最新原子物理学答案(杨福家-高教第四版)(第一章)无水印-打印版
- 格式:doc
- 大小:354.50 KB
- 文档页数:8
原子物理学课后答案(第四版)杨福家著(高等教育出版社)第一章:原子的位形:卢瑟福模型第二章:原子的量子态:波尔模型第三章:量子力学导论第四章:原子的精细结构:电子的自旋第五章:多电子原子:泡利原理第六章:X射线第七章:原子核物理概论第八章:超精细相互作用原子物理学——学习辅导书吕华平刘莉主编(7.3元定价)高等教育出版社第一章习题答案第一章 习题1、2解1.1 速度为v 的非相对论的α粒子与一静止的自由电子相碰撞,试证明:α粒子的最大偏离角约为10-4rad.要点分析: 碰撞应考虑入射粒子和电子方向改变.并不是像教材中的入射粒子与靶核的碰撞(靶核不动).注意这里电子要动.证明:设α粒子的质量为M α,碰撞前速度为V ,沿X 方向入射;碰撞后,速度为V',沿θ方向散射。
电子质量用me 表示,碰撞前静止在坐标原点O 处,碰撞后以速度v 沿φ方向反冲。
α粒子-电子系统在此过程中能量与动量均应守恒,有:(1)ϕθααcos cos v m V M V M e +'= (2)ϕθαsin sin 0v m V M e -'= (3)作运算:(2)×sin θ±(3)×cos θ,(4)(5)再将(4)、(5)二式与(1)式联立,消去V’与v,化简上式,得(6)θϕμϕθμ222s i n s i n )(s i n +=+ (7)视θ为φ的函数θ(φ),对(7)式求θ的极值,有令sin2(θ+φ)-sin2φ=0 即 2cos(θ+2φ)sin θ=0若 sin θ=0, 则 θ=0(极小) (8)(2)若cos(θ+2φ)=0 ,则 θ=90º-2φ (9)将(9)式代入(7)式,有θϕμϕμ2202)(90si n si n si n +=-θ≈10-4弧度(极大)此题得证。
1.2(1)动能为5.00MeV 的α粒子被金核以90°散射时,它的瞄准距离(碰撞参数)为多大? (2)如果金箔厚1.0 μm ,则入射α粒子束以大于90°散射(称为背散射)的粒子数是全部入射粒子的百分之几?要点分析:第二问是90°~180°范围的积分.关键要知道n, 注意推导出n 值.其他值从书中参考列表中找.解:(1)依金的原子序数Z2=79答:散射角为90º所对所对应的瞄准距离为22.8fm.(2)解: 第二问解的要点是注意将大于90°的散射全部积分出来. (问题不知道nA,但可从密度与原子量关系找出)从书后物质密度表和原子量表中查出ZAu=79,AAu=197, ρAu=1.888×104kg/m3依θa 2sin即单位体积内的粒子数为密度除以摩尔质量数乘以阿伏加德罗常数。
原子物理习题库及解答第一章1-1 由能量、动量守恒 ⎪⎩⎪⎨⎧'+'='+'=e e e e v m v m v m v m v m v m αααααααα222212121(这样得出的是电子所能得到的最大动量,严格求解应用矢量式子)Δp θ得碰撞后电子的速度 ee m m v m v +='ααα2 p故 αv v e2≈' 由)(105.24001~22~~~4rad m m v m v m v m v m pp tg e e e e -⨯=='∆ααααααθθ1-2 (1) )(8.225244.127922fm ctg a b =⨯⨯⨯==θ (2) 52321321063.91971002.63.19]108.22[14.3--⨯=⨯⨯⨯⨯⨯==nt b NdN π1-3 Au 核: )(6.505.4244.1794422fm v m Ze r m =⨯⨯⨯==αα Li 核:)(92.15.4244.134422fm v m Ze r m =⨯⨯⨯==αα1-4 (1))(3.16744.1791221Mev r e Z Z E mp =⨯⨯==(2))(68.4444.1131221Mev r e Z Z E m p =⨯⨯==1-5 2sin /)4(2sin /)4(420222142221θρθr ds t A N E e Z Z ntd E e Z Z N dN p p ⋅=Ω= 42323213)5.0(1105.1105.11971002.6)41044.179(⨯⨯⨯⨯⨯⨯⨯⨯=--68221090.8197105.144.1795.102.6--⨯=⨯⨯⨯⨯⨯=1-660=θ时,232221⋅==a ctg ab θ 90=θ时,12222⨯==a ctg a b θ 3)21()23(22222121===∴b bdN dN ππ1-7 由32104-⨯=nt b π,得ntb π32104-⨯=由22θctg a b =,得 23233232)67.5(1021811002.614.310410104)2(⨯⨯⨯⨯⨯⨯=⨯=--- ntctg a π )(1096.5224cm -⨯=)(8.23161096.5)41(2sin )4(2442b a d d =⨯⨯⨯==Ω∴-θσ1-8(1)设碰撞前m 1的速度为v 1,动量为p 1。
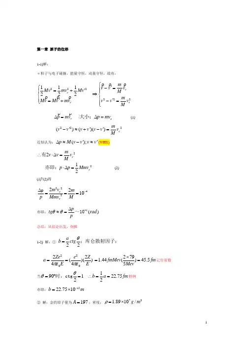
第一章 原子的位形1-1)解:α粒子与电子碰撞,能量守恒,动量守恒,故有:⎪⎩⎪⎨⎧+'='+=ee v m v M v M v M mv Mv 222212121⎪⎪⎩⎪⎪⎨⎧='-='-⇒222e e v M m v v v M m v vev m p=∆e p =m p =m v ∴∆∆,其大小: (1) 222(')(')(')e m v v v v v v v M-≈+-=近似认为:(');'pM v v v v ∆≈-≈(WHY)22e m v v v M∴⋅∆=有 212e p p Mmv ⋅∆=亦即: (2)(1)2/(2)得22422210e e m v m p Mmv M-∆===p 亦即:()ptg rad pθθ∆≈=-4~10 总结:从结论出发,倒推1-2) 解:①22a b ctg Eθπε=228e ;库仑散射因子:a=4)2)(4(420202E Z e E Ze a πεπε==22279()() 1.44()45.545e Z a fmMev fm E Mev πε⨯===记住常数 当901θθ=︒=时,ctg2122.752b a f m∴==特例 亦即:1522.7510b m -=⨯② 解:金的原子量为197A =;密度:731.8910/g m ρ=⨯依公式,λ射α粒子被散射到θ方向,d Ω立体角的内的几率:nt d a dP 2sin16)(42θθΩ=需记公式 (1)式中,n 为原子核数密度,()AA m n n N ρ∴=⋅= 即:AV n Aρ=Na 怎么得到 (2)由(1)式得:在90º→180 º范围内找到α粒子得几率为:)(θP 18022490a nt 2sin ()164sin 2d a nt πθθπρθθ︒︒=⋅=⎰将所有数据代入得)(θP 5()9.410ρθ-=⨯这就是α粒子被散射到大于90º范围的粒子数占全部粒子数得百分比。
原子物理学杨福家第四版课后答案原子物理学作为物理学的一个重要分支,对于理解物质的微观结构和性质具有至关重要的意义。
杨福家所著的《原子物理学》第四版更是众多学子深入学习这一领域的重要教材。
然而,课后习题的解答往往成为学习过程中的关键环节,它有助于巩固所学知识,加深对概念的理解。
以下便是对该教材课后答案的详细阐述。
首先,让我们来看第一章“原子的位形:卢瑟福模型”的课后习题。
其中,有一道关于α粒子散射实验的题目,要求计算α粒子在与金原子核发生散射时的散射角。
解答这道题,需要我们深刻理解库仑散射公式以及相关的物理概念。
我们知道,α粒子与金原子核之间的相互作用遵循库仑定律,通过对散射过程中动量和能量的守恒分析,可以得出散射角与α粒子的初始能量、金原子核的电荷量以及散射距离之间的关系。
经过一系列的数学推导和计算,最终得出具体的散射角数值。
第二章“原子的量子态:玻尔模型”中的课后习题,重点考察了对玻尔氢原子模型的理解和应用。
比如,有一道题让我们计算氢原子在不同能级之间跃迁时所发射光子的波长。
这就要求我们熟练掌握玻尔的能级公式以及光的波长与能量之间的关系。
根据玻尔的理论,氢原子的能级是量子化的,当电子从一个能级跃迁到另一个能级时,会释放出一定能量的光子。
通过计算两个能级之间的能量差,再利用光子能量与波长的关系式,就可以求出相应的波长。
在第三章“量子力学导论”的课后习题中,常常涉及到对波函数和薛定谔方程的理解和运用。
例如,有一道题给出了一个特定的势场,要求求解在此势场中粒子的波函数和可能的能量本征值。
解答此类问题,需要我们将给定的势场代入薛定谔方程,然后通过数学方法求解方程。
这个过程可能会涉及到一些复杂的数学运算,如分离变量法、级数解法等,但只要我们对量子力学的基本概念和方法有清晰的认识,就能够逐步推导得出答案。
第四章“原子的精细结构:电子的自旋”的课后习题,则更多地关注电子自旋与原子能级精细结构之间的关系。
比如,有题目要求计算在考虑电子自旋轨道耦合作用下,某原子能级的分裂情况。
原子物理学课后前六章答案(第四版)杨福家著(高等教育出版社)第一章:原子的位形:卢瑟福模型 第二章:原子的量子态:波尔模型 第三章:量子力学导论第四章:原子的精细结构:电子的自旋 第五章:多电子原子:泡利原理 第六章:X 射线第一章 习题1、2解1.1 速度为v 的非相对论的α粒子与一静止的自由电子相碰撞,试证明:α粒子的最大偏离角约为10-4rad.要点分析: 碰撞应考虑入射粒子和电子方向改变.并不是像教材中的入射粒子与靶核的碰撞(靶核不动).注意这里电子要动.证明:设α粒子的质量为M α,碰撞前速度为V ,沿X 方向入射;碰撞后,速度为V',沿θ方向散射。
电子质量用me 表示,碰撞前静止在坐标原点O 处,碰撞后以速度v 沿φ方向反冲。
α粒子-电子系统在此过程中能量与动量均应守恒,有:(1)ϕθααcos cos v m V M V M e +'= (2)ϕθαsin sin 0v m V M e -'= (3)作运算:(2)×sin θ±(3)×cos θ,(4)(5)再将(4)、(5)二式与(1)式联立,消去V’与v,化简上式,得(6)θϕμϕθμ222s i n s i n )(s i n +=+ (7)视θ为φ的函数θ(φ),对(7)式求θ的极值,有令sin2(θ+φ)-sin2φ=0 即 2cos(θ+2φ)sin θ=0若 sin θ=0, 则 θ=0(极小) (8)(2)若cos(θ+2φ)=0 ,则 θ=90º-2φ (9)将(9)式代入(7)式,有θϕμϕμ2202)(90si n si n si n +=-θ≈10-4弧度(极大)此题得证。
1.2(1)动能为5.00MeV 的α粒子被金核以90°散射时,它的瞄准距离(碰撞参数)为多大? (2)如果金箔厚1.0 μm ,则入射α粒子束以大于90°散射(称为背散射)的粒子数是全部入射粒子的百分之几?要点分析:第二问是90°~180°范围的积分.关键要知道n, 注意推导出n 值.其他值从书中参考列表中找.解:(1)依金的原子序数Z2=79答:散射角为90º所对所对应的瞄准距离为22.8fm.(2)解: 第二问解的要点是注意将大于90°的散射全部积分出来. (问题不知道nA,但可从密度与原子量关系找出)从书后物质密度表和原子量表中查出ZAu=79,AAu=197, ρAu=1.888×104kg/m3依θa 2sin即单位体积内的粒子数为密度除以摩尔质量数乘以阿伏加德罗常数。
原子物理学杨福家第四版课后答案在学习原子物理学这门课程时,杨福家第四版教材是许多同学的重要参考资料。
然而,课后习题的解答往往成为同学们巩固知识、加深理解的关键环节。
以下是为大家精心整理的原子物理学杨福家第四版课后答案。
第一章主要介绍了原子的基本概念和卢瑟福模型。
课后习题中,关于α粒子散射实验的相关问题较为常见。
例如,计算α粒子在不同散射角度下的散射几率,这需要我们深刻理解库仑散射公式以及散射截面的概念。
答案的关键在于正确运用公式,代入相关参数进行计算。
第二章重点是玻尔的氢原子理论。
在课后习题中,经常会出现让我们根据玻尔理论计算氢原子的能级、轨道半径以及跃迁时辐射的光子能量等问题。
以计算氢原子从激发态跃迁到基态辐射的光子能量为例,首先要明确能级公式,然后根据初末态的能级差来计算光子能量。
第三章讲述了量子力学初步。
其中涉及到的薛定谔方程的应用是重点也是难点。
比如,求解一维无限深势阱中粒子的波函数和能量本征值。
在解答这类问题时,需要熟练掌握薛定谔方程的求解方法,结合边界条件确定波函数和能量的表达式。
第四章是原子的精细结构。
这一章的课后习题中,对于碱金属原子光谱的精细结构和塞曼效应的考察较多。
比如,解释碱金属原子光谱精细结构的产生原因,答案要从电子的自旋轨道耦合作用入手,分析能级的分裂情况。
第五章是多电子原子。
在这部分的习题中,经常会要求分析多电子原子的能级结构和电子组态。
例如,确定某个多电子原子的基态电子组态,需要遵循泡利不相容原理、能量最低原理和洪特规则。
第六章是在磁场中的原子。
关于原子在外磁场中的塞曼分裂以及顺磁共振等问题是常见的考点。
解答这类题目时,要清楚磁场对原子能级和光谱的影响机制。
第七章是原子的壳层结构。
会涉及到原子核外电子的填充规则以及原子基态的确定等问题。
第八章是 X 射线。
对于 X 射线的产生机制、波长和强度的计算等是常见的习题类型。
第九章是原子核物理概论。
重点是原子核的基本性质、结合能的计算以及核反应等内容。
原子物理学杨福家第四版课后答案原子物理学是物理学的一个重要分支,它研究原子的结构、性质和相互作用等方面的知识。
杨福家所著的《原子物理学》第四版是一本备受欢迎的教材,为学生深入理解原子世界提供了坚实的基础。
以下是为您精心整理的该教材的课后答案。
第一章主要介绍了原子物理学的发展历程和一些基本概念。
课后习题可能会要求学生阐述卢瑟福散射实验的原理和意义。
卢瑟福散射实验是原子物理学中的一个关键实验,它证明了原子的核式结构。
在回答这类问题时,要清晰地说明实验的步骤、观察到的现象以及得出的结论。
例如,α粒子在穿过金箔时,大部分粒子直线通过,只有少数发生大角度偏转,这表明原子的正电荷和绝大部分质量集中在一个很小的核上。
第二章关于原子的能级和光谱,可能会有关于氢原子光谱线系的计算和解释的题目。
对于氢原子的能级公式和光谱线的频率、波长的计算,需要牢记相关公式并能准确运用。
比如,巴尔末系的波长可以通过公式计算得出,同时要理解为什么氢原子会产生这些特定的光谱线系,这涉及到电子的能级跃迁。
第三章的重点是量子力学初步。
在回答课后问题时,要理解波函数的物理意义以及薛定谔方程的应用。
例如,对于一个给定的势场,如何求解薛定谔方程得到波函数,并根据波函数计算出粒子在不同位置出现的概率。
这需要掌握一定的数学运算和物理概念。
第四章关于碱金属原子和电子自旋,可能会要求分析碱金属原子光谱的精细结构,并解释电子自旋的概念和作用。
在回答这类问题时,要清楚地说明由于电子自旋与轨道运动的相互作用,导致了碱金属原子光谱的精细分裂。
同时,要理解电子自旋的量子特性以及它对原子能级和光谱的影响。
第五章讲到了多电子原子。
这部分的课后习题可能会涉及到多电子原子的能级结构、电子组态和原子态的确定。
回答时需要运用泡利不相容原理、能量最低原理等规则来确定电子的排布,从而得出原子的可能状态。
第六章是在原子的壳层结构基础上,进一步探讨了 X 射线。
对于 X 射线的产生机制、特征谱线以及与物质的相互作用等问题,需要有清晰的理解和准确的表述。
最新原子物理学第一章习题参考答案第一章习题参考答案1.1速度为v 的非相对论的α粒子与一静止的自由电子相碰撞,试证明:α粒子的最大偏离角约为10-4rad.要点分析:碰撞应考虑入射粒子和电子方向改变,并不是像教材中的入射粒子与靶核的碰撞(靶核不动),注意这里电子要动.证明:设α粒子的质量为M α,碰撞前速度为V ,沿X 方向入射;碰撞后,速度为V',沿θ方向散射.电子质量用m e 表示,碰撞前静止在坐标原点O 处,碰撞后以速度v 沿φ方向反冲.α粒子-电子系统在此过程中能量与动量均应守恒,有:222212121v m V M V M e +'=αα(1) ?θααcos cos v m V M V M e +'=(2)?θαsin sin 0v m V M e -'=(3)作运算:(2)×sinθ±(3)×cosθ,得)sin(sin ?θθα+=VM v m e (4))sin(sin ?θ?αα+='VM V M(5)再将(4)、(5)二式与(1)式联立,消去V’与V ,)(sin sin )(sin sin 22222222θθ?θ?ααα+++=Vm M V M V M e化简上式,得θ??θα222sin sin )(sin em M +=+(6)若记αμM m e=,可将(6)式改写为θ?μ?θμ222sin sin )(sin +=+ (7)视θ为φ的函数θ(φ),对(7)式求θ的极值,有)](2sin 2sin [)]sin(2[sin ?θ?μ?θμθ?θ++-=+-d d令0=?θd d ,则sin2(θ+φ)-sin2φ=0即2cos(θ+2φ)sinθ=0(1)若sinθ=0则θ=0(极小)(8)(2)若cos(θ+2φ)=0则θ=90o-2φ(9)将(9)式代入(7)式,有θ?μ?μ2202)(90si n si n si n +=-由此可得183641===αμθM m e sinθ≈10-4弧度(极大)此题得证.1.2 (1)动能为5.00MeV 的α粒子被金核以90°散射时,它的瞄准距离(碰撞参数)为多大?(2)如果金箔厚1.0μm,则入射α粒子束以大于90°散射(称为背散射)的粒子数是全部入射粒子的百分之几?解:(1)依2cot2θa b =和E e Z Z a 02214πε≡金的原子序数Z 2=79 )(10752.2245cot 00.544.1792cot 42211502m E e Z b o -?=?=?=θπε答:散射角为90o所对所对应的瞄准距离为22.8fm.(2) 要点分析:第二问解的要点是注意将大于90°的散射全部积分出来.90°~180°范围的积分,关键要知道n ,问题不知道nA ,但可从密度与原子量关系找出注意推导出n 值.AN A N A V V V N V N n ρρ==?==)(1mol A A 总分子数,其他值从书中参考列表中找.从书后物质密度表和原子量表中查出Z Au =79,A Au =197,ρAu =1.888×104kg/m 3依:θθπθd a ntNN d si n 22si n16='2162422θθθπππsi n si n d a nt N N d ?=')2(sin 22sin 2)2(22cos 2sin2sin θθθθθθθd d d == θθθθππεππd E Z nt ??=242222sin 162cos 2sin 2)2(2)4e (θθθππεππd E Z nt ??=232222sin 162cos2)2(2)4e (=ππθθθπε242222sin 16)2sin (2sin4)(2π)4e (d E2Z nt注意到:AN A N A V V V N VN n ρρ==?==)(1mol A A 总分子数即单位体积内的粒子数为密度除以摩尔质量数乘以阿伏加德罗常数.222)2(4 )4e nt(E Z ?ππε是常数其值为5-2215-2376-10486.9)5.00792(4π)10(1.44197106.22101.88101.0?= ===ππππθθθθθ232312sin )2sin (22sin 2cosd d I最后结果为:dN’/N=9.6×10-5 说明大角度散射几率十分小.1-3试问4.5MeV 的α粒子与金核对心碰撞时的最小距离是多少?若把金核改为7Li 核,则结果如何?要点分析:计算简单,重点考虑结果给我们什么启示,影响靶核大小估计的因素.解:对心碰撞时+=2csc 12θa r m ,?=180θ时,()a ar m =?+=90csc 12离金核最小距离fm56.505.444.179240221=??===E e Z Z a r m πε若金核改为7Li 核,m<<="">E e Z Z a 02214πε=中,应把E 理解为质心系能E CLC E M m MV M m mM E +=+=221离7Li 核最小距离3.0fm 。
目录第一章原子的位形 (2)第二章原子的量子态:波尔模型 (8)第三章量子力学导论 (12)第四章原子的精细结构:电子的自旋 ........................ 错误!未定义书签。
第五章多电子原理:泡利原理 (23)第六章 X射线 ............................................................................... . (28)第七章原子核物理概论 ........................................... 错误!未定义书签。
第一章 原子的位形 1-1)解:α粒子与电子碰撞,能量守恒,动量守恒,故有:eevmvMvM vMmvMv 222 2121 21222e e v Mmvv v M mvvevmpeep=mvp=mv ,其大小: (1)222(')(')(') em vvvvvvvM近似认为:(');'pMvvvv22e m vvv M有21 2eppMmv亦即: (2)(1)2/(2)得224222 10e e mvm pMmvM p亦即:()ptgrad p-4~101-2) 解:① 22a bctg E228e;库仑散射因子:a=4 )2)(4 ( 4 2 0 20 2 E Ze E Zea 22279()()1.44()45.545 eZ afmMevfm EMev当901时,ctg2122.752 bafm亦即:1522.7510bm② 解:金的原子量为197A ;密度:731.8910/gm依公式,λ射粒子被散射到θ方向,d 立体角的内的几率:ntdadP 2sin16)( 42(1)式中,n 为原子核数密度,()AAmnnN即:AVn A(2)由(1)式得:在90º→180 º范围内找到粒子得几率为: )(P 1802 2 490ant2sin() 164sin2dant将所有数据代入得)(P5()9.410这就是粒子被散射到大于90º范围的粒子数占全部粒子数得百分比。
《原⼦物理》⾼教版教材习题解答原⼦物理学习题解答代群成都信息⼯程学院第⼀章原⼦的基本状况1.1 若卢瑟福散射⽤的α粒⼦是放射性物质镭'C 放射的,其动能为67.6810?电⼦伏特。
散射物质是原⼦序数79Z =的⾦箔。
试问散射⾓150οθ=所对应的瞄准距离b 多⼤?解:根据卢瑟福散射公式:20222442K Mv ctgb b Ze Zeαθπεπε==得到:2192150152212619079(1.6010) 3.97104(48.8510)(7.681010)Ze ctg ctg b K οθαπεπ---??===⽶式中212K Mvα=是α粒⼦的功能。
1.2已知散射⾓为θ的α粒⼦与散射核的最短距离为2202121()(1)4sin mZe r Mv θπε=+ ,试问上题α粒⼦与散射的⾦原⼦核之间的最短距离m r 多⼤?解:将1.1题中各量代⼊m r 的表达式,得:2min()(1)4sin Ze r Mv θπε=+ 1929619479(1.6010)1910(1)7.6810 1.6010sin 75ο--=+143.0210-=?⽶1.3 若⽤动能为1兆电⼦伏特的质⼦射向⾦箔。
问质⼦与⾦箔。
问质⼦与⾦箔原⼦核可能达到的最⼩距离多⼤?⼜问如果⽤同样能量的氘核(氘核带⼀个e +电荷⽽质量是质⼦的两倍,是氢的⼀种同位素的原⼦核)代替质⼦,其与⾦箔原⼦核的最⼩距离多⼤?解:当⼊射粒⼦与靶核对⼼碰撞时,散射⾓为180ο。
当⼊射粒⼦的动能全部转化为两粒⼦间的势能时,两粒⼦间的作⽤距离最⼩。
根据上⾯的分析可得:220min124p Ze Mv K r πε==,故有:2min 04p Ze r K πε=19291361979(1.6010)910 1.141010 1.6010---??=??=⽶由上式看出:min r 与⼊射粒⼦的质量⽆关,所以当⽤相同能量质量和相同电量得到核代替质⼦时,其与靶核的作⽤的最⼩距离仍为131.1410-?⽶。
原子物理学课后前六章答案(第四版)杨福家著(高等教育出版社)第一章:原子的位形:卢瑟福模型 第二章:原子的量子态:波尔模型 第三章:量子力学导论第四章:原子的精细结构:电子的自旋 第五章:多电子原子:泡利原理 第六章:X 射线第一章 习题1、2解1.1 速度为v 的非相对论的α粒子与一静止的自由电子相碰撞,试证明:α粒子的最大偏离角约为10-4rad.要点分析: 碰撞应考虑入射粒子和电子方向改变.并不是像教材中的入射粒子与靶核的碰撞(靶核不动).注意这里电子要动.证明:设α粒子的质量为M α,碰撞前速度为V ,沿X 方向入射;碰撞后,速度为V',沿θ方向散射。
电子质量用me 表示,碰撞前静止在坐标原点O 处,碰撞后以速度v 沿φ方向反冲。
α粒子-电子系统在此过程中能量与动量均应守恒,有:(1)ϕθααcos cos v m V M V M e +'= (2) ϕθαsin sin 0v m V M e -'= (3)作运算:(2)×sin θ±(3)×cos θ,(4)(5)再将(4)、(5)二式与(1)式联立,消去V’与v化简上式,得(6)θϕμϕθμ222s i n s i n )(s i n +=+ (7)视θ为φ的函数θ(φ),对(7)式求θ的极值,有令sin2(θ+φ)-sin2φ=0 即 2cos(θ+2φ)sin θ=0若 sin θ=0, 则 θ=0(极小) (8)(2)若cos(θ+2φ)=0 ,则 θ=90º-2φ (9)将(9)式代入(7)式,有θϕμϕμ2202)(90sin sin sin +=-θ≈10-4弧度(极大)此题得证。
1.2(1)动能为5.00MeV 的α粒子被金核以90°散射时,它的瞄准距离(碰撞参数)为多大?(2)如果金箔厚1.0 μm ,则入射α粒子束以大于90°散射(称为背散射)的粒子数是全部入射粒子的百分之几?要点分析:第二问是90°~180°范围的积分.关键要知道n, 注意推导出n 值.其他值从书中参考列表中找.解:(1)依金的原子序数Z2=79答:散射角为90º所对所对应的瞄准距离为22.8fm.(2)解: 第二问解的要点是注意将大于90°的散射全部积分出来. (问题不知道nA,但可从密度与原子量关系找出)从书后物质密度表和原子量表中查出ZAu=79,AAu=197, ρAu=1.888×104kg/m3依θa 2sin即单位体积内的粒子数为密度除以摩尔质量数乘以阿伏加德罗常数。
原子物理学课后答案(第四版)杨福家著高等教育出版社第一章:原子的位形:卢瑟福模型第二章:原子的量子态:波尔模型第三章:量子力学导论第四章:原子的精细结构:电子的自旋第五章:多电子原子:泡利原理第六章:X射线第七章:原子核物理概论第八章:超精细相互作用原子物理学——学习辅导书吕华平刘莉主编(7.3元定价)高等教育出版社第一章习题答案1-1 速度为v 的非相对论的α粒子与一静止的自由电子相碰撞,试证明:α粒子的最大偏离角约为410-rad.解:设碰撞以后α粒子的散射角为θ,碰撞参数b 与散射角的关系为2cot 2θa b =(式中Ee Z Z a 02214πε=)碰撞参数b 越小,则散射角θ越大。
也就是说,当α粒子和自由电子对头碰时,θ取得极大值。
此时粒子由于散射引起的动量变化如图所示,粒子的质量远大于自由电子的质量,则对头碰撞后粒子的速度近似不变,仍为,而电子的速度变为,则粒子的动量变化为v m p e 2=∆散射角为410*7.21836*422-=≈≈∆≈v m v m p p e αθ 即最大偏离角约为410-rad.1-2 (1)动能为5.00MeV 的α粒子被金核以︒90散射时,它的瞄准距离(碰撞参数)为多大? (2)如果金箔厚为1.0um ,则入射α粒子束以大于︒90散射(称为背散射)的粒子是全部入射粒子的百分之几? 解:(1)碰撞参数与散射角关系为:2cot 2θa b =(式中Ee Z Z a 02214πε=)库伦散射因子为:Ee Z Z a 02214πε==fm MeV MeV fm 5.45579*2**44.1= 瞄准距离为: fm fm a b 8.2245cot *5.45*212cot 2===︒θ(2)根据碰撞参数与散射角的关系式2cot 2θa b =,可知当︒≥90θ时,)90()(︒≤b b θ,即对于每一个靶核,散射角大于︒90的入射粒子位于)90(︒<b b 的圆盘截面内,该截面面积为)90(2︒=b c πσ,则α粒子束以大于︒90散射的粒子数为:π2Nntb N =' 大于︒90散射的粒子数与全部入射粒子的比为526232210*4.98.22*142.3*10*0.1*19788.18*10*02.6--===='πρπtb M N ntb N N A 1—3 试问:4.5Mev 的α粒子与金核对心碰撞时的最小距离是多少?若把金核改为Li 7核,则结果如何? 解:(1)由式4—2知α粒子与金核对心碰撞的最小距离为=m r Ee Z Z a 02214πε==fm MeV MeV fm 6.505.479*2**44.1=(2)若改为Li 7核,靶核的质量m '不再远大于入射粒子的质量m ,这时动能k E 要用质心系的能量c E ,由式3—10,3—11知,质心系的能量为:)(212mm mm m v m E u u c +''==式中 得k k k Li He Li k u c E E E A A A E m m m v m E 117747212=+=+≈+''==α粒子与Li 7核对心碰撞的最小距离为:=m r Ee Z Z a 02214πε==fm MeV MeV fm 0.37*5.411*3*2**44.1=1—4 (1)假定金核半径为7.0fm ,试问:入射质子需要多少能量,才能在对头碰撞时刚好到达金核的表面?(2)若金核改为铝核,使质子在对头碰撞时刚好到达铝核的表面,那么,入射质子的能量应为多少?设铝核半径为4.0fm 。
解:(1)质子和金核对头碰撞时的最小距离为=m r kE e Z Z a 02214πε=所以入射质子需要的能量为:MeV r Z Z e E m k 25.160.779*1*44.140212===πε(2)若改为铝核,靶核的质量m '不再远大于入射粒子的质量m ,这时需要用质心系的能量c E ,质子和铝核对头碰撞时的最小距离为=minr cE e Z Z a 02214πε=质心系的能量为k u c E mm m v m E '+'==221所以入射质子需要的能量为MeV m m r Z Z e E k 2.9)28271(0.413*1*44.1)1(4min 0212=+='+=πε1—5 动能为1.0MeV 的窄质子束(略)解:窄质子束打到金泊上,散射到θθθ∆-→方向上∆Ω立体角的概率η为 ∆Ω=∆=c nt NNση 式中原子核的数密度2,rSM N V N n A m A =∆Ω==ρ,散射截面的定义式为 2sin1642θσa c =则有2422sin 16r Sa Mt N N N A θρη=∆= 已知金的摩尔质量M=197g/mol ,金的质量厚度2/5.1cm mg t m ==ρρ,先计算出库仑散射因子kE e Z Z a 02214πε==fm MeV MeV fm 76.113179*1**44.1= 代入数据计算,散射到计数器输入孔的质子数与入射打到金箔的质子数之比为2422sin 16r S a MtN Aθρη==︒-30sin *10*16*1975.1*)10*76.113(*5.1*10*02.64221323=610*9.8-1—6 一束α粒子垂直射至一重金属箔上(略)解:对于每一个靶核,散射角大于θ的入射粒子位于)(θb b <的圆盘截面内,该截面面积为)(2θπσb c =则α粒子束大于θ角散射的粒子数为22)2cot 2()(θπθπa Nnt b nt N ==∆散射角大于︒60的α粒子数与散射角大于︒90的α粒子数之比为3)45cot 2()30cot 2(2221==∆∆︒︒a Nnt aNnt N N ππ1—7 单能的窄α粒子束垂直地射到质量厚度为(略)解:α粒子束垂直地射到钽箔上,以散射角︒>20θ散射的相对粒子数为:22)2cot 2(θπρπa M N b nt N N m A ==∆ 可求得库仑散射因子的平方 2tan 422θπρm A N M N N a ∆=已知相对粒子数,10*0.43-=∆NN钽质量厚度为3/0.2cm mg m =ρ,钽的摩尔质量M=181g/mol,︒=20θ,代入数据计算得 227210*38.2m a -=由式3—16得散射角︒=60θ相对应得微分散射截面为:sr m a d d /10*38.22sin 1622742-==Ωθσ1—8 (1)质量为m1的入射粒子被质量为(略)证:(1)质量为m1的入射粒子被质量为m2的静止靶核弹性散射,m2,1m ≤在碰撞前后动量守恒,能量守恒。
设m1粒子碰撞前速度为v ,沿着x 方向,碰撞后速度为v1,与x 方向夹角为θ.m2粒子碰撞前速度为0,碰撞后速度为v2,与x 方向夹角为ϕ,如图所示。
由能量守恒得:22221121212121v m v m v m += (1) 由动能守恒得:ϕθcos cos 22111v m v m v m += (2) 0=ϕθsin sin 2211v m v m - (3) (2)*θsin θcos *)3(-得 )sin(sin 221ϕθθ+=v m v m (4) (2)*ϕsin ϕcos *)3(+得 )sin(sin 111ϕθϕ+=v m v m (5)将4,5式代入1式有:22212121))sin(sin ())sin(sin (ϕθθϕθϕ+++=v m m v m v m消去2v 有:θϕϕθ22122sin sin )(sin m m +=+ (6) 对上一式求导有ϕθϕθθϕϕθd d m m ))(2sin 2sin (2sin )(2sin 21+-=-+ 取极值时0=ϕθd d ,则有:0sin )2cos(22sin )(2sin =+=-+θϕθϕϕθ当0sin =θ时0=θ,为极小值。
当0)2cos(=+ϕθ时,ϕθ290-= 代入式(6)则有ϕϕ2cos 2cos 221m m =解得:122cos m m =ϕ 则有:122cos sin m m ==ϕθ由此得在实验室坐标系中的最大可能偏转角L θ为12sin m m L =θ (2)α粒子在原来静止的氦核上散射,则:αm m m ==21 1s i n=L θ在实验室坐标下的最大散射角90=L θ。
1—9 动能为1.0MEV 的窄质子束(略)解:金箔中含有百分之三十的银,可以理解为金核和银核的粒子数之比为7:3。
窄质子束打到金核上,一散射角大于θ散射的相对粒子数2c o t 7.0)4(42c o t 422021222111θπεπρθπη⨯⨯==∆=k A E Z Z e t M N a t n N N 窄质子束打到银核上,以散射角大于θ散射的相对粒子数2c o t 3.0)4(42c o t 422021222222θπεπρθπη⨯⨯==∆=∙∙k A E Z Z e t M N a t n N N 而质子打到金核和银核上的散射可以看成独立散射事件,则窄质子束射到金箔,以散射角大于θ散射的相对粒子数为)3.07.0(2cot )4(422222201221⨯+⨯=+=∙∙MZ M Z E Z e t N k A θπεπρηηη 已知金箔的厚度t ρ,入射质子的质子数1Z ,金的质子数2Z ,摩尔质量M 。
银的质子数2∙Z ,摩尔质量∙M 。
将各个数据代入得:3108.5-⨯=η1—10 由加速器产生的能量为1.2MeV (略)解:质子束垂直地射到金箔上,散射到θθθd -→范围的概率为θθπθσd a nt d nt NNc sin 22sin1642=Ω=∆(1) 质子散射到21θθ→范围的相对质子数为)2cot 2(cot )2()(221222221θθππ-=-=∆a Nnt b b Nnt N数密度为 3281077.5m M N n AuA ⨯==ρ库伦散射因子为 fm E Z Z e a k 8.942.179*1*44.140212===πε121991036.910602.1605100.5⨯=⨯⨯⨯⨯==--Cs A e IT N 计算得:922122104.1)2cot 2(cot)2(⨯=-=∆θθπa Nnt N(2) 质子垂直地射到金箔上,以散射角600=>θθ散射的粒子数为10202107.1)2cot2(⨯===∆θππa Nnt b Nnt N(3) 质子垂直地射到金箔上,以散射角100=<θθ散射的粒子数为202)2cot2(θππa Nnt b Nnt N ==∆则在散射角 100=<θθ范围粒子数12022106.8)2cot 41(⨯=-=∆-=∆∙θπa nt N N N N。