哈工大市政学院硕士招生复试名单-终稿-
- 格式:xls
- 大小:59.50 KB
- 文档页数:8
新闻类型:公告发布时间:2014-3-18 15:32:09 发布人:admin2014年哈尔滨工业大学硕士研究生招生拟录取名单院(系)代码与名称:市政环境工程学院姓名考试方式总成绩录取学科学位类别奖学金等级录取校区备注朱学武统考618.9城市水资源学术型一等校本部 黄睿统考590.9城市水资源学术型一等校本部 龙智云统考576.9城市水资源学术型二等校本部 闫津赫统考553城市水资源学术型二等校本部 杨浩统考548.1城市水资源学术型三等校本部 崔寒统考654微生物学学术型一等校本部 肖若楠统考630微生物学学术型一等校本部 王祥锟统考625微生物学学术型一等校本部 皮姗姗统考623.6微生物学学术型一等校本部 刘璐统考619微生物学学术型二等校本部 刘晴靓统考618.8微生物学学术型二等校本部 朱宏源统考613.8微生物学学术型二等校本部 齐珊珊统考597微生物学学术型二等校本部 王艺统考589.2微生物学学术型三等校本部 吴曲丽统考587.2微生物学学术型三等校本部 赵佳怡统考584.6微生物学学术型三等校本部 李西齐推免免试微生物学学术型 威海校区 武一奇推免免试市政工程学术型一等校本部 杨佳琦推免免试市政工程学术型一等校本部 鲍禹寰推免免试市政工程学术型一等校本部 颜仲达推免免试市政工程学术型一等校本部 吴限推免免试市政工程学术型二等校本部 闫博引推免免试市政工程学术型一等校本部 徐浩推免免试市政工程学术型二等校本部 黄壮松推免免试市政工程学术型一等校本部 晋艺欣推免免试市政工程学术型一等校本部 靳倩倩推免免试市政工程学术型一等校本部 李琢宇推免免试市政工程学术型一等校本部 赵健慧推免免试市政工程学术型一等校本部 王一然推免免试市政工程学术型一等校本部 尹航推免免试市政工程学术型一等校本部 郑晨推免免试市政工程学术型一等校本部 刘伟利推免免试市政工程学术型一等校本部 李娟推免免试市政工程学术型一等校本部 徐明俊推免免试市政工程学术型一等校本部 王艳芳推免免试市政工程学术型一等校本部 袁胜楠推免免试市政工程学术型一等校本部 康芳芳推免免试市政工程学术型二等校本部 黄枭统考597.3市政工程学术型一等校本部 胡熹统考595.5市政工程学术型一等校本部 张会会统考587.9市政工程学术型一等校本部 熊丹丹统考587.3市政工程学术型一等校本部 李麟统考585.7市政工程学术型一等校本部 王伟强统考577.1市政工程学术型一等校本部 甘振东统考568.7市政工程学术型二等校本部 王泽深统考565.8市政工程学术型二等校本部 钟建松统考562市政工程学术型二等校本部 魏盼盼统考561市政工程学术型二等校本部 张泽统考559.5市政工程学术型二等校本部 张家栋统考557.2市政工程学术型二等校本部 金佳林统考555.9市政工程学术型三等校本部 亓信石统考555.5市政工程学术型三等校本部 朱昆统考551.9市政工程学术型三等校本部 尚文涛统考586.1市政工程学术型 深研院 刘伟统考585.6市政工程学术型 深研院 戴方为统考584.1市政工程学术型 深研院 王巍统考583.6市政工程学术型 深研院 肖立平统考572.4市政工程学术型 深研院 李翊豪统考569.1市政工程学术型 深研院 李鹏飞统考552.3市政工程学术型 深研院 石文栋统考532.4市政工程学术型 深研院 李佳音统考530.3市政工程学术型 深研院 牛瑞兰统考527.9市政工程学术型 深研院 蔡森林统考525.1市政工程学术型 深研院 戴康海统考524.8市政工程学术型 深研院 张晓飞推免免试建筑与土木工程(市政方向)专业学位一等校本部 王盼新推免免试建筑与土木工程(市政方向)专业学位一等校本部 韩利明推免免试建筑与土木工程(市政方向)专业学位二等校本部 肖婉婷推免免试建筑与土木工程(市政方向)专业学位一等校本部 冯靖涵推免免试建筑与土木工程(市政方向)专业学位一等校本部 郝艳萍推免免试建筑与土木工程(市政方向)专业学位一等校本部 许颖推免免试建筑与土木工程(市政方向)专业学位二等校本部 张立洲推免免试建筑与土木工程(市政方向)专业学位二等校本部 徐杰推免免试建筑与土木工程(市政方向)专业学位一等校本部 李茂侨推免免试建筑与土木工程(市政方向)专业学位一等校本部 朱世俊推免免试建筑与土木工程(市政方向)专业学位二等校本部 辛红梅推免免试建筑与土木工程(市政方向)专业学位一等校本部 张浩浩统考604.7建筑与土木工程(市政方向)专业学位一等校本部 管梓含统考600.5建筑与土木工程(市政方向)专业学位一等校本部优秀生源夏灵冬统考581.6建筑与土木工程(市政方向)专业学位一等校本部 王伟超统考578.8建筑与土木工程(市政方向)专业学位一等校本部 文焱统考567.5建筑与土木工程(市政方向)专业学位一等校本部优秀生源孙风莲统考561.4建筑与土木工程(市政方向)专业学位二等校本部 李炜煜统考560.8建筑与土木工程(市政方向)专业学位二等校本部 郭远庆统考548.9建筑与土木工程(市政方向)专业学位二等校本部 周琪皓统考541.6建筑与土木工程(市政方向)专业学位二等校本部 王自强统考527.6建筑与土木工程(市政方向)专业学位二等校本部 陈亮统考523.4建筑与土木工程(市政方向)专业学位三等校本部 周杰统考523.2建筑与土木工程(市政方向)专业学位三等校本部 凌梅统考522.9建筑与土木工程(市政方向)专业学位三等校本部 王生旺统考508.7建筑与土木工程(市政方向)专业学位三等校本部 李琨推免免试环境科学与工程学术型一等校本部 王亚琼推免免试环境科学与工程学术型一等校本部 李硕推免免试环境科学与工程学术型二等校本部 王成推免免试环境科学与工程学术型一等校本部 赵龙彬推免免试环境科学与工程学术型一等校本部 杨乐推免免试环境科学与工程学术型一等校本部 马珊珊推免免试环境科学与工程学术型一等校本部 林小秋推免免试环境科学与工程学术型一等校本部 于澜推免免试环境科学与工程学术型一等校本部 漆梦媛推免免试环境科学与工程学术型一等校本部 张若晨推免免试环境科学与工程学术型一等校本部 靳敏推免免试环境科学与工程学术型一等校本部 陈玲波推免免试环境科学与工程学术型二等校本部 吕淼推免免试环境科学与工程学术型一等校本部 王愚推免免试环境科学与工程学术型二等校本部 刘璞推免免试环境科学与工程学术型一等校本部 李道玉统考630.7环境科学与工程学术型一等校本部 李玖龄统考630.5环境科学与工程学术型一等校本部 杨子增统考623.5环境科学与工程学术型一等校本部 詹巍统考620.9环境科学与工程学术型一等校本部 杨莹统考619.9环境科学与工程学术型一等校本部 张明星统考614.7环境科学与工程学术型一等校本部 宋迪慧统考613.5环境科学与工程学术型一等校本部 沙焕伟统考612.9环境科学与工程学术型一等校本部 吴树洁统考612.1环境科学与工程学术型二等校本部 赵廷统考611.7环境科学与工程学术型二等校本部 杨朝勇统考610.9环境科学与工程学术型二等校本部 曹文阳统考608.9环境科学与工程学术型二等校本部 程佳琦统考606.1环境科学与工程学术型二等校本部 付艺伟统考604.3环境科学与工程学术型二等校本部 姜振统考601.3环境科学与工程学术型二等校本部 潘颖统考598.4环境科学与工程学术型二等校本部 洪理靖统考597.3环境科学与工程学术型三等校本部 张永森统考597.1环境科学与工程学术型三等校本部 梁涛统考591.1环境科学与工程学术型三等校本部 孙霓统考590.1环境科学与工程学术型三等校本部 龚钰涵统考589.6环境科学与工程学术型三等校本部 佟智达推免免试环境科学与工程学术型 深研院 曹松推免免试环境科学与工程学术型 深研院 张彬声推免免试环境科学与工程学术型 深研院 孙婷婷统考587.4环境科学与工程学术型 深研院 卢勋统考586.4环境科学与工程学术型 深研院 朱先刚统考586.4环境科学与工程学术型 深研院 史振江统考581.4环境科学与工程学术型 深研院 杜昌行统考576.4环境科学与工程学术型 深研院 郭仕达统考567.2环境科学与工程学术型 深研院 赵杰统考567环境科学与工程学术型 深研院 邵运贤统考561.4环境科学与工程学术型 深研院 韩慧丽统考558.4环境科学与工程学术型 深研院 孙蓓蓓统考552.4环境科学与工程学术型 深研院 薛冬统考542.4环境科学与工程学术型 深研院 郭晓鸣统考539.4环境科学与工程学术型 深研院 钟剑统考535环境科学与工程学术型 深研院 万超凡统考533.6环境科学与工程学术型 深研院 李博推免免试环境工程专业学位一等校本部 李洋推免免试环境工程专业学位一等校本部 曹务魁推免免试环境工程专业学位二等校本部 谢林静推免免试环境工程专业学位二等校本部 孔令超推免免试环境工程专业学位一等校本部 温汉泉推免免试环境工程专业学位二等校本部 郭晓琳推免免试环境工程专业学位一等校本部 刘星推免免试环境工程专业学位二等校本部 刘征推免免试环境工程专业学位一等校本部 杨中喆推免免试环境工程专业学位一等校本部 陈奕榕推免免试环境工程专业学位二等校本部 高丽娟推免免试环境工程专业学位一等校本部 周慧慧推免免试环境工程专业学位一等校本部 冯亮推免免试环境工程专业学位一等校本部 陈静推免免试环境工程专业学位一等校本部 马宪梁统考685环境工程专业学位一等校本部优秀生源王淑恬统考645.2环境工程专业学位一等校本部 徐蕾统考637环境工程专业学位一等校本部优秀生源李玉立统考636环境工程专业学位一等校本部优秀生源李菁统考632.4环境工程专业学位一等校本部 崔皓统考621环境工程专业学位一等校本部优秀生源何泽统考611环境工程专业学位一等校本部优秀生源李芳圆统考610环境工程专业学位一等校本部优秀生源陈帆统考610环境工程专业学位一等校本部优秀生源丁达统考602环境工程专业学位二等校本部 齐桂满统考598.4环境工程专业学位二等校本部 王进统考592环境工程专业学位二等校本部 任婷统考584.4环境工程专业学位二等校本部 王天龙统考581.6环境工程专业学位二等校本部 张敬敬统考580.2环境工程专业学位二等校本部 侯韦竹统考575.2环境工程专业学位二等校本部 张丽统考572.6环境工程专业学位三等校本部 冀雅婉统考570.8环境工程专业学位三等校本部 李新琦统考570.4环境工程专业学位三等校本部 段子恒统考569.8环境工程专业学位三等校本部 李琦统考566环境工程专业学位三等校本部 顾琼推免免试环境工程专业学位 深研院 吴桂楠推免免试环境工程专业学位 深研院 吴秀伟统考604.4环境工程专业学位 深研院 吴阳统考545.2环境工程专业学位 深研院 陈若男推免免试建筑与土木工程(暖通方向)专业学位二等校本部 黄莺推免免试建筑与土木工程(暖通方向)专业学位二等校本部 李国磊推免免试建筑与土木工程(暖通方向)专业学位二等校本部 吉玉辰推免免试建筑与土木工程(暖通方向)专业学位一等校本部 陈鹏飞推免免试建筑与土木工程(暖通方向)专业学位二等校本部 于克成推免免试建筑与土木工程(暖通方向)专业学位一等校本部 芦欣推免免试建筑与土木工程(暖通方向)专业学位一等校本部 任坤推免免试建筑与土木工程(暖通方向)专业学位一等校本部 林己又推免免试建筑与土木工程(暖通方向)专业学位二等校本部 肖晔推免免试建筑与土木工程(暖通方向)专业学位一等校本部 蔡强推免免试建筑与土木工程(暖通方向)专业学位二等校本部 宋涛推免免试建筑与土木工程(暖通方向)专业学位二等校本部 王佳民统考580建筑与土木工程(暖通方向)专业学位一等校本部优秀生源单晓芳统考566.4建筑与土木工程(暖通方向)专业学位一等校本部 王文静统考564.4建筑与土木工程(暖通方向)专业学位一等校本部 秦楚林统考559.6建筑与土木工程(暖通方向)专业学位一等校本部 胡胜统考558建筑与土木工程(暖通方向)专业学位一等校本部优秀生源郜猛统考557.6建筑与土木工程(暖通方向)专业学位二等校本部 吴会鹏统考557建筑与土木工程(暖通方向)专业学位二等校本部 张辉辉统考556.2建筑与土木工程(暖通方向)专业学位二等校本部 李振远统考546建筑与土木工程(暖通方向)专业学位二等校本部 赵秉南统考543.6建筑与土木工程(暖通方向)专业学位三等校本部 孙敬凯统考533.4建筑与土木工程(暖通方向)专业学位三等校本部 吉劼推免免试供热、供燃气、通风及空调工程学术型一等校本部 史路阳推免免试供热、供燃气、通风及空调工程学术型一等校本部 郑进福推免免试供热、供燃气、通风及空调工程学术型一等校本部 张金冬推免免试供热、供燃气、通风及空调工程学术型一等校本部 仇丽娉推免免试供热、供燃气、通风及空调工程学术型一等校本部 李丰志推免免试供热、供燃气、通风及空调工程学术型一等校本部 张卓推免免试供热、供燃气、通风及空调工程学术型一等校本部 李慧推免免试供热、供燃气、通风及空调工程学术型一等校本部 任燕推免免试供热、供燃气、通风及空调工程学术型一等校本部 任盼红推免免试供热、供燃气、通风及空调工程学术型二等校本部 韩燕琪推免免试供热、供燃气、通风及空调工程学术型一等校本部 刚宪秀推免免试供热、供燃气、通风及空调工程学术型一等校本部 王浩推免免试供热、供燃气、通风及空调工程学术型二等校本部 赵淇棋推免免试供热、供燃气、通风及空调工程学术型一等校本部 顾小杰推免免试供热、供燃气、通风及空调工程学术型二等校本部 李露推免免试供热、供燃气、通风及空调工程学术型一等校本部 孙浩推免免试供热、供燃气、通风及空调工程学术型一等校本部 俞学炜推免免试供热、供燃气、通风及空调工程学术型一等校本部 孙纪康统考599.6供热、供燃气、通风及空调工程学术型一等校本部 任乐梅统考586.8供热、供燃气、通风及空调工程学术型一等校本部 柳文洁统考584.8供热、供燃气、通风及空调工程学术型一等校本部 朱旭统考581.2供热、供燃气、通风及空调工程学术型一等校本部 王洲统考580.8供热、供燃气、通风及空调工程学术型二等校本部 彭南统考580供热、供燃气、通风及空调工程学术型二等校本部 高增统考563.2供热、供燃气、通风及空调工程学术型二等校本部 王磊统考563供热、供燃气、通风及空调工程学术型二等校本部 张崇磊统考562.2供热、供燃气、通风及空调工程学术型三等校本部 魏琰统考558.4供热、供燃气、通风及空调工程学术型三等校本部 韩冲统考583.4流体力学学术型二等校本部 录取说明1、各录取学科复试合格线微生物学(含威海):笔试合格线90分,面试合格线60分城市水资源:笔试合格线80分,面试合格线60分。
市政环境工程学院硕士复试方案一、复试工作督察小组名单组长: 孙慧丽成员: 杨基先、姜益强、赵志伟督察电话:三、复试资格审查小组名单组长: 王鹏成员: 田禹、王威、南军、程艳辉四、学院招生计划(含推免生)说明:1、市政环境工程学院各学科在学校复试资格基础线基础上, 考虑各学科招生名额, 按四科总分由高到低排序确定复试资格线。
2、市政工程与城市水资源学科合并计算, 市政工程部分生源调剂到城市水资源学科及建筑与土木工程领域工程硕士。
3、环境科学与工程学科部分生源调剂到深圳硕士院及校本部环境工程领域工程硕士。
4、供热、供燃气、通风及空调工程、流体力学、水力学及河流动力学学科合并计算, 供热、供燃气、通风及空调工程学科部分生源调剂到流体力学、水力学及河流动力学学科、建筑与土木工程领域工程硕士。
5、流体力学、水力学及河流动力学学科名额由院内调剂产生, 流体力学为学校照料专业。
6深圳硕士院部分名额由校本部市政环境工程学院调剂产生。
五、国家推免生复试:国家推免生(全院累计78人)均需参与复试, 以此确定第一年奖学金。
六、复试考生名单(附后)七、复试考生报到与资格审查时间、地点及相关要求:(1)本校考生:报到及资格审查时间: 3月24日早晨9: 00-11: 00地点:●报考市政工程、城市水资源考生: 哈工大二校区市政学院1502房间●报考供热、供燃气、通风及空调工程, 流体力学, 水力学及河流动力学考生: 哈工大二校区市政学院1301房间●报考环境科学与工程、微生物学、环境工程考生: 哈工大二校区市政学院1401房间(2)外校考生:报到及资格审查时间: 3月25日早晨9: 00-11: 00地点:●报考市政工程、城市水资源考生: 哈工大二校区市政学院1502房间●报考供热、供燃气、通风及空调工程, 流体力学, 水力学及河流动力学考生: 哈工大二校区市政学院1301房间●报考环境科学与工程、微生物学、环境工程考生: 哈工大二校区市政学院1401房间(3)报到时携带材料:准考证(如丢失能够到网上下载打印, 无须盖章), 有效身份证件, 非应届本科生需提交学历证书、学位证书原件与复印件, 应届本科生需提交学生证原件和复印件, 其毕业证书及学士学位证书将在入课时提交审查。
2012硕士研究生入学考试市政环境工程学院录取名单发布时间:2012-3-23 0:00:00 来源: 本站拟录取名单(本部不含已接收推免生名单)序号报名号姓名总成绩预录取专业奖学金等级备注(初试+复试)1 230198785 张雪宁638.2 微生物学一等2 230193086 赵昕悦637.4 微生物学一等3 371098349 董跃634.4 微生物学一等4 410594986 祝梦婷630.8 微生物学一等5 230198374 韩婷婷627.2 微生物学一等6 230198673 王樱凝625.2 微生物学二等7 230195861 王敏617.4 微生物学二等8 211899784 隋力新611.8 微生物学二等9 441599633 师帅605.2 微生物学二等10 230194730 李露605.2 微生物学二等11 153297299 马超600.4 微生物学三等12 410589505 张玉鹏597 微生物学其它1 371098495 张丹丹626.4 环境科学与工程一等2 370289087 李帅624.4 环境科学与工程一等3 370291861 李素萍617.4 环境科学与工程一等4 371098737 林永东616 环境科学与工程一等5 130694636 李海强608.2 环境科学与工程一等6 371097595 王燕霞602 环境科学与工程一等7 370287631 冉猛600 环境科学与工程一等8 130398677 邹寒596.6 环境科学与工程一等9 422598882 宫凯悦596 环境科学与工程一等10 230195266 杨广伟595.4 环境科学与工程二等11 371098733 康钦来595.2 环境科学与工程二等12 110799465 李鹏杰592.8 环境科学与工程二等13 410590287 安广楠592.6 环境科学与工程二等14 211199997 崔庆芬591.2 环境科学与工程二等15 370297632 赵莎590.6 环境科学与工程二等16 371099369 李墨青590 环境科学与工程二等17 370997405 王秀588.2 环境科学与工程二等18 321797273 李静587.4 环境科学与工程三等19 230199146 王明轩586.8 环境科学与工程三等20 421497871 柳琴586.2 环境科学与工程三等21 230199839 白舜文585.8 环境科学与工程三等22 210496592 孙宏扬585.4 环境科学与工程三等1 210499409 曾凡哲664.6 环境工程一等2 411996889 陈光光635 环境工程一等3 345997404 孟祥博634.2 环境工程一等4 220787103 王媛媛621.6 环境工程一等5 230195297 曲建华611.2 环境工程一等6 230192357 郝帅596.2 环境工程一等7 230199903 王珺玮586.6 环境工程一等8 370179179 牛纪娥570.8 环境工程一等9 421992180 邓凤霞561.6 环境工程一等10 230193639 张笑颜561.2 环境工程一等11 230198846 程旺斌557.2 环境工程二等12 220782694 王加蒙526.2 环境工程二等13 371098500 蔡超584 环境工程二等调剂14 371097952 苗杨583.6 环境工程二等调剂15 230199258 杨先兴583.2 环境工程二等调剂16 371098734 张万昌583.2 环境工程二等调剂17 371098192 范光亮582.2 环境工程二等调剂18 370999591 王洪涛578.6 环境工程二等调剂19 371097223 苑丽梅575 环境工程三等调剂20 371097943 成瑞574.2 环境工程三等调剂21 230192228 贾琳琳572.6 环境工程三等调剂22 140596807 吕刚572.2 环境工程三等调剂23 371099275 张秀平570.2 环境工程三等调剂24 410394160 万笑云569.8 环境工程三等调剂1 370188303 王沛志656.3 市政工程一等2 370193923 翟光日652.3 市政工程一等3 230194462 刘克达650 市政工程一等4 370285890 宋艳美633.2 市政工程一等5 412098736 胡金华628.2 市政工程一等6 411996322 张亚超627.6 市政工程一等7 422695351 姜秀艳625.3 市政工程一等8 230195155 杨航618.5 市政工程二等9 370184695 刘爱敏614.2 市政工程二等10 613396042 孙燕612 市政工程二等11 422697605 曾祥国611.8 市政工程二等12 412098941 张鹏冲611.8 市政工程二等13 412099611 周合喜610.2 市政工程二等14 210499784 张志强609.5 市政工程三等15 231097655 满朝军609 市政工程三等16 340596928 陈天意607.7 市政工程三等17 220699777 杨莲607.7 市政工程三等1 411988722 高源653.5 ★城市水资源一等2 210496723 吕龙义630.5 ★城市水资源一等3 131598313 李默610.2 ★城市水资源一等4 370687861 崔海升591.2 ★城市水资源二等5 370295876 蒋云龙582.2 ★城市水资源二等6 370295636 任秀娟581.7 ★城市水资源二等7 370180988 王亮573 ★城市水资源三等8 422596654 韩安杰562.3 ★城市水资源三等1 130299861 张瑞君588.8 建筑与土木工程(市政方向)一等2 230198498 马玉乐569.3 建筑与土木工程(市政方向)一等3 220693145 徐志勇556.7 建筑与土木工程(市政方向)一等4 230192398 段宇浩545.8 建筑与土木工程(市政方向)一等5 430398430 柳斌607.2 建筑与土木工程(市政方向)一等调剂6 210497657 吴晓波602.5 建筑与土木工程(市政方向)一等调剂7 153299827 杜媛斐600.2 建筑与土木工程(市政方向)二等调剂8 230197915 柴宗学599.2 建筑与土木工程(市政方向)二等调剂9 370187515 王冬597.2 建筑与土木工程(市政方向)二等调剂10 422294062 宋必伟597.2 建筑与土木工程(市政方向)二等调剂11 230198184 张曌596 建筑与土木工程(市政方向)二等调剂12 230199261 岳霞594.8 建筑与土木工程(市政方向)三等调剂13 370188268 桂衍武593.5 建筑与土木工程(市政方向)三等调剂14 613499974 王恺尧540.7 建筑与土木工程(市政方向)其它深圳调剂1 421997239 邹斌660.6 供热、供燃气、通风及空调工程一等2 351299776 李亚平639.4 供热、供燃气、通风及空调工程一等3 220782012 赵江龙617.4 供热、供燃气、通风及空调工程一等4 230197362 陈明炀613.6 供热、供燃气、通风及空调工程一等5 230194552 周新朋612.4 供热、供燃气、通风及空调工程一等6 613397611 马龙610.8 供热、供燃气、通风及空调工程一等7 370187273 李秋华605.2 供热、供燃气、通风及空调工程一等8 210496868 卢琳604.2 供热、供燃气、通风及空调工程二等9 370187432 任静603 供热、供燃气、通风及空调工程二等10 220784288 王希602.4 供热、供燃气、通风及空调工程二等11 130394359 刘君600.6 供热、供燃气、通风及空调工程二等12 220775825 何妞600.6 供热、供燃气、通风及空调工程二等13 230196893 贺子恩598.6 供热、供燃气、通风及空调工程二等14 370996781 窦荣舟596 供热、供燃气、通风及空调工程三等15 120491715 潘为亮592 供热、供燃气、通风及空调工程三等16 230195767 覃露才590.8 供热、供燃气、通风及空调工程三等17 370289530 赵洋588 供热、供燃气、通风及空调工程其它1 321197155 陈龙551.2 建筑与土木工程(暖通方向)一等2 412093406 徐付民587 建筑与土木工程(暖通方向)一等调剂3 110697485 范乐乐585.8 建筑与土木工程(暖通方向)一等调剂4 230196073 刘钊582.4 建筑与土木工程(暖通方向)一等调剂5 210497603 于萍581.8 建筑与土木工程(暖通方向)二等调剂6 370289712 朱广远578.6 建筑与土木工程(暖通方向)二等调剂7 345995122 闫龙林576.4 建筑与土木工程(暖通方向)二等调剂8 230190803 杨美林575.4 建筑与土木工程(暖通方向)二等调剂9 210497167 苗莎莎575 建筑与土木工程(暖通方向)三等调剂10 230195825 田金乙572.6 建筑与土木工程(暖通方向)三等调剂11 210892134 唐瑞570.2 建筑与土木工程(暖通方向)其它调剂1 321397109 万智华567.4 流体力学一等调剂2 613495370 李雪松559.6 流体力学二等调剂3 370185508 骆菲菲547.2 流体力学三等调剂4 230195796 郭龙544.2 流体力学其它调剂1 230193506 张易凯581 水力学及河流动力学一等调剂2 230194984 孙华鑫563.8 水力学及河流动力学二等调剂3 230197216 崔磊563.6 水力学及河流动力学三等调剂1 530696412 王天强推免生环境科学与工程(深圳)特等2 330295786 董玉芳推免生环境科学与工程(深圳)特等3 370180401 高洁605.2 环境科学与工程(深圳)特等4 321497318 顾玉荣580.2 环境科学与工程(深圳)特等5 370182870 李玲572.4 环境科学与工程(深圳)一等6 370299977 闫庆允565.2 环境科学与工程(深圳)一等7 370290377 周宏563.2 环境科学与工程(深圳)一等8 422595309 贺小萌562.8 环境科学与工程(深圳)一等9 230196715 王欢欢556.4 环境科学与工程(深圳)一等10 431297622 胡海啸552.2 环境科学与工程(深圳)一等11 230197862 蔡辰551.6 环境科学与工程(深圳)二等12 611598534 毛彦青551.4 环境科学与工程(深圳)二等13 420598094 陈浩547.8 环境科学与工程(深圳)二等14 370181088 范洪凯541 环境科学与工程(深圳)二等15 410198989 郭园园538.4 环境科学与工程(深圳)二等16 111097381 曹杰530.2 环境科学与工程(深圳)二等17 411299595 闫渊521.6 环境科学与工程(深圳)三等18 370690977 何永兵513.6 环境科学与工程(深圳)三等1 410290000 董姣推免生环境工程(深圳)特等2 410290536 宋浩然推免生环境工程(深圳)特等3 530696239 蒋为推免生环境工程(深圳)特等4 530695899 杨倩推免生环境工程(深圳)特等5 230194597 宫秀臣602.8 环境工程(深圳)特等6 611598472 戴江帆576.4 环境工程(深圳)一等7 230198875 徐飞569.8 环境工程(深圳)一等8 230192224 戴璐璐570.8 环境工程(深圳)三等调剂录取,总成绩为初试成绩+复试笔试成绩+二次面试成绩9 371097147 李红桔570 环境工程(深圳)三等同上10 620598516 杨亚新565.4 环境工程(深圳)三等同上11 230198745 张聪558.2 环境工程(深圳)三等同上12 130689508 张靓558.2 环境工程(深圳)三等同上13 230194694 蔡广强550.4 环境工程(深圳)三等同上14 410591432 张晓英549.8 环境工程(深圳)三等同上15 410297420 闫旭东542.6 环境工程(深圳)三等同上16 220792067 吴子焱542.2 环境工程(深圳)三等同上17 230198649 刘贤博535.4 环境工程(深圳)三等同上18 500799805 曲韵甜518.6 环境工程(深圳)三等同上1 321398232 周倍立609.2 市政工程(深圳)特等2 340599855 汤钟608.5 市政工程(深圳)一等3 431497344 傅学敏598 市政工程(深圳)一等4 431499440 邓有志589.5 市政工程(深圳)一等5 340193966 董亚丽578.8 市政工程(深圳)一等6 345798530 徐锋571.8 市政工程(深圳)二等7 650698918 李谱570.2 市政工程(深圳)二等8 345797319 余波570.2 市政工程(深圳)二等9 131597936 封帅566.3 市政工程(深圳)二等10 422499425 李琼辉564 市政工程(深圳)三等11 130495209 孙铎561.7 市政工程(深圳)三等12 431499969 朱安邦550.2 市政工程(深圳)三等1 410595815 魏轲596.4 微生物学(威海)奖学金评定参照威海校区办法2 220599450 孙丽595.2 微生物学(威海)3 371098665 苏聪595 微生物学(威海)4 230198819 孙娇娇592.8 微生物学(威海)5 410598822 盛瑞雪589.6 微生物学(威海)6 230199201 崔迪587.2 微生物学(威海)未录取名单序号报名号姓名总成绩预录取专业奖学金等级备注(初试+复试)1 370295043 侯强591.3 市政工程无2 321498147 李敏587.8 市政工程无3 370196425 李汝587.8 市政工程无4 140199593 吴立乐586.5 市政工程无5 230197004 李百玲585.7 市政工程无6 613395550 张丹丹578.2 市政工程无7 411997596 雷莉577.5 市政工程无8 231098625 李永达574.2 市政工程无9 330195608 王征宇573.8 市政工程无10 422698098 叶健571.8 市政工程无11 230197475 张忠祥571.2 市政工程无12 120697376 赵洋569.3 市政工程无13 500198175 张怡昕564.5 市政工程无14 370979607 杨孟洁561.8 市政工程无15 613499947 贾泽宇561 市政工程无16 230194758 邹博宇553.5 市政工程无17 340189792 韦婷535.8 市政工程无18 500196167 郭路伟376 市政工程无1 422597925 曹礼聪552.2 ★城市水资源无1 120496479 杨军566.8 环境科学与工程无2 345998531 魏启航558.4 环境科学与工程无3 230196072 赵银平557.2 环境科学与工程无4 370290522 王亚萍543 环境科学与工程无5 210798411 姜春泮541.4 环境科学与工程无6 410399152 郑明明539.4 环境科学与工程无7 370190229 万来535.8 环境科学与工程无8 370997486 李风菊525.8 环境科学与工程无9 611798165 刘洋洋519.8 环境科学与工程无10 321398509 李良春517.8 环境科学与工程无11 330499576 刘易成504.8 环境科学与工程无12 152198085 吴言502.8 环境科学与工程无1 230197103 刘天赋500.4 环境工程无1 230198142 姜焕焕584.4 微生物学无2 230197155 谢丽娜583 微生物学无3 410589478 刘凤琴579.2 微生物学无4 230199561 李伟伟576.6 微生物学无5 220786859 霍耐凡560.4 微生物学无6 230197529 王继颖557.2 微生物学无7 230193964 崔馨文553.4 微生物学无8 230194072 田宝莹551.6 微生物学无9 230199506 朱磊547.8 微生物学无10 430796581 王丽雪530.4 微生物学无11 411399435 谢盼盼516.6 微生物学无1 130398425 李庭569.8 供热、供燃气、通风及空调工程无2 321297084 蔡俊祥569.6 供热、供燃气、通风及空调工程无3 422299725 郑磊562 供热、供燃气、通风及空调工程无4 345999205 王本栋562 供热、供燃气、通风及空调工程无5 370187253 常健560 供热、供燃气、通风及空调工程无6 220799589 纪彬彬558.4 供热、供燃气、通风及空调工程无7 140296577 唐德林554.6 供热、供燃气、通风及空调工程无8 220785142 王野554.2 供热、供燃气、通风及空调工程无9 613396241 杨杰548 供热、供燃气、通风及空调工程无10 321297752 张铮544 供热、供燃气、通风及空调工程无11 370182203 匡东升536.4 供热、供燃气、通风及空调工程无12 230195649 曹运韬534 供热、供燃气、通风及空调工程无13 230199904 沈根532 供热、供燃气、通风及空调工程无14 230198718 张霄月531.2 供热、供燃气、通风及空调工程无15 431498172 肖鹏523 供热、供燃气、通风及空调工程无16 345999161 孔凡鑫510 供热、供燃气、通风及空调工程无17 370284085 杨文松498 供热、供燃气、通风及空调工程无18 230199273 刘璐494.8 供热、供燃气、通风及空调工程无19 340499848 段彩侠482.6 供热、供燃气、通风及空调工程无1 230196105 封利君481.4 建筑与土木工程(暖通方向)无。
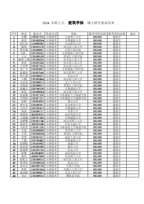
2014 年哈工大 建筑学院 硕士招生复试名单序号姓名报名号考试方式 学校报考学科代码报考学科名称备注1宋鹏230197578全国统考大连理工大学085100建筑学2姜霖230198264全国统考吉林建筑大学085100建筑学3徐红冉111699592全国统考东北林业大学085100建筑学4甄琪230193178全国统考哈尔滨工业大学085100建筑学5李孟璇230199667全国统考长春工程学院085100建筑学6马维一220780022全国统考吉林建筑工程学院085100建筑学7王正230199139全国统考黑龙江工程学院085100建筑学8陶斯玉潇230198285全国统考哈尔滨工业大学081300建筑学9黄茜230193543全国统考哈尔滨工业大学081300建筑学10王亚隽230197312全国统考哈尔滨工业大学081300建筑学11邹广宇230195907全国统考吉林建筑工程学院081300建筑学12赵曼冰230197045全国统考哈尔滨理工大学081300建筑学13徐小惠230196837全国统考长安大学081300建筑学14王鹏230198484全国统考哈尔滨工业大学081300建筑学15宋泉昊230196975全国统考辽宁工业大学081300建筑学16何晓晨230199657全国统考黑龙江工程学院081300建筑学17崔巍文220796539全国统考吉林建筑大学081300建筑学18崔浩230198684全国统考哈尔滨工业大学081300建筑学19张丽娜230197320全国统考吉林建筑大学城建学院081300建筑学20苏瑞琪230197337全国统考吉林建筑大学城建学院081300建筑学21张帆130393993全国统考燕山大学081300建筑学22李东东230198597全国统考东北林业大学081300建筑学23王何宇220792475全国统考吉林建筑大学081300建筑学24姜彧230196717全国统考华侨大学081300建筑学25林德海422295051全国统考武汉科技大学081300建筑学26文晓璐220767562全国统考吉林建筑大学081300建筑学27刘梦雅230193740全国统考哈尔滨理工大学081300建筑学28周清华360195340全国统考华东交通大学081300建筑学29刘祝贺230197319全国统考吉林建筑大学城建学院081300建筑学30吴迪230198908全国统考青岛理工大学081300建筑学31全禹230194104全国统考黑龙江工程学院081300建筑学32邓博230195127全国统考沈阳工业大学081300建筑学33王璐220789482全国统考吉林建筑大学081300建筑学34张腾蛟230193862全国统考南通大学081300建筑学35张思琪230198390全国统考烟台大学081300建筑学36张晓晖210195720全国统考东北大学081300建筑学37廖攀421994900全国统考武汉科技大学081300建筑学38梁钊430697699全国统考长沙理工大学081300建筑学39郭乾立230199015全国统考哈尔滨工业大学081300建筑学40林泽乾230198634全国统考延边大学081300建筑学41池华山410199756全国统考中原工学院081300建筑学42李静150192564全国统考内蒙古工业大学081300建筑学43晏凌峰230196907全国统考河北工程大学081300建筑学44刘宏230199023全国统考攀枝花学院081300建筑学45王田230198429全国统考黑龙江科技大学081300建筑学46曹宇230198978全国统考哈尔滨工业大学081300建筑学47陈桐230198670全国统考哈尔滨工业大学081300建筑学优秀生源48崔猛230193336全国统考东北石油大学081300建筑学49张廷冬230193303全国统考哈尔滨工业大学081300建筑学50刘思琪230194388全国统考哈尔滨理工大学081300建筑学51邸云起230194873全国统考哈尔滨理工大学081300建筑学52张秀芝230198315全国统考东北林业大学081300建筑学53胡凯莉370197898全国统考济南大学081300建筑学54张琦230198413全国统考哈尔滨理工大学081300建筑学55金雨蒙321497327全国统考苏州科技学院081300建筑学56李安娜230199593全国统考昆明理工大学081300建筑学57何欣230195299全国统考大连民族学院081300建筑学58李云辉230197839全国统考河南理工大学081300建筑学59李琦152199019全国统考武汉理工大学081300建筑学60赵庆超230198295全国统考河北建筑工程学院081300建筑学61许晓婷230197524全国统考黑龙江东方学院081300建筑学62宗敏230193450全国统考东北林业大学081300建筑学63王兰兰230194127全国统考河南城建学院081300建筑学64鲁佩佩230192734全国统考东北林业大学081300建筑学65郭威230199049全国统考烟台大学081300建筑学66周楠230198934全国统考黑龙江工程学院081300建筑学67王爽230193590全国统考东北林业大学081300建筑学68侯佳男230198815全国统考哈尔滨理工大学081300建筑学69侯清扬230198730全国统考哈尔滨理工大学081300建筑学70解文龙210899404全国统考大连理工大学081300建筑学71任常历210297770全国统考大连民族学院081300建筑学72蒲琪230197990全国统考黑龙江科技大学081300建筑学73杨宇230197815全国统考烟台大学081300建筑学74鲁钰雯230198213全国统考东北林业大学085300城乡规划学75赵欣220771496全国统考吉林建筑大学085300城乡规划学76卢新潮230199967全国统考哈尔滨工业大学085300城乡规划学77罗晶晶230193673全国统考成都理工大学083300城乡规划学78王磊230196361全国统考东北林业大学083300城乡规划学79于兴冉230193089全国统考河北工程大学083300城乡规划学80张晶230194384全国统考河北工业大学083300城乡规划学81武中阳230198273全国统考东北林业大学083300城乡规划学82石飞230199019全国统考内蒙古工业大学083300城乡规划学83庞翠芸230192714全国统考山东科技大学083300城乡规划学84谷梦婷150298251全国统考内蒙古科技大学083300城乡规划学85吴晓晨230198449全国统考东北农业大学083300城乡规划学86王利会130695000全国统考河北农业大学083300城市规划87陈天骁230195427全国统考青岛理工大学083300城乡规划学88马智莉230197946全国统考沈阳建筑大学083300城乡规划学89林芳菲230197929全国统考哈尔滨工业大学083300城乡规划学90周立威230198929全国统考绥化学院083300城乡规划学91戴超230196555全国统考哈尔滨工业大学083300城乡规划学92刘宇琛230198732全国统考黑龙江工程学院083300城乡规划学93王潇111699715全国统考北京建筑大学083300城乡规划学94陈宇230199943全国统考哈尔滨工业大学083300城乡规划学95付天宇230197690全国统考哈尔滨工业大学083300城乡规划学96陈小洋230197488全国统考哈尔滨工业大学083300城乡规划学97房佳萱230195724全国统考山东建筑大学085300城乡规划学98郭娟娟230198519全国统考商丘师范学院085300城乡规划学99边博文230199179全国统考东北林业大学083300城乡规划学100涂静文230198029全国统考沈阳建筑大学083300城乡规划学101于潇130797805全国统考河北建筑工程学院083300城乡规划学102冀萱130494173全国统考河北工程大学科信学院083300城乡规划学103周易375798965全国统考山东建筑大学083300城乡规划学104陈康230197783全国统考沈阳建筑大学083300城乡规划学105王文秀410499623全国统考河南城建学院083300城乡规划学106袁艺220695176全国统考西南大学083300城乡规划学107方慧360190796全国统考江西师范大学083300城乡规划学108周雪瑞230198431全国统考吉林建筑大学083300城乡规划学109李铁220771295全国统考吉林建筑大学083300城乡规划学110孙华中375799132全国统考山东建筑大学083300城乡规划学111孟晶晶410498724全国统考河南城建学院083300城乡规划学112高红玉131695854全国统考河北工业大学083300城乡规划学113孙琴230199212全国统考东北林业大学085300城乡规划学114高晓宇220793838全国统考吉林建筑大学095300风景园林学115孟昭晶230197088全国统考东北农业大学095300风景园林学116吴尚230198819全国统考哈尔滨工业大学095300风景园林学117袁雪娇230196208全国统考东北农业大学095300风景园林学118周烨230196094全国统考华中农业大学095300风景园林学119冯大力230199092全国统考哈尔滨工业大学095300风景园林学120于赫230199343全国统考东北林业大学095300风景园林学121王瀚宇230198686全国统考吉林大学095300风景园林学122谭卓琳230199875全国统考东北林业大学083400风景园林学123井伟业230199615全国统考东北林业大学083400风景园林学124金蕾230198323全国统考东北林业大学083400风景园林学125马毓230197878全国统考西安建筑科技大学083400风景园林学126杨杰莹230199545全国统考东北林业大学083400风景园林学127孟佳卉230197558全国统考东北林业大学083400风景园林128曹彦芹230194817全国统考哈尔滨师范大学095300风景园林129贾翼萌230197489全国统考大连外国语大学095300风景园林130王海洋230198096全国统考东北林业大学095300风景园林131王希铭230195611全国统考东北林业大学095300风景园林132姜晓雪230194560全国统考东北林业大学095300风景园林133李响130395682全国统考河北科技师范学院095300风景园林134贾丽博230199889全国统考东北林业大学095300风景园林135李山山230199325全国统考东北林业大学095300风景园林136郑红霞375799807全国统考山东农业大学095300风景园林137赵阳230198499全国统考东北林业大学095300风景园林138危聪宁510299028全国统考四川农业大学095300风景园林139左路路230194450全国统考鲁迅美术学院087200设计学140任禹豫230198810全国统考大连理工大学城市学院087200设计学。
2011年哈工大硕士招生复试名单第一考场哈工大二校区主楼B11序号报考方式姓名考生报名号毕业学校名称1推荐免试王豪杰630197675青海大学2全国统考杨妮613397846长安大学3全国统考王志韩510699581四川大学4全国统考赵礼英510696110西安建筑科技大学5推荐免试刘彩虹510190182四川大学6推荐免试危有达500191130重庆大学7推荐免试张晓维441897028华南理工大学8全国统考刘祎431499603湖南科技大学9全国统考岳霞430699641长沙理工大学10全国统考林巍430398288湖南大学11全国统考江夏422698097武汉理工大学12全国统考周连波422698031武汉理工大学13全国统考陈仰光422697652华中科技大学14全国统考高静湉422692997武汉理工大学15全国统考谭浩422692924武汉科技大学16全国统考王彩艳422599815武汉科技大学17全国统考王芳422599814武汉科技大学18全国统考欧阳辉422595911武汉科技大学19全国统考刘兴哲420598826华中科技大学武昌分校20推荐免试牟晋铭420489511武汉理工大学21全国统考孔艳丽412191814华北水利水电学院22全国统考黄龙412190484华北水利水电学院23全国统考宋亚丽412190476华北水利水电学院24推荐免试李丹阳411985366郑州大学25推荐免试张圆411985059郑州大学26全国统考马凯丽410599147河南师范大学27全国统考辛文克410498647平顶山工学院28全国统考孙波370399546山东理工大学29全国统考韩京龙370298390青岛理工大学30全国统考赵凤仙370282087青岛理工大学31全国统考庄永伟370196696济南大学32全国统考秦祎370190550济南大学33全国统考张清周370179072山东建筑大学34全国统考赵松370178351山东建筑大学35全国统考聂立伟370174307山东建筑大学36全国统考孟庆杰370173560山东建筑大学37全国统考佟超370167440山东建筑大学38全国统考余俊洁361199324华中科技大学39全国统考元东杰351296826华侨大学40全国统考吴婷婷345998321合肥工业大学41全国统考凌睿345799961安徽建筑工业学院42全国统考吴小菁340393449华中科技大学43全国统考张钊彬330188785浙江工商大学44推荐免试赖后伟330185131浙江工业大学45全国统考齐明321397715扬州大学46推荐免试白朗明321186326河海大学47推荐免试周剑昊321186037东南大学48全国统考张旭磊310698514上海电力学院49推荐免试刘世光310693612同济大学50推荐免试王莹230296211哈尔滨工程大学51全国统考罗新海230199896哈尔滨工业大学52全国统考郭绍东230199658哈尔滨工程大学53全国统考王俊佳230199641哈尔滨工程大学54全国统考王明阳230199633哈尔滨工程大学55全国统考任志群230199613哈尔滨工程大学56全国统考付志敏230199598哈尔滨工程大学57全国统考孙桂山230199152哈尔滨商业大学58全国统考李梓龙230199111哈尔滨工业大学59全国统考王成功230198934哈尔滨工业大学60全国统考张欣桐230198917哈尔滨工业大学61全国统考杨洋230198564哈尔滨工业大学62全国统考何语函230198391哈尔滨工业大学63全国统考王振北230198338哈尔滨工业大学64全国统考何春友230198210哈尔滨工业大学65全国统考王子林230198063哈尔滨工业大学66全国统考胡启超230197973哈尔滨工业大学67全国统考沈彤230197370哈尔滨工业大学68全国统考庞雪玲230196591大连海洋大学69推荐免试李阳青230196385哈尔滨工业大学70推荐免试方兴230196232哈尔滨工业大学71推荐免试李志远230196072哈尔滨工业大学72推荐免试宋阳230196047哈尔滨工业大学73推荐免试杨延栋230196044哈尔滨工业大学74推荐免试李一蒙230196041哈尔滨工业大学75推荐免试秦雯230196038哈尔滨工业大学76推荐免试黄源230196029哈尔滨工业大学77推荐免试潘超230196027哈尔滨工业大学78推荐免试李金龙230196014哈尔滨工业大学79推荐免试魏文涛230196011哈尔滨工业大学80推荐免试杜星230196000哈尔滨工业大学81推荐免试郑凯230195475哈尔滨工业大学82推荐免试迟丽影230195302哈尔滨工业大学83推荐免试廉佩佩230195092哈尔滨工业大学84推荐免试王茜茜230195025哈尔滨工业大学85推荐免试丁浩230194997哈尔滨工业大学86全国统考刘洞阳230192560长安大学87全国统考贡飞220698658东北电力大学88全国统考徐志勇220698330东北电力大学89全国统考吴传栋220697986东北电力大学90全国统考孟令威220697193东北电力大学91全国统考程鹏210497233沈阳建筑大学92全国统考郑莹莹141092908太原理工大学93推荐免试樊磊涛131399214河北大学94全国统考石书振130798346河北建筑工程学院95全国统考李晓静130796884河北建筑工程学院96全国统考李添文130396555东北大学秦皇岛分校97推荐免试褚明兴120493142天津大学第二考场哈工大二校区主楼B12序号考场座位号姓名考生报名号毕业学校名称1全国统考王洪秀620897408兰州大学2全国统考周换景620499880河西学院3全国统考朱珍613496427西安建筑科技大学4全国统考闫向玲613496411西安建筑科技大学5全国统考晁爱芬611695534西北大学6全国统考刘清雅511797584西南交通大学7全国统考李志能511797176西南交通大学8全国统考唐俊511397612西南科技大学9全国统考张超510699170四川大学10全国统考于航500799988西南大学11推荐免试孟佳500795938西南大学12推荐免试康茜500190820重庆大学13推荐免试姚晓然411985632郑州大学14全国统考曾宪勇410299295河南大学15全国统考郭润泽410194016天津工业大学16全国统考朱莹371099456哈尔滨工业大学17全国统考杨树人371099448哈尔滨工业大学18全国统考贺玉强371099229哈尔滨工业大学19全国统考赵宗亭371099066哈尔滨工业大学20全国统考张洁371099065哈尔滨工业大学21全国统考王兆星371098763哈尔滨工业大学22全国统考王冰371098548哈尔滨工业大学23全国统考房小健371098219哈尔滨工业大学24全国统考高建锋371098213哈尔滨工业大学25全国统考赵延超371098177哈尔滨工业大学26全国统考陈侃371098146哈尔滨工业大学27全国统考罗衎371096041哈尔滨工业大学28全国统考袁青370994601山东农业大学29全国统考杨红伟370988583黑龙江大学30全国统考慈霖370898479曲阜师范大学31全国统考温秀菊370294150青岛大学32全国统考孟霞370188092山东轻工业学院33全国统考王世忠370167389山东建筑大学34全国统考张春艳360186636南昌大学35全国统考杨伟345796247安徽建筑工业学院36全国统考韩如冰345796246安徽建筑工业学院37全国统考王丹345795734安徽大学38全国统考汪洵341098759哈尔滨工业大学39全国统考傅生杰330191957浙江工业大学40全国统考马素丽321597419江南大学41全国统考陈旺源321192077东南大学42全国统考祝磊231199244齐齐哈尔大学43推荐免试隋明锐230898003东北农业大学44推荐免试郜爽230498441东北林业大学45推荐免试丛岩230297056哈尔滨工程大学46全国统考刘堃230199899哈尔滨商业大学47全国统考陶晶230199898哈尔滨商业大学48全国统考张淼230199699哈尔滨工业大学49全国统考谭婧洋230199566黑龙江大学50全国统考孙文龙230199411哈尔滨商业大学51全国统考黄晓辰230199330东北林业大学52全国统考周义230199310哈尔滨工业大学53全国统考许中硕230199051哈尔滨工程大学54全国统考杨纪超230198940哈尔滨商业大学55全国统考张林欢230198884哈尔滨工程大学56全国统考吕丽娜230198751哈尔滨理工大学57全国统考杜子威230198745哈尔滨工业大学58全国统考张占玲230198692哈尔滨理工大学59全国统考钭斐昀230198686哈尔滨工业大学60全国统考刘俞颉230198651哈尔滨商业大学61全国统考樊宇230198596东北林业大学62全国统考朱雷雷230198348东北林业大学63全国统考陈浩230198234哈尔滨工业大学64全国统考孙甜甜230197890齐齐哈尔大学65全国统考张萌230197564黑龙江大学66全国统考张丹薇230197455哈尔滨理工大学67全国统考李宁230197321哈尔滨工程大学68全国统考孙雪莹230197312哈尔滨商业大学69全国统考梁喜花230197220哈尔滨商业大学70全国统考于洋230197206哈尔滨理工大学71全国统考张义龙230197172哈尔滨理工大学72全国统考曲航玲230197049哈尔滨商业大学73全国统考尹玉磊230197016哈尔滨商业大学74全国统考马晓杰230196860哈尔滨师范大学75全国统考禹晨230196677哈尔滨工业大学76全国统考范贤培230196647哈尔滨工业大学77全国统考李瑞鑫230196612哈尔滨商业大学78全国统考夏雪230196583哈尔滨商业大学79全国统考王月倩230196499哈尔滨师范大学80全国统考彭良玉230196436哈尔滨理工大学81全国统考刘宇230196031中北大学82推荐免试刘丹丹230195988哈尔滨工业大学83推荐免试付辰230195962哈尔滨工业大学84推荐免试王玥230195943哈尔滨工业大学85推荐免试李江雯230195942哈尔滨工业大学86推荐免试于虹霞230195935哈尔滨工业大学87推荐免试吴晴230195934哈尔滨工业大学88推荐免试余亮华230195932哈尔滨工业大学89推荐免试陈果230195869哈尔滨工业大学90推荐免试孙华章230195806哈尔滨工业大学91推荐免试任龙游230195805哈尔滨工业大学92推荐免试杨虹230195703哈尔滨工业大学93推荐免试张智超230195700哈尔滨工业大学94推荐免试邓慧娟230195663哈尔滨工业大学95推荐免试王龙230195589哈尔滨工业大学96推荐免试刘子述230195525哈尔滨工业大学97推荐免试龚真龙230195512哈尔滨工业大学98推荐免试张晓磊230195511哈尔滨工业大学99推荐免试孙宇晴230195497哈尔滨工业大学100推荐免试刘鑫岩230195493哈尔滨工业大学101推荐免试孔祥震230195266哈尔滨工业大学102全国统考苗肖君230195249渤海大学103全国统考李明230193790哈尔滨工业大学104全国统考张铁鑫230193498东北石油大学105全国统考孟姣姣230193350哈尔滨工业大学106全国统考吕俊宏230193333东北农业大学107全国统考章磊230192473哈尔滨理工大学108推荐免试郭爽221299982东北师范大学109全国统考吴耀文220798163吉林大学110全国统考朱建平220698716吉林化工学院111全国统考张志伟214096864大连大学112推荐免试周璇212499771东北大学113全国统考孙移鹿210998055沈阳建筑大学114全国统考赵双阳210899750大连理工大学115全国统考李紫叶210796654辽宁大学116全国统考王忠刚153299726内蒙古工业大学117全国统考张欢欢140897391山西财经大学118全国统考龚小娟140798228太原科技大学119全国统考李弘140499790山西农业大学120全国统考郝敏娜140298177太原理工大学121全国统考迪世靖140196889山西大学122全国统考陈旭130695730河北农业大学123全国统考严显超130396544燕山大学124全国统考赵小晶120495967天津理工大学125推荐免试康灵玲111098119北京化工大学126推荐免试陈希110897085中国地质大学(北京)第三考场哈工大二校区主楼B41序号考场座位号姓名考生报名号毕业学校名称1全国统考金晔511798244西南交通大学2全国统考王松431499449湖南科技大学3全国统考温信422595696武汉科技大学4全国统考郑宸422296723华中科技大学5推荐免试陈奕420290635华中科技大学6全国统考魏然412197918河南农业大学7推荐免试张素娟412191278华北水利水电学院8全国统考屈月月412190988华北水利水电学院9全国统考田金乙412096511郑州轻工业学院10全国统考侯娟411997639郑州大学11全国统考绳晓会411997591郑州大学12全国统考邓永强411994597郑州大学13全国统考岳朴杰410697350河南理工大学14推荐免试刘珊珊375498032中国石油大学(华东) 15全国统考马洪波370997633山东农业大学16全国统考马瑞370699885鲁东大学17全国统考辛晓东370699722滨州医学院18全国统考杨志岗370299543山东科技大学19全国统考于文娟370296045山东科技大学20全国统考谢栋栋370289120山东科技大学21全国统考郭带江370277467青岛农业大学22全国统考冯淑娟370277442山东科技大学23全国统考冯夫顺370183568山东建筑大学24全国统考邵珠贯370174900山东建筑大学25全国统考张磊370174372山东建筑大学26全国统考陈江娜370173996山东建筑大学27全国统考宗浩370170034山东建筑大学28全国统考安自成360797050江西理工大学29全国统考赵伟345995390合肥工业大学30全国统考韩亚娟321397630扬州大学31全国统考卞爱萍321396776扬州大学32全国统考田雨时231599668黑龙江八一农垦大学33全国统考刘贵祥231198455齐齐哈尔大学34全国统考李光明231196853哈尔滨师范大学35全国统考丁雨婷231099240东北石油大学36全国统考金锐231095571东北农业大学37推荐免试孙杰230498373东北林业大学38推荐免试李玉洲230296214哈尔滨工程大学39全国统考郝青230199968哈尔滨工业大学40全国统考许林季230199777哈尔滨师范大学41全国统考迟雪230199762哈尔滨师范大学42全国统考张春鸽230199743黑龙江大学43全国统考赵金艳230199662哈尔滨工业大学44全国统考唐明宇230199634哈尔滨工业大学45全国统考贾文文230199514黑龙江大学46全国统考郑禾山230199449黑龙江大学47全国统考魏薇230199401哈尔滨医科大学48全国统考宁巍230199318东北林业大学49全国统考洪艳艳230199311哈尔滨师范大学50全国统考张龙230199225哈尔滨工业大学51全国统考田锋230199209哈尔滨工业大学52全国统考张继军230199204东北林业大学53全国统考张春亮230199169哈尔滨工业大学54全国统考仪超230199155黑龙江大学55全国统考侯雅男230199002东北农业大学56全国统考童为政230198906哈尔滨工业大学57全国统考王琦230198660东华大学58全国统考李利华230198591哈尔滨师范大学59全国统考杨林山230198453哈尔滨工业大学60全国统考张晶230198370哈尔滨商业大学61全国统考张科230198228哈尔滨工业大学62全国统考尤立剑230198215哈尔滨师范大学63全国统考李晓峰230198134哈尔滨工程大学64全国统考李程瑶230198133沈阳建筑大学65全国统考乔钰淇230197459哈尔滨理工大学66全国统考温化霆230197147沈阳建筑大学67全国统考曲德虎230196888哈尔滨工业大学68全国统考王欣磊230196078哈尔滨师范大学69全国统考王东阳230196002哈尔滨师范大学70推荐免试杜清婷230195981哈尔滨工业大学71推荐免试周志波230195966哈尔滨工业大学72推荐免试王平230195959哈尔滨工业大学73推荐免试刘小林230195946哈尔滨工业大学74推荐免试张月庆230195940哈尔滨工业大学75推荐免试税亚欧230195930哈尔滨工业大学76推荐免试杨明全230195923哈尔滨工业大学77推荐免试张辰公230195893哈尔滨工业大学78推荐免试涂鹤馨230195881哈尔滨工业大学79推荐免试李欢欢230195747哈尔滨工业大学80推荐免试刘婷婷230195734哈尔滨工业大学81推荐免试王俊230195733哈尔滨工业大学82推荐免试孟娜230195699哈尔滨工业大学83推荐免试高嘉明230195697哈尔滨工业大学84全国统考王嘉杰230195692哈尔滨工业大学85推荐免试赵建飞230195367哈尔滨工业大学86推荐免试张伟龙230195318哈尔滨工业大学87全国统考史世坤230195246哈尔滨工业大学88全国统考杨迪230195228东北电力大学89推荐免试崔鑫230195193哈尔滨工业大学90全国统考田宝莹230195087哈尔滨师范大学91全国统考孙恒飞230194877黑龙江大学92全国统考曹运韬230194352哈尔滨工业大学93全国统考王悦230193081哈尔滨师范大学94全国统考何妞220799989吉林建筑工程学院95全国统考严华夏220793922吉林建筑工程学院96全国统考高艺珂220699964东北电力大学97全国统考张立影220698263东北电力大学98推荐免试孟莉思212299545大连理工大学99全国统考赵志钦210899125大连理工大学100全国统考张健210898227大连医科大学101全国统考曲俊杰210798494辽宁大学102全国统考于宗坤210499534沈阳建筑大学103全国统考宋宇141095244太原理工大学104全国统考颜丽娟131597530河北科技大学105推荐免试张洪颖131399446燕山大学106全国统考左珍君131096350华北科技学院107全国统考陈熙130399552燕山大学里仁学院108全国统考田泽辉130394782燕山大学109全国统考胡田飞130393271燕山大学110全国统考韩学伟130299268河北联合大学111推荐免试史美琦120493244天津大学112全国统考王辉120299784天津工业大学113全国统考闫惠婷120298445天津工业大学114全国统考李浩然110899740北京科技大学115全国统考余元波110898705北方工业大学。
201 4 年哈工大航天学院硕士招生复试名单姓名报名号考试方式毕业学校报考学科代码报考学科代码杨宏宇230197954统考哈尔滨工业大学80901物理电子学刘洋330196283统考中国计量学院80901物理电子学于方磊371099205统考哈尔滨工业大学80901物理电子学梁凌熙230194818统考哈尔滨工业大学80901物理电子学邢晓晴230197194统考哈尔滨工业大学80901物理电子学杨宇亮220798111统考长春理工大学80901物理电子学马学130397191统考燕山大学80901物理电子学李伟230198396统考哈尔滨工业大学80901物理电子学李海龙370186879统考山东建筑大学80901物理电子学董美香370177273统考山东建筑大学80901物理电子学刘斌230197474统考黑龙江大学80901物理电子学关佳雨230199521统考哈尔滨理工大学80901物理电子学张文红230199966统考哈尔滨工业大学80901物理电子学朱林220793724统考长春理工大学80901物理电子学法鑫230198234统考哈尔滨理工大学80901物理电子学李柏230196777统考黑龙江大学80901物理电子学蒋栗230198084统考哈尔滨工业大学80901物理电子学刘瑞230193989统考哈尔滨工业大学80901物理电子学姜文光130393671统考燕山大学80901物理电子学赵晓荣220776829统考长春理工大学80901物理电子学武林321197073统考南京航空航天大学80901物理电子学李志博321790372统考中国矿业大学(徐州)80901物理电子学侯国忠230194869统考哈尔滨理工大学80901物理电子学张美玲220788209统考长春理工大学80901物理电子学王喆230198528统考哈尔滨工业大学80901物理电子学王晓丹220781131统考长春理工大学光电信息学院80901物理电子学张月姣130399442统考燕山大学里仁学院80901物理电子学陈毅230197893统考哈尔滨工业大学80901物理电子学罗华菊511796827统考西南科技大学80901物理电子学陈天阳230197508统考哈尔滨工业大学80901物理电子学高玉峰130396109统考燕山大学80901物理电子学王晓瑞371098920统考哈尔滨工业大学80901物理电子学王旭琴230197402统考黑龙江大学80901物理电子学张新130399800统考燕山大学里仁学院80901物理电子学名单座位号正心13-13正心13-14正心13-15正心13-16正心13-17正心13-18正心13-19正心13-20正心13-21正心13-22正心13-23正心13-24正心13-25正心13-26正心13-27正心13-28正心13-29正心13-30正心13-31正心13-32正心13-33正心13-34正心13-35正心13-36正心13-37正心13-38正心13-39正心13-40正心13-41正心13-42正心13-43正心13-44正心13-45正心13-46。
新闻类型:公告发布时间:2014-3-18 15:32:09 发布人:admin2014年哈尔滨工业大学硕士研究生招生拟录取名单院(系)代码与名称:市政环境工程学院姓名考试方式总成绩录取学科学位类别奖学金等级录取校区备注朱学武统考618.9城市水资源学术型一等校本部 黄睿统考590.9城市水资源学术型一等校本部 龙智云统考576.9城市水资源学术型二等校本部 闫津赫统考553城市水资源学术型二等校本部 杨浩统考548.1城市水资源学术型三等校本部 崔寒统考654微生物学学术型一等校本部 肖若楠统考630微生物学学术型一等校本部 王祥锟统考625微生物学学术型一等校本部 皮姗姗统考623.6微生物学学术型一等校本部 刘璐统考619微生物学学术型二等校本部 刘晴靓统考618.8微生物学学术型二等校本部 朱宏源统考613.8微生物学学术型二等校本部 齐珊珊统考597微生物学学术型二等校本部 王艺统考589.2微生物学学术型三等校本部 吴曲丽统考587.2微生物学学术型三等校本部 赵佳怡统考584.6微生物学学术型三等校本部 李西齐推免免试微生物学学术型 威海校区 武一奇推免免试市政工程学术型一等校本部 杨佳琦推免免试市政工程学术型一等校本部 鲍禹寰推免免试市政工程学术型一等校本部 颜仲达推免免试市政工程学术型一等校本部 吴限推免免试市政工程学术型二等校本部 闫博引推免免试市政工程学术型一等校本部 徐浩推免免试市政工程学术型二等校本部 黄壮松推免免试市政工程学术型一等校本部 晋艺欣推免免试市政工程学术型一等校本部 靳倩倩推免免试市政工程学术型一等校本部 李琢宇推免免试市政工程学术型一等校本部 赵健慧推免免试市政工程学术型一等校本部 王一然推免免试市政工程学术型一等校本部 尹航推免免试市政工程学术型一等校本部 郑晨推免免试市政工程学术型一等校本部 刘伟利推免免试市政工程学术型一等校本部 李娟推免免试市政工程学术型一等校本部 徐明俊推免免试市政工程学术型一等校本部 王艳芳推免免试市政工程学术型一等校本部 袁胜楠推免免试市政工程学术型一等校本部 康芳芳推免免试市政工程学术型二等校本部 黄枭统考597.3市政工程学术型一等校本部 胡熹统考595.5市政工程学术型一等校本部 张会会统考587.9市政工程学术型一等校本部 熊丹丹统考587.3市政工程学术型一等校本部 李麟统考585.7市政工程学术型一等校本部 王伟强统考577.1市政工程学术型一等校本部 甘振东统考568.7市政工程学术型二等校本部 王泽深统考565.8市政工程学术型二等校本部 钟建松统考562市政工程学术型二等校本部 魏盼盼统考561市政工程学术型二等校本部 张泽统考559.5市政工程学术型二等校本部 张家栋统考557.2市政工程学术型二等校本部 金佳林统考555.9市政工程学术型三等校本部 亓信石统考555.5市政工程学术型三等校本部 朱昆统考551.9市政工程学术型三等校本部 尚文涛统考586.1市政工程学术型 深研院 刘伟统考585.6市政工程学术型 深研院 戴方为统考584.1市政工程学术型 深研院 王巍统考583.6市政工程学术型 深研院 肖立平统考572.4市政工程学术型 深研院 李翊豪统考569.1市政工程学术型 深研院 李鹏飞统考552.3市政工程学术型 深研院 石文栋统考532.4市政工程学术型 深研院 李佳音统考530.3市政工程学术型 深研院 牛瑞兰统考527.9市政工程学术型 深研院 蔡森林统考525.1市政工程学术型 深研院 戴康海统考524.8市政工程学术型 深研院 张晓飞推免免试建筑与土木工程(市政方向)专业学位一等校本部 王盼新推免免试建筑与土木工程(市政方向)专业学位一等校本部 韩利明推免免试建筑与土木工程(市政方向)专业学位二等校本部 肖婉婷推免免试建筑与土木工程(市政方向)专业学位一等校本部 冯靖涵推免免试建筑与土木工程(市政方向)专业学位一等校本部 郝艳萍推免免试建筑与土木工程(市政方向)专业学位一等校本部 许颖推免免试建筑与土木工程(市政方向)专业学位二等校本部 张立洲推免免试建筑与土木工程(市政方向)专业学位二等校本部 徐杰推免免试建筑与土木工程(市政方向)专业学位一等校本部 李茂侨推免免试建筑与土木工程(市政方向)专业学位一等校本部 朱世俊推免免试建筑与土木工程(市政方向)专业学位二等校本部 辛红梅推免免试建筑与土木工程(市政方向)专业学位一等校本部 张浩浩统考604.7建筑与土木工程(市政方向)专业学位一等校本部 管梓含统考600.5建筑与土木工程(市政方向)专业学位一等校本部优秀生源夏灵冬统考581.6建筑与土木工程(市政方向)专业学位一等校本部 王伟超统考578.8建筑与土木工程(市政方向)专业学位一等校本部 文焱统考567.5建筑与土木工程(市政方向)专业学位一等校本部优秀生源孙风莲统考561.4建筑与土木工程(市政方向)专业学位二等校本部 李炜煜统考560.8建筑与土木工程(市政方向)专业学位二等校本部 郭远庆统考548.9建筑与土木工程(市政方向)专业学位二等校本部 周琪皓统考541.6建筑与土木工程(市政方向)专业学位二等校本部 王自强统考527.6建筑与土木工程(市政方向)专业学位二等校本部 陈亮统考523.4建筑与土木工程(市政方向)专业学位三等校本部 周杰统考523.2建筑与土木工程(市政方向)专业学位三等校本部 凌梅统考522.9建筑与土木工程(市政方向)专业学位三等校本部 王生旺统考508.7建筑与土木工程(市政方向)专业学位三等校本部 李琨推免免试环境科学与工程学术型一等校本部 王亚琼推免免试环境科学与工程学术型一等校本部 李硕推免免试环境科学与工程学术型二等校本部 王成推免免试环境科学与工程学术型一等校本部 赵龙彬推免免试环境科学与工程学术型一等校本部 杨乐推免免试环境科学与工程学术型一等校本部 马珊珊推免免试环境科学与工程学术型一等校本部 林小秋推免免试环境科学与工程学术型一等校本部 于澜推免免试环境科学与工程学术型一等校本部 漆梦媛推免免试环境科学与工程学术型一等校本部 张若晨推免免试环境科学与工程学术型一等校本部 靳敏推免免试环境科学与工程学术型一等校本部 陈玲波推免免试环境科学与工程学术型二等校本部 吕淼推免免试环境科学与工程学术型一等校本部 王愚推免免试环境科学与工程学术型二等校本部 刘璞推免免试环境科学与工程学术型一等校本部 李道玉统考630.7环境科学与工程学术型一等校本部 李玖龄统考630.5环境科学与工程学术型一等校本部 杨子增统考623.5环境科学与工程学术型一等校本部 詹巍统考620.9环境科学与工程学术型一等校本部 杨莹统考619.9环境科学与工程学术型一等校本部 张明星统考614.7环境科学与工程学术型一等校本部 宋迪慧统考613.5环境科学与工程学术型一等校本部 沙焕伟统考612.9环境科学与工程学术型一等校本部 吴树洁统考612.1环境科学与工程学术型二等校本部 赵廷统考611.7环境科学与工程学术型二等校本部 杨朝勇统考610.9环境科学与工程学术型二等校本部 曹文阳统考608.9环境科学与工程学术型二等校本部 程佳琦统考606.1环境科学与工程学术型二等校本部 付艺伟统考604.3环境科学与工程学术型二等校本部 姜振统考601.3环境科学与工程学术型二等校本部 潘颖统考598.4环境科学与工程学术型二等校本部 洪理靖统考597.3环境科学与工程学术型三等校本部 张永森统考597.1环境科学与工程学术型三等校本部 梁涛统考591.1环境科学与工程学术型三等校本部 孙霓统考590.1环境科学与工程学术型三等校本部 龚钰涵统考589.6环境科学与工程学术型三等校本部 佟智达推免免试环境科学与工程学术型 深研院 曹松推免免试环境科学与工程学术型 深研院 张彬声推免免试环境科学与工程学术型 深研院 孙婷婷统考587.4环境科学与工程学术型 深研院 卢勋统考586.4环境科学与工程学术型 深研院 朱先刚统考586.4环境科学与工程学术型 深研院 史振江统考581.4环境科学与工程学术型 深研院 杜昌行统考576.4环境科学与工程学术型 深研院 郭仕达统考567.2环境科学与工程学术型 深研院 赵杰统考567环境科学与工程学术型 深研院 邵运贤统考561.4环境科学与工程学术型 深研院 韩慧丽统考558.4环境科学与工程学术型 深研院 孙蓓蓓统考552.4环境科学与工程学术型 深研院 薛冬统考542.4环境科学与工程学术型 深研院 郭晓鸣统考539.4环境科学与工程学术型 深研院 钟剑统考535环境科学与工程学术型 深研院 万超凡统考533.6环境科学与工程学术型 深研院 李博推免免试环境工程专业学位一等校本部 李洋推免免试环境工程专业学位一等校本部 曹务魁推免免试环境工程专业学位二等校本部 谢林静推免免试环境工程专业学位二等校本部 孔令超推免免试环境工程专业学位一等校本部 温汉泉推免免试环境工程专业学位二等校本部 郭晓琳推免免试环境工程专业学位一等校本部 刘星推免免试环境工程专业学位二等校本部 刘征推免免试环境工程专业学位一等校本部 杨中喆推免免试环境工程专业学位一等校本部 陈奕榕推免免试环境工程专业学位二等校本部 高丽娟推免免试环境工程专业学位一等校本部 周慧慧推免免试环境工程专业学位一等校本部 冯亮推免免试环境工程专业学位一等校本部 陈静推免免试环境工程专业学位一等校本部 马宪梁统考685环境工程专业学位一等校本部优秀生源王淑恬统考645.2环境工程专业学位一等校本部 徐蕾统考637环境工程专业学位一等校本部优秀生源李玉立统考636环境工程专业学位一等校本部优秀生源李菁统考632.4环境工程专业学位一等校本部 崔皓统考621环境工程专业学位一等校本部优秀生源何泽统考611环境工程专业学位一等校本部优秀生源李芳圆统考610环境工程专业学位一等校本部优秀生源陈帆统考610环境工程专业学位一等校本部优秀生源丁达统考602环境工程专业学位二等校本部 齐桂满统考598.4环境工程专业学位二等校本部 王进统考592环境工程专业学位二等校本部 任婷统考584.4环境工程专业学位二等校本部 王天龙统考581.6环境工程专业学位二等校本部 张敬敬统考580.2环境工程专业学位二等校本部 侯韦竹统考575.2环境工程专业学位二等校本部 张丽统考572.6环境工程专业学位三等校本部 冀雅婉统考570.8环境工程专业学位三等校本部 李新琦统考570.4环境工程专业学位三等校本部 段子恒统考569.8环境工程专业学位三等校本部 李琦统考566环境工程专业学位三等校本部 顾琼推免免试环境工程专业学位 深研院 吴桂楠推免免试环境工程专业学位 深研院 吴秀伟统考604.4环境工程专业学位 深研院 吴阳统考545.2环境工程专业学位 深研院 陈若男推免免试建筑与土木工程(暖通方向)专业学位二等校本部 黄莺推免免试建筑与土木工程(暖通方向)专业学位二等校本部 李国磊推免免试建筑与土木工程(暖通方向)专业学位二等校本部 吉玉辰推免免试建筑与土木工程(暖通方向)专业学位一等校本部 陈鹏飞推免免试建筑与土木工程(暖通方向)专业学位二等校本部 于克成推免免试建筑与土木工程(暖通方向)专业学位一等校本部 芦欣推免免试建筑与土木工程(暖通方向)专业学位一等校本部 任坤推免免试建筑与土木工程(暖通方向)专业学位一等校本部 林己又推免免试建筑与土木工程(暖通方向)专业学位二等校本部 肖晔推免免试建筑与土木工程(暖通方向)专业学位一等校本部 蔡强推免免试建筑与土木工程(暖通方向)专业学位二等校本部 宋涛推免免试建筑与土木工程(暖通方向)专业学位二等校本部 王佳民统考580建筑与土木工程(暖通方向)专业学位一等校本部优秀生源单晓芳统考566.4建筑与土木工程(暖通方向)专业学位一等校本部 王文静统考564.4建筑与土木工程(暖通方向)专业学位一等校本部 秦楚林统考559.6建筑与土木工程(暖通方向)专业学位一等校本部 胡胜统考558建筑与土木工程(暖通方向)专业学位一等校本部优秀生源郜猛统考557.6建筑与土木工程(暖通方向)专业学位二等校本部 吴会鹏统考557建筑与土木工程(暖通方向)专业学位二等校本部 张辉辉统考556.2建筑与土木工程(暖通方向)专业学位二等校本部 李振远统考546建筑与土木工程(暖通方向)专业学位二等校本部 赵秉南统考543.6建筑与土木工程(暖通方向)专业学位三等校本部 孙敬凯统考533.4建筑与土木工程(暖通方向)专业学位三等校本部 吉劼推免免试供热、供燃气、通风及空调工程学术型一等校本部 史路阳推免免试供热、供燃气、通风及空调工程学术型一等校本部 郑进福推免免试供热、供燃气、通风及空调工程学术型一等校本部 张金冬推免免试供热、供燃气、通风及空调工程学术型一等校本部 仇丽娉推免免试供热、供燃气、通风及空调工程学术型一等校本部 李丰志推免免试供热、供燃气、通风及空调工程学术型一等校本部 张卓推免免试供热、供燃气、通风及空调工程学术型一等校本部 李慧推免免试供热、供燃气、通风及空调工程学术型一等校本部 任燕推免免试供热、供燃气、通风及空调工程学术型一等校本部 任盼红推免免试供热、供燃气、通风及空调工程学术型二等校本部 韩燕琪推免免试供热、供燃气、通风及空调工程学术型一等校本部 刚宪秀推免免试供热、供燃气、通风及空调工程学术型一等校本部 王浩推免免试供热、供燃气、通风及空调工程学术型二等校本部 赵淇棋推免免试供热、供燃气、通风及空调工程学术型一等校本部 顾小杰推免免试供热、供燃气、通风及空调工程学术型二等校本部 李露推免免试供热、供燃气、通风及空调工程学术型一等校本部 孙浩推免免试供热、供燃气、通风及空调工程学术型一等校本部 俞学炜推免免试供热、供燃气、通风及空调工程学术型一等校本部 孙纪康统考599.6供热、供燃气、通风及空调工程学术型一等校本部 任乐梅统考586.8供热、供燃气、通风及空调工程学术型一等校本部 柳文洁统考584.8供热、供燃气、通风及空调工程学术型一等校本部 朱旭统考581.2供热、供燃气、通风及空调工程学术型一等校本部 王洲统考580.8供热、供燃气、通风及空调工程学术型二等校本部 彭南统考580供热、供燃气、通风及空调工程学术型二等校本部 高增统考563.2供热、供燃气、通风及空调工程学术型二等校本部 王磊统考563供热、供燃气、通风及空调工程学术型二等校本部 张崇磊统考562.2供热、供燃气、通风及空调工程学术型三等校本部 魏琰统考558.4供热、供燃气、通风及空调工程学术型三等校本部 韩冲统考583.4流体力学学术型二等校本部 录取说明1、各录取学科复试合格线微生物学(含威海):笔试合格线90分,面试合格线60分城市水资源:笔试合格线80分,面试合格线60分。