人教版小学六年级解方程练习
- 格式:doc
- 大小:283.00 KB
- 文档页数:11
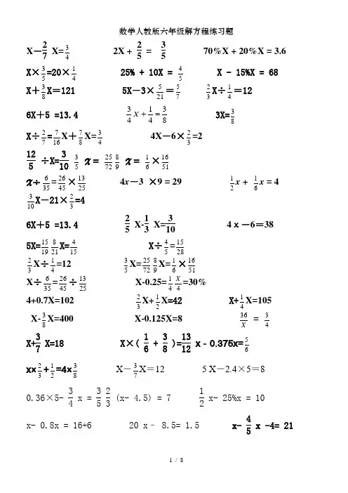
人教版六年级数学解方程练习题及答案一、填空. 1.使方程左右两边相等的,叫做方程的解.2.被减数=差○减数,除数=○.3.求的过程叫做解方程.4.小明买5支钢笔,每支a 元;买4支铅笔,每支b 元.一共付出元.二、判断.1.含有未知数的式子叫做方程..4x+、6x=都是方程. 3.18x=的解是x=3..等式不一定是方程,方程一定是等式.三、选择.1.下面的式子中,是方程.①25x②15-3=1 ③6x+1=④4x+7<92.方程9.5-x =9.5的解是.①x=9.+ ②x=1 ③x =03.x =3.7是下面方程的解.①6x +9=1 ②3x =4. ③14.8÷x =4四、解方程.1 1.52- x =1.1÷3.5x =1.. X+8.3=10.74. 15x =25五、用方程表示下面的数量关系,并求出方程的解. 1. x 的3倍等于8.4.2.除x 等于0.9..x 减42.6的差是3.4.一、解方程.1.x ÷0.7=9.×6+4x =3. 5-3x =19111 .=4.x -18+4=. x= x -1854二、列方程并求解.1.一个数的4倍减去8,差是10,2.一个数的6倍加上4乘0.7的求这个数?积,和是11.8,求这个数?三、计算.1.当x等于什么数时,4x-6的值等于18?.当x 等于什么数时,4x-6的值大于18?四、思考题.如果3x-8=16,那么4x+3=.答案一1、等式、+ ,被除数/除数、方程的解、5a+4b二、╳╳╳√三、3四、1、x=74;、x=20;3、x=6、x=0.2五、1、3x=8.x=2.;、x/7=0.x=6.3、x-42.6=3.x=46一、 1、x=0.、x=1.53、 x=24、x=10、x=886、 x=360二、1、4x-8=10 x=4.、64+4*0.7=11. x=1.5三、4x-6=1x=6x-6>1x>6四、35总复习一:解简易方程练习一、填空.1.使方程左右两边相等的,叫做方程的解.2.被减数=差○减数,除数=○.3.求的过程叫做解方程.4.小明买5支钢笔,每支a 元;买4支铅笔,每支b 元.一共付出元.二、判断.1.含有未知数的式子叫做方程..4x+、6x=都是方程..18x=的解是x=3.4.等式不一定是方程,方程一定是等式.三、选择. 1.下面的式子中,是方程.①25x②15-3=1 ③6x+1=④4x+7<92.方程9.5-x =9.5的解是.①x=9.+ ②x=1 ③x =03.x =3.7是下面方程的解.①6x +9=1 ②3x =4. ③14.8÷x =4四、解方程.11.52-=1.1÷3.5x =1.323. X+8.3=10.74. 15x =5五、用方程表示下面的数量关系,并求出方程的解. 1. x 的3倍等于8.4.2.除x 等于0.9.3.x 减42.6的差是3.4.一、解方程.1.x ÷0.7=9.×6+4x =363. 5-3x =1.=41115.x -18+4=. x= x -18454二、列方程并求解.1.一个数的4倍减去8,差是10,2.一个数的6倍加上4乘0.7的求这个数?积,和是,求这个数?三、计算.1.当x等于什么数时,4x-6的值等于18?2.当x等于什么数时,4x-6的值大于18?四、思考题.如果3x-8=16,那么4x+3=.一1、等式、+ ,被除数/除数、方程的解、5a+4b 二、╳╳╳√ 三、3四、1、x=74;、x=20;3、x=6、x=0.2五、1、3x=8.x=2.;、x/7=0.x=6.3、x-42.6=3.x=4一、 1、x=0.、x=1.53、 x=24、x=10、x=886二、1、4x-8=10 x=4.、64+4*0.7=11. x=1.三、4x-6=1x=6x-6>1x>6四、35、 x=360小学六年级解方程练习题1233273X= X÷= ÷X=51087161X325=30% X = X-0.25=4X×35=20×1450% X +X - 15%X = XX+78X=346X+=13.4XX-×=95X5724X =.5% X + 15%X = -X =4X1X + 1X =X+-6=38-3×5521=7+38X=12114X=2034X+134=8-6×23=213320.36×5-X = X - 0.X = 16+ = 45321321X÷=122=8X- X=34X×=1 XX - X -4=1+0.7X=102-0.37X =56531020 X–.5= 1.5 1X -5% X = 102。
经典人教版六年级解方程应用题1、X - 27 X=432、 2X + 25 = 353、70%X + 20%X = 3.64、X ×53=20×41 5、25% + 10X = 54 6、X - 15%X = 687、X +83X =121 8、5X -3×215=75 9、32X ÷41=1210、6X +5 =13.4 11、834143=+X 12、3X=8313、X ÷72=167 14、X +87X=43 15、4X -6×32=216、125 ÷X=310 17、53 X = 7225 18、98 X = 61×511619、X ÷ 356=4526×2513 20、4x -3 ×9 = 29 21、21x + 61x = 422、103X -21×32=4 23、6X +5 =13.4 24、25 X-13 X=31025、4χ-6=38 26、5X=1915 27、218X=15428、X ÷54=281529、32X ÷41=12 30、53X=7225 31、98X=61×511632、X ÷356=4526÷2513 33、 X-0.25=41 34、4X =30%35、4+0.7X=102 36、32X+21X=42 37、X+41X=10538、X-83X=400 39、X-0.125X=8 40、X36 = 4341、X+37 X=18 42、X ×( 16 + 38 )=1312 43、x -0.375x=6544、x ×32+21=4×83 45、X -73X =12 46、5 X -2.4×5=847、0.36×5- 34 x = 35 48、23 (x- 4.5) = 7 49、12 x- 25%x = 1050、x- 0.8x = 16+6 51、20 x – 8.5= 1.5 52、x- 45 x -4= 2153、X +25%X=90 54、 X -37 X= 89方程(1)53χ+2.4χ=6 (2)3.5: χ=5:4.2 (3)1.8χ-χ=2.4(4)x10=8.05.2 (5)6×3-1.8χ=7.2 (6)17-5χ=2.4+351(7)4x =52.1 (8) χ-41χ=83 (9)12.6×65-2χ=8(10)2.1x =6.05.1 (11)53×21-χ=51 (12)32 χ+50%=42(13)4χ-13=31 (14)4.5+8χ=2721 (15)2χ+4.3×3=1421(16) χ×(1-83)=132 (17)χ-41χ=83 (18)321÷4χ=2.5(19)4.0x=65.1 (20)1.6:χ=52:103 (21)3χ-16×3=102(22)x :197=201:31 (23)4χ+7.1=12.5 (24)χ:0.6=31:4 (25)32:73=97:χ (26) 0.3χ-2=9.1 (27)7x =5.36.0(28)21x -41=81 (29) χ: 21=41:81 (30)21: χ=41:81(31)3χ+41χ=2132(32)145:75=0.3: χ (33)131-χ=89.2(34)31:0.25=80%: χ (35)4χ+7.1=12.5 (36)43-21χ=51(37)32χ-21χ+51=32 (38)43:53=χ:12 (39) χ-21χ=107(40) χ:43=12:3 (41)2.4χ-0.45×2=0.3 42)41:81=χ:0.1(43)6.3-5χ=4.1 (44)1.25:5=0.75:χ (45)21:χ=43:6(46)53×2.5-χ=0.6 (47) χ-61χ=125(48)31: χ=51:76列方程解应用题综合练习题(50道)1、 运送29.5吨煤,先用一辆载重4吨的汽车运3次,剩下的用一辆载重为2.5吨的货车运。
人教版六年级解方程及解比例练习题解比例:x:10=41:310.4:x=1.2:2 4.212=x321:51=41:x 0.8:4=x:8 43:x=3:121.25:0.25=x:1.6 92=x 8 x 36=354x: 32=6: 2524 x 5.4=2.2645:x=18:262.8:4.2=x:9.6 101:x=81:41 2.8:4.2=x:9.6x:24= 43:31 8:x=54:43 85:61=x: 1210.6∶4=2.4∶x 6∶x =15∶13 0.612=1.5x34∶12=x ∶45 1112∶45=2536∶x x ∶114=0.7∶1210∶50=x ∶40 1.3∶x =5.2∶20 x ∶3.6=6∶1813∶120=169∶ x 4.60.2=8x 38=x 641、工程队修一条水渠,原方案每天修360米,30天修完。
修10天后,每天多修40米,再修多少天就能完成任务?2、农场挖一条水渠,头5天挖了180米,照这样速度,又用了16天挖完这条水渠。
这条水渠全长多少米?3、一列火车从甲地开往乙地,5小时行了350千米,照这样计算,共要行9小时。
甲乙两地相距多少千米?、40千克小麦能磨面粉32千克,照这样计算,7吨小麦能磨面粉多少千克?5、机床厂4天能生产小机床32台,照这样计算,要生产120台小机床需几天?6、测量小组把一米长的竹竿直立在地面上,测得它的影子长度是1.6米,同时测得电线杆的影子长度是4米,求电线杆高多少米?7、要测量一棵树的高度,量得树的影子长度是8.4米,同时用一根2米长的标杆直立在地面上,量得影子长度是1.2米,这棵树高是多少米?8、修路队修一段路,头3天修了135米,照这样速度,又修了8天才修完这段路,这段路长多少米?9、一辆汽车从甲地开往乙地,甲乙两地相距405千米,头4小时行驶了180千米,剩下的路程还要行多少小时?10、某印刷厂方案三月份印刷课本20000本,结果上旬就印刷7000本,照这样速度,三月份可以多印刷多少本?11、用5辆同样汽车运粮食一次能运22.5吨,照这样计算,要把36吨粮食一次运完,需要增加多少辆这样的汽车?12、服装厂生产制服,前3个月生产0.48万套,照这样计算,今年可以生产制服多少万套?13、农场用3辆拖拉机耕地,每天共耕225公顷,如果用5辆同样的拖拉机,每天共耕在多少公顷?14、一艘轮船,从甲地开往乙地,每小时行20千米,12小时到达,从乙地返回甲地时,每小时航行4千米,几小时可以到达?15、100千克黄豆可以榨油13千克,照这样计算,要榨豆油6.5吨,需黄豆多少吨?6、一个房间,用边长3分米的方砖铺地,需要432块,如果改用边长4分米的方砖铺地,需要多少块?39、把3米长的竹竿直立在地面上,测得影长1.2米,同时测得一根旗杆的影长为4.8米,求旗杆的高是多少米?40.在一幅地图上,测得甲、乙两地的图上距离是12厘米,甲乙两地的实际距离是480千米。
X -27 X=43 2X + 25 = 35 70%X + 20%X = 3.6 X ×53=20×41 25% + 10X = 54 X - 15%X = 68 X +83X =121 5X -3×215=75 32X ÷41=12 6X +5 =13.4 834143=+X 3X=83 X ÷72=167X +87X=43 4X -6×32=2 125 ÷X=310 53 X = 722598 X = 61×5116 X ÷356=4526×2513 4x -3 ×9 = 29 21x + 61x = 4103X -21×32=4 6X +5 =13.4 25 X-13 X=3104χ-6=38 5X=1915218X=154 X ÷54=2815 32X ÷41=12 53X=722598X=61×5116 X ÷356=4526÷2513 X-0.25=414X =30% 4+0.7X=102 32X+21X =42 X+41X=105 X-83X=400 X-0.125X=8 X 36 = 43 X+37 X=18 X ×( 16 + 38 )=1312 x -0.375x=65 x ×32+21=4×83 X -73X =12 5 X -2.4×5=8 0.36×5- 34 x = 35 23 (x- 4.5) = 7 12x- 25%x = 10 x- 0.8x = 16+6 20 x – 8.5= 1.5 x- 45x -4= 21X +25%X=90 X -37 X= 89(1)53χ+2.4χ=6 (2)3.5: χ=5:4.2(3)1.8χ-χ=2.4 (4)x 10=8.05.2 (5)6×3-1.8χ=7.2(6)17-5χ=2.4+351 (7)4x =52.1 (8) χ-41χ=83 (9)12.6×65-2χ=8 (10)2.1x =6.05.1 (11)53×21-χ=51列方程解应用题综合练习题(50道)1、 运送29.5吨煤,先用一辆载重4吨的汽车运3次,剩下的用一辆载重为2.5吨的货车运。
人教版六年级解方程及解比例练习题解比例:x:10=41:31 0.4:x=1.2:2 4.212=x321:51=41:x 0.8:4=x:8 43:x=3:121.25:0.25=x:1.6 92=x 8 x 36=354 x: 32=6: 2524x 5.4=2.26 45:x=18:262.8:4.2=x:9.6 101:x=81:41 2.8:4.2=x:9.6x:24= 43:31 8:x=54:43 85:61=x: 1210.6∶4=2.4∶x6∶x=15∶130.612=1.5x3 4∶12=x∶451112∶45=2536∶x x∶114=0.7∶1210∶50=x∶40 1.3∶x=5.2∶20 x∶3.6=6∶181 3∶120=169∶x4.60.2=8x38=x64应用题1、营业员把一张5元的人民币和一张5角的人民币换成了28张票面为1元和1角的人民币,求换来的这两种人民币各多少张?2、有一元,二元,五元的人民币共50张,总面值为116元,已知一元的比二元的多2张,问三种面值的人民币各多少张?3、有3元,5元和7元的电影票400张,一共价值1920元,其中7元和5元的张数相等,三种价格的电影票各多少张?4、用大、小两种汽车运货,每辆大汽车装18箱,每辆小汽车装12箱,现在有18车货,价值3024元,若每箱便宜2元,则这批货价值2520元,问:大、小汽车各有多少辆?5、一辆卡车运矿石,晴天每天可运20次,雨天每天可运12次,它一共运了112次,平均每天运14次,这几天中有几天是雨天?6、运来一批西瓜,准备分两类卖,大的每千克0.4元,小的每千克0.3元,这样卖这批西瓜共值290元,如果每千克西瓜降价0.05元,这批西瓜只能卖250元,问:有多少千克大西瓜?7、甲、乙二人投飞镖比赛,规定每中一次记10分,脱靶每次倒扣6分,两人各投10次,共得152分,其中甲比乙多得16分,问:两人各中多少次?8、某次数学竞赛共有20条题目,每答对一题得5分,错了一题不仅不得分,而且还要倒扣2分,这次竞赛小明得了86分,问:他答对了几道题?9、若干个人参加劳动,他们一部分人抬土,另一部分人挑土,共用去27根扁担和44个筐,求共有多少人参加劳动?10、甲、乙、丙三人各有若干粒豆子,甲先拿自己的豆粒数的一半给乙和丙;然后乙也拿出自己现有豆粒数的一半给丙和甲;丙也把自己现有豆粒数的一半儿分给甲和乙;求他们至少有几粒豆子?11、一辆卡车运矿石,晴天每天可运16次,雨天每天只能运一次。
人教版小学数学六年级解方程达标练习题一.计算题(共15小题)1.解方程。
x÷37=16x+34x=28 50%x−14=7122.解方程。
(1)x+512=78(2)x−27=514(3)710+x−25=8153.解方程。
x÷58=925x+35x=423x−90%=2.34.解方程。
3 7+x=45x−38=12x+49=15.解方程。
x﹣25%x=6789x×316=23911x:34=126.解方程(请写出解方程的过程)。
x÷83=2957+27x=97x﹣60%=5.67.解方程。
x+25%x=4371x﹣25x=13.8 79x=238.解方程。
x÷34=34x﹣37%x=18.9 415x=516×4159.解下列方程。
23x =59 34+25x =910x −47x =2410.解方程。
59+x =0.6 x −23=415x −16−13=2511.解下列方程。
x +27=514x −16=23x −78=112.解方程。
3x −45=65x +25=6715+110−x =1513.解方程。
x−34=141.5+x=2 x+29=1314.解方程。
①x−67=58−12②5715−2x=715③4(x−23)=1.615.解方程。
8 5x=208m﹣48=14 13x+15x=85参考答案 一.计算题(共15小题) 1.解方程。
x ÷37=16x +34x =2850%x −14=712【解答】解:x ÷37=16x ÷37×37=16×37 x =114x +34x =2874x =2874x ×47=28×47 x =1650%x −14=71212x −14+14=712+14 12x =56 12x ×2=56×2 x =532.解方程。
人教版六年级数学《脱式计算、解方程》寒假练习题(含答案)一、脱式计算1.用你喜欢的方法算。
525633⨯÷ 45880%425⨯+⨯ 7117878⨯+÷ 53118118⎛⎫-⨯⨯ ⎪⎝⎭2.计算下面各题,能简算的要简算。
5724712⨯⨯ 7131381616⎛⎫+÷ ⎪⎝⎭ 713610610⨯+÷3.计算下面各题。
911835549÷÷ 329151051122÷⨯÷ 391573516÷÷1525377÷⨯÷ 523737⎛⎫-÷ ⎪⎝⎭ 633619382-÷-4.用你喜欢的方法算。
511+611×16 (27+311)×7×11 56×15+45×5612÷(13+16)5.计算下面各题。
32243⨯÷ 5256312⎛⎫÷- ⎪⎝⎭ 3415515126⎛⎫⎛⎫-÷ ⎪ ⎪⎝⎭⎝⎭+2113412⎛⎫-÷ ⎪⎝⎭ 15134825÷÷553788510⎛⎫-⨯÷ ⎪⎝⎭6.脱式计算。
(能简算的要简算)300×(1+3.75%×2) 0.25×45+25%×15[20-(0.4+1)]×50% 5.6×34+0.75+3.4×75%7.混合运算,能简算的要简算。
1820.6353÷⨯ 517 2.512-÷ 8154254-⨯ 353536⨯815913913÷+⨯ 9944169-⨯ 3484525÷⨯ 334.2510.2558⎛⎫÷⨯+ ⎪⎝⎭8.计算下面各题。
(能简算的要简算。
)5641277⨯⨯ 51163721⎛⎫+⨯ ⎪⎝⎭5375% 4.50.7524⨯+⨯+9.递等式计算。