导数的运算练习题.doc
- 格式:doc
- 大小:352.50 KB
- 文档页数:4
导数的运算一、单选题(共33题;共66分)′(x)是函数f(x)=x3+2x+1的导函数,则f′(-1)的值为()A. 0B.3 C.4 D. -2.函数的导数为()A. B.C. D.3.设函数,若,则等于()A. B.C.D.4.设则等于( )A. B.C. D.5.已知函数的导函数,且满足,则=( )A.B.C. 1D.6.已知函数的导函数为,且,则()A. 2B. 3C. 4D. 57.下列求导运算的正确是()A. 为常数B. C. D.8.已知函数的值为()A.B. C .D.9.下列求导运算正确的是()A. B.C. D.10.已知函数f(x)=sinx-cosx,则f'()=()A. B.C. D .11.若函数f(x)=2+xcos2x,则f'(x)=()A. cos 2x-xsin 2xB. x-sin2x C. 1-2sin2x D. cos2x-2sin2x12.函数的导数为()A. =2B. =C. =2D.=13.设函数的导函数为,且,则=( )A. 0B.-4 C. -2 D. 2 14.设,若,则()C.D.15.已知函数,则其导数()A. B.C.D.16.若函数,则的值为()A. 0 B . 2 C.1 D.-117.已知函数,且,则的值为()A. B.C.D.18.已知函数,为的导函数,则的值为()A.B.C.D.19.下列求导运算正确的是()A. B.C. D.20.已知函数的导函数为,且满足,则()A. B . C.21.若,则函数的导函数()A. B.C. D.22.函数的导数为()A. B.C.D.23.下列导数式子正确的是()A. B.C. D.24.已知,则等于()A. -2B. 0C. 2D. 425.已知函数,则()A. B.C.D.26.已知,则()A.B.C.D.27.设,,则x0=( )A. e2B.e C.D. ln 228.下列求导数运算正确的是()A. B.C. D.29.若f(x)=x2-2x-4ln x,则f′(x)>0的解集为()A. (0,+∞)B. (-1,0)∪(2,+∞) C. (-1,0) D. (2,+∞)30.下列求导运算正确的是( )A. B. C.D.31.已知,则( )A. B.C.D. 以上都不正确32.设f(x)=xln x,若f′(x0)=2,则x0等于( )A. e2B.e C.D. ln 233.下列导数运算正确的是()A. B.C. D.二、填空题(共11题;共11分)34.已知函数的导函数为,若,则的值为________.35.若函数,则的值为________.36.已知,则________.37.若函数,则________.38.已知函数,则________.39.已知函数,是的导函数,则________.40.若f(x)=x3,f′(x0)=3,则x0的值为________.41.已知在上可导,,则________.42.已知函数的导函数为,且,则________.43.已知f(x)=2x+3xf′(0),则f′(1)=________.44.已知函数f(x)=2e x﹣x的导数为,则的值是________.三、解答题(共6题;共60分)45.求下列函数的导函数.①②③④⑤⑥46.求下列函数的导函数①②③④⑤⑥47.求下列函数的导数:(1);(2).48.求下列函数的导数:(1);(2);(3);(4).49.求下列函数的导数.(1);(2).50.求下列函数的导数.(1)y=3x2+xcos x;(2)y=lgx-;答案解析部分一、单选题1.【答案】 B【考点】导数的运算【解析】【解答】解:因为,则,所以,故答案为:B.【分析】先由函数,求得导函数,再求即可得解.2.【答案】 D【考点】导数的运算【解析】【解答】因为,则函数的导函数,故答案为:D.【分析】先根据完全平方公式对展开,再运用常见初等函数的求导公式和求导运算法则可求解.3.【答案】 D【考点】导数的运算【解析】【解答】,,,解得,故答案为:D,【分析】对函数求导,再由可求出实数的值.4.【答案】 D【考点】导数的运算【解析】【解答】由,得.故答案为:D.【分析】由已知利用导数的运算性质进行计算,即可得结果.5.【答案】 B【考点】导数的运算【解析】【解答】对函数进行求导,得把代入得,直接可求得。
导数基础练习(共2页,共17题)一.选择题(共14题)1.函数f(x)=sin2x的导数f′(x)=( )A.2sinx B.2sin2x C.2cosx D.sin2x2.曲线f(x)=lnx+2x在点(1,f(1))处的切线方程是( )A.3x﹣y+1=0 B.3x﹣y﹣1=0 C.3x+y﹣1=0 D.3x﹣y﹣5=0 3.若函数f(x)=sin2x,则f′()的值为()A. B.0 C.1 D.﹣4.函数f(x)=xsinx+cosx的导数是()A.xcosx+sinx B.xcosx C.xcosx﹣sinx D.cosx﹣sinx5.的导数是( )A.B.C.D.6.y=xlnx的导数是()A.x B.lnx+1 C.3x D.17.函数y=cose x的导数是( )A.﹣e x sine x B.cose x C.﹣e x D.sine x8.已知,则f′()=()A.﹣1+B.﹣1 C.1 D.09.函数的导数是( )A.B. C.e x﹣e﹣x D.e x+e﹣x10.函数y=x2﹣2x在﹣2处的导数是()A.﹣2 B.﹣4 C.﹣6 D.﹣811.设y=ln(2x+3),则y′=()A.B.C.D.12.已知函数,则f′(x)等于()A.B. C.0 D.13.曲线y=x2+3x在点A(2,10)处的切线的斜率k是( )A.4 B.5 C.6 D.714.曲线y=4x﹣x2上两点A(4,0),B(2,4),若曲线上一点P处的切线恰好平行于弦AB,则点P的坐标为()A.(1,3)B.(3,3)C.(6,﹣12) D.(2,4)二.填空题(共2题)15.求导:()′=_________ .16.函数y=的导数是_________ .三.解答题(共1题)17.求函数y=e x5 +2的导数.导数基础练习(试题解析)一.选择题(共14题)1.函数f(x)=sin2x的导数f′(x)=( )A.2sinx B.2sin2x C.2cosx D.s in2x考点:简单复合函数的导数.考查学生对复合函数的认识,要求学生会对简单复合函数求导.分析:将f(x)=sin2x看成外函数和内函数,分别求导即可.解答:将y=sin2x写成,y=u2,u=sinx的形式.对外函数求导为y′=2u,对内函数求导为u′=cosx,∴可以得到y=sin2x的导数为y′=2ucosx=2sinxcosx=sin2x.∴选D.红色sin2x、蓝色sin2x2.曲线f(x)=lnx+2x在点(1,f(1))处的切线方程是( )A.3x﹣y+1=0B.3x﹣y﹣1=0C.3x+y﹣1=0D.3x﹣y﹣5=0考点:简单复合函数的导数;直线的点斜式方程.考查学生对切线方程的理解,要求写生能够熟练掌握.分析:先要求出在给定点的函数值,然后再求出给定点的导数值.将所求代入点斜式方程即可.解答:对f(x)=lnx+2x求导,得f′(x)=+2.∴在点(1,f(1))处可以得到f(1)=ln1+2=2,f′(1)=1+2=3.∴在点(1,f(1))处的切线方程是:y﹣f(1)=f′(1)(x﹣1),代入化简可得,3x﹣y﹣1=0.∴选B.红色lnx+2x、蓝色3x﹣y﹣1=0(即y=3x-1)3.若函数f(x)=sin2x,则f′()的值为()A.B.0C.1D.﹣考点:简单复合函数的导数.计算题.求函数在某点处的导数值,应该先利用导数的运算法则及初等函数的导数公式求出导函数,再求导函数值.分析:先利用复合函数的导数运算法则求出f(x)的导函数,将x=代入求出值.解答:解:f′(x)=cos2x(2x)′=2cos2x,∴f′()=2cos=1,∴选C.红色sin2x、蓝色2cos2x4.函数f(x)=xsinx+cosx的导数是()A.x cosx+sinx B.x cosx C.x cosx﹣sinx D.c osx﹣sinx考点:导数的乘法与除法法则;导数的加法与减法法则.计算题.本题考查导数的运算法则、基本初等函数的导数公式.属于基础试题.分析:利用和及积的导数运算法则及基本初等函数的导数公式求出函数的导数.解答:解:∵f(x)=xsinx+cosx,∴f′(x)=(xsinx+cosx)′=(xsinx)′+(cosx)′=x′sinx+x(sinx)′﹣sinx=sinx+xcosx﹣sinx=xcosx,∴选B.红色xsinx+cosx、蓝色xcosx5.的导数是()A.B.C.D.考点:导数的乘法与除法法则.计算题.本题考查导数的除法运算法则,解题时认真计算即可,属于基础题.分析:利用导数的四则运算法则,按规则认真求导即可解答:解:y′===∴选A.红色、绿色y′=6.y=xlnx的导数是()A.x B.l nx+1C.3x D.1考点:导数的乘法与除法法则.导数的综合应用.本题考查导数的乘法法则,考查了基本初等函数的导数公式,属于基础题.分析:直接由导数的乘法法则结合基本初等函数的导数公式求解.解答:解:∵y=xlnx,∴y′=(xlnx)′=x′lnx+x(lnx)′=.∴选B.红色xlnx、绿色lnx+17.函数y=cose x的导数是()A.﹣e x sine x B.c ose x C.﹣e x D.s ine x考点:导数的乘法与除法法则.导数的概念及应用.本题主要考查导数的基本运算,要求熟练掌握常见函数的导数公式以及导数的运算法则.分析:根据导数的运算法则即可得到结论.解答:解:函数的导数为f′(x)=﹣sine x•(e x)′=﹣e x sine x,∴选A.红色cose x、绿色﹣e x sine x8.已知,则f′()=()A.﹣1+B.﹣1C.1D.0考点:导数的加法与减法法则.计算题.本题主要考查了导数的运算,以及求函数值,解题的关键是正确求解导函数,属于基础题.分析:本题先对已知函数进行求导,再将代入导函数解之即可.解答:解:∴选B.红色、绿色-sinx9.函数的导数是( )A.B.C.e x﹣e﹣x D.e x+e﹣x考点:导数的加法与减法法则.计算题.本题考查导数的运算,牢记求导公式是解本题的关键.分析:根据求导公式(u+v)′=u′+v′及(e x)′=e x即可求出函数的导数.解答:解:∵,∴y′==.∴选A.红色、蓝色10.函数y=x2﹣2x在﹣2处的导数是( )A.﹣2B.﹣4C.﹣6D.﹣8考点:导数的加法与减法法则.计算题;导数的概念及应用.本题考查导数的加法与减法法则,考查基本初等函数的导数公式,是基础的计算题.分析:求出原函数的导函数,在导函数解析中取x=﹣2计算即可得到答案.=2×(﹣2)﹣2=﹣6.∴选C.解答:解:由y=x2﹣2x,得y′=2x﹣2.∴y′|x=﹣2红色y=x2﹣2x、蓝色y′=2x﹣211.设y=ln(2x+3),则y′=()A.B.C.D.考点:导数的运算.导数的概念及应用.本题主要考查导数的计算,要求熟练掌握复合函数的导数公式,属于基础题.分析:根据复合函数的导数公式即可得到结论.解答:解:∵y=ln(2x+3),∴,∴选:D红色ln(2x+3)、蓝色12.已知函数,则f′(x)等于()A.B.C.0D.考点:导数的运算.导数的概念及应用.本题考查了常数的导数,只要理解常数c′=0即可解决此问题.分析:我们知道:若函数f(x)=c为常数,则f′(x)=0,∴可得出答案.解答:解:∵函数,∴f′(x)=0.∴选C.13.曲线y=x2+3x在点A(2,10)处的切线的斜率k是()A.4B.5C.6D.7考点:导数的几何意义.计算题.本题考查函数在某点导数的几何意义的应用.分析:曲线y=x2+3x在点A(2,10)处的切线的斜率k就等于函数y=x2+3x在点A(2,10)处的导数值.解答:解:曲线y=x2+3x在点A(2,10)处的切线的斜率,k=y′=2x+3=2×2+3=7,∴答案为7.红色x2+3x、蓝色2x+314.曲线y=4x﹣x2上两点A(4,0),B(2,4),若曲线上一点P处的切线恰好平行于弦AB,则点P的坐标为()A.(1,3)B.(3,3)C.(6,﹣12)D.(2,4)考点:导数的几何意义.考核导数的几何意义及两条直线平行斜率的关系.分析:首先求出弦AB的斜率,再利用导数的几何意义求出P点坐标.解答:解:设点P(x0,y),∵A(4,0),B(2,4),∴kAB==﹣2.∵过点P的切线l平行于弦AB,∴kl=﹣2,∴根据导数的几何意义得知,曲线在点P的导数y′=4﹣2x=4﹣2x=﹣2,即x=3,∵点P(x0,y)在曲线y=4x﹣x2上,∴y=4x﹣x2=3.∴选B.红色4x﹣x2、蓝色4﹣2x二.填空题(共2题)15.求导:()′=,.考点:简单复合函数的导数.导数的概念及应用.本题主要考查导数的计算,根据复合函数的导数公式是解决本题的关键.分析: 根据复合函数的导数公式进行求解即可. 解答: 解:=(x 2+1)21,则函数的导数为y′=(x 2+1)21-(x 2+1)′=(x 2+1)21-×2x=,∴答案为:红色、蓝色16.函数y =的导数是 .考点: 简单复合函数的导数.导数的概念及应用.本题主要考查导数的计算,根据复合函数的导数公式进行计算是解决本题的关键.分析: 根据复合函数的导数公式进行计算即可. 解答:解:函数的导数为y′==,∴答案为:红色、蓝色三.解答题(共1题)17.求函数y=e x5-+2的导数.考点:简单复合函数的导数.导数的概念及应用.本题考查导数的运算,以及导数基本知识的考查.分析:直接利用复合函数的导数求解运算法则求解即可.解答:解:函数y=e x5-+2的导数:y′=﹣5e x5-.∴答案为:y′=﹣5e x5-.红色e x5-+2、蓝色﹣5e x5-。
【巩固练习】一、选择题1.设函数310()(12)f x x =-,则'(1)f =( )A .0B .―1C .―60D .602.(2014 江西校级一模)若2()2ln f x x x =-,则'()0f x >的解集为( )A.(0,1)B.()(),10,1-∞-C. ()()1,01,-+∞D.()1,+∞3.(2014春 永寿县校级期中)下列式子不正确的是( )A.()'23cos 6sin x x x x +=-B. ()'1ln 22ln 2x x x x -=- C. ()'2sin 22cos 2x x = D.'2sin cos sin x x x x x x -⎛⎫= ⎪⎝⎭ 4.函数4538y x x =+-的导数是( ) A .3543x + B .0 C .3425(43)(38)x x x ++- D .3425(43)(38)x x x +-+- 5.(2015 安徽四模)已知函数()f x 的导函数为'()f x ,且满足关系式2'()3(2)ln f x x xf x =++,则'(2)f 的值等于( )A. 2B.-2C.94 D.94- 6.设曲线1(1)1x y x x +=≠-在点(3,2)处的切线与直线ax+y+1=0垂直,则a=( ) A .2 B .12 C .―12D .―2 7.23log cos (cos 0)y x x =≠的导数是( )A .32log tan e x -⋅B .32log cot e x ⋅C .32log cos e x -⋅D .22log cos e x 二、填空题8.曲线y=sin x 在点,12π⎛⎫ ⎪⎝⎭处的切线方程为________。
9.设y=(2x+a)2,且2'|20x y ==,则a=________。
10.31sin x x '⎛⎫-= ⎪⎝⎭____________,()2sin 25x x '+=⎡⎤⎣⎦____________。
导数的运算一、单选题(共33题;共66分)1.f′(x)是函数f(x)=x3+2x+1的导函数,则f′(-1)的值为()A. 0B. 3C. 4D. -2.函数的导数为()A. B. C. D.3.设函数,若,则等于()A. B. C. D.4.设则等于( )A. B. C. D.5.已知函数的导函数,且满足,则=( )A. B. C. 1 D.6.已知函数的导函数为,且,则()A. 2B. 3C. 4D. 57.下列求导运算的正确是()A. 为常数B.C.D.8.已知函数的值为()A. B. C. D.9.下列求导运算正确的是()A. B. C. D.10.已知函数f(x)=sinx-cosx,则f'()=()A. B. C. D.11.若函数f(x)=2+xcos2x,则f'(x)=()A. cos 2x-xsin 2xB. x-sin 2xC. 1-2sin 2xD. cos2x-2sin2x12.函数的导数为()A. =2B. =C. =2D. =13.设函数的导函数为,且,则=( )A. 0B. -4C. -2D. 214.设,若,则()A. B. C. D.15.已知函数,则其导数()A. B. C. D.16.若函数,则的值为()A. 0B. 2C. 1D. -117.已知函数,且,则的值为()A. B. C. D.18.已知函数,为的导函数,则的值为()A. B. C. D.19.下列求导运算正确的是()A. B. C. D.20.已知函数的导函数为,且满足,则()A. B. C. D.21.若,则函数的导函数()A. B. C. D.22.函数的导数为()A. B. C. D.23.下列导数式子正确的是()A. B. C. D.24.已知,则等于()A. -2B. 0C. 2D. 425.已知函数,则()A. B. C. D.26.已知,则()A. B. C. D.27.设,,则x0=( )A. e2B. eC.D. ln 228.下列求导数运算正确的是()A. B. C. D.29.若f(x)=x2-2x-4ln x,则f′(x)>0的解集为()A. (0,+∞)B. (-1,0)∪(2,+∞)C. (-1,0)D. (2,+∞)30.下列求导运算正确的是( )A. B. C. D.31.已知,则 ( )A. B. C. D. 以上都不正确32.设f(x)=xln x,若f′(x0)=2,则x0等于( )A. e2B. eC.D. ln 233.下列导数运算正确的是()A. B. C. D.二、填空题(共11题;共11分)34.已知函数的导函数为,若,则的值为________.35.若函数,则的值为________.36.已知,则________.37.若函数,则________.38.已知函数,则________.39.已知函数,是的导函数,则________.40.若f(x)=x3,f′(x0)=3,则x0的值为________.41.已知在上可导,,则________.42.已知函数的导函数为,且,则________.43.已知f(x)=2x+3xf′(0),则f′(1)=________.44.已知函数f(x)=2e x﹣x的导数为,则的值是________.三、解答题(共6题;共60分)45.求下列函数的导函数.①②③④⑤⑥46.求下列函数的导函数①②③④⑤⑥47.求下列函数的导数:(1);(2).48.求下列函数的导数:(1);(2);(3);(4).49.求下列函数的导数.(1);(2).50.求下列函数的导数.(1)y=3x2+xcos x;(2)y=lgx-;答案解析部分一、单选题1.【答案】B【考点】导数的运算【解析】【解答】解:因为,则,所以,故答案为:B.【分析】先由函数,求得导函数,再求即可得解.2.【答案】D【考点】导数的运算【解析】【解答】因为,则函数的导函数,故答案为:D.【分析】先根据完全平方公式对展开,再运用常见初等函数的求导公式和求导运算法则可求解.3.【答案】D【考点】导数的运算【解析】【解答】,,,解得,故答案为:D,【分析】对函数求导,再由可求出实数的值.4.【答案】D【考点】导数的运算【解析】【解答】由,得.故答案为:D.【分析】由已知利用导数的运算性质进行计算,即可得结果.5.【答案】B【考点】导数的运算【解析】【解答】对函数进行求导,得把代入得,直接可求得。
1.已知f (x )=,若f′(x 0)=0,则x 0=( )A .e 2B .eC .1D .ln22.函数y=cos2x 的导数是( )A .﹣sin2xB .sin2xC .﹣2sin2xD .2sin2x3.下列导数运算错误的是( )A .(x ﹣2)′=﹣2x ﹣1B .(cosx )′=﹣sinxC .(xlnx )′=1+lnxD .(2x )′=2x ln24.函数f (x )=xlnx ,则函数f (x )的导函数是( )A .lnxB .1C .1+lnxD .xlnx5.若f (x )=sinα﹣cosx ,则f′(α)等于( )A .cosαB .sinαC .sinα+cosαD .2sinα6.函数f (x )=0的导数为( ).A .0B .1C .不存在D .不确定7.函数f(x)=ax 3+3x 2+2,若(1)4f '-=,则a 的值是 ( ) A.319 B.316 C.313 D. 3108.已知32()21f x ax x =++,若(1)4f '-=,则a = A. 23 B. 14 C. 83 D. 129.已知函数()x f x e x =+,则函数()f x 的导函数为 ( )A.x eB.1x e +C.ln 1x +D.x e x +10.函数y =x 2co sx 的导数为 ( )A . y ′=2x co sx -x 2s i nxB . y ′=2x co sx +x 2s i nxC. y ′=x 2co sx -2xs i nxD. y ′=x co sx -x 2s i nx11.设()f x ==)2('f ( ).A .- D .5312.若()sin cos f x x α=-,则)('αf 等于A.sin αB.cos αC.sin cos αα+D.2sin α13.函数y=f (2e x ),则导数y ′=( )A . 2f ′(2e x )B .2e x f ′(x )C .2e x f ′(e x ) D.2e x f ′(2e x )14.曲线y=ln (x+1)在x=0处的切线方程是( )A . y=xB . y=﹣xC . y ﹣xD . y=2x15.已知函数f (x )=ln (2x+1),则f′(0)=( )A . 0B . 1C . 2D .16.(5分)函数f (x )=sin (2x+),则f′()的值为( )A . 1B .﹣2C .2D .﹣117.若f (x )=sin (2x+),则f′()等于( )A .0B .1C .2D .318.函数y=x 2cosx 的导数为( )A .y′=2xcosx﹣x 2sinxB .y′=2xcosx +x 2sinxC .y′=x 2cosx ﹣2xsinxD .y′=xcosx﹣x 2sinx19.设f (x )=5x 2﹣5,则f′(1)等于( )A .0B .5C .10D .1520.已知cos ()x f x x =则/()()2f f ππ+=.21.函数f (x )=x•e x ,则f′(1)= .22.已知f (x )=,则f′(x )= .23.已知函数f (x )=x 2+f′(2)(lnx ﹣x ),则f′(﹣)= .24.已知函数f (x )=e x sin (2x+1),则f′(﹣21)= .25.已知f (x )=x 2+3xf′(2),则f′(2)= .26.函数sin xy x =的导数为_________________27.已知函数f(x)的导函数为f′(x),且()2'(1)ln f x xf x =+,则f′(1)= .28.若()()212x f x x f +'=则()='0f29.函数x y e =在1x =处的切线的斜率为______________.30.已知函数y=f (x )的图象在x=3处的切线方程为y=﹣2x+7,则f (3)+f′(3)的值是 _________ .31.已知函数f (x )=x 2+e x ,则f'(1)= .32.已知函数f (x )=13﹣8x+x 2,且f′(a )=4,则实数a 的值 .33.已知函数f (x )=f′(4π)cosx+sinx ,则f (4π)的值为 .34.已知函数f (x )的导函数为f'(x ),且满足关系式f(x)=)1(f x 3x 1'+,则f'(2)的值等于 .35.过抛物线y=f (x )上一点A (1,0)的切线的倾斜角为45°则f′(1)= .36.请用函数求导法则求出下列函数的导数.(1)y=e sinx(2)y=(3)y=ln (2x+3)(4)y=(x 2+2)(2x ﹣1)(5).37.求下列函数的导数(1)()f x =(1+sinx )(1-4x)(2)11()ln()xf x x x =+-+38.求函数y=cos (2x ﹣1)+的导数.39.求下列函数的导数.(1);(2)y=(2x 2﹣1)(3x+1)40. 求下列函数的导数:(1)()tan f x x x =;(2)()(1)(2)(3)f x x x x =---;(3) ()2sin3.f x x =试卷答案1.B2.C3.A4.C5.B6.A7.D8.C9.B 10.A 11.C 12.A 13.D 14.A 15.C 16.B 17.A18.A 19.C20. 3π-21.2e 【解答】解:f′(x )=(x•e x )′=e x +xe x ,∴f′(1)=e+e=2e .故答案为:2e .22.【解答】解:f (x )==1+∴f′(x )=(1+)′=﹣故答案为:.23.﹣9【解答】解:由函数的解析式可得:∴f′(x )=2x+f′(2)(﹣1),∴f′(2)=4+f′(2)(﹣1),解得f′(2)=,则∴.故答案为:﹣9.24. 2【解答】解:∵f (x )=e x sin (2x+1),∴f′(x )=e x sin (2x+1)+2e x cos (2x+1),∴f′(﹣)=sin0+2cos0=2,故答案为:2.25.﹣2【解答】解:由f (x )=x 2+3xf′(2),得:f′(x )=2x+3f′(2),所以,f′(2)=2×2+3f′(2),所以,f′(2)=﹣2.故答案为:﹣2. 26.2cos sin x x xx - 27.-1 28.-4 29.e 30.1-31.2+e 【解答】解:函数的导数f′(x )=2x+e x ,则f′(1)=2+e ,故答案为:2+e .32.3【解答】解:根据题意,函数f (x )=13﹣8x+x 2,则其导函数f′(x )=2x ﹣8,若f′(a )=4,则有2a ﹣8=4,解可得a=3;故答案为:3.33.1【解答】解:因为f′(x )=﹣f′()•sinx+cosx所以f′()=﹣f′()•sin +cos解得f′()=﹣1故f ()=f′()cos +sin =(﹣1)+=1故答案为1.34.【解答】解:∵f (x )=+3xf′(1),∴f′(x )=﹣+3f′(1),令x=1,则f′(1)=﹣1+3f′(1),∴f′(1)=,∴f′(2)=﹣+=故答案为:.35.136.【解答】解:(1)y′=e sinx cosx ;(2);(3);(4)y'=(x 2+2)′(2x ﹣1)+(x 2+2)(2x ﹣1)′=2x(2x ﹣1)+2(x 2+2)=6x 2﹣2x+4;(5).37.(1)'()4cos 4sin 4cos f x x x x x =-+-- (2)'()f x =2(1)xx +38.【解答】解:函数的导数y′=﹣2sin (2x ﹣1)﹣2•=﹣2sin (2x ﹣1)﹣.39.【解答】解:(1)===;(2)y=(2x 2﹣1)(3x+1)=6x 3+2x 2﹣3x ﹣1,y'=(6x 3+2x 2﹣3x ﹣1)'=(6x 3)'+(2x 2)'﹣(3x )'﹣(1)'=18x 2+4x ﹣3.40.(1)2()tan cos xf x x x '=+. (2)2()31211.f x x x '=-+ (3)()6cos3.f x x =。
一.解答题(共15小题)1.请默写基础初等函数的导数公式:(1)(C)′=,C为常数;(2)(xα)′=,α为常数;(3)(a x)′=,a为常数,a>0且a≠1;(4)(log a x)′=,a为常数,a>0且a≠1;(5)(sin x)′=;(6)(cos x)′=.2.求下列函数的导数(1)y=x2﹣7x+6;(2)y=x+2sin x,x∈(0,2π).3.求下列函数的导数:(1)f(x)=3x4+sin x;(2).4.求下列函数的导数:(1)y=ln(2x+1);(2).5.求下列函数的导数:(1);(2)g(x)=(8﹣3x)7;(3)p(x)=5cos(2x﹣3);(4)w(x)=ln(5x+6)2.6.求下列函数的导数.(Ⅰ);(Ⅱ).7.求下列函数的导数.(1)f(x)=sin x cos x;(2)y=.8.求下列函数的导数.(1)y=;(2)y=(2x2+3)(3x﹣2).9.求下列函数的导数:(1);(2).10.求下列函数的导数:(1)S(t)=;(2)h(x)=(2x2+3)(3x﹣2).11.求下列函数的导数.(1);(2).12.求下列函数的导数:(1)y=;(2)y=.13.求下列函数的导数:(1)y=sin x+lnx;(2)y=cos x+x;(3)y=x sin x;(4);(5)y=3x2+x cos x;(6).14.求下列函数的导数.(1)y=x3﹣2x+3;(2)y=x sin(2x+5).15.求下列函数的导数:(1)y=(x2+3x+3)e x+1;(2)解析一.解答题(共15小题)1.请默写基础初等函数的导数公式:(1)(C)′=0,C为常数;(2)(xα)′=αxα﹣1,α为常数;(3)(a x)′=a x lna,a为常数,a>0且a≠1;(4)(log a x)′=,a为常数,a>0且a≠1;(5)(sin x)′=cos x;(6)(cos x)′=﹣sin x.分析:根据初等函数的导数公式,直接求解即可.解答:解:(1)(C)′=0,(2)(xα)′=αxα﹣1,(3)(a x)′=a x lna,(4)(log a x)′=,(5)(sin x)′=cos x,(6)(cos x)′=﹣sin x.故答案为:(1)0;(2)αxα﹣1;(3)a x lna;(4);(5)cos x;(6)﹣sin x.点评:本题主要考查初等函数的导数公式,比较基础.2.求下列函数的导数(1)y=x2﹣7x+6;(2)y=x+2sin x,x∈(0,2π).分析:利用导数的运算性质逐个化简即可求解.解答:解:(1)由已知可得y′=2x﹣7;(2)由已知可得y′=1+2cos x.点评:本题考查了导数的运算性质,属于基础题.3.求下列函数的导数:(1)f(x)=3x4+sin x;(2).分析:(1)(2)由基本初等函数的导数公式及导数加减、乘法法则求导函数即可.解答:解:(1)f(x)=3x4+sin x则f′(x)=12x3+cos x;(2),则f′(x)=+﹣2e2x﹣1.点评:本题主要考查导数的基本运算,比较基础.4.求下列函数的导数:(1)y=ln(2x+1);(2).分析:根据导数的公式即可得到结论.解答:解:(1)∵y=ln(2x+1),∴y′=×2=,(2)∵,∴y′=﹣sin(﹣2x)×(﹣2)=2sin(﹣2x)=﹣2sin(2x﹣).点评:本题主要考查导数的基本运算,比较基础.5.求下列函数的导数:(1);(2)g(x)=(8﹣3x)7;(3)p(x)=5cos(2x﹣3);(4)w(x)=ln(5x+6)2.分析:根据复合函数的求导法则、基本初等函数的求导公式求导计算即可.解答:解:(1)∵,∴.(2)∵g(x)=(8﹣3x)7,∴g'(x)=7(8﹣3x)6⋅(8﹣3x)'=﹣21(8﹣3x)6.(3)∵p(x)=5cos(2x﹣3),∴p'(x)=﹣5sin(2x﹣3)⋅(2x﹣3)'=﹣10sin(2x﹣3).(4)∵w(x)=ln(5x+6)2,∴点评:本题考查导数的计算,注意复合函数的导数计算,属于基础题.(Ⅰ);(Ⅱ).分析:根据导数的公式即可得到结论.解答:解:(Ⅰ)=.(Ⅱ).点评:本题主要考查导数的基本运算,比较基础.7.求下列函数的导数.(1)f(x)=sin x cos x;(2)y=.分析:利用导数的运算性质化简即可求解.解答:解:(1)因为f(x)=sin x cos x=sin2x,所以f′(x)=cos2x×=cos2x,(2)∵y=,∴y′==.点评:本题考查了导数的运算性质,考查了学生的运算求解能力,属于基础题.8.求下列函数的导数.(1)y=;(2)y=(2x2+3)(3x﹣2).分析:根据导数的公式,即可依次求解.解答:解:(1)y'==.(2)因为y=(2x2+3)(3x﹣2)=6x3﹣4x2+9x﹣6,所以y′=18x2﹣8x+9.点评:本题主要考查导数的运算,属于基础题.(1);(2).分析:(1)先展开f(x),然后求导即可;(2)根据基本初等函数和商的导数的求导公式求导即可.解答:解:(1),;(2).点评:本题考查了基本初等函数和商的导数的求导公式,考查了计算能力,属于基础题.10.求下列函数的导数:(1)S(t)=;(2)h(x)=(2x2+3)(3x﹣2).分析:结合基本初等函数的求导公式及求导法则求解即可.解答:解:(1)S(t)==t+,所以S′(t)=1﹣;(2)h(x)=(2x2+3)(3x﹣2),所以h′(x)=4x(3x﹣2)+3(2x2+3)=18x2﹣8x+9.点评:本题主要考查了基本初等函数的求导公式及求导法则,属于基础题.11.求下列函数的导数.(1);(2).分析:利用复合函数的导函数的求法,结合导数的运算求解即可.解答:解:(1),所以;(2)所以.点评:本题考查了导函数的求法,重点考查了导数的运算,属基础题.12.求下列函数的导数:(1)y=;(2)y=.分析:直接利用基本初等函数的导数公式,复合函数的导数公式以及导数的四则运算求解即可.解答:解:(1)令t=1﹣2x2,则,所以;(2).点评:本题考查了导数的运算,解题的关键是掌握基本初等函数的导数公式,复合函数的导数公式以及导数的四则运算,考查了运算能力,属于基础题.13.求下列函数的导数:(1)y=sin x+lnx;(2)y=cos x+x;(3)y=x sin x;(4);(5)y=3x2+x cos x;(6).分析:由已知结合函数的求导公式即可求解.解答:解:(1)y′=cos x+;(2)y′=﹣sin x+1;(3)y′=sin x+x cos x;(4)y′==;(5)y′=6x+cos x﹣x sin x;(6)y′==﹣.点评:本题主要考查了函数的求导公式的应用,属于基础题.14.求下列函数的导数.(1)y=x3﹣2x+3;(2)y=x sin(2x+5).分析:根据基本初等函数和复合函数的求导公式求导即可.解答:解:(1)y′=3x2﹣2;(2)y′=sin(2x+5)+2x cos(2x+5).点评:本题考查了基本初等函数和复合函数的求导公式,考查了计算能力,属于基础题.15.求下列函数的导数:(1)y=(x2+3x+3)e x+1;(2).分析:利用导数的运算法则以及常见函数的导数进行求解即可.解答:解:(1)因为y=(x2+3x+3)e x+1,所以y'=[(x2+3x+3)e x+1]'=(x2+3x+3+2x+3)e x+1=(x2+5x+6)e x+1=(x+2)(x+3)e x+1;(2)因为,所以.点评:本题考查了导数的运算,主要考查了导数的运算法则以及常见函数的导数公式,考查了化简运算能力,属于基础题.。
100道求导数计算题1. y = x^3 - 2x^2 + 5x - 3, dy/dx = 3x^2 - 4x + 52. y = 2x^4 + 3x^3 - 5x^2 + 2x - 1, dy/dx = 8x^3 + 9x^2 - 10x + 23. y = (4x^2 + 3x - 2)/(2x - 1), dy/dx = (14x^2 - 4x - 3)/(2x - 1)^24. y = sqrt(x^4 - 1), dy/dx = 2x^3 / sqrt(x^4 - 1)5. y = sin(2x) + cos(3x), dy/dx = 2cos(2x) - 3sin(3x)6. y = ln(x^2 - 3x + 2), dy/dx = (2x - 3)/(x^2 - 3x + 2)7. y = e^(3x^2 + 2x), dy/dx = (6x + 2)e^(3x^2 + 2x)8. y = 1/(x^2 + 1), dy/dx = -2x/(x^2 + 1)^29. y = (x + 2)^(1/3) - 2^(1/3), dy/dx = 1/(3(x + 2)^(2/3))10. y = 3x^2 + 4x - 2/x, dy/dx = 6x + 4 + 2/x^211. y = 5x^3 - 2x^2 + 7x - 3, dy/dx = 15x^2 - 4x + 712. y = cos(5x) + sin(3x), dy/dx = -5sin(5x) + 3cos(3x)13. y = ln(4x - 5), dy/dx = 4/(4x - 5)14. y = e^(2x + 3), dy/dx = 2e^(2x + 3)15. y = 1/x - 2x + 4x^2, dy/dx = -1/x^2 - 2 + 8x16. y = 3sqrt(x) - 1/x^2, dy/dx = (3/2)x^(-1/2) + 2/x^317. y = 2cos(x) - sin(2x), dy/dx = -2sin(x) - 2cos(2x)18. y = ln(x) / x^2, dy/dx = (1 - 2ln(x))/x^319. y = e^(x^2 - 1), dy/dx = 2xe^(x^2 - 1)20. y = x^2sin(x) - 2cos(x), dy/dx = 2xsin(x) + x^2cos(x) + 2sin(x)21. y = 2x^3 + 3x^2 - 4x + 1, dy/dx = 6x^2 + 6x - 422. y = sin(3x) - 2cos(2x), dy/dx = 3cos(3x) + 4sin(2x)23. y = ln(sin(x)), dy/dx = cot(x)24. y = e^(5x + 1), dy/dx = 5e^(5x + 1)25. y = x^3 - 3x^2 + 2x - 1, dy/dx = 3x^2 - 6x + 226. y = cos(4x) - 3sin(x), dy/dx = -4sin(4x) - 3cos(x)27. y = 1/(x^3 + 1), dy/dx = -3x^2/(x^3 + 1)^228. y = sqrt(x) / ln(x), dy/dx = (1/2sqrt(x))(ln(x))^(-1) +sqrt(x)(ln(x))^(-2)29. y = e^(2x)sin(x), dy/dx = 2e^(2x)sin(x) + e^(2x)cos(x)30. y = x^3 - x^2 + x - 1, dy/dx = 3x^2 - 2x + 131. y = cos(3x) + 4sin(2x), dy/dx = -3sin(3x) + 8cos(2x)32. y = ln(cos(x)), dy/dx = -tan(x)/(cos(x))33. y = e^(3x), dy/dx = 3e^(3x)34. y = 1/x^2 + 2x - sqrt(x), dy/dx = -2/x^3 + 2 - 1/(2sqrt(x))35. y = x^2 + sin(x), dy/dx = 2x + cos(x)36. y = ln(x^2 + 1), dy/dx = 2x/(x^2 + 1)37. y = e^(x)cos(2x), dy/dx = e^(x)(cos(2x) - 2sin(2x))38. y = x^2 + 2x - 1/x, dy/dx = 2x + 2 + 1/x^239. y = 2cos(x) + sin(3x) - 4, dy/dx = -2sin(x) + 3cos(3x)40. y = e^(x + 1), dy/dx = e^(x + 1)41. y = x^3 - 3x + 2, dy/dx = 3x^2 - 342. y = sin(2x) + cos(4x) - 3, dy/dx = 2cos(2x) - 4sin(4x)43. y = ln(5x + 2), dy/dx = 5/(5x + 2)44. y = e^(2x)cos(x), dy/dx = 2e^(2x)cos(x) - e^(2x)sin(x)45. y = x^3 + 2x^2 - 5x + 1/x, dy/dx = 3x^2 + 4x - 5 - 1/x^246. y = cos(3x) + 2sin(2x) - 1, dy/dx = -3sin(3x) + 4cos(2x)47. y = ln(2x), dy/dx = 1/x48. y = e^(2x)sin(3x), dy/dx = 2e^(2x)sin(3x) + 3e^(2x)cos(3x)49. y = x^3 + 3x^2 - 4x + 1, dy/dx = 3x^2 + 6x - 450. y = cos(2x) - sin(x), dy/dx = -2sin(2x) - cos(x)51. y = ln(x^2 - 4), dy/dx = 2x/(x^2 - 4)52. y = e^(3x)sin(2x), dy/dx = 3e^(3x)sin(2x) + 2e^(3x)cos(2x)53. y = x^3 + 4x^2 - 2x + 1/x, dy/dx = 3x^2 + 8x - 2 - 1/x^254. y = 2cos(2x) - 3sin(3x) - 2, dy/dx = -4sin(2x) - 9cos(3x)55. y = ln(x + 1), dy/dx = 1/(x + 1)56. y = e^(4x)cos(3x), dy/dx = 4e^(4x)cos(3x) - 3e^(4x)sin(3x)57. y = x^3 + 2sin(x), dy/dx = 3x^2 + 2cos(x)58. y = ln(x^3 + 1), dy/dx = 3x^2/(x^3 + 1)59. y = e^(x)sin(2x), dy/dx = e^(x)(2sin(2x) + cos(2x))60. y = x^4 - 2x^3 + 3x^2 - 4x + 1, dy/dx = 4x^3 - 6x^2 + 6x - 461. y = cos(3x) - sin(2x) + 2, dy/dx = -3sin(3x) - 2cos(2x)62. y = ln(3x), dy/dx = 1/x63. y = e^(3x)cos(4x), dy/dx = 3e^(3x)cos(4x) - 4e^(3x)sin(4x)64. y = x^3 + 3sin(x), dy/dx = 3x^2 + 3cos(x)65. y = ln(x^2 - 9), dy/dx = 2x/(x^2 - 9)66. y = e^(4x)sin(5x), dy/dx = 4e^(4x)sin(5x) + 5e^(4x)cos(5x)67. y = x^3 - 4x^2 + 5x - 2, dy/dx = 3x^2 - 8x + 568. y = cos(2x) + sin(3x) + 1, dy/dx = -2sin(2x) + 3cos(3x)69. y = ln(2x + 3), dy/dx = 2/(2x + 3)70. y = e^(2x)cos(3x), dy/dx = 2e^(2x)cos(3x) - 3e^(2x)sin(3x)71. y = x^4 + 2cos(x), dy/dx = 4x^3 - 2sin(x)72. y = ln(x^3 - 1), dy/dx = 3x^2/(x^3 - 1)73. y = e^(x)cos(4x), dy/dx = e^(x)(cos(4x) - 4sin(4x))74. y = 2x^3 - x^2 + 3x - 1/x, dy/dx = 6x^2 - 2x + 1/x^275. y = cos(3x) - 2sin(2x) + 3, dy/dx = -3sin(3x) - 4cos(2x)76. y = ln(x - 1), dy/dx = 1/(x - 1)77. y = e^(3x)sin(4x), dy/dx = 3e^(3x)sin(4x) + 4e^(3x)cos(4x)78. y = x^4 + 5sin(x), dy/dx = 4x^3 + 5cos(x)79. y = ln(x^4 + 1), dy/dx = 4x^3/(x^4 + 1)80. y = e^(2x)sin(4x), dy/dx = 2e^(2x)sin(4x) + 4e^(2x)cos(4x)81. y = x^4 - 3x^3 + 4x^2 - x + 2, dy/dx = 4x^3 - 9x^2 + 8x - 182. y = cos(3x) + sin(4x) - 2, dy/dx = -3sin(3x) + 4cos(4x)83. y = ln(x^2 + 3x + 2), dy/dx = (2x + 3)/(x^2 + 3x + 2)84. y = e^(3x)cos(5x), dy/dx = 3e^(3x)cos(5x) - 5e^(3x)sin(5x)85. y = x^4 - 4x^3 + 6x^2 - 4x + 1, dy/dx = 4x^3 - 12x^2 + 12x - 486. y = cos(4x) + 3sin(3x) + 2, dy/dx = -4sin(4x) + 9cos(3x)87. y = ln(x^3 + 2), dy/dx = 3x^2/(x^3 + 2)88. y = e^(2x)sin(5x), dy/dx = 2e^(2x)sin(5x) + 5e^(2x)cos(5x)89. y = x^4 + 6x^2 - x + 1/x, dy/dx = 4x^3 + 12x - 1/x^290. y = cos(3x) - sin(x) + 2, dy/dx = -3sin(3x) - cos(x)91. y = ln(x^2 - 3x + 1), dy/dx = (2x - 3)/(x^2 - 3x + 1)92. y = e^(3x)sin(6x), dy/dx = 3e^(3x)sin(6x) + 6e^(3x)cos(6x)93. y = x^4 + 7sin(x), dy/dx = 4x^3 + 7cos(x)94. y = ln(x^3 - x^2 + x - 1), dy/dx = (3x^2 - 2x + 1)/(x^3 - x^2 + x - 1)95. y = e^(2x)sin(6x), dy/dx = 2e^(2x)sin(6x) + 6e^(2x)cos(6x)96. y = x^4 - 5x^3 + 9x^2 - 5x + 2, dy/dx = 4x^3 - 15x^2 + 18x - 597. y = cos(3x) + 2sin(4x) - 1, dy/dx = -3sin(3x) + 8cos(4x)98. y = ln(x^4 - 1), dy/dx = 4x^3/(x^4 - 1)99. y = e^(3x)cos(7x), dy/dx = 3e^(3x)cos(7x) - 7e^(3x)sin(7x) 100. y = x^4 + 8sin(x), dy/dx = 4x^3 + 8cos(x)。
(完整版)导数的运算经典习题1. 概述本文档列举了一些有关导数的运算的经典题,以帮助读者巩固和提高对该知识点的理解和应用能力。
2. 题集2.1 一阶导数1. 计算函数 $f(x) = 3x^2 + 2x + 1$ 的导函数 $f'(x)$。
2. 求函数 $g(x) = \sqrt{x}$ 的导数 $g'(x)$。
3. 计算函数 $h(x) = e^x - \sin(x)$ 在 $x = 0$ 处的导数 $h'(0)$。
4. 求函数 $k(x) = \ln(x)$ 的导函数 $k'(x)$。
2.2 高阶导数1. 计算函数 $f(x) = \cos(x)$ 的二阶导数 $f''(x)$。
2. 求函数 $g(x) = \frac{1}{x^2}$ 的二阶导数 $g''(x)$。
3. 计算函数 $h(x) = e^x \cos(x)$ 的二阶导数 $h''(x)$。
4. 求函数 $k(x) = \ln(x^2)$ 的二阶导数 $k''(x)$。
2.3 乘积法则和商积法则1. 使用乘积法则计算函数 $f(x) = (3x^2 + 2x + 1)(4x + 1)$ 的导函数 $f'(x)$。
2. 使用商积法则计算函数 $g(x) = \frac{x^2 + 1}{x}$ 的导数$g'(x)$。
2.4 链式法则1. 使用链式法则计算函数 $f(x) = \sin(3x^2 + 2x + 1)$ 的导数$f'(x)$。
2. 使用链式法则计算函数 $g(x) = e^{2x^3}$ 的导函数 $g'(x)$。
3. 总结本文档提供了一些有关导数的运算的经典习题,涵盖了一阶导数、高阶导数、乘积法则和商积法则、链式法则等知识点。
通过完成这些习题,读者可以巩固对导数运算的理解,并提高应用能力。
希望这些习题对您有所帮助!。
高中数学导数的计算精选题目(附答案)(1)基本初等函数的导数公式(2)导数运算法则①[f (x )±g (x )]′=f ′(x )±g ′(x );②[f (x )·g (x )]′=f ′(x )g (x )+f (x )g ′(x ); 当g (x )=c 时,[cf (x )]′=cf ′(x ).③⎣⎢⎡⎦⎥⎤f (x )g (x )′=f ′(x )g (x )-f (x )g ′(x )[g (x )]2(g (x )≠0).(3)复合导数复合函数y =f (g (x ))的导数和函数y =f (u ),u =g (x )的导数间的关系为y x ′=y u ′·u x ′,即y 对x 的导数等于y 对u 的导数与u 对x 的导数的乘积.1.求下列函数的导数: (1)y =10x ; (2)y =lg x ; (3)y =log 12x ;(4)y =4x 3;(5)y =⎝ ⎛⎭⎪⎫sin x2+cos x 22-1.2.求下列函数的导数: (1)y =⎝ ⎛⎭⎪⎫1e x ;(2)y =⎝ ⎛⎭⎪⎫110x ;(3)y =lg 5; (4)y =3lg 3x ; (5)y =2co S 2x2-1. 3.(1)y =x 3·e x ; (2)y =x -S i n x 2co S x2; (3)y =x 2+log 3x; (4)y =e x +1e x -1.4.求下列函数的导数: (1)y =cos x x ; (2)y =xS i n x +x ; (3)y =1+x 1-x +1-x1+x; (4)y =lg x -1x 2.5.点P 是曲线y =e x 上任意一点,求点P 到直线y =x 的最小距离. 6.求过曲线y =co S x 上点P ⎝ ⎛⎭⎪⎫π3,12且与曲线在这点处的切线垂直的直线方程.7.求下列函数的导数. (1)y =1-2x 2; (2)y =e S i n x ;(3)y =S i n ⎝ ⎛⎭⎪⎫2x +π3;(4)y =5log 2(2x +1) 8.求下列函数的导数. (1)f (x )=(-2x +1)2; (2)f (x )=l n (4x -1); (3)f (x )=23x +2; (4)f (x )=5x +4; (5)f (x )=S i n ⎝ ⎛⎭⎪⎫3x +π6;(6)f (x )=co S 2x .9.求下列函数的导数. (1)y =x 1+x 2;(2)y =x co S ⎝ ⎛⎭⎪⎫2x +π2S i n ⎝ ⎛⎭⎪⎫2x +π2.10.求下列函数的导数. (1)y =S i n 2x3; (2)y =S i n 3x +S i n x 3; (3)y =11-x 2; (4)y =x l n (1+x ).11. 设f (x )=l n (x +1)+x +1+ax +b (a ,b ∈R ,a ,b 为常数),曲线y =f (x )与直线y =32x 在(0,0)点相切.求a ,b 的值.12.曲线y =e -2x +1在点(0,2)处的切线与直线y =0和y =x 围成的三角形的面积为( )A.13B.12C.23 D .1参考答案:1.解: (1)y ′=(10x )′=10x l n 10. (2)y ′=(lg x )′=1x ln 10.(3)y ′=(log 12x )′=1x ln 12=-1x ln 2.(4)y ′=(4x 3)′=(x 34)′=34x -14=344x.(5)∵y =⎝ ⎛⎭⎪⎫sin x2+cos x 22-1=S i n 2x2+2S i n x 2co S x 2+co S 2x 2-1 =S i n x ,∴y ′=(S i n x )′=co S x .2.解:(1)y ′=⎣⎢⎡⎦⎥⎤⎝ ⎛⎭⎪⎫1e x ′=⎝ ⎛⎭⎪⎫1e x l n 1e =-1e x =-e -x .(2)y ′=⎣⎢⎡⎦⎥⎤⎝ ⎛⎭⎪⎫110x ′=⎝ ⎛⎭⎪⎫110x l n 110=-ln 1010x=-10-x l n 10.(3)∵y =lg 5是常数函数,∴y ′=(lg 5)′=0. (4)∵y =3 lg 3x =lg x ,∴y ′=(lg x )′=1x ln 10.(5)∵y =2co S 2x2-1=co S x ,∴y ′=(co S x )′=-S i n x . 3.解: (1)y ′=(x 3)′e x +x 3(e x )′=3x 2e x +x 3e x =x 2(3+x )e x . (2)∵y =x -12S i n x ,∴y ′=x ′-12(S i n x )′=1-12co S x . (3)y ′=(x 2+log 3x )′=(x 2)′+(log 3x )′=2x +1x ln 3. (4)y ′=(e x +1)′(e x -1)-(e x +1)(e x -1)′(e x -1)2=e x (e x -1)-(e x +1)e x (e x -1)2=-2e x (e x -1)2.4.解:(1)y ′=⎝ ⎛⎭⎪⎫cos x x ′=(cos x )′·x -cos x ·(x )′x 2=-x ·sin x -cos x x 2=-x sin x +cos xx 2.(2)y ′=(xS i n x )′+(x )′=S i n x +x co S x +12x.(3)∵y =(1+x )21-x +(1-x )21-x =2+2x 1-x =41-x -2,∴y ′=⎝ ⎛⎭⎪⎫41-x -2′=-4(1-x )′(1-x )2=4(1-x )2.(4)y ′=⎝ ⎛⎭⎪⎫lg x -1x 2′=(lg x )′-⎝ ⎛⎭⎪⎫1x 2′=1x ln 10+2x 3. 5.解:如图,当曲线y =e x 在点P (x 0,y 0)处的切线与直线y =x 平行时,点P 到直线y =x 的距离最近.则曲线y =e x 在点P (x 0,y 0)处的切线斜率为1,又y ′=(e x )′=e x ,∴e x 0=1,得x 0=0,代入y =e x ,得y 0=1,即P (0,1).利用点到直线的距离公式得最小距离为22.6.解:∵y =co S x ,∴y ′=(co S x )′=-S i n x ,∴曲线在点P π3,12处的切线的斜率为k =y ′|x =π3=-S i n π3=-32,∴过点P 且与切线垂直的直线的斜率为233,∴满足题意的直线方程为y -12=233⎝ ⎛⎭⎪⎫x -π3,即233x -y +12-239π=0. 7.解: (1)设y =u 12,u =1-2x 2, 则y ′=⎝ ⎛⎭⎪⎫u 12′(1-2x 2)′=⎝ ⎛⎭⎪⎫12u -12·(-4x ) =12(1-2x 2)-12(-4x )=-2x 1-2x 2 .(2)设y =e u ,u =S i n x ,则y x ′=y u ′·u x ′=e u ·co S x =e S i n x co S x . (3)设y =S i n u ,u =2x +π3,则y x ′=y u ′·u x ′=co S u ·2=2co S ⎝ ⎛⎭⎪⎫2x +π3.(4)设y =5log 2u ,u =2x +1, 则y ′=5(log 2u )′(2x +1)′=10u ln 2=10(2x +1)ln 2.8.解:(1)设y =u 2,u =-2x +1,则y ′=y u ′·u x ′=2u ·(-2)=-4(-2x +1)=8x -4. (2)设y =l n u ,u =4x -1, 则y ′=y u ′·u x ′=1u ·4=44x -1.(3)设y =2u ,u =3x +2,则y ′=y u ′·u x ′=2u l n 2·3=3l n 2·23x +2. (4)设y =u ,u =5x +4, 则y ′=y u ′·u x ′=12u·5=525x +4.(5)设y =S i n u ,u =3x +π6,则y ′=y u ′·u x ′=co S u ·3=3co S ⎝ ⎛⎭⎪⎫3x +π6.(6)法一:设y =u 2,u =co S x , 则y ′=y u ′·u x ′=2u ·(-S i n x ) =-2co S x ·S i n x =-S i n 2x ; 法二:∵f (x )=co S 2x =1+cos 2x 2=12+12co S 2x , 所以f ′(x )=⎝ ⎛⎭⎪⎫12+12cos 2x ′=0+12·(-S i n 2x )·2=-S i n 2x . 9.解: (1)y ′=(x 1+x 2)′ =x ′1+x 2+x (1+x 2)′ =1+x 2+x 21+x 2=(1+2x 2)1+x 21+x 2.(2)∵y =x co S ⎝ ⎛⎭⎪⎫2x +π2S i n ⎝ ⎛⎭⎪⎫2x +π2=x (-S i n 2x )co S 2x =-12xS i n 4x ,∴y ′=⎝ ⎛⎭⎪⎫-12x sin 4x ′=-12S i n 4x -x2co S 4x ·4 =-12S i n 4x -2x co S 4x .10.解:(1)y ′=⎝ ⎛⎭⎪⎫sin 2x 3′=2S i n x 3·⎝ ⎛⎭⎪⎫sin x 3′ =2S i n x 3·co S x 3·⎝ ⎛⎭⎪⎫x 3′=13S i n 2x3.(2)y ′=(S i n 3x +S i n x 3)′=(S i n 3x )′+(S i n x 3)′ =3S i n 2x co Sx +co S x 3·3x 2=3S i n 2x co S x +3x 2co S x 3. (3)y ′=0-(1-x 2)′1-x 2=-12(1-x 2)-12(1-x 2)′1-x 2=x (1-x 2)-121-x 2=x(1-x 2) 1-x 2.(4)y ′=x ′l n (1+x )+x []ln (1+x )′ =l n (1+x )+x 1+x. 11.解: 由曲线y =f (x )过(0,0)点,可得l n 1+1+b =0,故b =-1.由f (x )=l n (x +1)+x +1+ax +b ,得f ′(x )=1x +1+12x +1+a ,则f ′(0)=1+12+a =32+a ,此即为曲线y =f (x )在点(0,0)处的切线的斜率.由题意,得32+a =32,故a =0.12.解析:选A 依题意得y ′=e -2x ·(-2)=-2e -2x ,y ′|x =0=-2e-2×0=-2.曲线y =e-2x+1在点(0,2)处的切线方程是y -2=-2x ,即y =-2x +2.在坐标系中作出直线y =-2x +2、y =0与y =x 的图象,因为直线y =-2x +2与y =x的交点坐标是⎝ ⎛⎭⎪⎫23,23,直线y =-2x +2与x 轴的交点坐标是(1,0),结合图象可得,这三条直线所围成的三角形的面积等于12×1×23=13.。
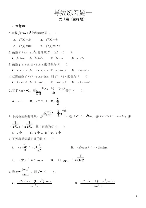
导数练习题一第I 卷(选择题)一、选择题1.函数2()4f x x =的导函数是( )A .'()2f x x =B .'()4f x x =C .'()8f x x =D .'()16f x x =2.函数f (x )=sin 2x 的导数f′(x )=( )A .2sinxB .2sin 2xC .2cosxD .sin2x3.函数y=x cos x ﹣sin x 的导数为( )A .x sin xB .﹣x sin xC .x cos xD .﹣xcos x4.已知函数f (x )=sinx+lnx ,则f′(1)的值为( )A .1﹣cos1B .1+cos1C .cos1﹣1D .﹣1﹣cos15..若f′(x 0)=2,则k 2)x(f )k x (f 000k lim --→等于( )A .﹣1B .﹣2C .1D .6.下列各函数的导数:①;②(a x )′=a 2lnx ;③(sin2x )′=cos2x;④()′=.其中正确的有( )A .0个B .1个C .2个D .3个7.下列求导运算正确的是( )A .(x )′=1B .(x 2cosx )′=﹣2xsinxC .(3x )′=3x log 3eD .(log 2x )′=8.设x x y sin 12-=,则='y ( ).A .x x x x x 22sin cos )1(sin 2---B .x xx x x 22sin cos )1(sin 2-+-C .x x x x sin )1(sin 22-+-D .xx x x sin )1(sin 22---9.过抛物线y=x 2上的点的切线的倾斜角( ) A .30° B .45° C .60° D .135°9.若()sin cos f x x α=-,则'()f α等于( )A .sin αB .cos αC .sin cos αα+D .2sin α10.已知f(x)=xln x ,若f ′(x 0)=2,则x 0等于 ( ).A .e 2B .eC .ln 22D .ln 211.已知函数f (x )=2ln (3x )+8x+1,则的值为( )A .10B .﹣10C .﹣20D .2012.已知函数,则其导函数f′(x )的图象大致是( )A .B .C .D .二、填空题13.已知函数y=f (x )在定义域内可导,其图象如图,记y=f (x )的导函数为y=f′(x ),则不等式f′(x )≥0的解集为 ______________14.已知函数=+=)4(,cos sin )2()('ππf x x f x f 则_______. 15.函数()ln 1f x x =+在点(1,1)处的切线方程为 .16.若函数()(1)(2)(3)(4)f x x x x x =----,则(2)=f ' .三、解答题17. 用导数的定义求函数121)(+=x x f 在0x x =处的导数18. 用导数公式求函数121)(+=x x f 的导数)('x f ,并求)(0'x f19.已知函数2321)(x x x f +=.(1)求)(x f 在))34(,34(--f 处的切线方程; (2)函数x e x f y )(=的导数.20.已知函数f(x)=ae x+bxlnx图象上x=1处的切线方程为y=2ex﹣e.求实数a和b的值;21.已知函数f(x)=(2x﹣1)2+5x(1)求f′(x)(2)求曲线y=f(x)在点(2,19)处的切线方程.22.已知抛物线1=xfx(2+2)(1)抛物线上哪一点处的切线的倾斜角是︒45。
导数的计算练习题导数是微积分中的重要概念,它描述了函数在某一点处的变化率。
计算导数是解决各种数学问题的基础和关键步骤。
本文将提供一些导数计算的练习题,以帮助读者加深对导数的理解和应用。
练习一:求导基本函数1. 求函数f(x) = 3x^2 - 2x + 1在x = 2处的导数。
解答:首先,我们可以使用导数的定义公式来计算导数。
导数的定义是函数的极限值,即f'(x) = lim(h->0) [f(x+h)-f(x)]/h。
将x = 2代入公式,可以得到f'(2) = lim(h->0) [(3(2+h)^2 - 2(2+h) + 1 - (3(2)^2 - 2(2) + 1))/h。
化简后得到f'(2) = lim(h->0) [12h+16]/h,进一步化简得到f'(2) = 12。
2. 求函数g(x) = sin(x) + cos(x)在x = π/4处的导数。
解答:使用导数的基本公式,可以得到g'(x) = cos(x) - sin(x)。
将x= π/4代入公式可以得到g'(π/4) = cos(π/4) - sin(π/4) = (√2/2) - (√2/2) = 0。
练习二:求导复合函数3. 求函数h(x) = (2x + 1)^3在x = 2处的导数。
解答:这是一个复合函数,我们可以使用链式法则来计算其导数。
链式法则表示当一个函数由两个函数复合而成时,它的导数等于两个函数的导数的乘积。
首先,我们需要计算内层函数[ϕ(x)]的导数,即ϕ'(x) = (2x + 1)^2。
然后,计算外层函数[ψ(x)]的导数,即ψ'(x) = 3x^2。
最后,将两个导数相乘得到h'(x) = ψ'(ϕ(x)) * ϕ'(x)。
将x = 2代入公式可以得到h'(2) = ψ'(ϕ(2)) * ϕ'(2) = ψ'(5) * ϕ'(2) = 3(5)^2 * (2(2) + 1)^2 = 225* 25 = 5625。
导数的运算——综合练习一.选择题(共40小题)1.若f′(x)是函数f(x)=x3+2x+1的导函数,则f′(﹣1)的值为()A.1 B.3 C.1或3 D.42.若f(x)=x5,f′(x0)=20,则x0的值为()A.B.±C.﹣2 D.±23.下列求导运算正确的是()A.(cosx)'=sinx B.(3x)'=3x log3eC.D.(x2cosx)′=﹣2xsinx4.已知函数f(x)=sinx﹣cosx,且f′(x)=2f(x),则tan2x的值是()A.﹣B.C.﹣D.5.已知函数f(x)=,若f′(1)=,则实数a的值为()A.2 B.4 C.6 D.86.已知函数f(x)=6﹣x3,g(x)=e x﹣1,则这两个函数的导函数分别为()A.f′(x)=6﹣3x2,g′(x)=e x B.f′(x)=﹣3x2,g′(x)=e x﹣1C.f′(x)=﹣3x2,g′(x)=e x D.f′(x)=6﹣3x2,g′(x)=e x﹣17.已知f(x)=lnx,则f′(e)的值为()A.1 B.﹣1 C.e D.8.已知函数f(x)的导函数为f′(x),且满足f(x)=2xf′(1)+lnx,则f′(2)=()A.B.1 C.﹣1 D.﹣9.已知,则f'(2)=()A.B.C.2 D.﹣210.下列求导运算正确的是()A.(log2x)′=B.(x+)′=1+C.(cosx)′=sinx D.()′=11.若f(x)=,f'(x)为f(x)的导函数,则f'(x)=()A.f'(x)= B.f'(x)=C.f'(x)= D.f'(x)=12.已知函数f(x)=x2+2xf′(2017)﹣2017lnx,则f′(2017)=()A.2016 B.﹣2016 C.2017 D.﹣201713.已知f'(x)是f(x)=sinx+acosx的导函数,且f'()=,则实数a的值为()A.B.C.D.114.已知函数f(x)的导函数f'(x),且满足f(x)=2xf'(1)+lnx,则f′(1)=()A.﹣1 B.﹣e C.1 D.e15.下列函数在点x=0处没有切线的是()A.y=3x2+cosx B.y=xsinx C.D.16.f'(x)是函数f(x)的导函数,且f(x)=﹣x2+2x f'(2017)+2017㏑x,则f'(1)=()A.2016 B.6045 C.2017 D.604817.已知函数f(x)=f´()cosx+sinx,则f()=()A.B.﹣1 C.1 D.018.函数y=sin(lnx)的导数y′=()A.ln(cosx)B.cos(lnx)C.﹣cos(lnx)D.cos(lnx)19.已知函数f(x)=ln(ax﹣1)的导函数是f'(x),且f'(2)=2,则实数a的值为()A.B.C.D.120.设f0(x)=sinx,f1(x)=f0′(x),f2(x)=f1′(x),…,f n+1(x)=f n′(x),n∈N,则f2017(x)=()A.sinx B.﹣sinx C.cosx D.﹣cosx21.已知f1(x)=cosx,f2(x)=f1′(x),f3(x)=f2′(x),f4(x)=f3′(x),…,f n(x)=f n﹣1′(x),则f2015(x)等于()A.sinx B.﹣sinx C.cosx D.﹣cosx22.函数(x>0),若x0满足f'(x0)=0,设m∈(0,x0),n∈(x0,+∞),则()A.f'(m)<0,f'(n)<0 B.f'(m)>0,f'(n)>0 C.f'(m)<0,f'(n)>0 D.f'(m)>0,f'(n)<023.若函数f(x)在其定义域的一个子集[a,b]上存在实数m(a<m<b),使f(x)在m处的导数f'(m)满足f(b)﹣f(a)=f'(m)(b﹣a),则称m是函数f(x)在[a,b]上的一个“中值点”,函数在[0,b]上恰有两个“中值点”,则实数b的取值范围是()A.,B.(3,+∞)C.,D.,24.设函数f(x)=x3﹣ax2+2bx+1的导函数为f′(x),若函数f′(x)的图象关于直线x=对称,且当x∈[1,π]时,恒有f(x)≥1,则实数b的取值范围为()A.(,+∞)B.[,1]C.(﹣∞,]D.[,+∞)25.已知定义在(0,+∞)上的单调函数f(x),对∀x∈(0,+∞),都有f[f(x)﹣log2x]=3,则方程f(x)﹣f′(x)=2的解所在的区间是()A.(0,) B.(1,2) C.(,1) D.(2,3)26.已知二次函数f(x)=ax2+bx+c的导数为f′(x),f′(0)>0,对于任意实数x,有,则的最小值为()A.2 B.C.3 D.27.已知函数f(x)及其导数f'(x),若存在x0使得f(x0)=f'(x0),则称x0是f(x)的一个“巧值点”.给出下列五个函数:①f(x)=x2,②f(x)=e﹣x,③f(x)=lnx,④f(x)=tanx,其中有“巧值点”的函数的个数是()A.1 B.2 C.3 D.428.已知函数,其导函数记为f'(x),则f(2017511)+f'(2017511)+f(﹣2017511)﹣f'(﹣2017511)=()A.0 B.1 C.2 D.201751129.[x]表示不超过x的最大整数,若f′(x)是函数f(x)=ln|x|导函数,设g(x)=f(x)f′(x),则函数f=[g(x)]+[g(﹣x)]的值域是()A.{﹣1,0}B.{0,1}C.{0}D.{偶数}30.定义:如果函数f(x)在[m,n]上存在x1,x2(m<x1<x2<n)满足f′(x1)=,f′(x2)=,则称函数f(x)是[m,n]上的“双中值函数”.已知函数f(x)=x3﹣x2+a是[0,a]上“双中值函数”,则实数a的取值范围是()A.(,)B.(,3) C.(,1) D.(,1)31.已知函数f(x)=asinx+bx3+1(a,b∈R),f′(x)为f(x)的导函数,则f(2016)+f(﹣2016)+f′(2017)﹣f′(﹣2017)=()A.2017 B.2016 C.2 D.032.已知f(x)=1+(1+x)+(1+x)2+(1+x)3+…+(1+x)n,则f'(0)=()A.n B.n﹣1 C.D.n(n+1)33.设函数f(x)=x3+x2+,其中θ∈(﹣,),则导数f′(1)的取值范围是()A.(﹣,1]B.(﹣,1)C.(﹣,)D.(﹣,]34.已知函数f0(x)=sinx+cosx,f1(x)=f′0(x),f2(x)=f′1(x),…f n+1(x)=f′n(x),n∈N,那么f2017=()A.cosx﹣sinx B.sinx﹣cosx C.sinx+cosx D.﹣sinx﹣cosx35.定义方程f(x)=f′(x)的实数根x0叫做函数f(x)的“新驻点”,若函数g(x)=x3﹣1,h(x)=2x,φ(x)=ln(x+1)的“新驻点”分别为α,β,γ,则α,β,γ的大小关系为()A.α>β>γ B.β>α>γ C.γ>α>β D.β>γ>α36.设f1(x)=sinx,定义f n+1(x)为f n(x)的导数,即f(x)=f n′(x),n∈N*,若△ABC的内角A满足f1(A)+f2(A)+…+f2018(A)=0,则cosA的值为()A.1 B.﹣1 C.D.﹣37.已知函数f(x)及其导数f′(x),若存在x0,使得f(x0)=f′(x0),则x0称为f(x)的一个“巧值点”,则下列函数中有“巧值点”的是()①f(x)=x2;②f(x)=e﹣x;③f(x)=lnx;④f(x)=tanx;⑤f(x)=.A.①③⑤B.①③④C.②③④D.②⑤38.设函数f n′(x)是f n(x)的导函数,f0(x)=e x(cosx+sinx),f1(x)=,f2(x)=,…,(n∈N),则f2016(x)=()A.e x(cosx+sinx)B.e x(cosx﹣sinx)C.﹣e x(cosx+sinx)D.e x(sinx﹣cosx)39.已知函数f(x)=e x﹣2ax,函数g(x)=﹣x3﹣ax2.若不存在x1,x2∈R,使得f′(x1)=g′(x2),则实数a的取值范围为()A.(﹣2,3)B.(﹣6,0)C.[﹣2,3]D.[﹣6,0]40.已知函数f(x)=lnx+tanα(α∈(0,))的导函数为f′(x),若使得f′(x0)=f(x0)成立的x0<1,则实数α的取值范围为()A.(,)B.(0,)C.(,)D.(0,)二.填空题(共6小题)41.已知在R上可导,F(x)=f(x3﹣1)+f(1﹣x3),则F′(1)=.42.已知f(x)=f(4﹣x),当x≤2时,f(x)=e x,f′(3)+f(3)=.43.设定义域为(0,+∞)的单调函数f(x),对任意的x∈(0,+∞),都有f[f(x)﹣log2x]=6,若x0是方程f(x)﹣f′(x)=4的一个解,且x0∈(a,a+1)(a∈N*),则实数a=.44.已知函数y=f(x)的导函数为f'(x)=cosx﹣5,且f(0)=0,如果f(1﹣ax)+f(1﹣ax2)<0恒成立,则实数a的取值范围是.45.已知函数f(x)满足f(0)=﹣1,其导函数f′(x)满足f′(x)>k>1,则下列结论中正确的是.(1)f()>﹣1;(2)f()>;(3)f()<;(4)f()<f()46.若函数f(x)的导数f′(x)存在导数,记f′(x)的导数为f n(x).如果f(x)对任意x∈(a,b),都有f n(x)<0成立,则f(x)有如下性质:f()≥.其中n∈N*,x1,x2,…,x n∈(a,b).若f(x)=sinx,则f n(x)=;根据上述性质推断:当x1+x2+x3=π且x1,x2,x3∈(0,π)时,根据上述性质推断:sinx1+sinx2+sinx3的最大值为.导数的运算——综合练习参考答案与试题解析一.选择题(共40小题)1.若f′(x)是函数f(x)=x3+2x+1的导函数,则f′(﹣1)的值为()A.1 B.3 C.1或3 D.4【分析】先求函数f(x)的导函数,然后在导函数解析式中把x代﹣1求值.【解答】解:因为函数f(x)=x3+2x+1,所以其导函数f′(x)=x2+2,所以f′(﹣1)=(﹣1)2+2=3.故选B.2.若f(x)=x5,f′(x0)=20,则x0的值为()A.B.±C.﹣2 D.±2【分析】根据函数的导数公式解方程即可.【解答】解:函数的导数f′(x)=5x4,∵f′(x0)=20,∴5x04=20,得x04=4,则x0=±,故选:B.3.下列求导运算正确的是()A.(cosx)'=sinx B.(3x)'=3x log3eC.D.(x2cosx)′=﹣2xsinx【分析】根据函数的导数公式进行判断即可.【解答】解:(cosx)'=﹣sinx,A不正确;(3x)'=3x ln3,B不正确(lgx)′=,C正确;(x2cosx)′=2xcosx﹣x2sinx,D不正确故选:C.4.已知函数f(x)=sinx﹣cosx,且f′(x)=2f(x),则tan2x的值是()A.﹣B.C.﹣D.【分析】求出f(x)的导函数,根据f′(x)=2f(x)列出关系式,计算即可求出tan2x的值.【解答】解:求导得:f′(x)=cosx+sinx,∵f′(x)=2f(x),∴cosx+sinx=2(sinx﹣cosx),即3cosx=sinx,∴tanx=3,则tan2x===﹣.故选C5.已知函数f(x)=,若f′(1)=,则实数a的值为()A.2 B.4 C.6 D.8【分析】根据导数的公式即可得到结论【解答】解:函数f(x)=,则f′(x)=∵f′(1)=,即f′(1)==,∴a=4.故选:B6.已知函数f(x)=6﹣x3,g(x)=e x﹣1,则这两个函数的导函数分别为()A.f′(x)=6﹣3x2,g′(x)=e x B.f′(x)=﹣3x2,g′(x)=e x﹣1C.f′(x)=﹣3x2,g′(x)=e x D.f′(x)=6﹣3x2,g′(x)=e x﹣1【分析】根据导数的运算法则求导即可.【解答】解:f′(x)=﹣3x2,g′(x)=e x,故选:C7.已知f(x)=lnx,则f′(e)的值为()A.1 B.﹣1 C.e D.【分析】利用导数的运算法则即可得出.【解答】解:∵,∴.故选D.8.已知函数f(x)的导函数为f′(x),且满足f(x)=2xf′(1)+lnx,则f′(2)=()A.B.1 C.﹣1 D.﹣【分析】已知函数f(x)的导函数为f′(x),利用求导公式对f(x)进行求导,再把x=1代入,x=2代入求解即可.【解答】解:∵函数f(x)的导函数为f′(x),且满足f(x)=2xf′(1)+ln x,(x>0)∴f′(x)=2f′(1)+,把x=1代入f′(x)可得f′(1)=2f′(1)+1,解得f′(1)=﹣1,∴f′(2)=2f′(1)+=﹣2+=﹣.故选D.9.已知,则f'(2)=()A.B.C.2 D.﹣2【分析】把给出的函数求导,在其导函数中取x=2,则f′(2)可求.【解答】解:∵f′(x)=﹣+3f′(2),∴f′(2)=﹣+3f′(2),解得:f′(2)=,故选:A.10.下列求导运算正确的是()A.(log2x)′=B.(x+)′=1+C.(cosx)′=sinx D.()′=【分析】利用导数的运算法则即可得出.【解答】解:=,=1﹣,(cosx)′=﹣sinx,=,可知:只有A正确.故选:A.11.若f(x)=,f'(x)为f(x)的导函数,则f'(x)=()A.f'(x)= B.f'(x)=C.f'(x)= D.f'(x)=【分析】根据导数的运算法则计算即可.【解答】解:∵f(x)=,∴f'(x)=,故选:B12.已知函数f(x)=x2+2xf′(2017)﹣2017lnx,则f′(2017)=()A.2016 B.﹣2016 C.2017 D.﹣2017【分析】对函数f(x)的解析式求导,得到其导函数,把x=2017代入导函数中,列出关于f'(2017)的方程,进而得到f'(2017)的值【解答】解:求导得:f′(x)=x+2f′(2017)﹣令x=2017,得到f′(2017)=2017+2f′(2017)﹣1,解得:f′(2017)=﹣2016,故选:B13.已知f'(x)是f(x)=sinx+acosx的导函数,且f'()=,则实数a的值为()A.B.C.D.1【分析】求出f(x)的导数,由条件解方程,即可得到所求a的值.【解答】解:由题意可得f'(x)=cosx﹣asinx,由可得,解之得.故选:B.14.已知函数f(x)的导函数f'(x),且满足f(x)=2xf'(1)+lnx,则f′(1)=()A.﹣1 B.﹣e C.1 D.e【分析】已知函数f(x)的导函数为f′(x),利用求导公式对f(x)进行求导,再把x=1代入,即可求解;【解答】解:∵函数f(x)的导函数为f′(x),且满足f(x)=2xf′(1)+ln x,(x>0),∴f′(x)=2f′(1)+,把x=1代入f′(x)可得f′(1)=2f′(1)+1,解得f′(1)=﹣1,故选A15.下列函数在点x=0处没有切线的是()A.y=3x2+cosx B.y=xsinx C.D.【分析】根据导数的定义可得答案.【解答】解:∵在x=0处不可导.故选D.16.f'(x)是函数f(x)的导函数,且f(x)=﹣x2+2x f'(2017)+2017㏑x,则f'(1)=()A.2016 B.6045 C.2017 D.6048【分析】根据导数的运算法则求导,代值计算即可.【解答】解:∵f′(x)=﹣x+2f'(2017)+,∴f′(2017)=﹣2017+2f'(2017)+1,解得f′(2017)=2016,∴f′(1)=﹣1+2×2016+2017=6048,故选:D.17.已知函数f(x)=f´()cosx+sinx,则f()=()A.B.﹣1 C.1 D.0【分析】先求导,再代值计算即可.【解答】解:∵f(x)=f´()cosx+sinx,∴f′(x)=﹣f´()sinx+cosx,∴f′()=﹣f´()×+,∴f′()=﹣1,∴f(π)=(﹣1)×(﹣)+=﹣1,故选:B18.函数y=sin(lnx)的导数y′=()A.ln(cosx)B.cos(lnx)C.﹣cos(lnx)D.cos(lnx)【分析】根据题意,令t=lnx,则y=sint,根据复合函数的导数公式进行求导即可答案.【解答】解:根据题意,令t=lnx,则y=sint,则其导数y′=cos(t)•(lnx)′=cos(lnx)•(lnx)′=cos(lnx),故选:D.19.已知函数f(x)=ln(ax﹣1)的导函数是f'(x),且f'(2)=2,则实数a的值为()A.B.C.D.1【分析】利用导数的运算法则即可得出.【解答】解:由f(x)=ln(ax﹣1)可得,由f'(2)=2,可得,解之得.故选:B.20.设f0(x)=sinx,f1(x)=f0′(x),f2(x)=f1′(x),…,f n+1(x)=f n′(x),n∈N,则f2017(x)=()A.sinx B.﹣sinx C.cosx D.﹣cosx【分析】由题意对函数的变化规律进行探究,发现呈周期性的变化,且其周期是4,故只须研究清楚f2010(x)是一个周期中的第几个函数即可得出其解析式.【解答】解:由题意f0(x)=sinx,f1(x)=f0′(x)=cosx,f2(x)=f1′(x)=﹣sinx,f3(x)=f2′(x)=﹣cosx,f4(x)=f3′(x)=sinx,由此可知,在逐次求导的过程中,所得的函数呈周期性变化,从0开始计,周期是4,∵2017=4×504+1,f2010(x)是一周中的第三个函数,故f2017(x)=cosx.故选:C.21.已知f1(x)=cosx,f2(x)=f1′(x),f3(x)=f2′(x),f4(x)=f3′(x),…,f n(x)=f n﹣1′(x),则f2015(x)等于()A.sinx B.﹣sinx C.cosx D.﹣cosx【分析】对函数连续求导研究其变化规律,可以看到函数解析式呈周期性出现,以此规律判断求出f2015(x)【解答】解:由题意f1(x)=cosx,f2(x)=f1′(x)=﹣sinx,f3(x)=f2′(x)=﹣cosx,f4(x)=f3′(x)=sinx,f5(x)=f4′(x)=cosx,…由此可知,在逐次求导的过程中,所得的函数呈周期性变化,从0开始计,周期是4,∵2015=4×503+3,故f2015(x)=f3(x)=﹣cosx故选:D22.函数(x>0),若x0满足f'(x0)=0,设m∈(0,x0),n∈(x0,+∞),则()A.f'(m)<0,f'(n)<0 B.f'(m)>0,f'(n)>0 C.f'(m)<0,f'(n)>0 D.f'(m)>0,f'(n)<0【分析】根据题意,对f(x)求导可得f′(x),若f'(x0)=0,则有=1,将m、n的值代入计算可得答案.【解答】解:根据题意,函数(x>0),其导数f′(x)=e x﹣=,若f'(x0)=0,则有=1,当m∈(0,x0),即m<x0,f'(m)=<0,n∈(x0,+∞),即n>x0,f'(n)=>0,故选:C.23.若函数f(x)在其定义域的一个子集[a,b]上存在实数m(a<m<b),使f(x)在m处的导数f'(m)满足f(b)﹣f(a)=f'(m)(b﹣a),则称m是函数f(x)在[a,b]上的一个“中值点”,函数在[0,b]上恰有两个“中值点”,则实数b的取值范围是()A.,B.(3,+∞)C.,D.,【分析】根据新定义得到x1,x2为方程x2﹣2x﹣b2+b=0在(0,b)上有两个不同根,构造函数g(x)=x2﹣2x﹣b2+b,列出不等式组,解得即可【解答】解:f′(x)=x2﹣2x,设=b2﹣b,由已知可得x1,x2为方程x2﹣2x﹣b2+b=0在(0,b)上有两个不同根,令g(x)=x2﹣2x﹣b2+b,则>>>>,解得<b<3,故选:C24.设函数f(x)=x3﹣ax2+2bx+1的导函数为f′(x),若函数f′(x)的图象关于直线x=对称,且当x∈[1,π]时,恒有f(x)≥1,则实数b的取值范围为()A.(,+∞)B.[,1]C.(﹣∞,]D.[,+∞)【分析】根据f′(x)的图象判断f(x)在[1,π]上的单调性,列出不等式解出.【解答】解:f′(x)=3x2﹣2ax+2b,∵函数f′(x)的图象关于直线x=对称,∴=,即a=2.∴f(x)=x3﹣2x2+2bx+1,f′(x)=3x2﹣4x+2b,△=16﹣24b,(1)若△=16﹣24b≤0,即b时,f′(x)≥0,∴f(x)在[1,π]上是增函数,∴f min(x)=f(1)=2b≥1,解得b≥,∴b≥.排除B,C.(2)若△=16﹣24b>0,即b<时,令f′(x)=0,解得x=.①若1≥,即b<时,f′(x)在[1,π]上恒大于或等于0,∴f(x)在[1,π]上是增函数,∴f min(x)=f(1)=2b≥1,解得b≥,∴≤b<.排除A.故选:D.25.已知定义在(0,+∞)上的单调函数f(x),对∀x∈(0,+∞),都有f[f(x)﹣log2x]=3,则方程f(x)﹣f′(x)=2的解所在的区间是()A.(0,) B.(1,2) C.(,1) D.(2,3)【分析】设t=f(x)﹣log2x,则f(x)=log2x+t,又由f(t)=3,即log2t+t=3,解可得t的值,可得f (x)的解析式,由二分法分析可得h(x)的零点所在的区间为(1,2),结合函数的零点与方程的根的关系,即可得答案.【解答】解:根据题意,对任意的x∈(0,+∞),都有f[f(x)﹣log2x]=3,又由f(x)是定义在(0,+∞)上的单调函数,则f(x)﹣log2x为定值,设t=f(x)﹣log2x,则f(x)=log2x+t,又由f(t)=3,即log2t+t=3,解可得,t=2;则f(x)=log2x+2,f′(x)=,将f(x)=log2x+2,f′(x)=代入f(x)﹣f′(x)=2,可得log2x+2﹣=2,即log2x﹣=0,令h(x)=log2x﹣,分析易得h(1)=﹣<0,h(2)=1﹣>0,则h(x)=log2x﹣的零点在(1,2)之间,则方程log2x﹣=0,即f(x)﹣f′(x)=2的根在(1,2)上,故选:B.26.已知二次函数f(x)=ax2+bx+c的导数为f′(x),f′(0)>0,对于任意实数x,有,则的最小值为()A.2 B.C.3 D.【分析】由对于任意实数x,f(x)≥0成立求出a的范围及a,b c的关系,求出f(1)及f′(0),作比后放缩去掉c,通分后利用基本不等式求最值.【解答】解:∵f(x)≥0,知>,∴c.又f′(x)=2ax+b,∴f′(0)=b>0,f(1)=a+b+c.∴≥1+=≥1+=2.当且仅当4a2=b2时,“=”成立.故选A.27.已知函数f(x)及其导数f'(x),若存在x0使得f(x0)=f'(x0),则称x0是f(x)的一个“巧值点”.给出下列五个函数:①f(x)=x2,②f(x)=e﹣x,③f(x)=lnx,④f(x)=tanx,其中有“巧值点”的函数的个数是()A.1 B.2 C.3 D.4【分析】根据题意,依次分析四个函数,分别求函数的导数,根据条件f(x0)=f′(x0),确实是否有解即可.【解答】解:根据题意,依次分析所给的函数:①、若f(x)=x2;则f′(x)=2x,由x2=2x,得x=0或x=2,这个方程显然有解,故①符合要求;②、若f(x)=e﹣x;则f′(x)=﹣e﹣x,即e﹣x=﹣e﹣x,此方程无解,②不符合要求;③、f(x)=lnx,则f′(x)=,若lnx=,利用数形结合可知该方程存在实数解,③符合要求;④、f(x)=tanx,则f′(x)=()′=,即sinxcosx=1,变形可sin2x=2,无解,④不符合要求;故选:B.28.已知函数,其导函数记为f'(x),则f(2017511)+f'(2017511)+f(﹣2017511)﹣f'(﹣2017511)=()A.0 B.1 C.2 D.2017511【分析】先求导,再判断导函数f'(x)的奇偶性,f(x)=1+,设g(x)=,判断其奇偶性,即可求出答案.【解答】解:f(x)=1+,∴f′(x)=,∴f′(﹣x)==f′(x),∴f′(x)为偶函数,∴f'(2017511)﹣f'(﹣2017511)=0,设g(x)=,则g(﹣x)=﹣=﹣g(x),∴g(x)为奇函数,∴f(2017511)+f(﹣2017511)=1+g(2017511)+1+g(﹣2017511)=2,∴f(2017511)+f'(2017511)+f(﹣2017511)﹣f'(﹣2017511)=2,故选:C29.[x]表示不超过x的最大整数,若f′(x)是函数f(x)=ln|x|导函数,设g(x)=f(x)f′(x),则函数f=[g(x)]+[g(﹣x)]的值域是()A.{﹣1,0}B.{0,1}C.{0}D.{偶数}【分析】先对函数g(x)进行化简,根据[x]表示不超过x的最大整数,针对x进行分类讨论,发现规律,问题得以解决.【解答】解:由题意可知g(x)=f(x)•f′(x)=,>,<,不妨设x>0,则y=[g(x)]+[g(﹣x)]=[]+[]当∈(0,1),则∈(﹣1,0),[]=0,[]=﹣1,y=[g(x)]+[g(﹣x)]=﹣1当=0,则=0,[]=0,[]=0,y=[g(x)]+[g(﹣x)]=0依此类推可得y=[g(x)]+[g(﹣x)]的值域是{﹣1,0},故选A.30.定义:如果函数f(x)在[m,n]上存在x1,x2(m<x1<x2<n)满足f′(x1)=,f′(x2)=,则称函数f(x)是[m,n]上的“双中值函数”.已知函数f(x)=x3﹣x2+a是[0,a]上“双中值函数”,则实数a的取值范围是()A.(,)B.(,3) C.(,1) D.(,1)【分析】令f′(x)=3x2﹣2x==a2﹣a,a2﹣a=3x2﹣2x,x∈[0,a].令g(x)=3x2﹣2x﹣a2+a,根据函数f(x)=x3﹣x2+a是[0,a]上“双中值函数”,可得方程3x2﹣2x﹣a2+a=0在x∈(0,a)有两个不等实数根.必须满足:g(0)>0,<0,g(a)>0.解出即可得出.【解答】解:令f′(x)=3x2﹣2x==a2﹣a,∴a2﹣a=3x2﹣2x,x∈[0,a].令g(x)=3x2﹣2x﹣a2+a,∵函数f(x)=x3﹣x2+a是[0,a]上“双中值函数”,∴方程3x2﹣2x﹣a2+a=0在x∈(0,a)有两个不等实数根.∴g(0)>0,<0,g(a)>0.解得<<1.∴实数a的取值范围是,.故选:C.31.已知函数f(x)=asinx+bx3+1(a,b∈R),f′(x)为f(x)的导函数,则f(2016)+f(﹣2016)+f′(2017)﹣f′(﹣2017)=()A.2017 B.2016 C.2 D.0【分析】根据函数的解析式求出函数的导数,结合函数的奇偶性建立方程关系进行求解即可.【解答】解:函数的导数f′(x)=acosx+3bx2,则f′(x)为偶函数,则f′(2017)﹣f′(﹣2017)=f′(2017)﹣f′(2017)=0,由f(x)=asinx+bx3+1得f(2016)=asin2016+b•20163+1,f(2016)=asin2016+b•20163+1,f(﹣2016)=﹣asin2016﹣b•20163+1,则f(2016)+f(﹣2016)=2,则f(2016)+f(﹣2016)+f′(2017)﹣f′(﹣2017)=2+0=2,故选:C32.已知f(x)=1+(1+x)+(1+x)2+(1+x)3+…+(1+x)n,则f'(0)=()A.n B.n﹣1 C.D.n(n+1)【分析】根据题意,对函数f(x)求导,计算可得f′(x),将x=0代入计算可得答案.【解答】解:根据题意,f(x)=1+(1+x)+(1+x)2+(1+x)3+…+(1+x)n,则其导数f′(x)=1+2(1+x)+3(1+x)2+4(1+x)3+…+n(1+x)n﹣1,则f'(0)=1+2+3+4+…+n=;故选:D.33.设函数f(x)=x3+x2+,其中θ∈(﹣,),则导数f′(1)的取值范围是()A.(﹣,1]B.(﹣,1)C.(﹣,)D.(﹣,]【分析】求导,当x=1时,f′(1)=+=sin(θ+),由θ∈(﹣,),即可求得θ+∈(﹣,),根据正弦函数的性质,即可求得导数f′(1)的取值范围.【解答】解:f(x)=x3+x2+,f′(x)=x2+x,f′(1)=+=sin(θ+),由θ∈(﹣,),则θ+∈(﹣,),则sin(θ+)∈(﹣,1],∴导数f′(1)的取值范围(﹣,1],故选A.34.已知函数f0(x)=sinx+cosx,f1(x)=f′0(x),f2(x)=f′1(x),…f n+1(x)=f′n(x),n∈N,那么f2017=()A.cosx﹣sinx B.sinx﹣cosx C.sinx+cosx D.﹣sinx﹣cosx【分析】根据题意,利用导数的运算法则依次计算f1(x)、f2(x)、f2(x)…的值,分析可得f n(x)+4=f n(x),即可得f2017(x)=f504×4+1(x)=f1(x),即可得答案.【解答】解:根据题意,∵f0(x)=sinx+cosx,∴f1(x)=f0′(x)=cosx﹣sinx,f2(x)=f1′(x)=﹣sinx﹣cosx,f3(x)=﹣cosx+sinx,f4(x)=sinx+cosx,以此类推,可得出f n(x)=f n(x)+4(x)=f1(x)=cosx﹣sinx;∴f2017(x)=f504×4+1故选:A35.定义方程f(x)=f′(x)的实数根x0叫做函数f(x)的“新驻点”,若函数g(x)=x3﹣1,h(x)=2x,φ(x)=ln(x+1)的“新驻点”分别为α,β,γ,则α,β,γ的大小关系为()A.α>β>γ B.β>α>γ C.γ>α>β D.β>γ>α【分析】由题设中所给的定义,对三个函数所对应的方程进行研究,分别计算求出α,β,γ的值或存在的大致范围,再比较出它们的大小即可选出正确选项【解答】解:①∵g(x)=x3﹣1,∴g′(x)=3x2,由g(x)=g′(x),得x3﹣1=2x2,∵2x2>0,(x=0时不成立),∴x3﹣1>0,∴x>1,∴α>1.②∵h(x)=2x,∴h′(x)=2,由h(x)=h′(x),解得x=1,∴β=1.③∵φ(x)=ln(x+1),∴φ′(x)=,由φ(x)=φ′(x),得到ln(x+1)=,令m(x)=ln(x+1)﹣,则m′(x)=+,因此函数m(x)在(﹣1,+∞)单调递增.∵m(0)=﹣1<0,m(1)=ln2﹣>0,∴0<γ<1.综上可知:α>β>γ.故选:A.36.设f1(x)=sinx,定义f n+1(x)为f n(x)的导数,即f(x)=f n′(x),n∈N*,若△ABC的内角A满足f1(A)+f2(A)+…+f2018(A)=0,则cosA的值为()A.1 B.﹣1 C.D.﹣【分析】根据导数公式直接进行求导,得到函数f n(x)具备周期性,然后根据周期性将条件进行化简,即可得到结论.(x)=f′n(x),【解答】解:∵f1(x)=sinx,f n+1∴f2(x)=f′1(x)=cosx,f3(x)=f′2(x)=﹣sinx,f4(x)=f'3(x)=﹣cosx,f5(x)=f′4(x)=sinx,f6(x)=f′5(x)=cosx,(x)=f′n(x),具备周期性,周期性为4.∴f n+1且f1(x)+f2(x)+f3(x)+f4(x)=cosx﹣sinx+sinx﹣cosx=0,∵f1(A)+f2(A)+…+f2018(A)=0,∴f1(A)+f2(A)=sinA+cosA=0,∴A=135°,故cosA=﹣,故选:D.37.已知函数f(x)及其导数f′(x),若存在x0,使得f(x0)=f′(x0),则x0称为f(x)的一个“巧值点”,则下列函数中有“巧值点”的是()①f(x)=x2;②f(x)=e﹣x;③f(x)=lnx;④f(x)=tanx;⑤f(x)=.A.①③⑤B.①③④C.②③④D.②⑤【分析】求出函数的导数,使f(x)=f′(x),如果有解,则存在存在“巧值点”.【解答】解:①中的函数f(x)=x2,f′(x)=2x.要使f(x)=f′(x),则x2=2x,解得x=0或2,可见函数有巧值点;对于②中的函数,要使f(x)=f′(x),则e﹣x=﹣e﹣x,由对任意的x,有e﹣x>0,可知方程无解,原函数没有巧值点;对于③中的函数,要使f(x)=f′(x),则lnx=,由函数f(x)=lnx与y=的图象知,它们有交点,因此方程有解,原函数有巧值点;对于④中的函数,f (x)=tanx,f′(x)=,要使f(x)=f′(x),则tanx=,即sinxcosx=1,即sin2x=2,无解,∴原函数没有巧值点,故④错误;对于⑤中的函数,要使f(x)=f′(x),则=﹣,解得x=﹣1,原函数有巧值点;故有“巧值点”的函数为①③⑤.故选:A.38.设函数f n′(x)是f n(x)的导函数,f0(x)=e x(cosx+sinx),f1(x)=,f2(x)=,…,(n∈N),则f2016(x)=()A.e x(cosx+sinx)B.e x(cosx﹣sinx)C.﹣e x(cosx+sinx)D.e x(sinx﹣cosx)【分析】我们易得到f n(x)表达式以8为周期,呈周期性变化,由于2016÷8余0,故f2008(x)=f0(x),进而得到答案【解答】解:∵f0(x)=e x(cosx+sinx),∴f0′(x)=e x(cosx+sinx)+e x(﹣sinx+cosx)=2e x cosx,∴f1(x)==e x cosx,∴f1′(x)=e x(cosx﹣sinx),∴f2(x)==e x(cosx﹣sinx),∴f2′(x)=e x(cosx﹣sinx)+e x(﹣sinx﹣cosx)=﹣2e x sinx,∴f3(x)=﹣e x sinx,∴f3′(x)=﹣e x(sinx+cosx),∴f4(x)=﹣e x(cosx+sinx),∴f4′(x)=﹣2e x cosx,∴f5(x)=﹣e x cosx,∴f6(x)=﹣e x(cosx﹣sinx),∴f7(x)=e x sinx,∴f8(x)=e x(cosx+sinx),…,∴f2016(x)=f(0)=e x(cosx+sinx),故选:A.39.已知函数f(x)=e x﹣2ax,函数g(x)=﹣x3﹣ax2.若不存在x1,x2∈R,使得f′(x1)=g′(x2),则实数a的取值范围为()A.(﹣2,3)B.(﹣6,0)C.[﹣2,3]D.[﹣6,0]【分析】先求导,分别求出导函数的最值,再根据不存在x1,x2∈R,使得f′(x1)=g′(x2),得到关于a的不等式解得即可.【解答】解:∵函数f(x)=e x﹣2ax,函数g(x)=﹣x3﹣ax2,∴f′(x)=e x﹣2a>﹣2a,g′(x)=﹣3x2﹣2ax=﹣3(x+)2+≤,∵不存在x1,x2∈R,使得f′(x1)=g′(x2),∴﹣2a≥,解得﹣6≤a≤0,故选:D.40.已知函数f(x)=lnx+tanα(α∈(0,))的导函数为f′(x),若使得f′(x0)=f(x0)成立的x0<1,则实数α的取值范围为()A.(,)B.(0,)C.(,)D.(0,)【分析】由于f′(x)=,f′(x0)=,f′(x0)=f(x0),可得=ln x0+tan α,即tan α=﹣ln x0,由0<x0<1,可得﹣ln x0>1,即tan α>1,即可得出.【解答】解:∵f′(x)=,f′(x0)=,f′(x0)=f(x0),∴=ln x0+tan α,∴tan α=﹣ln x0,又∵0<x0<1,∴可得﹣ln x0>1,即tan α>1,∴α∈(,).故选:A.二.填空题(共6小题)41.已知在R上可导,F(x)=f(x3﹣1)+f(1﹣x3),则F′(1)=0.【分析】根据题意,由F(x)的解析式对其求导可得F'(x),将x=0代入,化简变形即可得答案.【解答】解:根据题意,F(x)=f(x3﹣1)+f(1﹣x3),则F'(x)=3x2f'(x3﹣1)﹣3x2f'(1﹣x3),则F'(1)=3f'(0)﹣3f'(0)=0.故答案为:0.42.已知f(x)=f(4﹣x),当x≤2时,f(x)=e x,f′(3)+f(3)=0.【分析】由f(x)=f(4﹣x)可得,函数f(x)的图象关于直线x=2对称,则f(3)=f(1),f′(3)=﹣f′(1),进而得到答案.【解答】解:由f(x)=f(4﹣x)可得,函数f(x)的图象关于直线x=2对称,当x≤2时,f(x)=e x,f′(x)=e x,∴f(3)=f(1)=e,f′(3)=﹣f′(1)=﹣e,故f′(3)+f(3)=0,故答案为:0.43.设定义域为(0,+∞)的单调函数f(x),对任意的x∈(0,+∞),都有f[f(x)﹣log2x]=6,若x0是方程f(x)﹣f′(x)=4的一个解,且x0∈(a,a+1)(a∈N*),则实数a=1.【分析】由题意可得f(x)﹣log2x为定值,设为t,代入可得t=4,进而可得函数的解析式,化方程有解为函数F(x)=f(x)﹣f′(x)﹣4=log2x﹣有零点,易得F(1)<0,F(2)>0,由零点的判定可得答案.【解答】解:根据题意,对任意的x∈(0,+∞),都有f[f(x)﹣log2x]=6,又由f(x)是定义在(0,+∞)上的单调函数,则f(x)﹣log2x为定值,设t=f(x)﹣log2x,则f(x)=t+log2x,又由f(t)=6,可得t+log2t=6,可解得t=4,故f(x)=4+log2x,f′(x)=,又x0是方程f(x)﹣f′(x)=4的一个解,所以x0是函数F(x)=f(x)﹣f′(x)﹣4=log2x﹣的零点,分析易得F(1)=﹣<0,F(2)=1﹣=1﹣>0,故函数F(x)的零点介于(1,2)之间,故a=1,故答案为:144.已知函数y=f(x)的导函数为f'(x)=cosx﹣5,且f(0)=0,如果f(1﹣ax)+f(1﹣ax2)<0恒成立,则实数a的取值范围是(﹣8,0] .【分析】由题意函数的导函数f'(x)=cosx﹣5<0恒成立,故函数是减函数,再由函数是奇函数将不等式f(1﹣ax)+f(1﹣ax2)<0转化为f(1﹣ax)<f(ax2﹣1),由单调性及定义转化为不等式,再分类讨论即可求出a的取值范围【解答】解:∵﹣1≤cosx≤1,∴f'(x)=cosx﹣5<0,∴函数f(x)在R上单调递减,∵f′(x)=cosx﹣5为偶函数及f(0)=0可得f(x)为奇函数由f(1﹣ax)+f(1﹣ax2)<0可得,f(1﹣ax)<﹣f(1﹣ax2)=f(ax2﹣1)即1﹣ax>ax2﹣1∴a(x2+x)<2,当x<﹣1或x>0时,x2+x>0,则a<=∵>0,∴a≤0,当﹣1<x<0时,x2+x<0,则a>=当x=﹣时,(x+)2﹣有最小值,则有最大值﹣8,∴a>﹣8,当x2+x=0时,恒成立,综上所述a的取值范围为(﹣8,0],故答案为(﹣8,0].45.已知函数f(x)满足f(0)=﹣1,其导函数f′(x)满足f′(x)>k>1,则下列结论中正确的是(1),(2),(4).(1)f()>﹣1;(2)f()>;(3)f()<;(4)f()<f()【分析】根据导数的概念得出>k>1,(1),(2)分别取x=,x=判断即可,(4)根据函数的单调性判断即可.【解答】解:∵f′(x)=,且f′(x)>k>1,∴>k>1,即>k>1,对于(1),令x=,即有f()+1>•k=1,即为f()>0,故(1)正确;对于(2),当x=时,f()+1>•k=,即f()>﹣1=,故f()>,故(2)正确;对于(3),由(2)可得f()>>﹣1=,故(3)不正确,对于(4),函数递增,故(4)正确.故正确个数为3,故选;(1)(2)(4)46.若函数f(x)的导数f′(x)存在导数,记f′(x)的导数为f n(x).如果f(x)对任意x∈(a,b),都有f n(x)<0成立,则f(x)有如下性质:f()≥.其中n∈N*,x1,x2,…,x n∈(a,b).若f(x)=sinx,则f n(x)=﹣sinx;根据上述性质推断:当x1+x2+x3=π且x1,x2,x3∈(0,π)时,根据上述性质推断:sinx1+sinx2+sinx3的最大值为.【分析】构造函数f(x)=sinx,x∈(0,π),求导,则f″(x)=﹣sinx,由正弦函数的图象可知f″(x)<0成立,根据函数的性质sinx1+sinx2+sinx3≤3sin(),即可求得sinx1+sinx2+sinx3的最大值.【解答】解:设f(x)=sinx,x∈(0,π),则f′(x)=cosx,则f″(x)=﹣sinx,x∈(0,π),f(x)有如下性质:f()≥.则sinx1+sinx2+sinx3≤3sin()=3×sin=,∴sinA+sinB+sinC的最大值为,故答案为:﹣sinx,。
5.2 导数的运算【题组一 初等函数求导】1.(2018·全国高二课时练习)求函数()2y f x x x==+在下列各点处的导数. (1)0x x =; (2)1x =; (3)2x =-.【答案】(1) 2021x -+ (2)-1 (3) 12【解析】∵()2f x x x =+,∴()221f x x=-'+. (1)当0x x =时,()02021f x x =-'+. (2)当1x =时,()221111f '=-+=-. (3)当2x =-时,()()2212122f -=-+=-'.2.求下列函数的导数:(1)y =;(2)cos 2y x π⎛⎫=-⎪⎝⎭;(3)xy =.【答案】(1)1232x ;(2)cos x ;(3)1ln 32x【解析】(1)y′=(32x )′=1232x(2)∵y =cos =sin x ,∴y′=(sin x)′=cos x.(3)y′=[()x]′=()xln=()13ln32x.3.(2020·海林市朝鲜族中学高二课时练习)求下列函数的导数:(1)cos y x=; (2)2311y x x x x ⎛⎫=++ ⎪⎝⎭. 【答案】(1)(2)2332x x-【解析】(1)y′=′=′cos x + (cos x)′=′cos x -sin x =-x -cos x -sin x =--sin x =-.(2)∵y =x =x 3+1+,∴y′=3x 2-.4.(2020·海林市朝鲜族中学高二课时练习)求下列函数的导数. (1)()3411632f x x x =-+; (2)f(x)=(5x -4)cos x; (3)()ln xf x x=. 【答案】(1)232x x -;(2)5cos 5sin 4sin x x x x -+;(3)21ln xx- 【解析】(1)∵()3411632f x x x =-+,∴()23'2f x x x =-. (2)∵f(x)=(5x -4)cos x ,∴()()'5x 4cos?x '5cos 5sin 4sin f x x x x x ⎡⎤=-=-+⎣⎦.(3)∵()ln xf x x =,∴()()221ln x lnx lnx x f x x x '--==,. 【题组二 复合函数求导】1.(2020·宁县第二中学高二期中(理))求下列函数的导数:(1)cos3xy = (2)n xy x e =【答案】(1)'1sin33x y =-;(2)()'1x n y e x x n -=+ 【解析】(1)cos 3x y =,∴''1sin sin 3333x x xy ⎛⎫=-⋅=- ⎪⎝⎭. (2)n x y x e =,∴()'11n x n x x n y nx e x e e x x n --=+=+2.(2020·江苏徐州·高二月考)求下列函数的导数. (1)()ln xf x x=(2)()()239f x x x x ⎛⎫=+-⎪⎝⎭(3)()()2ln 51xf x x =+-【答案】(1)()'21ln x fx x -=;(2)()'222736f x x x =++;(3)()'52ln 251xf x x =+- 【解析】(1)()'''22(ln )ln ()1ln x x x x xf x x x⋅-⋅-==;(2)()()''239f x x x x ⎛⎫=+-+ ⎪⎝⎭()'239x x x ⎛⎫+- ⎪⎝⎭ 2222233272()(9)(1)2639x x x x x x x x =-+++=-++++=222736x x ++; (3)()()''12ln 25151x fx x x =+⨯-=-52ln 251x x +-. 3.(2020·江苏省如东高级中学高二期中)求下列函数的导函数. (1)()521y x =+(2)1log 32ay x =+ 【答案】(1)410(21)y x '=+;(2)3(32)ln y x a'=-+【解析】(1)445(21)210(21)y x x '=+⨯=+;(2)log (32)a y x =-+,133(32)ln (32)ln y x a x a'=-⨯=-++.4.(2020·陕西泾阳·高二期中(理))求下列函数的导数: (Ⅰ)2sin y x x =;(Ⅱ))22y =.【答案】(Ⅰ)22sin cos y x x x x '=+(Ⅱ)1y'= 【解析】(Ⅰ)()()222sin sin 2sin cos y x x x x x x x x '''=+=+.(Ⅱ)))222221y ''===-. 5.(2020·长春兴华高中高二期末(文))求下列函数的导数:(1)sin xy e x = ;(2)y =2311x x x x ⎛⎫++ ⎪⎝⎭; (3)sincos 22x y x x =-; 【答案】(1)y ′=e x sinx +e x cosx .(2)y ′=3x 2-32x.(3)y ′=1-12cosx . 【解析】(1)y ′=(e x )′sinx +e x (sinx )′=e x sinx +e x cosx ..(2)因为y =x 3+21x +1,所以y ′=3x 2-32x. (3)因为y =x -12sinx ,所以y ′=1-12cosx . 6.(2020·江西南昌·高二期末(理))求出下列函数的导数. (1)tan xy e x = (2)()3ln 45y x +=(3)2311y x x x x ⎛⎫=++ ⎪⎝⎭(4)y =sin nx x(5)()5221x y e x ++﹣=【答案】(1)'2tan cos x xe y e x x=+;(2)'1245y x =+;(3)'2332x y x =-; (4)'1cos sin n x x n x y x+-=;(5)()4'29221()x y x x e +=+﹣﹣ 【解析】(1)由tan xy e x =,则()''2'tan tan t cos ()an x x xxe y e x e x e x x+==+, 即'2tan cos xxe y e x x=+(2)由3ln 45y x +=(),则'1245y x =+(3)由2323111y x x x x x x ⎛⎫=++=++ ⎪⎝⎭﹣,则'2332xy x =-, (4)由sin n x y x =,则'1cos sin n x x n x y x+-=, (5)由()5221x y e x +=+﹣,则()4'29221()x y x x e +=+﹣﹣. 【题组三 求导数值】1.(2020·四川高二期中(理))已知()sin 2f x x =,则()()limx f x x f x x∆→+∆-=∆( )A .cos2xB .cos2x -C .2cos2xD .2cos2x -【答案】C【解析】由()()()()0limcos 222cos 2x f x x f x f x x x x∆→+∆-'==⋅=∆.故选:C.2.(2020·江西高二期末(理))若函数()f x 的导数()f x '满足()()121ln f x f x x '=+,则12f ⎛⎫'= ⎪⎝⎭( )A .eB .2C .1D .0【答案】D【解析】∵()()121ln f x f x x'=+,∴()()21121f x f x x ''=⨯-,令1x =,可得(1)2(1)1f f ''=-,解得(1)1f '=,因此()221f x x x '=-,14402f ⎛⎫'∴=-= ⎪⎝⎭,故选:D 3.(2020·四川省南充市白塔中学高二开学考试(文))已知函数()f x 的导函数为()f x ',且满足关系式()()232x f x x xf e '=++,则()2f '的值等于( )A .2-B .222e -C .22e -D .222e --【答案】D【解析】依题意()()''232xf x x f e =++,令2x =得()()''22432f f e =++,()2'222e f =--,故选D.4.(2020·四川棠湖中学高二月考(文))若函数f (x )满足f (x )=13x 3-f ′(1)·x 2-x ,则f ′(1)的值为( ) A .1 B .2 C .0D .-1【答案】C 【解析】依题意()()'3'211fx x f x =--,令1x =得()()''11211f f =--,解得()'10f =,故选C.5.(2020·河南商丘·高二期末(理))已知函数()()2ln 31f x x x f x '=-+,则()1f =( )A .2B .1C .0D .1-【答案】D【解析】因为()()2ln 31f x x x f x '=-+,则()()1321f x f x x''=-+, 所以()()'1132'1f f =-+,则()12f '=,所以()2ln 32f x x x x =-+,所以()1ln1321f =-+=-.故选:D.6.(2020·江西高二期末(文))已知函数()f x 的导函数为()f x ',且满足()()2322f x x xf '=+,则()2f '=______. 【答案】12-【解析】因为()()2322f x x xf '=+,所以()()622f x x f ''=+,将2x =代入得()()21222f f ''=+,解得()212f '=-,故答案为:12-.7.(2020·四川内江·高二期末(文))已知2()x f x e x =+,则(1)(1)f f '+=________.【答案】23e +【解析】因为2()xf x e x =+,所以()2xf x e x '=+所以(1)1,(1)2f e f e '=+=+所以(1)(1)23f f e '+=+.故答案为:23e +. 【题组四 求切线方程】1.(2020·湖南高二期末)曲线sin x xy e=在点()0,0处的切线方程为______.【答案】0x y -=【解析】因为()cos sin x xxe x xef x e-'=,所以切线斜率()01k f '==,所以曲线()sin xf x e x =在点()0,0处的切线方程为:0x y -=.故答案为:0x y -=2.(2020·江西高二期末(理))已知函数()xxf x e ae -=+为偶函数,则()f x 在其图象上的点()()ln3,ln3f 处的切线的斜率为______.【答案】83【解析】函数()xxf x e ae -=+为偶函数,()()f x f x ∴-=,即x x x x e ae e ae --+=+,解得1a =,则'()x x f x e e -=-,∴()f x 在点()()ln3,ln3f 处的切线的斜率ln3ln318'(ln 3)333kf e e.故答案为:83.3.(2020·陕西西安·高新一中高三期末(文))曲线(sin )e xy x x =+在点(0,0)处的切线方程为________.【答案】2y x =【解析】0(sin cos 1)e ,|2xx y x x x y =''=+++=,所以切线方程为2y x =.故答案为:2y x =.4.(2020·重庆八中高三月考)已知函数()f x 为奇函数,当0x >时,3()ln =- f x x x ,则曲线()y f x =在点(1,(1))-- f 处的切线方程为________.【答案】210x y -+=【解析】∵函数()f x 是奇函数,()()f x f x ∴-=-, 当0x >时,3()ln =- f x x x ,不妨设0x <,则0x ->, 故()3()ln () f x xx f x -=---=-,故0x <时,()3()ln f x x x +=-,故'2()31 f x x x=+,故(1)1ln11 f -+=-=-,'(1)312 f -=-=,故切线方程是:2(1)1y x =+-,整理得:210x y -+=,故答案为:210x y -+=.5.(2020·重庆高三期中(文))曲线()2ln 2f x x x =-在点()()1,1f 处的切线与坐标轴围成的三角形的面积为____________.【答案】16【解析】()2ln 2f x x x =-,()()'14,0f x x x x∴=->, ()'13f ∴=-,12f ,∴切线方程为:()231y x +=--即31y x =-+,当0x =,时1y =,当0y =,时13x =, ∴三角形面积为:1111236⨯⨯=.故答案为:16. 6.(2020·五华·云南师大附中高三月考(理))曲线()21ln y x x =+在()1,0处的切线方程为______.【答案】220x y --=【解析】2n '12l x x x xy +=+,当1x =时,切线斜率'2k y ==,故切线方程为()21y x =-,即220x y --=.故答案为:220x y --=7.(2020·江西高三月考(理))1()e x f x -=+的图像在1x =处的切线方程为________.【答案】210x y -+=【解析】112()e 2x f x x -=+,则()112x f x e x --'=+,且()12f '=()13,f =∴切线方程为()321y x -=-,即210x y -+=故答案为:210x y -+=8.(2020·五华·云南师大附中高三月考(文))过原点与曲线ln y x =相切的切线方程为______. 【答案】x y e= 【解析】设切点坐标为()00,x y ,切线方程为y kx =,由ln y x =,则1y x'=,则001|x x y x ='=, 则0001y x x =,即000ln 1x x x =,即0ln 1x =,解得0x e =,所以01|x x k y e='==, 所以原点与曲线ln y x =相切的切线方程为x y e=. 故答案为:x y e= 9.(2020·黑龙江萨尔图·大庆实验中学高二期末(文))已知()2f x x =,则曲线()y f x =过点()1,0P -的切线方程是______.【答案】0y =或440x y ++=【解析】设切点为(,)m n ,2()f x x =的导数为()2f x x '=,可得切线的斜率为2k m =, 又20211n m m m m -==++,解得0m =或2m =-, 当0m =时,0k =;2m =-时,4k =-;曲线()y f x =过点(1,0)P -的切线方程为(1)y k x =+,则切线的方程为0y =或44y x =--.故答案为:0y =或44y x =--.10.(2020·黑龙江道里·哈尔滨三中(文))过函数()33f x x x =-上的点()2,2M --的切线方程是_________.【答案】2y =-或9160x y -+=【解析】因为()233f x x ='- 设切点为00,x y ,则()20033k f x x '==-, 所以切线方程为:()()()320000333y x x x x x --=--, 因为()2,2M --在切线方程上,所以()()()32000023332x x x x ---=---,解得:01x =或02x =-. 当01x =时,20330k x =-=,此时切线方程为2y =-;当02x =-时,20339k x =-=,此时切线方程为9160x y -+=.所以,切线方程为:2y =-或9160x y -+=.故答案为:2y =-或9160x y -+=.11.(2020·辽宁省本溪满族自治县高级中学高三其他(文))过点(0,1)-作曲线ln f x =(0x >)的切线,则切点坐标为________.【答案】【解析】由ln f x =(0x >),则2()ln ,0f x x x =>,化简得()2ln ,0f x x x =>, 则2()f x x'=,设切点为00(,2ln )x x ,显然(0,1)-不在曲线上, 则0002ln 12x x x +=,得0x =,则切点坐标为.故答案为:.12.(2020·石嘴山市第三中学高二期末(理))过点(1,1)--与曲线x y e x =+相切的直线方程为______________.【答案】21y x =+.【解析】设切点坐标为()000,e x x x +, 由x y e x =+得e 1x y '=+,∴切线方程为()()0000e 1e x x y x x x =+-++, 切线过点()1,1--,∴()()00001e 11e x x x x -=+--++,即00e 0x x =, ∴00x =,即所求切线方程为21y x =+.故答案为:21y x =+.13.(2020·吉林净月高新技术产业开发区·东北师大附中高二月考(理))过点()1,1作曲线3y x =的切线,则切线方程是______.【答案】3410x y -+=和320x y --=【解析】设切点坐标为()3,t t ,对函数3y x =求导得23y x '=,则所求切线的斜率为23t , 所以,曲线3y x =在点()3,t t 处的切线方程为()323y t t x t -=-,由于该直线过点()1,1,即()32131t t t -=-,整理得()()22110t t +-=,解得12t =-或1t =. 当12t =-时,所求切线的方程为131842y x ⎛⎫+=+ ⎪⎝⎭,即3410x y -+=; 当1t =时,所求切线的方程为()131y x -=-,即320x y --=.故答案为:3410x y -+=和320x y --=.【题组五 利用切线求参数】1.(2020·辽宁高二期末)已知函数()21f x ax x =-+,若()()011lim 3x f x f x∆→+∆-=∆,则实数a 的值为( ) A .2B .1C .1-D .2- 【答案】A 【解析】根据题意,函数()21f x ax x =-+,其导数()21f x ax ='-,则()121f a '=-,又由()()011lim 3x f x f x∆→+∆-=∆,即()1213f a '=-=,解可得2a =; 故选:A.2.(2020·湖北省天门中学高二月考)曲线3()2f x x x =+-在0P 处的切线平行于直线41y x =-,则0P 点的坐标为( )A .(1, 0)B .(2, 8)C .(1, 0)和(-1, -4)D .(2, 8)和(-1, -4)【答案】C 【解析】依题意,令2()314f x x '=+=,解得1x =±(1)0,(1)4f f =-=-故0P 点的坐标为(1, 0)和(-1, -4),故选:C3.(2020·甘肃城关·兰州一中高二期中(文)) 设函数f (x )=24x -a ln x ,若f ′(2)=3,则实数a 的值为( ) A .4B .-4C .2D .-2 【答案】B【解析】f ′(x )=-,故f ′(2)=-=3,因此a =-4.4.(2020·唐山市第十一中学高二期末)设()ln f x x x =,若()3f a '=,则a =( ) A .eB .ln 2C .2eD .ln 22【答案】C 【解析】对()f x 求导得()ln +1f x x '=将a 带入有()2ln +13f a a a e '==⇒=. 5.(2020·陕西新城·西安中学高二期末(理))如图,()y f x =是可导函数,直线:2l y kx =+是曲线()y f x =在3x =处的切线,令()()g x xf x =,'()g x 是()g x 的导函数,则'(3)g =( ).A .-1B .0C .2D .4【答案】B 【解析】将点()3,1代入直线2y kx =+的方程得321k +=,得13k =-,所以,()133f k '==-, 由于点()3,1在函数()y f x =的图象上,则()31f =,对函数()()g x xf x =求导得()()()g x f x xf x ''=+, ()()()133331303g f f ⎛⎫''∴=+=+⨯-= ⎪⎝⎭,故选B .。
第1讲导数的概念及运算一、选择题1.设y=x2e x,则y′=() A.x2e x+2x B.2x e xC.(2x+x2)e x D.(x+x2)e x解析y′=2x e x+x2e x=(2x+x2)e x.答案 C2.已知函数f(x)的导函数为f′(x),且满足f(x)=2x·f′(1)+ln x,则f′(1)等于() A.-e B.-1C.1 D.e解析由f(x)=2xf′(1)+ln x,得f′(x)=2f′(1)+1 x,∴f′(1)=2f′(1)+1,则f′(1)=-1.答案 B3.曲线y=sin x+e x在点(0,1)处的切线方程是() A.x-3y+3=0 B.x-2y+2=0C.2x-y+1=0 D.3x-y+1=0解析y′=cos x+e x,故切线斜率为k=2,切线方程为y=2x+1,即2x-y +1=0.答案 C4.(2017·成都诊断)已知曲线y=ln x的切线过原点,则此切线的斜率为()A.e B.-e C.1e D.-1e解析y=ln x的定义域为(0,+∞),且y′=1x,设切点为(x0,ln x0),则y′|x=x0=1x0,切线方程为y-ln x0=1x0(x-x0),因为切线过点(0,0),所以-ln x0=-1,解得x0=e,故此切线的斜率为1 e.答案 C5.(2017·昆明诊断)设曲线y=1+cos xsin x在点⎝⎛⎭⎪⎫π2,1处的切线与直线x-ay+1=0平行,则实数a等于()A.-1 B.1 2C.-2 D.2解析∵y′=-1-cos xsin2x,∴=-1.由条件知1a=-1,∴a=-1.答案 A二、填空题6.若曲线y=ax2-ln x在点(1,a)处的切线平行于x轴,则a=________.解析因为y′=2ax-1x,所以y′|x=1=2a-1.因为曲线在点(1,a)处的切线平行于x轴,故其斜率为0,故2a-1=0,解得a=1 2.答案1 27.(2017·长沙一中月考)如图,y=f(x)是可导函数,直线l:y=kx+2是曲线y=f(x)在x=3处的切线,令g(x)=xf(x),其中g′(x)是g(x)的导函数,则g′(3)=________.解析 由图形可知:f (3)=1,f ′(3)=-13,∵g ′(x )=f (x )+xf ′(x ), ∴g ′(3)=f (3)+3f ′(3)=1-1=0. 答案 08.(2015·全国Ⅱ卷)已知曲线y =x +ln x 在点(1,1)处的切线与曲线y =ax 2+(a +2)x +1相切,则a =________.解析 由y =x +ln x ,得y ′=1+1x ,得曲线在点(1,1)处的切线的斜率为k =y ′|x =1=2,所以切线方程为y -1=2(x -1),即y =2x -1. 又该切线与y =ax 2+(a +2)x +1相切, 消去y ,得ax 2+ax +2=0, ∴a ≠0且Δ=a 2-8a =0,解得a =8. 答案 8 三、解答题9.已知点M 是曲线y =13x 3-2x 2+3x +1上任意一点,曲线在M 处的切线为l ,求:(1)斜率最小的切线方程; (2)切线l 的倾斜角α的取值范围. 解 (1)y ′=x 2-4x +3=(x -2)2-1≥-1, 所以当x =2时,y ′=-1,y =53, 所以斜率最小的切线过点⎝ ⎛⎭⎪⎫2,53,斜率k =-1,所以切线方程为x +y -113=0. (2)由(1)得k ≥-1,所以tan α≥-1,所以α∈⎣⎢⎡⎭⎪⎫0,π2∪⎣⎢⎡⎭⎪⎫3π4,π.10.已知曲线y =x 3+x -2在点P 0处的切线l 1平行于直线4x -y -1=0,且点P 0在第三象限. (1)求P 0的坐标;(2)若直线l ⊥l 1,且l 也过切点P 0,求直线l 的方程. 解 (1)由y =x 3+x -2,得y ′=3x 2+1, 由已知令3x 2+1=4,解之得x =±1. 当x =1时,y =0;当x =-1时,y =-4.又∵点P 0在第三象限,∴切点P 0的坐标为(-1,-4).(2)∵直线l ⊥l 1,l 1的斜率为4,∴直线l 的斜率为-14.∵l 过切点P 0,点P 0的坐标为(-1,-4),∴直线l 的方程为y +4=-14(x +1),即x +4y +17=0. 11.(2016·山东卷)若函数y =f (x )的图像上存在两点,使得函数的图像在这两点处的切线互相垂直,则称y =f (x )具有T 性质,下列函数中具有T 性质的是( )A .y =sin xB .y =ln xC .y =e xD .y =x 3解析 若y =f (x )的图像上存在两点(x 1,f (x 1)),(x 2,f (x 2)), 使得函数图像在这两点处的切线互相垂直,则f ′(x 1)·f ′(x 2)=-1.对于A :y ′=cos x ,若有cos x 1·cos x 2=-1,则当x 1=2k π,x 2=2k π+π(k ∈Z )时,结论成立;对于B :y ′=1x ,若有1x 1·1x 2=-1,即x 1x 2=-1,∵x 1>0,x 2>0,∴不存在x 1,x 2,使得x 1x 2=-1;对于C :y ′=e x ,若有e x 1·e x 2=-1,即e x 1+x 2=-1.显然不存在这样的x 1,x2;对于D:y′=3x2,若有3x21·3x22=-1,即9x21x22=-1,显然不存在这样的x1,x2.答案 A12.(2017·合肥模拟)点P是曲线x2-y-ln x=0上的任意一点,则点P到直线y =x-2的最小距离为()A.1 B.32 C.52 D. 2解析点P是曲线y=x2-ln x上任意一点,当过点P的切线和直线y=x-2平行时,点P到直线y=x-2的距离最小,直线y=x-2的斜率为1,令y=x2-ln x,得y′=2x-1x=1,解得x=1或x=-12(舍去),故曲线y=x2-ln x上和直线y=x-2平行的切线经过的切点坐标为(1,1),点(1,1)到直线y=x-2的距离等于2,∴点P到直线y=x-2的最小距离为 2.答案 D13.若函数f(x)=12x2-ax+ln x存在垂直于y轴的切线,则实数a的取值范围是________.解析∵f(x)=12x2-ax+ln x,∴f′(x)=x-a+1x(x>0).∵f(x)存在垂直于y轴的切线,∴f′(x)存在零点,即x+1x-a=0有解,∴a=x+1x≥2(当且仅当x=1时取等号).答案[2,+∞)14.已知函数f(x)=x-2x,g(x)=a(2-ln x)(a>0).若曲线y=f(x)与曲线y=g(x)在x=1处的切线斜率相同,求a的值,并判断两条切线是否为同一条直线.解根据题意有f′(x)=1+2x2,g′(x)=-ax.曲线y=f(x)在x=1处的切线斜率为f′(1)=3,曲线y=g(x)在x=1处的切线斜率为g′(1)=-a,所以f′(1)=g′(1),即a=-3.曲线y=f(x)在x=1处的切线方程为y-f(1)=3(x-1).所以y+1=3(x-1),即切线方程为3x-y-4=0.曲线y=g(x)在x=1处的切线方程为y-g(1)=3(x-1),所以y+6=3(x-1),即切线方程为3x-y-9=0,所以,两条切线不是同一条直线.。
导数的运算精选题一.选择题(共10小题) 1.设()f x '是函数()f x 的导函数,且()2()()f x f x x R '>∈,1()(2fe e=为自然对数的底数),则不等式2()f ln x x<的解集为( )A .(0,)2e B .(0 C .1(e,)2e D .(2e2.已知定义在R 上的可导函数()y f x =的导函数为()f x ',满足()()f x f x <',且(0)2f =,则不等式()2xf x e>的解集为()A .(,0)-∞B .(0,)+∞C .(,2)-∞D .(2,)+∞3.函数2()(0,0)f x a x b x a b =+>>在点(1,f(1))处的切线斜率为2,则8a b a b+的最小值是()A .10B .9C .8D .4.已知()f x ln x=,则f '(e )的值为()A .1B .1-C .eD .1e5.已知定义在实数集R 的函数()f x 满足f (1)4=,且()f x 导函数()3f x '<,则不等式()31f ln x ln x >+的解集为()A .(1,)+∞B .(,)e +∞C .(0,1)D .(0,)e 6.已知函数()f x 的导函数为()f x ',且满足()2f x x f ='(e )ln x+,则f '(e )(=)A .1B .1-C .1e --D .e -7.若()2f x x f ='(1)2x +,则(0)f '等于()A .2B .0C .2-D .4-8.设()f x x ln x=,若0()2f x '=,则0(x =)A .2eB .2lnC .22lnD .e9.设函数()f x 的导函数是()f x ',若()()c o s s in 2f x f x xπ'=⋅-,则()(3f π'=)A .12-B 2C .12D .2-10.等比数列{}n a 中,12a =,84a =,函数128()()()()f x x x a x a x a =--⋯-,则(0)(f '=)A .62B .92C .122D .152二.多选题(共1小题)11.以下四个式子分别是函数在其定义域内求导,其中正确的是( )A .211()x x'=B .(c o s 2)2s in 2x x '=-C .3()33xxln '=D .1()10lg x x ln -'=三.填空题(共17小题) 12.已知函数()(21)xf x x e=+,()f x '为()f x 的导函数,则(0)f '的值为 . 13.设函数()f x 在(0,)+∞内可导,且()xxf e x e=+,则f '(1)=. 14.定义在(0,)+∞上的函数()f x 满足2()10x f x '+>,f(1)5=,则不等式1()4f x x <+的解集为 .15.若函数2()xx f x e=,则f '(1)= .16.已知函数1()xe f x x-=,()f x '是()f x 的导函数,则f '(1)= .17.曲线nyx=在2x=处的导数为12,则n=.18.若函数()f x f ='(1)3223x x -+,则f '(1)的值为. 19.若函数()yf x =满足()s in ()c o s 6f x x f xπ=+',则()6f π'=.20.已知函数()f x 的导函数为()f x ',且满足()2f x x f ='(e )ln x +,则f '(e )=.21.已知函数21()2(2021)20212f x xx f ln x'=-++,则(2021)f '=.22.如图,函数()f x 的图象是折线段A B C ,其中A ,B ,C 的坐标为(0,4),(2,0),(6,4),则((0))f f =;函数()f x 在1x=处导数f '(1)=.23.已知(1)()f f x x ln x x'=+,则f '(1)= .24.已知31()f x x x =-+的导函数为()f x ',则(1)f '-=.25.若函数()f x f '=(1)12(0)x ef x x--+,则f '(1)= .26.已知2()3f x x x f =+'(2),则f '(2)= . 27.已知函数()sin 21f x x x x =+-,则()f π'=.28.已知函数241()3()2f x xf x'=-,则1()2f '=.四.解答题(共9小题) 29.已知函数()xf x e a ln x=-.(1)讨论()f x 的导函数()f x '的零点的个数;(2)证明:当0a >时,()(2)f x a ln a -….30.求下列函数的导数. (1)23(21)xy x =+ (2)sin 2xy e x-=.31.求下列函数的导数: (1)3()(1c o s )(1)f x x x =+-;(2)()21xx f x x =-+.32.设()f x ln x =,()()()g x f x f x =+'.(1)求()g x 的单调区间和最小值; (2)讨论()g x 与1()g x 的大小关系.33.求下列函数的导数. (1)2(23)(31)y x x =+-;(2)1s in ()xf x x-=;(3)y =.34.设()yf x =是二次函数,方程()0f x =有两个相等的实根,且()22f x x '=+.(1)求()yf x =的表达式;(2)若直线(01)x t t =-<<把()yf x =的图象与两坐标轴所围成图形的面积二等分,求t 的值.35.求下列函数的导数 (1)()xf x ln x x a=+;(2)12()c o s 2f x x x =+.36.已知函数32()1f x a x b x x =-++,且f(1)1=,(1)3f -=-.(1)求a ,b 的值; (2)若[2x ∈-,2],求函数()f x 的最大值和最小值.37.已知函数1()(c o s s in )(0)22xf x e x x xπ=+剟.(1)计算函数()f x 的导数()f x '的表达式;(2)求函数()f x 的值域.导数的运算精选题37道参考答案与试题解析一.选择题(共10小题) 1.设()f x '是函数()f x 的导函数,且()2()()f x f x x R '>∈,1()(2fe e=为自然对数的底数),则不等式2()f ln x x<的解集为( )A .(0,)2eB.(0 C .1(e,)2e D .(2e【分析】构造函数2()()xf x F x e=,求出导数,判断()F x 在R 上递增.原不等式等价为1()()2F ln x F <,运用单调性,可得12ln x<,运用对数不等式的解法,即可得到所求解集.【解答】解:可构造函数2()()xf x F x e=,2()2()()xf x f x F x e'-'=,由()2()f x f x '>,可得()F x '>,即有()F x 在R 上递增. 不等式2()f ln x x<即为2()1f ln x x<,(0)x>,即2()1ln xf ln x e<,0x>.即有1()12()12f F e==,即为1()()2F ln x F <,由()F x 在R 上递增,可得12ln x <,解得0x <<.故不等式的解集为(0,故选:B .【点评】本题考查导数的运用:求单调性,考查构造法的运用,以及单调性的运用,对数不等式的解法,属于中档题.2.已知定义在R 上的可导函数()y f x =的导函数为()f x ',满足()()f x f x <',且(0)2f =,则不等式()2xf x e>的解集为()A .(,0)-∞B .(0,)+∞C .(,2)-∞D .(2,)+∞【分析】根据条件构造函数()()xf xg x e=,利用导数求函数的单调性,即可解不等式.【解答】解:设()()xf xg x e=,则2()()()()()[]x xxxf x e f x ef x f xg x e e''--'==,()()f x f x <',()0g x ∴'>,即函数()g x 单调递增. (0)2f =,(0)(0)(0)2f g f e∴===,则不等式()2xf x e>等价为()(0)xf x f ee>,即()(0)g x g >,函数()g x 单调递增.x ∴>,∴不等式()2xf x e>的解集为(0,)+∞,故选:B .【点评】本题主要考查导数的应用,根据条件构造函数,利用函数的单调性和导数之间的关系是解决本题的关键. 3.函数2()(0,0)f x a x b x a b =+>>在点(1,f(1))处的切线斜率为2,则8a b a b+的最小值是()A .10B .9C .8D.【分析】求出原函数的导函数,由f '(1)22a b =+=,得12b a+=,把8a b a b+变形为81b a+后整体乘以1,展开后利用基本不等式求最小值. 【解答】解:由2()f x a x b x=+,得()2f x a x b'=+,又2()(0,0)f x a x b x a b =+>>在点(1,f(1))处的切线斜率为2,所以f '(1)22a b =+=,即12b a+=.则881818()()55922a b b a b a a bbab aba+=+=++=++=….当且仅当2282a b a bba +=⎧⎪⎨=⎪⎩,即1343a b ⎧=⎪⎪⎨⎪=⎪⎩时“=”成立.所以8a b a b+的最小值是9.故选:B .【点评】本题考查了导数的运算,考查了利用基本不等式求最值,考查了学生灵活变换和处理问题的能力,是中档题.4.已知()f x ln x=,则f '(e )的值为()A .1B .1-C .eD .1e【分析】利用导数的运算法则即可得出. 【解答】解:1()f x x'=,∴1()f e e'=.故选:D .【点评】熟练掌握导数的运算法则是解题的关键. 5.已知定义在实数集R 的函数()f x 满足f (1)4=,且()f x 导函数()3f x '<,则不等式()31f ln x ln x >+的解集为()A .(1,)+∞B .(,)e +∞C .(0,1)D .(0,)e【分析】构造函数()()31g x f x x =--,求函数的导数,判断函数的单调性 即可得到结论【解答】解:设t ln x=, 则不等式()31f ln x ln x >+等价为()31f t t >+,设()()31g x f x x =--, 则()()3g x f x '='-,()f x 的导函数()3f x '<,()()30g x f x ∴'='-<,此时函数单调递减,f (1)4=,g∴(1)f=(1)310--=,则当1x <时,()g x g>(1)0=,即()0g x <,则此时()()310g x f x x =-->,即不等式()31f x x >+的解为1x <,即()31f t t >+的解为1t<,由1ln x <,解得0x e <<,即不等式()31f ln x ln x >+的解集为(0,)e ,故选:D .【点评】本题主要考查不等式的求解,根据条件构造函数,利用函数的单调性和导数之间的关系是解决本题的关键,属于中档题. 6.已知函数()f x 的导函数为()f x ',且满足()2f x x f ='(e )ln x +,则f '(e )(=)A .1B .1-C .1e --D .e -【分析】首先对等式两边求导得到关于f '(e )的等式解之.【解答】解:由关系式()2f x x f ='(e )ln x +,两边求导得()2f x f ''=(e )1x+,令xe=得f '(e )2f '=(e )1e-+,所以f '(e )1e-=-;故选:C .【点评】本题考查了求导公式的运用;关键是对已知等式两边求导,得到关于()f x '的等式,对x 取e 求值.7.若()2f x x f ='(1)2x+,则(0)f '等于()A .2B .0C .2-D .4-【分析】利用导数的运算法则求出()f x ',令1x=得到关于f '(1)的方程,解方程求出f '(1),求出()f x ';令0x=求出(0)f '.【解答】解:()2f x f '='(1)2x +f ∴'(1)2f ='(1)2+f ∴'(1)2=- ()42f x x ∴'=-+(0)4f ∴'=-故选:D .【点评】在求导函数值时,应该先利用导数的运算法则求出导函数,再求导函数值. 8.设()f x x ln x=,若0()2f x '=,则0(x =)A .2eB .2lnC .22ln D .e【分析】由题意求导()1f x ln x '=+,从而得012ln x +=;从而解得.【解答】解:()1f x ln x '=+; 故0()2f x '=可化为012ln x +=;故0x e=;故选:D .【点评】本题考查了导数的求法及应用,属于基础题. 9.设函数()f x 的导函数是()f x ',若()()c o s s in 2f x f x xπ'=⋅-,则()(3f π'=)A .12-B 2C .12D .2-【分析】对函数()f x 的解析式求导,得到其导函数,把2x π=代入导函数中,列出关于()2f π'的方程,进而得到()2f π'的值,再求出()3f π'即可.【解答】解:()()c o s sin 2f x f x xπ'=⋅-,则()()s in c o s 2f x f x xπ'=-'-,()()s inc o s2222f f ππππ∴'=-'-,()02f π∴'=,()co s f x x ∴'=-,1()32f π∴'=-,故选:A .【点评】本题主要考查了导数的运算,运用求导法则得出函数的导函数,求出常数()2f π'的值,从而确定出函数的解析式是解本题的关键,属于基础题. 10.等比数列{}n a 中,12a =,84a =,函数128()()()()f x x x a x a x a =--⋯-,则(0)(f '=)A .62B .92C .122D .152【分析】对函数进行求导发现(0)f '在含有x 项均取0,再利用等比数列的性质求解即可.【解答】解:考虑到求导中(0)f ',含有x 项均取0,得:412123818(0)()2f a a a a a a '=⋯==.故选:C .【点评】本题考查多项式函数的导数公式,重点考查学生创新意识,综合与灵活地应用所学的数学知识、思想和方法.二.多选题(共1小题)11.以下四个式子分别是函数在其定义域内求导,其中正确的是( )A .211()x x'=B .(c o s 2)2s in 2x x '=-C .3()33xxln '=D .1()10lg x x ln -'=【分析】根据基本初等函数和复合函数的求导公式对每个选项函数进行求导即可. 【解答】解:211()x x'=-,(co s 2)2sin 2x x'=-,3()33xxln '=,1()10lg x x ln '=.故选:B C .【点评】本题考查了基本初等函数和复合函数的求导公式,考查了计算能力,属于基础题.三.填空题(共17小题) 12.已知函数()(21)xf x x e=+,()f x '为()f x 的导函数,则(0)f '的值为 3 .【分析】先求导,再带值计算. 【解答】解:()(21)xf x x e=+,()2(21)xxf x e x e∴'=++,(0)2(201)213f e e ∴'=+⨯+=+=.故答案为:3.【点评】本题考查了导数的运算法则,属于基础题. 13.设函数()f x 在(0,)+∞内可导,且()x xf e x e =+,则f '(1)= 2 .【分析】由题设知,可先用换元法求出()f x 的解析式,再求出它的导数,从而求出f '(1). 【解答】解:函数()f x 在(0,)+∞内可导,且()xxf e x e=+,令xe t=,则xln t=,故有()f t ln t t=+,即()f x ln x x=+,1()1f x x∴'=+,故f '(1)112=+=.故答案为:2.【点评】本题考查了求导的运算以及换元法求外层函数的解析式,属于基本题型,运算型. 14.定义在(0,)+∞上的函数()f x 满足2()10x f x '+>,f(1)5=,则不等式1()4f x x<+的解集为(0,1).【分析】设1()()4g x f x x=--对其求导,结合已知不等式得到其单调性,所求不等式转利用单调性得到自变量的大小,即x 范围. 【解答】解:由2()10xf x '+>,设1()()4g x f x x =--,则2221()1()()0x f x g x f x xx'+'='+=>.故函数()g x 在(0,)+∞上单调递增,又g (1)0=,故()0g x <的解集为(0,1),即1()4f x x <-的解集为(0,1).故答案为:(0,1).【点评】本题考查了抽象不等式的解法;关键是正确构造新函数,利用已知不等式得到函数的单调性. 15.若函数2()xx f x e=,则f '(1)=1e.【分析】根据基本初等函数和商的导数的求导公式进行求导得出()f x ',然后即可求出f '(1)的值.【解答】解:22222()()x xxxx e x ex x f x e e--'==,∴1(1)f e'=.故答案为:1e.【点评】本题考查了基本初等函数和商的导数的求导公式,已知函数求值的方法,考查了计算能力,属于基础题. 16.已知函数1()xe f x x-=,()f x '是()f x 的导函数,则f '(1)= 1 .【分析】先求导,再代值计算即可. 【解答】解:21()xxx e e f x x -+'=,f ∴'(1)111e e -+==,故答案为:1【点评】本题考查了导数的基本运算,属于基础题. 17.曲线nyx=在2x=处的导数为12,则n=3 .【分析】求出函数线ny x=的导函数,把2x=代入导函数解析式可求n 的值.【解答】解:由ny x=,得1n y n x-'=,又曲线nyx=在2x=处的导数为12, 所以1212n n -⋅=,3n=.故答案为3.【点评】本题考查了导数的运算,考查了基本初等函数的导数公式,是基础题. 18.若函数()f x f ='(1)3223x x -+,则f '(1)的值为 2 .【分析】求出函数()f x 的导数,计算f '(1)的值即可.【解答】解:()f x f ='(1)3223x x -+,()3f x f ∴'='(1)24x x-,f ∴'(1)3f ='(1)4-,解得:f '(1)2=,故答案为:2.【点评】本题考查了导数的应用,代入求值问题,是一道基础题.19.若函数()yf x =满足()s in ()c o s 6f x x f xπ=+',则()6f π'=3.【分析】由()s in ()c o s 6f x x f xπ=+',利用导数的运算法则,再令6xπ=,即可得出()6f π'.【解答】解:()sin ()c o s 6f x x f xπ=+',()c o s ()s in 6f x x f xπ∴'=-',令6xπ=,则()c o s()s in6666f f ππππ'=-',解得:()63f π'=.3【点评】本题考查了导数的运算法则、方程的解法、三角函数求值,考查了推理能力与计算能力,属于基础题. 20.已知函数()f x 的导函数为()f x ',且满足()2f x x f ='(e )ln x +,则f '(e )=1e-.【分析】利用求导法则求出()f x 的导函数,把x e=代入导函数中得到关于f '(e )的方程,求出方程的解即可得到f '(e )的值.【解答】解:求导得:()2f x f ''=(e )1x+,把xe=代入得:f '(e )12ef -=+'(e ),解得:f '(e )1e-=-,故答案为:1e-【点评】本题要求学生掌握求导法则.学生在求()f x 的导函数时注意f '(e )是一个常数,这是本题的易错点.21.已知函数21()2(2021)20212f x xx f ln x'=-++,则(2021)f '=2020 .【分析】先求出导函数()f x ',再令2021x=求解即可.【解答】解:21()2(2021)20212f x xx f ln x'=-++,∴2021()2(2021)f x x f x''=-++,(2021)20212(2021)1f f ''∴=-++, (2021)2020f '∴=.故答案为:2020.【点评】本题考查了导数的运算,主要考查了常见导数的求导公式的应用以及导数的四则运算的应用,属于基础题. 22.如图,函数()f x 的图象是折线段A B C ,其中A ,B ,C 的坐标为(0,4),(2,0),(6,4),则((0))f f =2 ;函数()f x 在1x=处导数f '(1)=.【分析】(1)要求((0))f f 的值,可先求(0)4f =,再求f(4),此即为所求;(2)函数的图象可知,24,022,26x x yx x -+⎧=⎨-⎩剟剟,然后求出导数即可求出结果.【解答】解:(1)由图象可知(0)4f =,f(4)2=,即((0))2f f = (2)(0)4f =,f(4)2=,f(2)4=,∴由函数的图象可知,24,022,26x x y x x -+⎧=⎨-⎩剟剟,当02x剟时,()2f x '=-f '∴(1)2=-故答案为:2,2-【点评】本题考查函数的图象,导数的运算,解题时要注意分段函数的定义域,属于基础题. 23.已知(1)()f f x x ln x x'=+,则f '(1)=12.【分析】先求出()f x 的导函数,再将1x=代入,解出f '(1)的值即可.【解答】解:21(1)()f f x ln x xx x''=+-,令1x=,则f '(1)1f =-'(1),解得f '(1)12=,故应填12.【点评】本题考查导数的运算,以及求解函数值,属于中档题目. 24.已知31()f x x x=-+的导函数为()f x ',则(1)f '-=4- .【分析】先根据导数的运算法则求出()f x ',再求(1)f '-.【解答】解:31()f x x x=-+,∴221()3f x xx'=--,(1)314f '∴-=--=-,故答案为:4-.【点评】本题主要考查导数的基本运算,属于基础题. 25.若函数()f x f '=(1)12(0)x ef x x--+,则f '(1)=2e.【分析】求导,当1x =时,求得(0)2f =,()f x f '=(1)122x ex x--+,当1x=时,即可求得f '(1).【解答】解:()f x f ''=(1)1(0)2x e f x--+,则f '(1)f '=(1)(0)2f -+,(0)2f ∴=;故()f x f '=(1)122x ex x--+,则有(0)f f '=(1)1e -,解得:f '(1)2e=,故答案为:2e .【点评】本题考查导数的运算,考查导数的求导法则,考查计算能力,属于基础题. 26.已知2()3f x x x f =+'(2),则f '(2)=2- . 【分析】把给出的函数求导,在其导函数中取2x =,则f '(2)可求.【解答】解:由2()3f x x x f =+'(2),得:()23f x x f '=+'(2),所以,f '(2)223f =⨯+'(2),所以,f '(2)2=-.故答案为:2-.【点评】本题考查了导数的加法与乘法法则,考查了求导函数的值,解答此题的关键是正确理解原函数中的f '(2),f '(2)就是一个具体数,此题是基础题.27.已知函数()sin 21f x x x x =+-,则()f π'=2π- .【分析】可以求出导函数,()sin co s 2f x x x x '=++,从而可以求出()2f ππ'=-.【解答】解:()sin co s 2f x x x x '=++;()022f πππ∴'=-+=-.故答案为:2π-.【点评】考查基本初等函数的求导公式,积的导数的求导公式,以及已知函数求值的方法. 28.已知函数241()3()2f x xf x'=-,则1()2f '=2 .【分析】先求出()f x ',然后将12x=代入解出1()2f '即可.【解答】解:31()64()2f x x f x'=-',所以111()34()282f f '=-⨯⨯'解得:1()22f '=.故答案为:2【点评】本题主要是考查了导数的计算以及利用方程思想解决问题的能力.属于较易题. 四.解答题(共9小题) 29.已知函数()xf x e a ln x=-.(1)讨论()f x 的导函数()f x '的零点的个数;(2)证明:当0a >时,()(2)f x a ln a -….【分析】(1)求出()f x 的定义域,以及()f x 的导函数,导函数零点的个数即为两函数交点个数,分类讨论a 的范围确定出零点个数即可; (2)由0a>时,导函数有零点,存在唯一0x 使0()0f x '=,分类讨论x 的范围确定出导函数的增减性,求出()f x 最小值,即可得证. 【解答】解:(1)由()xf x e a ln x=-,得到0x>,()f x ∴定义域为(0,)+∞,()xa f x e x∴'=-的零点个数xy e⇔=与a yx=的交点个数,①0a =时,显然无; ②0a >时,有1个; ③0a<时,无零点;(2)由(1)0a>时,存在唯一0x 使0()0f x '=,即0xa e x =,且0(0,)x x ∈时,0()0f x '<,()f x 单调递减,0(x x ∈,)+∞时,0()0f x '>,()f x 单调递增,0000()()2(2)x m in a a a f x f x e a ln x a lna x a ln a a a ln a a ln a x x x ∴==-=-=+--=-…,得证.【点评】此题考查了导数的运算,根的存在性及根的个数判断,熟练掌握导函数的性质是解本题的关键. 30.求下列函数的导数. (1)23(21)xyx =+(2)sin 2xyex-=.【分析】根据导数的运算法则和复合函数的求导法则求导即可. 【解答】解:(1)3222642(21)3(21)222(21)(21)x x x x x x y x x ⋅+-⋅+⋅-'==++;(2)sin 22c o s 2(2c o s 2sin 2)xxxy ex e x ex x ---'=-+=-.【点评】本题考查了导数的运算法则和复合函数的求导法则,属于基础题. 31.求下列函数的导数: (1)3()(1c o s )(1)f x x x =+-;(2)()21xx f x x =-+.【分析】由已知结合基本初等函数的求导公式及函数的求导法则即可分别求解. 【解答】解:(1)3332322()(1c o s )(1)(1c o s )(1)sin (1)3(1c o s )sin sin 33c o s f x x x x x x x x x x x x x x x'''=+-++-=---+=-+--.(2)1()21211xxx f x x x =-=--++,则21()22(1)xf x ln x '=-+.【点评】本题主要考查了基本初等函数的求导,属于基础试题. 32.设()f x ln x=,()()()g x f x f x =+'.(1)求()g x 的单调区间和最小值; (2)讨论()g x 与1()g x 的大小关系.【分析】(1)利用导数研究函数()g x 的单调性极值最值即可得出. (2)令11()()()2(0)h x g x g ln x x x xx=-=+->.可得22(1)()x h x x--'=…,函数()h x 在(0,)+∞上单调递减.由于h (1)=,即可得出大小关系.【解答】解:(1)1()(0)f x x x'=>.1()(0)g x ln x x x ∴=+>. ∴22111()x g x xxx'-=-=, 令()0g x '=,解得1x=.当01x <<时,()0g x '<,函数()g x 单调递减;当1x<时,()g x '>,函数()g x 单调递增.∴当1x =时,函数()g x 取得极小值即最小值,g (1)1=.综上可得:函数()g x 单调递减区间为(0,1);函数()g x 单调递增区间为[1,)+∞,最小值为1.(2)1()(0)g x ln x x x=+>,1()g ln x xx=-+.令11()()()2(0)h x g x g ln x x x xx=-=+->.22221(1)()10x h x xxx--∴'=--=…,∴函数()h x 在(0,)+∞上单调递减.当1x =时,h (1)0=,此时1()()g x g x=.当01x <<时,h (1)0>,此时1()()g x g x >.当1x<时,h (1)0<,此时1()()g x g x<.【点评】本题考查了利用导数研究函数的单调性,考查了分类讨论的思想方法、构造函数法,考查了推理能力与计算能力,属于难题. 33.求下列函数的导数. (1)2(23)(31)y x x =+-;(2)1s in ()xf x x-=;(3)y=.【分析】利用常见函数的导数公式以及和、差、积、商的求导公式、复合函数的求导公式求解即可. 【解答】解:(1)函数2(23)(31)y x x =+-,所以222(23)(31)(23)(31)4y x x x x x x x xx '=+'-++-'=⋅-++;(2)函数1s in ()xf x x-=,所以22(1s in )(1s in )c o s 1s in ()x x x x x x xf x xx-'⋅--⋅'--+'==;(3)函数y=,所以112212y x'=⋅=+.【点评】本题考查了导数的运算,主要考查了常见函数的导数,和、差、积、商的求导公式以及复合函数的求导公式的应用,解题的关键是熟练掌握公式,属于基础题. 34.设()yf x =是二次函数,方程()0f x =有两个相等的实根,且()22f x x '=+.(1)求()yf x =的表达式;(2)若直线(01)xt t =-<<把()yf x =的图象与两坐标轴所围成图形的面积二等分,求t 的值.【分析】(1)设2()f x a x b x c=++,根据()22f x x '=+求出a 、b 的值,再由方程()0f x =有两个相等的实根,△0=,求得c 的值,即可得到函数的解析式.(2)由题意可得1(t f --2021)(t x x d x f -++=221)x x d x++,即3232111()|()|33ttx xx x xx ---++=++,化简得32(1)1t-=-,由此求得t 的值.【解答】解:(1)设2()f x a x b x c=++,则()2f x a x b'=+,又因为()22f x x '=+,1a ∴=,2b=,2()2f x x x c∴=++.由于方程()0f x =有两个相等的实根,∴△440c =-=,解得1c =,2()21f x xx ∴=++.(2)由题意可得1(tf --221)(t x x d x f -++=221)x x d x++,即3232111()|()|33ttx xx x xx ---++=++,即13-321133t tt +-+=32t t t-+,3226610t t t ∴-+-=,即32(1)1t-=-,1t∴=-.【点评】本题主要考查用待定系数法求函数的解析式,导数的运算,定积分的应用,属于中档题. 35.求下列函数的导数 (1)()xf x ln x x a=+;(2)12()c o s 2f x x x =+.【分析】(1)直接利用常见导数的求导公式以及导数的运算法则进行求解即可; (2)利用常见函数的求导公式结合复合函数的求导法则进行求解即可. 【解答】解:(1)因为()xf x ln x x a=+,所以1()xxf x ax a ln ax '=++;(2)因为12()c o s 2f x x x =+, 所以121()2s in 22f x x x-'=-+.【点评】本题考查了导数的运算,涉及了常见函数的求导公式的运用、导数的求导法则的运用、复合函数求导法则的应用,属于基础题. 36.已知函数32()1f x a x b x x =-++,且f(1)1=,(1)3f -=-.(1)求a ,b 的值; (2)若[2x ∈-,2],求函数()f x 的最大值和最小值.【分析】(1)列方程组可求的a ,b 的值, (2)由导数的综合应用得:()f x 在1(2,)3-上单调递增,在1(,1)3上单调递减,在(1,2)上单调递增,所以()m a x f x f=(2)3=,()(2)17m in f x f =-=-,得解.【解答】解:(1)因为32()1f x a x b x x =-++,则由题可知:(1)21(1)3f a b f a b =-+=⎧⎨-=--=-⎩,解得:12a b =⎧⎨=⎩, 故1a=,2b =.(2)由(1)知:32()21f x x x x =-++,[2x ∈-,2],所以2()341(31)(1)f x x x x x '=-+=--,令121()0,,13f x x x '===,由()0f x '>,得12123x x -<<<<或,由()0f x '<,得113x <<,所以()f x 在1(2,)3-上单调递增,在1(,1)3上单调递减,在(1,2)上单调递增,又131(2)17,(2)3,(),(1)1327f f f f -=-===,所以()m a x f x f=(2)3=,()(2)17m in f x f =-=-,故函数()f x 的最大值为3,最小值为17-.【点评】本题考查了导数的综合应用,属综合性较强的题型. 37.已知函数1()(c o s s in )(0)22xf x e x x xπ=+剟.(1)计算函数()f x 的导数()f x '的表达式;(2)求函数()f x 的值域.【分析】(1)根据基本初等函数和积的导数的求导公式求导即可得出()c o s xf x e x'=;(2)02x π剟时,可得出()0f x '…,从而得出()f x 在[0,]2π上是增函数,然后即可求出()f x 的最小值和最大值,进而得出()f x 的值域.【解答】解:(1)1()(c o s s in )2xf x e x x =+,∴11()(c o s s in )(s in c o s )c o s 22xxxf x e x x e x x e x'=++-+=;(2)02xπ剟,()c o s 0xf x e x ∴'=…,∴函数()f x 在[0,]2π上是单调增函数,∴011()(0)(c o s 0s in 0)22m in f x f e ==+=,2211()()(c o ss in)22222m a x f x f e eπππππ==+=;∴函数()f x 的值域为211[,]22e π.【点评】本题考查了基本初等函数和积的导数的求导公式,根据导数符号判断函数单调性的方法,根据函数的单调性求函数在闭区间上的最值的方法,考查了计算能力,属于基础题.。
1.设函数f(x)在0x 处可导,则xx f x x f x ∆-∆-→∆)()(lim000等于A .)('0x fB .)('0x f -C .0'()f x -D .0'()f x -- 2.若13)()2(lim000=∆-∆+→∆x x f x x f x ,则)('0x f 等于 A .32 B .23C .3D .23.若函数f(x)的导数为f ′(x)=-sinx ,则函数图像在点(4,f (4))处的切线的倾斜角为A .90°B .0°C .锐角D .钝角 4.对任意x ,有34)('x x f =,f(1)=-1,则此函数为A .4)(x x f =B .2)(4-=x x fC .1)(4+=x x fD .2)(4+=x x f 5.设f(x)在0x 处可导,下列式子中与)('0x f 相等的是 (1)x x x f x f x ∆∆--→∆2)2()(lim000; (2)x x x f x x f x ∆∆--∆+→∆)()(lim 000;(3)x x x f x x f x ∆∆+-∆+→∆)()2(lim000(4)x x x f x x f x ∆∆--∆+→∆)2()(lim 000.A .(1)(2)B .(1)(3)C .(2)(3)D .(1)(2)(3)(4) 6.若函数f(x)在点0x 处的导数存在,则它所对应的曲线在点))(,(00x f x 处的切线方程是___. 7.已知曲线xx y 1+=,则==1|'x y _____________.8.设3)('0-=x f ,则=---→hh x f h x f h )3()(lim000_____________.9.在抛物线2x y =上依次取两点,它们的横坐标分别为11=x ,32=x ,若抛物线上过点P的切线与过这两点的割线平行,则P点的坐标为_____________.10.曲线3)(x x f =在点A 处的切线的斜率为3,求该曲线在A 点处的切线方程.11.在抛物线2x y =上求一点P ,使过点P 的切线和直线3x-y+1=0的夹角为4π.12.判断函数⎩⎨⎧<-≥=)0()0()(x x x x x f 在x=0处是否可导.1相切的直线方程.y13.求经过点(2,0)且与曲线x同步练习X030131.函数y =f (x )在x =x 0处可导是它在x =x 0处连续的A .充分不必要条件B .必要不充分条件C .充要条件D .既不充分也不必要条件2.在曲线y =2x 2-1的图象上取一点(1,1)及邻近一点(1+Δx ,1+Δy ),则xy ∆∆ 等于A .4Δx +2Δx 2B .4+2ΔxC .4Δx +Δx 2D .4+Δx3.若曲线y =f (x )在点(x 0,f (x 0))处的切线方程为2x +y -1=0,则A .f ′(x 0)>0B .f ′(x 0)<0C .f ′(x 0)=0D .f ′(x 0)不存在4.已知命题p :函数y =f (x )的导函数是常数函数;命题q :函数y =f (x )是一次函数,则命题p 是命题q 的 A .充分不必要条件 B .必要不充分条件 C .充要条件D .既不充分也不必要条件5.设函数f (x )在x 0处可导,则0lim→h hh x f h x )()(00--+等于A .f ′(x 0)B .0C .2f ′(x 0)D .-2f ′(x 0)6.设f (x )=x (1+|x |),则f ′(0)等于A .0B .1C .-1D .不存在7.若曲线上每一点处的切线都平行于x 轴,则此曲线的函数必是___________. 8.曲线y =x 3在点P (2,8)处的切线方程是___________.9.曲线f (x )=x 2+3x 在点A (2,10)处的切线斜率k =___________. 10.两曲线y =x 2+1与y =3-x 2在交点处的两切线的夹角为___________. 11.设f (x )在点x 处可导,a 、b 为常数,则0lim→∆x xx b x f x a x f ∆∆--∆+)()(=___________.12.已知函数f (x )=⎩⎨⎧>+≤++012x b ax x x x ,试确定a 、b 的值,使f (x )在x =0处可导.13.设f (x )=)()2)(1()()2)(1(n x x x n x x x +⋅⋅⋅++-⋅⋅⋅--,求f ′(1).14.利用导数的定义求函数y =|x |(x ≠0)的导数.同步练习 X030211.物体运动方程为s =41t 4-3,则t =5时的瞬时速率为A .5 m/sB .25 m/sC .125 m/sD .625 m/s2.曲线y =x n(n ∈N )在点P (2,)22n 处切线斜率为20,那么n 为A .7B .6C .5D .43.函数f (x )=x x x 的导数是A .81x(x >0) B .-887x(x >0) C .8781x(x >0) D .881x(x >0)4.f (x )与g (x )是定义在R 上的两个可导函数,若f (x ),g (x )满足f ′(x )=g ′(x ),则f (x )与g (x )满足 A .f (x )=g (x )B .f (x )-g (x )为常数函数C .f (x )=g (x )=0D .f (x )+g (x )为常数函数5.两车在十字路口相遇后,又沿不同方向继续前进,已知A 车向北行驶,速率为30 km/h ,B 车向东行驶,速率为40 km/h ,那么A 、B 两车间直线距离的增加速率为 A .50 km/hB .60 km/hC .80 km/hD .65 km/h6.细杆AB 长为20 cm ,AM 段的质量与A 到M 的距离平方成正比,当AM =2 cm 时,AM 段质量为8 g ,那么,当AM =x 时,M 处的细杆线密度ρ(x )为 A .2xB .4xC .3xD .5x7.曲线y =x 4的斜率等于4的切线的方程是___________.8.设l 1为曲线y 1=sin x 在点(0,0)处的切线,l 2为曲线y 2=cos x 在点(2π,0)处的切线,则l 1与l 2的夹角为___________. 9.过曲线y =cos x 上的点(21,6π)且与过这点的切线垂直的直线方程为_____________.10.在曲线y =sin x (0<x <π)上取一点M ,使过M 点的切线与直线y =x 23平行,则M 点的坐标为___________.11.质点P 在半径为r 的圆周上逆时针做匀角速率运动,角速率为1 r a d/s ,设A为起点,那么t 时刻点P 在x 轴上射影点M 的速率为___________.12.求证:双曲线xy=a2上任一点处的切线与两坐标轴构成的三角形面积等于常数.13.路灯距地平面为8 m,一个身高为1.6 m的人以84 m/min的速率在地面上行走,从路灯在地平面上射影点C,沿某直线离开路灯,求人影长度的变化速率v.14.已知直线x+2y-4=0与抛物线y2=4x相交于A、B两点,O是坐标原点,试在抛物线的弧上求一点P,使△PAB面积最大.同步练习 X030311.若f (x )=sin α-cos x ,则f ′(α)等于A .sin αB .cos αC .sin α+cos αD .2sin α2.f (x )=ax 3+3x 2+2,若f ′(-1)=4,则a 的值等于A .319B .316 C .313D .3103.函数y =x sin x 的导数为A .y ′=2x sin x +x cos xB .y ′=xx 2sin +x cos xC .y ′=xx sin +x cos x D .y ′=xx sin -x cos x4.函数y =x 2cos x 的导数为A .y ′=2x cos x -x 2sin xB .y ′=2x cos x +x 2sin xC .y ′=x 2cos x -2x sin xD .y ′=x cos x -x 2sin x5.若y =(2x 2-3)(x 2-4),则y ’= .6. 若y =3cosx -4sinx ,则y ’= .7.与直线2x -6y +1=0垂直,且与曲线y =x 3+3x 2-1相切的直线方程是______. 8.质点运动方程是s =t 2(1+sin t ),则当t =2时,瞬时速度为___________.9.求曲线y=x3+x2-1在点P(-1,-1)处的切线方程. 10.用求导的方法求和:1+2x+3x2+…+nx n-1(x≠1).11.水以20米3/分的速度流入一圆锥形容器,设容器深30米,上底直径12米,试求当水深10米时,水面上升的速度.同步练习 X030321.函数y =22xax +(a >0)的导数为0,那么x 等于A .aB .±aC .-aD .a 22.函数y =xxsin 的导数为 A .y ′=2sin cos xxx x + B .y ′=2sin cos xxx x - C .y ′=2cos sin xxx x -D .y ′=2cos sin xxx x + 3.若21,2xy x +=-则y ’= .4.若423335,x x y x -+-=则y ’= . 5.若1cos ,1cos xy x+=-则y ’= .6.已知f (x )=354337xx x x ++,则f ′(x )=___________.7.已知f (x )=xx++-1111,则f ′(x )=___________.8.已知f (x )=xx2cos 12sin +,则f ′(x )=___________.9.求过点(2,0)且与曲线y =x1相切的直线的方程.10.质点的运动方程是23,s t t=+求质点在时刻t=4时的速度.同步练习 X030411.函数y =2)13(1-x 的导数是 A .3)13(6-x B .2)13(6-x C .-3)13(6-x D .-2)13(6-x2.已知y =21sin2x +sin x ,那么y ′是A .仅有最小值的奇函数B .既有最大值,又有最小值的偶函数C .仅有最大值的偶函数D .非奇非偶函数 3.函数y =sin 3(3x +4π)的导数为 A .3sin 2(3x +4π)cos (3x +4π) B .9sin 2(3x +4π)cos (3x +4π)C .9sin 2(3x +4π)D .-9sin 2(3x +4π)cos (3x +4π)4.若y=(sinx-cosx 3),则y ’= .5. 若y=2cos 1x +,则y ’= .6. 若y=sin 3(4x+3),则y ’= .7.函数y =(1+sin3x )3是由___________两个函数复合而成. 8.曲线y =sin3x 在点P (3π,0)处切线的斜率为___________.9.求曲线2211(2,)(3)4y M x x =-在处的切线方程.10. 求曲线sin 2(,0)y x M π=在处的切线方程.11.已知函数y =(x )是可导的周期函数,试求证其导函数y =f ′(x )也为周期函数.同步练习 X030421.函数y =cos (sin x )的导数为A .-[sin (sin x )]cos xB .-sin (sin x )C .[sin (sin x )]cos xD .sin (cos x )2.函数y =cos2x +sin x 的导数为A .-2sin2x +xx2cos B .2sin2x +xx 2cosC .-2sin2x +xx 2sin D .2sin2x -xx 2cos3.过曲线y =11+x 上点P (1,21)且与过P 点的切线夹角最大的直线的方程为 A .2y -8x +7=0 B .2y +8x +7=0 C .2y +8x -9=0D .2y -8x +9=04.函数y =x sin (2x -2π)cos (2x +2π)的导数是______________. 5.函数y =)32cos(π-x 的导数为______________.6.函数y =cos 3x 1的导数是___________.7.已知曲线y=2400x + +53(100-x) (0100≤≤x ) 在点M 处有水平切线,8.若可导函数f (x )是奇函数,求证:其导函数f ′(x )是偶函数.9.用求导方法证明:21C 2C n n +…+n nn C =n ·2n -1.同步练习 X030511.函数y =ln (3-2x -x 2)的导数为A .32+x B .2231x x -- C .32222-++x x xD .32222-+-x x x2.函数y =lncos2x 的导数为A .-tan2xB .-2tan2xC .2tan xD .2tan2x3.函数y =x ln 的导数为A .2x x lnB .xx ln 2C .xx ln 1 D .xx ln 214.在曲线y =59++x x 的切线中,经过原点的切线为________________. 5.函数y =log 3cos x 的导数为___________. 6.函数y =x 2lnx 的导数为 . 7. 函数y =ln (lnx )的导数为 . 8. 函数y =lg (1+cosx )的导数为 .9. 求函数y =ln 22132x x +-的导数.10. 求函数y =12.求函数y =ln (21x +-x )的导数.同步练习 X030521.下列求导数运算正确的是A .(x +x 1)′=1+21xB .(log 2x )′=2ln 1xC .(3x )′=3x log 3eD .(x 2cos x )′=-2x sin x 2.函数y =xxa 22-(a >0且a ≠1),那么y ′为A .xxa 22-ln aB .2(ln a )xxa 22-C .2(x -1)xxa 22-·ln aD .(x -1)xxa 22-ln a3.函数y =sin32x 的导数为A .2(cos32x )·32x ·ln3B .(ln3)·32x ·cos32xC .cos32xD .32x ·cos32x4.设y =xx ee 2)12(+,则y ′=___________. 5.函数y =x22的导数为y ′=___________.6.曲线y =e x -e ln x 在点(e ,1)处的切线方程为___________.7.求函数y=e 2x lnx 的导数.8.求函数y =x x (x >0)的导数.9.设函数f (x )满足:af (x )+bf (x 1)=xc(其中a 、b 、c 均为常数,且|a |≠|b |),试求f ′(x ).同步练习 x030611.若f (x )在[a ,b ]上连续,在(a ,b )内可导,且x ∈(a ,b )时,f ′(x )>0,又f (a )<0,则A .f (x )在[a ,b ]上单调递增,且f (b )>0B .f (x )在[a ,b ]上单调递增,且f (b )<0C .f (x )在[a ,b ]上单调递减,且f (b )<0D .f (x )在[a ,b ]上单调递增,但f (b )的符号无法判断 2.函数y =3x -x 3的单调增区间是A .(0,+∞)B .(-∞,-1)C .(-1,1)D .(1,+∞) 3.三次函数y =f (x )=ax 3+x 在x ∈(-∞,+∞)内是增函数,则A .a >0B .a <0C .a =1D .a =314.f (x )=x +x2(x >0)的单调减区间是 A .(2,+∞) B .(0,2) C .(2,+∞) D .(0,2) 5.函数y =sin x cos 2x 在(0,2π)上的减区间为 A .(0,arctan 22) B .(arctan2,22π) C .(0,2π)D .(arctan 2,21π)6.函数y =x ln x 在区间(0,1)上是A .单调增函数B .单调减函数C .在(0,e 1)上是减函数,在(e1,1)上是增函数D .在(0,e 1)上是增函数,在(e1,1)上是减函数7.函数f (x )=cos 2x 的单调减区间是___________. 8.函数y =2x +sin x 的增区间为___________.9.函数y =232+-x x x的增区间是___________. 10.函数y =xxln 的减区间是___________.11.已知0<x <2π,则tan x 与x +33x 的大小关系是tan x _____x +33x .12.已知函数f (x )=kx 3-3(k +1)x 2-k 2+1(k >0).若f (x )的单调递减区间是(0,4). (1)求k 的值; (2)当k <x 时,求证:2x >3-x1.13.试证方程sin x =x 只有一个实根.14.三次函数f (x )=x 3-3bx +3b 在[1,2]内恒为正值,求b 的取值范围.同步练习 X030711.下列说法正确的是A .当f ′(x 0)=0时,则f (x 0)为f (x )的极大值B .当f ′(x 0)=0时,则f (x 0)为f (x )的极小值C .当f ′(x 0)=0时,则f (x 0)为f (x )的极值D .当f (x 0)为函数f (x )的极值且f ′(x 0)存在时,则有f ′(x 0)=0 2.下列四个函数,在x =0处取得极值的函数是①y =x 3 ②y =x 2+1 ③y =|x | ④y =2x A .①②B .②③C .③④D .①③3.函数y =216xx的极大值为 A .3 B .4 C .2 D .54.函数y =x 3-3x 的极大值为m ,极小值为n ,则m +n 为A .0B .1C .2D .4 5.y =ln 2x +2ln x +2的极小值为A .e -1B .0C .-1D .16.y =2x 3-3x 2+a 的极大值为6,那么a 等于A .6B .0C .5D .17.函数f (x )=x 3-3x 2+7的极大值为___________.8.曲线y =3x 5-5x 3共有___________个极值.9.函数y =-x 3+48x -3的极大值为___________;极小值为___________.10.函数f (x )=x -3223x 的极大值是___________,极小值是___________.11.若函数y =x 3+ax 2+bx +27在x =-1时有极大值,在x =3时有极小值,则a =___________,b =___________.12.已知函数f (x )=x 3+ax 2+bx +c ,当x =-1时,取得极大值7;当x =3时,取得极小值.求这个极小值及a 、b 、c 的值.13.函数f (x )=x +xa+b 有极小值2,求a 、b 应满足的条件.14.设y =f (x )为三次函数,且图象关于原点对称,当x =21时,f (x )的极小值为-1,求函数的解析式.同步练习 X030811.下列结论正确的是A .在区间[a ,b]上,函数的极大值就是最大值B .在区间[a ,b]上,函数的极小值就是最小值C .在区间[a ,b]上,函数的最大值、最小值在x=a 和x=b 时到达D .在区间[a ,b]上连续的函数f(x)在[a ,b]上必有最大值和最小值 2.函数14)(2+-=x x x f 在[1,5]上的最大值和最小值是A .f(1),f(3)B .f(3),f(5)C .f(1),f(5)D .f(5),f(2) 3.函数f(x)=2x-cosx 在(-∞,+∞)上A .是增函数B .是减函数C .有最大值D .有最小值 4.函数a ax x x f --=3)(3在(0,1)内有最小值,则a 的取值范围是 A .0<a<1 B .a<1 C .a>0 D .21<a 5.若函数x x a x f 3sin 31sin )(+=在3π=x 处有最值,那么a 等于A .2B .1C .332 D .0 6.函数5224+-=x x y ,x ∈[-2,2]的最大值和最小值分别为 A .13,-4 B .13,4 C .-13,-4 D .-13,4 7.函数x xe y =的最小值为________________. 8.函数f(x)=sinx+cosx 在]2,2[ππ-∈x 时函数的最大值,最小值分别是___. 9.体积为V 的正三棱柱,底面边长为___________时,正三棱柱的表面积最小.10.函数21)(x x x f -+=的最大值为__________,最小值为____________。
1.2.2导数的运算法则导数的四则运算法则设是)(),(x g x f 可导的,则:(1)='±])()([x g x f .(2)='])()([x g x f .(3)='])()([x g x f . 求下列函数的导数(1)32log cos 3x x y x e π=+++ (2)n x y x e =(3))3)(2)(1(+++=x x x y (4)31sin x y x-=随堂练习1.已知f (x )=ax 3+9x 2+6x -7,若f ′(-1)=4,则a 的值等于( )A .193B .163C .103D .1332.设f (x )=sin x -cos x ,则f (x )在x =π4处的导数f ′(π4)=( ) A . 2 B .- 2 C .0 D .22 3.已知y =tan x ,x ∈⎝⎛⎭⎪⎫0,π2,当y ′=2时,x 等于( ) A .π3 B .23π C .π4 D .π64. 函数x x x y sin cos -=的导数是 ( )A. x x sinB.x x sin -C.x x cosD.x x cos -5.若函数f (x )=e x sin x ,则此函数图象在点(4,f (4))处的切线的倾斜角为( )A .π2B .0C .钝角D .锐角 6.曲线f (x )=x ln x 在点x =1处的切线方程为( )A .y =2x +2B .y =2x -2C .y =x -1D .y =x +1课后探究1.函数y =(x +1)2(x -1)在x =1处的导数等于2.若f (x )=x 2-2x -4ln x ,则f ′(x )>0的解集为_____ ___.3.已知函数f (x )=x ·2x ,当f ′(x )=0时,x =______ __.4.曲线C :f (x )=sin x +e x +2在x =0处的切线方程为_____ ___.5.曲线C :f (x )=sin xx在x =π处的切线方程为__ ______. 6.偶函数f (x )=ax 4+bx 3+cx 2+dx +e 的图象过点P (0,1),且在x =1处的切线方程为y =x -2,求y =f (x )的解析式.。
导数的运算练习
一、常用的导数公式
(1)'C = (C 为常数); (2)()'n x = ;
(3)(sin )'x = ; (4)(cos )'x = ;
(5)()'x a = ; (6)()'x e = ; (7)_____________; (8)_____________;
二、导数的运算法则
1、(1)
; (2) ;
(3)______________________________________;
(4) =___________________________________;(C 为常数)
2、复合函数的导数
设
.
三、练习 1、已知()2f x x =,则()3f '等于( )
A .0
B .2x
C .6
D .9
2、()0f x =的导数是( )
A .0
B .1
C .不存在
D .不确定 3、32y x 的导数是( )
A .23x
B .213x
C .12-
D 33x
4、曲线n y x =在2x =处的导数是12,则n 等于( )
A .1
B .2
C .3
D .4
5、若()f x =()1f '等于( )
A .0
B .13-
C .3
D .13
6、2y x =的斜率等于2的切线方程是( )
A .210x y -+=
B .210x y -+=或210x y --=
C .210x y --=
D .20x y -=
7、在曲线2y x =上的切线的倾斜角为4
π的点是( ) A .()0,0 B .()2,4 C .11,416⎛⎫ ⎪⎝⎭ D .11,24⎛⎫ ⎪⎝⎭
8、设()sin y f x =是可导函数,则x y '等于( )
A .()sin f x '
B .()sin cos f x x '⋅
C .()sin sin f x x '⋅
D .()cos cos f x x '⋅
9、函数()2
2423y x x =-+的导数是( ) A .()2823x x -+ B .()2
216x -+ C .()()282361x x x -+- D .()()242361x x x -+-
10、曲线34y x x =-在点()1,3--处的切线方程是( )
A .74y x =+
B .72y x =+
C .4y x =-
D .2y x =-
11、点P 在曲线323
y x x =-+上移动,设点P 处切线的倾斜角为α,则角α的取值范围是( ) A .0,2π⎡⎤⎢⎥⎣⎦ B .30,,24πππ⎡⎤⎡⎫⎪⎢⎥⎢⎣⎦⎣⎭ C .3,4ππ⎡⎫⎪⎢⎣⎭ D .3,24ππ⎛⎤ ⎥⎝⎦
12、求函数2
12y x =-在点1x =处的导数。
13、求在抛物线2y x =上横坐标为3的点的切线方程。
14、求曲线y (1,1)处的切线方程。
15、求下列各函数的导数
(1) 235y x x =-+
(2) 1
y x =+
(3) 2
22
2x y x =+
(4) 3
y
=
(5) 1)y
=
(6) (y x =+(7) ()()y x a x b =--
16、求下列各函数的导数
(1)ln y x x =
(2)ln n y x x =
(3)log a y =
(4)1
1x y x +=-
(5)251x
y x =+
(6)232x
y x x =--
17、求下列各函数的导数
(1)sin cos y x x x =+
(2)1cos x
y x =-
(3)tan tan y x x x =-
(4)5sin 1cos x
y x =+
18、求下列各函数的导数
(1)25(1)y x =+
(2)2(23y x =+
(3)y = (4)
y = (5) 2
log (1)a y x =+
(6) y =
(7) y =
(8) sin y nx =
(9) sin n y x =
(10) sin n y x =
(11) ln tan 2x
y =
(12)21
sin y x x =。