苏教版七年级下册初中数学计算题
- 格式:doc
- 大小:313.50 KB
- 文档页数:5
初一网权威发布初一下册数学题及答案苏教版,更多初一下册数学题及答案苏教版相关信息请访问一、选择题本题共10小题,每小题3分,共30分1.3分下列各数、、0101001…中间0依次递增、﹣π、是无理数的有.1个.2个.3个.4个考点无理数.分析根据无理数的定义无理数是指无限不循环小数判断即可.解答解无理数有,0101001…中间0依次递增,﹣π,共3个,故选.点评考查了无理数的应用,注意无理数是指无限不循环小数,无理数包括三方面的数①含π的,②开方开不尽的根式,③一些有规律的数.2.3分2001•北京已知如图∥,平分∠,∠=110°,则∠等于.110°.70°.55°.35°考点平行线的性质;角平分线的定义.专题计算题.分析本题主要利用两直线平行,同旁内角互补,再根据角平分线的概念进行做题.解答解∵∥,根据两直线平行,同旁内角互补.得∴∠=180°﹣∠=70°.再根据角平分线的定义,得∠=∠=35°.故选.点评考查了平行线的性质以及角平分线的概念.3.3分下列调查中,适宜采用全面调查方式的是.了解我市的空气污染情况.了解电视节目《焦点访谈》的收视率.了解七6班每个同学每天做家庭作业的时间.考查某工厂生产的一批手表的防水性能考点全面调查与抽样调查.分析由普查得到的调查结果比较准确,但所费人力、物力和时间较多,而抽样调查得到的调查结果比较近似.解答解、不能全面调查,只能抽查;、电视台对正在播出的某电视节目收视率的调查因为普查工作量大,适合抽样调查;、人数不多,容易调查,适合全面调查;、数量较大,适合抽查.故选.点评本题考查了抽样调查和全面调查的区别,选择普查还是抽样调查要根据所要考查的对象的特征灵活选用,一般来说,对于具有破坏性的调查、无法进行普查、普查的意义或价值不大时,应选择抽样调查,对于精确度要求高的调查,事关重大的调查往往选用普查.4.3分一元一次不等式组的解集在数轴上表示为....考点在数轴上表示不等式的解集;解一元一次不等式组.分析分别求出各不等式的解集,再求出其公共解集,并在数轴上表示出来即可.解答解,由①得,<2,由②得,≥0,故此不等式组的解集为0≤<2,在数轴上表示为故选.点评本题考查的是在数轴上表示不等式组的解集,熟知同大取大;同小取小;大小小大中间找;大大小小找不到的原则是解答此题的关键.5.3分二元一次方程2+=8的正整数解有.2个.3个.4个.5个考点解二元一次方程.专题计算题.分析将=1,2,3,…,代入方程求出的值为正整数即可.解答解当=1时,得2+=8,即=6;当=2时,得4+=8,即=4;当=3时,得6+=8,即=2;则方程的正整数解有3个.故选点评此题考查了解二元一次方程,注意与都为正整数.6.3分若点,满足<0,<0,则点在.第二象限.第三象限.第四象限.第二、四象限考点点的坐标.分析根据实数的性质得到>0,然后根据第二象限内点的坐标特征进行判断.解答解∵<0,<0,∴>0,∴点在第二象限.故选.点评本题考查了点的坐标平面内的点与有序实数对是一一对应的关系.坐标直角坐标系把平面分成四部分,分别叫第一象限,第二象限,第三象限,第四象限.坐标轴上的点不属于任何一个象限.7.3分如图,∥,∠=125°,∠=145°,则∠的度数是.10°.20°.35°.55°考点平行线的性质.分析过作∥,根据平行线的性质可求得∠和∠的度数,根据∠=∠﹣∠即可求得∠的度数.解答解过作∥,∵∠=125°,∠=145°,∴∠=180°﹣∠=180°﹣125°=55°,∠=180°﹣∠=180°﹣145°=35°,∴∠=∠﹣∠=55°﹣35°=20°.故选.点评本题考查了平行线的性质,解答本题的关键是作出辅助线,要求同学们熟练掌握平行线的性质两直线平行,同旁内角互补.8.3分已知是方程组的解,则是下列哪个方程的解.2﹣=1.5+2=﹣4.3+2=5.以上都不是考点二元一次方程组的解;二元一次方程的解.专题计算题.分析将=2,=1代入方程组中,求出与的值,即可做出判断.解答解将方程组得=2,=3,将=2,=3代入2﹣=1的左边得4﹣3=1,右边为1,故左边=右边,∴是方程2﹣=1的解,故选.点评此题考查了二元一次方程组的解,方程组的解即为能使方程组中两方程成立的未知数的值.9.3分下列各式不一定成立的是....考点立方根;算术平方根.分析根据立方根,平方根的定义判断即可.解答解、为任何数时,等式都成立,正确,故本选项错误;、为任何数时,等式都成立,正确,故本选项错误;、原式中隐含条件≥0,等式成立,正确,故本选项错误;、当<0时,等式不成立,错误,故本选项正确;故选.点评本题考查了立方根和平方根的应用,注意当≥0时,=,任何数都有立方根10.3分若不等式组的整数解共有三个,则的取值范围是.5<<6.5<≤6.5≤<6.5≤≤6考点一元一次不等式组的整数解.分析首先确定不等式组的解集,利用含的式子表示,根据整数解的个数就可以确定有哪些整数解,根据解的情况可以得到关于的不等式,从而求出的范围.解答解解不等式组得2<≤,∵不等式组的整数解共有3个,∴这3个是3,4,5,因而5≤<6.故选.点评本题考查了一元一次不等式组的整数解,正确解出不等式组的解集,确定的范围,是解答本题的关键.求不等式组的解集,应遵循以下原则同大取较大,同小取较小,小大大小中间找,大大小小解不了.二、填空题本题共8小题,每小题3分,共24分11.3分2009•恩施州9的算术平方根是3.考点算术平方根.分析如果一个非负数的平方等于,那么是的算术平方根,根据此定义即可求出结果.解答解∵32=9,∴9算术平方根为3.故答案为3.点评此题主要考查了算术平方根的等于,其中算术平方根的概念易与平方根的概念混淆而导致错误.12.3分把命题在同一平面内,垂直于同一条直线的两条直线互相平行写出如果…,那么…的形式是在同一平面内,如果两条直线都垂直于同一条直线,那么这两条直线互相平行.考点命题与定理.分析根据命题题设为在同一平面内,两条直线都垂直于同一条直线;结论为这两条直线互相平行得出即可.解答解在同一平面内,垂直于同一条直线的两条直线互相平行改写成如果﹣﹣﹣,那么﹣﹣﹣的形式为在同一平面内,如果两条直线都垂直于同一条直线,那么这两条直线互相平行.故答案为两条直线都垂直于同一条直线,这两条直线互相平行.点评本题考查了命题与定理判断事物的语句叫命题,命题由题设和结论两部分组成;正确的命题称为真命题,错误的命题称为假命题;经过推理论证的真命题称为定理.13.3分将方程2+=25写成用含的代数式表示的形式,则=25﹣2.考点解二元一次方程.分析把方程2+=25写成用含的式子表示的形式,需要把含有的项移到方程的左边,其它的项移到另一边即可.解答解移项,得=25﹣2.点评本题考查的是方程的基本运算技能,表示谁就该把谁放到方程的左边,其它的项移到另一边.此题直接移项即可.14.3分不等式+4>0的最小整数解是﹣3.考点一元一次不等式的整数解.分析首先利用不等式的基本性质解不等式,再从不等式的解集中找出适合条件的正整数即可.解答解+4>0,>﹣4,则不等式的解集是>﹣4,故不等式+4>0的最小整数解是﹣3.故答案为﹣3.点评本题考查了一元一次不等式的整数解,正确解不等式,求出解集是解答本题的关键.解不等式应根据不等式的基本性质.15.3分某校在数学小论文评比活动中,共征集到论文60篇,并对其进行了评比、整理,分成组画出频数分布直方图如图,已知从左到右5个小长方形的高的比为13763,那么在这次评比中被评为优秀的论文有分数大于或等于80分为优秀且分数为整数2716.3分我市、两煤矿去年计划产煤600万吨,结果煤矿完成去年计划的115,煤矿完成去年计划的120,两煤矿共产煤710万吨,求去年、两煤矿原计划分别产煤多少万吨?设、两煤矿原计划分别产煤万吨,万吨;请列出方程组.考点由实际问题抽象出二元一次方程组.分析利用、两煤矿去年计划产煤600万吨,结果煤矿完成去年计划的115,煤矿完成去年计划的120,两煤矿共产煤710万吨列出二元一次方程组求解即可.解答解设矿原计划产煤万吨,矿原计划产煤万吨,根据题意得,故答案为,点评本题考查了由实际问题抽象出二元一次方程组的知识,解题的关键是从题目中找到两个等量关系,这是列方程组的依据.17.3分在平面直角坐标系中,已知线段∥轴,端点的坐标是﹣1,4且=4,则端点的坐标是﹣5,4或3,4.考点坐标与图形性质.分析根据线段∥轴,则,两点纵坐标相等,再利用点可能在点右侧或左侧即可得出答案.解答解∵线段∥轴,端点的坐标是﹣1,4且=4,∴点可能在点右侧或左侧,则端点的坐标是﹣5,4或3,4.故答案为﹣5,4或3,4.点评此题主要考查了坐标与图形的性质,利用分类讨论得出是解题关键.18.3分若点,的坐标满足+=,则称点为和谐点,如和谐点2,2满足2+2=2×2.请另写出一个和谐点的坐标3,.考点点的坐标.专题新定义.分析令=3,利用+=可计算出对应的的值,即可得到一个和谐点的坐标.解答解根据题意得点3,满足3+=3×.故答案为3,.点评本题考查了点的坐标平面内的点与有序实数对是一一对应的关系.坐标直角坐标系把平面分成四部分,分别叫第一象限,第二象限,第三象限,第四象限.坐标轴上的点不属于任何一个象限.三、解答题本大题共46分19.6分解方程组.考点解二元一次方程组.分析先根据加减消元法求出的值,再根据代入消元法求出的值即可.解答解,①×5+②得,2=6,解得=3,把=3代入①得,=6,故此方程组的解为.点评本题考查的是解二元一次方程组,熟知解二元一次方程组的加减消元法和代入消元法是解答此题的关键.20.6分解不等式,并判断是否为此不等式的解.考点解一元一次不等式;估算无理数的大小.分析首先去分母、去括号、移项合并同类项,然后系数化成1即可求得不等式的解集,然后进行判断即可.解答解去分母,得42+1>12﹣3﹣1去括号,得8+4>12﹣3+3,移项,得,8+3>12+3﹣4,合并同类项,得11>11,系数化成1,得>1,∵>1,∴是不等式的解.点评本题考查了解简单不等式的能力,解答这类题学生往往在解题时不注意移项要改变符号这一点而出错.解不等式要依据不等式的基本性质,在不等式的两边同时加上或减去同一个数或整式不等号的方向不变;在不等式的两边同时乘以或除以同一个正数不等号的方向不变;在不等式的两边同时乘以或除以同一个负数不等号的方向改变.21.6分学着说点理,填空如图,⊥于,⊥于,∠=∠1,可得平分∠.理由如下∵⊥于,⊥于,已知∴∠=∠=90°,垂直定义∴∥,同位角相等,两直线平行∴∠1=∠2,两直线平行,内错角相等∠=∠3,两直线平行,同位角相等又∵∠=∠1已知∴∠2=∠3等量代换∴平分∠角平分线定义考点平行线的判定与性质.专题推理填空题.分析根据垂直的定义及平行线的性质与判定定理即可证明本题.解答解∵⊥于,⊥于,已知∴∠=∠=90°,垂直定义∴∥,同位角相等,两直线平行∴∠1=∠2,两直线平行,内错角相等∠=∠3,两直线平行,同位角相等又∵∠=∠1已知∴∠2=∠3等量代换∴平分∠角平分线定义.点评本题考查了平行线的判定与性质,属于基础题,关键是注意平行线的性质和判定定理的综合运用.22.8分在如图所示的正方形网格中,每个小正方形的边长为1,格点三角形顶点是网格线的交点的三角形的顶点、的坐标分别为﹣4,5,﹣1,3.1请在如图所示的网格平面内作出平面直角坐标系;2请把△先向右移动5个单位,再向下移动3个单位得到△′′′,在图中画出△′′′;3求△的面积.考点作图-平移变换.分析1根据点坐标,将坐标轴在点平移到原点即可;2利用点的坐标平移性质得出,′′,′坐标即可得出答案;3利用矩形面积减去周围三角形面积得出即可.解答解1∵点的坐标为﹣4,5,∴在点轴向右平移4个单位,轴向下平移5个单位得到即可;2如图所示△′′′即为所求;3△的面积为3×4﹣×3×2﹣×1×2﹣×2×4=4.点评此题主要考查了平移变换以及三角形面积求法和坐标轴确定方法,正确平移顶点是解题关键.23.10分我市中考体育测试中,1分钟跳绳为自选项目.某中学九年级共有若干名女同学选考1分钟跳绳,根据测试评分标准,将她们的成绩进行统计后分为、、、四等,并绘制成下面的频数分布表注5~10的意义为大于等于5分且小于10分,其余类似和扇形统计图如图.等级分值跳绳次1分钟频数125~15135~16010~125110~135305~1060~1100~50~6011的值是14,的值是30;2等级人数的百分比是10;3在抽取的这个样本中,请说明哪个分数段的学生最多?4请你帮助老师计算这次1分钟跳绳测试的及格率10分以上含10分为及格.考点扇形统计图;频数率分布表.分析1首先根据等级的人数除以其所占的百分比即可求得总人数,然后乘以28即可求得的值,总人数减去其他三个小组的频数即可求得的值;2用值除以总人数即可求得其所占的百分比;3从统计表的数据就可以直接求出结论;4先计算10分以上的人数,再除以50乘以100就可以求出结论.解答解1观察统计图和统计表知等级的有30人,占60,∴总人数为30÷60=50人,∴=50×28=14人,=50﹣14﹣30﹣1=5;2等级所占的百分比为×100=10;3等级的人数最多;4及格率为×100=88.点评本题考查了频数分布表的运用,扇形统计图的运用,在解答时看懂统计表与统计图得关系式关键.24.10分2012•益阳为响应市政府创建国家森林城市的号召,某小区计划购进、两种树苗共17棵,已知种树苗每棵80元,种树苗每棵 60 元.1 若购进、两种树苗刚好用去 1220 元,问购进、两种树 苗各多少棵?2 若购买种树苗的数量少于种树苗的数量,请你给出一 种费用最省的方案,并求出该方案所需费用.考点一元一次不等式的 应用;一元一次方程的应用.专题压轴题.分析 1 假设购进种树苗棵, 则购进种树苗 17﹣棵,利用购进、两种树苗刚好用去 1220 元,结合 单价,得出等式方程求出即可;2 结合 1 的解和购买种树苗的数量少 于种树苗的数量,可找出方案.解答解 1 设购进种树苗棵,则购进种 树苗 17﹣棵,根据题意得 80+6017﹣=1220,解得=10,∴17﹣=7,答 购进种树苗 10 棵,种树苗 7 棵;2 设购进种树苗棵,则购进种树苗 17﹣棵,根据题意得 17﹣<,解得>,购进、两种树苗所需费用为 80+6017﹣=20+1020,则费用最省需取最小整数 9,此时 17﹣=8,这 时所需费用为 20×9+1020=1200 元.答费用最省方案为购进种树苗 9 棵,种树苗 8 棵.这时所需费用为 1200 元.点评此题主要考查了一 元一次不等式组的应用以及一元一次方程应用,根据一次函数的增减 性得出费用最省方案是解决问题的关键.【初一下册数学题及答案苏 教版】。
苏科七年级苏科初一下册数学期末试卷及答案全百度文库一、选择题1.下列运算中,正确的是( )A .(ab 2)2=a 2b 4B .a 2+a 2=2a 4C .a 2•a 3=a 6D .a 6÷a 3=a 22.计算(﹣2a 2)•3a 的结果是( )A .﹣6a 2B .﹣6a 3C .12a 3D .6a 33.下列条件中,能判定△ABC 为直角三角形的是( ).A .∠A=2∠B -3∠C B .∠A+∠B=2∠C C .∠A-∠B=30°D .∠A=12∠B=13∠C 4.把面值20元的纸币换成1元或5元的纸币,则换法共有 ( )A .4种B .5种C .6种D .7种5.如图所示的四个图形中,∠1和∠2不是同位角的是( )A .B .C .D .6.一个三角形的两边长分别为3和4,且第三边长为整数,这样的三角形的周长最大值是( )A .11B .12C .13D .147.下列图案中,可以看成是由图案自身的一部分经平移后得到的是( ) A . B . C . D .8.某中学现有学生500人,计划一年后女生在校生增加3%,男生在校生增加4%,这样,在校学生将增加3.4%,设该校现有女生人数x 和男生y ,则列方程组为( ) A .500(14%)(13%)500(1 3.4)x y x y +=⎧⎨+++=⨯+⎩ B .5003%4% 3.4%x y x y +=⎧⎨+=⎩ C .500(13%)(14%)500(1 3.4%)x y x y +=⎧⎨+++=⨯+⎩ D .5004%3%500 3.4%x y x y +=⎧⎨+=⨯⎩ 9.下列计算不正确的是( ) A .527a a a = B .623a a a ÷=C .2222a a a +=D .(a 2)4=a 8 10.下列给出的线段长度不能与4cm ,3cm 能构成三角形的是( ) A .4cmB .3cmC .2cmD .1cm 11.平面直角坐标系中,点A 到x 轴的距离为1,到y 轴的距离为3,且在第二象限,则点A 的坐标为( )A .()1,3-B .()3,1-C .()1,3-D .()3,1- 12.关于x 的不等式组0233(2)x m x x ->⎧⎨-≥-⎩恰有三个整数解,那么m 的取值范围为( )A .10m -<≤B .10m -≤<C .01m ≤<D .01m <≤二、填空题13.已知2x +3y -5=0,则9x •27y 的值为______.14.如图,已知AB ∥CD ,BC ∥DE .若∠A =20°,∠C =105°,则∠AED 的度数是_____.15.如图,将一副直角三角板,按如图所示叠放在一起,则图中∠COB =____.16.如图,点B 在线段AC 上(BC>AB ),在线段AC 同侧作正方形ABMN 及正方形BCEF ,连接AM 、ME 、EA 得到△AME .当AB=1时,△AME 的面积记为S 1;当AB=2时,△AME 的面积记为S 2;当AB=3时,△AME 的面积记为S 3;则S 2020﹣S 2019=_____.17.若分解因式221(3)()x mx x x n +-=++,则m =__________. 18.()()3a 3b 13a 3b 1899+++-=,则a b += ______ .19.()22x y --=_____.20.三角形两边长分别是3、5,第三边长为偶数,则第三边长为_______21.如图,将一块三角板的直角顶点放在直尺的一边上,当∠2=54º时,∠1=______.22.若29x kx -+是完全平方式,则k =_____.23.计算:2020(0.25)-×20194=_________.24.若2a +b =﹣3,2a ﹣b =2,则4a 2﹣b 2=_____.三、解答题25.先化简,再求值:(2x+2)(2﹣2x )+5x (x+1)﹣(x ﹣1)2,其中x =﹣2.26.定义:对于任何数a ,符号[]a 表示不大于a 的最大整数.(1)103⎡⎤-=⎢⎥⎣⎦(2)如果2333x -⎡⎤=-⎢⎥⎣⎦,求满足条件的所有整数x 。
苏科版七年级数学下册计算题专项训练1.幂的运算1.1 计算:1) $2^{3}$;2) $a^{8} \cdot a^{7}$;3) $b^{3} \cdot b^{6} \cdot b^{5}$;4) $(x+y)^{3} \cdot (x+y) \cdot (x+y)^{2}$。
1.2 计算或化简:1) $\dfrac{(y^{3})^{3}}{y^{6}}$;2) $2^{2019} - |{-23}| + (\pi - 5)$。
2.因式分解2.1 因式分解:1) $am^{2} - 4am + 2a$;2) $a^{2}(x-y) + b^{2}(y-x)$。
2.2 因式分解:1) $3x(a-b) - 6y(b-a)$;2) $(y^{2} - 1)^{2} - 6(y^{2} - 1) + 9$。
2.3 因式分解:1) $x^{2}y - 2xy + y$;2) $\dfrac{a^{5} \cdot (a^{4})^{2}}{(-a^{2})^{3}}$。
2.4 因式分解1) $x^{2} - 9$;2) $(x^{2} + 4)^{2} - 16x^{2}$。
3.解二元一次方程组3.1 解下列二元一次方程组begin{cases} 2x - 3y = 6 \\ 3x + 2y = 1 \end{cases}$3.2 解下列方程dfrac{x+2}{x-3} - \dfrac{5}{x-3} = \dfrac{4}{x-3}$4.解一元一次不等式4.1 解不等式组begin{cases} 2x + 3.7 \\ x - 1 < 3 \end{cases}$4.2 解不等式组,并求出它的所有整数解的和begin{cases} 2x + 1 \leq 5 \\ x - 3 \geq -1 \end{cases}$。
5.参考答案1.1 计算:1) $2^{3} = 8$;2) $a^{8} \cdot a^{7} = a^{15}$;3) $b^{3} \cdot b^{6} \cdot b^{5} = b^{14}$;4) $(x+y)^{3} \cdot (x+y) \cdot (x+y)^{2} = (x+y)^{6}$。
苏科版七年级数学下册数学综合练习(幂的运算、整式乘法与因式分解、二元一次方程组)一.选择题(共12小题)1.下列由2和3组成的四个算式中,值最小的是( )A .23-B .23÷C .32D .32- 2.若2(0.2)a -=-,2b =-,2(2)c =-,则a 、b 、c 大小为( ) A .a b c << B .a c b << C .b c a << D .c b a << 3.下列计算正确的是( )A .824a a a ÷=B .448a a a +=C .22(3)9a a -=D .222()a b a b +=+4.下列各式从左到右的变形属于因式分解且分解正确的是( ) A .2(1)(1)1x x x +-=- B .222(2)(2)x y x y x y -=+- C .221(2)1a a a a ++=++D .2244(2)a a a -+-=--5.分解因式2242x x -+的最终结果是( )A .2(2)x x -B .22(1)x -C .22(21)x x -+D .2(22)x - 6.“龟鹤同池,龟鹤共100只,共有脚350只,问龟鹤各多少只?”设龟有x 只,鹤有y 只,则下列方程组中正确的是( ) A .10024350x y x y +=⎧⎨+=⎩B .10042350x y x y +=⎧⎨+=⎩C .10042350x y x y -=⎧⎨+=⎩D .10024350x y x y -=⎧⎨+=⎩7.如果多项式1x +与2x bx c -+的乘积中既不含2x 项,也不含x 项,则b 、c 的值是( ) A .1b c == B .1b c ==- C .0b c == D .0b =,1c =8.如图,用四个完全一样的长、宽分别为x 、y 的长方形纸片围成一个大正方形ABCD ,中间是空的小正方形EFGH .若AB a =,EF b =,判断以下关系式:①x y a +=;②x y b -=;③222a b xy -=;④22x y ab -=;⑤22222a b x y ++=,其中正确的个数有( )A .2个B .3个C .4个D .5个9.小亮解方程组2212x y x y +=⎧⎨-=⎩●的解为5x y =⎧⎨=⎩å,由于不小心滴上了两滴墨水,刚好遮住了两个数●和★,则这两个数分别为( )A .4和6B .6和4C .2和8D .8和2-10.如图,宽为50cm 的长方形图案由10个全等的小长方形拼成,其中一个小长方形的面积为( )A .2400cmB .2500cmC .2600cmD .2300cm11.关于x ,y 的方程组225y x mx m +=⎧⎨+=⎩的解满足6x y +=,则m 的值为( )A .1-B .2C .1D .412.454545(32)(3)(32)(2)(1)(34)x x x x x x x x x +-+++-+++-与下列哪一个式子相同( )A .45(34)x x - (21)x +B .45(34)(23)x x x --+C .45(34)x x - (23)x +D .45(34)(21)x x x --+二.填空题(共12小题)13.2(2)-= 4 ,22-= ,2(2)--= .14.一种花瓣的花粉颗粒直径约为0.0000065米,将数据0.0000065用科学记数法表示为 . 15.若4n x =,9n y =,则()n xy = .16.分解因式:2214x y -= 11()()22x y x y +- . 17.若正有理数m 使得二次三项式2236x mx -+是一个完全平方式,则m = .18.若多项式26x x b --可化为2()1x a +-,则b 的值是 .19.已知:3a b +=-,2ab =,则22a b ab += .20.若关于x 、y 的二元一次方程组2231x y ax y a -=⎧⎨+=-⎩的解满足1x y +=,则a 的值为 .21.已知4s t +=,则228s t t -+= 16 .22.已知237x y =+,则32x y -= .23.某地准备对一段长120m 的河道进行清淤疏通.若甲工程队先用4天单独完成其中一部分河道的疏通任务,则余下的任务由乙工程队单独完成需要9天;若甲工程队先单独工作8天,则余下的任务由乙工程队单独完成需要3天.设甲工程队平均每天疏通河道xm ,乙工程队平均每天疏通河道ym ,则()x y +的值为 20 . 24.已知代数式24x x +可以利用完全平方公式变形为2(2)4x +-,进而可知24x x +的最小值是4-,依此方法,代数式226212x y x y ++-+的最小值是 . 三.解答题(共16小题) 25.计算:(1)0121(1)()22π-----;(2)2423(3)(2)a a a -+-g .26.计算:(1)230111(3)(3.14)()20π----÷--.(2)332(24)(0.5)a b ab ab --g. (3)已知2410x x +-=,求代数式22(2)(2)(2)x x x x +-+-+的值.27.因式分解: (1)2242x x -+ (2)4234x x --.28.分解因式: (1)3269x x x -+ (2)2(2)2x x --+.(3)22222()4x y x y +-.29.先化简后求值:(1)2(2)(2)(1)x x x +---,其中1x =-; (2)2(2)()3()2()a b a b a a b a b ++-+++,其中34a =,14b =-.30.解下列方程组:(1)123x y x y =+⎧⎨-=⎩;(2)1123232x y x y +⎧-=⎪⎨⎪-=⎩.31.解下列方程组:(1)524235x y x y -=⎧⎨-=-⎩;(2)042325560a b c a b c a b c -+=⎧⎪++=⎨⎪++=⎩.32.已知5x y +=,3xy =. (1)求(2)(2)x y --的值;(2)求224x xy y ++的值.33.某家商店的帐目记录显示,某天卖出26支牙刷和14盒牙膏,收入264元;一天,以同样的价格卖出同样的39支牙刷和21盒牙膏,收入393元.该商店的会计人员稍加演算就发现上述记录有误. (1)请思考为什么上述记录有误?你能用二元一次方程组的知识来解释吗?(2)若第一次记录是正确的,则第二次卖39支牙刷和21盒牙膏应收入 元.34.小明和小红学习了用图形面积研究整式乘法的方法后,分别进行了如下数学探究:把一根铁丝截成两段,探究1:小明截成了两根长度不同的铁丝,并用两根不同长度的铁丝分别围成两个正方形,已知两正方形的边长和为20cm ,它们的面积的差为240cm ,则这两个正方形的边长差为 2cm .探究2:小红截成了两根长度相同的铁丝,并用两根同样长的铁丝分别围成一个长方形与一个正方形,若长方形的长为x m ,宽为y m ,(1)用含x 、y 的代数式表示正方形的边长为 ;(2)设长方形的长大于宽,比较正方形与长方形面积哪个大,并说明理由.35.图①是一个长为2m 、宽为2n 的长方形,沿图中虚线用剪刀均分成四块小长方形,然后按图②的形状拼成一个正方形.(1)请用两种不同的方法求图②中阴影部分的面积. 方法1: 2()m n - 方法2:(2)观察图②请你写出下列三个代数式:2()m n +,2()m n -,mn 之间的等量关系. ; (3)根据(2)题中的等量关系,解决如下问题: ①已知:5a b -=,6ab =-,求:2()a b +的值;②已知:0a >,21a a-=,求:2a a +的值.(2)该商场售完这500箱矿泉水,可获利多少元?37.一艘轮船在相距90千米的甲、乙两地之间匀速航行,从甲地到乙地顺流航行用6小时,逆流航行比顺流航行多用4小时.(1)求该轮船在静水中的速度和水流速度;(2)若在甲、乙两地之间建立丙码头,使该轮船从甲地到丙地和从乙地到丙地所用的航行时间相同,问甲、丙两地相距多少干米?6公里与8.5公里,两人付给滴滴快车的乘车费相同. (1)求这两辆滴滴快车的实际行车时间相差多少分钟;(2)实际乘车时间较少的人,由于出发时间比另一人早,所以提前到达约见地点在大厅等候.已知他等候另一人的时间是他自己实际乘车时间的1.5倍,且比另一人的实际乘车时间的一半多8.5分钟,计算俩人各自的实际乘车时间.39.在某体育用品商店,购买30根跳绳和60个毽子共用720元,购买10根跳绳和50个毽子共用360元.(1)跳绳、毽子的单价各是多少元?(2)该店在“五g 四”青年节期间开展促销活动,所有商品按同样的折数打折销售.节日期间购买100根跳绳和100个毽子只需1800元,该店的商品按原价的几折销售?40.体育器材室有A 、B 两种型号的实心球,1只A 型球与1只B 型球的质量共7千克,3只A 型球与1只B 型球的质量共13千克.(1)每只A 型球、B 型球的质量分别是多少千克?(2)现有A 型球、B 型球的质量共17千克,则A 型球、B 型球各有多少只?参考答案与试题解析一.选择题(共12小题)1.A ; 2.A ; 3.C ; 4.D ; 5.B ; 6.B ; 7.A ; 8.C ; 9.D ; 10.A ; 11.A ; 12.D ; 二.填空题(共12小题)13.:4;14;14. 14.6.5×10﹣6; 15.36; 16.(xy )(xy ); 17.6; 18.﹣8; 19.﹣6; 20.12;21.16; 22.72; 23.20; 24.2;一.选择题(共12小题)1.下列由2和3组成的四个算式中,值最小的是( )A .23-B .23÷C .32D .32-【解答】解:A 、原式1=-;B 、原式23=;C 、原式8=;D 、原式18=,121883∴-<<<,则值最小的为23-, 故选:A .2.若2(0.2)a -=-,2b =-,2(2)c =-,则a 、b 、c 大小为( ) A .a b c << B .a c b << C .b c a << D .c b a <<【解答】解:2(0.2)25a -=-=-Q , 2b =-,2(2)4c =-=, a b c ∴<<, 故选:A .3.下列计算正确的是( )A .824a a a ÷=B .448a a a +=C .22(3)9a a -=D .222()a b a b +=+【解答】解:A 、同底数幂的除法底数不变指数相减,故A 错误; B 、合并同类项系数相加字母及指数不变,故B 错误; C 、积的乘方等于乘方的积,故C 正确;D 、和的平方等余平方和加积的二倍,故D 错误; 故选:C .4.下列各式从左到右的变形属于因式分解且分解正确的是( ) A .2(1)(1)1x x x +-=-B .222(2)(2)x y x y x y -=+-C .221(2)1a a a a ++=++D .2244(2)a a a -+-=-- 【解答】解:A 、是整式的乘法,故A 错误; B 、分解错误,故B 错误;C 、没把一个多项式转化成几个整式积的形式,故C 错误;D 、把一个多项式转化成几个整式积的形式,故D 正确; 故选:D .5.分解因式2242x x -+的最终结果是( ) A .2(2)x x -B .22(1)x -C .22(21)x x -+D .2(22)x -【解答】解:原式222(21)2(1)x x x =-+=-. 故选:B . 6.“龟鹤同池,龟鹤共100只,共有脚350只,问龟鹤各多少只?”设龟有x 只,鹤有y 只,则下列方程组中正确的是( ) A .10024350x y x y +=⎧⎨+=⎩B .10042350x y x y +=⎧⎨+=⎩C .10042350x y x y -=⎧⎨+=⎩D .10024350x y x y -=⎧⎨+=⎩【解答】解:设龟有x 只,鹤有y 只,由题意得:10042350x y x y +=⎧⎨+=⎩, 故选:B .7.如果多项式1x +与2x bx c -+的乘积中既不含2x 项,也不含x 项,则b 、c 的值是( ) A .1b c == B .1b c ==- C .0b c == D .0b =,1c =【解答】解:根据题意得:232232(1)()(1)()x x bx c x bx cx x bx c x b x c b x c +-+=-++-+=+-+-+, 由结果不含2x 项,也不含x 项,得到10b -=,0c b -=, 解得:1b =,1c =, 故选:A .8.如图,用四个完全一样的长、宽分别为x 、y 的长方形纸片围成一个大正方形ABCD ,中间是空的小正方形EFGH .若AB a =,EF b =,判断以下关系式:①x y a +=;②x y b -=;③222a b xy -=;④22x y ab -=;⑤22222a b x y ++=,其中正确的个数有( )A .2个B .3个C .4个D .5个【解答】解:由图形可得:①大正方形的边长=长方形的长+长方形的宽,故x y a +=正确; ②小正方形的边长=长方形的长-长方形的宽,故x y b -=正确;③大正方形的面积-小正方形的面积4=个长方形的面积,故224a b xy -=错误; ④根据①知x y a +=,根据②知x y b -=,则22x y ab -=,正确;⑤22222222()2242a b a b x y x y xy a -++=+-=-⨯=,正确. 所以正确的个数为4. 故选:C .9.小亮解方程组2212x y x y +=⎧⎨-=⎩●的解为5x y =⎧⎨=⎩å,由于不小心滴上了两滴墨水,刚好遮住了两个数●和★,则这两个数分别为( )A .4和6B .6和4C .2和8D .8和2-【解答】解:5x =Q 是方程组的解, 2512y ∴⨯-=,2y ∴=-, 22528x y ∴+=⨯-=,∴●是8,★是2-.故选:D .10.如图,宽为50cm 的长方形图案由10个全等的小长方形拼成,其中一个小长方形的面积为( )A .2400cm B .2500cm C .2600cm D .2300cm【解答】解:设一个小长方形的长为xcm ,宽为ycm ,则可列方程组5042x y x y x +=⎧⎨+=⎩,解得4010x y =⎧⎨=⎩,则一个小长方形的面积24010400cm cm cm =⨯=. 故选:A .11.关于x ,y 的方程组225y x mx m +=⎧⎨+=⎩的解满足6x y +=,则m 的值为( )A .1-B .2C .1D .4【解答】解:解方程组225y x m x m +=⎧⎨+=⎩得5249x m y m =-⎧⎨=-⎩,6x y +=Q ,52(49)6m m ∴-+-= 1m =-, 故选:A .12.454545(32)(3)(32)(2)(1)(34)x x x x x x x x x +-+++-+++-与下列哪一个式子相同( )A .45(34)x x - (21)x +B .45(34)(23)x x x --+C .45(34)x x - (23)x +D .45(34)(21)x x x --+【解答】解:454545(32)(3)(32)(2)(1)(34)x x x x x x x x x +-+++-+++-454545(32)[(3)(2)](1)(34)x x x x x x x x =+-++-+++- 4545(32)(34)(1)(34)x x x x x x =+-+++-45(34)(21)x x x =--+. 故选:D .二.填空题(共12小题)13.2(2)-= 4 ,22-= ,2(2)--= . 【解答】解:2(2)4-=;2211224-==;2211(2)(2)4--==-. 故答案为:4;14;14.14.一种花瓣的花粉颗粒直径约为0.0000065米,将数据0.0000065用科学记数法表示为 66.510-⨯ .【解答】解:60.0000065 6.510-=⨯. 故答案为:66.510-⨯.15.若4n x =,9n y =,则()n xy = 36 .【解答】解:4n x =Q ,9n y =,()n xy ∴ n n x y =g 49=⨯ 36=.故答案为:36.16.分解因式:2214x y -= 11()()22x y x y +- . 【解答】解:22111()()422x y x y x y -=+-.故答案为:11()()22x y x y +-.17.若正有理数m 使得二次三项式2236x mx -+是一个完全平方式,则m = 6 .【解答】解:2236x mx -+Q 是一个完全平方式, 6m ∴=±,m Q 为正有理数, 6m ∴=, 故答案为:618.若多项式26x x b --可化为2()1x a +-,则b 的值是 8- .【解答】解:2226(3)9()1x x b x b x a --=---=+-Q , 3a ∴=-,91b --=-, 解得:3a =-,8b =-. 故答案为:8-.19.已知:3a b +=-,2ab =,则22a b ab += 6- . 【解答】解:3a b +=-Q ,2ab =, ∴原式()6ab a b =+=-. 故答案为:6-20.若关于x 、y 的二元一次方程组2231x y ax y a -=⎧⎨+=-⎩的解满足1x y +=,则a 的值为 12 .【解答】解:由题意得:221x y x y -=⎧⎨+=⎩,解得10x y =⎧⎨=⎩,把10x y =⎧⎨=⎩代入31ax y a +=-中得:031a a +=-,解得:12a =,故答案为:12.21.已知4s t +=,则228s t t -+= 16 . 【解答】解:4s t +=Q , 228s t t ∴-+()()8s t s t t =+-+ 4()8s t t =-+ 4()s t =+ 16=.故答案为:16.22.已知237x y =+,则32x y -=72. 【解答】解:237x y =+Q ,即3722x y =+,3722x y ∴-=.故答案为:7223.某地准备对一段长120m 的河道进行清淤疏通.若甲工程队先用4天单独完成其中一部分河道的疏通任务,则余下的任务由乙工程队单独完成需要9天;若甲工程队先单独工作8天,则余下的任务由乙工程队单独完成需要3天.设甲工程队平均每天疏通河道xm ,乙工程队平均每天疏通河道ym ,则()x y +的值为 20 .【解答】解:设甲工程队平均每天疏通河道xm ,乙工程队平均每天疏通河道ym ,由题意,得4912083120x y x y +=⎧⎨+=⎩, 解得:128x y =⎧⎨=⎩.20x y ∴+=. 故答案为:20.24.已知代数式24x x +可以利用完全平方公式变形为2(2)4x +-,进而可知24x x +的最小值是4-,依此方法,代数式226212x y x y ++-+的最小值是 2 .【解答】解:222222621269212(3)(1)2x y x y x x y y x y ++-+=+++-++=++-+,2(3)0x +Q …,2(1)0y -…,22(3)(1)2x y ∴++-+的最小值是2. 故答案为:2.三.解答题(共16小题) 25.计算:(1)0121(1)()22π-----;(2)2423(3)(2)a a a -+-g . 【解答】解:(1)原式1241=+-=-; (2)原式66698a a a =-=. 26.计算:(1)230111(3)(3.14)()20π----÷--.(2)332(24)(0.5)a b ab ab --g. (3)已知2410x x +-=,求代数式22(2)(2)(2)x x x x +-+-+的值.【解答】解:(1)原式1(27)120127206=---÷-=-+-=;(2)原式3322533511(24)()42a b ab a b a b a b =-=-g ;(3)原式222244448x x x x x x =++-++=++, 把2410x x +-=,得到241x x +=, 则原式189=+=. 27.因式分解: (1)2242x x -+ (2)4234x x --. 【解答】解:(1)原式222(21)2(1)x x x =-+=-; (2)原式222(4)(1)(2)(2)(1)x x x x x =-+=+-+.28.分解因式: (1)3269x x x -+ (2)2(2)2x x --+. (3)22222()4x y x y +-.【解答】解:(1)原式22(69)(3)x x x x x =-+=-; (2)原式2244256(2)(3)x x x x x x x =-+-+=-+=--; (3)原式222222(2)(2)()()x y xy x y xy x y x y =+++-=+-. 29.先化简后求值:(1)2(2)(2)(1)x x x +---,其中1x =-;(2)2(2)()3()2()a b a b a a b a b ++-+++,其中34a =,14b =-.【解答】解:(1)2(2)(2)(1)x x x +--- 22421x x x =--+- 25x =-,当1x =-时,原式2(1)57=⨯--=-;(2)2(2)()3()2()a b a b a a b a b ++-+++222222233242a ab ab b a ab a ab b =+++--+++ 244ab b =+,当34a =,14b =-时,原式231114()4()4442=⨯⨯-+⨯-=-.30.解下列方程组:(1)123x y x y =+⎧⎨-=⎩;(2)1123232x y x y +⎧-=⎪⎨⎪-=⎩. 【解答】解:(1)123x y x y =+⎧⎨-=⎩①②,把①代入②得:223y y +-=,即1y =, 把1y =代入①得:2x =,则方程组的解为21x y =⎧⎨=⎩;(2)方程组整理得:328232x y x y -=⎧⎨-=⎩①②,①-②得:6x y +=③,③2⨯+①得:520x =,即4x =, 把4x =代入③得:2y =, 则方程组的解为42x y =⎧⎨=⎩.31.解下列方程组:(1)524235x y x y -=⎧⎨-=-⎩;(2)042325560a b c a b c a b c -+=⎧⎪++=⎨⎪++=⎩.【解答】解: (1)524235x y x y -=⎧⎨-=-⎩①②①3⨯-②2⨯得:1122x =,解得:2x =,把2x =代入①得:1024y -=,解得:3y =,即原方程组的解是23x y =⎧⎨=⎩;(2)042325560a b c a b c a b c -+=⎧⎪++=⎨⎪++=⎩①②③②-①得:333a b +=,1a b +=④,③-①得:24660a b +=,410a b +=⑤,由④和⑤组成方程组1410a b a b +=⎧⎨+=⎩, 解方程组得:32a b =⎧⎨=-⎩,把3a =,2b =-代入①得:320c ++=,解得:5c =-,即方程组的解是325a b c =⎧⎪=-⎨⎪=-⎩.32.已知5x y +=,3xy =.(1)求(2)(2)x y --的值;(2)求224x xy y ++的值.【解答】解:(1)5x y +=Q ,3xy =,∴原式2()431043xy x y =-++=-+=-;(2)5x y +=Q ,3xy =,∴原式2()225631x y xy =++=+=.33.某家商店的帐目记录显示,某天卖出26支牙刷和14盒牙膏,收入264元;一天,以同样的价格卖出同样的39支牙刷和21盒牙膏,收入393元.该商店的会计人员稍加演算就发现上述记录有误.(1)请思考为什么上述记录有误?你能用二元一次方程组的知识来解释吗?(2)若第一次记录是正确的,则第二次卖39支牙刷和21盒牙膏应收入 396 元.【解答】解:设1支牙刷x 元,1盒牙膏y 元.根据题意,得26142643921393x y x y +=⎧⎨+=⎩, 化简得137132137131x y x y +=⎧⎨+=⎩, 13:137:7132:131=≠Q ,∴方程组无解.所以记录有误.(2)由(1)知,137132x y +=,则3(137)3132396x y +=⨯=(元).即:第二次卖39支牙刷和21盒牙膏应收入396元.故答案是:396.34.小明和小红学习了用图形面积研究整式乘法的方法后,分别进行了如下数学探究:把一根铁丝截成两段,探究1:小明截成了两根长度不同的铁丝,并用两根不同长度的铁丝分别围成两个正方形,已知两正方形的边长和为20cm ,它们的面积的差为240cm ,则这两个正方形的边长差为 2cm .探究2:小红截成了两根长度相同的铁丝,并用两根同样长的铁丝分别围成一个长方形与一个正方形,若长方形的长为x m ,宽为y m ,(1)用含x 、y 的代数式表示正方形的边长为 ;(2)设长方形的长大于宽,比较正方形与长方形面积哪个大,并说明理由.【解答】解:探究1:设两个正方形的边长分别为a ,b ,则20a b +=,2240a b -=()()40a b a b +-=20()40a b --=,2()a b cm -=,故答案为:2cm .探究二:(1)2242x y x y ++=;故答案为:2x y +; (2)22()()24x y x y xy +--= x y >Q , ∴2()04x y ->, ∴2()2x y xy +>, ∴正方形的面积大于长方形的面积.35.图①是一个长为2m 、宽为2n 的长方形,沿图中虚线用剪刀均分成四块小长方形,然后按图②的形状拼成一个正方形.(1)请用两种不同的方法求图②中阴影部分的面积.方法1: 2()m n -方法2:(2)观察图②请你写出下列三个代数式:2()m n +,2()m n -,mn 之间的等量关系. ;(3)根据(2)题中的等量关系,解决如下问题:①已知:5a b -=,6ab =-,求:2()a b +的值;②已知:0a >,21a a-=,求:2a a +的值. 【解答】解:(1)方法21:()m n -;方法22:()4m n mn +-;(2)22()()4m n m n mn -=+-;故答案为:2()m n -;2()4m n mn +-;22()()4m n m n mn -=+-;(3)①解:5a b -=Q ,6ab =-,222()()454(6)25241a b a b ab ∴+=-+=+⨯-=-=;②解:由已知得:222222()()4189a a a a a a+=-+=+=g g , 0a >Q ,20a a+>, 23a a∴+=.(2)该商场售完这500箱矿泉水,可获利多少元?【解答】解:(1)设购进甲矿泉水x 箱,购进乙矿泉水y 箱,依题意,得:500253514500x y x y +=⎧⎨+=⎩, 解得:300200x y =⎧⎨=⎩. 答:购进甲矿泉水300箱,购进乙矿泉水200箱.(2)(3525)300(4835)2005600-⨯+-⨯=(元).答:该商场售完这500箱矿泉水,可获利5600元.37.一艘轮船在相距90千米的甲、乙两地之间匀速航行,从甲地到乙地顺流航行用6小时,逆流航行比顺流航行多用4小时.(1)求该轮船在静水中的速度和水流速度; (2)若在甲、乙两地之间建立丙码头,使该轮船从甲地到丙地和从乙地到丙地所用的航行时间相同,问甲、丙两地相距多少干米?【解答】解:(1)设该轮船在静水中的速度是x 千米/小时,水流速度是y 千米/小时,依题意,得:6()90(64)()90x y x y +=⎧⎨+-=⎩, 解得:123x y =⎧⎨=⎩. 答:该轮船在静水中的速度是12千米/小时,水流速度是3千米/小时.(2)设甲、丙两地相距a 千米,则乙、丙两地相距(90)a -千米,依题意,得:90123123a a -=+-, 解得:2254a =. 答:甲、丙两地相距2254千米.6公里与8.5公里,两人付给滴滴快车的乘车费相同.(1)求这两辆滴滴快车的实际行车时间相差多少分钟;(2)实际乘车时间较少的人,由于出发时间比另一人早,所以提前到达约见地点在大厅等候.已知他等候另一人的时间是他自己实际乘车时间的1.5倍,且比另一人的实际乘车时间的一半多8.5分钟,计算俩人各自的实际乘车时间.【解答】解:(1)设小王的实际行车时间为x 分钟,小张的实际行车时间为y 分钟,由题意得:1.860.3 1.88.50.30.8(8.57)x y ⨯+=⨯++⨯-10.80.316.50.3x y ∴+=+0.3() 5.7x y -=19x y ∴-=∴这两辆滴滴快车的实际行车时间相差19分钟.(2)由(1)及题意得:1911.58.52x y y x -=⎧⎪⎨=+⎪⎩ 化简得19317x y y x -=⎧⎨-=⎩①② ①+②得236y =18y ∴=③ 将③代入①得37x =∴小王的实际乘车时间为37分钟,小张的实际乘车时间为18分钟.39.在某体育用品商店,购买30根跳绳和60个毽子共用720元,购买10根跳绳和50个毽子共用360元.(1)跳绳、毽子的单价各是多少元?(2)该店在“五g 四”青年节期间开展促销活动,所有商品按同样的折数打折销售.节日期间购买100根跳绳和100个毽子只需1800元,该店的商品按原价的几折销售?【解答】解:(1)设跳绳的单价为x 元/条,毽子的单件为y 元/个,可得:30607201050360x y x y +=⎧⎨+=⎩, 解得:164x y =⎧⎨=⎩, 答:跳绳的单价为16元/条,毽子的单件为4元/个;(2)设该店的商品按原价的a 折销售,可得:(100161004)180010a ⨯+⨯⨯=, 解得:9a =,答:该店的商品按原价的9折销售.40.体育器材室有A 、B 两种型号的实心球,1只A 型球与1只B 型球的质量共7千克,3只A 型球与1只B 型球的质量共13千克.(1)每只A 型球、B 型球的质量分别是多少千克?(2)现有A 型球、B 型球的质量共17千克,则A 型球、B 型球各有多少只?【解答】解:(1)设每只A 型球、B 型球的质量分别是x 千克、y 千克,根据题意可得:7313x y x y +=⎧⎨+=⎩,解得:34x y =⎧⎨=⎩, 答:每只A 型球的质量是3千克、B 型球的质量是4千克;。
苏科版七年级下册因式分解专项练习100题及答案一、提取公因式(1)(71)(73)(71)(64)----+a b a b(2)223-2718a b c abc(3)(85)(25)(42)(85)+--+++m n n m(4)(35)(72)(35)(34)(35)(2)+--++-++++a b a b a b(5)(51)(21)(51)(54)---+--x x x x(6)(23)(41)(22)(23)+---+a b b a(7)(83)(2)(83)(35)+-++++x y x y(8)(35)(41)(35)(82)---+--x x x x(9)242234527a y a x y -(10)43233521x yz y z +(11)4233299a x y a y +(12)(75)(53)(92)(75)m n n m --+++-(13)(74)(95)(74)(22)x x x x --++--(14)(92)(35)(92)(64)a b a b +-+-++(15)324244a x a x y -(16)432246axy x y +(17)3243521ab c bc -(18)3242422+-x y z x y z xy z32816 (19)(61)(35)(84)(61)--+---m n n m (20)342-x x y z55二、公式法(21)22-m n2525(22)22484x y-(23)22-+-m n m4912681(24)2++x x25210441(25)22++m mn n460225(26)227291242529m mn n -+(27)226761092441m mn n -+(28)226251509a ab b ++(29)22361380100m mn n -+(30)2225x y -三、分组分解法(31)551ab a b --+(32)22722554305x z xy yz zx--++(33)24682mx my nx ny-+-(34)291463mn m n -+-(35)14631045+++ax ay bx by (36)4276010xy x y-+-(37)22---+2735242515a b ab bc ca(38)22++--a b ab bc ca6325801018 (39)22++++24220213a b ab bc ca(40)30105418-+-+xy x y(41)22a b ab bc ca++--256354235 (42)22+--mx my nx ny(43)22+-+-4625427x y xy yz zx(44)22---+165383514x y xy yz zx (45)801005670mx my nx ny+--(46)22----2710513a c ab bc ca(47)22-++x z xy yz4923(48)22+--+a c ab bc ca57354912 (49)22++++x z xy yz zx2136353060 (50)56704050+--ab a b四、拆添项(51)22m n m n---+4924635 (52)22--+-16481413a b a b(53)2281161621677a b a b -+++(54)42248111049m m n n ++(55)42248118781m m n n -+(56)4224367625a a b b -+(57)4249419x x ++(58)42248112249a a b b ++(59)2264491611263a b a b --+-(60)2216361610877m n m n --+-五、十字相乘法(61)2x xy x y++--721847414 (62)222-+--+1874152727a b c ab bc ac(63)2264377++--p pq q p q(64)22---+422351410x xy y x y (65)22+--+-241025144520x xy y x y (66)22++--x xy y x y4023383(67)222x y z xy yz xz++--+92411620(68)22a ab b a b--+--3617353223 (69)222+--+-158********x y z xy yz xz(70)22x xy y x y+++++422533296 (71)22+--++82528361216m mn n m n (72)22164635186928+-+--m mn n m n (73)222+-+++ 24712294042x y z xy yz xz (74)22-+++-52710301135x xy y x y (75)22++--+x xy y x y494910703525 (76)222x y z xy yz xz--+--3532482222(77)22a ab b a b-++-165435410 (78)22-+-+911244m mn n m n(79)222+-+--x y z xy yz xz20206411926(80)2a ab a b-+-+2415743542六、双十字相乘法(81)222++--+561252715x y z xy yz xz (82)222x y z xy yz xz--+--20142018439 (83)22+--+-a ab b a b181******** (84)22x xy y x y-++-+216036586021(85)222a b c ab bc ac+-+-+3214664174 (86)22++---141757821a ab b a b(87)2223695391241a b c ab bc ac+-+--(88)224862764342x xy y x y -+++-(89)2227620432623a b c ab bc ac+-+-+(90)225116232810x xy y x y -++--七、因式定理(91)32392x x x +--(92)32255173x x x ---(93)32263a a a ---(94)3236722550x x x --+(95)32581012x x x +--(96)32421215x x x -++(97)32523318y y y ---(98)3258212x x x +++(99)3212172624x x x +--(100)325131212x x x -+-苏科版七年级下册因式分解专项练习100题答案一、提取公因式(1)(71)(7)a b --(2)29(32)abc abc -(3)(85)(23)m n +-(4)(35)(94)a b +-+(5)(51)(35)x x --(6)(23)(21)a b ++(7)(83)(27)x y ++(8)(35)(43)x x --(9)2329(53)a y y x -(10)347(53)yz x y +(11)3229(1)a y ax y +(12)(75)(45)m n -+(13)(74)(73)x x ---(14)(92)(91)a b -+-(15)324(14)a x ay -(16)2226(4)xy ay x +(17)2227(53)bc ab c -(18)22328(42)xy z x z xy z +-(19)(61)(119)m n ---(20)325(1)x xy z -二、公式法(21)(55)(55)m n m n +-(22)(22)(22)x y x y +-(23)(79)(79)m n m n ++-+(24)2(521)x +(25)2(215)m n +(26)2(2723)m n -(27)2(2621)m n -(28)2(253)a b +(29)2(1910)m n -(30)(5)(5)x y x y +-三、分组分解法(31)(51)(1)a b --(32)(865)(95)x y z x z -+-(33)2(3)(4)m n x y +-(34)(7)(29)m n +-(35)(75)(29)a b x y ++(36)(710)(61)x y +-(37)(975)(35)a b c a b ++-(38)(752)(95)a b c a b +-+(39)(7)(263)a b a b c+++(40)2(59)(31)x y-+-(41)(57)(56)a b c a b+-+(42)()(2)m n x y-+(43)(6)(47)x y x y z---(44)(87)(25)x y z x y++-(45)2(107)(45)m n x y-+(46)(57)(2)a b c a c--+(47)(23)(23)x z x y z++-(48)(57)(7)a c ab c+-+(49)(356)(76)x y z x z+++(50)2(75)(45)a b-+四、拆添项(51)(235)(237)m n m n+---(52)(413)(41)a b a b+--+(53)(947)(9411)a b a b++-+(54)2222(947)(947)m mn n m mn n++-+ (55)2222(959)(959)m mn n m mn n+---(56)2222(645)(645)a ab b a ab b+---(57)22(73)(73)x x x x++-+(58)2222(927)(927)a ab b a ab b++-+(59)(879)(877)a b a b+--+ (60)(4611)(467)m n m n+--+五、十字相乘法(61)(827)(92)x y x++-(62)(34)(67)a b c a b c++-+ (63)(61)(7)p q p q+-+(64)(62)(75)x y x y+--(65)(654)(455)x y x y-++-(66)(83)(51)x y x y++-(67)(2)(922)x y z x y z-+-+(68)(973)(451)a b a b++--(69)(544)(326)x y z x y z-+--(70)(733)(62)x y x y++++ (71)(44)(874)m n m n+---(72)(857)(274)m n m n--++ (73)(872)(36)x y z x y z+-++ (74)(57)(525)x y x y-+--(75)(725)(755)x y x y+-+-(76)(734)(56)x y z x y z++--(77)(25)(872)a b a b--+ (78)(924)()m n m n---(79)(456)(54)x y z x y z+-++(80)(856)(37)a b a-++六、双十字相乘法(81)(73)(84)x y z x y z-+-+ (82)(574)(425)x y z x y z++--(83)(347)(641)a b a b+--+ (84)(763)(367)x y x y-+-+(85)(472)(823)a b c a b c+++-(86)(757)(23)a b a b+++-(87)(435)(93)a b c a b c+-++ (88)(87)(676)x y x y---+(89)(75)(64)a b c a b c+-++(90)(562)(5)x y x y---+七、因式定理(91)2(2)(51)x x x-++ (92)(1)(51)(53)x x x-++ (93)2(1)(233)a a a+--(94)(2)(65)(65)x x x-+-(95)2(2)(526)x x x+--(96)(1)(43)(5)x x x-+-(97)(2)(3)(53)y y y+-+ (98)2(2)(526)x x x+-+ (99)(2)(34)(43)x x x+-+ (100)2(2)(536)x x x--+。
七年级下学期计算类综合练习(一)温馨提示:n m n m aa a +=⋅;n m n m a a a -=÷;()mn n m a a =;()np mp p p n mb a b a )2(2-=- 一、计算①a a a ⋅⋅35 ②x x x ÷÷25 ③()()3325m m ⋅ ④343)3(c ab -二、 计算①)234(3222+-⋅-y x xy y x ②)3)(34(2222y x xy xy y x +--温馨提示:2222225309)5(532)3()53(b ab a b b a a b a +-=+⋅⋅-=-;2222225309)5(532)3()53(y xy x y y x x y x ++=+⋅⋅+=+;2222259)5()3()53)(53(b a b a b a b a -=-=+-.三、运用乘法公式进行计算①2)45(b a - ②2)32(y x + ③)4)(4(y x y x +-四、先化简再求值 )42(2)4()2(222y xy y x y x +-++-,其中32,1=-=y x .温馨提示:一般先提公因式,然后再运用公式法分解因式五、分解因式 ①xy y x xy 64822-+- ②322396xy y x y x +- ③ab b a 43-温馨提示:代入消元法解二元一次方程组的基本步骤:①编号;②变形(选择系数简单的未知数,变形成“x=”或“y=”的形式);③代入求值;④再代入求另一值;⑤检验总结。
加减消元法解二元一次方程组的基本步骤:①编号;②变形(使要消去的未知数的系数变成“相等”或“互为相反数”);③加减消元求值(未知数的系数相等时两式相减;未知数的系数互为相反数时两式相加);④代入求另一值;⑤检验总结。
六、解方程组⎩⎨⎧-=+=-12114y x y x ⎩⎨⎧=+=-12122y x y x七、计算2)1(3132----⎪⎭⎫ ⎝⎛-- ()202332----π初中数学试卷。
计算题专项训练一.幂的运算1.计算:(1)()2× 3 (2)a8•a7(3)b3•b6•b5 (4)(x+y)3•(x+y)•(x+y)22.计算(1)(y3)3÷y6(2).3.计算或化简:(1)(2)a5▪(a4)2÷(﹣a2)3 (3).4.计算:(﹣)﹣2+4×(﹣1)2019﹣|﹣23|+(π﹣5)0二.因式分解5.因式分解:(1)am2﹣4am+2a(2)a2(x﹣y)+b2(y﹣x).6.因式分解:(1)3x(a﹣b)﹣6y(b﹣a)(2)(y2﹣1)2﹣6(y2﹣1)+9.7.因式分解(1)x2y﹣2xy+y(2)x4﹣168.因式分解(1)x2﹣9 (2)(x2+4)2﹣16x2.三.解二元一次方程组9.解下列二元一次方程组(1)(2);10.解下列方程(1)(2).四.解一元一次不等式11.解不等式组,并求出它的所有整数解的和.12.解不等式组.13.解不等式组:,并把解集在数轴上表示出来.14.解不等式组,并求其整数解.参考答案1.解:(1)原式==;(2)原式=a8+7=a15;(3)原式=b3+6+5=b14;(4)原式=(x+y)3+1+2=(x+y)6.2.解:(1)原式=y9÷y6=y3;(2)原式=4﹣1+9=12.3.解:(1)原式=8﹣1﹣5=2;(2)原式=a5•a8÷(﹣a6)=﹣a13﹣6=﹣a7;(3)原式=(×2)2019×2=2.4.解:原式=(﹣3)2+4×(﹣1)﹣8+1=9﹣4﹣8+1=﹣25.解:(1)am2﹣4am+2a=a(m2﹣4m+2);(2)a2(x﹣y)+b2(y﹣x)=(x﹣y)(a2﹣b2)=(x﹣y)(a+b)(a﹣b).6.解:(1)原式=3x(a﹣b)+6y(a﹣b)=3(a﹣b)(x+2y);(2)原式=(y2﹣1﹣3)2=(y2﹣4)2=(y+2)2(y﹣2)2.7.解:(1)原式=y(x2﹣2x+1)=y(x﹣1)2;(2)原式=(x2﹣4)(x2+4)=(x﹣2)(x+2)(x2+4).8.解:(1)原式=(x+3)(x﹣3);(2)原式=(x2+4+4x)(x2+4﹣4x)=(x+2)2(x﹣2)2.9.解:(1)①﹣②得:6y=﹣12,解得:y=﹣2,把y=﹣2代入①得:x=﹣2,∴这个方程组的解为;(2),由①得,3x﹣2y=﹣10③,由②得:4x+3y=﹣2④,③×3+④×2,得:x=﹣2,把x=﹣2代入③得:y=2,∴这个方程组的解为.10.解:(1),把①代入②得:3x+2﹣2x=5,解得:x=3,把x=3代入①得:y=﹣2,则方程组的解为;(2),①×4+②得:11x=22,解得:x=2,把x=2代入①得:y=﹣1,则方程组的解为.11.解:解①得:x≥﹣2,解②得:x<4,则不等式组的解集是:﹣2≤x<4,则整数解是:﹣2,﹣1,0,1,2,3.它们的和为3.12.解:解不等式3x﹣1<x﹣5,得:x<﹣2,解不等式﹣x>1,得:x<﹣0.5,则不等式组的解集为x<﹣2.13.解:,解不等式①,得:x≤2,解不等式②,得:x>﹣1,将不等式解集表示在数轴上如下:所以不等式组的解集为﹣1<x≤2.14.解:由3x≥4x﹣1得:x≤1,由>x﹣2得:5x﹣1>2x﹣4,∴x>﹣1,∴不等式组的解集为:﹣1<x≤1,∴不等式组的整数解为0,1.。
计算题专项训练一.幂的运算1.计算:(1)()2× 3 (2)a8•a7(3)b3•b6•b5 (4)(x+y)3•(x+y)•(x+y)22.计算(1)(y3)3÷y6(2).3.计算或化简:(1)(2)a5▪(a4)2÷(﹣a2)3 (3).4.计算:(﹣)﹣2+4×(﹣1)2019﹣|﹣23|+(π﹣5)0二.因式分解5.因式分解:(1)am2﹣4am+2a(2)a2(x﹣y)+b2(y﹣x).6.因式分解:(1)3x(a﹣b)﹣6y(b﹣a)(2)(y2﹣1)2﹣6(y2﹣1)+9.7.因式分解(1)x2y﹣2xy+y(2)x4﹣168.因式分解(1)x2﹣9 (2)(x2+4)2﹣16x2.三.解二元一次方程组9.解下列二元一次方程组(1)(2);10.解下列方程(1)(2).四.解一元一次不等式11.解不等式组,并求出它的所有整数解的和.12.解不等式组.13.解不等式组:,并把解集在数轴上表示出来.14.解不等式组,并求其整数解.参考答案1.解:(1)原式==;(2)原式=a8+7=a15;(3)原式=b3+6+5=b14;(4)原式=(x+y)3+1+2=(x+y)6.2.解:(1)原式=y9÷y6=y3;(2)原式=4﹣1+9=12.3.解:(1)原式=8﹣1﹣5=2;(2)原式=a5•a8÷(﹣a6)=﹣a13﹣6=﹣a7;(3)原式=(×2)2019×2=2.4.解:原式=(﹣3)2+4×(﹣1)﹣8+1=9﹣4﹣8+1=﹣25.解:(1)am2﹣4am+2a=a(m2﹣4m+2);(2)a2(x﹣y)+b2(y﹣x)=(x﹣y)(a2﹣b2)=(x﹣y)(a+b)(a﹣b).6.解:(1)原式=3x(a﹣b)+6y(a﹣b)=3(a﹣b)(x+2y);(2)原式=(y2﹣1﹣3)2=(y2﹣4)2=(y+2)2(y﹣2)2.7.解:(1)原式=y(x2﹣2x+1)=y(x﹣1)2;(2)原式=(x2﹣4)(x2+4)=(x﹣2)(x+2)(x2+4).8.解:(1)原式=(x+3)(x﹣3);(2)原式=(x2+4+4x)(x2+4﹣4x)=(x+2)2(x﹣2)2.9.解:(1)①﹣②得:6y=﹣12,解得:y=﹣2,把y=﹣2代入①得:x=﹣2,∴这个方程组的解为;(2),由①得,3x﹣2y=﹣10③,由②得:4x+3y=﹣2④,③×3+④×2,得:x=﹣2,把x=﹣2代入③得:y=2,∴这个方程组的解为.10.解:(1),把①代入②得:3x+2﹣2x=5,解得:x=3,把x=3代入①得:y=﹣2,则方程组的解为;(2),①×4+②得:11x=22,解得:x=2,把x=2代入①得:y=﹣1,则方程组的解为.11.解:解①得:x≥﹣2,解②得:x<4,则不等式组的解集是:﹣2≤x<4,则整数解是:﹣2,﹣1,0,1,2,3.它们的和为3.12.解:解不等式3x﹣1<x﹣5,得:x<﹣2,解不等式﹣x>1,得:x<﹣0.5,则不等式组的解集为x<﹣2.13.解:,解不等式①,得:x≤2,解不等式②,得:x>﹣1,将不等式解集表示在数轴上如下:所以不等式组的解集为﹣1<x≤2.14.解:由3x≥4x﹣1得:x≤1,由>x﹣2得:5x﹣1>2x﹣4,∴x>﹣1,∴不等式组的解集为:﹣1<x≤1,∴不等式组的整数解为0,1.。
(新课标)苏教版2017-2018学年七年级下册9.4 乘法公式一.选择题1.下列运算正确的是()A.x3+x2=x5B.a3•a4=a12C.(﹣x3)2÷x5=1 D.(﹣xy)3•(﹣xy)﹣2=﹣xy2.若x2+4x﹣4=0,则3(x﹣2)2﹣6(x+1)(x﹣1)的值为()A.﹣6 B.6 C.18 D.303.若x2+mx+k是一个完全平方式,则k等于()A.m2B.m2C.m2 D.m24.下列运算正确的是()A.a2+3a2=4a4B.3a2•a=3a3C.(3a3)2=9a5D.(2a+1)2=4a2+15.计算(2x+1)(x﹣1)﹣(x2+x﹣2)的结果,与下列哪一个式子相同?()A.x2﹣2x+1 B.x2﹣2x﹣3 C.x2+x﹣3 D.x2﹣36.运用乘法公式计算(x+3)2的结果是()A.x2+9 B.x2﹣6x+9 C.x2+6x+9 D.x2+3x+97.下列运算结果正确的是()A.a+2b=3ab B.3a2﹣2a2=1C.a2•a4=a8D.(﹣a2b)3÷(a3b)2=﹣b8.下列计算正确的是()A.(x+y)2=x2+y2 B.(x﹣y)2=x2﹣2xy﹣y2C.(x+1)(x﹣1)=x2﹣1 D.(x﹣1)2=x2﹣1二.填空题9.若a+b=3,ab=2,则(a﹣b)2= .10.已知a+b=8,a2b2=4,则﹣ab= .11.如果x2+mx+1=(x+n)2,且m>0,则n的值是.12.观察下列各式的规律:(a﹣b)(a+b)=a2﹣b2(a﹣b)(a2+ab+b2)=a3﹣b3(a﹣b)(a3+a2b+ab2+b3)=a4﹣b4…可得到(a﹣b)(a2016+a2015b+…+ab2015+b2016)= .13.观察下列等式:1+2+3+4+…+n=n(n+1);1+3+6+10+…+n(n+1)=n(n+1)(n+2);1+4+10+20+…+n(n+1)(n+2)=n(n+1)(n+2)(n+3);则有:1+5+15+35+…n(n+1)(n+2)(n+3)= .14.已知x2+x﹣5=0,则代数式(x﹣1)2﹣x(x﹣3)+(x+2)(x﹣2)的值为.15.若(7x﹣a)2=49x2﹣bx+9,则|a+b|= .16.已知(a+b)2=7,(a﹣b)2=4,则ab的值为.17.已知2a2+2b2=10,a+b=3,则ab= .18.若(m﹣2)2=3,则m2﹣4m+6的值为.19.观察下列各式及其展开式:(a﹣b)2=a2﹣2ab+b2(a﹣b)3=a3﹣3a2b+3ab2﹣b3(a﹣b)4=a4﹣4a3b+6a2b2﹣4ab3+b4(a﹣b)5=a5﹣5a4b+10a3b2﹣10a2b3+5ab4﹣b5…请你猜想(a﹣b)10的展开式第三项的系数是.20.图(1)是一个长为2a,宽为2b(a>b)的长方形,用剪刀沿图中虚线(对称轴)剪开,把它分成四块形状和大小都一样的小长方形,然后按图(2)那样拼成一个正方形,则中间空的部分的面积是.21.如图为一张方格纸,纸上有一灰色三角形,其顶点均位于某两网格线的交点上,若灰色三角形面积为,则方格纸的面积为.22.仔细观察杨辉三角系数表,按规律写出(a+b)4展开式所缺的系数:(a+b)=a+b(a+b)2=a2+2ab+b2(a+b)3=a3+3a2b+3ab2+b3(a+b)4=a4+4a3b+ a2b2+4ab3+b4.23.已知(2017﹣a)2+(2016﹣a)2=1,则(2017﹣a)(2016﹣a)= .24.我国宋朝数学家杨辉在他的著作《详解九章算法》中提出“杨辉三角”(如图),此图揭示了(a+b)n(n为非负整数)展开式的项数及各项系数的有关规律.例如:(a+b)0=1,它只有一项,系数为1;系数和为1;(a+b)1=a+b,它有两项,系数分别为1,1,系数和为2;(a+b)2=a2+2ab+b2,它有三项,系数分别为1,2,1,系数和为4;(a+b)3=a3+3a2b+2ab2+b3,它有四项,系数分别为1,3,3,1,系数和为8;…,则(a+b)n的展开式共有项,系数和为.25.请看杨辉三角(1),并观察下列等式(2):根据前面各式的规律,则(a+b)6的第三项的系数为.26.我们已经学过用面积来说明公式,如(x+y)2=x2+2xy+y2就可以用如图甲中的面积来说明,请写出图乙的面积所说明的公式:(p+x)(q+x)= .27.如图,从边长为(a+4)cm的正方形纸片中剪去一个边长为(a+1)cm的正方形(a>0),把剩余部分沿虚线又剪拼成一个长方形(不重叠无缝隙),则拼得的长方形的周长为cm.(用含a的代数式表示)三.解答题28.在一次数学课上,李老师对大家说:“你任意想一个非零数,然后按下列步骤操作,我会直接说出你运算的最后结果.”操作步骤如下:第一步:计算这个数与1的和的平方,减去这个数与1的差的平方;第二步:把第一步得到的数乘以25;第三步:把第二步得到的数除以你想的这个数.(1)若小明同学心里想的是数9.请帮他计算出最后结果.[(9+1)2﹣(9﹣1)2]×25÷9(2)老师说:“同学们,无论你们心里想的是什么非零数,按照以上步骤进行操作,得到的最后结果都相等.”小明同学想验证这个结论,于是,设心里想的数是a(a≠0).请你帮小明完成这个验证过程.29.已知4x=3y,求代数式(x﹣2y)2﹣(x﹣y)(x+y)﹣2y2的值.30.阅读与观察:我国古代数学的许多发现都曾位居世界前列,如图1的“杨辉三角”就是其中的一例.杨辉,字谦光,南宋时期杭州人,在他所著的《详解九章算法》艺术中,揖录了如图1所示的三角形数表,称之为“开方作法本源”图,经观察研究发现,在两腰上的数位1的前提下,杨辉三角有许多重要的特点,例如:每个数都等于它上方两数之和等等.如图2,某同学发现杨辉三角给出了(a+b)n(n为正整数)的展开式(按a的次数由大到小的顺序排列)的系数规律.例如,在三角形中第三行的三个数1,2,1,恰好对应(a+b)2=a2+2ab+b2展开式中各项的系数;第四行的四个数1,3,3,1,恰好对应着(a+b)3=a3+3a2b+3ab2+b3展开式中各项的系数等等.(1)通过观察,请你写出杨辉三角具有的任意两个特点;(阅读材料中的特点除外)(2)计算:993+3×992+3×99+1;(3)请你直接写出(a+b)4的展开式.参考答案与试题解析一.选择题1.(2016•威海)下列运算正确的是()A.x3+x2=x5B.a3•a4=a12C.(﹣x3)2÷x5=1 D.(﹣xy)3•(﹣xy)﹣2=﹣xy【分析】A、原式不能合并,即可作出判断;B、原式利用同底数幂的乘法法则计算得到结果,即可作出判断;C、原式利用幂的乘方及单项式除以单项式法则计算得到结果,即可作出判断;D、原式利用同底数幂的乘法法则计算得到结果,即可作出判断.【解答】解:A、原式不能合并,错误;B、原式=a7,错误;C、原式=x6÷x5=x,错误;D、原式=﹣xy,正确.故选D.【点评】此题考查了整数的混合运算,熟练掌握运算法则是解本题的关键.2.(2016•临夏州)若x2+4x﹣4=0,则3(x﹣2)2﹣6(x+1)(x﹣1)的值为()A.﹣6 B.6 C.18 D.30【分析】原式利用完全平方公式,平方差公式化简,去括号整理后,将已知等式代入计算即可求出值.【解答】解:∵x2+4x﹣4=0,即x2+4x=4,∴原式=3(x2﹣4x+4)﹣6(x2﹣1)=3x2﹣12x+12﹣6x2+6=﹣3x2﹣12x+18=﹣3(x2+4x)+18=﹣12+18=6.故选B【点评】此题考查了整式的混合运算﹣化简求值,熟练掌握运算法则是解本题的关键.3.若x2+mx+k是一个完全平方式,则k等于()A.m2B.m2C.m2 D.m2【分析】原式利用完全平方公式的结构特征判断即可求出k的值.【解答】解:∵x2+mx+k是一个完全平方式,∴k=m2,故选D【点评】此题考查了完全平方式,熟练掌握完全平方公式是解本题的关键.4.下列运算正确的是()A.a2+3a2=4a4B.3a2•a=3a3C.(3a3)2=9a5D.(2a+1)2=4a2+1【分析】根据合并同类项法则,同底数幂的乘法法则,积的乘方的性质,完全平方公式,对各选项分析判断后利用排除法求解.【解答】解:A、错误,应等于4a2;B、3a2.a=3a3,正确;C、错误,应等于9a6;D、错误,应等于4a2+4a+1.故选B.【点评】本题考查了合并同类项、同底数幂的乘法,积的乘方的性质,完全平方公式,熟练掌握法则、性质和公式并灵活运用是解题的关键.5.(2016•台湾)计算(2x+1)(x﹣1)﹣(x2+x﹣2)的结果,与下列哪一个式子相同?()A.x2﹣2x+1 B.x2﹣2x﹣3 C.x2+x﹣3 D.x2﹣3【分析】原式利用多项式乘以多项式法则计算,去括号合并得到最简结果,即可作出判断.【解答】解:(2x+1)(x﹣1)﹣(x2+x﹣2)=(2x2﹣2x+x﹣1)﹣(x2+x﹣2)=2x2﹣x﹣1﹣x2﹣x+2=x2﹣2x+1,故选A【点评】此题考查了整式的混合运算,熟练掌握运算法则是解本题的关键.6.(2016•武汉)运用乘法公式计算(x+3)2的结果是()A.x2+9 B.x2﹣6x+9 C.x2+6x+9 D.x2+3x+9【分析】根据完全平方公式,即可解答.【解答】解:(x+3)2=x2+6x+9,故选:C.【点评】本题考查了完全平方公式,解决本题的关键是熟记完全平方公式.7.(2016•苏州)下列运算结果正确的是()A.a+2b=3ab B.3a2﹣2a2=1C.a2•a4=a8D.(﹣a2b)3÷(a3b)2=﹣b【分析】分别利用同底数幂的乘法运算法则以及合并同类项法则、积的乘方运算法则分别计算得出答案.【解答】解:A、a+2b,无法计算,故此选项错误;B、3a2﹣2a2=a2,故此选项错误;C、a2•a4=a6,故此选项错误;D、(﹣a2b)3÷(a3b)2=﹣b,故此选项正确;故选:D.【点评】此题主要考查了同底数幂的乘法运算以及合并同类项、积的乘方运算等知识,正确把握相关定义是解题关键.8.(2016•怀化)下列计算正确的是()A.(x+y)2=x2+y2 B.(x﹣y)2=x2﹣2xy﹣y2C.(x+1)(x﹣1)=x2﹣1 D.(x﹣1)2=x2﹣1【分析】直接利用完全平方公式以及平方差公式分别计算得出答案.【解答】解:A、(x+y)2=x2+y2+2xy,故此选项错误;B、(x﹣y)2=x2﹣2xy+y2,故此选项错误;C、(x+1)(x﹣1)=x2﹣1,正确;D、(x﹣1)2=x2﹣2x+1,故此选项错误;故选:C.【点评】此题主要考查了完全平方公式以及平方差公式,正确应用乘法公式是解题关键.二.填空题9.(2016•巴中)若a+b=3,ab=2,则(a﹣b)2= 1 .【分析】将a+b=3两边平方,利用完全平方公式化简,将ab的值代入求出a2+b2的值,所求式子利用完全平方公式展开,将各自的值代入计算即可求出值.【解答】解:将a+b=3平方得:(a+b)2=a2+2ab+b2=9,把ab=2代入得:a2+b2=5,则(a﹣b)2=a2﹣2ab+b2=5﹣4=1.故答案为:1【点评】此题考查了完全平方公式,熟练掌握公式是解本题的关键.10.(2016•雅安)已知a+b=8,a2b2=4,则﹣ab= 28或【分析】根据条件求出ab,然后化简﹣ab=﹣2ab,最后代值即可.【解答】解:﹣ab=﹣ab=﹣ab﹣ab=﹣2ab∵a2b2=4,∴ab=±2,①当a+b=8,ab=2时,﹣ab=﹣2ab=﹣2×2=28,②当a+b=8,ab=﹣2时,﹣ab=﹣2ab=﹣2×(﹣2)=36,故答案为28或36.【点评】此题是完全平方公式,主要考查了完全平方公式的计算,平方根的意义,解本题的关键是化简原式,难点是求出ab.11.(2016•南充)如果x2+mx+1=(x+n)2,且m>0,则n的值是 1 .【分析】先根据两平方项确定出这两个数,即可确定n的值.【解答】解:∵x2+mx+1=(x±1)2=(x+n)2,∴m=±2,n=±1,∵m>0,∴m=2,故答案为:1.【点评】本题主要考查了完全平方式,根据平方项确定出这两个数是解题的关键,也是难点,熟记完全平方公式对解题非常重要.12.(2016•百色)观察下列各式的规律:(a﹣b)(a+b)=a2﹣b2(a﹣b)(a2+ab+b2)=a3﹣b3(a﹣b)(a3+a2b+ab2+b3)=a4﹣b4…可得到(a﹣b)(a2016+a2015b+…+ab2015+b2016)= a2017﹣b2017.【分析】根据已知等式,归纳总结得到一般性规律,写出所求式子结果即可.【解答】解:(a﹣b)(a+b)=a2﹣b2;(a﹣b)(a2+ab+b2)=a3﹣b3;(a﹣b)(a3+a2b+ab2+b3)=a4﹣b4;…可得到(a﹣b)(a2016+a2015b+…+ab2015+b2016)=a2017﹣b2017,故答案为:a2017﹣b2017【点评】此题考查了平方差公式,以及多项式乘以多项式,弄清题中的规律是解本题的关键.13.(2016•恩施州)观察下列等式:1+2+3+4+…+n=n(n+1);1+3+6+10+…+n(n+1)=n(n+1)(n+2);1+4+10+20+…+n(n+1)(n+2)=n(n+1)(n+2)(n+3);则有:1+5+15+35+…n(n+1)(n+2)(n+3)= n(n+1)(n+2)(n+3)(n+4).【分析】根据已知等式发现分母依次乘以2、乘以3、乘以4,据此作答即可.【解答】解:∵1+2+3+4+…+n=n(n+1)=n(n+1);1+3+6+10+…+n(n+1)=n(n+1)(n+2)=n(n+1)(n+2);1+4+10+20+…+n(n+1)(n+2)=n(n+1)(n+2)(n+3)=n(n+1)(n+2)(n+3),∴1+5+15+35+…n(n+1)(n+2)(n+3)=n(n+1)(n+2)(n+3)(n+4)=n(n+1)(n+2)(n+3)(n+4),故答案为:n(n+1)(n+2)(n+3)(n+4).【点评】本题主要考查数字的变化规律,由已知等式发现变化部分的变化规律及不变的部分是解题的关键.14.(2016•西宁)已知x2+x﹣5=0,则代数式(x﹣1)2﹣x(x ﹣3)+(x+2)(x﹣2)的值为 2 .【分析】先利用乘法公式展开,再合并得到原式=x2+x﹣3,然后利用整体代入的方法计算.【解答】解:原式=x2﹣2x+1﹣x2+3x+x2﹣4=x2+x﹣3,因为x2+x﹣5=0,所以x2+x=5,所以原式=5﹣3=2.故答案为2.【点评】本题考查了整式的混合运算﹣化简求值:先按运算顺序把整式化简,再把对应字母的值代入求整式的值.有乘方、乘除的混合运算中,要按照先乘方后乘除的顺序运算,其运算顺序和有理数的混合运算顺序相似.15.若(7x﹣a)2=49x2﹣bx+9,则|a+b|= 45 .【分析】先将原式化为49x2﹣14ax+a2=49x2﹣bx+9,再根据各未知数的系数对应相等列出关于a、b的方程组,求出a、b的值代入即可.【解答】解:∵(7x﹣a)2=49x2﹣bx+9,∴49x2﹣14ax+a2=49x2﹣bx+9,∴﹣14a=﹣b,a2=9,解得a=3,b=42或a=﹣3,b=﹣42.当a=3,b=42时,|a+b|=|3+42|=45;当a=﹣3,b=﹣42时,|a+b|=|﹣3﹣42|=45.故答案为45.【点评】本题是一个基础题,考查了完全平方公式以及代数式的求值,要熟练进行计算是解此题的关键.16.已知(a+b)2=7,(a﹣b)2=4,则ab的值为.【分析】分别展开两个式子,然后相减,即可求出ab的值.【解答】解:(a+b)2=a2+2ab+b2=7,(a﹣b)2=a2﹣2ab+b2=4,则(a+b)2﹣(a﹣b)2=4ab=3,ab=.故答案为:.【点评】本题主要考查完全平方公式,熟记公式的几个变形公式对解题大有帮助.17.已知2a2+2b2=10,a+b=3,则ab= 2 .【分析】根据完全平方公式,即可解答.【解答】解:∵2a2+2b2=10,∴a2+b2=5,∵a+b=3,∴(a+b)2=9,∴a2+2ab+b2=9,∴5+2ab=9,∴2ab=4,∴ab=2,故答案为:2.【点评】本题考查了完全平方公式,解决本题的关键是熟记完全平方公式.18.若(m﹣2)2=3,则m2﹣4m+6的值为 5 .【分析】原式配方变形后,将已知等式代入计算即可求出值.【解答】解:∵(m﹣2)2=3,∴原式=m2﹣4m+4+2=(m﹣2)2+2=3+2=5,故答案为:5【点评】此题考查了完全平方公式,熟练掌握完全平方公式是解本题的关键.19.观察下列各式及其展开式:(a﹣b)2=a2﹣2ab+b2(a﹣b)3=a3﹣3a2b+3ab2﹣b3(a﹣b)4=a4﹣4a3b+6a2b2﹣4ab3+b4(a﹣b)5=a5﹣5a4b+10a3b2﹣10a2b3+5ab4﹣b5…请你猜想(a﹣b)10的展开式第三项的系数是45 .【分析】根据各式与展开式系数规律,确定出所求展开式第三项系数即可.【解答】解:根据题意得:第五个式子系数为1,6,15,20,15,6,1,第六个式子系数为1,7,21,35,35,21,7,1,第七个式子系数为1,8,28,56,70,56,28,8,1,第八个式子系数为1,9,36,84,126,126,84,36,9,1,第九个式子系数为1,10,45,120,210,252,210,120,45,10,1,则(a﹣b)10的展开式第三项的系数是45,故答案为:45.【点评】此题考查了完全平方公式,弄清题中的规律是解本题的关键.20.图(1)是一个长为2a,宽为2b(a>b)的长方形,用剪刀沿图中虚线(对称轴)剪开,把它分成四块形状和大小都一样的小长方形,然后按图(2)那样拼成一个正方形,则中间空的部分的面积是(a﹣b)2.【分析】先求出正方形的边长,继而得出面积,然后根据空白部分的面积=正方形的面积﹣矩形的面积即可得出答案.【解答】解:∵图(1)是一个长为2a,宽为2b(a>b)的长方形,∴正方形的边长为:a+b,∵由题意可得,正方形的边长为(a+b),∴正方形的面积为(a+b)2,∵原矩形的面积为4ab,∴中间空的部分的面积=(a+b)2﹣4ab=(a﹣b)2.故答案为(a﹣b)2.【点评】此题考查了完全平方公式的几何背景,求出正方形的边长是解答本题的关键.21.如图为一张方格纸,纸上有一灰色三角形,其顶点均位于某两网格线的交点上,若灰色三角形面积为,则方格纸的面积为12 .【分析】设每个方格的边长为x,根据题意表示出灰色三角形面积,将已知面积代入求出x的值,即可确定出方格纸面积.【解答】解:可设每个方格的边长为x,根据题意得:(4x)2﹣•2x•3x﹣•x•4x﹣•2x•4x=,整理得:x2=,则方格纸的面积为×16=12.故答案为:12.【点评】此题考查了整式的混合运算,熟练掌握运算法则是解本题的关键.22.仔细观察杨辉三角系数表,按规律写出(a+b)4展开式所缺的系数:(a+b)=a+b(a+b)2=a2+2ab+b2(a+b)3=a3+3a2b+3ab2+b3(a+b)4=a4+4a3b+ 6 a2b2+4ab3+b4.【分析】根据杨辉三角,下一行的系数是上一行相邻两系数的和,然后写出各项的系数即可.【解答】解:∵(a+b)=a+b(a+b)2=a2+2ab+b2(a+b)3=a3+3a2b+3ab2+b3∴(a+b)4=a4+4a3b+6a2b2+4ab3+b4.故答案为:6.【点评】本题考查了完全平方公式,能发现(a+b)n展开后,各项是按a的降幂排列的,系数依次是从左到右(a+b)n﹣1系数之和.它的两端都是由数字1组成的,而其余的数则是等于它肩上的两个数之和.23.(2016秋•大石桥市校级期末)已知(2017﹣a)2+(2016﹣a)2=1,则(2017﹣a)(2016﹣a)= 0 .【分析】将已知等式根据x2+y2=(x﹣y)2+2xy变形可得.【解答】解:∵(2017﹣a)2+(2016﹣a)2=1,∴[(2017﹣a)﹣(2016﹣a)]2+2(2017﹣a)(2016﹣a)=1,即1+2(2017﹣a)(2016﹣a)=1,∴2(2017﹣a)(2016﹣a)=0,∴(2017﹣a)(2016﹣a)=0,故答案为:0.【点评】本题主要考查完全平方公式,熟练掌握完全平方公式及其变形是解题的关键.24.(2016春•怀柔区期末)我国宋朝数学家杨辉在他的著作《详解九章算法》中提出“杨辉三角”(如图),此图揭示了(a+b)n (n为非负整数)展开式的项数及各项系数的有关规律.例如:(a+b)0=1,它只有一项,系数为1;系数和为1;(a+b)1=a+b,它有两项,系数分别为1,1,系数和为2;(a+b)2=a2+2ab+b2,它有三项,系数分别为1,2,1,系数和为4;(a+b)3=a3+3a2b+2ab2+b3,它有四项,系数分别为1,3,3,1,系数和为8;…,则(a+b)n的展开式共有n+1 项,系数和为2n.【分析】本题通过阅读理解寻找规律,观察可得(a+b)n(n为非负整数)展开式的各项系数的规律:首尾两项系数都是1,中间各项系数等于(a+b)n﹣1相邻两项的系数和.【解答】解:展开式共有n+1项,系数和为2n.故答案为:n+1,2n.【点评】本题考查了完全平方公式,关键在于观察、分析已知数据,寻找它们之间的相互联系,探寻其规律.25.(2016春•兴化市校级期末)请看杨辉三角(1),并观察下列等式(2):根据前面各式的规律,则(a+b)6的第三项的系数为15 .【分析】通过观察可以看出(a+b)6的展开式为6次7项式,a 的次数按降幂排列,b的次数按升幂排列,各项系数分别为1、6、15、20、15、6、1.【解答】解:由题意可得:(a+b)6=a6+6a5b+15a4b2+20a3b3+15a2b4+6ab5+b6,则(a+b)6的第三项的系数为:15.故答案为:15.【点评】此题考查了数字的规律,通过观察,分析、归纳并发现其中的规律,并应用发现的规律解决问题是应该具备的基本能力.26.(2016春•青岛校级期末)我们已经学过用面积来说明公式,如(x+y)2=x2+2xy+y2就可以用如图甲中的面积来说明,请写出图乙的面积所说明的公式:(p+x)(q+x)= x2+(p+q)x+pq .【分析】可以拼成一个长、宽分别是x+p和x+q的长方形,它由边长是x的正方形,长宽分别是x和p,x和q,p和q组成的图形.【解答】解:∵如图示:大矩形的长、宽分别为(x+p),(x+q),则其面积为:(x+p)•(x+q),从图形关系上可得大矩形为一个边长为x的正方形和三个小矩形构成的则其面积又可表示为:x2+px+qx+pq.∴(x+p)(x+q)=x2+px+qx+pq=x2+(p+q)x+pq.故答案为:x2+(p+q)x+pq.【点评】此题考查了完全平方公式几何意义的理解.注意熟练掌握通过不同的方法计算同一个图形的面积来证明一些公式的方法.27.(2016秋•宁江区期末)如图,从边长为(a+4)cm的正方形纸片中剪去一个边长为(a+1)cm的正方形(a>0),把剩余部分沿虚线又剪拼成一个长方形(不重叠无缝隙),则拼得的长方形的周长为(4a+16)cm.(用含a的代数式表示)【分析】先求出长方形的宽为3,再根据题意列出关系式,去括号合并即可得到结果.【解答】解:根据题意得,长方形的宽为(a+4)﹣(a+1)=3,则拼成得长方形的周长为:2(a+4+a+1+3)=2(2a+8)=(4a+16)cm.故答案为(4a+16).【点评】此题考查了完全平方公式的几何背景,整式的加减,熟练掌握运算法则是解本题的关键.几个整式相加减,通常用括号把每一个整式括起来,再用加减号连接;然后去括号、合并同类项.三.解答题28.在一次数学课上,李老师对大家说:“你任意想一个非零数,然后按下列步骤操作,我会直接说出你运算的最后结果.”操作步骤如下:第一步:计算这个数与1的和的平方,减去这个数与1的差的平方;第二步:把第一步得到的数乘以25;第三步:把第二步得到的数除以你想的这个数.(1)若小明同学心里想的是数9.请帮他计算出最后结果.[(9+1)2﹣(9﹣1)2]×25÷9(2)老师说:“同学们,无论你们心里想的是什么非零数,按照以上步骤进行操作,得到的最后结果都相等.”小明同学想验证这个结论,于是,设心里想的数是a(a≠0).请你帮小明完成这个验证过程.【分析】(1)原式先计算乘方运算,再计算乘除运算,最后算加减运算即可得到结果;(2)根据题意列出关系式,化简得到结果,验证即可.【解答】解:(1)[(9+1)2﹣(9﹣1)2]×25÷9=18×2×25÷9=100;(2)[(a+1)2﹣(a﹣1)2]×25÷a=4a×25÷a=100.【点评】此题考查了整式的混合运算,以及有理数的混合运算,熟练掌握运算法则是解本题的关键.29.(2016•菏泽)已知4x=3y,求代数式(x﹣2y)2﹣(x﹣y)(x+y)﹣2y2的值.【分析】首先利用平方差公式和完全平方公式计算,进一步合并,最后代入求得答案即可.【解答】解:(x﹣2y)2﹣(x﹣y)(x+y)﹣2y2=x2﹣4xy+4y2﹣(x2﹣y2)﹣2y2=﹣4xy+3y2=﹣y(4x﹣3y).∵4x=3y,∴原式=0.【点评】此题考查整式的化简求值,注意先化简,再代入求得数值即可.30.阅读与观察:我国古代数学的许多发现都曾位居世界前列,如图1的“杨辉三角”就是其中的一例.杨辉,字谦光,南宋时期杭州人,在他所著的《详解九章算法》艺术中,揖录了如图1所示的三角形数表,称之为“开方作法本源”图,经观察研究发现,在两腰上的数位1的前提下,杨辉三角有许多重要的特点,例如:每个数都等于它上方两数之和等等.如图2,某同学发现杨辉三角给出了(a+b)n(n为正整数)的展开式(按a的次数由大到小的顺序排列)的系数规律.例如,在三角形中第三行的三个数1,2,1,恰好对应(a+b)2=a2+2ab+b2展开式中各项的系数;第四行的四个数1,3,3,1,恰好对应着(a+b)3=a3+3a2b+3ab2+b3展开式中各项的系数等等.(1)通过观察,请你写出杨辉三角具有的任意两个特点;(阅读材料中的特点除外)(2)计算:993+3×992+3×99+1;(3)请你直接写出(a+b)4的展开式.【分析】(1)从每行的数字个数和数字之和可得规律;(2)根据图中第四行的四个数1,3,3,1,恰好对应着(a+b)3=a3+3a2b+3ab2+b3展开式中各项的系数即可求得;(3)根据(a+b)n展开后,各项是按a的降幂排列的,系数依次是从左到右(a+b)n﹣1系数之和.它的两端都是由数字1组成的,而其余的数则是等于它肩上的两个数之和即可得出.【解答】解:(1)一、∵第1行有1个数字,数字之和为1=20,第2行有2个数字,数字之和为2=21,第3行有3个数字,数字之和为4=22,第4行有4个数字,数字之和为8=23,…第n行有n个数字,数字之和为2n﹣1;二、每个数都等于它上方两数之和;(2)993+3×992+3×99+1=(99+1)3=1003=106。
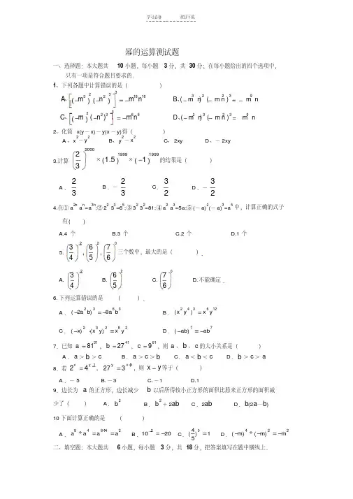
幂的运算测试题一、选择题:本大题共10小题,每小题3分,共30分;在每小题给出的四个选项中,只有一项是符合题目要求的.1、下列各题中计算错误的是()323321818A mnm n、32239()()B m n m n m n 、322366()C m n m n、23239()()D m n m n m n、2、化简x(y -x)-y(x -y)得()A 、x 2-y2B 、y 2-x2C 、2xyD 、-2xy 3.计算2000199919992 1.513的结果是()A .23B .-23C .32D .-324.在①a 2n·a n=a 3n;②22·33=65;③32·32=81;④a 2·a 3=5a;⑤(-a)2(-a)3=a 5中,计算正确的式子有( )A.4个B.3个C.2个D.1个5.2267,56,43三个数中,最大的是()A.243 B.256 C.067 D.不能确定6.下列运算错误的是()A .36328)2(ba b a B .126342)(y x y x C .28232)()(yx y x x D .77)(abab 7.已知3181a,4127b ,619c,则a 、b 、c 的大小关系是()A .a >b >cB .a >c >bC .a <b <cD .b >c >a8.若142y x,1327x y,则y x 等于()A .-5 B.-3 C.-1D.19.边长为a 的正方形,边长减少b 以后所得较小正方形的面积比原来正方形的面积减少了()A .2bB .2b +2ab C .2ab D .b (2a —b )10下面计算正确的是()A .24848aaaaB .20102C .1)54(0D .224)()(mm m 二、填空题:本大题共6小题,每小题3分,共18分,把答案填写在题中横线上.11.若52m,62n,则nm 22=.12.(1)912327( )a b(2)23294,272,3____mnm n 则13. (1)(a -b)·(b -a)2m·(b -a)3=_____(2)4212452aaa14. 若nm nnm xx x求,2,162=。
苏科七年级苏科初一数学下册第二学期期末测试题及答案(共五套) 百度文库一、选择题1.下列运算正确的是( )A .236a a a ⋅=B .222()ab a b =C .()325a a =D .623a a a ÷=2.下列计算中,正确的是( )A .235235x x x +=B .236236x x x =C .322()2x x x÷-=- D .236(2)2x x -=- 3.如图,图(1)的正方形的周长与图(2)的长方形的周长相等,且长方形的长比宽多a cm ,则正方形的面积与长方形的面积的差为 ( )A .a 2B .12a 2C .13a 2D .14a 2 4.32236x y 3x y -分解因式时,应提取的公因式是( ) A .3xy B .23x y C .233x y D .223x y5.下列图形中,不能通过其中一个四边形平移得到的是( )A .B .C .D .6.不等式3+2x>x+1的解集在数轴上表示正确的是( )A .B .C .D .7.足球比赛中,每场比赛都要分出胜负每队胜1场得3分,负一场扣1分,某队在8场比赛中得到12分,若设该队胜的场数为x 负的场数为y ,则可列方程组为( ) A .8312x y x y +=⎧⎨-=⎩ B .8312x y x y -=⎧⎨-=⎩ C .18312x y x y +=⎧⎨+=⎩ D .8312x y x y -=⎧⎨+=⎩8.下列各式从左到右的变形,是因式分解的是( )A .a 2-5=(a+2)(a-2)-1B .(x+2)(x-2)=x 2-4C .x 2+8x+16=(x+4)2D .a 2+4=(a+2)2-4 9.若多项式224a kab b ++是完全平方式,则k 的值为( )A .4B .2±C .4±D .8±10.七边形的内角和是()A.360°B.540°C.720°D.900°11.甲、乙二人同时同地出发,都以不变的速度在环形路上奔跑.若反向而行,每隔3min 相遇一次,若同向而行,则每隔6min相遇一次,已知甲比乙跑得快,设甲每分钟跑x圈,乙每分钟跑y圈,则可列方程为()A.36x yx y-=⎧⎨+=⎩B.36x yx y+=⎧⎨-=⎩C.331661x yx y+=⎧⎨-=⎩D.331661x yx y-=⎧⎨+=⎩12.下列方程组中,是二元一次方程组的为()A.1512nmmn⎧+=⎪⎪⎨⎪+=⎪⎩B.2311546a bb c-=⎧⎨-=⎩C.292xy x⎧=⎨=⎩D.xy=⎧⎨=⎩二、填空题13.已知2x+3y-5=0,则9x•27y的值为______.14.分解因式:m2﹣9=_____.15.已知等腰三角形的两边长分别为4和8,则它的周长是_______.16.已知方程组,则x+y=_____.17.如果42x-与231x mx++的乘积中不含x2项,则m=______________.18.如图,在△ABC中,点D为BC边上一点,E、F分别为AD、CE的中点,且ABCS∆=8cm2,则BEFS∆=____.19.若把代数式245x x--化为()2x m k-+的形式,其中m、k为常数,则m k+=______.20.已知23x y+=,用含x的代数式表示y=________.21.学校计划购买A和B两种品牌的足球,已知一个A品牌足球60元,一个B品牌足球75元.学校准备将1500元钱全部用于购买这两种足球(两种足球都买),该学校的购买方案共有_________种.22.计算:2m·3m=______.23.已知代数式2x-3y的值为5,则-4x+6y=______.24.把一根 9m 长的钢管截成 1m 长和 2m 长两种规格均有的短钢管,且没有余料,设某种截法中 1m 长的钢管有a 根,则a 的值可能有_____种.三、解答题25.因式分解:(1)3a x y y x ;(2)()222416x x +-. 26.已知:如图,//AB DC ,AC 和BD 相交于点O ,E 是CD 上一点,F 是OD 上一点,且∠1=∠A . (1)求证://FE OC ;(2)若∠BFE =110°,∠A =60°,求∠B 的度数.27.已知a +b =5,ab =-2.求下列代数式的值:(1)22a b +;(2)22232a ab b -+.28.如图,在网格中,每个小正方形的边长均为1个单位长度,我们将小正方形的顶点叫做格点,三角形ABC 的三个顶点均在格点上.(1)将三角形ABC 先向右平移6个单位长度,再向上平移3个单位长度,得到三角形A 1B 1C 1,画出平移后的三角形A 1B 1C 1;(2)建立适当的平面直角坐标系,使得点A 的坐标为(-4,3),并直接写出点A 1的坐标; (3)求三角形ABC 的面积.29.水果商贩老徐上水果批发市场进货,他了解到草莓的批发价格是每箱60元,苹果的批发价格是每箱40元.老徐购得草莓和苹果共60箱,刚好花费3100元.(1)问草莓、苹果各购买了多少箱?(2)老徐有甲、乙两家店铺,每出售一箱草莓或苹果,甲店分别获利15元和20元,乙店分别获利12元和16元.设老徐将购进的60箱水果分配给甲店草莓a 箱,苹果b 箱,其余均分配给乙店,由于他口碑良好,两家店都很快卖完了这批水果.①若老徐在甲店获利600元,则他在乙店获利多少元?②若老徐希望获得总利润为1000元,则a b +=?30.如图,每个小正方形的边长为1个单位,每个小方格的顶点叫格点.(1)画出△ABC 向右平移4个单位后得到的△A 1B 1C 1;(2)图中AC 与A 1C 1的关系是:_____.(3)画出△ABC 的AB 边上的高CD ;垂足是D ;(4)图中△ABC 的面积是_____.31.如图,有一块长为(3)a b +米,宽为(2)a b +米的长方形空地,计划修筑东西、南北走向的两条道路,其余进行绿化(阴影部分),已知道路宽为a 米,东西走向的道路与空地北边界相距1米,则绿化的面积是多少平方米?并求出当a =3,b =2时的绿化面积.32.在平面直角坐标系中,点A 、B 的坐标分别为(),0a ,()0,b ,其中a ,b 满足218|273|0a b a b +-+--=.将点B 向右平移15个单位长度得到点C ,如图所示.(1)求点A ,B ,C 的坐标;(2)动点M 从点C 出发,沿着线段CB 、线段BO 以1.5个单位长度/秒的速度运动,同时点N 从点O 出发沿着线段OA 以1个单位长度秒的速度运动,设运动时间为t 秒()012t <<.当BM AN <时,求t 的取值范围;是否存在一段时间,使得OACM OCN S S ≤四边形三角形?若存在,求出t 的取值范围;若不存在,说明理由.33.如图①所示,在三角形纸片ABC 中,70C ∠=︒,65B ∠=︒,将纸片的一角折叠,使点A 落在ABC 内的点A '处.(1)若140∠=︒,2∠=________.(2)如图①,若各个角度不确定,试猜想1∠,2∠,A ∠之间的数量关系,直接写出结论.②当点A 落在四边形BCDE 外部时(如图②),(1)中的猜想是否仍然成立?若成立,请说明理由,若不成立,A ∠,1∠,2∠之间又存在什么关系?请说明.(3)应用:如图③:把一个三角形的三个角向内折叠之后,且三个顶点不重合,那么图中的123456∠+∠+∠+∠+∠+∠和是________.34.计算:(1)(12)﹣3﹣20160﹣|﹣5|; (2)(3a 2)2﹣a 2•2a 2+(﹣2a 3)2+a 2;(3)(x+5)2﹣(x ﹣2)(x ﹣3);(4)(2x+y ﹣2)(2x+y+2).35.先化简,再计算:(2a +b )(b -2a )-(a -b )2,其中a =-1,b =-236.先化简,再求值:(a -1)(2a +1)+(1+a )(1-a ),其中a =2.【参考答案】***试卷处理标记,请不要删除一、选择题1.B解析:B【解析】A.235 a a a ⋅=,故本选项错误;B. ()222ab a b =,故本选项正确;C. ()326a a =,故本选项错误;D. 624a a a ÷=,故本选项错误。
专题9.23 十字相乘法(基础篇)(专项练习)一、单选题1.多项式x2+7x﹣18因式分解的结果是( )A.(x﹣1)(x+18)B.(x+2)(x+9)C.(x﹣3)(x+6)D.(x﹣2)(x+9)2.若多项式可因式分解成,其中、、均为整数,则之值为何?( )A.B.C.D.3.如果多项式x2﹣5x+c可以用十字相乘法因式分解,那么下列c的取值正确的是( )A.2B.3C.4D.54.分解因式x2-5x-14,正确的结果是()A.(x-5)(x-14)B.(x-2)(x-7)C.(x-2)(x+7)D.(x+2)(x-7)5.将多项式x2-2x-8分解因式,正确的是()A.(x+2)(x-4)B.(x-2)(x-4)C.(x+2)(x+4)D.(x-2)(x+4)6.因式分解m2-m-6正确的是()A.(m+2)(m-3)B.(m-2)(m+3)C.(m-2)(m-3)D.(m+2)(m+3)7.如果x2+kx﹣10=(x﹣5)(x+2),则k应为( )A.﹣3B.3C.7D.﹣78.若是的因式,则的值是()A.4B.6C.-4D.-69.已知甲、乙、丙均为x的一次多项式,且其一次项的系数皆为正整数.若甲与乙相乘,积为,乙与丙相乘,积为,则甲与丙相加的结果是()A.B.C.D.10.要使能在有理数的范围内因式分解,则整数的值有()A.2个B.3个C.4个D.5个二、填空题11.因式分解:_______.12.分解因式:x2﹣7xy﹣18y2=___.13.分解因式:______.14.因式分解:________.15.如果因式分解的结果为,则_______.16.已知,,,则代数式的值是________.17.若,且、为整数,则常数的所有可能值有________个.18.观察下列因式分解中的规律:①;②;③;④;利用上述系数特点分解因式__________.三、解答题19.分解因式:(1) ;(2) .20.将下列各式分解因式:(1);(2);(3)21.将下列各式分解因式:(1);(2)22.分解因式:(1);(2);(3);23.先阅读下面的内容,再解决问题.对于形如x2+2xa+a2这样的二次三项式,可以用公式法将它分解成(x+a)2的形式,但对于二次三项式x2+2xa﹣3a2,就不能直接运用公式了.此时,我们可以在二次三项式x2+2xa﹣3a2中先加上一项a2,使它与x2+2xa的和成为一个完全平方式,再减去a2,整个式子的值不变.于是有x2+2xa﹣3a2=(x2+2xa+a2)﹣a2﹣3a2=(x+a)2﹣4a2=(x+a)2﹣(2a)2=(x+3a)(x﹣a)像这样,先添一适当项,使式中出现完全平方式,再减去这个项,使整个式子的值不变的方法称为“配方法”.利用“配方法”,解决下列问题:(1)分解因式a2﹣8a+15;(2)若;①当a,b,m满足条件:2a×4b=8m时,直接写出m的值为 ;②若△ABC的三边长是a、b、c,且c为奇数,求△ABC的周长.24.阅读下列材料:材料1、将一个形如x2+px+q的二次三项式因式分解时,如果能满足q=mn且p=m+n,则可以把x2+px+q因式分解成(x+m)(x+n).(1)x2+4x+3=(x+1)(x+3)(2)x2﹣4x﹣12=(x﹣6)(x+2)材料2、因式分解:(x+y)2+2(x+y)+1解:将“x+y”看成一个整体,令x+y=A,则原式=A2+2A+1=(A+1)2再将“A”还原,得:原式=(x+y+1)2上述解题用到“整体思想”,整体思想是数学解题中常见的一种思想方法,请你解答下列问题:(1)根据材料1,把x2﹣6x+8分解因式.(2)结合材料1和材料2,完成下面小题:①分解因式:(x﹣y)2+4(x﹣y)+3;②分解因式:m(m+2)(m2+2m﹣2)﹣3.参考答案1.D【分析】将原式利用十字相乘法分解即可.解:用十字相乘法可得x2+7x﹣18=(x﹣2)(x+9),故选:D.【点拨】此题考察了因式分解的十字相乘法,熟练掌握十字相乘的方法是解题的关键.2.A【分析】首先利用十字交乘法将因式分解,继而求得,的值.解:利用十字交乘法将因式分解,可得:.,,.故选A.【点拨】本题考查十字相乘法分解因式的知识.注意型的式子的因式分解:这种方法的关键是把二次项系数分解成两个因数,的积,把常数项分解成两个因数,的积,并使正好是一次项,那么可以直接写成结果:.3.C【分析】根据十字相乘法进行因式分解的方法,对选项逐个判断即可.解:A、,不能用十字相乘法进行因式分解,不符合题意;B、,不能用十字相乘法进行因式分解,不符合题意;C、,能用十字相乘法进行因式分解,符合题意;D、,不能用十字相乘法进行因式分解,不符合题意;故选C【点拨】此题考查了十字相乘法进行因式分解,解题的关键是掌握十字相乘法进行因式分解.4.D【分析】根据-14=-7×2,-5=-7+2,进行分解即可.解:x2-5x-14=(x-7)(x+2),故选:D.【点拨】本题考查了因式分解-十字相乘法,熟练掌握因式分解-十字相乘法是解题的关键.5.A【分析】利用十字相乘法分解即可.解:,故选:A.【点拨】本题考查用十字相乘法进行因式分解,正确掌握十字相乘法是求解本题的关键.6.A【分析】先把分解再利用十字相乘法分解因式,再逐一分析各选项,从而可得答案.解:m2-m-6故选A【点拨】本题考查的是利用十字相乘法分解因式,掌握“利用十字相乘法分解因式”是解题的关键.7.A【分析】根据多项式乘以多项式把等号右边展开,即可得答案.解:(x-5)(x+2)=x2-3x-10,则k=-3,故选:A.【点拨】本题主要考查了因式分解,关键是掌握x2+(p+q)x+pq=(x+p)(x+q).8.D【分析】利用因式分解与整式乘法的恒等关系计算解答即可.解:∵多项式因式分解后有一个因式为,∴设另一个因式是,即==,则,解得:,故答案为:D.【点拨】此题考查了因式分解的意义,熟练掌握因式分解的方法是解本题的关键.9.A【分析】首先将两个代数式进行因式分解,从而得出甲、乙、丙三个代数式,进而得出答案.解:∵∴甲为:x+7,乙为:x-7,丙为:x-2,∴甲+丙=(x+7)+(x-2)=2x+5,故选A.【点拨】本题主要考查的就是因式分解的应用,属于基础题型.10.C【分析】根据把-6分解成两个因数的积,m等于这两个因数的和,分别分析得出即可.解:∵-1×6=-6,-6×1=-6,-2×3=-6,-3×2=-6,∴m=-1+6=5或m=-6+1=-5或m=-2+3=1或m=-3+2=-1,∴整数m的值有4个,故选:C.【点拨】此题主要考查了十字相乘法分解因式,对常数16的正确分解是解题的关键.11.【分析】利用十字相乘法分解因式即可得.解:因为,且是的一次项的系数,所以,故答案为:.【点拨】本题考查了因式分解,熟练掌握十字相乘法是解题关键.12.【分析】根据十字相乘法因式分解即可.解:x2﹣7xy﹣18y2,故答案为:.【点拨】本题考查了因式分解,掌握因式分解的方法是解题的关键.13.##【分析】先提取公因数,再用十字相乘法分解因式即可;解:原式=;故答案为:;【点拨】本题考查了十字相乘法分解因式:对于形如x2+px+q的二次三项式,若能找到两数a、b,使a•b=q且a+b=p,那么x2+px+q= x2+(a+b)x+a•b=(x+a)(x+b).14.【分析】先提取公因式,再用十字相乘法分解即可.解:==.故答案为:.【点拨】本题考查了因式分解,把一个多项式化成几个整式的乘积的形式,叫做因式分解.因式分解常用的方法有:①提公因式法;②公式法;③十字相乘法;④分组分解法.因式分解必须分解到每个因式都不能再分解为止.15.-13【分析】根据多项式乘多项式的法则进行计算,然后确定A,B的值,从而求解.解:∴A=2,B=-15∴A+B=-13故答案为:-13.【点拨】本题考查多项式乘多项式的计算,掌握计算法则正确计算是解题关键.16.24【分析】用提公因式法和十字相乘法把代数式进行因式分解后,把,,,整体代入即可求值.解:∵,,,∴=xy(x2-2xy-3y2)=xy(x-3y)(x+y)=2×3×4=24故答案为:24【点拨】此题考查了代数式的求值和因式分解,熟练掌握因式分解的方法是解题的关键.17.【分析】由可得再结合为整数,从而可得答案.解:、为整数,或或或或或故符合题意的的值有:个,故答案为:【点拨】本题考查的是十字乘法分解因式,掌握十字乘法分解因式是解题的关键.18.【分析】利用十字相乘法分解因式即可.解:,故答案为:.【点拨】本题考查了十字相乘法因式分解,解题关键是明确二次项系数为1的十字相乘法公式:.19.(1) (2)【分析】(1)利用十字相乘法即可得出答案;(2)利用十字相乘法即可得出答案.(1)解:;(2)解:.【点拨】本题考查了十字相乘法分解因式,要求灵活使用各种方法对多项式进行因式分解,一般来说,如果可以先提取公因式的要先提取公因式,再考虑运用公式法分解.20.(1);(2);(3)【分析】(1)直接利用十字相乘法分解因式即可;(2)直接利用十字相乘法分解因式即可;(3)直接利用十字相乘法分解因式即可.解:(1)因为即,所以:原式=;(2)因为即,所以:原式=;(3),因为即,所以:原式=.【点拨】本题主要考查了利用十字相乘法分解因式,解题的关键在于能够熟练掌握十字相乘法:常数项为正,分解的两个数同号;常数项为负,分解的两个数异号.二次项系数一般都化为正数,如果是负数,则提出负号,分解括号里面的二次三项式,最后结果不要忘记把提出的负号添上.21.(1);(2)【分析】(1)直接利用十字相乘法分解因式即可;(2)直接利用十字相乘法分解因式即可.解:(1)因为即,所以:原式=;(2)因为即,所以:原式=.【点拨】本题主要考查了利用十字相乘法分解因式,十字相乘法的方法简单点来讲就是:十字左边相乘等于二次项系数,右边相乘等于常数项,交叉相乘再相加等于一次项系数.22.(1);(2);(3)【分析】(1)直接利用十字相乘法分解因式即可;(2)直接利用十字相乘法分解因式即可;(3)直接利用十字相乘法分解因式即可.解:(1);(2);(3).【点拨】本题主要考查了利用十字相乘法分解因式,解题的关键在于能够熟练掌握十字相乘法.23.(1)(a﹣3)(a﹣5);(2)①5;②16或18或20【分析】(1)仿照阅读材料中的例子,配方再用平方差公式分解即可;(2)①对所给对方式子配方,根据偶次方的非负性,可求得a和b的值,从而可得m 的值;②根据①中a、b的值和题意.可求得c的值,进而求得△ABC的周长.解:(1)a2﹣8a+15=a2﹣8a+16﹣1=(a﹣4)2﹣12=(a﹣3)(a﹣5)(2)∵;∴(a2﹣14a+49)+(b2﹣8b+16)+|m﹣c|=0∴(a﹣7)2+(b﹣4)2+|m﹣c|=0∴a﹣7=0,b﹣4=0∴a=7,b=4∵2a×4b=8m∴27×44=8m∴27×28=23m时∴215=23m∴15=3m∴m=5;故答案为:5.②由①知,a=7,b=4,∵△ABC的三边长是a,b,c,∴3<c<11,又∵c边的长为奇数,∴c=5,7,9,当a=7,b=4,c=5时,△ABC的周长是:7+4+5=16,当a=7,b=4,c=7时,△ABC的周长是:7+4+7=18,当a=7,b=4,c=9时,△ABC的周长是:7+4+9=20.【点评】本题考查了配方法在因式分解中的应用和在整式化简求值中的应用,掌握配方法并明确偶次方和绝对值的非负性,是解题的关键.24.(1)(x﹣2)(x﹣4);(2)①(x﹣y+1)(x﹣y+3);②(m+1)2(m﹣1)(m+3).【分析】(1) 根据材料1,可对进行x2﹣6x+8进行分解因式;(2) ①根据材料2的整体思想,可对(x﹣y)2+4(x﹣y)+3进行分解因式;②根据材料1、2,可对m(m+2)(m2+2m﹣2)﹣3进行分解因式.解:(1)x2﹣6x+8=(x﹣2)(x﹣4);(2)①令A=x﹣y,则原式=A2+4A+3=(A+1)(A+3),所以(x﹣y)2+4(x﹣y)+3=(x﹣y+1)(x﹣y+3);②令B=m2+2m,则原式=B(B﹣2)﹣3=B2﹣2B﹣3=(B+1)(B﹣3),所以原式=(m2+2m+1)(m2+2m﹣3)=(m+1)2(m﹣1)(m+3).【点拨】本题主要考查因式分解的方法-十字相乘法.。
苏科版数学七年级下学期——计算专项练习提优一、计算(1) 20-2-2+(-2)2 (2) (-2a 3)2+(a 2)3-2a ·a 5 (3)(4)2(a 2)3-a 2·a 4+(2a 4)2÷a 2 (5)2010201020)4()41()21()32(-⨯+---(6) 22710234)2()(2a a a a a ÷-+- (7)12011125.0221032-++⨯-⎪⎭⎫ ⎝⎛-(8)(3a 2)2﹣a 2•2a 2+(﹣2a 3)2+a 2.) (9) (-2a 3)2·3a 3+6a 12÷(-2a 3).(10) (x +y +3)(x +y -3). (11)(x -2y +4)(x +2y -4)(12) (3x +1)2-(3x -1)2 (13)(3x +2)(3x +1)-(3x +1)2. (14)()212--x (15))2)(2(---x x (16))2)(2(b a b a -+(17)))((22y x y x +- (18)()()b a b a 54+- (19)()()221212--+x x(20)()232y x +- (21)()22832y y x +-(22)()()()2b a b a b a +--+ (23)()()2233y y --+(24))23)(32(m n n m --- (25)(2a+3b)(3b-2a) (26)()()2255+-t t (27))2()2(a b b a -⋅--(28)()2223n m- (29)()()()y x x y y x -+--33322(30))23)(32(22a b b a ++- (31)()()()()2212222-++---x x x x(32))1)(1)(1(2++-x xx (33))23)(23()59(+---x x x x(34)(a -2b +3)(a +2b -3) (35)()()()222223x x x x --+-+二、因式分解:(1)(x-y)-2b(y-x) (2) 2x(m-n)-(n-m) (3) 2x2+12xy+18y2 (4)2x2﹣8.(5)ax3-9ax;(6) x4-16(7)4224168x x y y-+(8)(x2+x)2-(x+1)2(9) (x2+y2)2-4x2y2(10)x2+2x(x-3y)+(x-3y)2 (11) (y+2)(y+4)+1(12)4x2+9y2-12xy(13)x3-2x2y+5xy2(14)8mn2+4m2n (15)(x-y)2-2(x-y) (16)x2-9y2(17)a2+6ab+9b2 (18)x4-16 (19)x3-2x2+x (20)(3m-2n)2-(m+3n)2(21)4m2-(m-3n)2 (22)4x2-4x(x-y)+(x-y)2 (23)2a2-18(24)(3x-2y)2-(2x-3y)2 (25)(x2+4)2-16x2 (26)4x(x-y)2+3(y-x)3(27)a 2-12ab +36b 2 (28)25x 2+10xy +y 2(29)-3+6a -3a 2 (30)16a 4+24a 2b 2+9b 4(31)(x -y )2-10(x -y )+25 (32)(x 2-1)2-6(x 2-1)+9(33)(x 2+y 2)2-4x 2 y 2 (36)-x 2+8xy -16y 2 (37)(a 2+4)2-16a 2(38)1-2x 2+x 4 (39)2x 2-4x +2 (40)32244y y x xy --(41)1)2(2)2(222++++x x x x (42)2)(9)(124y x y x -+--(43)12a 3b 2-9a 2b +3ab 2 (44)mn mn n m 1892722-+-(45)222249147y x xy y x +-- (46)()()22916n m n m +--(47)35a a - (48)4416y x +-(49)a 2(x -y )-4b 2(x -y) (50)4(a +b )2-9(a -b )2三、化简求值(1)(x -2)2+2(x +2)( x -4)-(x -3)(x + 3):其中x =-1.(2) (1)(2)3(3)2(2)(1)x x x x x x ---+++-,其中31=x(3) ()()()()21121x x x x x +-+-+- ,其中12x =-(4)(2a +b )2-(3a -b )2+5a (a -b ),其中11,105a b ==(5)(a -b )2-2a (a +3b )+(a +2b )(a -2b ),其中a =1,b =-3.(6)已知1ab =- ,求()()3222342a b a b a b -+⋅- 的值(7)已知 与 互为相反数,求 的值(8)已知 1,3-==+xy y x ,求下列各式的值:1122=+y x )( 22-2y xy x +)(三、解方程组:(1) ⎩⎨⎧=+-=165383y x yx (2)⎩⎨⎧=+=-625143y x y x(3)⎩⎨⎧=-=+115332y x y x (4)⎩⎨⎧+=-+=-)5(3)1(55)1(3x y y x(5) ⎩⎨⎧=-+=-14)(423y x y y x (6) ⎩⎪⎨⎪⎧x +3y =0,x 3-y -12=1;(7)⎪⎩⎪⎨⎧=--=+-132324)3(3y x y y x (8)⎪⎩⎪⎨⎧=+=+=++1323432z y z x z y x()2165x y --2x y ++22x y -(9)若方程组⎩⎨⎧=++=+ky x k y x 32253的解满足x+y =-2,求k 的值.(10)已知关于x 、y 的方程组⎩⎪⎨⎪⎧3x +4y =k +2,2x +5y =2k -1的解满足x -y =-1,求k 的值.(11)若关于x 、y 的方程组⎩⎪⎨⎪⎧2x +y =a -3,x -y =2a 的解满足x +3y <0,试求字母a 的取值范围.(12)已知关于x 、y 的方程组⎩⎪⎨⎪⎧x +y =m +2,4x +5y =6m –3的解是一对正数,求m 的取值范围.四、 解一元一次不等式(组)(1)解不等式组:⎪⎩⎪⎨⎧->+-≥+13112x x x ,并把它的解集在数轴上表示出来.(2)解不等式组:35611 32x xx x-≤+⎧⎪⎨-<-⎪⎩,并将解集在数轴上表示出来.(3)312126+-<+xx; (4) ,⎪⎩⎪⎨⎧-≤-+<-2142151(3xxxx)并写出其最大整数解.(5)解不等式组⎩⎨⎧-≤--<-51)2(325xxxx(6)解不等式组⎪⎩⎪⎨⎧≥->+-+231223312xxx(7)求解不等式组⎪⎩⎪⎨⎧≥+->+13213)1(2xxx(8)解不等式组⎪⎩⎪⎨⎧-<--≤+-xxxx8)1(31323(9)解不等式组()112241xx x-⎧≤⎪⎨⎪-<+⎩,并写出不等式组的正整数解.(10)解不等式组⎪⎩⎪⎨⎧+-≥>+2321xxx。
初一数学期终计算过关练习一、因式分解:(1) ()()35a x y b y x ---; (2) 32244b ab a b -+-.(3)x 2-4x (4)22216)4(a a -+(5)2a 2﹣50; (6)x 4﹣8x 2y 2+16y 4.二、计算题:(1)20100101)21()3()31(3--+---⨯-π (2)(﹣1)2017+(π﹣3.14)0+(﹣12)﹣2(3)()()120162017123 1.523π-⎛⎫⎛⎫--+⨯- ⎪ ⎪⎝⎭⎝⎭; (4)()2a -·()223a a ÷;(5)x 3•x 5﹣(2x 4)2+x 10÷x 2.三、化简求值:(1)()()()2211a a a +----,其中34a =. (2) ()()()21223x x x x ---+.其中13x =.(3) (x -2)2+2(x+2)(x -4)-(x -3)(x+3);其中x=-l(4)已知x 2﹣4x ﹣1=0,求代数式(2x ﹣3)2﹣(x+y )(x ﹣y )﹣y 2的值.(5)已知3a b +=- , ab = 10 ,求代数式的值。
四、解方程或不等式组:(1)⎩⎨⎧-=--=-235442y x y x (2)3102612x y z x y z x y z -+=⎧⎪+-=⎨⎪++=⎩(3)11123x x +-+≤; (4)9587422133x x x x +<+⎧⎪⎨+>-⎪⎩,并写出其整数解;(5)如果方程组⎩⎨⎧=-+=+5)1(21073y a ax y x 的解中的x 与y 的值相等,求a 的值。
(6))已知关于x 、y 的方程组24221x y mx y m +=⎧⎨+=+⎩(实数m 是常数).(1)若x +y =1,求实数m 的值; (2)若-1≤x -y ≤5,求m 的取值范围; (3)在(2)的条件下,化简:223m m ++-.(A )D C B A (B )D C B A (C )D C B A(D )D C B A 初一数学期终几何过关练习一、平行线条件与性质:1. 如图,有以下四个条件:①∠B +∠BCD =180°,②∠1=∠2, ③∠3=∠4,④∠B =∠5.其中能判定AB ∥CD 的条件的个数有……………………………………………( ) A .1 B .2 C .3 D .4(第2题)2. 如图,直线a ∥b ,AC ⊥AB ,AC 交直线b 于点C ,∠1=65°,则∠2的度数是( ) A .65° B .50° C .35° D .25°3. 把一张宽度相等的纸条按如图所示的方式折叠,则∠1的度数等于…………( ) A .65°; B .55°;C .45°; D .50°. 二、三角形知识:4. 在下列各图的△ABC 中,正确画出AC 边上的高的图形是 ( )5.下列三张图中,BO 、CO 为角平分线,∠BOC 与∠A 的关系:图(4)结论总结:①如图,在△ABC 中,O 是∠ABC 与∠ACB 的平分线BO 和CO 的交点,则A BOC ∠+︒=∠2190②如图, 在△ABC 中,O 是∠ABC 与外角∠ACD 的平分线BO 和CO 的交点,则A BOC ∠=∠21 ③如图, 在△ABC 中,O 是外角∠DBC 与外角∠ECB 的平分线BO 和CO 的交点,则A BOC ∠-︒=∠2190④如图1,在△ABC 中,AE 平分∠BAC ,AD ⊥BC ,垂足为D ,则 )(21B C EAD ∠-∠=∠ 6. 下列命题:①同旁内角互补,两直线平行;②全等三角形的周长相等;③直角都相等;④相等的角是对顶角。
苏教版七年级下册期末数学重点初中题目(比较难)一、选择题1.下列计算正确的是( )A .(a 5)2=a 10B .x 16÷x 4=x 4C .2a 2+3a 2=6a 4D .(ab )2 =ab 2 答案:A解析:A【分析】根据幂的乘方、同底数幂的除法、合并同类项法则及积的乘方运算法则即可求解.【详解】A 、(a 5)2=a 10,正确,该选项符合题意;B 、x 16÷x 4=x 12,错误,该选项不符合题意;C 、2a 2+3a 2=5a 2,错误,该选项不符合题意;D 、(ab )2=a 2b 2,错误,该选项不符合题意;故选:A .【点睛】此题主要考查幂的乘方、同底数幂的除法、合并同类项法则及积的乘方运算法则,解题的关键是熟知其运算法则及公式.2.如图,1∠和2∠不是同旁内角的是( )A .B .C .D . 答案:B解析:B【分析】两条直线被第三条直线所截形成的角中,若两个角都在两直线的之间,并且在第三条直线(截线)的同旁,则这样一对角叫做同旁内角.根据同旁内角的概念可得答案.【详解】解:选项A 、C 、D 中,∠1与∠2在两直线的之间,并且在第三条直线(截线)的同旁,是同旁内角;选项B 中,∠1与∠2的两条边都不在同一条直线上,不是同旁内角.故选:B .【点睛】此题主要考查了同旁内角,关键是掌握同旁内角的边构成“U ”形.3.关于x 的不等式()a b x b a ->-的解集为1x <-,则a 与b 的大小关系为( ) A .a b > B .a b = C .a b < D .无法确定 答案:C解析:C【分析】根据不等式的性质可得a -b <0,进而可得答案.【详解】解:∵不等式(a -b )x >b -a 的解集是x <-1,∴a -b <0,∴a <b ,则a 与b 的大小关系是a <b .故选:C .【点睛】本题主要考查了不等式的解集,在解题时要注意注意不等式两边同时乘以同一个负数时,不等号的方向改变.4.已知230a a +-=,那么2(4)a a +的值是( )A .9B .12-C .18-D .15-答案:A解析:A【分析】由a 2+a -3=0,变形得到a 2=-(a -3),a 2+a =3,先把a 2=-(a -3)代入整式得到a 2(a +4)=-(a -3)(a +4),利用乘法得到原式=-(a 2+a -12),再把a 2+a =3代入计算即可.【详解】解:∵a 2+a -3=0,∴a 2=-(a -3),a 2+a =3,a 2(a +4)=-(a -3)(a +4)=-(a 2+a -12)=-(3-12)=9.故选:A .【点睛】本题考查了整式的混和运算及其化简求值:先把已知条件变形,用底次代数式表示高次式,然后整体代入整式进行降次,进行整式运算求值.5.如果关于x 的不等式组0,312(1)x m x x -<⎧⎨->-⎩无解,那么m 的取值范围为( ) A .1m ≤- B .1m <- C .10m -<≤ D .10m -≤< 答案:A解析:A【分析】分别求出每一个不等式的解集,根据不等式组无解,依据口诀:同大取大、同小取小、大小小大中间找、大大小小无解了可得答案.【详解】解:解不等式0x m -<,得:x m <,解不等式312(1)x x ->-,得:1x >-,不等式组无解,1m ∴≤-,故选:A .【点睛】本题考查的是解一元一次不等式组,正确求出每一个不等式解集是基础,熟知“同大取大;同小取小;大小小大中间找;大大小小找不到”的原则是解答此题的关键.6.给出下列4个命题:①对顶角相等;②等角的补角相等;③同旁内角相等,两直线平行;④同位角的平分线平行.其中真命题为 ()A .①④B .①②C .①③④D .①②④ 答案:B解析:B【分析】根据对顶角,平行线等性质进行分析即可.【详解】解:∵对顶角相等,故①正确;∵等角的补角相等,故②正确;∵同旁内角互补,两直线平行,故③错误.∵同位角的平分线不一定平行,故④错误.∴其中正确的有①②,其中正确的个数是2个.故选B .【点睛】考核知识点:真命题.理解相关定理是关键.7.(阅读理解)计算:2511275⨯=,1311143⨯=,4811528⨯=,7411814⨯=,观察算式,我们发现两位数乘11的速算方法:头尾一拉,中间相加,满十进一.(拓展应用)已知一个两位数,十位上的数字是a ,个位上的数字是b ,这个两位数乘11,计算结果中十位上的数字可表示为( )A .a 或1a +B .a b +或abC .10a b +-D .a b +或10a b +- 答案:D解析:D【分析】根据题目中的速算法可以解答本题.【详解】由题意可得,某一个两位数十位数字是a ,个位数字是b ,将这个两位数乘11,得到一个三位数,则根据上述的方法可得:当a +b < 10时,该三位数百位数字是a ,十位数字是a + b ,个位数字是b ,当a +b ≥10时,结果的百位数字是a + 1,十位数字是a +b - 10,个位数字是b .所以计算结果中十位上的数字可表示为:a +b 或a +b −10.故选D.本题考查列代数式,解答本题的关键是明确题意,列出相应的代数式.8.如图,AD 是△ABC 的中线,DE 是△ADC 的高线,AB=3,AC=5,DE=2,点D 到AB 的距离是( )A .2B .53C .65D .103答案:D解析:D【详解】分析:作DF ⊥AB 于点F ,先由AD 是△ABC 的中线可得S △ABD =S △ACD ,然后根据面积法即可求出DF 的长,详解:作DF ⊥AB 于点F ,∵AD 是△ABC 的中线,∴S △ABD =S △ACD ,∴1122AB DF AC DE ⋅=⋅, ∴3DF =5×2,∴DF =103. 故选D.作点睛:本题考查了三角形中线的性质和面积法求线段的长,由中线的性质得出S △ABD =S △ACD 是解答本题的关键.二、填空题9.计算:23x xy ⋅=____________.解析:26x y【解析】【分析】根据单项式与单项式的乘法法则计算即可.23x xy ⋅=26x y .故答案为26x y .【点睛】本题考查了单项式的乘法,单项式与单项式的乘法法则是,把它们的系数相乘,字母部分的同底数的幂分别相乘,对于只在一个单项式里含有的字母,连同它的指数作为积的一个因式.10.能使命题“若a b >,则2ab b >”为假命题的b 所有可能值组成的范围为____. 解析:0b ≤【分析】根据不等式的性质和命题的真假判断即可;【详解】当b=0时,得2ab b =,此命题是假命题;当0b <时,得2ab b <,此命题是接命题;故b 的取值范围为0b ≤.【点睛】本题主要考查了命题与定理的考查,结合不等式的性质判断是关键.11.已知三角形的三个外角的度数比为2:3:4,则它的最大内角的度数为______. 解析:100°【分析】利用三角形的外角性质列方程计算,再根据三角形内角与外角的关系得到它的最大内角度数.【详解】解:设三角形三个外角的度数分别为2x ,3x ,4x .根据多边形的外角和是360度,列方程得:2x +3x +4x =360°,解得:x =40°,则最小外角为2×40°=80°,则最大内角为:180°−80°=100°.故答案为:100°.【点睛】由多边形的外角和是360°,可求得最大内角的相邻外角是80°.12.若ab =2,a -b =3,则代数式ab 2-a 2b =_________.解析:6【分析】用提公因式法将ab 2-a 2b 分解为含有ab ,a -b 的形式,代入即可.【详解】解:∵ab =2,a -b =3,∴ab 2-a 2b =-ab (a -b )=2×3=6,故答案为:6.本题考查了用提公因式法因式分解,解题的关键是将ab 2-a 2b 分解为含有ab ,a -b 的形式,用整体代入即可.13.已知方程组32231x y k x y k +=⎧⎨+=+⎩满足3x y +=,则k 的值为___________. 解析:7【分析】利用整体思想,将两个方程相加,再整体代入3x y +=解题即可.【详解】32231x y k x y k +=⎧⎨+=+⎩①② ①+②,552+1x y k +=3x y +=5515x y ∴+=即2115k +=∴k=7故答案为:7.【点睛】本题考查二元一次方程组,是重要考点,难度较易,掌握相关知识是解题关键. 14.一块长为25cm ,宽为15cm 的长方形木板中间有一条裂缝(如图甲).若把裂缝右边的一块向右平移2cm (如图乙),则产生的裂缝的面积是__________2cm .解析:30【分析】利用新长方形的面积减去原长方形的面积得到产生的裂缝的面积.【详解】解:产生的裂缝的面积为:(25+2)×15-25×15=(27-2)×15=30(cm 2).故答案为:30.【点睛】本题主要考查了生活中的平移现象,利用利用两个长方形形的面积差得出裂缝的面积是解题关键.15.在ABC中,AB=6,AC=9,则第三边BC的值可以是_________ .答案:10(答案不唯一)【分析】先根据三角形的三边关系定理求出第三边的取值范围,再选一个合适的值即可.【详解】由三角形的三边关系定理得:,即则第三边BC的值可以是10故答案为:10(答案不解析:10(答案不唯一)【分析】先根据三角形的三边关系定理求出第三边的取值范围,再选一个合适的值即可.【详解】-<<+由三角形的三边关系定理得:AC AB BC AC AB==AB AC6,9<<BC9696∴-<<+,即315BC则第三边BC的值可以是10故答案为:10(答案不唯一).【点睛】本题考查了三角形的三边关系定理,熟记三角形的三边关系定理是解题关键.16.如图,△ABC面积为1,第一次操作:分别延长AB,BC,CA至点A1,B1,C1,使A1B=AB,B1C=BC,C1A=CA,顺次连接A1,B1,C1,得到△A1B1C1.第二次操作:分别延长A1B1,B1C1,C1A1至点A2,B2,C2,使A2B1=A1B1,B2C1=B1C1,C2A1=C1A1,顺次连接A2,B2,C2,得到△A2B2C2,…按此规律,第n次操作后,得到△A n B n Cn,要使△A n B n Cn的面积超过2020,则至少需要操作__________次.答案:4【分析】根据题意分析可得:每次操作后,△CC1B1、△A1B1B、△AA1C1边长变为△ABC边长的2倍,故△A1B1C1面积变大为△ABC面积的7倍;即第n次操作后,面积变为7n;故要使得到解析:4【分析】根据题意分析可得:每次操作后,△CC 1B 1、△A 1B 1B 、△AA 1C 1边长变为△ABC 边长的2倍,故△A 1B 1C 1面积变大为△ABC 面积的7倍;即第n 次操作后,面积变为7n ;故要使得到的三角形的面积超过2020,最少经过4次操作.【详解】解:每次操作后,△CC 1B 1、△A 1B 1B 、△AA 1C 1边长变为△ABC 边长的2倍,故△A 1B 1C 1面积变大为△ABC 面积的7倍,可得规律第n 次操作后,面积变为7n ,∵37343=,472401=,则7n ≥2020,解得n 最小为4.故最少经过4次操作,故答案为:4;【点睛】本题是一道找规律的题目,这类题型在中考中经常出现.对于找规律的题目首先应找出哪些部分发生了变化,是按照什么规律变化的.17.计算:(1)()()1020201π312-⎛⎫-+-+ ⎪⎝⎭ (2)()()322x x x -÷--答案:(1)4;(2)【分析】(1)根据零指数幂,有理数的乘方,负整指数幂进行计算即可;(2)根据立方以及平方运算,单项式的除法以及单项式的加减运算即可;【详解】(1)(2)【点睛】本题考解析:(1)4;(2)29x -【分析】(1)根据零指数幂,有理数的乘方,负整指数幂进行计算即可;(2)根据立方以及平方运算,单项式的除法以及单项式的加减运算即可;【详解】(1)()()1020201π312-⎛⎫-+-+ ⎪⎝⎭1124= (2)()()322x x x -÷--328x x x =-÷-29x =-【点睛】本题考查了零指数幂,有理数的乘方,负整指数幂,单项式的除法以及单项式的加减运算,掌握以上运算法则是解题的关键.18.因式分解(1)m2n﹣9n;(2)x2﹣2x﹣8.答案:(1)n(m+3)(m-3);(2)(x-4)(x+2)【分析】(1)先提公因式n,再利用平方差公式进行因式分解即可;(2)利用十字相乘法进行因式分解即可.【详解】解:(1)m2n-9n解析:(1)n(m+3)(m-3);(2)(x-4)(x+2)【分析】(1)先提公因式n,再利用平方差公式进行因式分解即可;(2)利用十字相乘法进行因式分解即可.【详解】解:(1)m2n-9n=n(m2-9)=n(m+3)(m-3);(2)x2-2x-8=(x-4)(x+2).【点睛】本题考查提公因式法、公式法、十字相乘法分解因式,掌握平方差公式的结构特征以及十字相乘法适用二次三项式的特点是正确应用的前提.19.解方程组(1)20 328 x yx y-=⎧⎨+=⎩(2)1 2333(1)1 x yx y⎧-=⎪⎨⎪-=+⎩答案:(1);(2)【分析】(1)根据加减消元法,即可求解;(2)先化简二元一次方程组,再利用加减消元法,即可求解.【详解】解:(1),①+②得:4x=8,解得:x=2,把x=2代入①得:2解析:(1)21x y =⎧⎨=⎩;(2)22x y =⎧⎨=⎩ 【分析】(1)根据加减消元法,即可求解;(2)先化简二元一次方程组,再利用加减消元法,即可求解.【详解】解:(1)20328x y x y -=⎧⎨+=⎩①②, ①+②得:4x =8,解得:x =2,把x =2代入①得:2-2y =0,解得:y =1,∴方程组的解为:21x y =⎧⎨=⎩; (2)12333(1)1x y x y ⎧-=⎪⎨⎪-=+⎩, 化简得:32234x y x y -=⎧⎨-=⎩①②, ①-②得:-y =-2,解得:y =2,把y =2代入②得:3x -2=4,解得:x =2,∴方程组的解为:22x y =⎧⎨=⎩. 【点睛】本题主要考查解二元一次方程组,熟练掌握加减消元法是解题的关键.20.解不等式组()217122x x x x ⎧+>⎪⎨+-≥⎪⎩并把它的解集在数轴上表示出来.答案:,数轴见解析【分析】先分别求出两个不等式的解集,可得到不等式组的解集,然后再数轴上表示出来即可.【详解】解:解不等式①得:.解不等式②得:.所以,不等式组的解集是:.在数轴上表示不等解析:21x -<≤-,数轴见解析【分析】先分别求出两个不等式的解集,可得到不等式组的解集,然后再数轴上表示出来即可.【详解】解:()217122x x x x ⎧+>⎪⎨+-≥⎪⎩①② 解不等式①得:2x >-.解不等式②得:1x ≤-.所以,不等式组的解集是:21x -<≤-.在数轴上表示不等式组的解集为【点睛】本题主要考查了解一元一次不等式组,熟练掌握解不等式组解集的口诀:同大取大,同小取小大小小大中间找,大大小小找不到(无解)是解题的关键.三、解答题21.如图,已知//AB CD ,直线EB 与AB 相交于点B ,1:2:31:2:3∠∠∠=. (1)求1∠,2∠的度数;(2)求证:BA 平分EBF ∠.答案:(1)36°,72°; (2)证明见解析.【分析】(1)根据平行线的性质与角度的比值求得∠2的度数,再求得∠1的度数即可;(2)根据∠EBA 与互补求得∠EBA 的度数即可得证.【详解】解:解析:(1)36°,72°;(2)证明见解析.【分析】(1)根据平行线的性质与角度的比值求得∠2的度数,再求得∠1的度数即可;(2)根据∠EBA与1+2∠∠互补求得∠EBA的度数即可得证.【详解】AB CD,解:(1)∵//∴∠2+∠3=180°,∵∠2:∠3=2:3,∴∠2= 2180⨯︒=72°.5∵∠1:∠2=1:2,∴∠1= 12∠=36°;2∠︒∠︒(2)证明:∵2=72,1=36,∴∠EBA=180°-∠2-∠1=180°-72°-36°=72°,∴∠EBA=∠2,即BA平分∠EBF.【点睛】本题主要考查平行线的性质,角平分线的定义,解此题的关键在于熟练掌握其知识点并能灵活运用逻辑推理进行证明.22.实验中学开学初到商场购买A、B两种品牌的足球,购买A种品牌的足球50个,B种品牌的足球25个,共花费4500元,已知购买一个B种品牌的足球比购买一个A种品牌的足球多花30元.(1)求A、B两种品牌的足球单价各是多少元.(2)学校为了响应习总书记“足球进校园”的号召,决定再次购进A、B两种品牌足球共50个,正好赶上商场对商品价格进行调整,A品牌足球售价比第一次购买时提高4元,B品牌足球按第一次购买时售价的9折出售,如果学校此次购买A、B两种品牌足球的总费用不超过第一次花费的70%,且保证这次购买方案有且只有三种方案,则这次学校购买B品牌足球至少多少个?(3)请你求出学校在第二次购买活动中最少需要多少资金?答案:(1)A、B两品牌足球每个分别为50元、80元;(2)这次购买B品牌足球至少23个;(3)最少需资金3114元【分析】(1)设A、B两品牌足球每个分别为元,元,根据“总费用=买A种足球费用+买B解析:(1)A、B两品牌足球每个分别为50元、80元;(2)这次购买B品牌足球至少23个;(3)最少需资金3114元【分析】(1)设A、B两品牌足球每个分别为x元,y元,根据“总费用=买A种足球费用+买B种足球费用,以及B 种足球单价比A 种足球贵30元”可得出关于x 、y 的二元一次方程组,解方程组即可得出结论;(2)设购买B 品牌足球m 个,则购买A 品牌足球()50m -个,根据“学校此次购买A ,B 两种品牌足球的总费用不超过第一次花费的70%”可得出关于m 的一元一次不等式,解不等式可得出m 的取值范围,由此即可得出结论;(3)根据(2)的结论分别求出三种方案所花费用即可.【详解】(1)解:设A 、B 两品牌足球每个分别为x 元,y 元,依题意得5025450030x y y x +=⎧⎨-=⎩,解得5080x y =⎧⎨=⎩, 答:A 、B 两品牌足球每个分别为50元、80元;(2)设购买B 品牌足球m 个,则购买A 品牌足球()50m -个,由题意得()()95045080450070%10m m +-+⨯≤⨯,解得25m ≤, ∵这次学校有三种购买方案,∴2325m ≤≤,答:这次购买B 品牌足球至少23个.(3)方案一: 275423723114⨯+⨯=元,方案二:265424723132⨯+⨯=元,方案三:255425723150⨯+⨯=元,∴最少需资金3114元.【点睛】本题考查了二元一次方程组的应用,以及一元一次不等式的应用,解题的关键是:(1)找准等量关系,正确列出二元一次方程组;(2)根据各数量之间的关系,正确列出一元一次不等式;(3)由两种品牌足球单价间的关系,找出最省钱的购买方案.23.阅读下列文字,请仔细体会其中的数学思想.(1)解方程组321327x y x y -=-⎧⎨+=⎩,我们利用加减消元法,很快可以求得此方程组的解为 ;(2)如何解方程组()()()()3523135237m n m n ⎧+-+=-⎪⎨+++=⎪⎩呢?我们可以把m +5,n +3看成一个整体,设m +5=x ,n +3=y ,很快可以求出原方程组的解为 ;(3)由此请你解决下列问题:若关于m ,n 的方程组722am bn m bn +=⎧⎨-=-⎩与351m n am bn +=⎧⎨-=-⎩有相同的解,求a 、b 的值. 答案:(1);(2);(3)a =3,b =2.【分析】(1)利用加减消元法,可以求得;(2)利用换元法,设m+5=x ,n+3=y ,则方程组化为(1)中的方程组,可求得x ,y 的值进一步可求出原方程组的解解析:(1)12x y =⎧⎨=⎩;(2)41m n =-⎧⎨=-⎩;(3)a =3,b =2. 【分析】(1)利用加减消元法,可以求得;(2)利用换元法,设m+5=x ,n+3=y ,则方程组化为(1)中的方程组,可求得x ,y 的值进一步可求出原方程组的解;(3)把am 和bn 当成一个整体利用已知条件可求出am 和bn ,再把bn 代入2m-bn=-2中求出m 的值,然后把m 的值代入3m+n=5可求出n 的值,继而可求出a 、b 的值.【详解】解:(1)两个方程相加得66x =,∴1x =,把1x =代入321x y -=-得2y =,∴方程组的解为:12x y =⎧⎨=⎩; 故答案是:12x y =⎧⎨=⎩; (2)设m +5=x ,n +3=y ,则原方程组可化为321327x y x y -=-⎧⎨+=⎩, 由(1)可得:12x y =⎧⎨=⎩, ∴m+5=1,n+3=2,∴m =-4,n =-1,∴41m n =-⎧⎨=-⎩, 故答案是:41m n =-⎧⎨=-⎩; (3)由方程组722am bn m bn +=⎧⎨-=-⎩与351m n am bn +=⎧⎨-=-⎩有相同的解可得方程组71am bn am bn +=⎧⎨-=-⎩, 解得34am bn =⎧⎨=⎩, 把bn =4代入方程2m ﹣bn =﹣2得2m =2,解得m =1,再把m =1代入3m +n =5得3+n =5,解得n =2,把m=1代入am=3得:a=3,把n=2代入bn=4得:b=2,所以a=3,b=2.【点睛】本题主要考查二元一次方程组的解法,重点是考查整体思想及换元法的应用,解题的关键是理解好整体思想.24.【问题探究】如图1,DF∥CE,∠PCE=∠α,∠PDF=∠β,猜想∠DPC与α、β之间有何数量关系?并说明理由;【问题迁移】如图2,DF∥CE,点P在三角板AB边上滑动,∠PCE=∠α,∠PDF=∠β.(1)当点P在E、F两点之间运动时,如果α=30°,β=40°,则∠DPC= °.(2)如果点P在E、F两点外侧运动时(点P与点A、B、E、F四点不重合),写出∠DPC 与α、β之间的数量关系,并说明理由.(图1)(图2)答案:∠DPC=α+β,理由见解析;(1)70 ;(2) ∠DPC=α –β,理由见解析. 【解析】(1)过P作PE∥AD交CD于E,推出AD∥PE∥BC,根据平行线的性质得出∠α=∠DPE,∠β=∠C解析:∠DPC=α+β,理由见解析;(1)70 ;(2) ∠DPC=α –β,理由见解析.【解析】(1)过P作PE∥AD交CD于E,推出AD∥PE∥BC,根据平行线的性质得出∠α=∠DPE,∠β=∠CPE,即可得出答案;(2)化成图形,根据平行线的性质得出∠α=∠DPE,∠β=∠CPE,即可得出答案.【问题探究】解:∠DPC=α+β如图,过P作PH∥DF∵DF∥CE,∴∠PCE=∠1=α,∠PDF=∠2∵∠DPC=∠2+∠1=α+β【问题迁移】(1)70(图1)(图2)(2) 如图1,∠DPC=β -α∵DF∥CE,∴∠PCE=∠1=β,∵∠DPC=∠1-∠FDP=∠1-α.∴∠DPC=β -α如图2,∠DPC= α -β∵DF∥CE,∴∠PDF=∠1=α∵∠DPC=∠1-∠ACE=∠1-β.∴∠DPC=α - βAB CD,点O在直线CD上,点P在直线AB和CD之间,25.如图,//∠.ABP PDQα∠=∠=,PD平分BPQ(1)求BPD ∠的度数(用含α的式子表示);(2)过点D 作//DE PQ 交PB 的延长线于点E ,作DEP ∠的平分线EF 交PD 于点F ,请在备用图中补全图形,猜想EF 与PD 的位置关系,并证明;(3)将(2)中的“作DEP ∠的平分线EF 交PD 于点F ”改为“作射线EF 将DEP ∠分为1:3两个部分,交PD 于点F ”,其余条件不变,连接EQ ,若EQ 恰好平分PQD ∠,请直接写出FEQ ∠=__________(用含α的式子表示).答案:(1);(2)画图见解析,,证明见解析;(3)或【分析】(1)根据平行线的传递性推出,再利用平行线的性质进行求解;(2)猜测,根据平分,推导出,再根据、平分,通过等量代换求解; (3)分两种情解析:(1)2BPD α∠=;(2)画图见解析,EF PD ⊥,证明见解析;(3)452α︒-或3452α︒- 【分析】(1)根据平行线的传递性推出////PG AB CD ,再利用平行线的性质进行求解; (2)猜测EF PD ⊥,根据PD 平分,2BPQ BPD α∠∠=,推导出2BPD DPQ α∠=∠=,再根据//DE PQ 、EF 平分DEP ∠,通过等量代换求解;(3)分两种情况进行讨论,即当:1:3PEF DEF ∠∠=与:1:3DEF PEF ∠∠=,充分利用平行线的性质、角平分线的性质、等量代换的思想进行求解.【详解】(1)过点P 作//PG AB ,//,//AB CD PG AB ,////PG AB CD ∴,,BPG ABP DPG PDQ αα∴∠=∠=∠=∠=,2BPD BPG DPG α∴∠=∠+∠=.(2)根据题意,补全图形如下:猜测EF PD ⊥,由(1)可知:2BPD α∠=, PD 平分,2BPQ BPD α∠∠=,2BPD DPQ α∴∠=∠=,//DE PQ ,2EDP DPQ α∴∠=∠=,1801804DEP BPD EDP α∴∠=︒-∠-∠=︒-,又EF 平分DEP ∠,19022PEF DEP α∠=∠=︒-, 18090EFD PEF BPD ∴∠=︒-∠-∠=︒,EF PD ∴⊥.(3)①如图1,:1:3PEF DEF ∠∠=,由(2)可知:2,1804EPD DPQ EDP DEP αα∠=∠=∠=∠=︒-,:1:3PEF DEF ∠∠=, 1454PEF DEP α∴∠=∠=︒-, 313534DEF DEP α∠=∠=︒-, //DE PQ ,DEQ PQE ∴∠=∠,180EDQ PQD ∠+∠=︒,2,EDP PDQ αα∠=∠=, 3EDQ EDP PDQ α∴∠=∠+∠=,1801803PQD EDQ α∠=︒-∠=︒-,又EQ 平分PQD ∠,139022PQE DQE DEQ PQD α∴∠=∠=∠=∠=︒-, 331353(90)4522FEQ DEF DEQ ααα∴∠=∠-∠=︒--︒-=︒-; ②如图2,1804DEP α∠=︒-,1803PQD α∠=︒-(同①);若:1:3DEF PEF ∠∠=,则有11(1804)4544DEF DEP αα∠=∠=⨯︒-=︒-, 又113(1803)90222PQE DQE PQD αα∠=∠=∠=⨯︒-=︒-,//DE PQ ,3902DEQ PQE α∴∠=∠=︒-, 1452FEQ DEQ DEF α∴∠=∠-∠=︒-, 综上所述:3452FEQ α∠=︒-或452α︒-, 故答案是:452α︒-或3452α︒-. 【点睛】 本题考查了平行线的性质、角平分线、三角形内角和定理、垂直等相关知识点,解题的关键是掌握相关知识点,作出适当的辅助线,通过分类讨论及等量代换进行求解.。
多项式的乘法基础练习
1.填空题:
(1)=-+)3)(2(x x ________; (2)=--)2)(1(x x ________;
(3)=+-))(2(y x y x ________; (4)=-+)4)(3(y x y x ________;
(5)=+-)4)(2(2222b a b a ________; (6)=+-)2)((z xy z xy ________;
(7)=-+)3)(2(22b abc b abc ________;(8)=-+)23)(32(x x ________;
(9)=--)2)(45(y x y x ________; (10)=+-)2)((2y x y x n n n ________;
(11)=-+++)2)((11m m m m y x y
x _______;(12)=-2)3(b a ________; (13)=⎪⎭⎫ ⎝⎛-⎪⎭⎫ ⎝⎛+
3121y y ________; (14)=⎪⎭⎫ ⎝⎛-⎪⎭⎫ ⎝⎛-4121312122x x ________; (15)=+-)43)(12(22x x ________; (16)=-+)5)(43(22y x y x ________;
2.选择题:
(1)计算)32)(25(-+x x 的结果是( ).
A .6102-x
B .611102--x x
C .611102-+x x
D .611102-+x
(2)以下两式相乘的结果是432--a a 的是( ).
A .)1)(4(-+a a
B .)1)(4(--a a
C .)1)(4(+-a a
D .)1)(4(++a a
(3)下列运算中,正确的是( ).
A .342)1)(32(2+-=--x x x x
B .3322)2)((y x y xy x y x -=++-
C .3322))((y x y xy x y x +=+-+
D .22))((y x y x y x +=-+
(4)=⎪⎭
⎫ ⎝⎛-+232)13(y x ( ). A .22-xy B .29
2-xy
C .26322-++x y xy
D .263
22--+x y xy (5)当3=x 时,将)3)(2()1)(2(-+---x x x x 化简后,求得的值是( ).
A .2
B .-2
C .-16
D .-10
(6)如果q px x x x ++=+-2
)5)(4(对任意x 都成立.那么p 、q 的值是( ). A .9-=p ,20-=q B .1-=p ,20-=q
C .1=xp ,20-=p
D .9=p ,20=q
(7)下列计算,错误的是( ).
A .43)4)(1(2-+=-+x x x x
B .6)2)(3(2--=+-x x x x
C .145)7)(2(2-+=+-x x x x
D .183)6)(3(2--=-+x x x x
(8)方程6)4)(2(2-=-+x x x ( ).
A .1=x
B .7=x
C .7-=x
D .1-=x
(9)下列计算结果为101332-+x x 的是( ).
A .)5)(23(++x x
B .)5)(23(--x x
C .)5)(23(+-x x
D .)53)(2(+-x x
(10)若n ma a a a ++=-+2)6)(5(,则m 、n 的值是( ).
A .1=m ,30=n
B .1-=m ,30-=n
C .11=n ,30-=m
D .11-=n ,30-=m
(11)计算23322b b a
b a
+⎪⎭⎫
⎝⎛
+⎪⎭⎫
⎝⎛-的结果是( ).
A .261a
B .2
26561b a +
C .)5(61
22b a - D .2
26761b a +
(12)如果A 、B 均是b ax +型的一次二项式(a ,b 为常数),那么A 与B 的积是(
).
A .一定是一次二项式
B .一定是二次二项式
C .一定是二次三项式
D .结果是二次二项式或二次三项式
3.计算:
(1))142(121
2+-⎪⎭⎫ ⎝⎛+x x x ;
(2))2)(1(2++-x x x ;
(3))6)(4(3)2)(1(5+--+-x x x x ;
(4))2)(3(+--+x xy y xy ;
(5))2)(1(1+---n n n y y
y (6))22)(4(232xy y x y x -+--;
(7)⎪⎭⎫ ⎝⎛++⎪⎭⎫ ⎝⎛-32332214
35.032y xy x y x ; (8)))((2222y xy x y xy x +++-;
(9))2)(2(222c b a c b a -+-+;
(10)))((32232234mn n m n m n m n m n m ++-+-;
(11))32)(5()4)(12(22-+---a a a a ;
(12)[])3(3)2)(1(4)1)(2(3+--++-++x x x x x x ;
(13))32)(324(223a a a a a +---+;
(14))5.044.0)(15.12.0(--+-b a b a ;
(15))2)((11-++--+n n n n n n y x
y x y x
4.解方程:
(1)16)4)(2()2)(3(+--=+-x x x x
(2))3)(4(3)2(++=+-x x x x ;
(3))47(3)4)(5(2)2)(1(2+-=-++--x x x x x x ;
(4)1)52)(32()7)(2(4=---+-x x x x ;
(5))1()33()1)(3(22--+=+-x x x x x ;
(6)2)7)(4()3)(2(2)5)(6(++-=-+-+-x x x x x x .
5.解不等式,并在数轴上表示解集:
(1)27)5)(2()3)(1(<-+-+-x x x x ;
(2)22)3)(23(3
1)12)(2(21x x x x x ≥-++-+; (3)3)12)(2()1)(12(--+≤-+x x x x ;
(4)15)72)(5()42)(32()12)(23(+--+-->-+x x x x x x .
6.化简求值:
(1)当2=x 时,求)1)(6(3)4)(5(2+---+x x x x 的值;
(2))87(3)5)(2(2)3)(23(2+++-+---x x x x x x ,当1-=x 时;
(3)当3-=a 时,求)1(2)24)(73(--+-a a a a 的值;
(4))6)(5(2)5)(4()3)(2(-+---+--x x x x x x ,其中4=x .
参考答案
1.(1)62--x x (2)232+-x x (3)222y y x -- (4)2212y y x --
(5)422482b b a a -+ (6)2222z xyz y x -- (7)2222226b c ab c b a --
(8)6562-+x x (9)228145y xy x +- (10)n n y y x x
22222-- (11)12+-m m m y x x (12)2296b ab a +- (13)6
1612-+y y (14)12
12474124+-x x (15)45624-+x x (16)4
2220113y xy x -- 2.(1)B (2)C (3)C (4)D (5)A (6)C (7)A (8)D (9)C
(10)B (11)B (12)D
3.(1)1373+-
x x (2)223+-+x x x (3)6222+-x x (4)62322222-+--+y x xy y x xy y x (5)221122--+---n n n n y y y y
(6)32223584272y xy y x y x x -+---
(7)42233453
16183949221y xy y x y x y x x ---++⋅ (8)2244y x y x ++ (9)32223222322222c bc ac c b b b c a c a a +---++-+
(10)442233352mn n m n m n m n m -++- (11)191152+--a a (12)82
--x x
(13)b a a a a a -+-++234553212
(14)208.0a 5.025.334.108.022--+-b b ab a
(15)n n n n n n n n n n n n n n y y y x x y x x y x y x y x 2221211121212-++----+-+-+-+
4.(1)6=x (2)1-=x (3)5.2=x (4)2=x (5)1-=x (6)12=x
5.(1)4<x
(2)518
-≤x
(3)1≥x
(4)2>x
6.(1)8,22172-+-x x (2)80,502642+-x x
(3)136,1420102--a (4)38,8612+-x。