《应用概率统计》复习题及答案
- 格式:doc
- 大小:356.80 KB
- 文档页数:7
概率统计总复习一填空选择题考点1 掌握事件的关系与运算,会写样本空间1.试验E 为抛一枚硬币,观察正面H ,反面T 出现的情况,则E 的样本空间S = .2.设,,A B C 为随机事件,则,,A B C 中至少有一个发生可表示为 ,,A B C 同时发生可表示为考点2古典概型的计算;1.同时抛掷3枚均匀的硬币,则恰好有2枚正面朝上的概率是2.袋中有5个球,其中3个新球,2个旧球,每次取一个,无放回地取两次,则两次取到的均为新球的概率为 .3.一袋中装有6个球,其中3个白球,3个红球,依次从中取出2个球(不放回),则两次取到的均为白球的概率为 15。
4.从1,2,3,4,5五个数中任意取两个数,则这两个数中含偶数的概率是 考点3 概率的计算A 概率的性质和事件的独立性综合计算1.已知(),()0.2,()0.96P A a P B P A B ==⋃=,若事件AB 相互独立,则 a =1/20 2 设()0.4,()0.3P A P B ==,,A B 独立,则()P AB = ()____P A B -=. 3.设事件A 与B 相互独立,已知()0.5,()0.8P A P A B == , ()P AB = . B 条件概率相关计算1.设事件A 与B 独立,且()0.4P A =,(|)0.5P B A =,则()P AB = 2.设()0.3P AB =,(|)0.4P B A =,则()P A = .3.已知()0.5,()0.6,()0.4P A P B P B A ===,那么()P AB = __0.2_____,()P AB =_0.4____, ()P A B ⋃=_______0.7_____.C 正态分布概率相关计算1.设随机变量~(1,1)X N ,则{02}P X <<= .((1)0.8413Φ=)2.已知2~(1,)X N σ,{12}0.3P X <<=,则{0}P X <=____0.2_____.3 设随机变量(1,4)X N ,则(13)P X -<<= ;若()0.5,P X a >= 则a = .0.6826,14.随机变量),2(~2σN X ,(04)0.3,<<=P X 则(0)<=P X 。
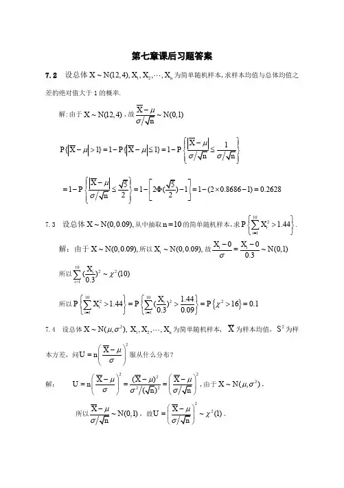
第七章课后习题答案7.2 设总体X ~ N(12,4), X^XzJII’X n 为简单随机样本,求样本均值与总体均值之 差的绝对值大于1的概率.X解:由于 X ~ N(12,4),故 X 一 ~ N(0,1)/V n1 (2 0.8686 1) 0.2628107.3 设总体X 〜N(0,0.09),从中抽取n 10的简单随机样本,求P X :1.44i 1X i 0 X i 0X i ~N(0,°.09),故亠-X0r~N(0,1)X所以~ N(0,1),故UnP{ X1} 1 P{ X1}解: 由于X ~ N (0,0.09),所以10所以X i 22是)〜(10)所以10 10X : 1.44 Pi 1i 1X i 2(倉1.44 P0.09216 0.17.4 设总体X ~ N( , 2), X 1,X 2,|||,X n 为简单随机样本2,X 为样本均值,S 为样本方差,问U n X2服从什么分布?解:(X_)22( n )2X __ /V n,由于 X ~ N( , 2), 2~ 2(1)。
1 —n7.6 设总体X ~ N( , 2), Y〜N( , 2)且相互独立,从X,Y中分别抽取m 10, n215的简单随机样本,它们的样本方差分别为S2,M,求P(S2 4S; 0)。
解:S2P(S24S2 0) P(S24S;) P 12 4由于X ~ N( , 2), Y~ N( , 2)且相互独立S2所以S12~ F(10 1,15 1),又由于F°oi(9,14) 4.03 S2 即P F 4 0.01x第八章课后习题答案8.1 设总体X 的密度函数为f (x) C x ( 1) xC : C 0为已知,1。
X 1,X 2,|||,X n 为简单随机样本,(1) 的矩估计量。
⑵求的极大似然估计量。
解: (1) E(X) C xf(x)dx 1)dx x [1(1)]dx8.4 数,C C X dx (2)似然函数L(X 1,X 2,|”X n ;取对数(0C 1 f i (x)i 1C x i (1)nC n (nX i ) (1)i 1方程两侧对求导得g 皿d令^InL n d即极大似然估计量为设总体X 的密度函数为n Inn In Ci 1f(x)In n In CnnIn C x i 0nInX j nInCi 1In0,0,n1) iIn xnIn x i n In Ci 1其中 0是已知常0是未知参数,X 1,X 2,|||,X n 为简单随机样本:求 的极大似然估计量。
国家开放大学电大本科《应用概率统计〉2023-2024期末试题及答案(试卷号:1091)1. 设事件A 与B 相互独立,若已知P (A U B)=0. 6, P(A)=0. 4,则P(B)= ------------------------------- •2. 已知随机变量X 〜N(1,22),X|,X2,…,X.为取自X 的简琳随机样本,则统计匿士兰服从参数为 _____________________ 的正态分布。
2/而3. 设/Cr,y)是二维随机变量(X,V)的联合密度函数,fx(工)与分别是关于x与Y 的边缘概率密度,且X 与Y 相互独立,则有/■(],»)= ------------------------ °4. 设随机变St 序列X,,X 2,-,X n ,…相互独立,服从相同的分布,且E(X») = “ ‘ D(X*)=(T 2> 0以=1,2,…),由莱维一林德伯格中心极限定理可知,当”充分大时,Sx*将近似地服从正态分布 ___________________________ . 5. 离差平方和始= __________________________ •6. X 】,X2,・・・,X“是取自总体N(")的样本,则X = rS x - ®从N(0,l )分布。
(71 ("17- 设甲、乙、丙人进行象棋比赛,考虑事件A ={甲胜乙负},则同为《甲负乙胜}.() 8- 设随机变量X 和丫的方差存在且不为零,若D(X+Y)=D(X)+O(y)成立,则X 和 丫一定不相关。
()9- 若C 是常数,则有E(C) = C° ()10.已知离散型随机变量X 服从参数为2的泊松分布,即P {x=4}=£_eT"=0,l,2, K !…,则随机变蛰Z=3X-2的数学期望E(Z)为8。
() 11.已知随机变量X 服从二项分布B(n,p),且E(X)=6,D(X)=3. 6,试求二项分布 的参数“ r p 的值。
2011-2012学年第 2 学期 考试科目: 大学数学Ⅱ一、填空题(本大题共6小题,每小题3分,共18分)1. 设A 、B 为两个随机事件,已知()0.3,()0.4,()0.5P A P B P A B ===,则()P AB =______________.2. 设随机变量X 服从参数为3的泊松分布,则(1)P X ≥= ______________. 3. 设二维离散型随机变量),(Y X 的联合分布律为:),(Y X 的联合分布函数为),(y x F ,则(1,3)F =______________.4. 设随机变量X 表示100次独立重复射击命中目标的次数,每次命中目标的概率为0.2, 则2X 的数学期望是______________.5. 设X 、Y相互独立,且都服从标准正态分布,则~Z =______________. (要求写出分布及其参数).6. 设由来自总体~(,0.81)X N μ,容量为9的样本得到样本均值5=X ,则未知参数μ的置信度为95%的置信区间为___________________.( 0.025 1.96u =) 二、单项选择题(本大题共6小题,每小题3分,共18分)1. 某人花钱买了C B A 、、三种不同的奖券各一张.已知各种奖券中奖是相互独立的, 中奖的概率分别为,02.0)(,01.0)(,03.0)(===C p B P A p 如果只要有一种奖券中奖此人就一定赚钱, 则此人赚钱的概率约为( ). ﻩ A. 0.05ﻩB . 0.06ﻩC. 0.07ﻩﻩD . 0.082. 设A 、B 为两个随机事件,且B A ⊂,()0>B P ,则下列选项必然正确的是( ). A. ()()B A P A P < B. ()()B A P A P >C. ()()B A P A P ≤ D. ()()B A P A P ≥ 3. 下列各函数中可以作为某个随机变量X 的分布函数的是( ).1,0x ⎧≤⎪0,0x <⎧⎪C . x x F sin )(= D. 211)(x x F +=4. 设随机变量()2~2,3X N ,随机变量25Y X =-+, 则~Y ( ).A. (1,41)N B . (1,36)N C. (1,18)N - D. (1,13)N -5. 设某地区成年男子的身高()100,173~N X ,现从该地区随机选出20名男子,则这20名男子身高平均值的方差为( ).A . 100 B. 10 C. 5 D . 0.56. 设12,,,n X X X ⋅⋅⋅是取自总体X 的一个样本, X 为样本均值,则不是总体期望μ的无偏估计量的是( ).A . X B. 123X X X +- C. 1230.20.30.5X X X ++ D. 1nii X=∑三、计算题(本大题共4小题,共40分)1.(本题8分)已知一批产品中90%是合格品,检查时,一个合格品被误认为是次品的概率为0.05,一个次品被误认为是合格品的概率为0.02,求: (1)一个产品经检查后被认为是合格品的概率; (2)一个经检查后被认为是合格品的产品确是合格品的概率.2.(本题8分)设离散型随机变量X 只取1,2,3三个可能值,取各相应值的概率分别是21,,4a a -,求:(1)常数a ; (2) 随机变量X 的分布律; (3) 随机变量X 的分布函数()F x .3.(本题10分)设随机变量X 的密度函数为:()1()2x f x e x -=-∞<<+∞.(1) 求{1}P X <; (2) 求2Y X =的密度函数.4.(本题14分)设随机变量X 与Y 相互独立,它们的密度函数分别为1,03()30,X x f x ⎧≤≤⎪=⎨⎪⎩其他, 33,0()0,0y Y e y f y y -⎧>=⎨≤⎩ 试求:(1) (,)X Y 的联合密度函数; (2) ()P Y X <; (3)()D X Y -.四、解答题(本大题共3小题,每小题8分,共24分)1. 从一台车床加工的一批轴料中抽取15件测量其椭圆度,计算得样本方差220.025s =,已知椭圆度服从正态分布,问该批轴料椭圆度的总体方差与规定的方差200.0004σ=有无显著差异(取检验水平0.05α=)?(20.025(14)26.1χ=, 20.975(14) 5.63χ=, 20.025(15)27.5χ=,20.975(15) 6.26χ=)2. 某粮食加工厂用4种不同的方法贮藏粮食,一段时间后,分别抽样化验其含水率,每种方法重复试验次数均为5次,所得粮食含水率的方差分析表的部分数据如下. (0.05(4,19) 5.01F=,0.01(4,16) 4.77F=,0.01(3,16) 5.29F=) (1) 完成下面的方差分析表.(2) 给出分析结果.3. 有人认为企业的利润水平和它的研究费用间存在着近似的线性关系. 下面是某10个企业的利润水平(x )与研究费用(y )的调查资料:102101=∑=i ix,2390101=∑=i i y ,10661012=∑=i ix ,6243001012=∑=i iy ,25040101=∑=i i i y x建立研究费用y 与企业利润水平x 的回归直线方程.2011-2012学年第 2 学期 大学数学Ⅱ 华南农业大学期末考试试卷(A 卷)-参考答案 一、1. 0.8; 2. 31e --; 3.518; 4. 416 ; 5. )1(t ; 6. (4.412,5.588) 二、1. B 2. C 3. A 4. B 5. C 6. D 三、1. 解 设A =“任取一产品,经检验认为是合格品” B =“任取一产品确是合格品” 依题意()0.9,()0.1,()0.95,()0.02P B P B P A B P A B ==== (2分)则(1)()()(|)()(|)P A P B P A B P B P A B =+0.90.950.10.020.857.=⨯+⨯=(5分) (2) ()(|)0.90.95(|)0.9977()0.857P B P A B P B A P A ⨯===. (8分)2. 解 (1) 由2114a a -+=得1231().22舍去或a a ==- (3分) (2) X 的分布律为(5分)(3) X 的分布函数为0,10,111,12,1244()113,23,234241111,3,3424x x x x F x x x x x <⎧<⎧⎪⎪⎪≤<⎪≤<⎪⎪⎪==⎨⎨+≤<⎪⎪≤<⎪⎪⎪⎪≥++≥⎩⎪⎩ (8分) 3. 解(1)111011{1}{11}12x x P X P X e dx e dx e---<=-<<===-⎰⎰. (3分)(2)当0y ≤时,()()()20F y P Y y P X y =<=<=; (5分) 当0y >时,()()(2xx F y P X y P X dx dx --=<=<<== (8分) 所以2Y X =的密度函数为0,0()()0y f y F y y ≤⎧⎪'==>. (10分)4. 解 (1)因为随机变量X 与Y 相互独立, ( 1分)所以它们的联合密度函数为:3,03,0(,)()()0,y X Y e x y f x y f x f y -⎧≤≤>==⎨⎩其他 (3分)330(1)x e dx -=-⎰3390181()333x x e e --=+=+()9183e -=+ (8分) (3)解:由密度函数可知~(0,3),~(3)X U Y E (10分)所以,22(30)311(),(),12439D X D Y -==== (12分) 由X 与Y 相互独立,得3131()()()4936D X Y D X D Y -=+=+=(14分) 四、1. 解 检验假设 20:0.0004H σ=,21:0.0004H σ≠. (1分)依题意,取统计量:2222(1)~(1)n S n χχσ-=-,15n =. (3分)查表得临界值:220.0252(1)(14)26.1n αχχ-==,220.97512(1)(14) 5.63n αχχ--==, (5分)计算统计量的观测值得: 22140.02521.8750.0004χ⨯==. (6分) 因2220.9750.025(14)(14)χχχ<<,故接受原假设0H ,即认为总体方差与规定的方差无显著差异. (8分) 2. 解 (1)(2) 解 因为F =5.6681>0.01(3,16) 5.29F =,所以拒绝0H ,即认为不同的贮藏方法对粮食含水率的影响在检验水平0.01α=下有统计意义. (8分)3. 解 2.10=x ,239=y (2分)6.252.10101066221012=⨯-=-=∑=x n x l i i xx (3分)6622392.101025040101=⨯⨯-=-=∑=y x n y x l i i i xy (4分)故1662ˆ25.8625.6xy xx l l β==≈;01ˆˆ23925.8610.224.77y x ββ=-=-⨯=- (6分)。
概率与统计复习题答案1. 单选题:下列哪个选项是概率论中随机事件的定义?A. 必然发生的事件B. 不可能发生的事件C. 可能发生也可能不发生的事件D. 只发生一次的事件答案:C2. 判断题:概率的值总是介于0和1之间。
正确。
概率的值表示某个事件发生的可能性,其值范围从0(不可能发生)到1(必然发生)。
3. 计算题:在一个装有5个红球和3个蓝球的袋子里,随机抽取一个球,求抽到红球的概率。
解:总共有8个球,其中5个是红球。
所以,抽到红球的概率是\( P(\text{红球}) = \frac{5}{8} \)。
4. 多选题:下列哪些是统计学中常用的分布?A. 正态分布B. 二项分布C. 泊松分布D. 均匀分布答案:ABCD5. 简答题:请简述中心极限定理的内容。
答:中心极限定理是统计学中的一个重要定理,它指出,如果从同一总体中独立地抽取足够大的样本,那么这些样本的均值的分布将趋近于正态分布,无论原始总体的分布是什么。
6. 应用题:某工厂生产的零件平均长度为10厘米,标准差为0.5厘米。
如果从这批零件中随机抽取100个,求这100个零件的平均长度超过10.2厘米的概率。
解:首先,我们知道样本均值的分布将趋近于正态分布。
样本均值的期望值等于总体均值,即10厘米。
标准误差(标准差除以样本大小的平方根)为 \( \frac{0.5}{\sqrt{100}} = 0.05 \)。
我们要找的是 \( P(\bar{X} > 10.2) \),其中 \( \bar{X} \) 是样本均值。
标准化后,我们得到 \( Z = \frac{10.2 - 10}{0.05} = 4 \)。
查正态分布表,Z值4的对应概率非常小,几乎为0。
7. 论述题:请论述统计推断与描述统计的区别。
答:描述统计是对数据集的特征进行概括和总结,如计算均值、中位数、方差等,它关注的是数据的描述性特征。
而统计推断则是基于样本数据来推断总体特征的过程,它涉及到概率分布和假设检验,目的是对总体参数做出估计或检验假设。
学生姓名: 学号: 专业年级: 成绩: 一、一、填空题(每小题2分,本题共16分) 1、设随机变量()~1,4X N -,则{}3P X >-=。
( 已知标准正态分布函数值:()()()00.500,10.8413,20.9772f f f ===)2、设随机变量X 服从泊松分布且具有方差2,那么X 的分布律为的分布律为。
3、设一维连续型随机变量X 的概率密度函数为()2,010,Xx x f x <<ì=íî其余,则随机变量,则随机变量2XY =的概率密度函数为的概率密度函数为。
4、以下是利用MINITAB 对变量X 和Y 的线性相关性作回归分析所得结果,由此判定回归的线性相关性作回归分析所得结果,由此判定回归 方程是方程是。
The regression equation isy = 0.63 + 0.040 x Analysis of VarianceSource DF SS MS F P Regression 1 0.178 0.178 0.13 0.725 Residual Error 9 12.200 1.356 Total 10 12.3785、设总体()1210~0,1,,,...X N X X X 是它的一个样本,则2222213579X X X X X ++++服从服从 分布。
分布。
6、设正态总体的均方差3s =,该总体的一个容量为9的样本的样本均值 3.5x =,则,则 总体均值的置信水平为95%的置信区间是的置信区间是 。
7、在双因素有交互作用的方差分析中,设因素A 有3个水平,因素B 有2个水平,每个个水平,每个 处理作两次重复试验,则试验误差平方和的自由度E df =。
8、设Y 关于X 的线性回归方程为01Y X b b =+,则 01,b b ==。
( 10,780,88,3,24xx yy xy L L L x y ===== )二、单项选择题(每小题2分,本题共18分)分) 1、设()()()0.8,0.4,|0.6,P A P B P A B ===则()()|P B A =。
一、 填空题(每题2分,共20分)1、记三事件为A ,B ,C . 则用A ,B ,C 及其运算关系可将事件,“A ,B ,C 中只有一个发生”表示为 . 2、匣中有2个白球,3个红球。
现一个接一个地从中随机地取出所有的球。
那么,白球比红球早出现的概率是 2/5 。
3、已知P(A)=0.3,P (B )=0.5,当A ,B 相互独立时,06505P(A B )_.__,P(B |A )_.__⋃==。
4、一袋中有9个红球1个白球,现有10名同学依次从袋中摸出一球(不放回),则第6位同学摸出白球的概率为 1/10 。
5、若随机变量X 在区间 (,)a b 上服从均匀分布,则对a c b <<以及任意的正数0e >,必有概率{}P c x c e <<+ =⎧+<⎪⎪-⎨-⎪+>⎪-⎩e,c e b b ab c ,c e b b a6、设X 服从正态分布2(,)N μσ,则~23X Y -= N ( 3-2μ , 4σ2 ) .7、设1128363X B EX DX ~n,p ),n __,p __==(且=,=,则 8、袋中装有5只球,编号为1,2,3,4,5,在袋中同时取出3只,以X 表示取出3只球中的最大号码。
则X 的数学期望=)(X E 4.5 。
9、设随机变量(,)X Y 的分布律为则条件概率 ===}2|3{Y X P 2/5 .10、设121,,X X 来自正态总体)1 ,0(N , 2129285241⎪⎭⎫⎝⎛+⎪⎭⎫ ⎝⎛+⎪⎭⎫ ⎝⎛=∑∑∑===i i i i i i X X X Y ,当常数k = 1/4 时,kY 服从2χ分布。
二、计算题(每小题10分,共70分)1、三台机器因故障要人看管的概率分别为0.1,0.2,0.15,求: (1)没有一台机器要看管的概率 (2)至少有一台机器不要看管的概率 (3)至多一台机器要看管的概率解:以A j 表示“第j 台机器需要人看管”,j =1,2,3,则: ABC ABC ABCP ( A 1 ) = 0.1 , P ( A 2 ) = 0.2 , P ( A 3 ) = 0.15 ,由各台机器间的相互独立性可得()()()()()123123109080850612P A A A P A P A P A ....=⋅⋅=⨯⨯= ()()()12312321101020150997P A A A P A A A ....⋃⋃=-=-⨯⨯= ()()()()()()1231231231231231231231233010808509020850908015090808500680153010806120941P A A A A A A A A A A A A P A A A P A A A P A A A P A A A .................=+++=⨯⨯+⨯⨯+⨯⨯+⨯⨯=+++=2、甲袋中有n 只白球、m 只红球;乙袋中有N 只白球、M 只红球。
第七章课后习题答案7.2 设总体12~(12,4),,,,n X N X X X 为简单随机样本,求样本均值与总体均值之差的绝对值大于1的概率. 解:由于~(12,4)X N ,~(0,1)X N{1}1{1}1P X P X P μμ⎫->=--≤=-≤112(11(20.86861)0.262822P ⎡⎤=-≤=-Φ-=-⨯-=⎢⎥⎣⎦⎪⎭7.3 设总体~(0,0.09),X N 从中抽取10n =的简单随机样本,求1021 1.44i i P X =⎧⎫>⎨⎬⎩⎭∑.解:由于~(0,0.09),X N 所以~(0,0.09),i X N 故~(0,1)0.3i i X X N σ--=所以10221()~(10)0.3i i X χ=∑ 所以{}101022211 1.441.44()160.10.30.09i i i i X P X P P χ==⎧⎫⎧⎫>=>=>=⎨⎬⎨⎬⎩⎭⎩⎭∑∑7.4 设总体2~(,),X N μσ12,,,n X X X 为简单随机样本, X 为样本均值,2S 为样本方差,问2X U n μσ⎛⎫-= ⎪⎝⎭服从什么分布?解:222X X X U n μσ⎛⎫⎛⎫-=== ⎪⎝⎭,由于2~(,)X N μσ,~(0,1)N,故22~(1)X U χ⎛⎫=。
7.6 设总体2~(,),X N μσ2~(,)Y N μσ且相互独立,从,X Y 中分别抽取1210,15n n ==的简单随机样本,它们的样本方差分别为2212,S S ,求2212(40)P S S ->。
解: 222221121222(40)(4)4S P S S P S S P S ⎛⎫->=>=> ⎪⎝⎭由于2~(,),X N μσ2~(,)Y N μσ且相互独立所以2122~(101,151)S F S --,又由于0.01(9,14) 4.03F =即()40.01P F >=第八章课后习题答案8.1 设总体X 的密度函数为(1),()010,C x x C f x C x C 为已知,θθθθ-+⎧>=>>⎨≤⎩。
概率统计精选练习题及答案练题一- 问题:有一袋子里面装有5个红球和3个蓝球,从袋子里随机取两个球,求取出的两个球颜色相同的概率。
- 解答:首先,我们计算取两个红球的概率。
从5个红球中取出2个红球的组合数为C(5, 2) = 10。
总的取球组合数为C(8, 2) = 28。
所以,取两个红球的概率为10/28。
同理,取两个蓝球的概率为C(3, 2)/C(8, 2) = 3/28。
因为取球的过程是相互独立的,所以取出的两个球颜色相同的概率等于取两个红球的概率加上取两个蓝球的概率,即(10/28) + (3/28) = 13/28。
练题二- 问题:某商场每天的顾客数量服从均值为100,标准差为20的正态分布。
求该商场下一个月(30天)的总顾客数量的期望值和标准差。
- 解答:下一个月的总顾客数量等于每天顾客数量的总和。
因为每天的顾客数量服从正态分布,所以总顾客数量也服从正态分布。
总顾客数量的期望值等于每天顾客数量的期望值的总和,即30 * 100 = 3000。
标准差等于每天顾客数量的标准差的总和,即sqrt(30) * 20 ≈ 109.544。
练题三- 问题:某城市的交通事故发生率为每年100起。
求在下一个月内该城市发生至少一起交通事故的概率。
- 解答:在下一个月内,发生至少一起交通事故的概率等于1减去没有发生交通事故的概率。
没有发生交通事故的概率可以用泊松分布来计算。
假设一个月内发生交通事故的平均次数为100/12 ≈ 8.333,那么没有发生交通事故的概率为P(X = 0),其中X服从参数为8.333的泊松分布。
计算得到P(X = 0) ≈ 0.。
所以,在下一个月内该城市发生至少一起交通事故的概率为1 - P(X = 0) ≈ 0.。
以上是概率统计的精选练习题及答案,希望能对您的学习有所帮助。
应用概率统计试题A 卷参考答案:一、填空题(每空格3分,共30分)1.___C B A ;2. p -13.λ-=e a4. 0.7755.()⎪⎩⎪⎨⎧<<=,其他,011e y y y f Y6.7.()()()Y D X D Y X Cov xy ,=ρ; 8.)(2X D a9.2σ10.SX n )(0μ-二、判断题(每小题2分,共20分)1.错2. 错3. 错4. 对5. 错6. 对7. 错8. 错9. 错10.错三、计算题(共35分)1.解:{}10133522===C C X P ---------------------------------------------------2分 {}10343523===C C X P ---------------------------------------------------2分 {}10653524===C C X P ---------------------------------------------------2分故X 的分布律为----------------------------------------------1分2. 解:因为随机变量X 服从正态分布,所以它的密度函数具有如下形式:)(21)(222)(+∞<<-∞=--x e x f x σμσπ; (3分)进而,将2,2==σμ代入上述表达式可得所求的密度函数为:),(221)(8)2(2+∞-∞∈=--x e x f x π。
(2分)3.解:(1)设两次都是正品的事件为21A A ,,()()()45289710812121=⋅==A A P A P A A P ---------------------------------------------------------3分 (2)设两次都是次品的事件为21B B ,,()()()4519110212121=⋅==B B P B P B B P --------------------------------------------------------3分 4. 解:因为随机变量)1,3(~-N X ,)1,2(~N Y ,且X 与Y 相互独立,所以利用正态随机变量的可加性(或再生性)可知72+-=Y X Z 仍服从正态分布;-----------------(3分) 又因为5141)(4)()(,072237)(2)()(=⨯+=+==+⨯--=+-=Y D X D Z D Y E X E Z E -------------------------------------------------------------------------------------------------------------(2分) 由此可知所求的概率密度为)10ex p(101)(2z z f Z -=π。
工程硕士《应用概率统计》复习题考试要求:开一页;题目类型:简答题和大题;考试时间:100分钟。
1.已矢卩P(A) =0.3,P(B) =0.4,P(AB) =0.5,求P(A 一B)。
解:因为P(A) =1-P(A) =1-0.3 =0.7,又因为AB 二A-B 二A-AB,AB A,所以P(A B)二P(A) - P(AB)二0.7 - 0.5 二0.2,故P(A 一B) =P(A) P(B) - P(AB) =0.7 0.4-0.2 =0.9.52•设随机变量X ~b(2, p),Y ~b(4, p),并且P(X _1) ,求P(Y _1)。
9解:X 〜b(2, p),且P(X _1)二5,而P(X _1) =1-P(X =0) =1-(1- p)2 9所以(1- p)2,解得p =1,从而Y〜b(4,1),故9 3 3P(Y _1) =1-P(Y =0) =1-(1- )4.3 813•随机变量X与Y相互独立,下表中给出了X与Y的联合分布的部分数值,请将表中其1 24.设随机变量Y 服从参数 的指数分布,求关于x 的方程x 2 Yx 2Y -0没有2实根的概率。
解:因为当厶二Y 2 -4(2Y-3) ::: 0时,即Y 2 -8Y - 12 ::: 0时没有实根,故所求的概率 为 P{Y 2 - 8Y • 12 ::: 0}二 P{2 ::: 丫 ::: 6},而 Y 的概率密度求概率P(X| <2)。
所以 P(|X |_2) =P{X =-1} P{X =0} P{X =1}二仁 P{X =3} =1-^查表可得 3;.10(10) =15.987,7.设XY 相互独立,X 〜N [-2,4],Y 服从参数v - 1的指数分布,求 E(XY),D(X-2Y)。
解:因为X ~N [-2,4],Y 服从参数- 1的指数分布,由书上例题的结论可知E(X)=」=-2,D(X) = :;2 =4,11E(Y) = : =1, D(Y)叮2 珂 由因为XY 相互独立,所以 E(XY)二 E(X) E(Y) =-2,D(X -2Y) = D(X) -D(2Y) = D(X) - 4D(Y) = 0.丄-》cf (y )=12e ,y 0,从而 P {2 YI 0 ,y"::6}二6 612f(y)dy J 2e1 9y2dy 二5.设离散型随机变量X 的可能取值为-1, 0, 1, 3,相应的概率依次为13 5 7 ? ? ? 3 16 16 16 16解:由题意可知 P{X3 5石p {X 「八荷p {X=3}9 16106.设X 1, X 2,…,X 10是来自正态总体N (0, 0.32)的样本,求P ]送X 2〉1.44;>的概率。
第一章 复习题一 选择题1.设1(|)(|)4P A B P B A ==,2()3P A =,则( ) (A) A 与B 独立,且5()12P A B = (B) A 与B 独立,且()()P A P B =(C) A 与B 不独立,且7()12P A B = (D) A 与B 不独立,且(|)(|)P A B P A B =2.设,,A B C 是三个相互独立的随机事件,且0()()1P AC P C <<<,则在下列给定的四对事件中不相互独立的是( )(A) A B 与C (B) AC 与C (C) A B -与C (D) AB 与C3.设0()1P A <<,0()1P B <<,(|)(|)1P A B P A B +=,那么下列肯定正确的选项是( ) (A) A 与B 相互独立 (B) A 与B 相互对立 (C) A 与B 互不相容 (D) A 与B 互不对立4.对于事件A 和B ,满足(|)1P B A =的充分条件是( ) (A) A 是必然事件 (B) (|)0P B A = (C) A B ⊃ (D) A B ⊂5.设,,A B C 为随机事件,()0P ABC =,且01p <<,则一定有( ) (A)()()()()P ABC P A P B P C = (B)(()|)(|)(|)P A B C P A C P B C =+(C)()()()()P AB C P A P B P C =++ (D)(()|)(|)(|)P A B C P A C P B C =+6.设,,A B C 三个事件两两独立,则,,A B C 相互独立的充分必要条件是( )(A)A 与BC 独立 (B)AB 与A C 独立 (C)AB 与AC 独立 (D)A B 与A C 独立 7.对于任意二事件A 和B ,与A B B =不等价的是( ) (A)A B ⊂ (B)B A ⊂ (C)AB =∅ (D)AB =∅8.设当事件A 与B 同时发生时事件C 也发生,则下列肯定正确的选项是( )(A)()()P C P AB = (B)()()P C P A B = (C)()()()1P C P A P B ≤+- (D)()()()1P C P A P B ≥+- 9.设A 和B 是任意两个概率不为0的互不相容的事件,则下列结论中肯定正确的是( ) (A)A 与B 不相容 (B) A 与B 相容 (C)()()()P AB P A P B = (D)()()P A B P A -= 10.若二事A 和B 同时出现的概率()0P AB =,则下列肯定正确的选项是( )(A) A 和B 不相容 (B)AB 是不可能事件 (C) AB 未必是不可能事件 (D)()0P A =或()0P B = 11.设A 和B 为二随机事件,且B A ⊂,则下列肯定正确的选项是( )(A)()()P A B P A = (B)()()P AB P A = (C)(|)()P B A P B = (D)()()()P B A P B P A -=- 12.对于任意两个事件A 和B ,其对立的充要条件为( ) (A) A 和B 至少必有一个发生 (B) A 和B 不同时发生 (C) A 和B 至少必有一个发生,且A 和B 至少必有一个不发生 (D) A 和B 至少必有一个不发生13.设事件A 和B 满足条件AB AB =,则下列肯定正确的选项是( ) (A)A B =Φ(B) A B =Ω (C) A B A = (D) A B B =14.设A 和B 是任意事件且A B ⊂,()0P B >,则下列选项必然成立的是( )(A) ()(|)P A P A B < (B) ()(|)P A P A B ≤ (C) ()(|)P A P A B > (D) ()(|)P A P A B ≥ 15.对于任意二事件A 和B ,( )(A)若AB ≠Φ,则A 和B 一定独立 (B) 若AB ≠Φ,则A 和B 有可能独立 (C)若AB =Φ,则A 和B 一定独立 (D) 若AB =Φ,则A 和B 一定不独立 16.设随机事件A 与B 互不相容,则下列结论中肯定正确的是(A) A 与B 互不相容 (B) A 与B 相容 (C) ()()()P AB P A P B = (D) ()()P A B P A -=17.设A 和B 是两个随机事件,且0()1P A <<,()0P B >,(|)(|)P B A P B A =,则必有( ) (A)(|)(|)P A B P A B = (B)(|)(|)P A B P A B ≠ (C)()()()P AB P A P B = (D) ()()()P AB P A P B ≠ 18.设A 与B 互为对立事件,且()0,()0P A P B >>, 则下列各式中错误的是( ) (A) ()1()P A P B =- (B)()()()P AB P A P B = (C) ()1P AB = (D) ()1P A B = 19.设()0,0()1P A P B ><<,且A 和B 二事件互斥,下列关系式正确的是( )(A)()(|)P B P B A = (B)P AB P A P B ()=()() (C)()(|)1()P A P A B P B =- (D)()1()P B P A =-20.设A 和B 为随机事件,且()0,(|)1P B P A B >=,则必有( )(A)()()P A B P A > (B)()()P A B P B > (C) ()()P A B P A = (D) ()()P A B P B =二 填空题1.口袋中有7个白球和3个黑球,从中任取两个,则取到的两个球颜色相同的概率等于______________。
概率论与数理统计复习题(一)一.填空1.3.0)(,4.0)(==B P A P 。
若A 与B 独立,则=-)(B A P ;若已知B A ,中至少有一个事件发生的概率为6.0,则=-)(B A P 。
2.)()(B A p AB p =且2.0)(=A P ,则=)(B P 。
3.设),(~2σμN X ,且3.0}42{ },2{}2{=<<≥=<X P X P X P ,则=μ ;=>}0{X P 。
4.1)()(==X D X E 。
若X 服从泊松分布,则=≠}0{X P ;若X 服从均匀分布,则=≠}0{X P 。
5.设44.1)(,4.2)(),,(~==X D X E p n b X ,则==}{n X P6.,1)(,2)()(,0)()(=====XY E Y D X D Y E X E 则=+-)12(Y X D 。
7.)16,1(~),9,0(~N Y N X ,且X 与Y 独立,则=-<-<-}12{Y X P (用Φ表示),=XY ρ 。
8.已知X 的期望为5,而均方差为2,估计≥<<}82{X P 。
9.设1ˆθ和2ˆθ均是未知参数θ的无偏估计量,且)ˆ()ˆ(2221θθE E >,则其中的统计量 更有效。
10.在实际问题中求某参数的置信区间时,总是希望置信水平愈 愈好,而置信区间的长度愈 愈好。
但当增大置信水平时,则相应的置信区间长度总是 。
二.假设某地区位于甲、乙两河流的汇合处,当任一河流泛滥时,该地区即遭受水灾。
设某时期内甲河流泛滥的概率为0.1;乙河流泛滥的概率为0.2;当甲河流泛滥时,乙河流泛滥的概率为0.3,试求:(1)该时期内这个地区遭受水灾的概率;(2)当乙河流泛滥时,甲河流泛滥的概率。
三.高射炮向敌机发射三发炮弹(每弹击中与否相互独立),每发炮弹击中敌机的概率均为0.3,又知若敌机中一弹,其坠毁的概率是0.2,若敌机中两弹,其坠毁的概率是0.6,若敌机中三弹则必坠毁。
应⽤统计学(含答案)概率论与数理统计复习题⼀1.设A ,B 是两个事件,61)|(,31)()(===B A P B P A P ,求)|(B A P 。
解:127)(1)()()(1)(1)(1)()()|(=-+--=--==B P AB P B P A P B P B A P B P B A P B A P2.有甲、⼄、丙三门⽕炮同时独⽴地向某⽬标射击,命中率分别为0.2,0.3,0.5,求(1)⾄少有⼀门⽕炮命中⽬标的概率;(2)恰有⼀门⽕炮命中⽬标的概率。
解:设事件A,B,C 分别表⽰甲、⼄、丙⽕炮命中⽬标(1)72.05.07.08.01)()()(1)(1)(=??-=-=-=C P B P A P C B A P C B A P (2)47.0)()()()()()()()()()()()()(=++=++=C P B P A P C P B P A P C P B P A P C B A P C B A P C B A P C B A C B A C B A P3.盒中有10个合格品,3个次品,从盒中⼀件⼀件的抽取产品检验,每件检验后不再放回盒中,以X 表⽰直到取到第⼀件合格品为⽌所需检验次数,求:(1)X 的分布律;(2)求概率}3{解:X 的全部可能取值为1,2,3,4(1)1310}1{==X P ,1210133}2{?==X P ,1110122133}3{??==X P ,}3{}2{}1{1}4{=-=-=-==X P X P X P X PX 的分布律为:(2)26}2{}1{}3{==+==4.某汽车加油站的油库每周需油量X(kg)服从N (500,502)分布.为使该站⽆油可售的概率⼩于0.01,这个站的油库容量起码应多⼤?(注:99.0)325.2(=Φ)解:设这个站油库容量为h (kg )时能满⾜题⽬要求,则01.0)(<>h X P即99.0)50500()(≥-Φ=≤h h X P ,由已知得:325.250500≥-h ,则)(25.616kg h ≥.5.从甲⼄两个蓄电池⼚的产品中分别抽取6个产品,测得蓄电池的容量(A.h)如下: 甲⼚ 140 , 138 , 143 , 141 , 144 , 137; ⼄⼚135 , 140 , 142 , 136 , 138 , 140设蓄电池的容量服从正态分布,且⽅差相等,求两个⼯⼚⽣产的蓄电池的容量均值差的95%置信区间。
《应用概率统计》课程考试复习资料简答题 1. 已知()()()115,,,3612P A P B P A B===求()(),.P A B P A B2. 已知 0.5,)( 0.4,)( 0.3,)(===B A P B P A P 求)(B A P 。
3. 已知0.4,)( 0.2,)( 0.6,)(===B P B A P A P 求)-( )(B A P AB P ,。
4. 设随机变量()~X πλ,并且{}{}34P X P X ===,求()E X 。
5. 设随机变量X 服从标准正态分布N(0,1),分布函数为)(x Φ,则对于任意0>a ,求}{a X P >。
6. 设随机变量)1(,95)1(),,4(~),,2(~≥=≥Y P X P p b Y p b X求并且。
7.已知随机变量()~3,X b p ,并且{}19127P X ≥=,求{}2P X ≥。
8.设离散型随机变量X 的可能取值为 -1,0,1,3,相应的概率依次为,167165163161,,, 求概率)2(≤X P 。
9.已知随机变量X 与Y 相互独立,下表中给出了X 与Y 的联合分布的部分数值,请将表中其余未知数值填齐。
10. 已知随机变量X,Y 的分布律分别为,212110~412141101-~⎪⎪⎭⎫⎝⎛⎪⎪⎭⎫⎝⎛Y X ,且10}{==XY P , 求1}0{==Y X P ,。
11.随机变量X 与Y 相互独立,下表中给出了X 与Y 的联合分布的部分数值,请将表中其余未知数值填齐。
12.设随机变量X 服从[1,4]-上的均匀分布, 求一元二次方程210t X t -+=有实根的概率。
13.设随机变量Y 服从参数21=λ的指数分布,求关于x 的方程0322=-++Y Yx x 没有实根的概率。
14.设随机变量0))(,(~2>σσμN X ,且二次方程042=++X y y无实根的概率为21,求μ。
工程硕士《应用概率统计》复习题
考试要求:开一页;题目类型:简答题和大题;考试时间:100分钟。
1. 已知 0.5,)( 0.4,)( 0.3,)(===B A P B P A P 求)(B A P ⋃。
解:因为 0.7,0.3-1)(-1(A)===A P P 又因为, ,-- A B A B A A B A AB ⊂== 所以 0.2,0.5-7.0)( -(A))(A ===B A P P B P
故 0.9.0.2-0.40.7P(AB)-P(B)(A))(A =+=+=⋃P B P
2.设随机变量)1(,9
5
)1(),,4(~),,2(~≥=≥Y P X P p b Y p b X 求并且。
解:
.
8165
31-1-10)(Y -11)(Y ),3
1,4(~,31,94-1-1-10)(X -1)1(,9
5)1(),,2(~422
====≥=====≥=≥)(故从而解得)所以()
(而且P P b Y p p p P X P X P p b X
3.随机变量X 与Y 相互独立,下表中给出了X 与Y 的联合分布的部分数值,请将表中其
4.设随机变量Y 服从参数2
1=λ的指数分布,求关于x 的方程0322
=-++Y Yx x 没有实根的概率。
解:因为当时没有实根时,即0128Y -Y 03)-4(2Y -Y 2
2
<+<=∆,故所求的概率为}6Y P{20}128Y -P{Y 2
<<=<+,而Y 的概率密度
⎪⎩
⎪⎨⎧≤>=0,00
,21f(y)21-y y e y ,从而36221
-621-1dy 21f(y)dy 6}Y {2e e e P y ===<<⎰⎰
5.设离散型随机变量X 的可能取值为 -1,0,1,3,相应的概率依次为,16
7
165163161,,, 求概率)2(≤X P 。
解:由题意可知,16
73}P{X ,1651}P{X ,1630}P{X ,161-1}P{X =======
= 所以.16
9
167-
13}P{X -11}P{X 0}P{X -1}P{X 2)|X P(|=====+=+==≤
9. 现有两箱同类产品,第一箱装50件,其中有10件一等品;第二箱装30件,其中有18
件一等品。
现从两箱中任取一箱,再从取出的箱中任取一件产品,求: (1) 取到的产品是一等品的概率;
(2) 已知取到的是一等品,问它来自第一箱的可能性有多大? 解:设A 表示“这个产品是一等品”,
B 1表示“这个产品来自第一箱”,B 1表示“这个产品来自第一箱”, 则易得 2
1
)P(B )(B ,533018)B |P(A ,515010)B |P(A 2121======P . (1)由全概率公式有
.5
2
21532151)(B )B |P(A )(B )B |P(A P(A)2211=⨯+⨯=+=P P
(2)由贝叶斯公式有
.41
5
22151(A))P(B )B |P(A A)|P(B 111=⨯
=⋅=P
10. 设二维随机变量(,)X Y 的概率密度为
⎩
⎨
⎧>>=+-其它,00
,0,),()32(y x ke y x f y x (1)求常数k 的值;(2)求(X ,Y )的分布函数F (x ,y ); (3)判断X 与Y 是否相互独立;(4)求)12(≤+Y X P 。
解:(1)利用概率密度的性质
从而得6,k ,6
dxdy ke y)dxdy (x,10
3y -2x ---==
==⎰
⎰
⎰
⎰
+∞
+∞
+∞
∞
+∞
∞
k
f
⎩
⎨
⎧>>=+-其它,00
,0,6),()32(y x e y x f y x . (2)由定义
⎩⎨⎧>>=⎪⎩⎪⎨⎧>>==⎰⎰⎰⎰
∞∞
.
0,
0,y 0,x ),
e -)(1e
-(1.
,0,0,0,
dvdu 6e v)dvdu (u,y)F(x,3y
-2x
-00
3v -2u ---其它其它x y x
y
y x f
(3)(X ,Y )关于X 和Y 的边缘概率密度分别为
.0,0,
18-)(,
.0,0,12-)()32()32(⎩
⎨
⎧>=⎩⎨⎧>=+-+-其它
,其它,y e y f x e x f y x y y x x
显然(y))(y)(x ,y x f x f f ≠,所以X 与Y 不相互独立。
(4)(X ,Y )的取值区域如图所示,
故.5135.04-316y)dxdy f(x,1)2Y P(X 2
2
3-
-2-3-2-0
1
2y x ≈+===
≤+⎰
⎰⎰⎰≤+y x e
e dy e dx
11. 设 X 1, X 2, …, X n 是取自总体 X 的一个样本,),(~2
σμN X ,6
32ˆ3
211X X X +
+=μ
,442ˆ3212X X X +
+=μ
,3
33ˆ3213X X
X ++=μ。
(1) 判断321ˆˆˆμμμ
,,中哪些是μ的无偏估计; (2) 上述的无偏估计量中哪个更有效? 解 ⑴ 设 由于
故 都是总体均值 的无偏估计量;
(2)
)632()ˆ(3
211X X X D D ++=μ
2
22218
73619141σσσσ=++=)442()ˆ(3212X X
X D D ++=μ
2
2228316116141σσσσ=++=2)(σ=X D 321ˆ,ˆ,ˆμμμμ
=)ˆ(1μ
E )6
32(3
21X X X E ++μ
μμμ=++=613121=)ˆ(3μE =)ˆ(2μE μμμμ=++=414121)4
42(321X X X E ++)3
33(321X X X E ++μ
μμμ=++=313131
因为 所以 更有效。
其中参数θ>0未知,
12. 设总体X 的分布律如图所示,
今有样本,1,1,1,3,2,1,3,2,2,1,2,2,3,1,1,2,试求θ的矩估计和最大似然估计。
解:(1),3-3)2-(132)E(θθθθθ=++=4
7)33261(7161=⨯+⨯+⨯=x
令x =)E(θ得473-3=
θ,解得θ的矩估计为12
5ˆ=θ
. (2)设似然函数),32-(13)2-(1d )
dL(,)2-(1)L(2213
13
θθθθ
θθθθ==则
因为,02-,10>>θθ令
,0d )dL(得=θθθ的最大似然估计为32
13ˆ=θ. 13. 某灯泡生产车间为考察灯泡的寿命(单位:小时),从生产的一批灯泡中随机抽取25只,测得平均寿命1980x =小时,样本方差36002
=S 小时。
假设灯泡的寿命X 服从正态分布()2
,N
μσ,求:
(1)总体方差2
σ的置信水平为95%的置信区间;
(2)在显著性水平5.00=α条件下能否认为这批灯泡的平均寿命为2000小时? 解:(1)因为n=25,1980x =,S=60,0.050.95-1==α,
2.0639(24)t 1)-(n 0.0252/==αt ,
所以,μ的置信水平为95%的置信区间为
3ˆμ),ˆ()ˆ()ˆ(123μμμ
D D D <<
2004.7668)
,
(1955.2332
2.0639
25
60
1980
2.0639,
25
60
-
1980
1)
-
(n
1),
-
(n
-
2/
2/
=
⎪⎪
⎭
⎫
⎝
⎛
⨯
+
⨯
=
⎪⎪
⎭
⎫
⎝
⎛
+
α
α
t
n
s
x
t
n
s
x
(2)设该批灯泡的寿命为X,其均值为μ,
检验假设1980
H
1980
H
1
≠
=μ
μ:
:
该检验假设的拒绝域为
2/
n
s/
1998
-x
α
μZ
≥
=,
由题设条件有n=25,2000
x=,S=60, 1.96
Z
0.025
2/
=
=
α
Z,
故
6
1
25
60/
1998
-
2000
=
=
μ,
显然96
.1
6
1
<
=
μ,接受假设1980
H
=
μ
:,拒绝假设1980
H
1
≠
μ
:,
即在显著性水平5
.0
=
α条件下能认为这批灯泡的平均寿命为2000小时。