υCO-H,2950cm-1是υ C-H,化合物可能是醛;720cm-1附近有峰,是-CH2-结构特征;因此,化合物可能是CH3CH2CH2CHO11、化合物的组成为C7H8O;解123039cm-1,3001cm-1 是不饱和C-H伸缩振动V=C-H,说明化合物中有不饱和双键2947cm-1是饱和C-H伸缩振动vC-H ,说明化合物中有饱和C-H键1599cm-1,1503cm-1是芳环骨架振动VC=C ,说明化合物中有芳环芳环不饱和度为4,这说明该化合物除芳环以外的结构是饱和的1040cm-1及1248cm-1是醚氧键的伸缩振动VC-O-C ,说明化合物中有C-O-C键756cm-1,694cm-1 是芳环单取代面外弯曲振动γ=C-H,说明化合物为单取代苯环化合物12、14、分子式均为C6H12的有机物红外光谱如图所示,写出其结构式,并给出1~5各峰归属解: =1+6-12/2=1推测可能含有一个不饱和键或为环烷烃;依据3030cm-1附近峰的存在,可判断为含有一个不饱和键;2分结构式为:CH2=CHCH23CH3 3分1:=C-H伸缩振动峰2:-CH3和CH2中C-H伸缩振动峰3:C=C伸缩振动峰4:-CH3变形振动峰5:= CH2面外变形振动峰每个1分,共5分。
仪器分析知识点总结各章第一章仪器分析的基本概念和原理1.1 仪器分析的定义仪器分析是利用仪器设备对样品进行检测、分析和测量,以获取样品中特定组分的含量、性质和结构等信息的一种分析方法。
1.2 仪器分析的分类仪器分析按照分析方法的不同可以分为物理分析、化学分析和生物分析三大类,其中每类又分为多个不同的分支。
1.3 仪器分析的基本原理仪器分析的基本原理是根据目标分析物的性质和特点,选用合适的分析仪器进行检测和分析。
常用的仪器分析原理包括光谱分析原理、色谱分析原理、质谱分析原理等。
第二章光谱分析2.1 光谱分析的基本概念光谱分析是利用样品对电磁波的吸收、散射、发射或者透射特性进行分析的方法,分析样品中的成分、结构和性质。
2.2 原子吸收光谱分析原子吸收光谱分析(AAS)是利用原子对特定波长的光的吸收特性来测定样品中金属元素的含量的分析方法。
原子吸收光谱分析的原理是利用吸收特性和比例计算出样品中目标元素的含量。
2.3 紫外可见光谱分析紫外可见光谱分析(UV-Vis)是利用样品对紫外和可见光的吸收特性进行分析的方法,常用于测定有机物和某些无机物的含量和结构。
2.4 荧光光谱分析荧光光谱分析是利用样品对激发光的发射特性进行分析的方法,荧光光谱常用于生物分析、环境分析和材料科学等领域。
第三章色谱分析3.1 色谱分析的基本概念色谱分析是利用色谱仪器对样品中的组分进行分离、检测和定量测定的方法,主要包括气相色谱分析、液相色谱分析和超临界流体色谱分析等。
3.2 气相色谱分析气相色谱分析(GC)是将样品分离为各个成分,再通过气相色谱柱进行分离和检测的方法,主要用于分析有机物、气体和挥发性物质。
3.3 液相色谱分析液相色谱分析(HPLC)是将样品分离为各个成分,再通过液相色谱柱进行分离和检测的方法,主要用于分析生物化学物、药物和小分子有机化合物等。
3.4 色谱联用技术色谱联用技术是将不同色谱方法和检测手段结合起来,以达到更高的分离能力和检测灵敏度,常见的色谱联用技术包括气相色谱-质谱联用(GC-MS)和液相色谱-质谱联用(LC-MS)等。
仪器分析章节习题总结⒈根据IUPAC建议,不属于分析方法的主要评价指标的是A.精密度B.准确度C.灵敏度D.检出限第三章紫外-可见吸收光谱法填空题:1、对于紫外-可见分光光度计,一般在可见光区使用的是光源,可以使用材质的棱镜和比色皿;而在紫外区一般使用的是和光源,必须用材质的棱镜和比色皿。
2、双波长分光光度计在仪器设计上通常采用光源个单色器和个吸收池。
3、紫外-可见分光光度计主要是由、、、和五部分组成。
选择题1、在紫外-可见分光光度计中,常用的光源是A、钨灯B、硅碳棒C、空心阴极灯D、激光灯CH3CH32、CH3C-CH=CCH3中的n-π*跃迁谱带在下列溶剂中测量时,λmax最大的为A、水B、甲醇C、正丁烷D、氯仿3、双光束分光光度计与单光束分光光度计相比,其优点是A、可以扩大波长的应用范围B、可以采用快速响应的检测系统C、可以抵消吸收池所带来的误差D、可以抵消因光源的变化而产生的误差4、下列有关双波长光度分析的哪种说法是不正确的?A、若合理选择波长对,可获得待测组份和参比组份的净吸光度DA,能有效地校正待测成份以外的背景吸收B、可用于扣除混浊液背景校正C、由于记录的是两个波长信号的信号差,因此不受光源电压和外部电源变化的影响D、可用于追踪化学反应。
5、紫外-可见分光光度法定量分析的理论依据是A.吸收曲线B.吸光系数C.朗伯-比耳定律能斯特方程问答题1、何谓生色团、助色团,红移和蓝移?2、溶剂的极性对有机化合物的紫外可见吸收光谱有何影响?3、作为苯环的取代基,为什么—NH3+不具有助色作用,而—NH2却具有助色作用?4、作为苯环的取代基,为什么—OH的助色作用明显小于—O-?计算题1、以领二氮菲光度法测定Fe(II),称取式样0.500g,经处理后加入显色剂,最后定容为50.0mL。
用1.0cm吸收池,在510nm波长下测得吸光度A=0.430。
计算:(1)试样中的铁的质量分数;(2)当溶液稀释1倍后,其百分透射比是多少?(ε510=1.1×104.cm-1)2、用分光光度法测得浓度为1.0×10-3mol.L-1Zn2+标液和未知浓度的锌试样溶液和锌试剂显色后的吸光度分别为0.700和1.000.求:(1)两种溶液的透光率相差多少?(2)若以上述标准溶液为残壁,试样溶液的吸光度为多少?(3)此时读数标尺放大了多少倍?3、普通分光法测定0.5×10-4,1.0×10-4mol.L-1Zn2+标液和试液的吸光度A为0.600,1.200,0.800(1)若以0.5×10-4mol. L-1Zn2+标准溶液作为参比溶液,调节T%-100,用示差法测定第二标液和试液的吸光度各为多少?(2)用两种方法中标液和试液的透光度各为多少?(3)示差法和普通光度法比较,标尺扩展了多少倍?(4)根据(1)中所得的数据,用示差法计算试液中Zn的含量(mg.L-1)/view/18e22efc910ef12d2af9e766.html 第四章红外吸收光谱法填空题1、分子间和分子内氢键都使基团的振动频率向低频方向移动,但氢键随浓度减小而消失,氢键不受溶液浓度影响2、红外光区在可见光区和微波光区之间,习惯上又将其分为三个区:、和,其中的应用最广。
⒈根据IUPAC建议,不属于分析方法的主要评价指标的是A.精密度B.准确度C.灵敏度D.检出限第三章紫外-可见吸收光谱法填空题:1、对于紫外-可见分光光度计,一般在可见光区使用的是光源,可以使用材质的棱镜和比色皿;而在紫外区一般使用的是和光源,必须用材质的棱镜和比色皿。
2、双波长分光光度计在仪器设计上通常采用光源个单色器和个吸收池。
3、紫外-可见分光光度计主要是由、、、和五部分组成。
选择题1、在紫外-可见分光光度计中,常用的光源是A、钨灯B、硅碳棒C、空心阴极灯D、激光灯CH3CH32、CH3C-CH=CCH3中的n-π*跃迁谱带在下列溶剂中测量时,λmax最大的为A、水B、甲醇C、正丁烷D、氯仿3、双光束分光光度计与单光束分光光度计相比,其优点是A、可以扩大波长的应用范围B、可以采用快速响应的检测系统C、可以抵消吸收池所带来的误差D、可以抵消因光源的变化而产生的误差4、下列有关双波长光度分析的哪种说法是不正确的?A、若合理选择波长对,可获得待测组份和参比组份的净吸光度DA,能有效地校正待测成份以外的背景吸收B、可用于扣除混浊液背景校正C、由于记录的是两个波长信号的信号差,因此不受光源电压和外部电源变化的影响D、可用于追踪化学反应。
5、紫外-可见分光光度法定量分析的理论依据是A.吸收曲线B.吸光系数C.朗伯-比耳定律能斯特方程问答题1、何谓生色团、助色团,红移和蓝移?2、溶剂的极性对有机化合物的紫外可见吸收光谱有何影响?3、作为苯环的取代基,为什么—NH3+不具有助色作用,而—NH2却具有助色作用?4、作为苯环的取代基,为什么—OH的助色作用明显小于—O-?计算题1、以领二氮菲光度法测定Fe(II),称取式样0.500g,经处理后加入显色剂,最后定容为50.0mL。
用1.0cm吸收池,在510nm波长下测得吸光度A=0.430。
计算:(1)试样中的铁的质量分数;(2)当溶液稀释1倍后,其百分透射比是多少?(ε510=1.1×104.cm-1)2、用分光光度法测得浓度为1.0×10-3mol.L-1Zn2+标液和未知浓度的锌试样溶液和锌试剂显色后的吸光度分别为0.700和1.000.求:(1)两种溶液的透光率相差多少?(2)若以上述标准溶液为残壁,试样溶液的吸光度为多少?(3)此时读数标尺放大了多少倍?3、普通分光法测定0.5×10-4,1.0×10-4mol.L-1Zn2+标液和试液的吸光度A为0.600,1.200,0.800(1)若以0.5×10-4mol. L-1Zn2+标准溶液作为参比溶液,调节T%-100,用示差法测定第二标液和试液的吸光度各为多少?(2)用两种方法中标液和试液的透光度各为多少?(3)示差法和普通光度法比较,标尺扩展了多少倍?(4)根据(1)中所得的数据,用示差法计算试液中Zn的含量(mg.L-1)/view/18e22efc910ef12d2af9e766.html第四章红外吸收光谱法填空题1、分子间和分子内氢键都使基团的振动频率向低频方向移动,但氢键随浓度减小而消失,氢键不受溶液浓度影响2、红外光区在可见光区和微波光区之间,习惯上又将其分为三个区:、和,其中的应用最广。
3、cm-1区域的峰是由伸缩振动产生的,基团的特征吸收一般位于此范围,它是鉴定最有价值的区域,称为;cm-1区域中,当分子结构稍有不同时,该区的吸收就有细微的不同,犹如人的指纹一样,故称为区。
选择题1、非红外活性是指A.振动时伴随着转动B.转动时伴随着振动C.振动时分子偶极矩无变化D.振动时分子偶极矩有变问答题1、物质分子产生红外吸收的条件是什么?课本习题第五章分子发光分析法填空题1、分子共轭p键大,则荧光发射强,荧光峰向波方向移动;给电子取代基将(加强或减弱);得电子取代基将使荧光强度(加强或减弱)。
简答题1、列出影响荧光强度的主要因素,并分别作出说明。
2、能够产生化学发光的反应要满足哪些条件?名字解释(1)单重态(2)三重态(3)系间窜越(4)振动弛豫(5)内转换(6)量子产率(7)荧光猝灭(8)重原子效应第六章原子发射光谱法填空题1、在原子发射光谱分析仪器中,目前常用的激发光源有、、和。
2、内标法光谱定量公式是。
摄谱法定量公式是。
3、光谱定量分析基本公式I = ac b中,a是,b为,b的取值范围为。
4、位于中心的激发态原子发出的辐射被同种基态原子吸收,导致谱线中心强度降低的现象称为。
自吸现象随浓度增加现。
当达到一定值时,谱线中心完全吸收,如同出现两条线,这种现象称为5、在原子发射光谱法中通常所使用的光源中,蒸发温度最高的是__ ____;激发温度最高的是_________;不发生自吸的是____ ____。
6、、位于中心的激发态原子发出的辐射被同种基态原子吸收,导致谱线中心强度降低的现象称为。
自吸现象随浓度增加现。
当达到一定值时,谱线中心完全吸收,如同出现两条线,这种现象称为选择题1、在原子发射光谱中,具有灵敏度高、检测限低、精密度好、线性范围宽的特别,适用于高含量、微量、痕量金属和难激发元素分析的是A、直流电弧光源B、高压火化光源C、交流电弧D、电感耦合等离子体2、原子发射光谱定量分析中,常使用内标法,其目的是A、为了减少光谱干扰B、为了提高分析的灵敏度C、为了提高分析的准确度D、为了提高分析结果的精密度3、光谱定量分析确定元素含量的根据是A、特征谱线B、灵敏线C、最后线D、元素的谱线强度4、原子发射光谱的产生是由于A.原子次外层电子不同能级间的跃迁B.原子外层电子的振动和转动C.原子内层电子不同能级间的跃迁D.原子外层电子不同能级间的跃迁5、定性分析时,通常采取标准光谱图比较法来确定谱线位置,通常作为标准的是A. 氢谱B.铜谱C.碳谱D.铁谱6、塞伯-罗马金公式的数学表达式为A. ㏒I=b㏒c+㏒aB.㏒A=b㏒c+㏒aC. ㏒A=b㏒a+㏒cD.㏒I=b㏒a+㏒c7、ICP光源高温的产生是由于A.气体燃烧B.气体放电C.电极放电D.电火花问答题1、原子发射光谱定性分析的原理是什么?有哪些定性分析方法?2、什么是原子线和离子线?3、何谓乳剂特性曲线?说明乳剂特性曲线的制作及其在定量分析中的作用4、什么是谱线的自吸和自蚀?5、请结合电感耦合等离子体的结构及原理,说明它的优点,为什么?名字解释1、等离子体2、原子发射线:3、谱线的自吸:第七章原子吸收与原子荧光光谱法填空题1、原子吸收光谱仪主要是由、、、和五部分组成。
2、原子吸收光谱分析中的干扰效应一般分为四类:即、、和。
3、1955年,澳大利亚物理学家A.Walsh提出,用吸收来代替吸收,从而解决了测量原子吸收的困难。
4、在原子吸收分析的干扰中,非选择性的干扰是干扰。
有选择性的干扰是干扰。
5、原子吸收分析中,使得谱线变宽的主要因素有、、、6、石墨炉原子化器的原子化过程可分、、、四个阶段选择题1、在原子吸收光谱分析中,塞曼效应用来消除A.物理干扰B.背景干扰C.化学干扰D.电离干扰2、关于多普勒变宽的影响因素,以下说法哪个是正确的A.随温度升高而增大B.随温度升高而减小C.随发光原子的摩尔质量增大而增大D.随压力的增大而减小3、在原子荧光产生过程中,共振荧光A.产生的荧光与激发光的波长不相同B.产生的荧光与激发光的波长相同C.产生的荧光总大于激发光的波长D.产生的荧光总小于激发光的波长4、原子吸收分光光度中消除物理干扰常用的方法是A.配制与被测试样相似组成的标准样品B.化学分离C.使用高温火焰D.加入释放剂或保护剂5、原子吸收光谱线的多普勒变宽是由下面哪个原因产生的A.原子的热运动B.原子与其他粒子的碰撞C.原子与同类原子的碰撞D.外部电场对原子的影响6、原子吸收分光光度法中的物理干扰可用什么办法消除A.释放剂B.扣除背景C.标准加入法D.保护剂7、原子吸收分光光度中消除物理干扰常用的方法是A.配制与被测试样相似组成的标准样品B.化学分离C.使用高温火焰D.加入释放剂或保护剂8、原子吸收光谱仪中,产生共振发射线和共振吸收线的部件是A.光源和原子化器B.原子化器和光源C.光源和单色器D.原子化器和单色器9、空心阴极灯中对发射线宽度影响最大的因素是A.阴极材料B.阳极材料C.灯电流D.填充气体10、在原子吸收法中,使用氘灯是为了消除哪种干扰A. 化学干扰B.物理干扰C.背景干扰D.电离干扰11、待测元素能给出三倍于标准偏差读数时的质量浓度或量,称为A.灵敏度B.检出限C.特征浓度D.特征质量12、火焰原子吸收光谱分析法一般比原子发射光谱分析法精密度好的原因是A、使用了锐线光源B、原子吸收的轮廓较宽C、基于N0对辐射的吸收,N0大且变化小D、原子吸收法干扰效应少问答题1、火焰原子化法测定某物质中的Ca 时(1) 选择什么火焰?(2) 为了防止电离干扰采取什么办法?2、为什么原子吸收光谱法只能进行定量分析,而不能进行定性分析?3、以峰值吸收测量代替积分吸收测量的必要条件是什么?4、常用的发射光谱半定量分析法有哪些具体方法?5、简述空心阴极灯的工作原理及结构,分析空心阴极灯为何会发射锐线光源?6、从原理、仪器、应用方面比较原子吸收、原子发射分析法的异同点计算题1、用AAS法测定某溶液中Cd的浓度,在适合的条件下,测得吸光度为0.141。
取50.00ml此试液加入1.00ml浓度为的Cd标准溶液,在同样条件下,测得吸光度为0.259。
而测得蒸馏水的吸光度为0.010。
由此,求试液中Cd的浓度及1%吸收灵敏度2、用某原子吸光分光光度计,测定质量浓度为0.30㎍/㎖的Cu2+溶液,已知透光率为50%,求该仪器测定铜的灵敏度(特征浓度)为多少?3、用原子吸收光谱分析法测定铅含量时,以0.1㎍/㎖质量浓度的铅标准溶液没得吸光度为0.24,连续11次测得空白值的标准偏差为0.012,试计算其检出限为多少?4、有0.02㎍/㎖标准钠溶液与去离子水交替连续测定12次,测得Na溶液的吸光度平均值为0.157,标准偏差σ为1.17×10-3。
求该原子吸收分光光度计对Na的检出限。
5、为检查原子吸收光谱仪的灵敏度,以2μg∕mL的Be标准溶液,用Be234.86nm的吸收线测得透射比为35%,计算其灵敏度(特征浓度)为多少?名字解释原子发射线:特征浓度:第九章电位分析法填空题1、用直读法测定试液的pH值, 其操作定义可用式_____________________来表示。
用pH玻璃电极测定酸度时, 测定强酸溶液时, 测得的pH比实际数值_______, 这种现象称为________。
测定强碱时, 测得的pH值比实际数值______, 这种现象称为__________2、在电化学分析中,按电极所起作用,电极可分为、、、四类选择题1、使pH玻璃电极产生纳差现象是由于A、玻璃膜在强碱性溶液中被腐蚀B、强碱溶液中钠离子浓度太高C、强碱溶液中氢氧根离子中和了玻璃膜上的氢离子D、大量的氢氧根离子占据了膜上的交换点位2、在实际测定溶液pH时,都用标准缓冲溶液来校正电极,目的是消除A、不对称电位B、液接电位C、不对称电位和液接电位D、温度影响3、pH玻璃电极的不对称电位来源于A、内外玻璃膜表面特性不同B、内外溶液中H+浓度不同C、内外溶液的H+活度系数不用D、内外参比电极不一样4、离子选择性电极测定一价离子的准确性一般为A、8%B、4%C、3.9%D、7.8%5、用标准加入法进行定量分析时,对加入标准溶液的要求是A、体积要大,其浓度要高B、体积要小,其浓度要低C、体积要大,其浓度要高D、体积要笑,其浓度要高6、在直接电位法中,若i,j均为一价离子,K i,j=0.05,干扰离子的浓度为0.10mol.L-1,被测离子的浓度为0.20 mol.L-1,测量i离子时所引入的相对误差为A、1.5%B、2.5%C、3.5%D、4.5%7、离子选择性系数可用于A、估计电极的检测限B、估计共存离子的干扰程度C、校正方法误差D、计算电极的响应斜率问答题1、总离子强度调节缓冲溶液是由哪几部分组成?各部分的作用如何?2、简述玻璃电极的响应机理。