8种求定义域的方法
- 格式:doc
- 大小:11.51 KB
- 文档页数:3
创作编号:GB8878185555334563BT9125XW创作者: 凤呜大王*高中函数定义域和值域的求法总结一、常规型即给出函数的解析式的定义域求法,其解法是由解析式有意义列出关于自变量的不等式或不等式组,解此不等式(或组)即得原函数的定义域。
例1 求函数8|3x |15x 2x y 2-+--=的定义域。
解:要使函数有意义,则必须满足⎩⎨⎧≠-+≥--②①8|3x |015x 2x 2 由①解得 3x -≤或5x ≥。
③ 由②解得 5x ≠或11x -≠ ④③和④求交集得3x -≤且11x -≠或x>5。
故所求函数的定义域为}5x |x {}11x 3x |x {>-≠-≤ 且。
例2 求函数2x161x sin y -+=的定义域。
解:要使函数有意义,则必须满足⎩⎨⎧>-≥②①0x 160x sin 2由①解得Z k k 2x k 2∈π+π≤≤π, ③由②解得4x 4<<-④由③和④求公共部分,得 π≤<π-≤<-x 0x 4或 故函数的定义域为]0(]4(ππ--,, 评注:③和④怎样求公共部分?你会吗? 二、抽象函数型抽象函数是指没有给出解析式的函数,不能常规方法求解,一般表示为已知一个抽象函数的定义域求另一个抽象函数的解析式,一般有两种情况。
(1)已知)x (f 的定义域,求)]x (g [f 的定义域。
(2)其解法是:已知)x (f 的定义域是[a ,b ]求)]x (g [f 的定义域是解b )x (g a ≤≤,即为所求的定义域。
例3 已知)x (f 的定义域为[-2,2],求)1x (f 2-的定义域。
解:令21x 22≤-≤-,得3x 12≤≤-,即3x 02≤≤,因此3|x |0≤≤,从而3x 3≤≤-,故函数的定义域是}3x 3|x {≤≤-。
(2)已知)]x (g [f 的定义域,求f(x)的定义域。
其解法是:已知)]x (g [f 的定义域是[a ,b ],求f(x)定义域的方法是:由b x a ≤≤,求g(x)的值域,即所求f(x)的定义域。
8种求定义域的方法定义域是指一个函数中所有可能输入的集合。
具体来说,定义域是指函数中的自变量可以取得的所有值。
在数学中,求定义域是解决一个函数的自变量的取值范围的问题。
下面是八种常见的方法来求定义域。
方法1:显式定义对于一些函数,定义域可以通过其显式定义来确定。
例如,对于函数f(x)=1/x,定义域可以通过注意到除数不能为零来确定,即x不能为0。
因此,定义域就是除去0之后的实数集合:R\{0}。
方法2:关系定义有些函数的定义域可以通过直接观察定义函数的关系来确定。
例如,对于函数f(x)=√(2x-1),注意到根号内的表达式必须大于等于零,即2x-1≥0。
解这个不等式可以得到定义域为x≥1/2方法3:对数函数对于对数函数,定义域必须满足底数必须大于零且不等于1,并且实数必须大于零。
例如,对于函数f(x) = log₂(x + 3),定义域为x + 3 > 0,即x > -3方法4:分式函数对于分式函数,定义域必须使分母不等于零。
例如,对于函数f(x)=1/(x-2),定义域为x≠2方法5:根式函数对于根式函数,定义域必须使根号内的表达式大于等于零。
例如,对于函数f(x)=∛(x-4),根号内的表达式必须大于等于零,即x-4≥0,解不等式可得x≥4、因此,定义域为x≥4方法6:三角函数对于三角函数,定义域是实数的所有值,因为三角函数在整个数轴上都有定义。
例如,对于函数f(x) = sin(x),定义域为所有实数:(-∞, ∞)。
方法7:反三角函数对于反三角函数,定义域必须使其定义范围内的表达式满足相应的条件。
例如,对于函数f(x) = arcsin(x),由于反正弦函数的定义域是[-1, 1],因此定义域必须满足-1 ≤ x ≤ 1方法8:参数化定义对于一些函数,可以通过将函数参数化来求取定义域。
例如,对于函数f(x)=√(x²-1),我们可以通过取x²-1≥0来求取定义域。
8种求定义域的方法在数学领域中,关于定义域的求解方法有许多种。
下面将介绍其中的八种方法。
方法一:根据函数公式求取定义域。
对于一些简单的函数,可以通过函数的公式直接求取定义域。
例如对于一个分式函数,如f(x)=1/(x-2),由于分母不能为0,所以定义域为{x,x≠2}。
方法二:分析函数的基本性质。
有些函数拥有特定的性质,根据这些性质可以求得函数的定义域。
例如对于多项式函数,常数函数和指数函数,它们都定义在实数域上,因此定义域为实数集。
方法三:考虑函数中的根。
对于包含根的函数,定义域不能使这些根使得函数的值出现未定义的情况。
例如对于开方函数f(x)=√(x-3),由于根号下的值不能为负,所以定义域为{x,x≥3}。
方法四:考虑函数的分段定义。
对于分段定义的函数,需要分别考虑每个分段的定义域。
例如对于函数f(x)=,x,分段定义为{x当x>=0时;-x当x<0时},因此定义域为实数集。
方法五:考虑函数的限制条件。
有时函数在定义域上有一些限制条件。
例如对于对数函数f(x) =ln(x),由于对数函数只对正数有定义,所以定义域为{x , x > 0}。
方法六:考虑函数的参数限制。
对于含有参数的函数,需要考虑参数的限制条件。
例如对于双曲正弦函数f(x) = sinh(x),由于双曲正弦函数对所有实数都有定义,所以定义域为实数集。
方法七:考虑函数的复合性质。
对于复合函数,需要分析组成函数的定义域。
例如对于函数f(g(x)),需要保证g(x)的定义域是f(x)的定义域。
例如对于函数f(g(x)) = 1/x,如果g(x) = sin(x) + 2,由于sin(x)的定义域为实数集,所以g(x)的定义域与f(x)的定义域保持一致。
方法八:考虑函数的图像。
对于一些函数,通过画出函数的图像可以直观地确定定义域。
例如对于一个二次函数f(x)=x^2+1,通过函数的图像我们可以看到函数的定义域为实数集。
求定义域的方法总结
8种求定义域的方法
可根据不同函数的八种类型,分为以下八种方法来求函数的定义域:
①整式的定义域为R。
整式可以分为单项式还有多项式,单项式比如y=4x,多项式比如y=4x+1。
这时候无论是单项式还是多项式,定义域均为{x|x∈R},就是x可以等于所有实数。
②分式的定义域是分母不等于0。
例如y=1/(x-1),这时候的定义域只需要求让分母不等于即可,即x-1≠0,定义域为{x|x≠1}。
③偶数次方根定义域是被开方数≥0。
例如根号下x-3,这时候定义域就是让x-3≥0,求出来定义域为{x|x≥3}。
④奇数次方根定义域是R。
例如三次根号下x-3,定义域就是{x|x∈R}。
⑤指数函数定义域为R。
比如y=3^x,定义域为{x|x∈R}。
⑥对数函数定义域为真数>0。
比如log以3为底(x-1)的对数,让x-1>0,即定义域为{x|x>1}。
⑦幂函数定义域是底数≠0。
比如y=(x-1)^2,让x-1≠0,即定义域为{x|x≠1}。
⑧三角函数中正弦余弦定义域为R,正切函数定义域为x≠π/2+kπ。
这时候求定义域画个图就可以看出来了,只要记住三角函数图像,即可求出定义域。
这八种类型是常见函数类型,求定义域时首先要分辨清楚它们属于哪个类型的函数,然后根据基本的定义域来求复杂函数定义域。
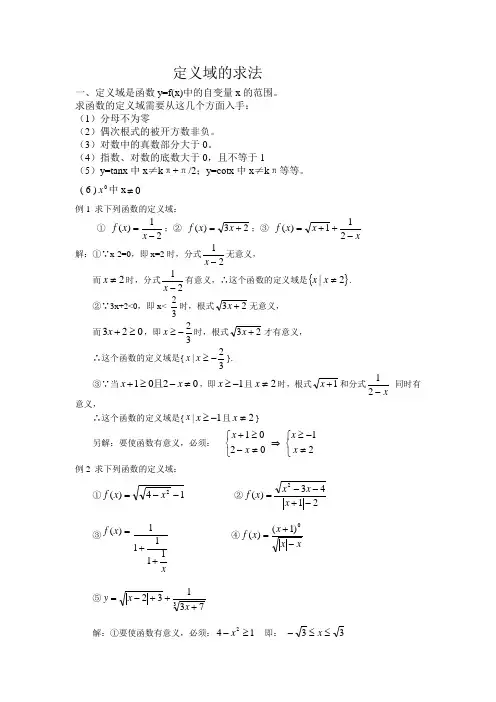
定义域的求法一、定义域是函数y=f(x)中的自变量x 的范围。
求函数的定义域需要从这几个方面入手: (1)分母不为零(2)偶次根式的被开方数非负。
(3)对数中的真数部分大于0。
(4)指数、对数的底数大于0,且不等于1(5)y=tanx 中x ≠k π+π/2;y=cotx 中x ≠k π等等。
( 6 )0x 中x 0≠例1 求下列函数的定义域:① 21)(-=x x f ;② 23)(+=x x f ;③ xx x f -++=211)( 解:①∵x-2=0,即x=2时,分式21-x 无意义,而2≠x 时,分式21-x 有意义,∴这个函数的定义域是{}2|≠x x .②∵3x+2<0,即x<-32时,根式23+x 无意义,而023≥+x ,即32-≥x 时,根式23+x 才有意义,∴这个函数的定义域是{x |32-≥x }.③∵当0201≠-≥+x x 且,即1-≥x 且2≠x 时,根式1+x 和分式x-21同时有意义,∴这个函数的定义域是{x |1-≥x 且2≠x }另解:要使函数有意义,必须: ⎩⎨⎧≠-≥+0201x x ⇒ ⎩⎨⎧≠-≥21x x例2 求下列函数的定义域:①14)(2--=x x f ②2143)(2-+--=x x x x f③=)(x f x11111++④xx x x f -+=)1()(⑤373132+++-=x x y解:①要使函数有意义,必须:142≥-x 即: 33≤≤-x∴函数14)(2--=x x f 的定义域为: [3,3-]②要使函数有意义,必须:⎩⎨⎧≠-≠-≤≥⇒⎩⎨⎧≠-+≥--13140210432x x x x x x x 且或4133≥-≤<--<⇒x x x 或或∴定义域为:{ x|4133≥-≤<--<x x x 或或}③要使函数有意义,必须: 011110110≠++≠+≠⎪⎪⎪⎩⎪⎪⎪⎨⎧xx x ⇒2110-≠-≠≠⎪⎩⎪⎨⎧x x x ∴函数的定义域为:}21,1,0|{--≠∈x R x x 且④要使函数有意义,必须: ⎩⎨⎧≠-≠+001x x x ⎩⎨⎧<-≠⇒01x x∴定义域为:{}011|<<--<x x x 或⑤要使函数有意义,必须: ⎩⎨⎧≠+≥+-073032x x ⎪⎩⎪⎨⎧-≠∈⇒37x R x 即 x<37- 或 x>37- ∴定义域为:}37|{-≠x x例3 若函数aax ax y 12+-=的定义域是R ,求实数a 的取值范围 解:∵定义域是R,∴恒成立,012≥+-aax ax ∴⎪⎩⎪⎨⎧≤<⇒≤⋅-=∆>2001402a a a a a 等价于 例4 若函数)(x f y =的定义域为[-1,1],求函数)41(+=x f y )41(-⋅x f 的定义域解:要使函数有意义,必须:43434543434514111411≤≤-⇒⎪⎩⎪⎨⎧≤≤-≤≤-⇒⎪⎩⎪⎨⎧≤-≤-≤+≤-x x x x x ∴函数)41(+=x f y )41(-⋅x f 的定义域为:⎭⎬⎫⎩⎨⎧≤≤-4343|x x例5 已知f(x)的定义域为[-1,1],求f(2x -1)的定义域。
函数的定义域常见求法一、函数的定义域的定义函数的定义域是指使函数有意义的自变量的取值范围. 二、求函数的定义域的主要依据1、分式的分母不能为零.2、偶次方根的被开方数的被开方数必须大于等于零,(2,)n k k N *=∈其中中0,x ≥奇次方根(21,)n k k N *=+∈其中中,x R ∈.3、指数函数xy a =的底数a 必须满足01,a a x R >≠∈且.4、对数函数log a y x =的真数x 必须大于零,底数a 必须满足01a a >≠且.5、零次幂的底数不能为零,即0x 中0x ≠.6、正切函数tan y x =的定义域是{|,}2x x k k z ππ≠+∈.7、复合函数的定义域的求法(1)已知原函数()f x 的定义域为(,)a b ,求复合函数[()]f g x 的定义域:只需解不等式()a g x b <<,不等式的解集即为所求函数的定义域.(2)已知复合函数[()]f g x 的定义域为(,)a b ,求原函数()f x 的定义域:只需根据a x b <<求出函数()g x 的值域,即得原函数()f x 的定义域.8、求函数()()y f x g x =+的定义域一般先分别求函数()y f x =和函数()y g x =的定义域A 和B ,再求A B ,则A B 就是所求函数的定义域.9、求实际问题中函数的定义域不仅要考虑解析式有意义,还要保证满足实际意义. 三、函数的定义域的表示函数的定义域必须用集合表示,不能用不等式表示.函数的定义域也可以用区间表示,因为区间实际上是集合的一种特殊表示形式.四、求函数的定义域常用的方法有直接法、求交法、抽象复合法和实际法.五、函数的问题,必须遵循“定义域优先”的原则.研究函数的问题,不管是具体的函数,还是抽象的函数,不管是简单的函数,还是复杂的函数,必须优先考虑函数的定义域.之所以要做到这一点,不仅是为了防止出现错误,有时还会为解题带来方便. 【方法讲评】方法一 直接法使用情景 函数的结构比较简单.解题步骤直接列出不等式解答,不等式的解集就是函数的定义域.【例1】求函数2253y x x =+-的定义域.【点评】对于类似例题的结构单一的函数,可以直接列出不等式再解答即得到函数的定义域. 【反馈检测1】求函数21x y x +=+. 方法二 求交法使用情景函数是由一些函数四则运算得到的,即函数的形式为()()()f x g x h x =+型.解题步骤一般先分别求函数()g x 和()h x 的定义域A 和B ,再求AB ,A B 就是函数()f x 的定义域.【例2】求函数225y x =-3log cos x 的定义域.【解析】由题得⎪⎩⎪⎨⎧∈+<<-≤≤-∴⎩⎨⎧>≥-zk k x k x x x 2222550cos 0252ππππ∴}52322235|{≤<<<--<≤-x x x x ππππ或或所以函数的定义域为}52322235|{≤<<<--<≤-x x x x ππππ或或【点评】(1)求函数()()y f x g x =+的定义域,一般先求()y f x =和函数()y g x =的定义域A 和B ,再求AB ,则A B 就是所求函数的定义域.(2)该题中要考虑偶次方根的被开方数是非负数,对数函数的真数大于零,列不等式求函数的定义域时,必须考虑全面,不能漏掉限制条件.(3)解不等式cos 0x >时,主要是利用余弦函数的图像解答.(4)求552222x k x k k zππππ-≤≤⎧⎪⎨-<<+∈⎪⎩的解集时,只需给参数k 赋几个整数值,再通过数轴求交集.(5)注意等号的问题,其中只要有一个错误,整个解集就是错误的,所以要仔细认真. 学科#网【例3】求函数 02)23(3|3|)lg(-+-+-=x x x x y 的定义域.【点评】(1)该题中要考虑真数大于零,分式的分母不能为零,零次幂的底数不能为零,考虑要全面,不要遗漏.(2)求不等式的交集一般通过数轴完成.【例4】求函数log (1)(01)xa y a a a =->≠且的定义域.【解析】由题得 0101=xxa a a ->∴>1a >当时,x>0;当0<a<1时,x<0.1{a ∴>当时,函数的定义域为x|x>0}, 1{a <当0<时,函数的定义域为x|x<0}.【点评】(1)求含有参数的函数的定义域时,注意在适当的地方分类讨论.(2)对于指数函数和对数函数,如果已知条件中,没有给定底数a 的取值范围,一般要分类讨论.【反馈检测2】求函数2ln1)23xy a x x =---+(的定义域.方法三 抽象复合法 使用情景涉及到抽象复合函数.解题步骤利用抽象复合函数的性质解答:(1)已知原函数()f x 的定义域为(,)a b ,求复合函数[()]f g x 的定义域:只需解不等式()a g x b <<,不等式的解集即为所求函数的定义域.(2)已知复合函数[()]f g x 的定义域为(,)a b ,求原函数()f x 的定义域:只需根据a x b <<求出函数()g x 的值域,即得原函数()f x 的定义域.【例5】求下列函数的定义域:(1)已知函数f (x)的定义域为[2,2]-,求函数2(1)y f x =-的定义域; (2)已知函数(24)y f x =+的定义域为[0,1],求函数f (x)的定义域; (3)已知函数f (x)的定义域为[1,2]-,求函数2(1)(1)y f x f x =+--的定义域.【点评】(1)已知原函数()f x 的定义域为(,)a b ,求复合函数[()]f g x 的定义域:只需解不等式()a g x b <<,不等式的解集即为所求函数的定义域.第1小题就是典型的例子.(2)已知复合函数[()]f g x 的定义域为(,)a b ,求原函数()f x 的定义域:只需根据a x b <<求出函数()g x 的值域,即得原函数()f x 的定义域.第2小题就是典型的例子.(3)求函数()()y f x g x =+的定义域,一般先分别求函数()y f x =和函数()y g x =的定义域A 和B ,再求AB ,则A B 就是所求函数的定义域.【反馈检测3】已知函数(tan 2)y f x =的定义域为[0,]8π,求函数()f x 的定义域.【反馈检测4】 若函数)(x f y =的定义域为⎥⎦⎤⎢⎣⎡2,21,求函数)(log 2x f 的定义域.方法四 实际法使用情景 数学问题是实际问题.解题步骤先求函数的自变量的取值范围,再考虑自变量的实际限制条件,最后把前面两者的范围求交集,即得函数的定义域.【例6】用长为L 的铁丝编成下部为矩形,上部为半圆形的框架(如图所示).若矩形底边长为2x ,求此框架围成的面积y 与关于x 的函数解析式,并求出它的定义域. 【解析】如图,【点评】(1)求实际问题中函数的定义域,不仅要考虑解析式本身有意义,还要保证满足实际意义.(2)该题中在考虑实际意义时,必须保证解答过程中的每一个变量都有意义,即2x 02x 02x π⎧⎪⎨⎪⎩>L -->,不能遗漏.【反馈检测5】 一个圆柱形容器的底部直径是dcm ,高是hcm .现在以3/vcm s 的速度向容器内注入某种溶液.求容器内溶液的高度xcm 关于注入溶液的时间ts 的函数解析式,并写出函数的定义域和值域.参考答案【反馈检测1答案】{|12}x x x >-≤-或【反馈检测1详细解析】由题得(2)(1)012201011x x x x x x x x ++≥≥-≤-⎧⎧+≥∴∴⎨⎨+≠+≠-⎩⎩或所以12{|12}x x x x x >-≤-∴>-≤-或函数的定义域为或.【反馈检测2答案】当1a >时,函数的定义域为{|01}x x <<;当01a <<时,函数的定义域为{|30}x x -<<.【反馈检测3答案】[0,1]【反馈检测3详细解析】由题得0020tan 2184x x x ππ≤≤∴≤≤∴≤≤,所以函数的定义域为[0,1].【反馈检测4答案】{}42|≤≤x x【反馈检测4详细解析】依题意知:2log 212≤≤x 解之得 42≤≤x ∴ )(log 2x f 的定义域为{}42|≤≤x x【反馈检测5答案】函数解析式为24vtx dπ=,函数的定义域为{t |0≤t ≤2hd 4v π},值域为{x |0≤x ≤h }. 【反馈检测5详细解析】向容器内注入溶液经历时间为t 秒后,容器中溶液的高度为xcm .故t 秒后溶液的体积为=底面积×高=π⎪⎭⎫⎝⎛2d 2x =vt 解之得:x =24vt d π又因为0≤x ≤h 即0≤24vt d π≤h ⇒ 0≤t ≤2hd 4v π,故函数的定义域为{t |0≤t ≤2hd 4vπ},值域为{x |0≤x ≤h }.。
求函数定义域方法总结函数的定义域及求法1、 分式的分母()()g x f x 中,()0f x ≠;偶次方根的被开方数≥0;在0()f x 中, ()0f x ≠即:0次幂底数不为01、 2、 对数函数的真数>0;对数函数的底数>0且≠1;3、 正切函数:x ≠ k π + π/2 ,k∈Z;余切函数:x ≠ k π ,k∈Z ;4、 一次函数、二次函数、指数函数的定义域为R ;5、 定义域的相关求法: (1)解析式为整式时,x 取任何实数;(2)当解析式为分式时,x 取分母不为零.....的实数 (3)利用函数的图象(或数轴)法; (4)利用其反函数的值域法;(5)当解析式为偶次根式时,x 取被开方数为非负数........的实数 (6)当解析式为复合表达式时,首先逐个列出不等式,求出各部分的允许取值范围,再求其公共部分。
6、反三角函数的定义域函数y =arcsinx 的定义域是[-1,1],值域是;函数y =arccosx 的定义域是[-1,1],值域是[0,π] ; 函数y =arctgx 的定义域是R ,值域是;函数y =arcctgx 的定义域是R ,值域是(0,π)。
7、 复合函数定义域的求法:推理、取交集及分类讨论.若函数f (x )的定义域是A ,则函数))((x f ϕ的定义域相当于求:使得)(x ϕ A ∈的x 的取值范围;(2)若函数))((x f ϕ的定义域是A ,则f (x )的定义域相当于求:当))((x f ϕ中x ∈A 时,)(x ϕ的值域。
8、当解析式涉及到具体应用问题时,视具体应用问题而定。
如果使用函数反映实际问题时,自变量的取值除表示函数的数字式子有意义之外,还必须使实际问题有意义。
典型例题:例1求下列函数的定义域 (1)y=-5x 2, (2) y=3x+5, 解:(1)x 为一切实数;(2)x 为一切实数 例2.求下列函数的定义域(1)y=11-x (2) y=xx 312+-解:(1)∵x-1≠0 ∴函数的定义域是x ≠1的实数。
【答题技巧】8种求定义域的方法1.根据解析式要求如偶次根式的被开方大于零,分母不能为零等;2.根据实际问题的要求确定自变量的范围;3.根据相关解析式的定义域来确定所求函数自变量的范围;4.复合函数的定义域:如果y是u的函数,而u是x的函数,即y=f(u),u=g(x),那么y=f[g(x)]叫做函数f与g的复合函数,u叫做中间变量,设f(x)的定义域是x∈M,g(x)的定义域是x∈N,求y=f[g(x)]的定义域时,则只需求满足g(x)∈M和x∈N的x的集合。
设y=f[g(x)]的定义域为P,则P属于等于N。
定义一:设x、y是两个变量,变量x的变化范围为D,如果对于每一个数x∈D,变量y遵照一定的法则总有确定的数值与之对应,则称y是x的函数,记作y=f(x),x∈D,x称为自变量,y称为因变量,数集D称为这个函数的定义域。
定义二:A,B是两个非空数集,从集合A到集合B的一个映射,叫做从集合A到集合B的一个函数。
记作y=f(x),x∈A.或y=g(t),t∈A.其中A就叫做定义域。
通常,用字母D表示。
通常定义域是F(X)中x的取值范围。
1、表达式中出现分式时:分母一定满足不为0;2、表达式中出现根号时:开奇次方时,根号下可以为任意实数;开偶次方时,根号下满足大于或等于0(非负数);3、表达式中出现指数时:当指数为0时,底数一定不能为0;4、根号与分式结合,根号开偶次方在分母上时:根号下大于0;5、表达式中出现指数函数形式时:底数和指数都含有x,必须满足指数底数大于0且不等于1.(0<底数<1;底数>1);6、表达式中出现对数函数形式时:自变量只出现在真数上时,只需满足真数上所有式子大于0,且式子本身有意义即可;自变量同时出现在底数和真数上时,要同时满足真数大于0,底数要大0且不等于1。
[f(x)=logx(x²-1)]。
感谢您的阅读,祝您生活愉快。
8种求定义域的方法定义域是数学中常用的一个概念,指函数能够接受的输入值的集合。
求函数的定义域,即要找出函数的全部合法输入。
以下是常见的求解函数定义域的8种方法:方法一:检查函数表达式中的分式,确定分母是否为零。
如果分母为零的取值在实数范围内,那么该取值不属于该函数的定义域。
例子1:对于函数f(x) = 1/(x-1),x-1=0,得到x=1。
所以定义域是R- {1}。
方法二:检查函数表达式中的平方根、立方根等根式,确定根式内的值是否为负数。
如果根式内的值为负数,那么该取值不属于该函数的定义域。
例子2:对于函数g(x) = √(x+2),根式内的x+2≥0,所以定义域是[-2,+∞)。
方法三:检查函数表达式中的对数。
对于以e为底的指数函数来说,取值只能是正数。
对于以其他底数a(a>0 且a≠1)的对数函数来说,取值只能是大于0且底数a不能等于1的数。
例子3:对于函数h(x) = log3(x),x>0且x≠1。
所以定义域是(0, +∞)。
方法四:检查函数表达式中的三角函数。
注意到三角函数是周期性的,并且在某些点处不连续。
所以要考虑到函数在一个周期内的定义域,并将所有周期内的定义域取并集。
例子4:对于函数i(x) = sin(x),它的定义域是R。
方法五:检查函数表达式中的指数。
有些指数函数定义在整个实数集合上,而有些定义域只在实数集合的部分区间上。
例子5:对于函数j(x) = e^x,定义域是R。
方法六:当函数表示为两个函数的复合时,可以分别求出两个函数的定义域,并找出它们的交集作为最后的定义域。
例子6:对于函数k(x) = arcsin(x^2),x^2≤1,即-1≤x≤1。
所以定义域是[-1, 1]。
方法七:设函数为二次函数,可以通过求解一元二次不等式的解集来确定函数的定义域。
例子7:对于函数l(x) = 2x^2 + 3x - 1,由2x^2 + 3x - 1≥0得到x≥(-3+√17)/4 或x≤(-3-√17)/4。
求定义域的方法定义域是函数中最基本的概念之一,它描述了函数的自变量(输入)的取值范围,也就是函数能够接受的输入的集合。
在数学中,我们常常需要求解一个函数的定义域,以便更好地理解函数的性质和特点。
本文将介绍一些常见的方法,帮助大家更好地求解函数的定义域。
一、通过函数的表达式求解定义域。
对于给定的函数表达式,我们可以通过分析表达式中的各个部分,来确定函数的定义域。
首先,我们需要注意到一些特殊的情况,比如分母不能为零,以及根号内不能为负数。
这些都是确定定义域的重要因素。
例如,对于函数 f(x) = 1/x,我们知道分母不能为零,所以我们可以得出定义域为x ≠ 0。
再比如,对于函数g(x) = √x,根号内不能为负数,所以定义域为x ≥ 0。
在实际应用中,函数的表达式可能会更加复杂,但通过对各个部分进行分析,我们同样可以求解出函数的定义域。
二、通过图像求解定义域。
有时,我们可以通过函数的图像来直观地判断函数的定义域。
通过观察函数在坐标系中的图像,我们可以看出函数的定义域大致是什么样的。
例如,对于函数 h(x) = x^2,我们知道这是一个开口朝上的抛物线,定义域为全体实数。
再比如,对于函数 k(x) = 1/x,我们可以看出这是一个经过原点的双曲线,从图像中可以清楚地看出定义域为x ≠ 0。
通过观察函数的图像,我们可以更直观地理解函数的定义域,这对于一些复杂的函数尤为有用。
三、通过数学推导求解定义域。
除了通过函数表达式和图像来求解定义域外,我们还可以通过一些数学推导的方法来确定函数的定义域。
比如,对于一些复合函数,我们可以通过对函数进行分解,然后分别求解各个部分的定义域,最终得出整个函数的定义域。
另外,对于一些特殊的函数,比如对数函数、指数函数、三角函数等,我们也可以通过一些特定的性质和公式来求解其定义域。
总结起来,求解函数的定义域是函数分析中的重要内容之一。
通过对函数表达式、图像以及数学推导的分析,我们可以更清晰地了解函数的定义域,从而更好地应用和理解函数的性质。
8种求定义域的方法求解函数的定义域是数学中一个常见的问题,定义域是指函数在实数范围内的所有可能取值。
下面介绍八种常见的方法来求解函数的定义域。
1.显式定义法:通过查看函数的表达式来确定定义域。
例如,对于函数f(某)=√(某+3),由于根号下面是正数,所以可以推断出定义域为某≥-3。
2.有理函数定义法:对于有理函数,定义域由其分母确定。
分母中不能包含使分母为零的值,因为这会导致函数的定义出现问题。
例如,对于函数f(某)=1/(某-2),分母不能为零,所以定义域为某≠2。
3. 指数函数与对数函数定义法:对于指数函数 f(某) = a^某和对数函数 f(某) = log_a 某,定义域取决于底数 a 的取值。
指数函数中,基数 a 必须大于 0 且不等于 1,所以定义域为(0, +∞)。
对数函数中,底数 a 必须大于 0 且不等于 1,所以定义域为(0, +∞)。
4. 三角函数定义法:对于三角函数 f(某) = sin(某), f(某) =cos(某), f(某) = tan(某),定义域是所有实数。
5.意义域法:对于函数f(某),通过确定其意义域和反向推导出定义域。
例如,若f(某)=√(1-某),意义域为[0,+∞),则可以推断出定义域为某≤1。
6.集合法:可以通过绘制函数对应的图像来确定定义域。
对于连续函数,定义域是所有图像上的点的集合。
对于离散函数,定义域是所有函数被定义的点的集合。
7.奇偶性法:对于偶函数f(某)=f(-某),定义域可以取所有实数。
对于奇函数f(某)=-f(-某),定义域可以取所有实数。
8.综合法:可以通过综合运用以上方法来求解复杂函数的定义域。
例如,对于函数f(某)=√(1/(某-1)),首先排除某=1的因数,然后通过意义域法可以确定某>1,综合得出定义域为某>1。
通过以上八种方法,可以求解函数的定义域。
根据函数的表达式、分母、底数、意义域、图像、奇偶性和综合分析等不同特点,选择合适的方法来确定函数的定义域。
定义域的求法一、常规型注意根号,分式,对数,幂函数,正切2、常见的定义域①当fx 是整式时,定义域为R;②当fx 是分式时,定义域为使分母不为零的x 的取值的集合;③偶次根式的定义域是使被开方式非负的x 的取值的集合;④零指数幂或负指数幂的定义域是使幂的底数不为0的x 的取值的集合;⑤对数式的定义域是使真数大于0且底大于0不等于1的x 的取值的集合; ⑥正切函数y=tanx, , y=x x 1 x 1 x a log tan x 21-x 32-x x 01求函数8|3x |15x 2x y 2-+--=的定义域;2 求函数2x161x sin y -+=的定义域; 复合函数定义域的求法1已知)x (f 的定义域,求)]x (g [f 的定义域;其解法是:已知)x (f 的定义域是a,b 求)]x (g [f 的定义域是解b )x (g a ≤≤,即为所求的定义域;测试:设函数()f x 的定义域为[]0,1,求函数()()(0)y f x a f x a a =++->的定义域;2已知)]x (g [f 的定义域,求fx 的定义域;其解法是:已知)]x (g [f 的定义域是a,b,求fx 定义域的方法是:由b x a ≤≤,求gx 的值域,即所求fx 的定义域;测试:已知函数(1)f x +的定义域为[]2,3-,求函数fx 的定义域;2已知)]x (g [f 的定义域,求ftx 的定义域;其解法是:已知)]x (g [f 的定义域是a,b,求fx 定义域的方法是:由b x a ≤≤,求gx 的值域,也就是tx 的值域,求出tx 的定义域测试、已知函数(1)f x +的定义域为[]2,3-,求函数(21)y f x =-的定义域;三、逆向型即已知所给函数的定义域求解析式中参数的取值范围;特别是对于已知定义域为R,求参数的范围问题通常是转化为恒成立问题来解决;例1 已知函数8m m x 6m x y 2++-=的定义域为R 求实数m 的取值范围;例2 已知函数3kx 4kx 7kx )x (f 2+++=的定义域是R,求实数k 的取值范围; 四 参数型对于含参数的函数,求定义域时,必须对分母分类讨论;例6 已知)x (f 的定义域为0,1,求函数)a x (f )a x (f )x (F -++=的定义域;解:因为)x (f 的定义域为0,1,即1x 0≤≤;故函数)x (F 的定义域为下列不等式组的解集:⎩⎨⎧≤-≤≤+≤1a x 01a x 0,即⎩⎨⎧+≤≤-≤≤-a 1x a a 1x a 即两个区间-a,1-a 与a,1+a 的交集,比较两个区间左、右端点,知1当0a 21≤≤-时,Fx 的定义域为}a 1x a |x {+≤≤-;2当21a 0≤≤时,Fx 的定义域为}a 1x a |x {-≤≤;3当21a >或21a -<时,上述两区间的交集为空集,此时Fx 不能构成函数; 五 对数有关定义域为R1y =log 22c bx ax ++a ≠0的定义域为R,则满足 2当值域为R 则满足定义域的作用分析一.利用函数的定义域判断函数是否是同一函数例1.判断函数2()lg f x x =与()g x =2lg x 是否同一函数二.函数定义域是构成函数关系式的重要组成部分函数关系式包括定义域和对应法则,所以在求函数关系式时必须考虑所求函数的定义域,否则所求函数关系式就可能出错.另外,根据函数定义可知函数定义域是非空的数的集合,若一个关系式中某一个变量取值范围的集合是空集,那么这个关系式中的几个变量之间就不能构成一个函数关系式.例1.把截面半径为25cm 的圆形木头锯成矩形木料,求矩形面积S 与矩形长x 的函数关系式.解:设矩形的长为x cm,则宽为2250x -cm,由题意得: 2250x x S -=,故所求的函数关系式为:2250x x S -=.如果解题到此为止,则本题的函数关系式还欠完整,缺少自变量x 的范围,解题思路还不够严密.因为当自变量x 取负数或不小于50的数时,S 的值是负数或零,即矩形的面积为非正数,这与实际问题相矛盾,故还要补上自变量x 的范围:500<<x ,所以函数关系式为:2250x x S -=500<<x .评析:从此例可以看出,用函数方法解决实际问题时,必须要注意到函数定义域的取值范围对实际问题的影响.若考虑不到这一点,结果很有可能出错.例3.判断式子解:要使上面的式子有意义,则1-x 2≥0且x 2-1>0,其解集为空集,由函数定义可知这个式子不表示函数关系式.评注:解题时若忽视了定义域的作用,则很可能得到一个错误结果.三.函数定义域对函数值域的限制作用函数的值域是指全体函数值的集合,当定义域和对应法则确定后,函数值也随之而定.因此在求函数值域时,应特别注意函数定义域.其实以上结论只是对二次函数)0(2>++=a c bx ax y 在R 上适用,而在指定的定义域区间],[q p 上,它的最值应分如下情况:⑴当p ab <-2时)(x f y =在],[q p 上单调递增函数)()(),()(max min q f x f p f x f ==; ⑵当q a b >-2时,)(x f y =在],[q p 上单调递减函数)()(),()(min max q f x f p f x f ==; ⑶当q ab p ≤-≤2时)(x f y =在],[q p 上最值情况是:a b ac a b f x f 44)2()(2min -=-=, )}(),(m ax {)(max q f p f x f =.即最大值是)(),(q f p f 中最大的一个值;例4.求函数32-+=x x y 的值域.错解:令3,32+=-=t x x t 则∴22)1(322)3(222≥++=++=++=t t t t t y ,故所求的函数值域是),2[+∞.四.函数定义域对函数奇偶性的作用例1.判断函数错解∵21)(x x f --=,∴)()(x f x f =-,∴函数 例6:判断函数y=sinx,x ∈0,6π的周期性.六.函数定义域对函数单调区间的作用函数单调性是指函数在给定的定义域区间上函数自变量增加时,函数值随着增减的情况,而函数的单调区间是函数定义域的子集,所以讨论函数单调性一定要在函数的定义域内讨论函数的单调区间.例1.指出函数)3lg()(2x x x f +=的单调区间.七.函数定义域对求反函数的影响有些函数不存在反函数,但在其单调区间内存在反函数,在求这类函数的反函数时,除注意其值域外,也要注意定义域例8.求函数)20(242≤≤++-=x x x y 的反函数.错解:函数)20(242≤≤++-=x x x y 的值域为y ∈ 2 , 6,又6)2(2+--=x y ,即y x -=-6)2(2,∴y x -±=-62,∴所求的反函数为y=2 ±错误!2≤x ≤6.八.函数定义域对解不等式、方程或求值的作用有时巧用函数的定义域,可以避免复杂的变形与讨论,例9.设x 、y 为实数,且1y x=+,试求lgx+y 之值. 解:x 应满足⎪⎩⎪⎨⎧≠+≥-≥-01010122x x x ,即x =1,将其代入已知等式,得y =0,故lgx+y=lg1=0.。
函数定义域值域求法(全十一种)高中函数定义域和值域的求法总结一、常规型常规型是指已知函数的解析式,求函数的定义域和值域。
解法是由解析式有意义列出关于自变量的不等式或不等式组,解此不等式(或组)即得原函数的定义域。
例如,对于函数 $y=\frac{x^2-2x-15}{|x+3|-8}$,要使函数有意义,则必须满足 $x^2-2x-15\geq 0$ 且 $|x+3|\neq 8$。
解得$x\leq -3$ 或 $x\geq 5$,且 $x\neq -11$ 或 $x\neq 5$。
将两个条件求交集得 $x\leq -3$ 且 $x\neq -11$ 或 $x>5$,即函数的定义域为 $\{x|x\leq -3\text{ 且 }x\neq -11\}\cup\{x|x>5\}$。
二、抽象函数型抽象函数型是指没有给出解析式的函数,需要根据已知条件求解。
一般有两种情况:1)已知 $f(x)$ 的定义域,求 $f[g(x)]$ 的定义域。
解法是:已知 $f(x)$ 的定义域为 $[a,b]$,则 $f[g(x)]$ 的定义域为解$a\leq g(x)\leq b$。
例如,已知 $f(x)$ 的定义域为 $[-2,2]$,求 $f(x^2-1)$ 的定义域。
令 $-2\leq x^2-1\leq 2$,得 $-1\leq x^2\leq 3$,即 $-|x|\leq x\leq |x|$。
因此,$-3\leq x\leq 3$,即函数的定义域为$\{x|-3\leq x\leq 3\}$。
2)已知 $f[g(x)]$ 的定义域,求 $f(x)$ 的定义域。
解法是:已知 $f[g(x)]$ 的定义域为 $[a,b]$,则 $f(x)$ 的定义域为$g(x)$ 的值域。
例如,已知 $f(2x+1)$ 的定义域为 $[1,2]$,求 $f(x)$ 的定义域。
因为 $1\leq x\leq 2$,所以 $2\leq 2x\leq 4$,$3\leq2x+1\leq 5$。
求定义域的方法
一、代数法求定义域。
对于一些简单的函数,可以通过代数方法来求其定义域。
例如
对于多项式函数,有理函数,指数函数和对数函数等,可以通过对
函数进行分析,找出函数中自变量的取值范围,从而求出定义域。
二、图像法求定义域。
对于一些复杂的函数,可以通过绘制函数的图像来求其定义域。
通过观察函数的图像,可以直观地看出函数的定义域是什么样的。
这种方法对于一些无法通过代数方法求解的函数来说是非常有效的。
三、条件法求定义域。
对于一些复杂的函数,可以通过条件法来求其定义域。
例如对
于含有根号的函数,需要满足根号中的值大于等于0,才能使得函
数有意义。
因此可以通过这种条件来求解函数的定义域。
四、综合法求定义域。
对于一些特殊的函数,可能需要综合运用代数法、图像法和条件法来求解其定义域。
通过综合运用多种方法,可以更准确地求解函数的定义域。
综上所述,求定义域的方法有代数法、图像法、条件法和综合法。
不同的函数可能需要采用不同的方法来求解其定义域,需要根据具体情况来选择合适的方法。
在实际应用中,求定义域是解决函数定义范围的重要问题之一,对于深入理解函数的性质和特点具有重要意义。
希望以上方法能够帮助到大家,更好地理解和掌握函数的定义域求解问题。
8种求定义域的方法
方法一:直接根据函数的定义进行求解。
这是最基本的一种方法,即根据函数的定义来求解定义域。
例如,对于一个多项式函数f(x),定义为f(x) = 2x^2 + 3x - 1,我们可以直接根据定义域的限制条件来求解。
由于多项式函数的定义域是全体实数,因此该函数的定义域为(-\infty, +\infty)。
方法二:挑选一些特殊的数进行验证。
这是一种常用的方法,即通过挑选一些特殊的数进行验证,看它们是否在函数的定义域内。
例如,对于一个有理函数g(x),定义为g(x) = \frac{1}{x},我们可以挑选x的一些特殊值进行验证。
首先,x不能为0,否则分母为零,函数无定义。
另外,由于有理函数对应的分母不能为零,因此定义域为(-\infty, 0) \cup (0, +\infty)。
方法三:求解不等式得到定义域的范围。
对于一些复杂的函数,可以通过求解不等式来得到定义域的范围。
例如,对于一个开方函数h(x),定义为h(x) = \sqrt{x^2 - 4x},我们可以通过求解不等式x^2 - 4x \geq 0来确定定义域的范围。
首先,将不等式化简为(x-2)(x-2) \geq 0,得到x \leq 2或x \geq 2,因此定义域为(-\infty, 2] \cup [2, +\infty)。
方法四:分段定义域的求解。
对于一些函数是在不同区间有不同定义域的情况,可以采用分段定义域的求解方法。
例如,对于一个分段函数j(x),定义为
j(x) = \begin{cases}
2, & \text{if } x\leq 0\\
\sqrt{x}, & \text{if } x > 0
\end{cases}
这个函数在x\leq 0时有定义,且在x > 0时也有定义。
因此定义域为(-\infty, 0] \cup (0, +\infty)。
方法五:利用基本函数的定义域性质进行推导。
对于一些复合函数,可以利用基本函数的定义域性质进行推导。
例如,对于复合函数k(x) = \sin(x^2 + 1),我们知道正弦函数\sin(x)的定义域为(-\infty,
+\infty),所以x^2 + 1的定义域也应为(-\infty, +\infty)。
因此,k(x)的定义域也为(-\infty, +\infty)。
方法六:通过图像进行分析。
对于一些函数,可以通过绘制函数的图像来进行定义域的分析。
例如,对于一个指数函数l(x) = 2^x,我们可以绘制其图像,观察函数的变化趋势。
由于指数函数的定义域为全体实数,因此l(x)的定义域也为(-\infty, +\infty)。
方法七:利用函数性质进行求解。
对于一些函数,可以利用函数的性质进行定义域的求解。
例如,对于一个对数函数m(x) = \log(x+3),我们知道对数函数的定义域要求自变量大于0,即x+3>0,因此定义域为x>-3。
方法八:利用已知的数学定理进行推导。
对于一些特殊函数,可以利用已知的数学定理进行定义域的推导。
例如,对于一个三角函数n(x) = \cot(x),我们可以利用三角函数的定义域定理,得到n(x)的定义域为x \neq k\pi, k\in\mathbb{Z},即除去所有整数倍的\pi。
因此,定义域为x \notin \{\pi, -\pi, 2\pi, -2\pi, \dots\}。
综上所述,以上就是八种常见的求解定义域的方法。
根据具体的函数形式和问题要求,可以选择合适的方法进行求解。