(完整)初中数学中考计算题复习(最全)-含答案,推荐文档
- 格式:pptx
- 大小:525.79 KB
- 文档页数:37
.. 初中数学计算题大全(一)计算下列各题1 .2.36)21(60tan1)2(10+-----π431417)539(524----3. 4.0(3)--)4(31)5.01(14-÷⨯+--5.4+23 +38-6.()232812564.0-⨯⨯7--8.(1)(2)322011321(++--23991012322⨯-⨯10.⎪⎭⎫⎝⎛-÷⎪⎭⎫⎝⎛-+601651274311.(1)(2)-+÷12.413.18123+-⎛-⎝214.. 15.;xxxx3)1246(÷-612131()3(2÷-+-16.20)21()25(2936318-+-+-+-17.(1)(2))3127(12+-()()6618332÷-+-18.()24335274158.0--+⎪⎭⎫⎝⎛+-⎪⎭⎫⎝⎛---1920.11()2|4---。
())120131124π-⎛⎫---+- ⎪⎝⎭21..22.-+23.2+3参考答案1.解=1-|1-|-2+2=1+1--2+2=33333【解析】略2.5【解析】原式=14-9=53.【解析】解:87-)4(31)5.01(14-÷⨯+--⎪⎭⎫⎝⎛-⨯⨯--=4131231811+-=87-=先算乘方,再算乘除,最后算加减,有括号的先算括号里面的。
注意:底数是41-4,有小数又有分数时,一般都化成分数再进行计算。
4.0(3)-11-+-+-.【解析】略5.36.4【解析】主要考查实数的运算,考查基本知识和基本的计算能力,题目简单,但易出错,计算需细心。
1、4+23 +38-=232=3+-252=42⨯⨯7-【解析】试题分析:先化简,再合并同类二次根式即可计算出结果.--=--=-考点: 二次根式的运算.8.(1)32(2)9200【解析】(1)原式=4+27+1=32(2)原式=23(1012-992) (1分)=23(101+99)(101-99)(2分)=23=9200 (1分)2200⨯⨯利用幂的性质求值。
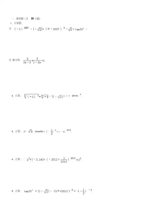
一.解答题(共30小题)1 .计算题:①(-1)攻T-也1+ 3-吹7)D-而X包";②解方程:2.计算: 枷-。
‘十^^- n -扼1+(兀-2013) 00x(— 1) 20133.计算: |1 一如|—2cos30°+ (― §)4.计算: W+|-3.141 十(-2012X7^)颂\技・5.计算: tan30& X |1 - | -(5 江+2013 ) ‘X ( _ )6.(-命)2 —^^^匚口三30。
- (2顷3-兀)7•计算:|-4|+201『一弓)"-妮xj§8. 计算:一.;I . . J .59 .计算:(命)T-2U1 30^2E in60° " I " V12 I10. 计算:〔一^^)。
十|如-2|+3tan3(T -姬cg45°乙U JL 011•计算:--12. I 一4|十(3—兀)° 一(§)'十(- 1 )2C13+sin3Q J13. 计算:| 一4|十(一1) 2013X 3-3) 啊十(_*)14. 计算:而-(厂3.14) 0+|- 3|+ (- 1) 2013+tan45 .15•计算:|-火|-2力法。
-(2012- TT ) 0+* * 201316.计算或化简:(1) 计算2」1-Vltan60 + (兀-2013) 0+| -衬(2) (a— 2) 2+4 (a— 1) — ( a+2) (a— 2)17.计算:(1) (- 1) 2013- |- 7|^1|X(瞻一兀)0+ (【) C1;O 9U 5$ ——。
I co S CXI ) +> (CXI ——)+ 9—+-co —— (L r g寸 S O D +b 9u ^o co s c o——o co u _s +g H J 5Q ) o o-M 44O CXIo g u *s m +o(u —略)f(T —JX旨(T ) Q )00(1)计算:.N I - 十(TT - 2013 ) ° + | -]22."2(2)先化简,再求值:24.(1)计算:I 必-2|七2013°-(-鼻)T 十3tan30。
一.解答题(共30小题)1.计算题:①;②解方程:.2.计算:+(π﹣2013)0.3.计算:|1﹣|﹣2cos30°+(﹣)0×(﹣1)2013.4.计算:﹣.5.计算:.7.计算:.8.计算:.9.计算:.10.计算:.11.计算:.12..13.计算:.14.计算:﹣(π﹣3.14)0+|﹣3|+(﹣1)2013+tan45°.15.计算:.16.计算或化简:(1)计算2﹣1﹣tan60°+(π﹣2013)0+|﹣|.(2)(a﹣2)2+4(a﹣1)﹣(a+2)(a﹣2)17.计算:(1)(﹣1)2013﹣|﹣7|+×0+()﹣1;(2).18.计算:.(1)19.(2)解方程:.20.计算:(1)tan45°+sin230°﹣cos30°•tan60°+cos245°;(2).21.(1)|﹣3|+16÷(﹣2)3+(2013﹣)0﹣tan60°(2)解方程:=﹣.(1)计算:.22.(1)计算:23.(2)先化简,再求值:(﹣)÷,其中x=+1.24.(1)计算:tan30°(2)解方程:.25.计算:(1)(2)先化简,再求值:÷+,其中x=2+1.26.(1)计算:;(2)解方程:.27.计算:.28.计算:.29.计算:(1+)2013﹣2(1+)2012﹣4(1+)2011.30.计算:.1.化简求值:,选择一个你喜欢且有意义的数代入求值.2.先化简,再求值,然后选取一个使原式有意义的x值代入求值.3.先化简再求值:选一个使原代数式有意义的数代入中求值.4.先化简,再求值:,请选择一个你喜欢的数代入求值.5.(2010•红河州)先化简再求值:.选一个使原代数式有意义的数代入求值.8.先化简再求值:化简,然后在0,1,2,3中选一个你认为合适的值,代入求值. 9.化简求值(1)先化简,再求值,选择你喜欢的一个数代入求值. (2)化简,其中m=5. 10.化简求值题: (1)先化简,再求值:,其中x=3. (2)先化简,再求值:,请选一个你喜欢且使式子有意义的数字代入求值. (3)先化简,再求值:,其中x=2. (4)先化简,再求值:,其中x=﹣1. 11.(2006•)化简求值:,其中a=. 12.(2010•)先化简,再求值:()÷,其中a=2. 13.先化简:,再选一个恰当的x 值代入求值. 14.化简求值:(﹣1)÷,其中x=2. 15.(2010•綦江县)先化简,再求值,,其中x=+1. 16.(2009•随州)先化简,再求值:,其中x=+1. 17.先化简,再求值:÷,其中x=tan 45°. 18.(2002•)化简,求值:(x+2)÷(x ﹣),其中x=﹣1. 19.先化简,再求值:(1+)÷,其中x=﹣3. 20.先化简,再求值:,其中a=2. 21.先化简,再求值÷(x ﹣),其中x=2. 22.先化简,再求值:,其中. 23.先化简,再求值:(﹣1)÷,其中x . 24.先化简代数式再求值,其中a=﹣2. 25.(2011•新疆)先化简,再求值:(+1)÷,其中x=2. 26.先化简,再求值:,其中x=2. 27.(2011•)先化简,再求值:(﹣2),其中x=2. 28.先化简,再求值:,其中a=﹣2. 29.(2011•)先化简,再求值:÷(x ﹣),其中x=3. 30.化简并求值:•,其中x=21. . 2。
汇总)初中数学中考计算题(最全)-含答案.doc1.解答题(共30小题)1.1 计算题:① 2+3=5;②解方程:x+5=10,解得x=5.1.2 计算:π+(π﹣2013)=2π-2013.1.3 计算:|1﹣|﹣2cos30°+(﹣)×(﹣1)2013|=|1-|-2cos30°+(-1)×(-1)2013||=|1-|-2×√3/2+1||=|1-√3+1|=|2-√3|。
1.4 计算:﹣(-2)+(-3)=1.1.5 计算:√(5+2√6)+√(5-2√6)=√2+√3.1.6 计算:(2+√3)(2-√3)=1.1.7 计算:(1+√2)²=3+2√2.1.8 计算:(1-√3)²=4-2√3.1.9 计算:(√2+1)²=3+2√2.1.10 计算:(√2-1)²=3-2√2.1.11 计算:(3+√5)(3-√5)=4.1.12 计算:(√3+1)(√3-1)=2.1.13 计算:(√2+√3)²=5+2√6.1.14 计算:﹣(π﹣3.14)+|﹣3|+(﹣1)2013+tan45°=0.1.15 计算:√3+√2-√6=√3-√2+√6.1.16 计算或化简:1)计算2﹣1﹣tan60°+(π﹣2013)+|﹣|=-tan60°-2011;2)(a﹣2)²+4(a﹣1)﹣(a+2)(a﹣2)=-3a²+10a-6.1.17 计算:1)(﹣1)2013﹣|﹣7|+(√2)﹣1=-√2-8;2)(2+√3)÷(√3-1)=1+√3.1.18 计算:(1+√2)(1-√2)=﹣1.1.19 解方程:x²+2x+1=0,解得x=-1.1.20 计算:1)tan45°+sin230°﹣cos30°•tan60°+cos245°=√2-1;2)(√2+1)²-(√2-1)²=4√2.1.211)|﹣3|+16÷(﹣2)³+(2013﹣)﹣tan60°=2010;2)解方程:(1-2x)²=3,解得x=√2﹣1.1.222)求不等式组:{x²-2x0},解得0<x<1.1.232)先化简,再求值:(√3+1)÷(√3-1)=2.1.241)计算:tan30°=√3/3;2)解方程:x²-2x+1=0,解得x=1.1.25 计算:1)√2-√3+√6=(√2-1)(√3-1);2)先化简,再求值:(√2+1)²+(√2-1)²=8.1.261)计算:(1-√2)÷(1+√2)=-1+√2;2)解方程:x²-2x+2=0,解得x=1-√3.1.27 计算:1)(√2+√3)²-(√2-√3)²=4√6;2)先化简,再求值:(x²+2x+1)÷(x²-1)=1+x。
一.解答题(共30小题)1 •计算题:①'-1:- ^1- . 'I -L'liV : - , I②解方程:|1—體2cos30° (― *) 0x(- 1) 20135•计算:ton30° 敦 |1 - | - (5^ +2013 ) °乂〔 -'3.计算:4.计算:I-3.14I+ (—2012><誌反)6. 〔- g J -〔2013-兀)7•计算: |-4|,|201 30 - 4)_2-1V28计算:上59 •计算: 申_ 1- 201 3°^2Gin60 ° " I " V12 I10计算:(-詰亍*£_2|£tan30°- V2COS®*11•计算:—:■7----- I _ -'12. -'-7 - | - 4 + :- 1■'-丄]一+ i - I 1」丄'+.—-|-4|+ (-1) 5013 X (冗-3) °-畅十_114•计算:J^j-(冗-3.14)°+|-3|+ (— 1) 2013+tan45°15•计算:卜亦|-玄。
丈呼-(2012-7T ) 0+〔壶)716.计算或化简:(1) 计算 2^- J ;tan60°+2(2) ( a - 2) +4 ( a - 1) -( a+2) (a - 2)17.计算:(1)(- 1) 2013 - |- 7|+ JX -" I I 0+ (二)-113.计算:2013)—— e sCXI ) +Q(2—— ) + 9L +-e ——(L )「9寸2s o o +b 9u gogsoo ——o ”u一s o+g寸 U 2 (L)-M 44 ・0<>|o g 韦亍 i 一+0 (U— £A)十丁(T —jI E C —)(二YUT D Q S T U ) J(写;幻—訂金衣00(2)5疋- 4=:■. - 12K-43x-6 2解方程:(1)计算: 22.._ 厂?_ 1-12(2)求不等式组K - 1^1 - XK+8>4X-1.的整数解.23.(1)计算: --0§一(2013—兀)[I(2)先化简,再求值: ,其中x= :'; +1.24.(1)计算:I I. I - - ':ta n30°kJ(2)解方程:25•计算:(1) C-112013一丁| + 岳共(衙-兀)°+5(2) 先化简,再求值:覚二亠厂:匚一K2 _1 X2+2I+1+.,其中x=2 .二+1.26.(1)计算:上」•丄匚一1- ;(2) 解方程:28•计算:|: ? I . ■- :- | - b :_ i'29 •计算:(1+. 口)2013- 2 (1+ 口)2012 - 4 (1+「)201130•计算:i —二 '■+ i - :. :JJ :J< : i i -■*-1 •化简求值:(范-宀)三([十J),选择一个你喜欢且有意义的数代入求值. K2-11 R笈耳4:2.先化简,再求值「---- ::-——,然后选取一个使原式有意义的x 值代入求值.X _ 1K 一 123 •先化简再求值:选一个使原代数式有意义的数代入一- —匚中求值.a+3 2a+6 a+2,1. . /-4自+44.先化简,再求值:,请选择一个你喜欢的数代入求值.1a 2 -a5・(2010?红河州)先化简再求值:.:.一 •选一个使原代数式有意义的数代入求值.a+3 2呂十6 計2(2)化简(*1),其中 m=5 •6•先化简,再求值:(1-,选择一个你喜欢的数代入求值.i+27•先化简,再求值:(亠-1) -,选择自己喜欢的一个x 求值.齢 3xS6x+9 &先化简再求值:化简■[ :':: '■,然后在0, 1, 2, 3中选aa个你认为合适的值,代入求值.9.化简求值(1)先化简,再求值mH(1)(2)(3)先化简,再求值:先化简,再求值:先化简,再求值:个你喜欢且使式子有意义的数字代入求值.(4)先化简,再求值: ,其中x= - 1 •11 •a2 - 2a+l aJ「1ar+1(2006?巴中)化简求值: a=. ■:12.(2010?临沂)先化简,再求值:(- ---- —-其中a=2出,其中a13.先化简: ,再选一个恰当的x值代入求值.14.化简求值:(,其中x=2.15.(2010?綦江县)先化简,再求值, ,其中x=:J胃+1.16.(2009?随州)先化简,再求值:,其中x= 1 + 1 .17.K (x - 2).耳先化简,再求值: ,其中x=tan45 °18.(2002 ?曲靖)化简,求值:(x+2 ) -(x- 5器44),其中x= - 1.19.先化简,再求值: (1 +X2- 1,其中x= - 3.20.先化简,再求值:a2 -4 a21.先化简,再求值——.(x--)1X |x 22.先化简,再求值:Y)2x-3|23.先化简,再求值:(—_ 1)亠瓦+1,其中a=2.,其中x=2 .,其中•:_.24.先化简代数式,其中x—.士「:亠再求值,其中a=- 2.25.(2011?新疆)先化简,再求值:(+1)- ,其中x=2 .26.先化简,再求值: —(汙一,其中x=2 .-1 X _127.(2011?南充)先化简,再求值: -2),其中x=2 .28.先化简,再求值: (1-1)三兰a 8,其中a=- 2.29.(x-主),其中x=3 .x1.3.1. 化简并求值:d- %) ?Z - 1(2011?武汉)先化简,再求值:,其中x=230.(a $a解方程3.解方程: 5.解方程:2xx2 4 3.x21x2 - 4x+1=0.3 _ 2 x —x-1 ./+4x- 2=02 3解分式方程----- —x 2 x 24。
一.解答题(共30小题)1.计算题:①;②解方程:.2.计算:+(π﹣2013)0.3.计算:|1﹣|﹣2cos30°+(﹣)0×(﹣1)2013.4.计算:﹣.5.计算:.6..7.计算:.8.计算:.9.计算:.10.计算:.11.计算:.12..13.计算:.14.计算:﹣(π﹣3.14)0+|﹣3|+(﹣1)2013+tan45°.15.计算:.16.计算或化简:(1)计算2﹣1﹣tan60°+(π﹣2013)0+|﹣|.(2)(a﹣2)2+4(a﹣1)﹣(a+2)(a﹣2)17.计算:(1)(﹣1)2013﹣|﹣7|+×0+()﹣1;(2).18.计算:.(1)19.(2)解方程:.20.计算:(1)tan45°+sin230°﹣cos30°•tan60°+cos245°;(2).21.(1)|﹣3|+16÷(﹣2)3+(2013﹣)0﹣tan60°(2)解方程:=﹣.(1)计算:.22.(2)求不等式组的整数解.(1)计算:23.(2)先化简,再求值:(﹣)÷,其中x=+1.24.(1)计算:tan30°(2)解方程:.(1)(2)先化简,再求值:÷+,其中x=2+1.26.(1)计算:;(2)解方程:.28.计算:.29.计算:(1+)2013﹣2(1+)2012﹣4(1+)2011.1.化简求值:,选择一个你喜欢且有意义的数代入求值.2.先化简,再求值,然后选取一个使原式有意义的x值代入求值.3.先化简再求值:选一个使原代数式有意义的数代入中求值.4.先化简,再求值:,请选择一个你喜欢的数代入求值.5.(2010•红河州)先化简再求值:.选一个使原代数式有意义的数代入求值.6.先化简,再求值:(1﹣)÷,选择一个你喜欢的数代入求值.7.先化简,再求值:(﹣1)÷,选择自己喜欢的一个x求值.8.先化简再求值:化简,然后在0,1,2,3中选一个你认为合适的值,代入求值.9.化简求值(1)先化简,再求值,选择你喜欢的一个数代入求值.(2)化简,其中m=5.10.化简求值题:(1)先化简,再求值:,其中x=3.(2)先化简,再求值:,请选一个你喜欢且使式子有意义的数字代入求值.(3)先化简,再求值:,其中x=2.(4)先化简,再求值:,其中x=﹣1.11.(2006•巴中)化简求值:,其中a=.12.(2010•临沂)先化简,再求值:()÷,其中a=2.13.先化简:,再选一个恰当的x值代入求值.14.化简求值:(﹣1)÷,其中x=2.15.(2010•綦江县)先化简,再求值,,其中x=+1.16.(2009•随州)先化简,再求值:,其中x=+1.17.先化简,再求值:÷,其中x=tan45°.18.(2002•曲靖)化简,求值:(x+2)÷(x﹣),其中x=﹣1.19.先化简,再求值:(1+)÷,其中x=﹣3.20.先化简,再求值:,其中a=2.21.先化简,再求值÷(x﹣),其中x=2.22.先化简,再求值:,其中.23.先化简,再求值:(﹣1)÷,其中x .24.先化简代数式再求值,其中a=﹣2.25.(2011•新疆)先化简,再求值:(+1)÷,其中x=2.26.先化简,再求值:,其中x=2.27.(2011•南充)先化简,再求值:(﹣2),其中x=2.28.先化简,再求值:,其中a=﹣2.29.(2011•武汉)先化简,再求值:÷(x ﹣),其中x=3.30.化简并求值:•,其中x=21.. 2。
一.解答题(共30小题)1.计算题:①;②解方程:.2.计算:+(π﹣2013)0.3.计算:|1﹣|﹣2cos30°+(﹣)0×(﹣1)2013.4.计算:﹣.5.计算:.6..7.计算:.8.计算:.9.计算:.10.计算:.11.计算:.12..13.计算:.14.计算:﹣(π﹣3.14)0+|﹣3|+(﹣1)2013+tan45°.15.计算:.16.计算或化简:(1)计算2﹣1﹣tan60°+(π﹣2013)0+|﹣|.(2)(a﹣2)2+4(a﹣1)﹣(a+2)(a﹣2)17.计算:(1)(﹣1)2013﹣|﹣7|+×0+()﹣1;(2).18.计算:.19.(1)(2)解方程:.20.计算:(1)tan45°+sin230°﹣cos30°?t an60°+cos245°;(2).21.(1)|﹣3|+16÷(﹣2)3+(2013﹣)﹣tan60°(1)计算:.22.(2)求不等式组的整数解.(1)计算:23.(2)先化简,再求值:(﹣)÷,其中x=+1.24.(1)计算:tan30°25.计算:(1)(2)先化简,再求值:÷+,其中x=2+1.26.(1)计算:;(2)解方程:.27.计算:.28.计算:.29.计算:(1+)2013﹣2(1+)2012﹣4(1+)2011.30.计算:.1.化简求值:,选择一个你喜欢且有意义的数代入求值.2.先化简,再求值,然后选取一个使原式有意义的x值代入求值.3.先化简再求值:选一个使原代数式有意义的数代入中求值.4.先化简,再求值:,请选择一个你喜欢的数代入求值.5.(2010?红河州)先化简再求值:.选一个使原代数式有意义的数代入求值.6.先化简,再求值:(1﹣)÷,选择一个你喜欢的数代入求值.7.先化简,再求值:(﹣1)÷,选择自己喜欢的一个x求值.8.先化简再求值:化简,然后在0,1,2,3中选一个你认为合适的值,代入求值.9.化简求值(1)先化简,再求值,选择你喜欢的一个数代入求值.(2)化简,其中m=5.。
初中数学中考计算题复习含答案(总22页)--本页仅作为文档封面,使用时请直接删除即可----内页可以根据需求调整合适字体及大小--初中数学计算题大全(一)计算下列各题1 .36)21(60tan 1)2(100+-----π 2. 431417)539(524----3.)4(31)5.01(14-÷⨯+-- 4.0(3)1-+5.4+23 +38- 6.()232812564.0-⨯⨯7112238. (1)03220113)21(++-- (2)23991012322⨯-⨯10. ⎪⎭⎫ ⎝⎛-÷⎪⎭⎫ ⎝⎛-+601651274311.(1)- (2)÷12.418123+- 13.⎛ ⎝314..x xx x 3)1246(÷- 15.61)2131()3(2÷-+-;16.20)21()25(2936318-+-+-+-17.(1))3127(12+- (2)()()6618332÷-+-18.()24335274158.0--+⎪⎭⎫ ⎝⎛+-⎪⎭⎫ ⎝⎛---19.1112()|32|43---+-20. ()()120133112384π-⎛⎫---+-⨯⨯ ⎪⎝⎭。
21.. 22.11281262323.2(32)(53)(53)+4参考答案1.解=1-|1-3|-2+23 =1+1-3-2+23 =3 【解析】略 2.5【解析】原式=14-9=53.87-【解析】解:)4(31)5.01(14-÷⨯+--⎪⎭⎫ ⎝⎛-⨯⨯--=4131231811+-=87-=先算乘方,再算乘除,最后算加减,有括号的先算括号里面的。
注意:41-底数是4,有小数又有分数时,一般都化成分数再进行计算。
4.0(3)1-=11--. 【解析】略 5.3 6.4【解析】主要考查实数的运算,考查基本知识和基本的计算能力,题目简单,但易出错,计算需细心。
一.解答题(共30小题)1.计算题:①;②解方程:.2.计算:+(π﹣2013)0.3.计算:|1﹣|﹣2cos30°+(﹣)0×(﹣1)2013.4.计算:﹣.5.计算:.6..7.计算:.8.计算:.9.计算:.10.计算:.11.计算:.12..13.计算:.14.计算:﹣(π﹣3.14)0+|﹣3|+(﹣1)2013+tan45°.15.计算:.16.计算或化简:(1)计算2﹣1﹣tan60°+(π﹣2013)0+|﹣|.(2)(a﹣2)2+4(a﹣1)﹣(a+2)(a﹣2)17.计算:(1)(﹣1)2013﹣|﹣7|+×0+()﹣1;(2).18.计算:.(1)19.(2)解方程:.20.计算:(1)tan45°+sin230°﹣cos30°•tan60°+cos245°;(2).21.(1)|﹣3|+16÷(﹣2)3+(2013﹣)0﹣tan60°(1)计算:.22.(2)求不等式组的整数解.(1)计算:23.(2)先化简,再求值:(﹣)÷,其中x=+1.24.(1)计算:tan30°25.计算:(1)(2)先化简,再求值:÷+,其中x=2+1.26.(1)计算:;(2)解方程:.27.计算:.28.计算:.29.计算:(1+)2013﹣2(1+)2012﹣4(1+)2011.30.计算:.1.化简求值:,选择一个你喜欢且有意义的数代入求值.2.先化简,再求值,然后选取一个使原式有意义的x值代入求值.3.先化简再求值:选一个使原代数式有意义的数代入中求值.4.先化简,再求值:,请选择一个你喜欢的数代入求值.5.(2010•红河州)先化简再求值:.选一个使原代数式有意义的数代入求值.6.先化简,再求值:(1﹣)÷,选择一个你喜欢的数代入求值.7.先化简,再求值:(﹣1)÷,选择自己喜欢的一个x求值.8.先化简再求值:化简,然后在0,1,2,3中选一个你认为合适的值,代入求值.9.化简求值(1)先化简,再求值,选择你喜欢的一个数代入求值.10.化简求值题:(1)先化简,再求值:,其中x=3.(2)先化简,再求值:,请选一个你喜欢且使式子有意义的数字代入求值.(3)先化简,再求值:,其中x=2.(4)先化简,再求值:,其中x=﹣1.11.(2006•巴中)化简求值:,其中a=.12.(2010•临沂)先化简,再求值:()÷,其中a=2.13.先化简:,再选一个恰当的x值代入求值.14.化简求值:(﹣1)÷,其中x=2.15.(2010•綦江县)先化简,再求值,,其中x=+1.16.(2009•随州)先化简,再求值:,其中x=+1.17.先化简,再求值:÷,其中x=tan45°.18.(2002•曲靖)化简,求值:(x+2)÷(x﹣),其中x=﹣1.19.先化简,再求值:(1+)÷,其中x=﹣3.20.先化简,再求值:,其中a=2.21.先化简,再求值÷(x﹣),其中x=2.22.先化简,再求值:,其中.23.先化简,再求值:(﹣1)÷,其中x—.25.(2011•新疆)先化简,再求值:(+1)÷,其中x=2.26.先化简,再求值:,其中x=2.27.(2011•南充)先化简,再求值:(﹣2),其中x=2.28.先化简,再求值:,其中a=﹣2.29.(2011•武汉)先化简,再求值:÷(x ﹣),其中x=3. 30.化简并求值:•,其中x=21.. 2。
.初中数学计算题大全(一)计算下列各题1 .36)21(60tan 1)2(100+-----π 2. 431417)539(524----3.)4(31)5.01(14-÷⨯+-- 4.0(3)1---+5.4+23 +38- 6.()232812564.0-⨯⨯78. (1)03220113)21(++-- (2)23991012322⨯-⨯10. ⎪⎭⎫⎝⎛-÷⎪⎭⎫ ⎝⎛-+601651274311.(1)- (2)÷12.418123+- 13.1212363⎛⎫-⨯ ⎪ ⎪⎝⎭14..x x x x 3)1246(÷- 15.61)2131()3(2÷-+-;16.20)21()25(2936318-+-+-+-17.(1))3127(12+- (2)()()6618332÷-+-18.()24335274158.0--+⎪⎭⎫ ⎝⎛+-⎪⎭⎫ ⎝⎛---19.1112()|32|43---+- 20. ()()120133112384π-⎛⎫---+-⨯⨯ ⎪⎝⎭。
21.. 22.1128122323.232)53)(53)+参考答案1.解=1-|1-3|-2+23 =1+1-3-2+23 =3 【解析】略 2.5【解析】原式=14-9=5 3.87-【解析】解:)4(31)5.01(14-÷⨯+--⎪⎭⎫⎝⎛-⨯⨯--=4131231811+-=87-=先算乘方,再算乘除,最后算加减,有括号的先算括号里面的。
注意:41-底数是4,有小数又有分数时,一般都化成分数再进行计算。
4.0(3)1-+=11--.【解析】略 5.3 6.4【解析】主要考查实数的运算,考查基本知识和基本的计算能力,题目简单,但易出错,计算需细心。
1、4+23 +38-=232=3+-57.32-【解析】试题分析:先化简,再合并同类二次根式即可计算出结果.2332=-=- 考点: 二次根式的运算.8.(1)32(2)9200 【解析】(1)原式=4+27+1 =32(2)原式=23(1012-992) (1分)=23(101+99)(101-99)(2分)=232200⨯⨯=9200 (1分) 利用幂的性质求值。
. .. . 一.解答题〔共30小题〕1.计算题:①;②解方程:.2.计算:+〔π﹣2021〕0.3.计算:|1﹣|﹣2cos30°+〔﹣〕0×〔﹣1〕2021.4.计算:﹣.5.计算:.6..7.计算:.8.计算:.9.计算:.10.计算:.11.计算:.12..13.计算:.14.计算:﹣〔π﹣3.14〕0+|﹣3|+〔﹣1〕2021+tan45°.15.计算:.16.计算或化简:〔1〕计算2﹣1﹣tan60°+〔π﹣2021〕0+|﹣|.(2)〔a﹣2〕2+4〔a﹣1〕﹣〔a+2〕〔a﹣2〕17.计算:(1)〔﹣1〕2021﹣|﹣7|+×0+〔〕﹣1;(2).18.计算:.〔1〕19.(2)解方程:.20.计算:〔1〕tan45°+sin230°﹣cos30°•tan60°+cos245°;(2).21.〔1〕|﹣3|+16÷〔﹣2〕3+〔2021﹣〕0﹣tan60°(2)解方程:=﹣.〔1〕计算:.22.(2)求不等式组的整数解.〔1〕计算:23.(2)先化简,再求值:〔﹣〕÷,其中x=+1.24.〔1〕计算:tan30°(2)解方程:.25.计算:〔1〕(2)先化简,再求值:÷+,其中x=2+1.26.〔1〕计算:;(2)解方程:.27.计算:.28.计算:.29.计算:〔1+〕2021﹣2〔1+〕2021﹣4〔1+〕2021.30.计算:.1.化简求值:,选择一个你喜欢且有意义的数代入求值.2.先化简,再求值,然后选取一个使原式有意义的x值代入求值.3.先化简再求值:选一个使原代数式有意义的数代入中求值.4.先化简,再求值:,请选择一个你喜欢的数代入求值.5.〔2021•红河州〕先化简再求值:.选一个使原代数式有意义的数代入求值.6.先化简,再求值:〔1﹣〕÷,选择一个你喜欢的数代入求值.7.先化简,再求值:〔﹣1〕÷,选择自己喜欢的一个x求值.9.化简求值〔1〕先化简,再求值,选择你喜欢的一个数代入求值.〔2〕化简,其中m=5.10.化简求值题:〔1〕先化简,再求值:,其中x=3.〔2〕先化简,再求值:,请选一个你喜欢且使式子有意义的数字代入求值.〔3〕先化简,再求值:,其中x=2.〔4〕先化简,再求值:,其中x=﹣1.11.〔2006•〕化简求值:,其中a=.12.〔2021•〕先化简,再求值:〔〕÷,其中a=2.13.先化简:,再选一个恰当的x值代入求值.14.化简求值:〔﹣1〕÷,其中x=2.15.〔2021•綦江县〕先化简,再求值,,其中x=+1.16.〔2021•随州〕先化简,再求值:,其中x=+1.17.先化简,再求值:÷,其中x=tan45°.18.〔2002•〕化简,求值:〔x+2〕÷〔x﹣〕,其中x=﹣1.19.先化简,再求值:〔1+〕÷,其中x=﹣3.20.先化简,再求值:,其中a=2.21.先化简,再求值÷〔x﹣〕,其中x=2.23.先化简,再求值:〔﹣1〕÷,其中x .24.先化简代数式再求值,其中a=﹣2.25.〔2021•XX〕先化简,再求值:〔+1〕÷,其中x=2.26.先化简,再求值:,其中x=2.27.〔2021•〕先化简,再求值:〔﹣2〕,其中x=2.28.先化简,再求值:,其中a=﹣2.29.〔2021•〕先化简,再求值:÷〔x ﹣〕,其中x=3.30.化简并求值:•,其中x=21. . 2。
一.解答题(共30 小题)1.计算题:①;②解方程:.2.计算:+(π﹣2013)0.3.计算:|1﹣ |﹣2cos30°+(﹣)0×(﹣1)2013.4.计算:﹣.5.计算:.6..7.计算:.8.计算:.9.计算:.10.计算:.11.计算:.12..13.计算:.14.计算:﹣(π﹣3.14)0+|﹣3|+(﹣1)2013+tan45°.15.计算:.16.计算或化简:(1)计算2﹣1﹣ tan60°+(π﹣2013)0+|﹣|.(2)(a﹣2)2+4(a﹣1)﹣(a+2)(a﹣2)17.计算:(1)(﹣1)2013﹣|﹣7|+× 0+()﹣1;(2).18.计算:.(1)19. 19.(2)解方程:.20. 计算:(1)tan45°+sin230°﹣cos30°•tan60°+cos245°;(2).21.(1)|﹣3|+16÷(﹣2)3+(2013﹣)0﹣tan60°﹣ ﹣(2)解方程: = .(1)计算:.22.(2)求不等式组 的整数解.23.(1)计算:(2)先化简,再求值:( )÷ ,其中 x=+1.24.(1)计算: tan30°(2)解方程:.25.计算:(1)(2)先化简,再求值:÷+,其中x=2 +1.26.(1)计算:;(2)解方程:.27.计算:.28.计算:.29.计算:(1+)2013﹣2(1+)2012﹣4(1+ )2011.30.计算:.1.化简求值:,选择一个你喜欢且有意义的数代入求值.2.先化简,再求值,然后选取一个使原式有意义的x 值代入求值.3.先化简再求值:选一个使原代数式有意义的数代入中求值.4.先化简,再求值:,请选择一个你喜欢的数代入求值.5.(2010•红河州)先化简再求值:.选一个使原代数式有意义的数代入求值.6.先化简,再求值:(1﹣)÷,选择一个你喜欢的数代入求值.7.先化简,再求值:(﹣1)÷ ,选择自己喜欢的一个x 求值.8.先化简再求值:化简,然后在0,1,2,3 中选一个你认为合适的值,代入求值.9.化简求值(1)先化简,再求值,选择你喜欢的一个数代入求值.(2)化简,其中m=5.10.化简求值题:(1)先化简,再求值:,其中x=3.(2)先化简,再求值:,请选一个你喜欢且使式子有意义的数字代入求值.(3)先化简,再求值:,其中x=2.(4)先化简,再求值:,其中x=﹣1.11.(2006•巴中)化简求值:,其中a= .12.(2010•临沂)先化简,再求值:()÷,其中a=2.13.先化简:,再选一个恰当的x 值代入求值.14.化简求值:(﹣1)÷ ,其中x=2.15.(2010•綦江县)先化简,再求值,,其中x= +1.16.(2009•随州)先化简,再求值:,其中x= +1.17.先化简,再求值:÷,其中x=tan45°.18.(2002•曲靖)化简,求值:(x+2)÷(x﹣),其中x=﹣1.19.先化简,再求值:(1+)÷,其中x=﹣3.20.先化简,再求值:,其中a=2.21.先化简,再求值÷(x﹣),其中x=2.22.先化简,再求值:,其中.23.先化简,再求值:(﹣1)÷ ,其中x—.24.先化简代数式再求值,其中a=﹣2.25.(2011•新疆)先化简,再求值:(+1)÷,其中x=2.26.先化简,再求值:,其中x=2.27.(2011•南充)先化简,再求值:(﹣2),其中x=2.28.先化简,再求值:,其中a=﹣2.29.(2011•武汉)先化简,再求值:÷(x﹣),其中x=3.30.化简并求值:•,其中x=2a﹣1÷ba2﹣b2 a + ﹣2x 11. . 2 。
一.解答题(共30 小题)1.计算题:①;②解方程:.2.计算:+(π﹣2013)0.3.计算:|1﹣ |﹣2cos30°+(﹣)0×(﹣1)2013.4.计算:﹣.5.计算:.6..7.计算:.8.计算:.9.计算:.10.计算:.11.计算:.12..13.计算:.14.计算:﹣(π﹣3.14)0+|﹣3|+(﹣1)2013+tan45°.15.计算:.16.计算或化简:(1)计算2﹣1﹣ tan60°+(π﹣2013)0+|﹣|.(2)(a﹣2)2+4(a﹣1)﹣(a+2)(a﹣2)17.计算:(1)(﹣1)2013﹣|﹣7|+× 0+()﹣1;(2).18.计算:.(1)19. 19.(2)解方程:.20. 计算:(1)tan45°+sin230°﹣cos30°•tan60°+cos245°;(2).21.(1)|﹣3|+16÷(﹣2)3+(2013﹣)0﹣tan60°﹣ ﹣(2)解方程: = .(1)计算:.22.(2)求不等式组 的整数解.23.(1)计算:(2)先化简,再求值:( )÷ ,其中 x=+1.24.(1)计算: tan30°(2)解方程:.25.计算:(1)(2)先化简,再求值:÷+,其中x=2 +1.26.(1)计算:;(2)解方程:.27.计算:.28.计算:.29.计算:(1+)2013﹣2(1+)2012﹣4(1+ )2011.30.计算:.1.化简求值:,选择一个你喜欢且有意义的数代入求值.2.先化简,再求值,然后选取一个使原式有意义的x 值代入求值.3.先化简再求值:选一个使原代数式有意义的数代入中求值.4.先化简,再求值:,请选择一个你喜欢的数代入求值.5.(2010•红河州)先化简再求值:.选一个使原代数式有意义的数代入求值.6.先化简,再求值:(1﹣)÷,选择一个你喜欢的数代入求值.7.先化简,再求值:(﹣1)÷ ,选择自己喜欢的一个x 求值.8.先化简再求值:化简,然后在0,1,2,3 中选一个你认为合适的值,代入求值.9.化简求值(1)先化简,再求值,选择你喜欢的一个数代入求值.(2)化简,其中m=5.10.化简求值题:(1)先化简,再求值:,其中x=3.(2)先化简,再求值:,请选一个你喜欢且使式子有意义的数字代入求值.(3)先化简,再求值:,其中x=2.(4)先化简,再求值:,其中x=﹣1.11.(2006•巴中)化简求值:,其中a= .12.(2010•临沂)先化简,再求值:()÷,其中a=2.13.先化简:,再选一个恰当的x 值代入求值.14.化简求值:(﹣1)÷ ,其中x=2.15.(2010•綦江县)先化简,再求值,,其中x= +1.16.(2009•随州)先化简,再求值:,其中x= +1.17.先化简,再求值:÷,其中x=tan45°.18.(2002•曲靖)化简,求值:(x+2)÷(x﹣),其中x=﹣1.19.先化简,再求值:(1+)÷,其中x=﹣3.20.先化简,再求值:,其中a=2.21.先化简,再求值÷(x﹣),其中x=2.22.先化简,再求值:,其中.23.先化简,再求值:(﹣1)÷ ,其中x—.24.先化简代数式再求值,其中a=﹣2.25.(2011•新疆)先化简,再求值:(+1)÷,其中x=2.26.先化简,再求值:,其中x=2.27.(2011•南充)先化简,再求值:(﹣2),其中x=2.28.先化简,再求值:,其中a=﹣2.29.(2011•武汉)先化简,再求值:÷(x﹣),其中x=3.30.化简并求值:•,其中x=21. . 2 。