高考数学平面向量专题卷(附答案)
- 格式:docx
- 大小:423.59 KB
- 文档页数:8
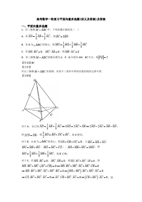
高考数学真题汇编---平面向量学校:___________姓名:___________班级:___________考号:___________一.选择题(共10小题)1.(2017•新课标Ⅱ)设非零向量,满足|+|=|﹣|则()A.⊥B.||=||C.∥D.||>||2.(2017•新课标Ⅲ)在矩形ABCD中,AB=1,AD=2,动点P在以点C为圆心且与BD相切的圆上.若=λ+μ,则λ+μ的最大值为()A.3 B.2C.D.23.(2017•新课标Ⅱ)已知△ABC是边长为2的等边三角形,P为平面ABC内一点,则•(+)的最小值是()A.﹣2 B.﹣C.﹣D.﹣14.(2017•浙江)如图,已知平面四边形ABCD,AB⊥BC,AB=BC=AD=2,CD=3,AC与BD交于点O,记I1=•,I2=•,I3=•,则()A.I1<I2<I3B.I1<I3<I2C.I3<I1<I2D.I2<I1<I35.(2016•新课标Ⅲ)已知向量=(,),=(,),则∠ABC=()A.30°B.45°C.60°D.120°6.(2016•新课标Ⅱ)已知向量=(1,m),=(3,﹣2),且(+)⊥,则m=()A.﹣8 B.﹣6 C .6 D.87.(2016•天津)已知△ABC是边长为1的等边三角形,点D、E分别是边AB、BC的中点,连接DE并延长到点F,使得DE=2EF,则•的值为()A.﹣B.C.D.8.(2016•山东)已知非零向量,满足4||=3||,cos<,>=.若⊥(t+),则实数t的值为()A.4 B.﹣4 C.D.﹣9.(2016•四川)在平面内,定点A,B,C,D满足==,•=•=•=﹣2,动点P,M满足=1,=,则||2的最大值是()A.B.C.D.10.(2016•四川)已知正三角形ABC的边长为2,平面ABC内的动点P,M 满足||=1,=,则||2的最大值是()A.B.C.D.二.填空题(共20小题)11.(2017•山东)已知向量=(2,6),=(﹣1,λ),若,则λ=.12.(2017•新课标Ⅲ)已知向量=(﹣2,3),=(3,m),且,则m=.13.(2017•新课标Ⅰ)已知向量=(﹣1,2),=(m,1),若向量+与垂直,则m=.14.(2017•新课标Ⅰ)已知向量,的夹角为60°,||=2,||=1,则|+2|=.15.(2017•山东)已知,是互相垂直的单位向量,若﹣与+λ的夹角为60°,则实数λ的值是.16.(2017•江苏)在平面直角坐标系xOy中,A(﹣12,0),B(0,6),点P在圆O:x2+y2=50上.若≤20,则点P的横坐标的取值范围是.17.(2017•北京)已知点P在圆x2+y2=1上,点A的坐标为(﹣2,0),O为原点,则•的最大值为.18.(2017•江苏)如图,在同一个平面内,向量,,的模分别为1,1,,与的夹角为α,且tanα=7,与的夹角为45°.若=m+n(m,n∈R),则m+n=.19.(2017•天津)在△ABC中,∠A=60°,AB=3,AC=2.若=2,=λ﹣(λ∈R),且=﹣4,则λ的值为.20.(2016•新课标Ⅱ)已知向量=(m,4),=(3,﹣2),且∥,则m=.21.(2016•上海)在平面直角坐标系中,已知A(1,0),B(0,﹣1),P是曲线y=上一个动点,则•的取值范围是.22.(2016•新课标Ⅰ)设向量=(m,1),=(1,2),且|+|2=||2+||2,则m=.23.(2016•山东)已知向量=(1,﹣1),=(6,﹣4),若⊥(t+),则实数t的值为.24.(2016•新课标Ⅰ)设向量=(x,x+1),=(1,2),且⊥,则x=.25.(2016•浙江)已知平面向量,,||=1,||=2,=1,若为平面单位向量,则||+||的最大值是.26.(2016•上海)如图,已知点O(0,0),A(1,0),B(0,﹣1),P是曲线y=上一个动点,则•的取值范围是.27.(2016•江苏)如图,在△ABC中,D是BC的中点,E,F是AD上的两个三等分点,•=4,•=﹣1,则•的值是.28.(2016•北京)已知向量=(1,),=(,1),则与夹角的大小为.29.(2016•上海)如图,在平面直角坐标系xOy中,O为正八边形A1A2…A8的中心,A1(1,0)任取不同的两点A i,A j,点P满足++=,则点P落在第一象限的概率是.30.(2016•浙江)已知向量,,||=1,||=2,若对任意单位向量,均有|•|+|•|≤,则•的最大值是.三.解答题(共1小题)31.(2017•山东)在△ABC中,角A,B,C的对边分别为a,b,c,已知b=3,= =3,求A和a.﹣6,S△ABC高考数学真题汇编---平面向量参考答案与试题解析一.选择题(共10小题)1.【分析】由已知得,从而=0,由此得到.【解答】解:∵非零向量,满足|+|=|﹣|,∴,解得=0,∴.故选:A.2.【分析】如图:以A为原点,以AB,AD所在的直线为x,y轴建立如图所示的坐标系,先求出圆的标准方程,再设点P的坐标为(cosθ+1,sinθ+2),根据=λ+μ,求出λ,μ,根据三角函数的性质即可求出最值.【解答】解:如图:以A为原点,以AB,AD所在的直线为x,y轴建立如图所示的坐标系,则A(0,0),B(1,0),D(0,2),C(1,2),∵动点P在以点C为圆心且与BD相切的圆上,设圆的半径为r,∵BC=2,CD=1,∴BD==∴BC•CD=BD•r,∴r=,∴圆的方程为(x﹣1)2+(y﹣2)2=,设点P的坐标为(cosθ+1,sinθ+2),∵=λ+μ,∴(cosθ+1,sinθ+2)=λ(1,0)+μ(0,2)=(λ,2μ),∴cosθ+1=λ,sinθ+2=2μ,∴λ+μ=cosθ+sinθ+2=sin(θ+φ)+2,其中tanφ=2,∵﹣1≤sin(θ+φ)≤1,∴1≤λ+μ≤3,故λ+μ的最大值为3,故选:A.3.【分析】根据条件建立坐标系,求出点的坐标,利用坐标法结合向量数量积的公式进行计算即可.【解答】解:建立如图所示的坐标系,以BC中点为坐标原点,则A(0,),B(﹣1,0),C(1,0),设P(x,y),则=(﹣x,﹣y),=(﹣1﹣x,﹣y),=(1﹣x,﹣y),则•(+)=2x2﹣2y+2y2=2[x2+(y﹣)2﹣]∴当x=0,y=时,取得最小值2×(﹣)=﹣,故选:B.4.【分析】根据向量数量积的定义结合图象边角关系进行判断即可.【解答】解:∵AB⊥BC,AB=BC=AD=2,CD=3,∴AC=2,∴∠AOB=∠COD>90°,由图象知OA<OC,OB<OD,∴0>•>•,•>0,即I3<I1<I2,故选:C.5.【分析】根据向量的坐标便可求出,及的值,从而根据向量夹角余弦公式即可求出cos∠ABC的值,根据∠ABC的范围便可得出∠ABC 的值.【解答】解:,;∴;又0°≤∠ABC≤180°;∴∠ABC=30°.故选:A.【分析】求出向量+的坐标,根据向量垂直的充要条件,构造关于m的方程,解得答案.【解答】解:∵向量=(1,m),=(3,﹣2),∴+=(4,m﹣2),又∵(+)⊥,∴12﹣2(m﹣2)=0,解得:m=8,故选:D.7.【分析】由题意画出图形,把、都用表示,然后代入数量积公式得答案.【解答】解:如图,∵D、E分别是边AB、BC的中点,且DE=2EF,∴•========.故选:C.【分析】若⊥(t+),则•(t+)=0,进而可得实数t的值.【解答】解:∵4||=3||,cos<,>=,⊥(t+),∴•(t+)=t•+2=t||•||•+||2=()||2=0,解得:t=﹣4,故选:B.9.【分析】由==,可得D为△ABC的外心,又•=•=•,可得可得D为△ABC的垂心,则D为△ABC的中心,即△ABC为正三角形.运用向量的数量积定义可得△ABC的边长,以A为坐标原点,AD所在直线为x轴建立直角坐标系xOy,求得B,C的坐标,再设P(cosθ,sinθ),(0≤θ<2π),由中点坐标公式可得M的坐标,运用两点的距离公式可得BM的长,运用三角函数的恒等变换公式,结合正弦函数的值域,即可得到最大值.【解答】解:由==,可得D为△ABC的外心,又•=•=•,可得•(﹣)=0,•(﹣)=0,即•=•=0,即有⊥,⊥,可得D为△ABC的垂心,则D为△ABC的中心,即△ABC为正三角形.由•=﹣2,即有||•||cos120°=﹣2,解得||=2,△ABC的边长为4cos30°=2,以A为坐标原点,AD所在直线为x轴建立直角坐标系xOy,可得B(3,﹣),C(3,),D(2,0),由=1,可设P(cosθ,sinθ),(0≤θ<2π),由=,可得M为PC的中点,即有M(,),则||2=(3﹣)2+(+)2=+==,当sin(θ﹣)=1,即θ=时,取得最大值,且为.故选:B.10.【分析】如图所示,建立直角坐标系.B(0,0),C.A.点P的轨迹方程为:=1,令x=+cosθ,y=3+sinθ,θ∈[0,2π).又=,可得M,代入||2=+3sin,即可得出.【解答】解:如图所示,建立直角坐标系.B(0,0),C.A.∵M满足||=1,∴点P的轨迹方程为:=1,令x=+cosθ,y=3+sinθ,θ∈[0,2π).又=,则M,∴||2=+=+3sin≤.∴||2的最大值是.也可以以点A为坐标原点建立坐标系.解法二:取AC中点N,MN=,从而M轨迹为以N为圆心,为半径的圆,B,N,M三点共线时,BM为最大值.所以BM最大值为3+=.故选:B.二.填空题(共20小题)11.【分析】利用向量共线定理即可得出.【解答】解:∵,∴﹣6﹣2λ=0,解得λ=﹣3.故答案为:﹣3.12.【分析】利用平面向量数量积坐标运算法则和向量垂直的性质求解.【解答】解:∵向量=(﹣2,3),=(3,m),且,∴=﹣6+3m=0,解得m=2.故答案为:2.13.【分析】利用平面向量坐标运算法则先求出,再由向量+与垂直,利用向量垂直的条件能求出m的值.【解答】解:∵向量=(﹣1,2),=(m,1),∴=(﹣1+m,3),∵向量+与垂直,∴()•=(﹣1+m)×(﹣1)+3×2=0,解得m=7.故答案为:7.14.【分析】根据平面向量的数量积求出模长即可.【解答】解:【解法一】向量,的夹角为60°,且||=2,||=1,∴=+4•+4=22+4×2×1×cos60°+4×12=12,∴|+2|=2.【解法二】根据题意画出图形,如图所示;结合图形=+=+2;在△OAC中,由余弦定理得||==2,即|+2|=2.故答案为:2.15.【分析】根据平面向量的数量积运算与单位向量的定义,列出方程解方程即可求出λ的值.【解答】解:【方法一】由题意,设=(1,0),=(0,1),则﹣=(,﹣1),+λ=(1,λ);又夹角为60°,∴(﹣)•(+λ)=﹣λ=2××cos60°,即﹣λ=,解得λ=.【方法二】,是互相垂直的单位向量,∴||=||=1,且•=0;又﹣与+λ的夹角为60°,∴(﹣)•(+λ)=|﹣|×|+λ|×cos60°,即+(﹣1)•﹣λ=××,化简得﹣λ=××,即﹣λ=,解得λ=.故答案为:.16.【分析】根据题意,设P(x0,y0),由数量积的坐标计算公式化简变形可得2x0+y0+5≤0,分析可得其表示表示直线2x+y+5≤0以及直线下方的区域,联立直线与圆的方程可得交点的横坐标,结合图形分析可得答案.【解答】解:根据题意,设P(x0,y0),则有x02+y02=50,=(﹣12﹣x0,﹣y0)•(﹣x0,6﹣y0)=(12+x0)x0﹣y0(6﹣y0)=12x0+6y+x02+y02≤20,化为:12x0﹣6y0+30≤0,即2x0﹣y0+5≤0,表示直线2x﹣y+5=0以及直线上方的区域,联立,解可得x0=﹣5或x0=1,结合图形分析可得:点P的横坐标x0的取值范围是[﹣5,1],故答案为:[﹣5,1].17.【分析】设P(cosα,sinα).可得=(2,0),=(cosα+2,sinα).利用数量积运算性质、三角函数的单调性与值域即可得出.【解答】解:设P(cosα,sinα).=(2,0),=(cosα+2,sinα).则•=2(cosα+2)≤6,当且仅当cosα=1时取等号.故答案为:6.18.【分析】如图所示,建立直角坐标系.A(1,0).由与的夹角为α,且tanα=7.可得cosα=,sinα=.C.可得cos(α+45°)=.sin(α+45°)=.B.利用=m+n(m,n∈R),即可得出.【解答】解:如图所示,建立直角坐标系.A(1,0).由与的夹角为α,且tanα=7.∴cosα=,sinα=.∴C.cos(α+45°)=(cosα﹣sinα)=.sin(α+45°)=(sinα+cosα)=.∴B.∵=m+n(m,n∈R),∴=m﹣n,=0+n,解得n=,m=.则m+n=3.故答案为:3.19.【分析】根据题意画出图形,结合图形,利用、表示出,再根据平面向量的数量积列出方程求出λ的值.【解答】解:如图所示,△ABC中,∠A=60°,AB=3,AC=2,=2,∴=+=+=+(﹣)=+,又=λ﹣(λ∈R),∴=(+)•(λ﹣)=(λ﹣)•﹣+λ=(λ﹣)×3×2×cos60°﹣×32+λ×22=﹣4,∴λ=1,解得λ=.故答案为:.20.【分析】直接利用向量共线的充要条件列出方程求解即可.【解答】解:向量=(m,4),=(3,﹣2),且∥,可得12=﹣2m,解得m=﹣6.故答案为:﹣6.21.【分析】设P(cosα,sinα),α∈[0,π],则=(1,1),=(cosα,sinα+1),由此能求出•的取值范围.【解答】解:∵在平面直角坐标系中,A(1,0),B(0,﹣1),P是曲线y=上一个动点,∴设P(cosα,sinα),α∈[0,π],∴=(1,1),=(cosα,sinα+1),=cosα+sinα+1=,∴•的取值范围是[0,1+].故答案为:[0,1+].22.【分析】利用已知条件,通过数量积判断两个向量垂直,然后列出方程求解即可.【解答】解:|+|2=||2+||2,可得•=0.向量=(m,1),=(1,2),可得m+2=0,解得m=﹣2.故答案为:﹣2.23.【分析】根据向量的坐标运算和向量的数量积计算即可.【解答】解:∵向量=(1,﹣1),=(6,﹣4),∴t+=(t+6,﹣t﹣4),∵⊥(t+),∴•(t+)=t+6+t+4=0,解得t=﹣5,故答案为:﹣5.24.【分析】根据向量垂直的充要条件便可得出,进行向量数量积的坐标运算即可得出关于x的方程,解方程便可得出x的值.【解答】解:∵;∴;即x+2(x+1)=0;∴.故答案为:.25.【分析】由题意可知,||+||为在上的投影的绝对值与在上投影的绝对值的和,由此可知,当与共线时,||+||取得最大值,即.【解答】解:||+||=,其几何意义为在上的投影的绝对值与在上投影的绝对值的和,当与共线时,取得最大值.∴=.故答案为:.26.【分析】设出=(x,y),得到•=x+,令x=cosθ,根据三角函数的性质得到•=sinθ+cosθ=sin(θ+),从而求出•的范围即可.【解答】解:设=(x,y),则=(x,),由A(1,0),B(0,﹣1),得:=(1,1),∴•=x+,令x=cosθ,θ∈[0,π],则•=sinθ+cosθ=sin(θ+),θ∈[0,π],故•的范围是[﹣,1,],故答案为:[﹣1,].27.【分析】由已知可得=+,=﹣+,=+3,=﹣+3,=+2,=﹣+2,结合已知求出2=,2=,可得答案.【解答】解:∵D是BC的中点,E,F是AD上的两个三等分点,∴=+,=﹣+,=+3,=﹣+3,∴•=2﹣2=﹣1,•=92﹣2=4,∴2=,2=,又∵=+2,=﹣+2,∴•=42﹣2=,故答案为:28.【分析】根据已知中向量的坐标,代入向量夹角公式,可得答案.【解答】解:∵向量=(1,),=(,1),∴与夹角θ满足:cosθ===,又∵θ∈[0,π],∴θ=,故答案为:.29.【分析】利用组合数公式求出从正八边形A1A2…A8的八个顶点中任取两个的事件总数,满足++=,且点P落在第一象限,则需向量+的终点落在第三象限,列出事件数,再利用古典概型概率计算公式求得答案.【解答】解:从正八边形A1A2…A8的八个顶点中任取两个,基本事件总数为.满足++=,且点P落在第一象限,对应的A i,A j,为:(A4,A7),(A5,A8),(A5,A6),(A6,A7),(A5,A7)共5种取法.∴点P落在第一象限的概率是,故答案为:.30.【分析】根据向量三角形不等式的关系以及向量数量积的应用进行计算即可得到结论.【解答】解:由绝对值不等式得≥|•|+|•|≥|•+•|=|(+)•|,于是对任意的单位向量,均有|(+)•|≤,∵|(+)|2=||2+||2+2•=5+2•,∴|(+)|=,因此|(+)•|的最大值≤,则•≤,下面证明:•可以取得,(1)若|•|+|•|=|•+•|,则显然满足条件.(2)若|•|+|•|=|•﹣•|,此时|﹣|2=||2+||2﹣2•=5﹣1=4,此时|﹣|=2于是|•|+|•|=|•﹣•|≤2,符合题意,综上•的最大值是,法2:由于任意单位向量,可设=,则|•|+|•|=||+||≥||+|=||=|+|,∵|•|+|•|≤,∴|+|≤,即(+)2≤6,即||2+||2+2•≤6,∵||=1,||=2,∴•≤,即•的最大值是.法三:设=,=,=,则=+,=﹣,|•|+|•|=||+||=||≤||,由题设当且仅当与同向时,等号成立,此时(+)2取得最大值6,第21页(共22页)由于|+|2+|﹣|)2=2(||2+||2)=10,于是(﹣)2取得最小值4,则•=,•的最大值是.故答案为:.三.解答题(共1小题)31.【分析】根据向量的数量积和三角形的面积公式可得tanA=﹣1,求出A和c的值,再根据余弦定理即可求出a.【解答】解:由=﹣6可得bccosA=﹣6,①,由三角形的面积公式可得S△ABC=bcsinA=3,②∴tanA=﹣1,∵0<A<180°,∴A=135°,∴c==2,由余弦定理可得a2=b2+c2﹣2bccosA=9+8+12=29∴a=第22页(共22页)。
全国卷历年高考平面向量真题归类分析(2015年-2019年共14套)一、代数运算(3题)1.(2015全国2卷13)设向量a,b 不平行,向量λa+b 与a+2b 平行,则实数λ= . 解:因为向量λa+b 与a+2b 平行,所以λa+b=k(a+2b),则所以.答案:2.(2017全国1卷13)已知向量,的夹角为,, ,则.解解,所以3.(2018全国2卷4)已知向量,满足,,则A. 4B. 3C. 2D. 0 解:因为所以选B.4.(2019全国1卷7)已知非零向量a ,b 满足a =2b ,且(a –b )⊥b ,则a 与b 的夹角为A.π6B.π3 C. 2π3 D. 5π6解:因为()a b b -⊥,所以2()a b b a b b -⋅=⋅-=0,所以2a b b ⋅=,所以cos θ=22||12||2a b b a b b ⋅==⋅,所以a 与b 的夹角为3π,故选B . 【归类分析】这类题主要考查利用平面向量数量积计算向量长度、夹角与垂直问题,渗透了转化与化归、数学计算等数学素养.解决问题的关键是熟悉公式及运算法则,求夹角公式为:121222221122cos x x y y a b a bx y x y θ+⋅==++,注意向量夹角范围为[0,]π.求模长则利用公式22a a a a ⋅==转化为向量数量积运算,注意运算结果开平方才是模长.这类题基本解题思路如下: 12,k k λ=⎧⎨=⎩,12λ=12a b 602=a 1=b 2+=a b ()22222(2)22cos602+=+=+⋅⋅⋅+a b a b a a b b 221222222=+⨯⨯⨯+=444++=122+=a b 所有相关向量统一用同一个基底表示22a a a a ⋅==求模,模长记得开平方二、几何运算(3题) 1.(2018全国1卷6)在解中,为边上的中线,为的中点,则A.B.C.D.解:根据向量的运算法则,可得,所以,故选A.2.(2015全国1卷7)设D 为解ABC 所在平面内一点,BC →=3CD →,则 ( )A. B. C. D. 解:选A.由题知3.(2017全国2卷12)已知是边长为2的等边三角形,为平面内一点,则的最小值是( ).A. B. C. D. 解:方法一:如图所示,取的中点,联结,取的中点,由, 则()()()22PA PB PC PD PA PE ED PE EA ⋅+=⋅=+⋅+=,当且仅当,即点与点重合时,取得最小值为,故选B.(方法二见模块三第8题)AC AB AD 3431+-=AC AB AD 3431-=AC AB AD 3134+=AC AB AD 3134-=11()33AD AC CD AC BC AC AC AB =+=+=+-=1433AB AC -+ABC △P ABC ()PA PB PC ⋅+2-32-43-1-BC D AD AD E 2PB PC PD +=()222PE ED-=2221132422PE AD AD ⎛⎫--=- ⎪⎝⎭20PE =P E 32-【归类分析】这类题主要考查利用平面向量的线性运算,解题时尽量画出符合要求的图形.平面向量基本定理是解决向量问题的出发点,通过线性运算可将平面内相关向量用同一基底表示.题目如果没有选定基底,则如何选取基底是关键,一般是选已知模长及夹角的两个不共线向量为基底,且其它向量便于用该基底表示.三、坐标运算(7题)1.(2016全国2卷3)已知向量a=(1,m),b=(3,-2),且(a+b)⊥b,则m= ( ) A.-8 B.-6 C.6 D.8 解:a+b=(4,m-2),因为(a+b)⊥b,所以(a+b)·b=12-2(m-2)=0,解得m=8.选D.2.(2016全国3卷3)已知向量1BA 2=⎛ ⎝⎭,31BC ,2=⎛⎫ ⎪ ⎪⎝⎭,则∠ABC= ( )A.30°B.45°C.60°D.120°解:选A.因为BA BC ⋅=12×12=,BA =BC =1,所以cos ∠ABC=BA BC 3=2BA BC⋅,即∠ABC=30°3.(2019全国2卷3)已知AB =(2,3),AC =(3,t),||BC =1,则AB BC ⋅= A. -3B. -2C. 2D. 3解:由(1,3)BC AC AB t =-=-,211BC ==,得3t =,则(1,0)BC =,(2,3)(1,0)21302AB BC ==⨯+⨯=.故选C .4.(2016全国1卷13)(2016·全国卷Ⅰ高考理科·T13)设向量a=(m,1),b=(1,2),且|a+b|2=|a|2+|b|2,则m= .解:由已知得:a+b=(m+1,3),所以|a+b|2=|a|2+|b|2⇔(m+1)2+32=m 2+12+12+22,解得m=-2.答案:-25.(2018全国3卷13)已知向量,,.若,则________. 解:由题可得 ,即,故答案为6.(2019全国3卷13)已知,a b 为单位向量,且a b ⋅=0,若25c a b =- ,则cos ,a c <>=___________. 解:因为25c a b =-,0a b ⋅=,所以225a c a a b ⋅=-⋅2=,222||4||455||9c a a b b =-⋅+=,所以||3c =,所以cos ,a c <>=22133a c a c ⋅==⨯⋅.7.(2017全国3卷12)在矩形中,,,动点在以点为圆心且与相切的圆上.若,则的最大值为( ). A .3B .C.D .2解:由题意,作出图像,如图所示.设与切于点,联结.以点为坐标原点,为轴正半轴,为轴正半轴建立直角坐标系,则点坐标为 .因为,.所以.因为切于点. 所以⊥.所以是斜边上的高., 即的半径为.因为点在上.所以点的轨迹方程为.设点的坐标为,可以设出点坐标满足的参数方程,而,,. 因为, 所以,. 两式相加得2sin()3θϕ++≤ (其中), 当且仅当,时,取得最大值为3.故选A.8.(2017全国2卷12)已知是边长为2的等边三角形,为平面内一点,则的最小值是( ).A. B.C. D. 方法二:如图所示建立直角坐标系,则()3,0A ,()0,1-B ,()0,1C ,设()y x P ,, 则()y x PA --=3,,()y x PB ---=,1,()y x PC --=,1,ABCD 1AB =2AD =P C BD AP AB AD λμ=+λμ+BD C E CE A AD x AB y C (2,1)||1CD =||2BC =BD =BD C E CE BD CE Rt BCD △BD 1222BCD BC CD S EC BD BD ⋅⋅⋅==△C P C P 224(2)(1)5x y -+-=P 00(,)x y P 0021x y θθ⎧=+⎪⎪⎨⎪=+⎪⎩00(,)AP x y =(0,1)AB =(2,0)AD =(0,1)(2,0)(2,)AP AB AD λμλμμλ=+=+=0112x μθ==01y λθ==+(22255112sin 55λμθθθϕ⎛⎫⎛⎫+=++=+++ ⎪ ⎪ ⎪ ⎪⎝⎭⎝⎭sin ϕcos ϕπ2π2k θϕ=+-k ∈Z λμ+ABC △P ABC ()PA PB PC ⋅+2-32-43-1-()()()23232232222,23,2222-⎪⎪⎭⎫ ⎝⎛-+=-+=----=+⋅y x y y x y x y x PC PB PA所以,当23,0==y x ,即⎪⎪⎭⎫ ⎝⎛23,0P 时,取得最小值为,故选B. 【归类分析】这类题主要考查利用平面向量的坐标运算,渗透了数学运算、直观想象素养.对于向量坐标运算,一定要弄清楚坐标运算的本质.由于选取了平面上两个互相垂直的单位向量作为基底(单位正交基底),这大大的降低了解题的难度.因此,遇到平面向量难题时要想到建立直角坐标系,用坐标法.32-相关点尽量在坐标轴上或成对称关系,向量坐标零越多越好 (1x AB =,写出所有相关向量的坐标。
数学高考《平面向量》试题含答案一、选择题1.已知椭圆2222:1(0)x y T a b a b +=>>,过右焦点F 且斜率为()0k k >的直线与T 相交于A ,B 两点,若3AF FB =uu u r uu r,则k =( )A .2 BCD .1【答案】C 【解析】 【分析】由2e =可得a =,b =,可设椭圆的方程为222334x y c +=,()()1122,,,A x y B x y ,并不妨设B 在x 轴上方,由3AF FB =uu u r uu r得到12123430x x c y y +=⎧⎨+=⎩,再由22211334x y c +=,22222334x y c +=得到A 、B 两点的坐标,利用两点的斜率公式计算即可. 【详解】因为c e a ===,所以2a b =,所以a =,b =,则椭圆方程22221x y a b+=变为222334x y c +=. 设()()1122,,,A x y B x y ,不妨设B 在x 轴上方,则210,0y y ><, 又3AF FB =uu u r uu r,所以()()1122,3,c x y x c y --=-,所以()121233c x x c y y ⎧-=-⎨-=⎩,12123430x x cy y +=⎧⎨+=⎩因为A ,B 在椭圆上,所以22211334x y c +=,① 22222334x y c +=②. 由①—9×②,得2121212123(3)(3)3(3)(3)84x x x x y y y y c +-++-=-,所以21234(3)84c x x c ⨯-=-,所以12833x x c -=-, 所以123x c =,2109x c =,从而1y =,2y =所以2(,)33A c -,10(,)99B c c,故9102393k c c +==- 故选:C. 【点睛】本题考查直线与椭圆的位置关系,当然本题也可以利用根与系数的关系来解决,考查学生的数学运算求解能力,是一道中档题.2.在ABC ∆中,0OA OB OC ++=u u u r u u u r u u u r r ,2AE EB =u u u r u u u r,AB AC λ=u u u r u u u r ,若9AB AC AO EC ⋅=⋅u u u r u u u r u u u r u u u r,则实数λ=( )ABCD【答案】D 【解析】 【分析】将AO u u u r 、EC uuu r 用AB u u u r 、AC u u u r 表示,再代入9AB AC AO EC ⋅=⋅u u u r u u u r u u u r u u u r中计算即可. 【详解】由0OA OB OC ++=u u u r u u u r u u u r r,知O 为ABC ∆的重心,所以211()323AO AB AC =⨯+=u u u r u u u r u u u r ()AB AC +u u u r u u u r ,又2AE EB =u u u r u u u r ,所以23EC AC AE AC AB =-=-u u u r u u u r u u u r u u u r u u u r ,93()AO EC AB AC ⋅=+⋅u u u r u u u r u u u r u u u r 2()3AC AB -u u ur u u u r2223AB AC AB AC AB AC =⋅-+=⋅u u u r u u u r u u u r u u u r u u u r u u u r ,所以2223AB AC =u u u r u u u r,||2||AB AC λ===u u u ru u ur . 故选:D 【点睛】本题考查平面向量基本定理的应用,涉及到向量的线性运算,是一道中档题.3.若向量a b r r ,的夹角为3π,|2|||a b a b -=+r r r r ,若()a ta b ⊥+r r r ,则实数t =( )A .12-B .12C.2D. 【答案】A 【解析】 【分析】由|2|||a b a b -=+r r r r 两边平方得22b a b =⋅r r r ,结合条件可得b a =r r ,又由()a ta b ⊥+r r r ,可得20t a a b ⋅+⋅=r r r,即可得出答案.【详解】由|2|||a b a b -=+r r r r两边平方得2222442a a b b a a b b -⋅+=+⋅+r r r r r r r r .即22b a b =⋅r r r ,也即22cos 3b a b π=r r r ,所以b a =r r .又由()a ta b ⊥+r r r ,得()0a ta b ⋅+=r r r,即20t a a b ⋅+⋅=r r r . 所以2221122ba b t a b⋅=-=-=-r r r r r 故选:A 【点睛】本题考查数量积的运算性质和根据向量垂直求参数的值,属于中档题.4.在平行四边形OABC 中,2OA =,OC =6AOC π∠=,动点P 在以点B 为圆心且与AC 相切的圆上,若OP OA OC λμ=+u u u r u u u r u u u r,则43λμ+的最大值为( )A.2+B.3+C.5+D.7+【答案】D 【解析】 【分析】先通过计算证明圆B 与AC 相切于点A ,再求出43OB OA BP OA λμ+=⋅+⋅u u u r u u u r u u u r u u u r,再求出7OB OA ⋅=u u u r u u u r ,BP OA ⋅u u u r u u u r的最大值为.【详解】如图所示,由2OA =,6AOC π∠=,由余弦定理得24+3221,1AC AC =-⨯=∴=, ∴90OCA BAC ∠=∠=o , ∴圆B 与AC 相切于点A ,又OP OA OC λμ=+u u u r u u u r u u u r , ∴243OP OA OA OC OA λμλμ⋅=+⋅=+u u u r u u u r u u u r u u u r u u u r;∴()43OP OA OB BP OA OB OA BP OA λμ+=⋅=+⋅=⋅+⋅u u u r u u u r u u u r u u u r u u u r u u u r u u u r u u u r u u u r;如图,过点B 作,BD OA ⊥连接,OB 由题得6BAD π∠=,所以22333333,,(2)()13222AD DB OB =⨯==∴=++=, 所以72cos 13213BOA ∠==, 所以1327213OB OA ⋅=⨯⨯=u u u r u u u r , 因为BP OA ⋅u u u r u u u r的最大值为32cos023⨯⨯=o ,∴43λμ+的最大值是723+. 故选:D.【点睛】本题主要考查三角函数和余弦定理解三角形,考查平面向量的数量积运算和范围的求解,意在考查学生对这些知识的理解掌握水平和分析推理能力.5.在ABC V 中,D 为边AC 上的点,若2133BD BA BC =+u u u r u u u r u u u r ,AD DC λ=u u u v u u u v,则λ=( )A .13B .12C .3D .2【答案】B 【解析】 【分析】根据2133BD BA BC =+u u u v u u u v u u u v ,将,AD DC u u u r u u u r 都用基底()BABC u u u r u u u r ,表示,再根据AD DC λ=u u u v u u u v 求解. 【详解】因为2133BD BA BC =+u u u v u u u v u u u v ,所以1122,+3333AD BD BA BA BC DC BC BD BA BC =-=-+=-=-u u u r u u u r u u u r u u u r u u u r u u u r u u u r u u u r u uu r u u u r ,因为AD DC λ=u u u v u u u v, 所以λ= 12, 故选:B 【点睛】本题主要考查平面向量的基本定理和共线向量定理,还考查运算求解的能力,属于中档题.6.已知点1F ,2F 分别是椭圆2222:1(0)x y C a b a b+=>>的左,右焦点,过原点O 且倾斜角为60°的直线l 与椭圆C 的一个交点为M ,且1212||||MF MF MF MF +=-u u u u r u u u u r u u u u r u u u u r,则椭圆C的离心率为( )A 1B .2C .12D 【答案】A 【解析】 【分析】由1212||||MF MF MF MF +=-u u u u r u u u u r u u u u r u u u u r两边平方,得120MF MF ⋅=u u u u r u u u u r ,在12Rt MF F V 中,求出2MF ,1MF ,,a c 的关系,求出离心率可得选项. 【详解】将1212||||MF MF MF MF +=-u u u u r u u u u r u u u u r u u u u r两边平方,得120MF MF ⋅=u u u u r u u u u r ,即12121||2MF MF OM F F c ⊥==,.又60MOF ∠=︒,∴2MF c =,1MF =,∴2a c =+,∴1ce a==. 故选:A. 【点睛】考查了向量的数量积,椭圆的定义,离心率的求法,关键在于得出关于,a c 的关系,属于中档题.7.已知正ABC ∆的边长为4,点D 为边BC 的中点,点E 满足AE ED u u u r u u u r =,那么EB EC⋅u u u r u u u r的值为( ) A .83- B .1-C .1D .3【答案】B 【解析】 【分析】由二倍角公式得求得tan ∠BED ,即可求得cos ∠BEC ,由平面向量数量积的性质及其运算得直接求得结果即可. 【详解】由已知可得:7 , 又23tan BED 33BD ED ∠===所以221tan 1cos 1tan 7BED BEC BED -∠∠==-+∠ 所以1||cos 7717EB EC EBEC BEC ⎛⎫⋅=∠=-=- ⎪⎝⎭u u u r u u u r u u u r u u u r ‖ 故选B . 【点睛】本题考查了平面向量数量积的性质及其运算及二倍角公式,属中档题.8.在ABC V 中,D 、P 分别为BC 、AD 的中点,且BP AB AC λμ=+u u u r u u u r u u u r,则λμ+=( ) A .13- B .13C .12-D .12【答案】C 【解析】 【分析】由向量的加减法运算,求得BP BD DP BD PD =+=-u u u r u u u r u u u r u u u r u u u r,进而得出()()22BP AB AC BD PD λμμλλμ=+=-++u u u r u u u r u u u r u u u r u u u r,列式分别求出λ和μ,即可求得λμ+.【详解】解:已知D 、P 分别为BC 、AD 的中点, 由向量的加减法运算, 得BP BD DP BD PD =+=-u u u r u u u r u u u r u u u r u u u r,2AB AD DB BD PD =+=-+u u u r u u u r u u u r u u u r u u u r , 2AC AD DC BD PD =+=+u u u r u u u r u u u r u u u r u u u r ,又()()22BP AB AC BD PD λμμλλμ=+=-++u u u r u u u r u u u r u u u r u u u r Q ,则1221μλλμ-=⎧⎨+=-⎩,则12λμ+=-.故选:C.【点睛】本题考查平面向量的加减法运算以及向量的基本定理的应用.9.已知向量(3b =r ,向量a r 在b r方向上的投影为6-,若()a b b λ+⊥r r r ,则实数λ的值为( ) A .13B .13-C .23D .3【答案】A 【解析】 【分析】设(),a x y =r 36x y +=-,()34x λ=-,整体代换即可得解.【详解】 设(),a x y =r,Q a r 在b r方向上的投影为6-,∴362a b x b⋅+==-r rr 即312x y +=-. 又 ()a b b λ+⊥r r r,∴()0a b b λ+⋅=r r r 即1330x y λλ++=, ∴()34x y λ+=-即124λ-=-,解得13λ=. 故选:A. 【点睛】本题考查了向量数量积的应用,属于中档题.10.在平行四边形ABCD 中,4AB =,2AD =,3BAD π∠=,M 为DC 的中点,N为平面ABCD 内一点,若AB NB AM AN -=-u u u v u u u v u u u u v u u u v ,则AM AN ⋅=u u u u v u u u v( )A .16B .12C .8D .6【答案】D 【解析】 【分析】根据条件及向量加减法的几何意义即可得出|AN u u u r |=|MN u u u u r|,再根据向量的数量积公式计算即可 【详解】由|AB NB -u u u r u u u r |=|AM AN -u u u u r u u u r |,可得|AN u u u r |=|NM u u u u r|, 取AM 的中点为O ,连接ON ,则ON ⊥AM ,又12AM AD AB =+u u u u r u u u r u u u r,所以AM u u u u r •21122AN AM ==u u u r u u u u r (12AD AB +u u u r u u u r )212=(2214AD AB AD ++u u u r u u u r u u u r •AB u u u r )12=(414+⨯16+2×412⨯)=6,故选:D .【点睛】本题主要考查了平面向量的几何表示,数量积的几何意义,运算求解能力,属于中档题11.在ABC V 中,AD AB ⊥,3,BC BD =u u u r u u u r ||1AD =u u u r ,则AC AD ⋅u u u r u u u r的值为( )A .1B .2C .3D .4【答案】C 【解析】 【分析】由题意转化(3)AC AD AB BD AD ⋅=+⋅u u u r u u u r u u u r u u u r u u u r,利用数量积的分配律即得解.【详解】AD AB ⊥Q ,3,BC BD =u u u r u u u r ||1AD =u u u r, ()(3)AC AD AB BC AD AB BD AD ∴⋅=+⋅=+⋅u u u r u u u r u u u r u u u r u u u r u u u r u u u r u u u r 2333AB AD BD AD AD =⋅+⋅==u u u r u u u r u u u r u u u r u u u r故选:C 【点睛】本题考查了平面向量基本定理和向量数量积综合,考查了学生综合分析,转化划归,数学运算能力,属于中档题.12.已知向量m =r (1,cosθ),(sin ,2)n θ=-r ,且m r ⊥n r,则sin 2θ+6cos 2θ的值为( ) A .12B .2C .22D .﹣2【答案】B 【解析】 【分析】根据m r ⊥n r 可得tanθ,而sin 2θ+6cos 2θ22226sin cos cos sin cos θθθθθ+=+,分子分母同除以cos 2θ,代入tanθ可得答案. 【详解】因为向量m =r (1,cosθ),n =r(sinθ,﹣2),所以sin 2cos m n θθ⋅=-u r r因为m r ⊥n r ,所以sin 2cos 0θθ-=,即tanθ=2,所以sin 2θ+6cos 2θ22222626226141sin cos cos tan sin cos tan θθθθθθθ++⨯+====+++ 2. 故选:B. 【点睛】本题主要考查平面向量的数量积与三角恒等变换,还考查运算求解的能力,属于中档题.13.如图,在ABC V 中,已知D 是BC 边延长线上一点,若2B C C D =u u u v u u u v,点E 为线段AD 的中点,34AE AB AC λ=+u u u v u u u v u u u v ,则λ=( )A .14B .14-C .13D .13-【答案】B 【解析】 【分析】由12AE AD =u u u r u u u r ,AD BD BA =-u u u r u u u r u u u r ,AC BC BA =-u u ur u u u r u u u r ,32BD BC =u u u r u u u r ,代入化简即可得出.【详解】13,,,22AE AD AD BD BA BD BC BC AC AB ==-==-u u u v u u u v u u u v u u u v u u u v u u u v u u u v u u u v u u u v u u u v,带人可得()13132244AE AC AB AB AB AC ⎡⎤=-+=-+⎢⎥⎣⎦u u u v u u u v u u u v u u u v u u u v u u u v ,可得14λ=-,故选B. 【点睛】本题考查了向量共线定理、向量的三角形法则,考查了推理能力与计算能力,属于中档题.14.已知向量(cos ,sin )a αα=r ,(cos ,sin )b ββ=r ,a b ⊥r r,则当,1[]2t ∈-时,a tb-r r 的最大值为( ) ABC .2D【答案】D 【解析】 【分析】根据(cos ,sin )a αα=r ,(cos ,sin )b ββ=r ,a b ⊥r r,得到1a =r ,1b =r ,0a b ⋅=r r ,再利用a tb -==r r 求解.【详解】因为(cos ,sin )a αα=r ,(cos ,sin )b ββ=r ,a b ⊥r r,所以1a =r ,1b =r ,0a b ⋅=r r,所以a tb -==r r当[]2,1t ∈-时,maxa tb-=r r故选:D 【点睛】本题考查向量的模以及数量积的运算,还考查运算求解能力,属于中档题.15.在ABC V 中,若2AB BC BC CA CA AB ⋅=⋅=⋅u u u v u u u v u u u v u u u v u u u v u u u v,则AB BC=u u u vu u u v ( ) A .1 B.2CD.2【答案】C 【解析】 【分析】根据题意,由AB BC BC CA ⋅=⋅uu u v uu u v uu u v uu v 可以推得AB AC =,再利用向量运算的加法法则,即可求得结果.【详解】由题意得,AB BC BC CA ⋅=⋅uu u v uu u v uu u v uu v ,即A A =0+BC B C ⋅uu u v uu u v uuu v(),设BC 的中点为D ,则AD BC ⊥,即ABC V 为等腰三角形,B=C AB AC =∠∠, 又因为2BC CA CA AB ⋅=⋅uu u v uu v uu v uu u v 即2222222C C cos 2C 2C cos 112C +22232C 2AB BC CA A B AB BC B A CA B CBC A BC A BC ⋅=⋅-=-+-=-+⨯=uu u v uu u v uu v uu u v uuv uu u v uu u v uu u v uu v uuv uu u v uu u v uu u v uu u v uu u v ()所以AB BC =uu u v uu u v 【点睛】本题主要考查平面向量的线性运算.16.平面向量a →与b →的夹角为π3,()2,0a →=,1b →=,则2a b →→-=( ) A.BC .0D .2【答案】D【解析】【分析】 根据向量的模的计算和向量的数量积的运算即可求出答案.【详解】()2,0a →=Q ,||2a →∴=22222(2)||4||444421cos 43a b a b a b a b π→→→→∴-=-=+-⋅=+-⨯⨯⨯=r r r r , |2|2a b ∴-=r r , 故选:D【点睛】本题考查了向量的模的计算和向量的数量积的运算,属于中档题.17.如图,向量a b -r r 等于A .1224e e --u r u u rB .1242e e --u r u u rC .123e e -r u u rD .123e e -+r u u r 【答案】D【解析】【分析】【详解】 由向量减法的运算法则可得123a e b e -=-+r r r u u r ,18.已知向量(sin ,cos )a αα=r ,(1,2)b =r ,则以下说法不正确的是( )A .若//a b r r ,则1tan 2α=B .若a b ⊥r r ,则1tan 2α= C .若()f a b α=⋅r r 取得最大值,则1tan 2α=D .||a b -r r 51 【答案】B【解析】【分析】 A 选项利用向量平行的坐标表示来判断正确性.B 选项利用向量垂直的坐标表示来判断正确性.C 选项求得()f α的表达式,结合三角函数最值的求法,判断C 选项的正确性.D 选项利用向量模的运算来判断正确性.【详解】A 选项,若//a b r r,则2sin cos αα=,即1tan 2α=,A 正确. B 选项,若a b ⊥r r ,则sin 2cos 0αα+=,则tan 2α=-,B 不正确. C 选项,si (n )52cos in()f a b ααααϕ+==⋅=+r r ,其中tan 2ϕ=.取得最大值时,22k παϕπ+=+,22k πϕπα=+-,tan 2tan 2k πϕπα=+-⎛⎫ ⎪⎝⎭1tan 22tan παα⎛⎫=== ⎪⎝⎭-,则1tan 2α=,则C 正确.D 选项,由向量减法、模的几何意义可知||a b -r r1,此时5a =-rr ,,a b r r 反向.故选项D 正确.故选:B【点睛】 本小题主要考查向量平行、垂直的坐标表示,考查向量数量积的运算,考查向量减法的模的几何意义,属于中档题.19.在四边形ABCD 中,若12DC AB =u u u r u u u r ,且|AD u u u r |=|BC uuu r |,则这个四边形是( ) A .平行四边形 B .矩形C .等腰梯形D .菱形【答案】C【解析】 由12DC AB =u u u r u u u r 知DC ∥AB ,且|DC|=12|AB|,因此四边形ABCD 是梯形.又因为|AD u u u r |=|BC uuu r |,所以四边形ABCD 是等腰梯形.选C20.在OAB ∆中,已知OB =u u u v 1AB u u u v =,45AOB ∠=︒,点P 满足(),OP OA OB λμλμ=+∈R u u u v u u u v u u u v ,其中λ,μ满足23λμ+=,则OP u u u v 的最小值为( ) A.5 BC.3 D.2【答案】A【解析】【分析】根据OB =u u u r ,1AB =uu u r ,45AOB ∠=︒,由正弦定理可得OAB ∆为等腰直角三角形,进而求得点A 坐标.结合平面向量的数乘运算与坐标加法运算,用λ,μ表示出OP u u u r.再由23λμ+=,将OP u u u r 化为关于λ的二次表达式,由二次函数性质即可求得OP u u u r的最小值.【详解】 在OAB ∆中,已知OB =u u u r ,1AB =uu u r ,45AOB ∠=︒ 由正弦定理可得sin sin AB OB AOB OAB=∠∠u u u r u u u r代入22=,解得sin 1OAB ∠= 即2OAB π∠=所以OAB ∆为等腰直角三角形以O 为原点,OB 所在直线为x 轴,以OB 的垂线为y 轴建立平面直角坐标系如下图所示:则点A 坐标为22,22⎛ ⎝⎭所以22OA =⎝⎭u u u r ,)2,0OB =u u u r 因为(),OP OA OB λμλμ=+∈R u u u r u u u r u u u r 则)222,022OP λμ⎛ =+ ⎝⎭u u u r 222,22λμλ⎛⎫ ⎪ ⎪⎝⎭= 则2222222OP λμλ⎛⎫=++⎛⎫ ⎪ ⎪ ⎪ ⎪⎝⎭⎝⎭u u u r 2222λλμμ=++因为23λμ+=,则32μλ=-代入上式可得()()22322232λλλλ+-+-218518λλ-=+299555λ⎛⎫=-+ ⎪⎝⎭所以当95λ=时, min 9355OP==u u u r 故选:A【点睛】本题考查了平面向量基本定理的应用,正弦定理判断三角形形状,平面向量的坐标运算,属于中档题.。
高考数学一轮复习平面向量多选题(讲义及答案)及答案一、平面向量多选题1.在三棱锥M ABC -中,下列命题正确的是( )A .若1233AD AB AC =+,则3BC BD = B .若G 为ABC 的重心,则111333MG MA MB MC =++C .若0MA BC ⋅=,0MC AB ⋅=,则0MB AC ⋅=D .若三棱锥M ABC -的棱长都为2,P ,Q 分别为MA ,BC 中点,则2PQ = 【答案】BC 【分析】作出三棱锥M ABC -直观图,在每个三角形中利用向量的线性运算可得. 【详解】对于A ,由已知12322233AD AB AC AD AC AB AD AC AB AD =+⇒=+⇒-=-,即2CD DB =,则32BD BD DC BC =+=,故A 错误; 对于B ,由G 为ABC 的重心,得0GA GB GC ++=,又MG MA AG =+,MG MB BG =+,MG MC CG =+,3MA MB MC MG ∴++=,即111333MG MA MB MC =++,故B 正确;对于C ,若0MA BC ⋅=,0MC AB ⋅=,则0MC MA BC AB ⋅+⋅=,即()00MA BC AC CB MA BC AC C MC C M B M C ⋅++=⇒⋅++⋅⋅=⋅()00MA BC A MC MC MC MC C BC MA BC AC ⋅⋅⋅⇒⋅+-=⇒-+=⋅()000MC M CA BC AC AC CB AC CB AC C MC ⇒+=⇒+=⇒+=⋅⋅⋅⋅⋅,即0MB AC ⋅=,故C 正确;对于D ,111()()222PQ MQ MP MB MC MA MB MC MA ∴=-=+-=+- ()2112PQ MB MC MA MB MC MA ∴=+-=+-,又()2222222MB MC MA MB MC MA MB MC MB MA MC MA+-=+++⋅-⋅-⋅2221112222222222228222=+++⨯⨯⨯-⨯⨯⨯-⨯⨯⨯=,1PQ ∴==,故D 错误. 故选:BC 【点睛】关键点睛:本题考查向量的运算,用已知向量表示某一向量的三个关键点: (1)用已知向量来表示某一向量,一定要结合图形,以图形为指导是解题的关键.(2)要正确理解向量加法、减法与数乘运算的几何意义,如首尾相接的若干向量之和,等于由起始向量的始点指向末尾向量的终点的向量. (3)在立体几何中三角形法则、平行四边形法则仍然成立.2.定义空间两个向量的一种运算sin ,a b a b a b ⊗=⋅,则关于空间向量上述运算的以下结论中恒成立的有( ) A .()()a b a b λλ⊗=⊗ B .a b b a ⊗=⊗C .()()()a b c a c b c +⊗=⊗+⊗D .若()11,a x y =,()22,b x y =,则122a b x y x y ⊗=- 【答案】BD 【分析】对于A,B,只需根据定义列出左边和右边的式子即可,对于C,当λab 时,()()1sin ,a b c b c b c λ+⊗=+⋅,()()()sin ,sin,1sin ,a c b c b c b c b c b c b c b c λλ⊗+⊗=⋅+⋅=+⋅,显然不会恒成立. 对于D,根据数量积求出cos ,a b ,再由平方关系求出sin ,a b 的值,代入定义进行化简验证即可. 【详解】解:对于A :()()sin ,a b a b a b λλ⊗=⋅,()sin ,a b a b a bλλλ⊗=⋅,故()()a b a b λλ⊗=⊗不会恒成立;对于B ,sin ,a b a b a b ⊗=⋅,=sin ,b a b a b a ⊗⋅,故a b b a ⊗=⊗恒成立; 对于C ,若λab ,且0λ>,()()1sin ,a b c b c b c λ+⊗=+⋅,()()()sin,sin ,1sin ,a c b c b c b c b c b c b c b c λλ⊗+⊗=⋅+⋅=+⋅,显然()()()a b c a c b c +⊗=⊗+⊗不会恒成立; 对于D ,1212cos ,x x y y a b a b+=⋅,212sin ,1a b a b ⎛ ⎪=- ⎪⋅⎭,即有222121212121x x y yx x y y ab a b a b a a b ⎛⎫⎛⎫++ ⎪⊗=⋅⋅-=⋅- ⎪ ⎪ ⎪⋅⎭⎭21y =⎪+⎭==1221x y xy =-.则1221a b x y x y ⊗=-恒成立. 故选:BD. 【点睛】本题考查向量的新定义,理解运算法则正确计算是解题的关键,属于较难题.3.下列关于平面向量的说法中正确的是( )A .已知,a b 均为非零向量,若//a b ,则存在唯一的实数λ,使得λabB .已知非零向量(1,2),(1,1)a b ==,且a 与a λb +的夹角为锐角,则实数λ的取值范围是5,3⎛⎫-+∞ ⎪⎝⎭C .若a c b c ⋅=⋅且0c ≠,则a b =D .若点G 为ABC 的重心,则0GA GB GC ++= 【答案】AD 【分析】由向量共线定理可判断选项A ;由向量夹角的的坐标表示可判断选项B ;由数量积的运算性质可判断选项C ;由三角形的重心性质即向量线性运算可判断选项D. 【详解】对于选项A : 由向量共线定理知选项A 正确;对于选项B :()()()1,21,11,2a b λλλλ+=+=++,若a 与a λb +的夹角为锐角,则()()122530a a b λλλλ⋅+=+++=+>解得53λ>-,当a 与a λb +共线时,()221λλ+=+,解得:0λ=,此时(1,2)a =,()1,2a b λ+=,此时a b =夹角为0,不符合题意,所以实数λ的取值范围是()5,00,3⎛⎫-⋃+∞ ⎪⎝⎭,故选项B 不正确; 对于选项C :若a c b c ⋅=⋅,则()0c a b ⋅-=,因为0c ≠,则a b =或c 与a b -垂直, 故选项C 不正确;对于选项D :若点G 为ABC 的重心,延长AG 与BC 交于M ,则M 为BC 的中点,所以()1222AG GM GB GC GB GC ==⨯⨯+=+,所以0GA GB GC ++=,故选项D 正确.故选:AD 【点睛】易错点睛:两个向量夹角为锐角数量积大于0,但数量积大于0向量夹角为锐角或0,由向量夹角为锐角数量积大于0,需要检验向量共线的情况. 两个向量夹角为钝角数量积小于0,但数量积小于0向量夹角为钝角或π.4.已知直线1:310l mx y m --+=与直线2:310l x my m +--=相交于点P ,线段AB 是圆()()22:114C x y +++=的一条动弦,G 为弦AB 的中点,23AB =( )A .弦AB 的中点轨迹是圆B .直线12,l l 的交点P 在定圆()()22222x y -+-=上 C .线段PG 长的最大值为421 D .PA PB ⋅的最小值642+ 【答案】ABC 【分析】对于选项A :设()00,G x y ,利用已知条件先求出圆心到弦AB 的距离CG ,利用两点之间的距离公式即可得到结论;对于选项B :联立直线的方程组求解点P 的坐标,代入选项验证即可判断;对于选项C :利用选项A B 结论,得到圆心坐标和半径,利用1112max PG PG r r =++求解即可;对于选项D :利用平面向量的加法法则以及数量积运算得到23PA PB PG ⋅==-,进而把问题转化为求1112min PG PG r r=--问题,即可判断.【详解】对于选项A :设()00,G x y,2AB =G 为弦AB 的中点, GB ∴=,而()()22:114C x y+++=, 半径为2,则圆心到弦AB 的距离为1CG ==,又圆心()1,1C --,()()2200111x y ∴+++=,即弦AB 的中点轨迹是圆. 故选项A 正确; 对于选项B :由310310mx y m x my m --+=⎧⎨+--=⎩,得222232113211m m x m m m y m ⎧++=⎪⎪+⎨-+⎪=⎪+⎩, 代入()()2222x y -+-整理得2, 故选项B 正确;对于选项C :由选项A 知:点G 的轨迹方程为:()()22111x y +++=,由选项B 知:点P 的轨迹方程为:()()22222x y -+-=,()()11121,1,1,2,2,G r P r∴--=所以线段1112max 11PG PG r r =++=+=,故选项C 正确; 对于选项D :()()PA PB PG GA PG GB ⋅=+⋅+()2PG PG GA GB GA GB =+⋅++⋅ 22203PG PG GB PG =+⋅-=-,故()()2minmin3PA PBPG ⋅=-,由选项C 知:1112min 11PG PG r r =--=-=,所以()()2min136PA PB⋅=-=-,故选项D 错误; 故选:A B C. 【点睛】关键点睛:本题考查了求圆的轨迹问题以及两个圆上的点的距离问题.把两个圆上的点的距离问题转化为两个圆的圆心与半径之间的关系是解决本题的关键.5.已知向量(2,1)a =,(cos ,sin )(0)b θθθπ=,则下列命题正确的是( )A .若a b ⊥,则tan θ=B .若b 在a 上的投影为12-,则向量a 与b 的夹角为23πC .存在θ,使得||||||a b a b +=+D .a b 【答案】BCD 【分析】若a b ⊥,则tan θ=A 错误; 若b 在a 上的投影为12-,且||1b =,则2πcos ,3a b 〈〉=,故B 正确;若b 在a 上的投影为12-,且||1b =,故当a,b 0<>=,|||||a b a b =+|+,故C 正确;2cos sin a b θθ+==)θϕ+, a b D 正确.【详解】若a b ⊥,则2cos sin 0a b θθ+==,则tan θ=A 错误; 若b 在a 上的投影为12-,且||1b =,则1||cos 2b a b 〈〉=-,,2πcos ,3a b 〈〉=,故B 正确;若2()2a b a b a b =+22++,222(||||)||||2||||a b a b a b +=++,若|||||a b a b =+|+,则||||cos ||||a b a b a b a b 〈〉=,=,即cos ,1a b 〈〉=,故a,b 0<>=,|||||a b a b =+|+,故C正确;2cos sin a b θθ+==)θϕ+,因为0πθ≤≤,π02ϕ<<,则当π2θϕ+=时,a b ,故D 正确,故选:BCD . 【点睛】本题主要考查平面向量的数量积的计算和应用,考查数量积的运算律,意在考查学生对这些知识的理解掌握水平.6.已知,,a b c 是同一平面内的三个向量,下列命题中正确的是( ) A .||||||a b a b ⋅≤B .若a b c b ⋅=⋅且0b ≠,则a c =C .两个非零向量a ,b ,若||||||a b a b -=+,则a 与b 共线且反向D .已知(1,2)a =,(1,1)b =,且a 与a b λ+的夹角为锐角,则实数λ的取值范围是5,3⎛⎫-+∞ ⎪⎝⎭【答案】AC 【分析】根据平面向量数量积定义可判断A ;由向量垂直时乘积为0,可判断B ;利用向量数量积的运算律,化简可判断C ;根据向量数量积的坐标关系,可判断D. 【详解】对于A ,由平面向量数量积定义可知cos ,a b a b a b ⋅=,则||||||a b a b ⋅≤,所以A 正确,对于B ,当a 与c 都和b 垂直时,a 与c 的方向不一定相同,大小不一定相等,所以B 错误,对于C ,两个非零向量a ,b ,若||||||a b a b -=+,可得22()(||||)a b a b -=+,即22||||a b a b -⋅=,cos 1θ=-,则两个向量的夹角为π,则a 与b 共线且反向,故C 正确; 对于D ,已知(1,2)a =,(1,1)b =且a 与a b λ+的夹角为锐角, 可得()0a a b λ⋅+>即2||0a a b λ+⋅>可得530λ+>,解得53λ>-, 当a 与a b λ+的夹角为0时,(1,2)a b λλλ+=++,所以2220λλλ+=+⇒= 所以a 与a b λ+的夹角为锐角时53λ>-且0λ≠,故D 错误; 故选:AC. 【点睛】本题考查了平面向量数量积定义的应用,向量共线及向量数量积的坐标表示,属于中档题.7.关于平面向量有下列四个命题,其中正确的命题为( ) A .若a b a c ⋅=⋅,则b c =;B .已知(,3)a k =,(2,6)b =-,若//a b ,则1k =-;C .非零向量a 和b ,满足||||||a b a b ==-,则a 与a b +的夹角为30º;D .0||||||||a b a b a b a b ⎛⎫⎛⎫+⋅-= ⎪ ⎪⎝⎭⎝⎭【答案】BCD 【分析】通过举反例知A 不成立,由平行向量的坐标对应成比例知B 正确,由向量加减法的意义知,C 正确,通过化简计算得D 正确. 【详解】对A ,当0a = 时,可得到A 不成立; 对B ,//a b 时,有326k =-,1k ∴=-,故B 正确. 对C ,当||||||a b a b ==-时,a 、b 、a b -这三个向量平移后构成一个等边三角形,a b + 是这个等边三角形一条角平分线,故C 正确.对D ,22()()()()110||||||||||||a b a b a b a a a b b b +⋅-=-=-=,故D 正确. 故选:BCD . 【点睛】本题考查两个向量的数量积公式,两个向量加减法的几何意义,以及共线向量的坐标特点.属于基础题.8.设a 、b 是两个非零向量,则下列描述正确的有( ) A .若a b a b +=-,则存在实数λ使得λa bB .若a b ⊥,则a b a b +=-C .若a b a b +=+,则a 在b 方向上的投影向量为aD .若存在实数λ使得λa b ,则a b a b +=-【答案】AB 【分析】根据向量模的三角不等式找出a b a b +=-和a b a b +=+的等价条件,可判断A 、C 、D 选项的正误,利用平面向量加法的平行四边形法则可判断B 选项的正误.综合可得出结论. 【详解】当a b a b +=-时,则a 、b 方向相反且a b ≥,则存在负实数λ,使得λa b ,A选项正确,D 选项错误;若a b a b +=+,则a 、b 方向相同,a 在b 方向上的投影向量为a ,C 选项错误; 若a b ⊥,则以a 、b 为邻边的平行四边形为矩形,且a b +和a b -是这个矩形的两条对角线长,则a b a b +=-,B 选项正确. 故选:AB. 【点睛】本题考查平面向量线性运算相关的命题的判断,涉及平面向量模的三角不等式的应用,考查推理能力,属于中等题.二、立体几何多选题9.如图,在直三棱柱111ABC A B C -中,12AC BC AA ===,90ACB ∠=︒,D ,E ,F 分别为AC ,1AA ,AB 的中点.则下列结论正确的是( )A .1AC 与EF 相交B .11//BC 平面DEF C .EF 与1AC 所成的角为90︒D .点1B 到平面DEF 32【答案】BCD 【分析】利用异面直线的位置关系,线面平行的判定方法,利用空间直角坐标系异面直线所成角和点到面的距离,对各个选项逐一判断. 【详解】对选项A ,由图知1AC ⊂平面11ACC A ,EF 平面11ACC A E =,且1.E AC ∉由异面直线的定义可知1AC 与EF 异面,故A 错误;对于选项B ,在直三棱柱111ABC A B C -中,11B C //BC .D ,F 分别是AC ,AB 的中点, //∴FD BC ,11B C ∴ //FD .又11B C ⊄平面DEF ,DF ⊂平面DEF ,11B C ∴ //平面.DEF 故B 正确;对于选项C ,由题意,建立如图所示的空间直角坐标系,则(0C ,0,0),(2A ,0,0),(0B ,2,0),1(2A ,0,2),1(0B ,2,2),1(0C ,0,2),(1D ,0,0),(2E ,0,1),(1F ,1,0).(1EF ∴=-,1,1)-,1(2AC =-,0,2). 1·2020EF AC =+-=,1EF AC ∴⊥,1EF AC ∴⊥. EF 与1AC 所成的角为90︒,故C 正确;对于选项D ,设向量(n x =,y ,)z 是平面DEF 的一个法向量. (1DE =,0,1),(0DF =,1,0), ∴由n DE n DF ⎧⊥⎨⊥⎩,,,即·0·0n DE n DF ⎧=⎨=⎩,,,得00.x z y +=⎧⎨=⎩,取1x =,则1z =-,(1n ∴=,0,1)-, 设点1B 到平面DEF 的距离为d . 又1(1DB =-,2,2), 1·102322DB n d n-+-∴===, ∴点1B 到平面DEF 32,故D 正确.故选:BCD【点睛】本题主要考查异面直线的位置关系,线面平行的判定,异面直线所成角以及点到面的距离,还考查思维能力及综合分析能力,属难题.10.如图,正方体1111ABCD A B C D -的棱长为3,点E ,F 分别在1CC ,1BB 上,12C E EC →→=,12BF FB →→=.动点M 在侧面11ADD A 内(包含边界)运动,且满足直线//BM 平面1D EF ,则( )A .过1D ,E ,F 的平面截正方体所得截面为等腰梯形B .三棱锥1D EFM -的体积为定值C .动点M 10D .过B ,E ,M 的平面截正方体所得截面面积的最小值为10【答案】BCD【分析】由题做出过1D ,E ,F 的平面截正方体所得截面为梯形1D EFN ,进而计算即可排除A 选项;根据//BM 平面1D EF ,由等体积转化法得1111D EFM M D EF B D EF D BEF V V V V ----===即可得B 选项正确;取1AA 靠近1A 点的三等分点H , 1DD 靠近D 点的三等分点I ,易知M 的轨迹为线段HI 10,故C 选项正确;过M 点做BE 的平行线交1AA 于P ,交1DD 于O ,连接,BP OE ,易知过B ,E ,M 的平面截正方体所得截面即为平行四边形BPOE ,进而得当H 位于点I 时,截面面积最小,为四边形ABEI 的面积,且面积为310S AB BE =⋅=【详解】解:对于A 选项,如图,取BF 中点G ,连接1A G ,由点E ,F 分别在1CC ,1BB 上,12C E EC →→=,12BF FB →→=,故四边形11A D EG 为平行四边形,故11//AG D E ,由于在11A B G △,F 为1B G 中点,当N 为11A B 中点时,有11////NF A G D E ,故过1D ,E ,F 的平面截正方体所得截面为梯形1D EFN ,此时22133532D N ⎛⎫=+= ⎪⎝⎭,223110EF =+=,故梯形1D EFN 不是等腰梯形,故A 选项错误;对于B 选项,三棱锥1D EFM -的体积等于三棱锥1M D EF -的体积,由于//BM 平面1D EF ,故三棱锥1M D EF -的体积等于三棱锥1B D EF -的体积,三棱锥1B D EF -的体积等于三棱锥1D BEF -的体积,而三棱锥1D BEF -的体积为定值,故B 选项正确; 对于C 选项,取1AA 靠近1A 点的三等分点H , 1DD 靠近D 点的三等分点I ,易知1////HB AG NF ,1//BI D F ,由于1,HI BI I NF D F F ==,故平面//BHI 平面1D EF ,故M 的轨迹为线段HI ,其长度为10,故C 选项正确;对于D 选项,过M 点做BE 的平行线交1AA 于P ,交1DD 于O ,连接,BP OE ,则过B ,E ,M 的平面截正方体所得截面即为平行四边形BPOE ,易知当H 位于点I 时,平行四边形BPOE 边BP 最小,且为AB ,此时截面平行四边形BPOE 的面积最小,为四边形ABEI 的面积,且面积为310S AB BE =⋅=,故D 选项正确;故选:BCD【点睛】本题解题的关键在于根据题意,依次做出过1D ,E ,F 的平面截正方体所得截面为梯形1D EFN ,过B ,E ,M 的平面截正方体所得截面即为平行四边形BPOE ,进而讨论AD 选项,通过//BM 平面1D EF ,并结合等体积转化法得1111D EFM M D EF B D EF D BEF V V V V ----===知B 选项正确,通过构造面面平行得M 的轨迹为线段HI ,进而讨论C 选项,考查回归转化思想和空间思维能力,是中档题.。
2013-2022十年全国高考数学真题分类汇编专题09平面向量一、选择题1.(2022年全国乙卷理科·第3题)已知向量,a b 满足||1,||3,|2|3a b a b ==-=,则a b ⋅= ()A .2-B .1-C .1D .2【答案】C 解析:∵222|2|||44-=-⋅+a b a a b b ,又∵||1,||3,|2|3,==-=a b a b∴91443134=-⋅+⨯=-⋅a b a b , ∴1a b ⋅= 故选:C .【题目栏目】平面向量\平面向量的概念与线性运算\向量的线性运算 【题目来源】2022年全国乙卷理科·第3题2.(2022新高考全国II 卷·第4题)已知向量(3,4),(1,0),t ===+a b c a b ,若,,<>=<>a c b c ,则t =( )A .6-B .5-C .5D .6【答案】C解析:()3,4c t =+,cos ,cos ,a c b c =,即931635t tc c+++=,解得5t =. 故选C .【题目栏目】平面向量\平面向量的综合应用 【题目来源】2022新高考全国II 卷·第4题3.(2022新高考全国I 卷·第3题)在ABC 中,点D 在边AB 上,2BD DA =.记CA m CD n ==,,则CB =( )A .32m n -B .23m n -+C .32m n +D .23m n +【答案】B 解析:因点D 在边AB 上,2BD DA =,所以2BD DA =,即()2CD CB CA CD -=-,所以CB =3232CD CA n m -=-23m n =-+. 故选:B . 【题目栏目】平面向量\平面向量的基本定理【题目来源】2022新高考全国I 卷·第3题4.(2020年新高考I 卷(山东卷)·第7题)已知P 是边长为2的正六边形ABCDEF 内的一点,则AP AB ⋅的取值范用是 ( )A .()2,6-B .(6,2)-C .(2,4)-D .(4,6)-【答案】A解析:AB 的模为2,根据正六边形的特征,可以得到AP 在AB 方向上的投影的取值范围是(1,3)-, 结合向量数量积的定义式,可知AP AB ⋅等于AB 的模与AP 在AB 方向上的投影的乘积, 所以AP AB ⋅的取值范围是()2,6-,故选:A . 【题目栏目】平面向量\平面向量的综合应用 【题目来源】2020年新高考I 卷(山东卷)·第7题5.(2020新高考II 卷(海南卷)·第3题)在ABC 中,D 是AB 边上的中点,则CB =( )A .2CD CA +B .2CD CA -C .2CD CA - D .2CD CA +【答案】C解析:()222CB CA AB CA AD CA CD CA CD CA -=+=+=+-= 【题目栏目】平面向量\平面向量的概念与线性运算\向量的线性运算 【题目来源】2020新高考II 卷(海南卷)·第3题6.(2020年高考数学课标Ⅲ卷理科·第6题)已知向量a ,b 满足||5a =,||6b =,6a b ⋅=-,则cos ,=+a a b ( )A .3135-B .1935-C .1735D .1935【答案】D 解析:5a =,6b =,6a b ⋅=-,()225619a a b a a b ∴⋅+=+⋅=-=.()22222526367a b a ba ab b +=+=+⋅+=-⨯+=,因此,()1919cos ,5735a a ba ab a a b⋅+<+>===⨯⋅+. 故选:D .【点睛】本题考查平面向量夹角余弦值的计算,同时也考查了平面向量数量积的计算以及向量模的计算,考查计算能力,属于中等题.【题目栏目】平面向量\平面向量的数量积\平面向量的数量积运算 【题目来源】2020年高考数学课标Ⅲ卷理科·第6题7.(2019年高考数学课标全国Ⅲ卷理科·第3题)已知()2,3AB =,()3,AC t =,1BC =,则AB BC ⋅=( )【答案】C【解析】∵()2,3AB =,()3,AC t =,∴()1,3BC AC AB t =-=-,∴()22131BC t =+-=,解得3t =,即()1,0BC =,则AB BC ⋅=()()2,31,021302⋅=⨯+⨯=.【点评】本题考查平面向量数量积的坐标运算,渗透了直观想象和数学运算素养.采取公式法,利用转化与化归思想解题.本题考点为平面向量的数量积,侧重基础知识和基本技能,难度不大.学生易在处理向量的法则运算和坐标运算处出错,借助向量的模的公式得到向量的坐标,然后计算向量数量积.【题目栏目】平面向量\平面向量的数量积\平面向量的数量积运算 【题目来源】2019年高考数学课标全国Ⅲ卷理科·第3题8.(2019年高考数学课标全国Ⅲ卷理科·第7题)已知非零向量a ,b 满足2a b =,且()a b b -⊥,则a 与b 的夹角为( )A .6π B .3π C .23π D .56π【答案】B 解析:()()222,0,a b b a b b a b b a b b b-⊥∴-⋅=⋅-=∴⋅==,所以221cos ,22ba b a b a bb⋅===⋅,所以,3a b π=.【题目栏目】平面向量\平面向量的数量积\平面向量的垂直问题【题目来源】2019年高考数学课标全国Ⅲ卷理科·第7题9.(2019年高考数学课标全国Ⅲ卷理科·第4题)古希腊时期,人们认为最美人体的头顶至肚脐的长度与肚脐至足底的长度之比为512510.618-≈,称为黄金分割比例),著名的“断臂维纳斯”便是如此.此外,最美 人体的头顶至咽喉的长度与咽喉至肚脐的长度之比也是512.若某人满足上述两个黄金 分割比例,且腿长为105cm ,头顶至脖子下端的长度为26cm ,则其身高可能是( )A .165cmB .175cmC .185cmD .190cm【答案】 答案:B解析:如图,0.618,0.618,0.618c aa b c d d b==∴==,26c <,则42.070.618c d =<,68.07a c d =+<,110.150.618ab =<,所以身高178.22h a b =+<,又105b >,所以0.61864.89a b =>,身高64.89105169.89h a b =+>+=,故(169.89,178.22)h ∈,故选B .【题目栏目】平面向量\线段的定比分点问题【题目来源】2019年高考数学课标全国Ⅲ卷理科·第4题10.(2018年高考数学课标Ⅲ卷(理)·第4题)已知向量a ,b 满足||1=a ,1⋅=-a b ,则(2)⋅-=a a b( )A .4B .3C .2D .0【答案】B解析:2(2)2||213⋅-=-⋅=+=a a b a a b ,故选B .【题目栏目】平面向量\平面向量的数量积\平面向量的数量积运算 【题目来源】2018年高考数学课标Ⅲ卷(理)·第4题11.(2018年高考数学课标卷Ⅲ(理)·第6题)在ABC ∆中,AD 为BC 边上的中线,E 为AD 的中点,则EB =( )A .3144AB AC - B .1344AB AC - C .3144AB AC + D .1344AB AC + c d ab 头顶咽喉肚脐足底【答案】A解析:在ABC △中,AD 为BC 边上的中线,E 为AD 的中点,()11312244EB AB AE AB AD AB AB AC AB AC =-=-=-+=-,故选A . 【题目栏目】平面向量\平面向量的基本定理 【题目来源】2018年高考数学课标卷Ⅲ(理)·第6题12.(2017年高考数学课标Ⅲ卷理科·第12题)在矩形中,,,动点在以点为圆心且与相切的圆上,若,则的最大值为 ( )A .B .CD .【答案】A【解析】法一:以为坐标原点,所在直线为轴,所在直线为轴建立平面直角坐标系,如下图则,,,,连结,过点作于点 在中,有即所以圆的方程为 可设由可得 ABCD 1AB =2AD =P C BD AP AB AD λμ=+λμ+3252A AB x AD y ()0,0A ()1,0B ()0,2D ()1,2C BD C CE BD ⊥E Rt BDC ∆225BD AB AD =+=1122ACD S BC CD BD CE =⨯⨯=⨯⨯△1125125225CE CE ⨯⨯=⇒=C ()()224125x y -+-=25251,2P θθ⎛⎫ ⎪ ⎪⎝⎭AP AB AD λμ=+()25251,2sin ,255θθλμ⎛⎫++= ⎪ ⎪⎝⎭所以,所以 其中, 所以的最大值为,故选A .法二:通过点作于点,由,,可求得又由,可求得由等和线定理可知,当点的切线(即)与平行时,取得最大值又点到的距离与点到直线的距离相等,均为而此时点到直线251551sin 5λθμθ⎧=+⎪⎪⎨⎪=+⎪⎩2552cos 55λμθθ+=++()2sin θϕ=++25sin ϕ=5cos ϕ=λμ+3C CE BD ⊥E 1AB =2AD =22125BD =+1122ACD S CD CB BD CE =⨯⨯=⨯⨯△55CE =P FH DB λμ+A BD C BD 55A FH 2525256522r +=+=所以,所以的最大值为,故选A . 另一种表达:如图,由“等和线”相关知识知,当点在如图所示位置时,最大,且此时若,则有,由三角形全等可得,知,所以选A .法三:如图,建立平面直角坐标系设,即圆的方程是,若满足即 , ,所以,设 ,即,655325AFAB ==λμ+3P λμ+AG x AB y AD =+x y λμ+=+2AD DF FG ===3,0x y ==()()()()0,1,0,0,2,1,,A B D P x y 5()22425x y -+=()()(),1,0,1,2,0AP x y AB AD =-=-=AP AB AD λμ=+21x y μλ=⎧⎨-=-⎩,12x y μλ==-12x y λμ+=-+12x z y =-+102x y z -+-=点在圆上,所以圆心到直线的距离, ,解得,所以的最大值是,即的最大值是,故选A . 法四:由题意,画出右图.设与切于点,连接.以为原点,为轴正半轴,为轴正半轴建立直角坐标系则点坐标为.∵,.∴.切于点.∴⊥.∴是中斜边上的高. 即在上.∴点的轨迹方程为.设点坐标,可以设出点坐标满足的参数方程如下:而,,. ∵ ∴,. 两式相加得:(),P x y ()22425x y -+=d r ≤21514z -≤+13z ≤≤z 3λμ+3BD C E CE A AD x AB y C (2,1)||1CD =||2BC =22125BD +=BD C E CEBDCERt BCD△BD12||||222||5||||55BCD BC CD S EC BD BD ⋅⋅⋅====△C 255P C P 224(2)(1)5x y -+-=P 00(,)x y P 0022552155x y θθ⎧=+⎪⎪⎨⎪=+⎪⎩00(,)AP x y =(0,1)AB =(2,0)AD =(0,1)(2,0)(2,)AP AB AD λμλμμλ=+=+=0151cos 25x μθ==+02155y λθ==(其中,) 当且仅当,时,取得最大值3. 【考点】平面向量的坐标运算;平面向量基本定理【点评】(1)应用平面向量基本定理表示向量是利用平行四边形法则或三角形法则进行向量的加、减或数乘运算.(2)用向量基本定理解决问题的一般思路是:先选择一组基底,并运用该基底将条件和结论表示成向量的形式,再通过向量的运算来解决.【题目栏目】平面向量\平面向量的基本定理 【题目来源】2017年高考数学课标Ⅲ卷理科·第12题13.(2017年高考数学课标Ⅲ卷理科·第12题)已知是边长为2的等边三角形,为平面内一点,则的最小值是 ( )A .B .C .D .【答案】B【命题意图】本题主要考查等边三角形的性质及平面向量的线性运算﹑数量积,意在考查考生 转化与化归思想和运算求解能力 【解析】解法一:建系法连接,,,.,∴∴ ∴,∴ ∴最小值为 解法二:均值法2225151552552()())552sin()3λμθθθϕθϕ+=++=+++=++≤5sin 5ϕ=25cos 5ϕ=π2π2k θϕ=+-k ∈Z λμ+ABC ∆P ABC ()PA PB PC ⋅+2-32-43-1-OP ()0,3OA =()1,0OB =-()1,0OC =2PC PB PO +=()(),,3PO PA x y x y⋅=--⋅--222233324PO PA x y y x y ⎛⎫⋅=+-=+-- ⎪ ⎪⎝⎭34PO PA ⋅≥-()322PA PC PB PO PA ⋅+=⋅≥-32-∵,∴由上图可知:;两边平方可得∵ ,∴ ∴ ,∴最小值为解法三:配凑法 ∵∴∴最小值为【知识拓展】三角形与向量结合的题属于高考经典题,一般在压轴题出现,解决此类问题的通 法就是建系法,比较直接,易想,但有时计算量偏大. 【考点】 平面向量的坐标运算,函数的最值【点评】平面向量中有关最值问题的求解通常有两种思路:一是“形化”,即利用平面向量的几何意义将问题转化为平面几何中的最值或范围问题,然后根据平面图形的特征直接进行判断;二是“数化”,即利用平面向量的坐标运算,把问题转化为代数中的函数最值与值域、不等式我解集,方程有解等问题,然后利用函数、不等式、方程的有关知识来解决.【题目栏目】平面向量\平面向量的数量积\平面向量的数量积运算 【题目来源】2017年高考数学课标Ⅲ卷理科·第12题 14.(2016高考数学课标Ⅲ卷理科·第3题)已知向量13(,22BA =,31()22BC =,则ABC ∠= ( ) A .30︒ B .45︒C .60︒D .120︒【答案】A【解析】由题意,得133132222cos 112BA BC ABC BA BC⨯⋅∠===⨯⋅,所以30ABC ∠=︒,故选A. 【题目栏目】平面向量\平面向量的坐标运算 【题目来源】2016高考数学课标Ⅲ卷理科·第3题15.(2016高考数学课标Ⅲ卷理科·第3题)已知向量(1,)(3,2)a m b =-,=,且()a b b ⊥+,则m = ( )A .8-B .6-C .6D .82PC PB PO +=()2PA PC PB PO PA ⋅+=⋅OA PA PO =-()()2232PA PO PA PO =+-⋅()()222PA POPA PO +≥-⋅322PO PA ⋅≥-()322PA PC PB PO PA ⋅+=⋅≥-32-2PC PB PO +=()()()()()222232222PO PA PO PAPO PA AOPA PC PB PO PA +--+-⋅+=⋅==≥-32-【答案】D【解析】由()a b b ⊥+可得:()0a b b +=,所以20a bb,又(1,)(3,2)a m b =-,= 所以2232+(3(2))0m -+-=,所以8m ,故选D .【题目栏目】平面向量\平面向量的坐标运算 【题目来源】2016高考数学课标Ⅲ卷理科·第3题16.(2015高考数学新课标1理科·第7题)设D 为ABC 所在平面内一点3BC CD =,则( )A .1433AD AB AC =-+ B .1433AD AB AC =- C .4133AD AB AC =+ D .4133AD AB AC =- 【答案】A解析:由题知11()33AD AC CD AC BC AC AC AB =+=+=+-==1433AB AC -+,故选A . 考点:平面向量的线性运算【题目栏目】平面向量\平面向量的基本定理 【题目来源】2015高考数学新课标1理科·第7题17.(2014高考数学课标2理科·第3题)设向量a,b 满足,|a -,则a b=( )A .1B .2C .3D .5【答案】A解析:因为222||()210,a b a b a b a b +=+=++⋅=222||()26,a b a b a b a b -=-=+-⋅= 两式相加得:228,a b +=所以1a b ⋅=,故选A . 考点:(1)平面向量的模;(2)平面向量的数量积 难度:B备注:常考题【题目栏目】平面向量\平面向量的数量积\平面向量的数量积运算 【题目来源】2014高考数学课标2理科·第3题 二、多选题18.(2021年新高考Ⅲ卷·第10题)已知O 为坐标原点,点()1cos ,sin P αα,()2cos ,sin P ββ-,()()()3cos ,sin P αβαβ++,1,0A ,则 ( )A .12OP OP =B .12AP AP =C .312OA OP OP OP ⋅=⋅D .123OA OP OP OP ⋅=⋅ 【答案】AC106⋅解析:A :1(cos ,sin )OP αα=,2(cos ,sin )OP ββ=-,所以221||cos sin 1OP αα=+,222||(cos )(sin )1OP ββ=+-,故12||||OP OP =,正确; B :1(cos 1,sin )AP αα=-,2(cos 1,sin )AP ββ=--,所以222221||(cos 1)sin cos 2cos 1sin 2(1cos )4sin 2|sin|22AP αααααααα=-+-++-==,同理222||(cos 1)sin 2|sin|2AP βββ=-+,故12||,||AP AP 不一定相等,错误;C :由题意得:31cos()0sin()cos()OA OP αβαβαβ⋅=⨯++⨯+=+,12cos cos sin (sin )cos()OP OP αβαβαβ⋅=⋅+⋅-=+,正确;D :由题意得:11cos 0sin cos OA OP ααα⋅=⨯+⨯=,23cos cos()(sin )sin()OP OP βαββαβ⋅=⨯++-⨯+22cos cos sin sin cos sin sin cos cos sin αβαββαββαβ=--- cos cos2sin sin 2cos(2)αβαβαβ=-=+,错误;故选AC .【题目栏目】平面向量\平面向量的综合应用 【题目来源】2021年新高考Ⅲ卷·第10题 三、填空题19.(2022年全国甲卷理科·第13题)设向量a ,b 的夹角的余弦值为13,且1a =,3b =,则()2a b b +⋅=_________. 【答案】11解析:设a 与b 的夹角为θ,因为a 与b 的夹角的余弦值为13,即1cos 3θ=,又1a =,3b =,所以1cos 1313a b a b θ⋅=⋅=⨯⨯=,所以()22222221311a b b a b b a b b +⋅=⋅+=⋅+=⨯+=. 故答案为:11.【题目栏目】平面向量\平面向量的数量积\平面向量的夹角问题 【题目来源】2022年全国甲卷理科·第13题20.(2021年新高考全国Ⅲ卷·第15题)已知向量0a b c ++=,1a =,2b c ==,a b b c c a ⋅+⋅+⋅=_______.【答案】92-解析:由已知可得()()()22222920a b ca b c a b b c c a a b b c c a ++=+++⋅+⋅+⋅=+⋅+⋅+⋅=,因此,92a b b c c a ⋅+⋅+⋅=-.故答案为:92-.【题目栏目】平面向量\平面向量的综合应用【题目来源】2021年新高考全国Ⅲ卷·第15题21.(2021年高考全国乙卷理科·第14题)已知向量()()1,3,3,4a b ==,若()a b b λ-⊥,则λ=__________.【答案】35解析:因为()()()1,33,413,34a b λλλλ-=-=--,所以由()a b b λ-⊥可得,()()3134340λλ-+-=,解得35λ=.故答案为:35.【点睛】本题解题关键是熟记平面向量数量积的坐标表示,设()()1122,,,a x y b x y ==,121200a b a b x x y y ⊥⇔⋅=⇔+=,注意与平面向量平行的坐标表示区分.【题目栏目】平面向量\平面向量的坐标运算 【题目来源】2021年高考全国乙卷理科·第14题22.(2021年高考全国甲卷理科·第14题)已知向量()()3,1,1,0,a b c a kb ===+.若a c ⊥,则k =________.【答案】103-. 解析:()()()3,1,1,0,3,1a b c a kb k ==∴=+=+,(),33110a c a c k ⊥∴⋅=++⨯=,解得103k =-, 故答案为:103-. 【点睛】本题考查平面向量的坐标运算,平面向量垂直的条件,属基础题,利用平面向量()()1122,,,p x y q x y ==垂直的充分必要条件是其数量积12120x x y y +=.【题目栏目】平面向量\平面向量的综合应用 【题目来源】2021年高考全国甲卷理科·第14题23.(2020年高考数学课标Ⅲ卷理科·第14题)设,a b 为单位向量,且||1a b +=,则||a b -=______________.3【解析】因为,a b 为单位向量,所以1a b ==所以()2222221a b a b a a b b a b +=+=+⋅+=+⋅=解得:21a b ⋅=- 所以()22223a b a b a a b b -=-=-⋅+=3【点睛】本题主要考查了向量模的计算公式及转化能力,属于中档题. 【题目栏目】平面向量\平面向量的综合应用 【题目来源】2020年高考数学课标Ⅲ卷理科·第14题24.(2020年高考数学课标Ⅲ卷理科·第13题)已知单位向量a →,b →的夹角为45°,k a b →→-与a →垂直,则k =__________. 【答案】22解析:由题意可得:211cos 452a b →→⋅=⨯⨯=, 由向量垂直的充分必要条件可得:0k a b a →→→⎛⎫-⋅= ⎪⎝⎭,即:2202k a a b k →→→⨯-⋅=-=,解得:22k =. 2. 【点睛】本题主要考查平面向量的数量积定义与运算法则,向量垂直的充分必要条件等知识,意在考查学生的转化能力和计算求解能力.【题目栏目】平面向量\平面向量的数量积\平面向量的数量积运算 【题目来源】2020年高考数学课标Ⅲ卷理科·第13题25.(2019年高考数学课标Ⅲ卷理科·第13题)已知a ,b 为单位向量,且·=0a b ,若25c a b =-,则cos ,a c 〈〉=___________.【答案】23. 【解析】因为25c a b =-,·=0a b ,所以225=2a c a a b ⋅=-⋅,222||4||455||9c a a b b =-⋅+=,所以||3c =,所以cos ,a c 〈〉=22133a c a c ⋅==⨯⋅. 【点评】本题主要考查平面向量的数量积、向量的夹角.渗透了数学运算、直观想象素养.使用转化思想得出答案.【题目栏目】平面向量\平面向量的数量积\平面向量的夹角问题 【题目来源】2019年高考数学课标Ⅲ卷理科·第13题26.(2018年高考数学课标Ⅲ卷(理)·第13题)已知向量()1,2a =,()2,2b =-,()1,c λ=,若()//2c a b +,则λ= . 【答案】12解析:依题意可得()()()22,42,24,2a b +=+-=,又()1,c λ=,()//2c a b + 所以4210λ⨯-⨯=,解得12λ=. 【题目栏目】平面向量\平面向量的坐标运算【题目来源】2018年高考数学课标Ⅲ卷(理)·第13题27.(2017年高考数学新课标Ⅲ卷理科·第13题)已知向量,的夹角为,,,则__________. 【答案】【解析】法一:所以.法二(秒杀解法):利用如下图形,可以判断出的模长是以为边长的菱形对角线的长度,则为法三:坐标法依题意,可设,,所以 所以.【考点】平面向量的运算【点评】平面向量中涉及到有关模长的问题,用到的通法是将模长进行平方,利用向量数量积的知识进行a b 60︒2a =1b =2a b +=23222|2|||44||4421cos 60412a b a a b b +=+⋅+=+⨯⨯⨯+=|2|23a b +=2a b +23()2,0a =13,22b ⎛= ⎝⎭()((22,033a b +=+=()2223323a b +=+=解答,很快就能得出答案;另外,向量是一个工具型的知识,具备代数和几何特征,在做这类问题时可以使用数形结合的思想,会加快解题速度.【题目栏目】平面向量\平面向量的数量积\平面向量的模长问题 【题目来源】2017年高考数学新课标Ⅲ卷理科·第13题28.(2016高考数学课标Ⅲ卷理科·第13题)设向量(),1a m =,()1,2b =,且222a b a b +=+,则m = .【答案】2m =-【解析】由已知得:()1,3a b m +=+∴()22222222213112a b a b m m +=+⇔++=+++,解得2m =-.【题目栏目】平面向量\平面向量的坐标运算 【题目来源】2016高考数学课标Ⅲ卷理科·第13题29.(2015高考数学新课标2理科·第13题)设向量a ,b 不平行,向量a b λ+与2a b +平行,则实数λ=_________. 【答案】12解析:因为向量a b λ+与2a b +平行,所以2a b k a b λ+=+(),则12,k k λ=⎧⎨=⎩,所以12λ=.考点:向量共线.【题目栏目】平面向量\平面向量的概念与线性运算\平面向量的共线问题【题目来源】2015高考数学新课标2理科·第13题30.(2014高考数学课标1理科·第15题)已知A,B,C 是圆O 上的三点,若,则与的夹角为______. 【答案】 解析:∵,∴O 为线段BC 中点,故BC 为的直径, ∴,∴与的夹角为.考点:(1)平面向量在几何中的应用(2)向量的夹角(3)化归与转化思想 难度:B备注:高频考点【题目栏目】平面向量\平面向量的数量积\平面向量的数量积运算 【题目来源】2014高考数学课标1理科·第15题31.(2013高考数学新课标2理科·第13题)已知正方形ABCD 的边长为2,E 为CD 的中点,则AE BD⋅=________.1()2AO AB AC =+AB AC 0901()2AO AB AC =+O 090BAC ∠=AB AC 090【答案】2解析:由题意知:2211402222AE BD AD AD AB AB ⋅=-⋅-=--= 考点:(1)5.1.2向量的线性运算;(2)5.3.1平面向量的数量积运算 难度: A备注:高频考点【题目栏目】平面向量\平面向量的数量积\平面向量的数量积运算 【题目来源】2013高考数学新课标2理科·第13题32.(2013高考数学新课标1理科·第13题)已知两个单位向量,a b 的夹角为60°,(1)c ta t b =+-,若0b c •=,则t =_____. 【答案】 2解析:•b c =[(1)]t t •+-b a b =2(1)t t •+-a b b =112t t +-=112t -=0,解得t =2. 考点: (1)5.3.1平面向量的数量积运算.难度:A备注:高频考点【题目栏目】平面向量\平面向量的数量积\平面向量的数量积运算 【题目来源】2013高考数学新课标1理科·第13题。
专题09平面向量考点三年考情(2022-2024)命题趋势考点1:平面向量线性运算2022年新高考全国I 卷数学真题平面向量数量积的运算、化简、证明及数量积的应用问题,如证明垂直、距离等是每年必考的内容,单独命题时,一般以选择、填空形式出现.交汇命题时,向量一般与解析几何、三角函数、平面几何等相结合考查,而此时向量作为工具出现.向量的应用是跨学科知识的一个交汇点,务必引起重视.预测命题时考查平面向量数量积的几何意义及坐标运算,同时与三角函数及解析几何相结合的解答题也是热点.考点2:数量积运算2022年高考全国甲卷数学(理)真题2023年高考全国乙卷数学(文)真题2022年高考全国乙卷数学(理)真题2024年北京高考数学真题考点3:求模问题2023年新课标全国Ⅱ卷数学真题2024年新课标全国Ⅱ卷数学真题2023年北京高考数学真题2022年高考全国乙卷数学(文)真题考点4:求夹角问题2023年高考全国甲卷数学(文)真题2023年高考全国甲卷数学(理)真题2022年新高考全国II 卷数学真题考点5:平行垂直问题2024年上海夏季高考数学真题2024年新课标全国Ⅰ卷数学真题2022年高考全国甲卷数学(文)真题2023年新课标全国Ⅰ卷数学真题2024年高考全国甲卷数学(理)真题考点6:平面向量取值与范围问题2024年天津高考数学真题2023年高考全国乙卷数学(理)真题2022年新高考北京数学高考真题2022年新高考天津数学高考真题2022年新高考浙江数学高考真题2023年天津高考数学真题考点1:平面向量线性运算1.(2022年新高考全国I 卷数学真题)在ABC 中,点D 在边AB 上,2BD DA =.记CA m CD n == ,,则CB=()A .32m n- B .23m n-+C .32m n+ D .23m n+ 【答案】B【解析】因为点D 在边AB 上,2BD DA =,所以2BD DA =,即()2CD CB CA CD -=- ,所以CB =3232CD CA n m -=- 23m n =-+ .故选:B .考点2:数量积运算2.(2022年高考全国甲卷数学(理)真题)设向量a ,b 的夹角的余弦值为13,且1a = ,3b =r ,则()2a b b +⋅= .【答案】11【解析】设a 与b 的夹角为θ,因为a 与b 的夹角的余弦值为13,即1cos 3θ=,又1a = ,3b =r ,所以1cos 1313a b a b θ⋅=⋅=⨯⨯= ,所以()22222221311a b b a b b a b b +⋅=⋅+=⋅+=⨯+= .故答案为:11.3.(2023年高考全国乙卷数学(文)真题)正方形ABCD 的边长是2,E 是AB 的中点,则EC ED ⋅=()A 5B .3C .25D .5【答案】B【解析】方法一:以{},AB AD为基底向量,可知2,0AB AD AB AD ==⋅=uu u r uuu r uu u r uuu r ,则11,22EC EB BC AB AD ED EA AD AB AD =+=+=+=-+uu u r uu r uu u r uu u r uuu r uu u r uu r uuu r uuu r uuu r ,所以22111143224EC ED AB AD AD AB AD ⎛⎫⎛⎫⋅=+⋅-+=-+=-+= ⎪ ⎪⎝⎭⎝⎭uu u r uu u r uu u r uuu r uu u r uuu r uu ur uuu r ;方法二:如图,以A 为坐标原点建立平面直角坐标系,则()()()1,0,2,2,0,2E C D ,可得()()1,2,1,2EC ED ==-uu u r uu u r,所以143EC ED ⋅=-+=uu u r uu u r;方法三:由题意可得:5,2ED EC CD ===,在CDE 中,由余弦定理可得2223cos 25255DE CE DC DEC DE CE +-∠==⋅⨯⨯,所以3cos 5535EC ED EC ED DEC ⋅=∠==uu u r uu u r uu u r uu u r .故选:B.4.(2022年高考全国乙卷数学(理)真题)已知向量,a b 满足||1,||3,|2|3a b a b ==-= ,则a b ⋅=()A .2-B .1-C .1D .2【答案】C【解析】∵222|2|||44-=-⋅+a b a a b b ,又∵||1,||3,|2|3,==-=a b a b ∴91443134=-⋅+⨯=-⋅a b a b ,∴1a b ⋅= 故选:C.5.(2024年北京高考数学真题)设a ,b 是向量,则“()()·0a b a b +-=”是“a b =- 或a b = ”的().A .充分不必要条件B .必要不充分条件C .充要条件D .既不充分也不必要条件【答案】B【解析】因为()()220a b a b a b +⋅-=-= ,可得22a b = ,即a b = ,可知()()0a b a b +⋅-= 等价于a b = ,若a b = 或a b =- ,可得a b = ,即()()0a b a b +⋅-=,可知必要性成立;若()()0a b a b +⋅-= ,即a b =,无法得出a b = 或a b =- ,例如()()1,0,0,1a b ==,满足a b = ,但a b ≠ 且a b ≠- ,可知充分性不成立;综上所述,“()()0a b a b +⋅-=”是“a b ≠ 且a b ≠- ”的必要不充分条件.故选:B.考点3:求模问题6.(2023年新课标全国Ⅱ卷数学真题)已知向量a ,b满足3a b -= ,2a b a b +=- ,则b = .3【解析】法一:因为2a b a b +=- ,即()()222a ba b +=-,则2222244a a b b a a b b +⋅+=-⋅+r r r r r r r r ,整理得220a a b -⋅= ,又因为3a b -= ()23a b -= ,则22223a a b b b -⋅+==r r r r r ,所以3b = 法二:设c a b =-r rr ,则3,2,22c a b c b a b c b =+=+-=+r r r r r r r r r ,由题意可得:()()2222c b c b +=+r r r r ,则22224444c c b b c c b b +⋅+=+⋅+r r r r r r r r ,整理得:22c b =r r ,即3b c ==r r 37.(2024年新课标全国Ⅱ卷数学真题)已知向量,a b满足1,22a a b =+= ,且()2b a b -⊥ ,则b = ()A .12B .22C .32D .1【答案】B【解析】因为()2b a b -⊥ ,所以()20b a b -⋅= ,即22b a b =⋅,又因为1,22a a b =+=,所以22144164a b b b +⋅+=+= ,从而22=b .故选:B.8.(2023年北京高考数学真题)已知向量a b,满足(2,3),(2,1)a b a b +=-=- ,则22||||a b -= ()A .2-B .1-C .0D .1【答案】B【解析】向量,a b 满足(2,3),(2,1)a b a b +=-=-,所以22||||()()2(2)311a b a b a b -=+⋅-=⨯-+⨯=-.故选:B9.(2022年高考全国乙卷数学(文)真题)已知向量(2,1)(2,4)a b ==-,,则a b -r r ()A .2B .3C .4D .5【答案】D【解析】因为()()()2,12,44,3a b -=--=- ,所以()22435-=+-a b .故选:D考点4:求夹角问题10.(2023年高考全国甲卷数学(文)真题)已知向量()()3,1,2,2a b ==,则cos ,a b a b +-= ()A .117B .1717C 55D 255【答案】B【解析】因为(3,1),(2,2)a b ==,所以()()5,3,1,1a b a b +=-=- ,则225334,112a b a b +=+-=+= ()()()51312a b a b +⋅-=⨯+⨯-= ,所以()()17cos ,342a b a b a b a b a b a b+⋅-+-==⨯+-.故选:B.11.(2023年高考全国甲卷数学(理)真题)已知向量,,a b c 满足1,2a b c === 0a b c ++=,则cos ,a c b c 〈--〉=()A .45-B .25-C .25D .45【答案】D【解析】因为0a b c ++=,所以a b c +=-r r r ,即2222a b a b c ++⋅= ,即1122a b ++⋅=r r ,所以0a b ⋅= .如图,设,,OA a OB b OC c ===,由题知,1,2,OA OB OC OAB === 是等腰直角三角形,AB 边上的高2222OD AD =所以22222CD CO OD =+=,1tan ,cos 310AD ACD ACD CD ∠==∠=,2cos ,cos cos 22cos 1a c b c ACB ACD ACD 〈--〉=∠=∠=∠-2421510=⨯-=.故选:D.12.(2022年新高考全国II 卷数学真题)已知向量(3,4),(1,0),t ===+ a b c a b ,若,,<>=<>a cbc ,则t =()A .6-B .5-C .5D .6【答案】C【解析】()3,4c t =+ ,cos ,cos ,a c b c =,即931635t t c c+++= ,解得5t =,故选:C考点5:平行垂直问题13.(2024年上海夏季高考数学真题))已知()(),2,5,6,k a b k ∈==R ,且//a b ,则k 的值为.【答案】15【解析】//a b,256k ∴=⨯,解得15k =.故答案为:15.14.(2024年新课标全国Ⅰ卷数学真题)已知向量(0,1),(2,)a b x == ,若(4)b b a ⊥-,则x =()A .2-B .1-C .1D .2【答案】D【解析】因为()4b b a ⊥- ,所以()40b b a ⋅-=,所以240b a b -⋅=即2440x x +-=,故2x =,故选:D.15.(2022年高考全国甲卷数学(文)真题)已知向量(,3),(1,1)a m b m ==+.若a b ⊥ ,则m =.【答案】34-/0.75-【解析】由题意知:3(1)0a b m m ⋅=++=,解得34m =-.故答案为:34-.16.(2023年新课标全国Ⅰ卷数学真题)已知向量()()1,1,1,1a b ==-,若()()a b a b λμ+⊥+ ,则()A .1λμ+=B .1λμ+=-C .1λμ=D .1λμ=-【答案】D【解析】因为()()1,1,1,1a b ==- ,所以()1,1a b λλλ+=+- ,()1,1a b μμμ+=+-,由()()a b a b λμ+⊥+可得,()()0a b a b λμ+⋅+= ,即()()()()11110λμλμ+++--=,整理得:1λμ=-.故选:D .17.(2024年高考全国甲卷数学(理)真题)设向量()()1,,,2a x x b x =+=,则()A .“3x =-”是“a b ⊥”的必要条件B .“3x =-”是“//a b ”的必要条件C .“0x =”是“a b ⊥”的充分条件D .“13x =-”是“//a b ”的充分条件【答案】C【解析】对A ,当a b ⊥时,则0a b ⋅= ,所以(1)20x x x ⋅++=,解得0x =或3-,即必要性不成立,故A 错误;对C ,当0x =时,()()1,0,0,2a b == ,故0a b ⋅= ,所以a b ⊥,即充分性成立,故C 正确;对B ,当//a b时,则22(1)x x +=,解得13x =,即必要性不成立,故B 错误;对D ,当13x =-时,不满足22(1)x x +=,所以//a b不成立,即充分性不立,故D 错误.故选:C.考点6:平面向量取值与范围问题18.(2024年天津高考数学真题)在边长为1的正方形ABCD 中,点E 为线段CD 的三等分点,1,2CE DE BE BA BC ==+uur uu r uu u r λμ,则λμ+=;F 为线段BE 上的动点,G 为AF 中点,则AF DG ⋅的最小值为.【答案】43518-【解析】解法一:因为12CE DE =,即23CE BA =uur uu r ,则13BE BC CE BA BC =+=+uu u r uur u uu ur r uu u r ,可得1,13λμ==,所以43λμ+=;由题意可知:1,0BC BA BA BC ==⋅=,因为F 为线段BE 上的动点,设[]1,0,13BF k BE k BA k BC k ==+∈,则113AF AB BF AB k BE k BA k BC ⎛⎫=+=+=-+ ⎪⎝⎭,又因为G 为AF 中点,则1111112232DG DA AG BC AF k BA k BC ⎛⎫⎛⎫=+=-+=-+- ⎪ ⎪⎝⎭⎝⎭,可得11111113232AF DG k BA k BC k BA k BC ⎡⎤⎡⎤⎛⎫⎛⎫⎛⎫⋅=-+⋅-+- ⎪ ⎪ ⎪⎢⎥⎢⎥⎝⎭⎝⎭⎝⎭⎣⎦⎣⎦ 22111563112329510k k k k ⎛⎫⎛⎫⎛⎫=-+-=-- ⎪ ⎪ ⎪⎝⎭⎝⎭⎝⎭,又因为[]0,1k ∈,可知:当1k =时,AF DG ⋅ 取到最小值518-;解法二:以B为坐标原点建立平面直角坐标系,如图所示,则()()()()11,0,0,0,0,1,1,1,,13A B C D E ⎛⎫--- ⎪⎝⎭,可得()()11,0,0,1,,13BA BC BE ⎛⎫=-==- ⎪⎝⎭,因为(),BE BA BC λμλμ=+=- ,则131λμ⎧-=-⎪⎨⎪=⎩,所以43λμ+=;因为点F 在线段1:3,,03BE y x x ⎡⎤=-∈-⎢⎥⎣⎦上,设()1,3,,03F a a a ⎡⎤-∈-⎢⎥⎣⎦,且G 为AF 中点,则13,22a G a -⎛⎫-⎪⎝⎭,可得()131,3,,122a AF a a DG a +⎛⎫=+-=--⎪⎝⎭,则()()22132331522510a AF DG a a a +⎛⎫⎛⎫⋅=+---=+- ⎪ ⎪⎝⎭⎝⎭ ,且1,03a ⎡⎤∈-⎢⎥⎣⎦,所以当13a =-时,AF DG ⋅ 取到最小值为518-;故答案为:43;518-.19.(2023年高考全国乙卷数学(理)真题)已知O 的半径为1,直线PA 与O 相切于点A ,直线PB 与O 交于B ,C 两点,D 为BC 的中点,若2PO =,则PA PD ⋅的最大值为()A .122+B .1222+C .12+D .22+【答案】A【解析】如图所示,1,2OA OP ==,则由题意可知:π4APO ∠=,由勾股定理可得221PA OP OA =-=当点,A D 位于直线PO 异侧时或PB 为直径时,设=,04OPC παα∠≤<,则:PA PD⋅ =||||cos 4PA PD πα⎛⎫⋅+ ⎪⎝⎭ 12cos 4παα⎛⎫=+ ⎪⎝⎭222sin 22ααα⎛⎫=- ⎪ ⎪⎝⎭2cos sin cos ααα=-1cos 21sin 222αα+=-122224πα⎛⎫=-- ⎪⎝⎭04πα≤<,则2444πππα-≤-<∴当ππ244α-=-时,PA PD ⋅ 有最大值1.当点,A D 位于直线PO 同侧时,设,04OPC παα∠<<,则:PA PD ⋅ =||||cos 4PA PD πα⎛⎫⋅- ⎪⎝⎭ 12cos 4παα⎛⎫=- ⎪⎝⎭22222ααα⎛⎫=+ ⎪ ⎪⎝⎭2cos sin cos ααα=+1cos 21sin 222αα+=+122224πα⎛⎫=++ ⎪⎝⎭,04πα≤<,则32444πππα≤+<∴当242ππα+=时,PA PD ⋅有最大值122.综上可得,PA PD ⋅的最大值为122.故选:A.20.(2022年新高考北京数学高考真题)在ABC 中,3,4,90AC BC C ==∠=︒.P 为ABC 所在平面内的动点,且1PC =,则PA PB ⋅的取值范围是()A .[5,3]-B .[3,5]-C .[6,4]-D .[4,6]-【答案】D【解析】依题意如图建立平面直角坐标系,则()0,0C ,()3,0A ,()0,4B ,因为1PC =,所以P 在以C 为圆心,1为半径的圆上运动,设()cos ,sin P θθ,[]0,2θπ∈,所以()3cos ,sin PA θθ=-- ,()cos ,4sin PB θθ=-- ,所以()()()()cos 3cos 4sin sin PA PB θθθθ⋅=-⨯-+-⨯- 22cos 3cos 4sin sin θθθθ=--+13cos 4sin θθ=--()15sin θϕ=-+,其中3sin 5ϕ=,4cos 5ϕ=,因为()1sin 1θϕ-≤+≤,所以()415sin 6θϕ-≤-+≤,即[]4,6PA PB ⋅∈- ;故选:D21.(2022年新高考天津数学高考真题)在ABC 中,,CA a CB b == ,D 是AC 中点,2CB BE = ,试用,a b表示DE 为,若AB DE ⊥ ,则ACB ∠的最大值为【答案】3122b a - 6π【解析】方法一:31=22DE CE CD b a -=- ,,(3)()0AB CB CA b a AB DE b a b a =-=-⊥⇒-⋅-= ,2234b a a b +=⋅ 222333cos 244a b a b b a ACB a b a b a b⋅+⇒∠==≥= 3a b = 时取等号,而0πACB <∠<,所以(0,]6ACB π∠∈.故答案为:3122b a - ;6π.方法二:如图所示,建立坐标系:(0,0),(1,0),(3,0),(,)E B C A x y ,3(,),(1,)22x y DE AB x y +=--=-- ,23()(1)022x y DE AB x +⊥⇒-+ 22(1)4x y ⇒++=,所以点A 的轨迹是以(1,0)M -为圆心,以2r =为半径的圆,当且仅当CA 与M 相切时,C ∠最大,此时21sin ,426r C C CM π===∠=.故答案为:3122b a - ;6π.22.(2022年新高考浙江数学高考真题)设点P 在单位圆的内接正八边形128A A A 的边12A A 上,则222182PA PA PA +++ 的取值范围是.【答案】[122,16]+【解析】以圆心为原点,37A A 所在直线为x 轴,51A A 所在直线为y轴建立平面直角坐标系,如图所示:则1345726222222(0,1),,,(1,0),,,(0,1),,,(1,0)222222A A A A A A A ⎛⎫⎛⎫⎛⎫---- ⎪ ⎪ ⎪ ⎪ ⎪ ⎪⎝⎭⎝⎭⎝⎭,82222A ⎛⎫ ⎪ ⎪⎝⎭,设(,)P x y ,于是()2222212888PA PA PA x y +++=++ ,因为cos 22.5||1OP ≤≤ ,所以221cos 4512x y +≤+≤ ,故222128PA PA PA +++ 的取值范围是[1222,16]+.故答案为:[1222,16]+.23.(2023年天津高考数学真题)在ABC 中,160BC A =∠= ,,11,22AD AB CE CD == ,记,AB a AC b == ,用,a b 表示AE = ;若13BF BC = ,则AE AF ⋅ 的最大值为.【答案】1142a b + 1324【解析】空1:因为E 为CD 的中点,则0ED EC += ,可得AE ED AD AE EC AC⎧+=⎪⎨+=⎪⎩ ,两式相加,可得到2AE AD AC =+ ,即122AE a b =+ ,则1142AE a b =+ ;空2:因为13BF BC = ,则20FB FC += ,可得AF FC AC AF FB AB ⎧+=⎪⎨+=⎪⎩,得到()22AF FC AF FB AC AB +++=+ ,即32AF a b =+ ,即2133AF a b =+ .于是()2211211252423312a b a F b a AE A a b b ⎛⎫⎛⎫+⋅+=+⋅+ ⎪ ⎪⎝⋅=⎭⎝⎭ .记,AB x AC y ==,则()()222222111525225cos 602221212122A x xy a a b b xy y x y E AF ⎛⎫+⋅+=++=++ ⎪⋅⎝⎭= ,在ABC 中,根据余弦定理:222222cos601BC x y xy x y xy =+-=+-= ,于是1519222122122AE xy x xy AF y ⎛⎫⎛⎫++=+ ⎪ ⎪⎝⎭=⎝⎭⋅ ,由221+-=x y xy 和基本不等式,2212x y xy xy xy xy +-=≥-=,故1xy ≤,当且仅当1x y ==取得等号,则1x y ==时,AE AF ⋅ 有最大值1324.故答案为:1142a b + ;1324.。
装--------------------订--------------------线-------------------------------------------------------------试题共页第页试题共页第页试题共页第页试题共页第页式作差整理后得到(1+λ)c=(1+μ)a,∵向量a,c不共线,∴1+λ=0,1+μ=0,即λ=-1,μ=-1,∴a+b=-c,即a+b+c=0.故选D.10.解析:由题意,不妨设a=(1,0),b=⎝⎛⎭⎪⎫-12,32,p=(x,y),∵p·a=p·b=12,∴⎩⎪⎨⎪⎧x=12,-12x+32y=12,解得⎩⎪⎨⎪⎧x=12,y=32,∴|p|=x2+y2=1,故选B. 11.解析:由|AB→+AC→|=|AB→-AC→|,化简得AB→·AC→=0,又因为AB和AC为三角形的两条边,它们的长不可能为0,所以AB→与AC→垂直,所以△ABC为直角三角形.以AC所在直线为x轴,以AB所在直线为y轴建立平面直角坐标系,如图所示,则A(0,0),B(0,2),C(1,0).不妨令E为BC的靠近C的三等分点,则E⎝⎛⎭⎪⎫23,23,F⎝⎛⎭⎪⎫13,43,所以AE→=⎝⎛⎭⎪⎫23,23,AF→=⎝⎛⎭⎪⎫13,43,所以AE→·AF→=23×13+23×43=109.答案:B12.解析:由⎩⎨⎧a⊥c,b∥c⇒⎩⎨⎧2x-4=0,2y+4=0⇒⎩⎨⎧x=2,y=-2,∴a=(2,1),b=(1,-2),a+b=(3,-1),∴|a+b|=10,故选B.二、填空题13.解析:∵λa+b=0,即λa=-b,∴|λ||a|=|b|.∵|a|=1,|b|=5,∴|λ|= 5.---------------------------------------------------------------装--------------------订--------------------线------------------------------------------------------------- 答案: 514.解析:∵OA→⊥AB→,∴OA→·AB→=0,即OA→·(OB→-OA→)=0,∴OA→·OB→=OA2→=9.答案:915.解析:∵a⊥b,∴a·b=2m-6=0,m=3,∴a-b=(1,7),∴|a-b|=1+49=5 2.答案:5 216.解析:如图所示,BD→·AE→=(AD→-AB→)·(AB→+BE→)=⎝⎛⎭⎪⎫12AC→-AB→·⎝⎛⎭⎪⎫AB→+13AC→-13AB→=⎝⎛⎭⎪⎫12AC→-AB→·⎝⎛⎭⎪⎫13AC→+23AB→=16AC2→-23AB2→=16×4-23×4=-2. 答案:-2试题共页第页B卷答案解析一、选择题1.解析:∵A(1,3),B(4,-1),∴AB→=(3,-4),又∵|AB→|=5,∴与AB→同向的单位向量为AB→|AB→|=⎝⎛⎭⎪⎫35,-45.故选A.答案:A2.解析:由|a+b|=|a-b|可知a⊥b,设AB→=b,AD→=a,作矩形ABCD,可知AC→=a+b,BD→=a-b,设AC与BD的交点为O,结合题意可知OA=OD=AD,∴∠AOD=π3,∴∠DOC=2π3,又向量a+b与a-b的夹角为AC→与BD→的夹角,故所求夹角为2π3,选D.答案:D3.解析:由题意可得OD→=kOC→=kλOA→+kμOB→(0<k<1),又A,D,B三点共线,所以kλ+kμ=1,则λ+μ=1k>1,即λ+μ的取值范围是(1,+∞),选项B 正确.答案:B4.解析:∵a=(1,3),b=(3,m),∴|a|=2,|b|=9+m2,a·b=3+3m,又a,b的夹角为π6,试题共页第页可化为x2+y2-2x≤0,即(x-1)2+y2≤1,故选C.答案:C10.解析:由题知AD→=12(AB→+AC→),∵AB→·AC→=-16,∴|AB→|·|AC→|cos∠BAC=-16.在△ABC中,|BC→|2=|AB→|2+|AC→|2-2|AB→||AC→|·cos∠BAC,∴102=|A B→|2+|AC→|2+32,|AB→|2+|AC→|2=68,∴|AD→|2=14(AB→2+AC→2+2AB→·AC→)=14(68-32)=9,∴|AD→|=3.答案:D11.解析:如图,设A(m,0),B(0,n),∴mn=2,则a=(1,0),b=(0,1),OP→=a+2b=(1,2),P A→=(m-1,-2),PB→=(-1,n-2),P A→·PB→=5-(m+2n)≤5-22nm=1,当且仅当m=2n,即m=2,n=1时,等号成立.答案:A12.解析:由a,b为单位向量且a·b=0,可设a=(1,0),b=(0,1),又设c=(x,y),代入|c-a-b|=1得(x-1)2+(y-1)2=1,又|c|=x2+y2,故由几何性质得12+12-1≤|c|≤12+12+1,即2-1≤|c|≤2+1.答案:A二、填空题13.解析:AB→=OB→-OA→=(3,2-t),由题意知OB→·AB→=0,所以2×3+2(2-t)=0,解得t=5.答案:514.解析:由|2a-b|≤3可知,4a2+b2-4a·b≤9,所以4a2+b2≤9+4a·b,而---------------------------------------------------------------装--------------------订--------------------线------------------------------------------------------------- 4a2+b2=|2a|2+|b|2≥2|2a|·|b|≥-4a·b,所以a·b≥-98,当且仅当2a=-b时取等号.答案:-9815.解析:作CO⊥AB于O,建立如图所示的平面直角坐标系,则A⎝⎛⎭⎪⎫-32,0,B⎝⎛⎭⎪⎫12,0,C⎝⎛⎭⎪⎫0,32,D⎝⎛⎭⎪⎫-1,32,所以E⎝⎛⎭⎪⎫16,33,F⎝⎛⎭⎪⎫-56,32,所以AE→·AF→=⎝⎛⎭⎪⎫53,33·⎝⎛⎭⎪⎫23,32=109+12=2918.答案:291816.解析:如图,AE→=AB→+BE→=AB→+13BC→,AF→=AD→+DF→=AD→+1λDC→=BC→+1λAB→,所以AE→·AF→=⎝⎛⎭⎪⎫AB→+13BC→·⎝⎛⎭⎪⎫BC→+1λAB→=⎝⎛⎭⎪⎫1+13λAB→·BC→+1λAB→2+13BC→2=⎝⎛⎭⎪⎫1+13λ×2×2×cos 120°+4λ+43=1,解得λ=2.答案:2。
高考数学平面向量及复数专项训练试题一、选择题(本题每小题5分,共60分)1.设向量(cos 23,cos67),(cos53,cos37),a b a b =︒︒=︒︒⋅=则 ( )AB .12C .D .12-2.如果复数212bi i-+(其中i 为虚数单位,b 为实数)的实部和虚部是互为相反数,那么b 等于( )A B .23C .2D . 23-3.220041i i i ++++的值是 ( ) A .0 B .1- C .1 D .i 4.若(2,3)a =-, (1,2)b =-,向量c 满足c a ⊥,1b c ⋅=,则c 的坐标是 ( ) A .(3,2)- B .(3,2) C .(3,2)-- D .(3,2)- 5.使4()a i R +∈(i 为虚数单位)的实数a 有( ) A .1个 B .2个 C .3个D .4个6.设e 是单位向量,3,3,3AB e CD e AD ==-=,则四边形ABCD 是( )A .梯形B .菱形C .矩形D .正方形7.已知O 、A 、B 三点的坐标分别为(0,0)O ,(3,0)A ,(0,3)B ,点P 在线段AB 上,且(0AP t AB =≤t ≤1),则OA OP ⋅的最大值为( )A .3B .6C .9D .128.已知2,1a b ==,a 与b 的夹角为60︒,则使向量a b λ+与2a b λ-的夹角为钝角的实数λ的取值范围是 ( )A . (,1-∞--B . (1)-++∞C . (,1(13,)-∞--++∞D . (11--+9.若z 为复数,下列结论正确的是 ( )A .若12,z z C ∈且120z z ->且12z z >B .22z z =C .若0,z z -=则z 为纯虚数D .若2z 是正实数,那么z 一定是非零实数10.若sin 211)i θθ-++是纯虚数,则θ的值为 ( ) A .2()4k k Z ππ-∈ B .2()4k k Z ππ+∈ C .2()4k k Z ππ±∈ D .()24k k Z ππ+∈11.已知△ABC 的三个顶点的A 、B 、C 及平面内一点P 满足PA PB PC AB ++=,下列结论中正确的是 ( ) A .P 在△ABC 内部 B .P 在△ABC 外部 C .P 在AB 边所在直线上 D .P 是AC 边的一个三等分点 12.复数z 在复平面上对应的点在单位圆上,则复数21zz+ ( )A .是纯虚数B .是虚数但不是纯虚数C .是实数D .只能是零 二、填空题(本题每小题4分,共16分)13.已知复数z 满足等式:2||212z zi i -=+,则z= .14.把函数)2245y x x =-+的图象按向量a 平移后,得到22y x =的图象,且a ⊥b ,(1,1)c =-,4b c ⋅=,则b =_____________。
专题07 平面向量1.【2022年全国乙卷】已知向量a ⃑=(2,1),b ⃑⃑=(−2,4),则|a ⃑−b ⃑⃑|( ) A .2 B .3 C .4 D .5【答案】D 【解析】 【分析】先求得a ⃑−b ⃑⃑,然后求得|a ⃑−b ⃑⃑|. 【详解】因为a ⃑−b ⃑⃑=(2,1)−(−2,4)=(4,−3),所以|a ⃑−b ⃑⃑|=√42+(−3)2=5. 故选:D2.【2022年全国乙卷】已知向量a ⃑,b ⃑⃑满足|a ⃑|=1,|b ⃑⃑|=√3,|a ⃑−2b ⃑⃑|=3,则a ⃑⋅b ⃑⃑=( ) A .−2 B .−1 C .1 D .2【答案】C 【解析】 【分析】根据给定模长,利用向量的数量积运算求解即可. 【详解】解:∵|a ⃗−2b ⃑⃗|2=|a ⃗|2−4a ⃗⋅b ⃑⃗+4|b ⃑⃗|2, 又∵|a ⃗|=1,|b ⃑⃗|=√3,|a ⃗−2b ⃑⃗|=3, ∴9=1−4a ⃗⋅b ⃑⃗+4×3=13−4a ⃗⋅b ⃑⃗, ∴a ⃗⋅b ⃑⃗=1 故选:C.3.【2022年新高考1卷】在△ABC 中,点D 在边AB 上,BD =2DA .记CA ⃑⃑⃑⃑⃑⃑=m ⃑⃑⃗,CD ⃑⃑⃑⃑⃑⃑=n ⃑⃗,则CB ⃑⃑⃑⃑⃑⃑=( ) A .3m ⃑⃑⃗−2n ⃑⃗ B .−2m ⃑⃑⃗+3n ⃑⃗C .3m ⃑⃑⃗+2n ⃑⃗D .2m ⃑⃑⃗+3n ⃑⃗【答案】B 【解析】【分析】根据几何条件以及平面向量的线性运算即可解出. 【详解】因为点D 在边AB 上,BD =2DA ,所以BD ⃑⃑⃑⃑⃑⃑⃑=2DA ⃑⃑⃑⃑⃑⃑,即CD ⃑⃑⃑⃑⃑⃑−CB ⃑⃑⃑⃑⃑⃑=2(CA ⃑⃑⃑⃑⃑⃑−CD ⃑⃑⃑⃑⃑⃑), 所以CB ⃑⃑⃑⃑⃑⃑= 3CD ⃑⃑⃑⃑⃑⃑−2CA ⃑⃑⃑⃑⃑⃑=3n ⃑⃑−2m ⃑⃑⃑ =−2m ⃑⃑⃗+3n ⃑⃗. 故选:B .4.【2022年新高考2卷】已知向量a ⃑=(3,4),b ⃑⃑=(1,0),c ⃑=a ⃑+tb ⃑⃑,若<a ⃑,c ⃑>=<b ⃑⃑,c ⃑>,则t =( ) A .−6 B .−5 C .5 D .6【答案】C 【解析】 【分析】利用向量的运算和向量的夹角的余弦公式的坐标形式化简即可求得 【详解】解:c ⃗=(3+t,4),cos 〈a ⃗,c ⃗〉=cos 〈b,c ⃗〉,即9+3t+165|c⃗|=3+t|c ⃗|,解得t =5,故选:C5.【2022年北京】在△ABC 中,AC =3,BC =4,∠C =90°.P 为△ABC 所在平面内的动点,且PC =1,则PA ⃑⃑⃑⃑⃑⃑⋅PB ⃑⃑⃑⃑⃑⃑的取值范围是( ) A .[−5,3] B .[−3,5]C .[−6,4]D .[−4,6]【答案】D 【解析】 【分析】依题意建立平面直角坐标系,设P (cosθ,sinθ),表示出PA ⃑⃑⃑⃑⃑⃑,PB ⃑⃑⃑⃑⃑⃑,根据数量积的坐标表示、辅助角公式及正弦函数的性质计算可得; 【详解】解:依题意如图建立平面直角坐标系,则C (0,0),A (3,0),B (0,4),因为PC =1,所以P 在以C 为圆心,1为半径的圆上运动, 设P (cosθ,sinθ),θ∈[0,2π],所以PA⃑⃑⃑⃑⃑⃑=(3−cosθ,−sinθ),PB ⃑⃑⃑⃑⃑⃑=(−cosθ,4−sinθ), 所以PA⃑⃑⃑⃑⃑⃑⋅PB ⃑⃑⃑⃑⃑⃑=(−cosθ)×(3−cosθ)+(4−sinθ)×(−sinθ) =cos 2θ−3cosθ−4sinθ+sin 2θ=1−3cosθ−4sinθ=1−5sin (θ+φ),其中sinφ=35,cosφ=45,因为−1≤sin (θ+φ)≤1,所以−4≤1−5sin (θ+φ)≤6,即PA ⃑⃑⃑⃑⃑⃑⋅PB ⃑⃑⃑⃑⃑⃑∈[−4,6]; 故选:D6.【2022年全国甲卷】已知向量a ⃑=(m,3),b ⃑⃑=(1,m +1).若a ⃑⊥b ⃑⃑,则m =______________.【答案】−34##−0.75 【解析】 【分析】直接由向量垂直的坐标表示求解即可. 【详解】由题意知:a ⃑⋅b ⃑⃑=m +3(m +1)=0,解得m =−34.故答案为:−34.7.【2022年全国甲卷】设向量a ⃑,b ⃑⃑的夹角的余弦值为13,且|a ⃑|=1,|b ⃑⃑|=3,则(2a ⃑+b ⃑⃑)⋅b ⃑⃑=_________. 【答案】11 【解析】 【分析】设a ⃑与b ⃑⃑的夹角为θ,依题意可得cosθ=13,再根据数量积的定义求出a ⃑⋅b ⃑⃑,最后根据数量积的运算律计算可得. 【详解】解:设a ⃑与b ⃑⃑的夹角为θ,因为a ⃑与b ⃑⃑的夹角的余弦值为13,即cosθ=13, 又|a ⃑|=1,|b ⃑⃑|=3,所以a ⃑⋅b ⃑⃑=|a ⃑|⋅|b ⃑⃑|cosθ=1×3×13=1, 所以(2a ⃑+b ⃑⃑)⋅b ⃑⃑=2a ⃑⋅b ⃑⃑+b ⃑⃑2=2a ⃑⋅b ⃑⃑+|b ⃑⃑|2=2×1+32=11. 故答案为:11.8.【2022年浙江】设点P 在单位圆的内接正八边形A 1A 2⋯A 8的边A 1A 2上,则PA ⃑⃑⃑⃑⃑⃑12+PA 2⃑⃑⃑⃑⃑⃑⃑⃑2+⋯+PA ⃑⃑⃑⃑⃑⃑82的取值范围是_______. 【答案】[12+2√2,16] 【解析】 【分析】根据正八边形的结构特征,分别以圆心为原点,A 7A 3所在直线为x 轴,A 5A 1所在直线为y 轴建立平面直角坐标系,即可求出各顶点的坐标,设P(x,y),再根据平面向量模的坐标计算公式即可得到PA ⃑⃑⃑⃑⃑⃗12+PA ⃑⃑⃑⃑⃑⃗22+⋯+PA ⃑⃑⃑⃑⃑⃗82=8(x 2+y 2)+8,然后利用cos22.5∘≤|OP|≤1即可解出. 【详解】以圆心为原点,A 7A 3所在直线为x 轴,A 5A 1所在直线为y 轴建立平面直角坐标系,如图所示:则A 1(0,1),A 2(√22,√22),A 3(1,0),A 4(√22,−√22),A 5(0,−1),A 6(−√22,−√22),A 7(−1,0),A 8(−√22,√22),设P(x,y),于是PA ⃑⃑⃑⃑⃑⃗12+PA ⃑⃑⃑⃑⃑⃗22+⋯+PA ⃑⃑⃑⃑⃑⃗82=8(x 2+y 2)+8,因为cos22.5∘≤|OP|≤1,所以1+cos45∘2≤x 2+y 2≤1,故PA ⃑⃑⃑⃑⃑⃗12+PA ⃑⃑⃑⃑⃑⃗22+⋯+PA ⃑⃑⃑⃑⃑⃗82的取值范围是[12+2√2,16].故答案为:[12+2√2,16].1.(2022·陕西·西北工业大学附属中学模拟预测(理))在直角坐标系xOy 中的三点(),3M m ,()4,N n ,()2,2E -,若向量OM 与ON 在向量OE 方向上的投影相等,则m 与n 的关系为( )A .7m n +=B .3m n -=C .m n =D .m n =-【答案】A 【解析】 【分析】根据向量在向量上的投影的定义列式可求出结果. 【详解】(),3OM m =,(4,)ON n =,(2,2)OE =-,向量OM 在向量OE 方向上的投影为||OM OE OE ⋅==向量ON 在向量OE 方向上的投影为8||ON OE OE ⋅=,=7m n +=. 故选:A.2.(2022·山东潍坊·三模)已知a ,b 是平面内两个不共线的向量,AB a b λ=+,AC a b μ=+,λ,μ∈R ,则A ,B ,C 三点共线的充要条件是( )A .1λμ-=B .2λμ+=C .1λμ=D .1λμ= 【答案】C 【解析】 【分析】利用向量共线的充要条件有AB mAC =且R m ∈,即可得答案. 【详解】由A ,B ,C 三点共线的充要条件是AB mAC =且R m ∈,所以1m mμλ=⎧⎨=⎩,故1λμ=.故选:C3.(2022·江苏苏州·模拟预测)在ABC 中,π3A =,点D 在线段AB 上,点E 在线段AC 上,且满足22,2AD DB AE EC ====,CD 交BE 于F ,设AB a =,AC b =,则AF BC ⋅=( )A .65B .175C .295D .325【答案】B 【解析】 【分析】根据平面共线向量的性质,结合平面向量数量积的运算性质、平面向量数量积的定义、平面向量的加法的几何意义进行求解即可. 【详解】设DF DC λ=,EF EB μ=,因为11111()(),33333AF AD DF AB DC AB DA AC AB AB AC AB AC λλλλλ-=+=+=++=+-+=+11111()(),22222AF AE EF AC EB AC EA AB AC AC AB AC AB μμμμμ-=+=+=++=+-+=+所以有21531152λλμμμλ-⎧⎧==⎪⎪⎪⎪⇒⎨⎨-⎪⎪==⎪⎪⎩⎩,因此AF BC ⋅=2212121()()55555+-+=-+-⋅AB AC AB AC AB AC AC AB ,因为π3A =,3AB =,4AC =,所以AF BC ⋅=1211179163455525⋅=-⨯+⨯-⨯⨯⨯=AF BC ,故选:B4.(2022·内蒙古·满洲里市教研培训中心三模(文))若(2,3a =-,(2sin ,2cos)66b ππ=,下列正确的是( ) A .//()b a b -B .()b a b ⊥-C .a 在b 方向上的投影是12-D .()a b a b +⊥-()【答案】C 【解析】 【分析】根据向量平行的坐标表示判断A ,根据向量垂直的坐标表示判断BC ,根据向量的投影的定义判断C. 【详解】由已知(2,3a =-,(1,3)b =,所以(((2,3=1,a b -=---,((()2,3=3,0a b+=-+, 因为1(10⨯-≠,所以b ab -,不平行,A 错, 因为(10⨯-≠,所以b a b -,不垂直,B 错,因为a 在b 方向上的投影为2211cos ,=21a b a a b b ⋅⨯-==-+,C 对,因为(13+00⨯-⨯≠,所以a b a b +-,不垂直,D 错, 故选:C.5.(2022·内蒙古赤峰·模拟预测(理))若向量a ,b 满足1a =,2b =,()235a a b ⋅+=,则a 与b 的夹角为( )A .6πB .3π C .23π D .56π 【答案】B 【解析】 【分析】根据数量积的运算律得到a b ⋅,再根据cos a b a bθ⋅=⋅计算可得;【详解】解:因为1a =,2b =,()235a a b ⋅+=,所以2235a a b +⋅=,即2235a a b +⋅=,所以1a b ⋅=,设a 与b 的夹角为θ, 则1cos 2a b a bθ⋅==⋅,因为[]0,θπ∈,所以3πθ=; 故选:B6.(2022·北京·潞河中学三模)已知菱形ABCD 的边长为,60a ABC ∠=,则DB CD ⋅=( ) A .232a -B .234a -C .234aD .232a【答案】A 【解析】 【分析】将,DB CD 分别用,BA BC 表示,再根据数量积的运算律即可得出答案. 【详解】解:,DB DA AB BC BA CD BA =+=--=,则()22221322DB CD BC BA BA BC BA BA a a a ⋅=--⋅=-⋅-=--=-.故选:A.7.(2022·湖北·华中师大一附中模拟预测)已知向量(,3)a m =,(1,)b m =,若a 与b 反向共线,则3a b -的值为( )A .0B .48C .D .【答案】C 【解析】 【分析】由向量反向共线求得m =3a b -. 【详解】由题意23m =,得m =又a 与b 反向共线,故m =3(23,6)a b -=-, 故3=43a b -. 故选:C.8.(2022·山东淄博·三模)如图在ABC 中,90ABC ∠=︒,F 为AB 中点,3CE =,8CB =,12AB =,则EA EB ⋅=( )A .15-B .13-C .13D .15【答案】C 【解析】 【分析】建立平面直角坐标系,利用坐标法求出平面向量的数量积; 【详解】解:建立如图所示的平面直角坐标系, 则(12,0)A ,(0,0)B ,(0,8)C ,(6,0)F , 又3CE =,8CB =,12AB =,则10CF , 即310CE FC =,即710FE FC =, 则()()9286,67710100,8,55BE BF FC ⎛⎫=+=+-= ⎪⎝⎭, 则,552851EA ⎛⎫=-⎪⎝⎭,928,55EB ⎛⎫=-- ⎪⎝⎭, 则25281355951EA EB ⎛⎫⎛⎫⋅=⨯-+-= ⎪ ⎪⎝⎭⎝⎭;故选:C .9.(2022·河北·石家庄二中模拟预测)数学家欧拉于1765年在他的著作《三角形的几何学》中首次提出定理:三角形的外心、重心、垂心依次位于同一条直线上,且重心到外心的距离是重心到垂心距离的一半,该直线被称为三角形的欧拉线,设点,,O G H 分别为任意ABC 的外心、重心、垂心,则下列各式一定正确的是( )A .12OG OH =B .23OH GH =C .23AO AHAG +=D .23BO BHBG +=【答案】D 【解析】 【分析】根据三点共线和长度关系可知AB 正误;利用向量的线性运算可表示出,AG BG ,知CD 正误. 【详解】,,O G H 依次位于同一条直线上,且重心到外心的距离是重心到垂心距离的一半,12OG GH ∴=,13OG OH ∴=,32OH GH =,A 错误,B 错误;()112333AO AHAG AO OG AO OH AO AH AO +=+=+=+-=,C 错误; ()112333BO BHBG BO OG BO OH BO BH BO +=+=+=+-=,D 正确. 故选:D.10.(2022·江苏·南京外国语学校模拟预测)已知,,OA OB OC 均为单位向量,且满足102OA OB OC ++=,则AB AC ⋅的值为( ) A .38B .58C .78D .198【答案】B 【解析】 【分析】通过向量的线性运算进行化简求值即可. 【详解】()2,32AO OB OC AB OB OC =+=+,同理23AC OB OC =+()()2274(),,32238AO OB OC OB OC AB AC OB OC OB OC =+∴⋅=-⋅=++2291566136688OB OC OB OC =++⋅=+-=. 故选:B.11.(2022·辽宁沈阳·三模)已知椭圆()22:40C x y m m +=>的两个焦点分别为12,F F ,点P是椭圆上一点,若12PF PF ⋅的最小值为1-,则12PF PF ⋅的最大值为( ) A .4 B .2C .14D .12【答案】D 【解析】 【分析】设00(,)P x y ,求出焦点坐标,利用向量的坐标运算得出12PF PF ⋅,再根据椭圆的范围利用二次函数求最值即可得解. 【详解】设00(,)P x y ,由()22:40C x y m m +=>可知1(F ,2F ,100(,)PF x y ∴=---,0023(,)2PF x y =--, 22222012000033311(4)44442x m m PF PF x y x m x m ∴⋅=-++=-++-=-,0m x -≤≤00x ∴=时,12PF PF ⋅的最小值为112m -=-,解得2m =.当0x =12PF PF ⋅的最大值为312142⨯-=.故选:D12.(2022·安徽师范大学附属中学模拟预测(理))非零向量,a b 满足2a b a b a +=-=,则a b -与a 的夹角为( ) A .6π B .3π C .23π D .56π 【答案】B 【解析】 【分析】根据给定条件,求出a b ⋅,再利用向量夹角公式计算作答. 【详解】由a b a b +=-得:22()()a b a b +=-,即222222a a b b a a b b +⋅+=-⋅+,解得0a b ⋅=,因此,22()1cos ,2||||2||a b a a a b a b a a b a a -⋅-⋅〈-〉===-,而,[0,π]a b a 〈-〉∈,解得π,3a b a 〈-〉=,所以a b -与a 的夹角为3π. 故选:B13.(2022·浙江省江山中学模拟预测)在ABC 中,E ,F 分别为,AC BC 的中点,点D 是线段AF (不含端点)内的任意一点,AD mAB nAE =+,则( ) A .(0,1)m ∈ B .(0,2)n ∈ C .2n m = D .1m n +=【答案】C 【解析】 【分析】根据向量的线性运算的定义和平面向量基本定理确定,m n 的关系和范围. 【详解】因为点D 是线段AF (不含端点)内的任意一点, 所以可设(01)AD AF λλ=<<, 因为E ,F 分别为,AC BC 的中点,所以11112222AF AB BF AB BC AB AC AB AE =+=+=+=+,所以2AD AB AE λλ=+,又AD mAB nAE =+,所以10,22m λ⎛⎫=∈ ⎪⎝⎭,()0,1n λ=∈,2n m =,32m n λ+=, 所以A ,B ,D 错误,C 正确, 故选:C.14.(2022·安徽·合肥一中模拟预测(文))已知向量(1,0)a =,(1,1)b =,向量a b 与a 垂直,则实数λ的值为( ) A .2- B .2 C .1- D .1【答案】C 【解析】 【分析】由题得()0λ+⋅=a b a 化简即得解. 【详解】 因为ab 与a 垂直,所以()20,0λλ+⋅=∴+⋅=a b a a a b , 所以1+(10)0,1λλ⨯+=∴=-. 故选:C.15.(2022·海南华侨中学模拟预测)已知不共线的平面向量,,a b c 两两所成的角相等,且1,4,7a b a b c ==++=,则c =( )A B .2 C .3 D .2或3【答案】D 【解析】 【分析】 先求出23πθ=,转化2()7a b c a b c ++=++=,列方程即可求出. 【详解】由不共线的平面向量a ,b ,c 两两所成的角相等,可设为θ,则23πθ=.设|c |=m. 因为147a b a b c ==++=,,,所以27a b c ++=, 即2222227a a b b b c a c c +⋅++⋅+⋅+=,所以2222221214cos424cos 21cos 7333m m m πππ+⨯⨯++⨯⨯+⨯⨯+= 即2560m m -+=,解得:2m =或3. 所以|c |=2或3 故选:D16.(2022·贵州贵阳·模拟预测(理))已知()1,2a =,()2,1b =-,()1,c λ=,且()c a b ⊥+,则λ=______. 【答案】3- 【解析】 【分析】由向量垂直的坐标表示计算可得. 【详解】由题意()()3,1a b +=,又()c a b ⊥+,则()()()1,3,130c a b λλ⋅+=⋅=+=,故3λ=-. 故答案为:3-.17.(2022·河北·沧县中学模拟预测)已知向量,a b 的夹角为23π,4a =,3b =,则a b +=___________.【解析】 【分析】根据2222a b a a b b +=+⋅+求解即可. 【详解】 21cos43632a b a b π⎛⎫⋅==⨯⨯-=- ⎪⎝⎭, 则()222222426313a b a a b b +=+⋅+=+⨯-+=, 则13a b +=.18.(2022·安徽·合肥一六八中学模拟预测(文))已知向量||1b =,向量(1,3)a =,且|2|6a b -=,则向量,a b 的夹角为___________.【答案】2π##90 【解析】 【分析】由|2|6a b -=两边平方,结合数量积的定义和性质化简可求向量,a b 的夹角 【详解】因为(1,3)a =,所以(21+a =因为|2|6a b -=,所以2222+26a ab b -=,又||1b =,所以426b -⋅+=,所以0a b ⋅=, 向量,a b 的夹角为θ,则cos 0a b θ⋅= 所以cos 0θ=,则2πθ=.故答案为:2π. 19.(2022·陕西·交大附中模拟预测(理))已知在平行四边形ABCD 中,11,,2,622DE EC BF FC AE AF ====AC DB ⋅值为__________. 【答案】94##2.25【解析】 【分析】由向量加法的几何意义及数量积运算律有22D AC DB C CB ⋅=-,再由1313AE BC DC AF DC BC⎧=+⎪⎪⎨⎪=+⎪⎩结合数量积运算律,即可得结果. 【详解】由题设可得如下图:,AC AD DC DB DC CB =+=+,而AD CB =-,所以22D AC DB C CB ⋅=-, 又11,,2,622DE EC BF FC AE AF ==== 所以1313AE AD DE BC DC AF AB BF DC BC ⎧=+=+⎪⎪⎨⎪=+=+⎪⎩,则22222143921639BC BC DC DC DC BC DC BC ⎧+⋅+=⎪⎪⎨⎪+⋅+=⎪⎩,故228()29DC BC -=,可得2294DC BC -=,即94AC DB =⋅. 故答案为:9420.(2022·浙江·镇海中学模拟预测)设,a b 为不共线的向量,满足,342(,R)c a b λμλμλμ=++=∈,且c a c b c --==,若3a b -=,则()22()⋅⋅-a ba b 的最大值为________. 【答案】324【解析】 【分析】采用建系法,令,,a OA b OB c OC ===,将各个点用坐标表示,然后表达出OAB 面积的最大值,进而求得()22()⋅⋅-a b a b 的最大值;【详解】令,,a OA b OB c OC ===,又因为c a c b c --==, 即==OC CA CB ,则点C 为OAB 的外心,因为3-==a b AB , 设33,0,,0,(0,)22⎛⎫⎛⎫- ⎪ ⎪⎝⎭⎝⎭B AC m ,不妨取0m >则点()00,O x y 在圆2229:()4+-=+C x y m m 上, 由OC OA OB λμ=+,代入坐标,()00000033,,,22λμ⎛⎫⎛⎫---=--+--- ⎪ ⎪⎝⎭⎝⎭x m y x y x y ,解得003(),211-+=⋅-=----mx y m μλμλλμλμ,联立342+=u λ和2229:()4+-=+C x y m m ,解得12λ⎫<⎪⎭m,故0()1μλλμ+=+--m y m622λ=≤-+ ⎪⎝⎭,1λ=-时取“=”. 故01||92=⋅≤OABSAB y ,于是 ()22222max max(||||)()||||1cos a b a b OA OB AOB ⎡⎤⎡⎤⋅-⋅=⋅⋅-∠⎣⎦⎣⎦ ()2222maxmax||||sin 4324OAB OA OB AOB S ⎡⎤=⋅⋅∠==⎣⎦△.故答案为:324 【点睛】求两个向量的数量积有三种方法:利用定义;利用向量的坐标运算;利用数量积的几何意义.具体应用时可根据已知条件的特征来选择,同时要注意数量积运算律的应用.。
专题六 平面向量本试卷分第Ⅰ卷(选择题)和第Ⅱ卷(非选择题)两部分.满分150分,考试时间120分钟.第Ⅰ卷 (选择题,共60分)一、选择题(本大题共12小题,每小题5分,共60分.在每小题给出的四个选项中,只有一项是符合题目要求的)1.(2019·漳州质量监测)已知向量a,b 满足|a|=1,|b|=3,且a,b 夹角为π6,则(a +b)·(2a-b)=( )A.12 B .-32 C .-12 D.32 答案 A解析 (a +b)·(2a-b)=2a 2-b 2+a·b=2-3+1×3×32=12.故选A. 2.(2019·全国卷Ⅱ)已知AB →=(2,3),AC →=(3,t),|BC →|=1,则AB →·BC →=( ) A .-3 B .-2 C .2 D .3 答案 C解析 ∵BC →=AC →-AB →=(3,t)-(2,3)=(1,t -3),|BC →|=1,∴12+t -32=1,∴t =3,∴BC →=(1,0),∴AB →·BC →=2×1+3×0=2.故选C.3.(2019·桂林二模)已知向量AB →与AC →的夹角为60°,且|AB →|=2,|AC →|=4,若AP →=AB →+λAC →,且AP →⊥BC →,则实数λ的值为( )A.45 B .-45 C .0 D .-25 答案 C解析 ∵AP →⊥BC →,∴AP →·BC →=0,即(AB →+λAC →)·(AC →-AB →)=0,∴λAC →2+(1-λ)AB →·AC →-AB →2=0,∵AB →·AC →=2×4×cos60°=4,AB →2=4,AC →2=16,∴16λ+4(1-λ)-4=0,∴λ=0.故选C.4.(2019·潍坊二模)在等腰梯形ABCD 中,AB →=2DC →,点E 是线段BC 的中点,若AE →=λAB →+μAD →,则λ+μ=( )A.52B.54C.12D.14 答案 B解析 取AB 的中点F,连接CF,则四边形AFCD 是平行四边形,所以CF ∥AD,且CF =AD因为AE →=AB →+BE →=AB →+12BC →=AB →+12(FC →-FB →)=AB →+12⎝ ⎛⎭⎪⎫AD →-12AB →=34AB →+12AD →,∴λ=34,μ=12,λ+μ=54,故选B.5.(2019·全国卷Ⅰ)已知非零向量a,b 满足|a|=2|b|,且(a -b)⊥b,则a 与b 的夹角为( ) A.π6 B.π3 C.2π3 D.5π6 答案 B解析 由(a -b)⊥b,可得(a -b)·b=0,∴a·b=b 2. ∵|a|=2|b|,∴cos 〈a,b 〉=a·b |a|·|b|=b 22b 2=12.∵0≤〈a,b 〉≤π,∴a 与b 的夹角为π3.故选B.6.(2019·娄底模拟)已知△ABC 中,AB =2,AC =3,∠A =60°,AD ⊥BC 于D,AD →=λAB →+μAC →,则λμ=( )A .3B .6C .2 3D .3 2 答案 B解析 ∵BC →=AC →-AB →,AD →⊥BC →,∴(λAB →+μAC →)·(-AB →+AC →)=0,∴-λAB →2+μAC →2+(λ-μ)AB →·AC →=0,∴λ=6μ,∴λμ=6.故选B.7.(2019·呼和浩特质量检测)设a,b 均是非零向量,且|a|=2|b|,若关于x 的方程x 2+|a|x +a·b =0有实根,则a 与b 的夹角的取值范围为( )A.⎣⎢⎡⎦⎥⎤0,π6B.⎣⎢⎡⎦⎥⎤π3,πC.⎣⎢⎡⎦⎥⎤π3,2π3D.⎣⎢⎡⎦⎥⎤π6,π答案 B解析 ∵关于x 的方程x 2+|a|x +a·b=0有实根,∴|a|2-4a·b≥0,∴a·b≤|a|24,∴cos 〈a,b 〉=a·b |a||b|≤|a|24|a||b|=12,又0≤〈a,b 〉≤π,∴π3≤〈a,b 〉≤π.故选B.8.(2019·内江模拟)若|a|=1,|b|=2,|a +2b|=13,则a 与b 的夹角为( ) A.π6 B.π3 C.π2 D.2π3 答案 D解析 ∵|a|=1,|b|=2,|a +2b|=13, ∴(a +2b)2=a 2+4b 2+4a·b=1+16+4a·b=13,∴a·b=-1,∴cos 〈a,b 〉=a·b |a||b|=-12.又0≤〈a,b 〉≤π, ∴a,b 的夹角为2π3.故选D.9.(2019·四川一诊)在△ABC 中,AB =3,AC =2,∠BAC =120°,点D 为BC 边上一点,且BD →=2DC →,则AB →·AD →=( )A.13B.23 C .1 D .2 答案 C解析 因为AD →=AC →+CD →=AC →+13CB →=AC →+13AB →-13AC →=13AB →+23AC →,所以AB →·AD →=13AB →2+23AB →·AC →=3+23×3×2cos120°=1.故选C.10.(2019·益阳市高三期末)在△ABC 中,M 为AC 的中点,BC →=CD →,MD →=xAB →+yAC →,则x +y =( ) A .1 B.12 C.13 D.32答案 B解析 如图,∵M 为AC 中点,BC →=CD →,∴MD →=MC →+CD →=12AC →+BC →=12AC →+(AC →-AB →)=-AB →+32AC →.又MD →=xAB →+yAC →,且AB →,AC →不共线, ∴根据平面向量基本定理得,x =-1,y =32,∴x +y =12.故选B.11.(2019·大兴区第一学期期末)已知i,j,k 为共面的三个单位向量,且i ⊥j,则(i +k)·(j+k)的取值范围是( )A .[-3,3]B .[-2,2]C .[2-1,2+1]D .[1-2,1+2]答案 D解析 由i ⊥j 得i·j=0,又i,j 为单位向量,则|i +j|=i 2+j 2+2i·j=2, 则(i +k)·(j+k)=i·j+(i +j)·k+k 2=(i +j)·k+1=|i +j|cos 〈i +j,k 〉+1=2cos 〈i +j,k 〉+1, 由-1≤cos〈i +j,k 〉≤1,则(i +k)·(j+k)的取值范围是[1-2,1+2].故选D.12.(2019·武汉市二月调研)在△ABC 中,AB →·AC →=0,|AB →|=4,|BC →|=5,D 为线段BC 的中点,E 为线段BC 垂直平分线l 上任一异于D 的点,则AE →·CB →=( )A.72B.74 C .-74 D .7 答案 A 解析 如图所示,|AC →|=|BC →|2-|AB →|2=3,AE →·CB →=(AD →+DE →)·CB →=AD →·CB →+DE →·CB →=AD →·CB →=12(AB →+AC →)·(AB →-AC →)=12(AB →2-AC →2)=72.故选A.第Ⅱ卷 (非选择题,共90分)二、填空题(本大题共4小题,每小题5分,共20分)13.(2019·全国卷Ⅲ)已知a,b 为单位向量,且a·b=0,若c =2a -5b,则cos 〈a,c 〉=________. 答案 23解析 由题意,得cos 〈a,c 〉=a·2a -5b|a|·|2a-5b|=2a 2-5a·b|a|·|2a -5b|2=21×4+5=23. 14.(2019·郴州市高三第一次质检)如图所示,已知点G 是△ABC 的重心,过点G 作直线分别交AB,AC 两边于M,N 两点,且AM →=xAB →,AN →=yAC →,则3x +y 的最小值为________.答案4+233解析 ∵G 是△ABC 的重心, ∴AG →=13AC →+13AB →,又AM →=xAB →,AN →=yAC →, ∴AG →=13x AM →+13y AN →,∵M,G,N 三点共线,∴13x +13y =1,∴3x +y =(3x +y)⎝ ⎛⎭⎪⎫13x +13y =1+13+x y +y 3x ≥43+213=4+233. 15.(2019·河南省八市重点高中第二次联合测评)已 知非零向量a,b 满足|2a +b|=|a +2b|=3|a|,则a,b 的夹角为________.答案2π3解析 ∵|2a +b|=|a +2b|,∴(2a +b)2=(a +2b)2,即4a 2+4a·b+b 2=a 2+4a·b+4b 2,∴a 2=b 2,∴|a|=|b|. 又|a +2b|=3|a|,∴(a +2b)2=3a 2, ∴a 2+4a·b+4b 2=3a 2, ∴a 2+4a 2cos 〈a,b 〉+4a 2=3a 2. 又a≠0,∴1+4cos 〈a,b 〉+4=3, ∴cos 〈a,b 〉=-12.又0≤〈a,b 〉≤π,∴〈a,b 〉=2π3.16.(2019·江苏省镇江市高三期末)已知△ABC 是边长为2的等边三角形,点D,E 分别是边AB,BC 的中点,连接DE 并延长到点F,使得DE =3EF,则AF →·BC →的值为________.答案 13解析 DE =3EF,∴AF →=AE →+EF →=AE →+13DE →=AE →+16AC →=12AB →+12AC →+16AC →=12AB →+23AC →,BC →=AC →-AB →,∵△ABC 是边长为2的等边三角形, ∴AB →·AC →=2×2×12=2,∴AF →·BC →=⎝ ⎛⎭⎪⎫12AB →+23AC →·(AC →-AB →)=-16AB →·AC →-12AB →2+23AC →2=-16×2-12×4+23×4=13.三、解答题(本大题共6小题,共70分.解答应写出文字说明、证明过程或演算步骤)17.(本小题满分10分)(2019·连云港二模)已知向量a =(1,cos2x -3sin2x),b =(-1,f(x)),且a ∥b.(1)将f(x)表示成x 的函数并求f(x)的单调递增区间; (2)若f(θ)=65,π3<θ<π2,求cos2θ的值.解 (1)∵向量a =(1,cos2x -3sin2x),b =(-1,f(x)),且a ∥b,∴1×f(x)+(cos2x -3sin2x)=0,即f(x)=-cos2x +3sin2x =2sin ⎝⎛⎭⎪⎫2x -π6.令2kπ-π2≤2x-π6≤2kπ+π2,求得kπ-π6≤x≤kπ+π3,故函数f(x)的单调递增区间为⎣⎢⎡⎦⎥⎤kπ-π6,kπ+π3,k ∈Z.(2)若f(θ)=65,π3<θ<π2,即f(θ)=2sin ⎝ ⎛⎭⎪⎫2θ-π6=65,∴sin ⎝ ⎛⎭⎪⎫2θ-π6=35.∵2θ∈⎝⎛⎭⎪⎫2π3,π,2θ-π6∈⎝ ⎛⎭⎪⎫π2,5π6, ∴cos ⎝⎛⎭⎪⎫2θ-π6=-1-sin 2⎝⎛⎭⎪⎫2θ-π6=-45,∴cos2θ=cos ⎣⎢⎡⎦⎥⎤⎝⎛⎭⎪⎫2θ-π6+π6=cos ⎝ ⎛⎭⎪⎫2θ-π6cos π6-sin ⎝ ⎛⎭⎪⎫2θ-π6sin π6=-45×32-35×12=-43+310.18.(本小题满分12分)(2019·佳木斯一中调研)已知向量a,b 满足:|a|=2,|b|=4,a·(b-a)=2.(1)求向量a 与b 的夹角;(2)若|ta -b|=22,求实数t 的值. 解 (1)设向量a 与b 的夹角为θ, ∵|a|=2,|b|=4,∴a·(b-a)=a·b-a 2=|a||b|cosθ-a 2=42cosθ-2=2, ∴cosθ=22,∵0≤θ≤π,∴θ=π4. (2)∵|ta -b|=22,∴t 2a 2-2ta·b+b 2=2t 2-8t +16=8, 即t 2-4t +4=0,解得t =2.19.(本小题满分12分)(2019·泰安模拟)如图所示,在△ABO 中,OC →=14OA →,OD →=12OB →,AD 与BC 相交于点M,设OA →=a,OB →=b.试用a 和b 表示向量OM →.解 设OM →=ma +nb,则AM →=OM →-OA →=ma +nb -a =(m -1)a +nb, AD →=OD →-OA →=12OB →-OA →=-a +12b.又∵A,M,D 三点共线,∴AM →与AD →共线. ∴存在实数t,使得AM →=tAD →, 即(m -1)a +nb =t ⎝ ⎛⎭⎪⎫-a +12b . ∴(m -1)a +nb =-ta +12tb.∴⎩⎪⎨⎪⎧m -1=-t ,n =t2,消去t 得m -1=-2n,即m +2n =1.①又∵CM →=OM →-OC →=ma +nb -14a =⎝ ⎛⎭⎪⎫m -14a +nb,CB →=OB →-OC →=b -14a =-14a +b.又∵C,M,B 三点共线,∴CM →与CB →共线. ∴存在实数t 1,使得CM →=t 1CB →,∴⎝ ⎛⎭⎪⎫m -14a +nb =t 1⎝ ⎛⎭⎪⎫-14a +b , ∴⎩⎪⎨⎪⎧m -14=-14t 1,n =t 1,消去t 1得4m +n =1.②由①②得m =17,n =37,∴OM →=17a +37b.20.(本小题满分12分)(2019·河南段考)已知a,b,c 是同一平面内的三个向量,其中a =(1,-2). (1)若|c|=25,且c ∥a,求c 的坐标;(2)若|b|=1,且a +b 与a -2b 垂直,求a 与b 的夹角θ的余弦值. 解 (1)设c =(x,y),则由c ∥a 和|c|=25,可得⎩⎪⎨⎪⎧1·y+2·x=0,x 2+y 2=20,解得⎩⎪⎨⎪⎧x =-2,y =4或⎩⎪⎨⎪⎧x =2,y =-4.∴c =(-2,4)或c =(2,-4).(2)∵a +b 与a -2b 垂直,∴(a +b)·(a-2b)=0, 即a 2-a·b-2b 2=0,∴a·b=3, ∴cosθ=a·b |a||b|=355.21.(本小题满分12分)(2019·辽宁六校协作体模拟)如图,在同一个平面内,向量OA →,OB →,OC →的模分别为1,1,2,OA →与OC →的夹角为α,且tanα=7,OB →与OC →的夹角为45°.若OC →=mOA →+nOB →(m,n ∈R),求m +n 的值.解 解法一:∵tanα=7,α∈[0,π], ∴cosα=210,sinα=7210, ∵OA →与OC →的夹角为α,∴210=OA →·OC →|OA →||OC →|,∵OC →=mOA →+nOB →,|OA →|=|OB →|=1,|OC →|=2, ∴210=m +nOA →·OB →2,① 又∵OB →与OC →的夹角为45°, ∴22=OB →·OC →|OB →||OC →|=mOA →·OB →+n 2,② 又cos ∠AOB =cos(45°+α)=cosαcos45°-sinαsin45°=210×22-7210×22=-35, ∴OA →·OB →=|OA →||OB →|cos ∠AOB =-35,将其代入①②得m -35n =15,-35m +n =1,两式相加得25m +25n =65,所以m +n =3.解法二:过点C 作CM ∥OB,CN ∥OA,分别交线段OA,OB 的延长线于点M,N, 则OM →=mOA →,ON →=nOB →, 由正弦定理,得 |OM →|sin45°=|OC →|sin 135°-α=|ON →|sinα,∵|OC →|=2,由解法一知,sinα=7210,cosα=210,∴|OM →|=2sin45°sin 135°-α=1sin45°+α=54,|ON →|=2sinαsin 135°-α=2×7210sin45°+α=74, 又OC →=mOA →+nOB →=OM →+ON →,|OA →|=|OB →|=1,∴m =54,n =74,∴m +n =3.22.(本小题满分12分)(2019·安徽淮北、宿迁一模)△ABC 的内角A,B,C 的对边分别为a,b,c,向量m =(b,a +c),n =(a -c,a -b),且满足m ∥n.(1)求角C 的大小;(2)若c =3,sinC +sin(A -B)=2sin2B,求△ABC 的面积.解 (1)因为m ∥n,所以有b(a -b)-(a -c)(a +c)=0,整理得ab =a 2+b 2-c 2,由余弦定理得cosC =a 2+b 2-c 22ab =12.又因为C ∈(0,π),所以C =π3. (2)由sinC +sin(A -B)=2sin2B,得 sin(A +B)+sin(A -B)=4sinBcosB, 整理得2cosB(sinA -2sinB)=0.当cosB =0时,因为B ∈(0,π),所以B =π2.在Rt △ABC 中,tanC =ca =3,解得a =1,此时△ABC 的面积为S =12ac =32.当sinA -2sinB =0时,由正弦定理得a =2b, 将其代入c 2=a 2+b 2-ab,得c 2=3b 2, 解得b =1.此时S =12absinC =32.综上所述,△ABC 的面积为32.。
一、多选题1.正方形ABCD 的边长为1,记AB a =,BC b =,AC c =,则下列结论正确的是( )A .()0a b c -⋅= B .()0a b c a +-⋅= C .()0a c b a --⋅=D .2a b c ++=2.已知在平面直角坐标系中,点()10,1P ,()24,4P .当P 是线段12PP 的一个三等分点时,点P 的坐标为( ) A .4,23⎛⎫⎪⎝⎭B .4,33⎛⎫⎪⎝⎭C .()2,3D .8,33⎛⎫ ⎪⎝⎭3.下列结论正确的是( )A .在ABC 中,若AB >,则sin sin A B >B .在锐角三角形ABC 中,不等式2220b c a +->恒成立 C .若sin 2sin 2A B =,则ABC 为等腰三角形D .在ABC 中,若3b =,60A =︒,三角形面积33S =,则三角形外接圆半径为334.如图,在平行四边形ABCD 中,,E F 分别为线段,AD CD 的中点,AF CE G =,则( )A .12AF AD AB =+ B .1()2EF AD AB =+ C .2133AG AD AB =- D .3BG GD =5.八卦是中国文化的基本哲学概念,如图1是八卦模型图,其平面图形记为图2中的正八边形ABCDEFGH ,其中1OA =,则下列结论正确的有( )A .2OA OD ⋅=-B .2OB OH OE +=-C .AH HO BC BO ⋅=⋅D .AH 在AB 向量上的投影为-6.在ABC ∆中,角A ,B ,C 所对的边分别为a ,b ,c ,且()()()::9:10:11a b a c b c +++=,则下列结论正确的是( )A .sin :sin :sin 4:5:6ABC = B .ABC ∆是钝角三角形C .ABC ∆的最大内角是最小内角的2倍D .若6c =,则ABC ∆外接圆半径为77.在△ABC 中,AB =AC ,BC =4,D 为BC 的中点,则以下结论正确的是( ) A .BD AD AB -= B .1()2AD AB AC =+ C .8BA BC ⋅=D .AB AC AB AC +=-8.在ABC 中,15a =,20b =,30A =,则cos B =( )A .B .23C .23-D 9.下列命题中,结论正确的有( ) A .00a ⨯=B .若a b ⊥,则||||a b a b +=-C .若//AB CD ,则A 、B 、C 、D 四点共线;D .在四边形ABCD 中,若0AB CD +=,0AC BD ⋅=,则四边形ABCD 为菱形. 10.设a 为非零向量,下列有关向量||aa 的描述正确的是( ) A .||1||a a =B .//||a a aC .||a a a =D .||||a a a a ⋅=11.有下列说法,其中错误的说法为( ). A .若a ∥b ,b ∥c ,则a ∥cB .若PA PB PB PC PC PA ⋅=⋅=⋅,则P 是三角形ABC 的垂心 C .两个非零向量a ,b ,若a b a b -=+,则a 与b 共线且反向D .若a ∥b ,则存在唯一实数λ使得a b λ= 12.给出下面四个命题,其中是真命题的是( ) A .0ABBA B .AB BC AC C .AB AC BC += D .00AB +=13.已知正三角形ABC 的边长为2,设2AB a =,BC b =,则下列结论正确的是( ) A .1a b +=B .a b ⊥C .()4a b b +⊥D .1a b ⋅=-14.已知ABC ∆的面积为32,且2,b c ==,则A =( ) A .30° B .60°C .150°D .120°15.题目文件丢失!二、平面向量及其应用选择题16.在△ABC 中,M 为BC 上一点,60,2,||4ACB BM MC AM ∠=︒==,则△ABC 的面积的最大值为( ) A.B.C .12D .18317.已知非零向量AB 与AC 满足0AB AC BC AB AC ⎛⎫ ⎪+⋅= ⎪⎝⎭且12AB AC AB AC ⋅=,则ABC 的形状是( ) A .三边均不相等的三角形 B .等腰直角三角形 C .等边三角形D .以上均有可能18.在ABC 中,a ,b ,c 分别是角A ,B ,C 所对的边,若lg lg lg sin a c B -==-,且0,2B π⎛⎫∈ ⎪⎝⎭,则ABC 的形状是( ) A .等边三角形B .锐角三角形C .等腰直角三角形D .钝角三角形19.在ABC 中,A ∠,B ,C ∠所对的边分别为a ,b ,c ,过C 作直线CD 与边AB 相交于点D ,90C ∠=︒,1CD =.当直线CD AB ⊥时,+a b 值为M ;当D 为边AB 的中点时,+a b 值为N .当a ,b 变化时,记{}max ,m M N =(即M 、N 中较大的数),则m 的最小值为( ) A .MB .NC .22D .120.a ,b 为单位向量,且27a b +=,则向量a ,b 夹角为( )A .30B .45︒C .60︒D .90︒21.在三角形ABC 中,若三个内角,,A BC 的对边分别是,,a b c ,1a =,c =45B =︒,则sin C 的值等于( )A .441B .45C .425D .4122.已知点O 是ABC 内部一点,并且满足2350OA OB OC ++=,OAC 的面积为1S ,ABC 的面积为2S ,则12S S =A .310B .38C .25D .42123.如图,在ABC 中,60,23,3C BC AC ︒===,点D 在边BC 上,且27sin 7BAD ∠=,则CD 等于( )A 23B 3C 33D 4324.若向量123,,OP OP OP ,满足条件1230OP OP OP ++=,1231OP OP OP ===,则123PP P ∆的形状是( )A .等腰三角形B .直角三角形C .等边三角形D .不能确定25.著名数学家欧拉提出了如下定理:三角形的外心、重心、垂心依次位于同一直线上,且重心到外心的距离是重心到垂心距离的一半.此直线被称为三角形的欧拉线,该定理则被称为欧拉线定理.设点O ,H 分别是△ABC 的外心、垂心,且M 为BC 中点,则 ( )A .33AB AC HM MO +=+ B .33AB AC HM MO +=-C .24AB AC HM MO +=+D .24AB AC HM MO +=-26.题目文件丢失!27.已知ABC 的面积为30,且12cos 13A =,则AB AC ⋅等于( ) A .72B .144C .150D .30028.已知1a =,3b =,且向量a 与b 的夹角为60︒,则2a b -=( ) A 7B .3C 11D .1929.已知向量(22cos 3m x =,()1,sin2n x =,设函数()f x m n =⋅,则下列关于函数()y f x =的性质的描述正确的是( )A .关于直线12x π=对称B .关于点5,012π⎛⎫⎪⎝⎭对称C .周期为2πD .()y f x =在,03π⎛⎫-⎪⎝⎭上是增函数 30.在梯形ABCD 中,//AD BC ,90ABC ∠=︒,2AB BC ==,1AD =,则BD AC ⋅=( )A .2-B .3-C .2D .531.已知O ,N ,P 在ABC ∆所在平面内,且,0OA OB OC NA NB NC ==++=,且•••PA PB PB PC PC PA ==,则点O ,N ,P 依次是ABC ∆的( )(注:三角形的三条高线交于一点,此点为三角型的垂心) A .重心外心垂心 B .重心外心内心 C .外心重心垂心 D .外心重心内心32.已知平面向量a ,b ,c 满足2a b ==,()()20c a c b ⋅--=,则b c ⋅的最大值为( ) A .54B .2C .174D .433.ABC 中,a ,b ,c 分别为A ∠,B ,C ∠的对边,如果a ,b ,c 成等差数列,30B ∠=︒,ABC 的面积为32,那么b 等于( )A B .1C D .234.设ABC ∆中BC 边上的中线为AD ,点O 满足2AO OD =,则OC =( )A .1233AB AC -+ B .2133AB AC -C .1233AB AC -D .2133AB AC -+35.在ABC 中,若A B >,则下列结论错误的是( )A .sin sin AB >B .cos cos A B <C .sin2sin2A B >D .cos2cos2A B <【参考答案】***试卷处理标记,请不要删除一、多选题 1.ABC 【分析】作出图形,利用平面向量加、减法法则与正方形的性质可判断A 、B 选项的正误;利用平面向量的减法法则与向量的数乘运算可判断C 选项的正误;利用平面向量的加法法则可判断D 选项的正误.【详解 解析:ABC 【分析】作出图形,利用平面向量加、减法法则与正方形的性质可判断A 、B 选项的正误;利用平面向量的减法法则与向量的数乘运算可判断C 选项的正误;利用平面向量的加法法则可判断D 选项的正误. 【详解】 如下图所示:对于A 选项,四边形ABCD 为正方形,则BD AC ⊥,a b AB BC AB AD DB -=-=-=,()0a b c DB AC ∴-⋅=⋅=,A 选项正确;对于B 选项,0a b c AB BC AC AC AC +-=+-=-=,则()00a b c a a +-⋅=⋅=,B 选项正确;对于C 选项,a c AB AC CB -=-=,则0a c b CB BC --=-=,则()0a c b a --⋅=,C 选项正确;对于D 选项,2a b c c ++=,222a b c c ∴++==,D 选项错误. 故选:ABC. 【点睛】本题考查平面向量相关命题正误的判断,同时也考查了平面向量加、减法法则以及平面向量数量积的应用,考查计算能力,属于中等题.2.AD 【分析】设,则,然后分点P 靠近点,靠近点两种情况,利用平面向量的线性运算求解. 【详解】 设,则,当点P 靠近点时,, 则, 解得, 所以,当点P 靠近点时,, 则, 解得, 所以, 故选:解析:AD 【分析】设(),P x y ,则()()12,1,4,4=-=--PP x y PP x y ,然后分点P 靠近点1P ,靠近点2P 两种情况,利用平面向量的线性运算求解. 【详解】设(),P x y ,则()()12,1,4,4=-=--PP x y PP x y , 当点P 靠近点1P 时,1212PPPP =, 则()()1421142x x y y ⎧=-⎪⎪⎨⎪-=-⎪⎩,解得432x y ⎧=⎪⎨⎪=⎩,所以4,23P ⎛⎫⎪⎝⎭, 当点P 靠近点2P 时,122PP PP =, 则()()24124x x y y ⎧=-⎪⎨-=-⎪⎩,解得833x y ⎧=⎪⎨⎪=⎩,所以8,33P ⎛⎫ ⎪⎝⎭, 故选:AD 【点睛】本题主要考查平面向量的线性运算,还考查了运算求解的能力,属于基础题.3.AB 【分析】由正弦定理及三角形性质判断A ,由余弦定理判断B ,由正弦函数性质判断C ,由三角形面积公式,余弦定理及正弦定理判断D . 【详解】中,,由得,A 正确; 锐角三角形中,,∴,B 正确; 中,解析:AB 【分析】由正弦定理及三角形性质判断A ,由余弦定理判断B ,由正弦函数性质判断C ,由三角形面积公式,余弦定理及正弦定理判断D . 【详解】ABC 中,A B a b >⇔>,由sin sin a b A B=得sin sin A B >,A 正确; 锐角三角形ABC 中,222cos 02b c a A bc+-=>,∴2220b c a +->,B 正确;ABC 中,若sin 2sin 2A B =,则22A B =或22180A B +=︒,即A B =或90A B +=︒,ABC 为等腰三角形或直角三角形,C 错;ABC 中,若3b =,60A =︒,三角形面积S =11sin 3sin 6022S bc A c ==⨯︒=4c =,∴2222cos 13a b c bc A =+-=,a =,∴2sin sin 603a R A ===︒,3R =,D 错. 故选:AB . 【点睛】本题考查正弦定理,余弦定理,正弦函数的性质,三角形面积公式等,考查学生的逻辑推理能力,分析问题解决问题的能力.4.AB 【分析】由向量的线性运算,结合其几何应用求得、、、,即可判断选项的正误 【详解】 ,即A 正确 ,即B 正确连接AC ,知G 是△ADC 的中线交点, 如下图示由其性质有 ∴,即C 错误同理 ,解析:AB 【分析】由向量的线性运算,结合其几何应用求得12AF AD AB =+、1()2EF AD AB =+、2133AG AD AB =+、2BG GD =,即可判断选项的正误 【详解】 1122AF AD DF AD DC AD AB =+=+=+,即A 正确 11()()22EF ED DF AD DC AD AB =+=+=+,即B 正确连接AC ,知G 是△ADC 的中线交点, 如下图示由其性质有||||1||||2GF GE AG CG == ∴211121()333333AG AE AC AD AB BC AD AB =+=++=+,即C 错误 同理21212()()33333BG BF BA BC CF BA AD AB =+=++=- 211()333DG DF DA AB DA =+=+,即1()3GD AD AB =-∴2BG GD =,即D 错误 故选:AB 【点睛】本题考查了向量线性运算及其几何应用,其中结合了中线的性质:三角形中线的交点分中线为1:2,以及利用三点共线时,线外一点与三点的连线所得向量的线性关系5.AB 【分析】直接利用向量的数量积的应用,向量的夹角的应用求出结果. 【详解】图2中的正八边形,其中, 对于;故正确.对于,故正确.对于,,但对应向量的夹角不相等,所以不成立.故错误. 对于解析:AB 【分析】直接利用向量的数量积的应用,向量的夹角的应用求出结果. 【详解】图2中的正八边形ABCDEFGH ,其中||1OA =,对于3:11cos4A OA OD π=⨯⨯=;故正确. 对于:22B OB OH OA OE +==-,故正确.对于:||||C AH BC =,||||HO BO =,但对应向量的夹角不相等,所以不成立.故错误. 对于:D AH 在AB 向量上的投影32||cos ||4AH AH π=-,||1AH ≠,故错误. 故选:AB . 【点睛】本题考查的知识要点:向量的数量积的应用,向量的夹角的应用,主要考查学生的运算能力和转换能力及思维能力,属于中档题.6.ACD 【分析】先根据已知条件求得,再根据正余弦定理计算并逐一判断即可. 【详解】 因为所以可设:(其中),解得: 所以,所以A 正确;由上可知:边最大,所以三角形中角最大, 又 ,所以角为解析:ACD 【分析】先根据已知条件求得::4:5:6a b c =,再根据正余弦定理计算并逐一判断即可. 【详解】因为()()()::9:10:11a b a c b c +++=所以可设:91011a b x a c x b c x +=⎧⎪+=⎨⎪+=⎩(其中0x >),解得:4,5,6a x b x c x ===所以sin :sin :sin ::4:5:6A B C a b c ==,所以A 正确;由上可知:c 边最大,所以三角形中C 角最大, 又222222(4)(5)(6)1cos 022458a b c x x x C ab x x +-+-===>⨯⨯ ,所以C 角为锐角,所以B 错误;由上可知:a 边最小,所以三角形中A 角最小, 又222222(6)(5)(4)3cos 22654c b a x x x A cb x x +-+-===⨯⨯, 所以21cos22cos 18A A =-=,所以cos2A cosC = 由三角形中C 角最大且C 角为锐角,可得:()20,A π∈,0,2C π⎛⎫∈ ⎪⎝⎭ 所以2A C =,所以C 正确; 由正弦定理得:2sin c R C =,又sin 8C ==所以2R =,解得:7R =,所以D 正确. 故选:ACD.【点睛】本题考查了正弦定理和与余弦定理,属于基础题.7.BC【分析】根据向量的加法和减法运算,以及向量的数量积运算可选项.【详解】对于A 选项:,故A 错;对于 B 选项:因为D 为BC 的中点,,故B 正确;对于C 选项:,故正确;对于D 选项:,而,故解析:BC【分析】根据向量的加法和减法运算,以及向量的数量积运算可选项.【详解】对于A 选项:BD AD BD DA BA -=+=,故A 错;对于 B 选项:因为D 为BC 的中点,()111++++()222AD AB BD AB BC AB BA AC AB AC ====+,故B 正确; 对于C 选项:cos 248BD BA BC BA BC B BA BC BA ⋅=⋅⋅∠=⋅⋅=⨯=,故正确;对于D 选项:2,AB AC AD AB AC CB +=-=,而2AD CB ≠,故D 不正确. 故选:BC.【点睛】本题考查向量的线性运算和向量的数量积运算,属于基础题.8.AD【分析】利用正弦定理可求得的值,再利用同角三角函数的平方关系可求得的值.【详解】由正弦定理,可得,,则,所以,为锐角或钝角.因此,. 故选:AD.【点睛】本题考查利用正弦定理与同解析:AD【分析】利用正弦定理可求得sin B 的值,再利用同角三角函数的平方关系可求得cosB 的值.【详解】由正弦定理sin sin b a B A =,可得120sin 22sin 153b A B a ⨯===, b a >,则30B A >=,所以,B 为锐角或钝角.因此,cos B ==. 故选:AD.【点睛】本题考查利用正弦定理与同角三角函数的基本关系求值,考查计算能力,属于基础题. 9.BD【分析】根据平面向量的数量积及平行向量共线定理判断可得;【详解】解:对于A ,,故A 错误;对于B ,若,则,所以,,故,即B 正确;对于C ,,则或与共线,故C 错误;对于D ,在四边形中,若解析:BD【分析】根据平面向量的数量积及平行向量共线定理判断可得;【详解】解:对于A ,00a ⨯=,故A 错误;对于B ,若a b ⊥,则0a b ⋅=,所以2222||2a b a b a b a b +=++⋅=+,2222||2a b a b a b a b -=+-⋅=+,故||||a b a b +=-,即B 正确;对于C ,//AB CD ,则//AB CD 或AB 与CD 共线,故C 错误;对于D ,在四边形ABCD 中,若0AB CD +=,即AB DC =,所以四边形ABCD 是平行四边形,又0AC BD ⋅=,所以AC BD ⊥,所以四边形ABCD 是菱形,故D 正确; 故选:BD 【点睛】本题考查平行向量的数量积及共线定理的应用,属于基础题.10.ABD【分析】 首先理解表示与向量同方向的单位向量,然后分别判断选项. 【详解】表示与向量同方向的单位向量,所以正确,正确,所以AB 正确,当不是单位向量时,不正确,,所以D 正确.故选:ABD解析:ABD 【分析】 首先理解a a表示与向量a 同方向的单位向量,然后分别判断选项. 【详解】 a a 表示与向量a 同方向的单位向量,所以1a a =正确,//a a a 正确,所以AB 正确,当a 不是单位向量时,a a a=不正确, cos 0a a a a a a a a a a⋅==⨯=,所以D 正确.【点睛】 本题重点考查向量a a 的理解,和简单计算,应用,属于基础题型,本题的关键是理解a a表示与向量a 同方向的单位向量.11.AD【分析】分别对所给选项进行逐一判断即可.【详解】对于选项A ,当时,与不一定共线,故A 错误;对于选项B ,由,得,所以,,同理,,故是三角形的垂心,所以B 正确;对于选项C ,两个非零向量解析:AD【分析】分别对所给选项进行逐一判断即可.【详解】 对于选项A ,当0b =时,a 与c 不一定共线,故A 错误;对于选项B ,由PA PB PB PC ⋅=⋅,得0PB CA ⋅=,所以PB CA ⊥,PB CA ⊥, 同理PA CB ⊥,PC BA ⊥,故P 是三角形ABC 的垂心,所以B 正确; 对于选项C ,两个非零向量a ,b ,若a b a b -=+,则a 与b 共线且反向,故C 正确; 对于选项D ,当0b =,0a ≠时,显然有a ∥b ,但此时λ不存在,故D 错误. 故选:AD【点睛】本题考查与向量有关的命题的真假的判断,考查学生对基本概念、定理的掌握,是一道容易题.12.AB【解析】【分析】根据向量加法化简即可判断真假.【详解】因为,正确;,由向量加法知正确;,不满足加法运算法则,错误;,所以错误.【点睛】本题主要考查了向量加法的解析:AB【解析】【分析】根据向量加法化简即可判断真假.【详解】因为0AB BA AB AB ,正确;AB BC AC ,由向量加法知正确;AB AC BC +=,不满足加法运算法则,错误;0,AB AB +=,所以00AB +=错误.故选:A B .【点睛】本题主要考查了向量加法的运算,属于容易题.13.CD【分析】分析知,,与的夹角是,进而对四个选项逐个分析,可选出答案.【详解】分析知,,与的夹角是.由,故B 错误,D 正确;由,所以,故A 错误;由,所以,故C 正确.故选:CD【点睛】解析:CD【分析】 分析知1a =,2=b ,a 与b 的夹角是120︒,进而对四个选项逐个分析,可选出答案.【详解】 分析知1a =,2=b ,a 与b 的夹角是120︒.由12cos12010a b ︒⋅=⨯⨯=-≠,故B 错误,D 正确;由()22221243a b a a b b +=+⋅+=-+=,所以3a b +=,故A 错误;由()()2144440a b b a b b +⋅=⋅+=⨯-+=,所以()4a b b +⊥,故C 正确. 故选:CD本题考查正三角形的性质,考查平面向量的数量积公式的应用,考查学生的计算求解能力,属于中档题.14.BD【分析】由三角形的面积公式求出即得解.【详解】因为,所以,所以,因为,所以或120°.故选:BD【点睛】本题主要考查三角形面积的应用,意在考查学生对这些知识的理解掌握水平. 解析:BD【分析】由三角形的面积公式求出sin 2A =即得解. 【详解】 因为13sin 22S bc A ==,所以13222A ⨯=,所以sin A =,因为0180A ︒︒<<, 所以60A =或120°.故选:BD【点睛】本题主要考查三角形面积的应用,意在考查学生对这些知识的理解掌握水平.15.无二、平面向量及其应用选择题16.A【分析】由已知条件,令||AC a =,||BC b =,则在△ACM 中结合余弦定理可知48ab ≤,根据三角形面积公式即可求最大值由题意,可得如下示意图令||AC a =,||BC b =,又2BM MC =,即有1||||33b CM CB == ∴由余弦定理知:222||||||2||||cos AM CA CM CA CM ACB =+-∠2221216()332333a ab ab ab ab b =+-⨯≥-=,当且仅当3a b =时等号成立 ∴有48ab ≤ ∴113sin 48123222ABC S ab C ∆=≤⨯⨯=故选:A【点睛】本题考查了正余弦定理,利用向量的知识判断线段的长度及比例关系,再由余弦定理并应用基本不等式求三角形两边之积的范围,进而结合三角形面积公式求最值17.C【分析】 AB AB 和AC AC 分别表示向量AB 和向量AC 方向上的单位向量,0AB AC BC AB AC ⎛⎫ ⎪+⋅= ⎪⎝⎭表示A ∠平分线所在的直线与BC 垂直,可知ABC 为等腰三角形,再由12AB AC AB AC ⋅=可求出A ∠,即得三角形形状。
高考数学平面向量多选题复习训练题(含答案解析)1.(2022·河北廊坊·模拟预测)已知实数m 、n 和向量a 、b ,下列结论中正确的是( ) A .()m a b ma mb −=− B .()m n a ma na −=−C .若ma mb =,则a b =D .若()0ma na a =≠,则m n =【答案】ABD 【解析】 【分析】利用平面向量的线性运算可判断ABCD 选项. 【详解】对于A 选项,()m a b ma mb −=−,A 对; 对于B 选项,()m n a ma na −=−,B 对;对于C 选项,若ma mb =,则()0m a b −=,所以,0m =或a b =,C 错;对于D 选项,若()0ma na a =≠,则()0m n a −=,所以,0−=m n ,即m n =,D 对. 故选:ABD.2.(2021·全国·模拟预测)如图,在ABC 中,6BC =,D ,E 是BC 的三等分点,且4AD AE ⋅=,则( )A .2133AE AB AC =+ B .1122AD AB AE =+ C .4⋅=−AB AC D .2228AB AC +=【答案】BCD 【解析】 【分析】由向量的线性运算即可判断A ,B,取DE 的中点G ,由6BC =,D ,E 是BC 的三等分点得G 是BC 的中点,计算可得2214AD AE AG DE ⋅=−,进而得出25AG =,计算可判断选项C,由C 可知2AB AC AG +=,两边平方,化简计算可判断选项D .【详解】对于A ,()11123333AE AC CE AC CB AC AB AC AB AC =+=+=+−=+,故选项A 不正确;对于B ,由题意得D 为BE 的中点,所以1122AD AB AE =+,故选项B 正确; 对于C ,取DE 的中点G ,由6BC =,D ,E 是BC 的三等分点得G 是BC 的中点,且2DE =,所以221114224AD AE AG DE AG DE AG DE ⎛⎫⎛⎫⋅=−⋅+=−= ⎪ ⎪⎝⎭⎝⎭,所以25AG =,22111594224AB AC AG BC AG BC AG BC ⎛⎫⎛⎫⋅=−⋅+=−=−=− ⎪ ⎪⎝⎭⎝⎭,故选项C 正确;对于D ,由G 是BC 的中点得2AB AC AG +=,两边平方得22224AB AB AC AC AG +⋅+=,所以2220828AB AC +=+=,故选项D 正确.故选:BCD.3.(2021·山东·二模)若,,a b c 均为单位向量,且0,()()0a b a c b c ⋅=−⋅−≤,则||a b c +−的值可能为( )A 1B .1CD .2【答案】AB 【解析】 【分析】由0,()()0a b a c b c ⋅=−⋅−≤,得到()1c a b +≥r r r ,再由a b c +−=r r r.【详解】因为,,a b c 均为单位向量,且0,()()0a b a c b c ⋅=−⋅−≤,所以2()0a b c a b c ⋅−++≤r r r r r r ,即()1c a b +≥r r r,所以a b c +−r r r1,故选:AB4.(2021·黑龙江·密山市第一中学模拟预测)在ABC 中,有如下四个命题正确的有( ) A .若0AC AB ⋅>,则ABC 为锐角三角形B .若BA BC AC +=,则ABC 的形状为直角三角形C .ABC 内一点G 满足0GA GB GC ++=,则G 是ABC 的重心D .若PA PB PB PC PC PA ⋅=⋅=⋅,则点P 必为ABC 的外心 【答案】BC 【解析】 【分析】对于A ,由0AC AB ⋅>可得角A 为锐角,从而可判断,对于B ,对BA BC AC +=两边平方化简,再结合余弦定理可得结论,对于C ,由向量加法和共线及三角形重心概念判断,对于D ,由向量运算性质和三角形垂心概念可判断 【详解】解:对于A ,由0AC AB ⋅>,得s 0co AC AB A >,所以cos 0A >,所以角A 为锐角,但不能判断三角形为锐角三角形,所以A 错误,对于B ,因为BA BC AC +=,所以2222BA BA BC BC AC +⋅+=,即2222cos BA BA BC B BC AC +⋅+=,所以222cos cos 2BA BC ACB B BA BC+−−==,得cos 0B =,因为(0,)B π∈,所以2B π=,所以三角形为直角三角形,所以B 正确,对于C ,因为0GA GB GC ++=,所以GA GB GC +=−,所以2GD GC =−(D 为BA 的中点),所以,,G C D 三点共线,所以点G 在BA 边的中线CD 上,同理,可得点G 在其它两边的中线上,所以G 是ABC 的重心,所以C 正确,对于D ,因为PA PB PB PC ⋅=⋅,所以0PA PB PB PC ⋅−⋅=,()0PB PA PC PB CA ⋅−=⋅=,所以PB CA ⊥,所以点P 在边CA 的高上,同理可得点 P 也在其它两边的高上,所以点P 为ABC 的垂心,所以D 错误, 故选:BC5.(2021·全国·模拟预测)下列说法正确的是( ) A .若,,a b c 为平面向量,//,//a b b c ,则//a c B .若,,a b c 为平面向量,,a b b c ⊥⊥,则//a cC .若1,2a b ==r r ,()a b a +⊥r r r ,则a 在b 方向上的投影为12−D .在ABC 中,M 是AB 的中点,AC =3AN ,BN 与CM 交于点P ,AP =AB λ+AC μ,则λ=2μ 【答案】CD 【解析】 【分析】利用向量共线的概念判断A 、B ,;利用向量数量积的定义可判断C ;利用向量共线的推论即可判断D. 【详解】A ,若0b =,则0与任意向量共线,所以a 与c 不一定平行,故A 错误;B ,若,a b b c ⊥⊥,则0a b ⋅=,0b c ⋅=,当,,a b c 共面时,//a c , 若,,a b c 不共面时,a 与c 不平行,故B 错误;C ,若()a b a +⊥r r r ,则()0a b a +⋅=r r r ,所以21a b a ⋅=−=−,a 在b 方向上的投影为12a b b⋅=−r r r ,故C 正确; D ,AP AN NP =+,设NP aNB =, 则()1133AP AC aNB AC a NC CB =+=++ ()112333AC aNC aCB AC aAC a CA AB =++=+++ 1233AC aAC aCA aAB =+++1133a AC aAB ⎛⎫=−+ ⎪⎝⎭, 设a λ=,则1133μλ=−,即31μλ=−,①12AP AM MP AB MP =+=+,设MP bMC =, 1111122222AP AB bMC AB b AB BA AC b AB bAC ⎛⎫⎛⎫=+=+++=−+ ⎪ ⎪⎝⎭⎝⎭, 1122λμ=−,即21λμ=−,②由①②可得25λ=,15μ=,即2λμ=,故D 正确. 故选:CD6.(2021·江苏南京·一模)设()0,0O ,()1,0A ,()0,1B ,点Р是线段AB 上的一个动点,AP AB λ=uu u r uu u r,若OP AB PA PB ⋅⋅≥,则实数λ的值可以为( ) A .1 B .12C .13D .14【答案】ABC 【解析】 【分析】设出P 点的坐标,结合OP AB PA PB ⋅⋅≥求得λ的取值范围. 【详解】设(),P x y ,由()01AP AB λλ=≤≤得()()()1,1,1,x y λλλ−=−=−, 所以()11,x P y λλλλ−=−⎧⇒−⎨=⎩, 由OP AB PA PB ⋅⋅≥得()()()()1,1,1,1,1λλλλλλ−⋅−≥−⋅−−,()()111λλλλλλ−+≥−−−,222122,241011λλλλλλ−≥−−+≤⇒≤≤由于01λ≤≤,所以11λ≤≤.111,,123⎡⎤∈⎢⎥⎣⎦,所以ABC 正确,D 错误.故选:ABC7.(2022·江苏·海安高级中学二模)关于平面向量a b c ,,,下列说去不正确的是( ) A .若··a c b c =,则a b = B .·(··)a b c a c b c =++ C .若22a b =,则··a c b c = D .()()····a b c b c a = 【答案】ACD 【解析】 【分析】令0=c 时可判断A ;利用()a b c a c b c +⋅=⋅+⋅,可判断B ;由22=a b 可知a 与b 的模长相等,但()−⋅a b c 不一定为0可判断C ;()⋅⋅a b c 与c 共线的向量,()·b c a ⋅与a 共线,可判断D . 【详解】0=c 时,0⋅=⋅=a c b c ,a 与b 可任取,故A 错;()a b c a c b c +⋅=⋅+⋅,故B 对;22=a b 可知a 与b 的模长相等,()−⋅a b c 不一定为0,∴⋅≠⋅a c b c ,故C 错;()⋅⋅a b c 与c 共线的向量,()·b c a ⋅与a 共线的向量. ∴()()⋅⋅≠⋅⋅a b b c a c ,D 错. 故选:ACD.8.(2022·山东潍坊·一模)已知向量()1,2OP =,将OP 绕原点O 旋转﹣30°,30°,60°到123,,OP OP OP的位置,则( ). A .130OP OP ⋅= B .12PP PP =C .312OP OP OP OP ⋅=⋅D .点1P 坐标为⎝⎭【答案】ABC 【解析】 【分析】根据向量的夹角判断A ,再由全等三角形可判断B ,根据向量的数量积的定义判断C ,根据向量的模相等判断D. 【详解】因为OP 绕原点O 旋转﹣30°,30°,60°到123,,OP OP OP , 所以1OP →与3OP →的夹角为90︒,故130OP OP ⋅=,A 选项正确; 由题意知,12△△OPP OPP ≅,所以12PP PP =,即12PP PP =,故B 正确; 因为312,60,,60OP OP OP OP →→→→<>=︒<>=︒,312||||||||OP OP OP OP →→→→===, 所以由数量积的定义知312OP OP OP OP ⋅=⋅,故C 正确;若点1P 坐标为⎝⎭,则1||||OP OP →→=≠D 不正确. 故选:ABC9.(2022·辽宁·育明高中一模)“圆幂定理”是平面几何中关于圆的一个重要定理,它包含三个结论,其中一个是相交弦定理:圆内的两条相交弦,被交点分成的两条线段长的积相等.如图,已知圆O 的半径为2,点P 是圆O 内的定点,且OP =AC 、BD 均过点P ,则下列说法正确的是( )A .PA PC ⋅为定值B .OA OC ⋅的取值范围是[]2,0−C .当AC BD ⊥时,AB CD ⋅为定值 D .AC BD ⋅的最大值为12【答案】AC 【解析】 【分析】根据题设中的圆幂定理可判断AC 的正误,取AC 的中点为M ,连接OM ,利用向量的线性运算可判断B 的正误,根据直径的大小可判断D 的正误. 【详解】如图,设直线PO 与圆O 于E ,F .则()()222PA PC PA PC EP PF OE PO OE PO PO EO ⋅=−=−=−−+=−=−,故A 正确.取AC 的中点为M ,连接OM ,则()()22OA OC OM MA OM MC OM MC ⋅=+⋅+=−()222424OM OMOM =−−=−,而2202OM OP ≤≤=,故OA OC ⋅的取值范围是[]4,0−,故B 错误.当AC BD ⊥时,()()AB CD AP PB CP PD AP CP PB PD ⋅=+⋅+=⋅+⋅ 24AP CP PB PD EP PF =−−=−=−,故C 正确.因为4,4AC BD ≤≤,故16AC BD ⋅≤,故D 错误. 故选:AC10.(2022·江苏苏州·模拟预测)在ABC 中,AB c =,BC a =,CA b =,下列命题为真命题的有( )A .若a b >,则sin sin AB >B .若0a b ⋅>,则ABC 为锐角三角形C .若0a b ⋅=,则ABC 为直角三角形D .若()()0b c a b a c +−⋅+−=r r r r r r,则ABC 为直角三角形 【答案】ACD 【解析】 【分析】利用正弦定理判断选项A ,利用数量积的性质判断选项B 和C ,利用数量积的性质和余弦定理判断选项D . 【详解】解:A :若a b >,由正弦定理得2sin 2sin R A R B >, sin sin A B ∴>,则 A 正确;B :若0a b ⋅>,则cos()0ACB π−∠>, cos 0ACB ∴∠<,即ACB ∠为钝角, ABC ∴为钝角三角形,故 B 错误;C :若0a b ⋅=,则AC BC ⊥,ABC ∴为直角三角形,故 C 正确;D :若()()0b c a b a c +−⋅+−=r r r r r r ,则22()0b a c −−=r r r,2222a c b a c ∴+−=⋅r r r r r ,222cos 2a c b Ba c +−=−r r r r r , 由余弦定理知222cos 2a c bB a c +−=r r r r r, cos cos B B ∴=−,则cos 0B =,(0,)B π∈,2B π∴=,ABC 为直角三角形,故 D 正确.故选:ACD .11.(2022·全国·模拟预测)如图,直角三角形ABC 中,D ,E 是边AC 上的两个三等分点,G 是BE 的中点,直线AG 分别与BD , BC 交于点F ,H 设AB a =,AC b =,则( )A .1123AG a b =+B .1136AF a b =+C .1123EG a b =− D .3255AH a b =+【答案】ACD 【解析】 【分析】以A 为坐标原点,分别以AC ,AB 的方向为x 轴,y 轴的正方向建立平面直角坐标系,分别写出各点坐标,特别联立方程组解得H ,再根据选项一一判断即可. 【详解】以A 为坐标原点,分别以AC ,AB 的方向为x 轴,y 轴的正方向建立平面直角坐标系,设AB a =,AC b =,则()0,0A ,,03b D ⎛⎫ ⎪⎝⎭,2,03b E ⎛⎫ ⎪⎝⎭,(),0C b ,()0,B a ,,32b a G ⎛⎫⎪⎝⎭.又F 为ABE △的重心,则2,93b a F ⎛⎫⎪⎝⎭,直线AG 的方程为32a y x b =,直线BC 的方程为1x y b a +=,联立解得23,55H b a ⎛⎫ ⎪⎝⎭,则,32b a AG ⎛⎫= ⎪⎝⎭,2,93b a AF ⎛⎫= ⎪⎝⎭,,32b a EG ⎛⎫=− ⎪⎝⎭,23,55AH b a ⎛⎫= ⎪⎝⎭因为()0,a AB a ==,(),0b AC b ==,所以1123AG a b =+,1239AF a b =+,1123EG a b =−,3255AH a b =+.故选:ACD .12.(2022·广东·二模)如图,已知扇形OAB 的半径为1,2AOB π∠=,点C 、D 分别为线段OA 、OB 上的动点,且1CD =,点E 为AB 上的任意一点,则下列结论正确的是( )A .OE AB ⋅的最小值为0 B .EA EB ⋅的最小值为1C .⋅EC ED 的最大值为1 D .⋅EC ED 的最小值为0【答案】BCD 【解析】 【分析】以O 为原点建立如图所示的直角坐标系,得()01,B ,()10,A ,设EOA θ∠=,则()cos sin 0,2,πθθθ⎛⎫⎡⎤∈ ⎪⎢⎥⎣⎦⎝⎭E ,求出2sin 4πθ⎛⎫⋅=− ⎪⎝⎭AB OE ,利用θ的范围可判断A ;求出EA 、EB 的坐标,由14πθ⎛⎫⋅=+ ⎪⎝⎭EA EB ,利用θ的范围可判断B ;设()[](),00,1∈C t t ,可得(D ,求出EC 、ED ,由⋅EC ED ()1sin θϕ=−+,利用 t 、ϕ、θ,的范围可判断CD. 【详解】以O 为原点建立如图所示的直角坐标系,所以()01,B ,()10,A , 设EOA θ∠=,则()cos sin 0,2,πθθθ⎛⎫⎡⎤∈ ⎪⎢⎥⎣⎦⎝⎭E ,()cos sin ,θθ=OE , ()11,=−AB ,所以sin cos 4πθθθ⎛⎫⋅=−=− ⎪⎝⎭AB OE ,因为0,2πθ⎡⎤∈⎢⎥⎣⎦,所以,444πππθ⎡⎤−∈−⎢⎥⎣⎦,所以sin 4πθ⎡⎛⎫−∈⎢ ⎪⎝⎭⎣⎦,所以[]1,1⋅∈−AB OE ,OE AB ⋅的最小值为1−,故A 错误; ()1cos ,sin θθ=−−EA ,()cos ,1sin θθ=−−EB ,所以22cos cos sin sin 14πθθθθθ⎛⎫⋅=−+−+=+ ⎪⎝⎭EA EB ,因为0,2πθ⎡⎤∈⎢⎥⎣⎦,所以3,444πππθ⎡⎤+∈⎢⎥⎣⎦,所以sin 4πθ⎤⎛⎫+∈⎥ ⎪⎝⎭⎣⎦,所以114πθ⎛⎫⎡⎤+∈ ⎪⎣⎦⎝⎭,1⎡⎤⋅∈⎣⎦EA EB ,EA EB ⋅的最小值为1B 正确;设()[](),00,1∈C t t ,又1=CD ,所以OD (D ,()cos ,sin θθ=−−EC t ,()cos sin θθ=−ED ,所以()22cos cos sin 1cos θθθθθθ⋅=++=−EC ED t t()1sin θϕ=−+,其中cos ϕϕ==t ,又[]0,1t ∈,所以[]cos ,sin 0,1ϕϕ∈,所以0,2πϕ⎡⎤∈⎢⎥⎣⎦,[]0,ϕθπ+∈,()[]sin 0,1ϕθ+∈,()[]sin 1,0ϕθ−+∈−,所以[]0,1⋅∈EC ED , ⋅EC ED 的最小值为0,故CD 正确.故选:BCD.13.(2022·辽宁·东北育才学校二模)对于非零向量m ,n ,定义运算“⊗”,||||sin ,m n m n m n ⊗=〈〉.已知两两不共线的三个向量a ,b ,c ,则下列结论正确的是( ) A .若a b ⊥,则⊗=a b a b B .()()a b c a b c ⊗=⊗ C .()a b a b ⊗=−⊗ D .()()()a b c a c b c +=+⊗⊗⊗【答案】AC 【解析】 【分析】A. 由运算“⊗”,||||sin ,m n m n m n ⊗=〈〉求解判断;B.举例()()()1,0,0,1,0,1===−a b c 求解判断;C.设,a b 的夹角为θ,则,−a b 的夹角为πθ−,由运算“⊗”,||||sin ,m n m n m n ⊗=〈〉求解判断;D.举例()()()1,0,0,1,1,1===a b c ,由运算“⊗”,||||sin ,m n m n m n ⊗=〈〉求解判断; 【详解】A. 因为a b ⊥,所以,90=a b ,则sin ,⊗==a b a b b a b a ,故正确;B. 若()()()1,0,0,1,0,1===−a b c ,则()()0,1,()0⊗=−⊗=a b c a b c ,所以()()⊗≠⊗a b c a b c ,故错误;C.设,a b 的夹角为θ,则,−a b 的夹角为πθ−,所以()sin ,()sin sin θπθθ⊗=−⊗=−−=a b a b a b a b a b ,则()a b a b ⊗=−⊗,故正确; D. 若()()()1,0,0,1,1,1===a b c ,则()0()()2,+=+=⊗⊗⊗a b c a c b c ,所以()()()+≠+⊗⊗⊗a b c a c b c ,故错误;故选:AC14.(2022·山东·模拟预测)已知在△ABC 中,AB =,2AB AM =uu u r uuu r,2CM CN =,若0AN BC ⋅=,则( )A .23AB AC AN += B .()2AB ACCM −C .AB AC ⊥D .45ACM ∠=︒【答案】BC 【解析】根据条件先推出,M N 是中点,利用中线向量的表达式可判断AB 选项,利用0AN BC ⋅=可以判断C 选项,根据C 选项和题目条件可判断D 选项.【详解】因为2AB AM =uu u r uuu r,2CM CN =,所以,M N 分别为,AB CM 的中点, 所以()1122AN AM AC =+=111242AB AC AB AC ⎛⎫+=+ ⎪⎝⎭,所以24AB AC AN +=,故选项A 错误;由222AB AC AM AC −=−=2CM ,得()2AB AC CM −,故选项B 正确;因为AB =,()()12AN BC AC AM AC AB ⋅=+⋅− ()221111*********AC AB AC AB AC AB AB AC AB AC ⎛⎫⎛⎫=+⋅−=−−⋅=−⋅= ⎪ ⎪⎝⎭⎝⎭,所以AB AC ⊥,故选项C 正确;由AB AC ⊥,得tan 2AM AB ACM AC AC ∠== 则45ACM ∠≠︒,故选项D 错误. 故选:BC.15.(2022·全国·模拟预测)如图,在等腰梯形ABCD 中,222AB AD CD BC ===,E 是BC 的中点,连接AE ,BD 相交于点F ,连接CF ,则下列说法正确的是( )A .3142AE AB AD →→→=+B .3255AF AB AD →→→=+C .1255BF AB AD →→→=−+ D .13105CF AB AD →→→=− 【答案】ABD 【解析】 【分析】根据平面向量的线性运算并结合平面向量共线定理即可判断答案.对于A 选项,1122AE AB BE AB BC AB AB AD DC →→→→→→→→→⎛⎫=+=+=+−++ ⎪⎝⎭11312242AB AB AD AB AB AD →→→→→→⎛⎫=+−++=+ ⎪⎝⎭,故A 选项正确;对于B 选项,因为B ,F ,D 三点共线,设()1AF x AB x AD →→→=+−,由AF AE →→∥,所以存在唯一实数λ,使得AF AE λ→→=,结合A 可知,()3131114242x AB x AD AB AD x AB x AD λλλ→→→→→→⎛⎫⎛⎫⎛⎫+−=+⇒−=−+ ⎪ ⎪ ⎪⎝⎭⎝⎭⎝⎭,因为,AB AD →→不共线,所以303415102x x x λλ⎧−=⎪⎪⇒=⎨⎪−+=⎪⎩,所以3255AF AB AD →→→=+,故B 选项正确; 对于C 选项,结合B ,2255BF AF AB AB AD →→→→→=−=−+,故C 选项错误;对于D 选项,结合B ,132********CF CD DA AF AB AD AB AD AB AD →→→→→→→→→→=++=−−++=−,故D 选项正确. 故选:ABD.16.(2021·全国·模拟预测)已知ABC 的重心为G ,点E 是边BC 上的动点,则下列说法正确的是( ) A .AG BG CG +=− B .若2133AE AB AC =+,则EAC 的面积是ABC 面积的13C .若2AB AC ==,3BC =,则76AB AG ⋅=D .若2AB AC ==,3BC =,则当EA EB ⋅取得最小值时,37||2EA =【答案】AC 【解析】 【分析】利用平面向量的基底表示,结合重心的性质,判断选项AB ,利用余弦定理计算角,根据平面向量的基底表示计算向量的数量积,从而判断选项CD.设AB 的中点为D ,则2GA GB GD +=,则2AG BG GD CG +=−=−,即2CG GD =,由重心性质可知成立,故A 正确;32AE AB AC =+,则22AE AC AB AE −=−,即2CE EB =,所以E 为边BC 上靠近点B 的三等分点,则EAC 的面积是ABC 面积的23,故B 错误;在ABC 中,由余弦定理得1cos 8A =−,则()211()33AB AG AB AB AC AB AB AC ⋅=⋅+=+⋅=117422386⎡⎤⎛⎫+⨯⨯−= ⎪⎢⎥⎝⎭⎣⎦,故C 正确; 由余弦定理得3cos 4ABC ∠=,所以2()EA EB EB EB BA EB EB BA ⋅=⋅+=+⋅=2||||EB EB BA +⋅22339cos()||||2416ABC EB EB EB π⎛⎫−∠=−=−− ⎪⎝⎭,则当3||4EB =时,EA EB ⋅取得最小值916−,此时()229337||422cos 16416=−=+−⨯⨯⨯∠=EA EB AB ABC ,37||4=EA ,故D 错误. 故选:AC【点睛】一般计算平面向量的数量积时,如果不能采用定义或者坐标公式运算时,可利用向量的基底表示,根据向量的线性运算法则将所求向量表示为已知向量的和或差进行计算.17.(2022·广东茂名·一模)已知点A 是圆C :()2211x y ++=上的动点,O 为坐标原点,OA AB ⊥,且||||OA AB =,O ,A ,B 三点顺时针排列,下列选项正确的是( )A .点B 的轨迹方程为()()22112x y −+−= B .||CB的最大距离为1C .CA CB ⋅1 D .CA CB ⋅的最大值为2 【答案】BD 【解析】 【分析】如图,过O 点作//,OD AB OD AB =且,设点(),B x y ,利用相关点代入法,可求得轨迹方程为()()22112x y ++−=,可判断A ;根据点到圆上距离的最值求解,可判断B ;设[0,90]CAO ,∠=θθ∈,将向量的数量积表示成关于θ的函数,可判断C ,D ;【详解】如图,过O 点作//,OD AB OD AB =且则点()1,0C −,设点()00,A x y ,设xOA α∠=,则2xOD πα∠=−,设||OA a =,所以,0cos x a α=,0sin y a α=,所以,0cos sin 2D x a a y παα⎛⎫=−== ⎪⎝⎭,0sin cos 2D y a a x παα⎛⎫=−=−=− ⎪⎝⎭,即点()00,D y x −,因为()0000,OB OA OD x y y x =+=+−,设点(),B x y ,可得0000x x y y y x =+⎧⎨=−⎩,解得0022x y x x y y −⎧=⎪⎪⎨+⎪=⎪⎩, 因为点A 在圆()2211x y ++=上,所以()220011x y ++=,将0022x y x x y y −⎧=⎪⎪⎨+⎪=⎪⎩代入方程()220011x y ++=可得221122x y x y −+⎛⎫⎛⎫++= ⎪ ⎪⎝⎭⎝⎭, 整理可得()()22112x y ++−=,所以A 是错的, 所以CB的最大距离为1B 是对的, 设,090CAO θθ︒∠=≤≤,2o ()1||||cos(90)CA CB CA CA AB CA CA AB CA AB ⋅=⋅+=+⋅=+⋅−θ 1|OA |sin 12cos sin 1sin 22=+=+=+≤θθθθ所以CA CB ⋅的最大值为2,D 是对的. 故选:BD18.(2021·全国·模拟预测)在ABC 中,D ,E 分别是线段BC 上的两个三等分点(D ,E 两点分别靠近B ,C 点),则下列说法正确的是( ) A .AB AC AD AE +=+ B .若F 为AE 的中点,则1344BF AC AB =− C .若0AB AC ⋅=,1AB =,2AC =,则109AD AE ⋅=D .若3AB AC AB AC +=−,且AB AC =,则60CAB ∠=︒ 【答案】ACD 【解析】 【分析】取BC 的中点M ,则M 也是DE 的中点,根据向量的加法运算即可判断A ;根据平面向量基本定理及线性运算即可判断B ;根据平面向量数量积的运算律即可判断C ;根据平面向量基本定理及线性运算结合等腰三角形的性质即可判断D. 【详解】解:对于A ,取BC 的中点M ,则M 也是DE 的中点, 则有()()1122AM AB AC AD AE =+=+,所以AB AC AD AE +=+,故A 正确; 对于B ,若F 为AE 的中点,则111251223363BF BA AF AB AE AB AB AC AB AC ⎛⎫=+=−+=−++=−+ ⎪⎝⎭,故B 错误;对于C ,因为D ,E 分别为线段BC 上的两个三等分点,所以()()()111333AD AE AB BD AC CE AB BC AC BC AB AC AB ⎛⎫⎛⎫⎡⎤⋅=+⋅+=+−=+− ⎪⎪⎢⎥⎝⎭⎝⎭⎣⎦,()221212122533333999AC AC AB AB AC AC AB AB AC AB ⎡⎤⎛⎫⎛⎫−−=+⋅+=++ ⎪ ⎪⎢⎥⎣⎦⎝⎭⎝⎭,()21014099AC =⨯++=,故C 正确;对于D ,由A 选项得,2AB AC AM +=, 由AB AC CB −=,因为3AB AC AB AC +=−,所以32AM CB =,即AM CM = 因为AB AC =,所以AM BC ⊥,AM 平分BAC ∠,在Rt AMC 中,tan AM ACB CM∠=60ACB ∠=︒,所以ABC 为等边三角形,所以60CAB ∠=︒,故选:D. 故选:ACD.19.(2021·全国·模拟预测)如图,已知点G 为ABC 的重心,点D ,E 分别为AB ,AC 上的点,且D ,G ,E 三点共线,AD mAB =,AE nAC =,0m >,0n >,记ADE ,ABC ,四边形BDEC 的面积分别为1S ,2S ,3S ,则( )A .113m n+= B .12S mn S = C .1345S S ≥ D .1345S S ≤ 【答案】ABC 【解析】 【分析】连接AG 并延长交BC 于点M ,由三角形重心结合向量运算探求m ,n 的关系, 再借助三角形面积公式及均值不等式即可逐项判断作答. 【详解】连接AG 并延长交BC 于点M ,如图,因G 为ABC 的重心,则M 是BC 边的中点,且23AG AM =uuu r uuu r,又D ,G ,E 三点共线,即(01)DG tDE t =<<,则有(1)AG t AD t AE =−+,而AD mAB =,AE nAC =,又()12AM AB AC =+uuu r uu u r uuu r ,于是得11(1)33t mAB tnAC AB AC −+=+,而AB 与AC 不共线,因此,11(1),33t m tn −==,113(1)33t t m n+=−+=,A 正确;ADE 边AD 上的高为sin AE BAC ∠,ABC 边AB 上的高为sin AC BAC ∠,则121sin 2·1sin 2AD AE BAC S AD AEmn S AB ACAB AC BAC ⋅∠===⋅∠,B 正确;由A可知,11133m n =+≥23m n ==时取“=”,则有49mn ≥,即1249S S ≥,而121S S <,于是得11213212121141145119S S S S S S S S S S ==−=−≥=−−−−,C 正确,D 错误. 故选:ABC20.(2021·全国·模拟预测)已知向量()3,2a =−,()2,1b =r,(),1c λ=−,R λ∈,则( )A .若()2a b c +⊥,则4λ= B .若a tb c =+,则6t λ+=− C .a b μ+的最小值为D .若向量a b +与向量2b c +的夹角为锐角,则λ的取值范围是(),1−∞− 【答案】ABC 【解析】 【分析】对于A ,根据两向量垂直时其数量积为0可求得λ的值;对于B ,根据向量相等建立方程组可求得λ、t 的值,即可得t λ+的值;对于C ,由模的计算公式求出a b μ+,然后利用二次函数的性质求解即可;对于D ,由两向量的夹角为锐角时其数量积大于0且两向量不共线即可求出λ的范围. 【详解】对于A ,因为()21,4a b +=,(),1c λ=−,()2a b c +⊥, 所以()()21410a b c λ+⋅=⨯+⨯−=,解得4λ=,所以A 正确; 对于B ,由a tb c =+,得()()()()3,22,1,12,1t t t λλ−=+−=+−, 则3221t t λ−=+⎧⎨=−⎩,解得93t λ=−⎧⎨=⎩,故6t λ+=−,所以B 正确;对于C ,因为()()()3,22,123,2a b μμμμ+=−+=−+, 所以(2a b μμ+=− 则当45μ=时,a b μ+取得最小值为C 正确;对于D ,因为()1,3a b +=−,()24,1b c λ+=+,因为向量a b +与向量2b c +的夹角为锐角, 所以()()()214310a b b c λ+⋅+=−⨯++⨯>,解得1λ<−;由题意知向量a b +与向量2b c +不共线,()11340λ−⨯−⨯+≠,解得133λ≠−. 所以λ的取值范围是1313,,133⎛⎫⎛⎫−∞−⋃−− ⎪ ⎪⎝⎭⎝⎭,所以D 不正确.综上可知,选ABC . 故选:ABC.21.(2021·全国·模拟预测)已知ABC 是半径为2的圆O 的内接三角形,则( ) A .若π3C =,则6AB AO ⋅=uu u r uuu r B .若()2BC BA AC AC +⋅=,则AB 为圆O 的一条直径C .若OA OB OA OB −=⋅uu r uu u r uu r uu u r ,则OA ,OB 的夹角π3θ=D .若20OA AB AC ++=,则22BC =【答案】AC 【解析】 【分析】对于A ,结合正弦定理求出AB ,过点O 作⊥OD AB 于D ,得0DO AB ⋅=,然后将AB AO ⋅转化为()AB AD DO ⋅+uu u r uuu r uuu r 即可求解;对于B ,根据平面向量运算法则可由()20BC BA AC AC +⋅−=uu u r uu r uu u r uu u r 得到20BA AC ⋅=uu r uu u r,由此可作出判断;对于C ,将OA OB OA OB −=⋅uu r uu u r uu r uu u r 两边平方,利用向量的数量积运算求出cos θ的值,从而结合0OA OB ⋅>求得角θ;对于D ,由题设条件并结合平面向量的线性运算得到0OB OC +=,由此可作出判断. 【详解】对于A ,由正弦定理,得π2sin 22sin3AB R C ==⨯=过点O 作⊥OD AB 于D ,则0DO AB ⋅=,所以()AB AO AB AD DO AB AD AB DO ⋅=⋅+=⋅+⋅uu u r uuu r uu u r uuu r uuu r uu u r uuu r uu u r uuu r(22110622AB =+=⨯=uu u r ,故A 正确;对于B ,()()()220BC BA AC AC BC BA AC AC BC BA CA AC BA AC +⋅−=+−⋅=++⋅=⋅=uu u r uu r uu u r uu u r uu u r uu r uu u r uu u r uu u r uu r uu r uu u r uu r uu u r ,所以AB AC ⊥,所以BC 为圆O 的一条直径,故B 不正确; 对于C ,由OA OB OA OB −=⋅uu r uu u r uu r uu u r ,两边平方,得288cos 16cos θθ−=,解得1cos 2θ=或cos 1θ=−,易知,0OA OB ⋅>,则π0,2θ⎛⎫∈ ⎪⎝⎭,所以π3θ=,故C 正确;对于D ,由20OA AB AC ++=,得0OA AB OA AC OB OC +++=+=,所以点O 是线段BC 的中点,所以4BC =,故D 不正确.综上可知,选AC. 故选:AC22.(2021·全国·模拟预测)已知向量a ,b 满足2=a ,()2,2b =,且26a b +=,则下列结论正确的是( ) A .a b ⊥ B .23a b +=C .(2,a =或(2,a =−D .a 与2a b +的夹角为45°【答案】ABC 【解析】 【分析】对于A ,由26a b +=,两边平方求解判断;对于B ,由a b +平方求解;对于C ,设(),a x y =,由26a b +=求解判断;对于D ,利用夹角公式求解判断. 【详解】对于A ,由()2,2b =,得22b =,因为26a b +=,所以224436a b b a ⋅+=+,又2=a ,所以0a b ⋅=,a b ⊥,故A 正确;对于B ,因为22224812a b b a b a +⋅=+++==,所以23a b +=,故B 正确;对于C ,设(),a x y =,则2(4,4)a b x y +=++,22(4)(4)36x y +++=,解得0x y +=,从而(2,a =或(2,a =−,故C 正确;对于D ,()241cos ,22632a a ba ab a a b⋅++===⨯⋅+,故D 错误. 故选:ABC23.(2021·山东泰安·模拟预测)如图,在直角三角形ABC 中,90,A AB AC ===点P 在以A 为圆心且与边BC 相切的圆上,则( )A .点P 所在圆的半径为2B .点P 所在圆的半径为1C .PB PC ⋅的最大值为14D .PB PC ⋅的最大值为16【答案】AC 【解析】 【分析】Rt ABC 斜边BC 上的高即为圆的半径;把求PB PC ⋅的最大值通过向量加法的三角形法则转化为求42PA PM +⋅的最大值,从而判断出P ,M ,A 三点共线,且P ,M 在点A 的两侧时取最大值. 【详解】设AB 的中点为M ,过A 作AH 垂直BC 于点H ,因为90,A AB AC ===所以5BC =,52AM =,所以由1122AB AC BC AH =,得2AB AC AH BC ==,所以圆的半径为2,即点P 所在圆的半径为2,所以选项A 正确,B 错误;因为PB PA AB =+,PC PA AC =+,0AC AB ⋅=, 所以()()2·PB PC PA AB PA AC PA PA AC AB PA ⋅=++=+⋅+⋅ ()242AC A PA PA PA B PM =+⋅+=+⋅ ,所以当P ,M ,A 三点共线,且P ,M 在点A 的两侧时,2P PA M ⋅取最大值,且最大值为()max52222102PA P PM A PM ⋅=⋅=⨯⨯=, 所以PB PC ⋅的最大值为41014+=,所以选项C 正确,D 错误.故选:AC.24.(2022·重庆·模拟预测)重庆荣昌折扇是中国四大名扇之一,始于1551年明代嘉靖年间,明末已成为贡品人朝,产品以其精湛的工业制作而闻名于海内外.经历代艺人刻苦钻研、精工创制,荣昌折扇逐步发展成为具有独特风格的中国传统工艺品,其精雅宜士人,其华灿宜艳女,深受各阶层人民喜爱.古人曾有诗赞曰:“开合清风纸半张,随机舒卷岂寻常;金环并束龙腰细,玉栅齐编凤翅长,偏称游人携袖里,不劳侍女执花傍;宫罗旧赐休相妒,还汝团圆共夜凉”图1为荣昌折扇,其平面图为图2的扇形COD ,其中2,333COD OC OA π∠===,动点P 在CD 上(含端点),连接OP 交扇形OAB 的弧AB 于点Q ,且OQ xOC yOD =+,则下列说法正确的是( )图1 图2 A .若y x =,则23x y += B .若2y x =,则0OA OP ⋅= C .2AB PQ ⋅≥− D .112PA PB ⋅≥【答案】ABD 【解析】 【分析】建立平面直角系,表示出相关点的坐标,设2(cos ,sin ),[0,]3Q πθθθ∈ ,可得(3cos ,3sin )P θθ,由OQ xOC yOD =+,结合题中条件可判断A,B;表示出相关向量的坐标,利用数量积的运算律,结合三角函数的性质,可判断C ,D. 【详解】如图,作OE OC ⊥ ,分别以,OC OE 为x ,y 轴建立平面直角坐标系,则13(1,0),(3,0),((22A C B D −− ,设2(cos ,sin ),[0,]3Q πθθθ∈ ,则(3cos ,3sin )P θθ,由OQ xOC yOD =+可得3cos 3,sin 2x y y θθ=−= ,且0,0x y >> ,若y x =,则22223cos sin (3))12x x θθ+=−+=,解得13x y == ,(负值舍去),故23x y +=,A 正确;若2y x =,则3cos 302x y θ=−=,(1,0)(0,1)0OA OP ⋅=⋅=,故B 正确;3((2cos ,2sin )3cos )23AB PQ πθθθθθ⋅=−⋅=−=− ,由于[0,]3θ2π∈,故[,]333πππθ−∈−,故)33πθ−≥−,故C 错误;由于1(3cos 1,3sin ),(3cos ,3sin 2PA PB θθθθ=−=+,故1(3cos 1,3sin )(3cos ,3sin 2PA PB θθθθ⋅=−⋅+173sin()26πθ=−+ ,而5[,]666πππθ+∈, 故173sin(17)2611322PA PB πθ⋅=−+≥−=,故D 正确, 故选:ABD25.(2022··一模)平面向量,,a b c →→→,满足1a →=,2b →=且a a b →→→⎛⎫⊥− ⎪⎝⎭,20→→→→⎛⎫⎛⎫−⋅−= ⎪ ⎪⎝⎭⎝⎭c a c b ,则下列说法正确的是( )A .2→→+=a b B .a →在b →方向上的投影是1C .c →1 D .若向量m →满足2→→⋅=m a ,则→→→⎛⎫⋅− ⎪⎝⎭m m b 的最小值是54【答案】ACD 【解析】 【分析】结合题意,直接根据两向量垂直和向量的数量积运算,即可判断A 选项;根据a →在b →方向上的投影是cos a b a bθ→→→→⋅=进行计算,即可判断B 选项;设,,OA a OB b OC c →→→→→→===,根据题意可知OA BA ⊥,并取2→→=OD OA ,从而得出动点C 在以BD 为直径的圆上,设BD 的中点为E ,从而得出max 1=+OC OE ,即可判断C 选项;设→→=OM m ,由2→→⋅=m a 可知故M 在垂线l 上,根据向量的加减法运算得出22→→→→→⎛⎫⋅−=− ⎪⎝⎭m m b MF OF ,过F 作l 的垂线,垂足为1M ,可知2221924+⎛⎫≥== ⎪⎝⎭OD AD MF M F ,即可求出→→→⎛⎫⋅− ⎪⎝⎭m m b 的最小值,从而可判断D 选项. 【详解】解:因为1a →=,2b →=且a a b →→→⎛⎫⊥− ⎪⎝⎭,则20a a b →→→−⋅=,所以1a b →→⋅=,又221,4→→==a b ,则22224412→→→→→→+=+⋅+=a b a a b b ,则2→→+=a b A 正确;由于a →在b →方向上的投影是1cos 2θ→→→→⋅==a ba b,故B 错误;设,,OA a OB b OC c →→→→→→===,由于a a b →→→⎛⎫⊥− ⎪⎝⎭,即→→→⎛⎫⊥− ⎪⎝⎭OA OA OB ,故OA BA ⊥,因为20→→→→⎛⎫⎛⎫−⋅−= ⎪ ⎪⎝⎭⎝⎭c a c b ,取2→→=OD OA ,则0→→→→⎛⎫⎛⎫−⋅−= ⎪ ⎪⎝⎭⎝⎭OC OD OC OB ,所以0→→⋅=DC BC ,所以动点C 在以BD 为直径的圆上,如图, 1,2==OA OB ,则2OD =,2BD =,设BD 的中点为E ,OB 的中点为F ,过D 作OD 的垂线l ,则max 1=+OC OE ,因为OE =c →1,故C 正确; 设→→=OM m ,因为2→→⋅=m a ,即2→→⋅=OM OA ,则cos 2→→⋅∠=OM OA AOM , 所以cos 2→∠==OM AOM OD ,故M 在垂线l 上,而→→→→→→→→→⎛⎫⎛⎫⎛⎫⋅−=⋅=+⋅+ ⎪ ⎪ ⎪⎝⎭⎝⎭⎝⎭m m b OM BM MF FO MF FB ,又F 是OB 的中点,所以→→=−FB FO ,则22→→→→→⎛⎫⋅−=− ⎪⎝⎭m m b MF OF ,过F 作l 的垂线,垂足为1M ,则2221924+⎛⎫≥== ⎪⎝⎭OD AD MF M F ,又1OF =,所以2295144→→→→→⎛⎫⋅−=−≥−= ⎪⎝⎭m m b MF OF ,所以→→→⎛⎫⋅− ⎪⎝⎭m m b 的最小值是54,故D 正确.故选:ACD.。
平面向量1.【2019年高考全国I 卷文数】已知非零向量a ,b 满足||2||=a b ,且()-a b ⊥b ,则a 与b 的夹角为A .π6 B .π3C .2π3D .5π62.【2019年高考全国II 卷文数】已知向量a =(2,3),b =(3,2),则|a -b |=A B .2C .D .503.【2018年高考全国I 卷文数】在ABC △中,AD 为BC 边上的中线,E 为AD 的中点,则EB =A .3144AB AC - B .1344AB AC - C .3144AB AC +D .1344AB AC +4.【2018年高考全国II 卷文数】已知向量a ,b 满足||1=a ,1⋅=-a b ,则(2)⋅-=a a bA .4B .3C .2D .05.【2018年高考浙江卷】已知a ,b ,e 是平面向量,e 是单位向量.若非零向量a 与e 的夹角为π3,向量b 满足b 2−4e ·b +3=0,则|a −b |的最小值是A 1 BC .2D .26.【2018年高考天津卷文数】在如图的平面图形中,已知1,2,120OM ON MON ==∠=,2,2,BM MA CN NA ==则·BC OM 的值为A .15-B .9-C .6-D .07.【2017年高考全国II 卷文数】设非零向量a ,b 满足+=-a b a b ,则 A .a ⊥b B .=a b C .a ∥bD .>a b8.【2017年高考北京卷文数】设m,n 为非零向量,则“存在负数λ,使得λ=m n ”是“0<⋅m n ”的 A .充分而不必要条件 B .必要而不充分条件 C .充分必要条件D .既不充分也不必要条件9.【2019年高考北京卷文数】已知向量a =(–4,3),b =(6,m ),且⊥a b ,则m =__________.10.【2019年高考全国III 卷文数】已知向量(2,2),(8,6)==-a b ,则cos ,=a b ___________.11.【2019年高考天津卷文数】在四边形ABCD 中,,5,30AD BC AB AD A ==∠=︒∥,点E 在线段CB 的延长线上,且AE BE =,则BD AE ⋅=_____________.12.【2019年高考江苏卷】如图,在ABC △中,D 是BC 的中点,E 在边AB 上,BE =2EA ,AD 与CE 交于点O .若6AB AC AO EC ⋅=⋅,则ABAC的值是_____.13.【2019年高考浙江卷】已知正方形ABCD 的边长为1,当每个(1,2,3,4,5,6)i i λ=取遍±1时,123456||AB BC CD DA AC BD λλλλλλ+++++的最小值是________;最大值是_______.14.【2018年高考全国III 卷文数】已知向量()=1,2a ,()=2,2-b ,()=1,λc .若()2∥c a +b ,则λ=________. 15.【2018年高考北京卷文数】设向量a =(1,0),b =(−1,m ),若()m ⊥-a a b ,则m =_________. 16.【2018年高考上海卷】在平面直角坐标系中,已知点()10A -,、()20B ,,E 、F 是y 轴上的两个动点,且||2EF =,则AE BF ⋅的最小值为___________.17.【2018年高考江苏卷】在平面直角坐标系xOy 中,A 为直线:2l y x =上在第一象限内的点,()5,0B ,以AB 为直径的圆C 与直线l 交于另一点D .若0AB CD ⋅=,则点A 的横坐标为___________. 18.【2017年高考全国III 卷文数】已知向量(2,3),(3,)m =-=a b ,且⊥a b ,则m =________. 19.【2017年高考全国I 卷文数】已知向量a =(–1,2),b =(m ,1).若向量a +b 与a 垂直,则m =________.20.【2017年高考江苏卷】如图,在同一个平面内,向量OA ,OB ,OC 的模分别为1,1,OA 与OC 的夹角为α,且tan α=7,OB 与OC 的夹角为45°.若OC mOA nOB =+(,)m n ∈R ,则m n +=___________.21.【2017年高考浙江卷】已知向量a ,b 满足1,2,==a b 则++-a b a b 的最小值是________,最大值是___________.22.【2017年高考天津卷文数】在ABC △中,60A =︒∠,3AB =,2AC =.若2BD DC =,AE AC λ=- ()AB λ∈R ,且4AD AE ⋅=-,则λ的值为________.23.【2017年高考山东卷文数】已知向量a =(2,6),b =(1,)λ- ,若∥a b ,则λ=________.平面向量1.【2019年高考全国I 卷文数】已知非零向量a ,b 满足||2||=a b ,且()-a b ⊥b ,则a 与b 的夹角为A .π6 B .π3C .2π3D .5π6【答案】B【解析】因为()-a b ⊥b ,所以2()-⋅=⋅-a b b a b b =0,所以2⋅=a b b ,所以cos θ=22||12||2⋅==⋅a b b a b b ,所以a 与b 的夹角为π3,故选B . 【名师点睛】对向量夹角的计算,先计算出向量的数量积及各个向量的摸,在利用向量夹角公式求出夹角的余弦值,再求出夹角,注意向量夹角范围为[0,]π.2.【2019年高考全国II 卷文数】已知向量a =(2,3),b =(3,2),则|a -b |=A B .2C .D .50【答案】A【解析】由已知,(2,3)(3,2)(1,1)-=-=-a b ,所以||-==a b , 故选A.【名师点睛】本题主要考查平面向量模长的计算,容易题,注重了基础知识、基本计算能力的考查.由于对平面向量的坐标运算存在理解错误,从而导致计算有误;也有可能在计算模的过程中出错.3.【2018年高考全国I 卷文数】在ABC △中,AD 为BC 边上的中线,E 为AD 的中点,则EB =A .3144AB AC - B .1344AB AC - C .3144AB AC +D .1344AB AC +【答案】A【解析】根据向量的运算法则,可得()111111222424BE BA BD BA BC BA BA AC =+=+=++ 1113124444BA BA AC BA AC =++=+,所以3144EB AB AC =-,故选A.【名师点睛】该题考查的是有关平面向量的基本问题,涉及的知识点有三角形的中线向量、向量加法的三角形法则、共线向量的表示以及相反向量的问题,在解题的过程中,需要认真对待每一步运算. 4.【2018年高考全国II 卷文数】已知向量a ,b 满足||1=a ,1⋅=-a b ,则(2)⋅-=a a b A .4 B .3 C .2 D .0【答案】B【解析】因为()()22222||1213⋅-=-⋅=--=+=a a b a a b a 所以选B.【名师点睛】本题主要考查平面向量的数量积,考查考生的运算求解能力,考查的数学核心素养是数学运算.5.【2018年高考浙江卷】已知a ,b ,e 是平面向量,e 是单位向量.若非零向量a 与e 的夹角为π 3,向量b满足b 2−4e ·b +3=0,则|a −b |的最小值是A 1B C.2 D .2【答案】A【解析】设 ,则由 得,由b 2−4e ·b +3=0得 因此|a −b |的最小值为圆心 到直线的距离21,为 选A. 【名师点睛】本题主要考查平面向量的夹角、数量积、模及最值问题,考查数形结合思想,考查考生的选算求解能力以及分析问题和解决问题的能力,考查的数学核心素养是直观想象、数学运算.6.【2018年高考天津卷文数】在如图的平面图形中,已知1,2,120OM ON MON ==∠=,2,2,BM MA CN NA ==则·BC OM 的值为A .15-B .9-C .6-D .0【答案】C【解析】如图所示,连结MN ,由 可知点 分别为线段 上靠近点 的三等分点,则, 由题意可知:, , 结合数量积的运算法则可得: . 本题选择C 选项.【名师点睛】求两个向量的数量积有三种方法:利用定义;利用向量的坐标运算;利用数量积的几何意义.具体应用时可根据已知条件的特征来选择,同时要注意数量积运算律的应用. 7.【2017年高考全国II 卷文数】设非零向量a ,b 满足+=-a b a b ,则 A .a ⊥bB .=a bC .a ∥bD .>a b【答案】A【解析】由向量加法与减法的几何意义可知,以非零向量a ,b 的模长为边长的平行四边形是矩形,从而可得a ⊥b .故选A.【名师点睛】本题主要考查向量的数量积与向量的垂直.8.【2017年高考北京卷文数】设m ,n 为非零向量,则“存在负数λ,使得λ=m n ”是“0<⋅m n ”的 A .充分而不必要条件 B .必要而不充分条件 C .充分必要条件 D .既不充分也不必要条件【答案】A【解析】若0λ∃<,使λ=m n ,则两向量,m n 反向,夹角是180︒,那么cos180⋅=︒=m n m n0-<m n ;若0⋅<m n ,那么两向量的夹角为(]90,180︒︒,并不一定反向,即不一定存在负数λ,使得λ=m n ,所以是充分而不必要条件,故选A.【名师点睛】本题考查平面向量的线性运算,及充分必要条件的判断,属于容易题.9.【2019年高考北京卷文数】已知向量a =(–4,3),b =(6,m ),且⊥a b ,则m =__________.【答案】8【解析】向量(4,3),(6,)m =-=⊥,,a b a b 则046308m m ⋅=-⨯+==,,a b . 【名师点睛】本题考查平面向量的坐标运算、平面向量的数量积、平面向量的垂直以及转化与化归思想的应用.属于容易题.10.【2019年高考全国III 卷文数】已知向量(2,2),(8,6)==-a b ,则cos ,=a b ___________.【答案】10-【解析】2826cos ,||||10⨯-+⨯⋅===-⋅a b a b a b .【名师点睛】本题考查了向量夹角的运算,牢记平面向量的夹角公式是破解问题的关键.11.【2019年高考天津卷文数】在四边形ABCD 中,,5,30AD BC AB AD A ==∠=︒∥,点E 在线段CB 的延长线上,且AE BE =,则BD AE ⋅=_____________.【答案】1-【解析】建立如图所示的直角坐标系,∠DAB =30°,5,AB AD ==则B,5()22D . 因为AD ∥BC ,30BAD ∠=︒,所以30ABE ∠=︒, 因为AE BE =,所以30BAE ∠=︒, 所以直线BE,其方程为y x =-, 直线AE的斜率为y x =.由y x y x ⎧=-⎪⎪⎨⎪=⎪⎩得x =1y =-,所以1)E -.所以35(,)(3,1)12BD AE =-=-.【名师点睛】平面向量问题有两大类解法:基向量法和坐标法,在便于建立坐标系的问题中使用坐标方法更为方便.12.【2019年高考江苏卷】如图,在ABC △中,D 是BC 的中点,E 在边AB 上,BE =2EA ,AD 与CE 交于点O .若6AB AC AO EC ⋅=⋅,则ABAC的值是_____.【解析】如图,过点D 作DF //CE ,交AB 于点F ,由BE =2EA ,D 为BC 的中点,知BF =FE =EA ,AO =OD .()()()3632AO EC AD AC AE AB AC AC AE =-=+-, ()223131123233AB AC AC AB AB AC AB AC AB AC ⎛⎫⎛⎫=+-=-+- ⎪ ⎪⎝⎭⎝⎭22223211323322AB AC AB AC AB AC AB AC AB AC ⎛⎫=-+=-+= ⎪⎝⎭,得2213,22AB AC =即3,AB AC =故AB AC=【名师点睛】本题考查在三角形中平面向量的数量积运算,渗透了直观想象、逻辑推理和数学运算素养.采取几何法,利用数形结合和方程思想解题.13.【2019年高考浙江卷】已知正方形ABCD 的边长为1,当每个(1,2,3,4,5,6)i i λ=取遍±1时,123456||AB BC CD DA AC BD λλλλλλ+++++的最小值是________;最大值是_______.【答案】0;【解析】以, AB AD 分别为x 轴、y 轴建立平面直角坐标系,如图.则(1,0),(0,1),(1,0),(0,1),(1,1),(1,1)AB BC CD DA AC BD ===-=-==-, 令(123456y AB BC CD DA AC BD λλλλλλλ=+++++=0.又因为(1,2,3,4,5,6)i i λ=可取遍1±,所以当1345621,1λλλλλλ======-时,有最小值min 0y =. 因为()135λλλ-+和()245λλλ-+的取值不相关,61λ=或61λ=-, 所以当()135λλλ-+和()245λλλ-+分别取得最大值时,y 有最大值,所以当1256341,1λλλλλλ======-时,有最大值max y ===故答案为0;【名师点睛】对于此题需充分利用转化与化归思想,从“基向量”入手,最后求不等式最值,是一道向量和不等式的综合题.14.【2018年高考全国III 卷文数】已知向量()=1,2a ,()=2,2-b ,()=1,λc .若()2∥c a +b ,则λ=________.【答案】12【解析】由题可得()24,2+=a b ,()2∥c a +b ,()=1,λc ,420λ∴-=,即12λ=,故答案为12. 【名师点睛】本题主要考查向量的坐标运算,以及两向量共线的坐标关系,属于基础题.解题时,由两向量共线的坐标关系计算即可.15.【2018年高考北京卷文数】设向量a =(1,0),b =(−1,m ),若()m ⊥-a a b ,则m =_________.【答案】【解析】 , ,由 得: , ,即 .【名师点睛】如果a =(x 1,y 1),b =(x 2,y 2)(b ≠0),则a ⊥b 的充要条件是x 1x 2+y 1y 2=0.16.【2018年高考上海卷】在平面直角坐标系中,已知点()10A -,、()20B ,,E 、F 是y 轴上的两个动点,且||2EF =,则AE BF ⋅的最小值为___________.【答案】-3【解析】根据题意,设E (0,a ),F (0,b ); ∴2EF a b =-=;∴a =b +2,或b =a +2;且()()1,2,AE a BF b ==-,;∴2AE BF ab ⋅=-+;当a =b +2时,()22222AE BF b b b b ⋅=-++⋅=+-; ∵b 2+2b ﹣2的最小值为8434--=-; ∴AE BF ⋅的最小值为﹣3,同理求出b =a +2时,AE BF ⋅的最小值为﹣3.故答案为:﹣3.【名师点睛】考查根据点的坐标求两点间的距离,根据点的坐标求向量的坐标,以及向量坐标的数量积运算,二次函数求最值的公式.17.【2018年高考江苏卷】在平面直角坐标系xOy 中,A 为直线:2l y x =上在第一象限内的点,()5,0B ,以AB 为直径的圆C 与直线l 交于另一点D .若0AB CD ⋅=,则点A 的横坐标为___________.【答案】3【解析】设(),2(0)A a a a >,则由圆心C 为AB 中点得5,,2a C a +⎛⎫ ⎪⎝⎭易得()()():520C x x a y y a --+-=,与2y x =联立解得点D 的横坐标1,D x =所以()1,2D .所以()55,2,1,22a AB a a CD a +⎛⎫=--=-- ⎪⎝⎭,由0AB CD ⋅=得()()()2551220,230,32a a a a a a a +⎛⎫--+--=--== ⎪⎝⎭或1a =-, 因为0a >,所以 3.a = 【名师点睛】以向量为载体求相关变量的取值或范围,是向量与函数、不等式、三角函数、曲线方程等相结合的一类综合问题.通过向量的坐标运算,将问题转化为解方程或解不等式或求函数值域,是解决这类问题的一般方法.18.【2017年高考全国III 卷文数】已知向量(2,3),(3,)m =-=a b ,且⊥a b ,则m =________.【答案】2【解析】由题意可得02330,m ⋅=⇒-⨯+=a b 解得2m =.【名师点睛】(1)向量平行:1221∥x y x y ⇒=a b ,,,∥≠⇒∃∈=λλ0R a b b a b ,111BA AC OA OB OC λλλλ=⇔=+++. (2)向量垂直:121200x x y y ⊥⇔⋅=⇔+=a b a b .(3)向量的运算:221212(,),||,||||cos ,x x y y ±=±±=⋅=⋅a b a a a b a b a b .19.【2017年高考全国I 卷文数】已知向量a =(–1,2),b =(m ,1).若向量a +b 与a 垂直,则m =________.【答案】7【解析】由题得(1,3)m +=-a b ,因为()0+⋅=a b a ,所以(1)230m --+⨯=,解得7m =.【名师点睛】如果a =(x 1,y 1),b =(x 2,y 2)(b ≠0),则a ⊥b 的充要条件是x 1x 2+y 1y 2=0.20.【2017年高考江苏卷】如图,在同一个平面内,向量OA ,OB ,OC 的模分别为1,1,OA 与OC 的夹角为α,且t a n α=7,OB 与OC 的夹角为45°.若O C m O A n O B =+(,)m n ∈R ,则m n +=___________.【答案】3【解析】由tan 7α=可得sin 10α=,cos 10α=,根据向量的分解,易得cos 45cos sin 45sin 0n m n m αα⎧︒+=⎪⎨︒-=⎪⎩2100210n m n m +=⎪-=⎩,即510570n m n m +=⎧⎨-=⎩,即得57,44m n ==, 所以3m n +=. 【名师点睛】(1)向量的坐标运算将向量与代数有机结合起来,这就为向量和函数、方程、不等式的结合提供了前提,运用向量的有关知识可以解决某些函数、方程、不等式问题.(2)以向量为载体求相关变量的取值范围,是向量与函数、不等式、三角函数等相结合的一类综合问题.通过向量的坐标运算,可将原问题转化为解不等式或求函数值域的问题,是此类问题的一般方法. (3)向量的两个作用:①载体作用,关键是利用向量的意义、作用脱去“向量外衣”,转化为我们熟悉的数学问题;②工具作用,利用向量可解决一些垂直、平行、夹角与距离问题.21.【2017年高考浙江卷】已知向量a ,b 满足1,2,==a b 则++-a b a b 的最小值是________,最大值是___________.【答案】4,【解析】设向量,a b 的夹角为θ,则-==a b+==a b则++-=a b a b令y =[]21016,20y =+, 据此可得:()()max min 4++-==++-==a b a b a b a b , 即++-a b a b 的最小值是4,最大值是【名师点睛】本题通过设向量,a b 的夹角为θ,结合模长公式,可得++-=a b a b能力有一定的要求.22.【2017年高考天津卷文数】在ABC △中,60A =︒∠,3AB =,2AC =.若2B D D C =,AE AC λ=- ()AB λ∈R ,且4AD AE ⋅=-,则λ的值为________. 【答案】311【解析】由题可得1232cos603,33AB AC AD AB AC ⋅=⨯⨯︒==+,则12()33AD AE AB AC ⋅=+2123()34934333311AC AB λλλλ-=⨯+⨯-⨯-⨯=-⇒=. 【名师点睛】根据平面向量基本定理,利用表示平面向量的一组基底可以表示平面内的任一向量,利用向量的定比分点公式表示向量,则可获解.本题中,AB AC 已知模和夹角,作为基底易于计算数量积.23.【2017年高考山东卷文数】已知向量a =(2,6),b =(1,)λ- ,若∥a b ,则λ=________.【答案】3-【解析】由∥a b 可得162 3.λλ-⨯=⇒=-【名师点睛】平面向量共线的坐标表示问题的常见类型及解题策略:(1)利用两向量共线求参数.如果已知两向量共线,求某些参数的取值时,利用“若a =(x 1,y 1),b =(x 2,y 2),则∥a b 的充要条件是x 1y 2=x 2y 1”解题比较方便.(2)利用两向量共线的条件求向量坐标.一般地,在求与一个已知向量a 共线的向量时,可设所求向量为λa (λ∈R ),然后结合其他条件列出关于λ的方程,求出λ的值后代入λa 即可得到所求的向量.(3)三点共线问题.A ,B ,C 三点共线等价于AB →与AC →共线.。
平面向量高考经典试题一、选择题1.(全国1文理)已知向量(5,6)a =-,(6,5)b =,则a 与bA .垂直B .不垂直也不平行C .平行且同向D .平行且反向解.已知向量(5,6)a =-,(6,5)b =,30300a b ⋅=-+=,则a 与b 垂直,选A 。
2、(山东文5)已知向量(1)(1)n n ==-,,,a b ,若2-a b 与b 垂直,则=a ( )A .1B .2C .2D .4【答案】:C 【分析】:2(3,)n -a b =,由2-a b 与b 垂直可得:2(3,)(1,)303n n n n ⋅-=-+=⇒=±, 2=a 。
3、(广东文4理10)若向量,a b 满足||||1a b ==,,a b 的夹角为60°,则a aab ⋅+⋅=______;答案:32;解析:1311122a a ab ⋅+⋅=+⨯⨯=,4、(天津理10) 设两个向量22(2,cos )a λλα=+-和(,sin ),2mb m α=+其中,,m λα为实数.若2,a b =则mλ的取值范围是(A.[6,1]-B.[4,8]C.(,1]-∞D.[1,6]-【答案】A【分析】由22(2,cos )a λλα=+-,(,sin ),2mb m α=+2,a b =可得2222cos 2sin m m λλαα+=⎧⎨-=+⎩,设k m λ=代入方程组可得22222cos 2sin km m k m m αα+=⎧⎨-=+⎩消去m 化简得2222cos 2sin 22k k k αα⎛⎫-=+ ⎪--⎝⎭,再化简得22422cos 2sin 022k k αα⎛⎫+-+-= ⎪--⎝⎭再令12t k =-代入上式得222(sin 1)(16182)0t t α-+++=可得2(16182)[0,4]t t -++∈解不等式得1[1,]8t ∈--因而11128k -≤≤--解得61k -≤≤.故选A5、(山东理11)在直角ABC ∆中,CD 是斜边AB 上的高,则下列等式不成立的是(A )2AC AC AB =⋅ (B ) 2BC BA BC =⋅ (C )2AB AC CD =⋅ (D ) 22()()AC AB BA BC CD AB⋅⨯⋅=【答案】:C.【分析】: 2()00AC AC AB AC AC AB AC BC =⋅⇔⋅-=⇔⋅=,A 是正确的,同理B 也正确,对于D 答案可变形为2222CD AB AC BC ⋅=⋅,通过等积变换判断为正确.6、(全国2 理5)在∆ABC 中,已知D 是AB 边上一点,若AD =2DB ,CD =CB CA λ+31,则λ=(A)32(B)31(C) -31(D) -32 解.在∆ABC 中,已知D 是AB 边上一点,若AD =2DB ,CD =CB CA λ+31,则22()33CD CA AD CA AB CA CB CA =+=+=+-=1233CA CB +,4 λ=32,选A 。
高考数学平面向量专题卷(附答案)
一、单选题(共10题;共20分)
1.已知向量,则=()
A. B. C. 4 D. 5
2.若向量,,若,则
A. B. 12 C. D. 3
3.已知平面向量,,且,则=()
A. B. C. D.
4.已知平面向量、,满足,若,则向量、的夹角为()
A. B. C. D.
5.在中,的中点为,的中点为,则()
A. B. C. D.
6.已知平面向量不共线,且,,记与的夹角是,则最大时,
()
A. B. C. D.
7.在中,,AD是BC边上的高,则等于()
A. 0
B.
C. 2
D. 1
8.已知,则的取值范围是()
A. [0,1]
B.
C. [1,2]
D. [0,2]
9.已知向量,的夹角为,且,则的最小值为()
A. B. C. 5 D.
10.已知椭圆:上的三点,,,斜率为负数的直线与轴交于,若原点是的重心,且与的面积之比为,则直线的斜率为()
A. B. C. D.
二、填空题(共8题;共8分)
11.在平面直角坐标系xOy中,已知A(0,﹣1),B(﹣3,﹣4)两点,若点C在∠AOB的平分线上,且
,则点C的坐标是________.
12.已知单位圆上两点满足,点是单位圆上的动点,且,则
的取值范围为________.
13.已知正方形的边长为1,,,,则________.
14.在平面直角坐标系中,设是函数()的图象上任意一点,过点向直线
和轴作垂线,垂足分别是,,则________.
15.已知为锐角三角形,满足,外接圆的圆心为,半径为1,则的取值范围是________.
16.设是边长为的正六边形的边上的任意一点,长度为的线段是该正六边形外接圆的一条动弦,则的取值范围为________.
17.设的外接圆的圆心为,半径为2,且满足,则
的最小值为________.
18.如图,在中,,点,分别为的中点,若,,则
________.
三、解答题(共6题;共60分)
19.的内角,,所对的边分别为,,.向量与平行.(Ⅰ)求;
(Ⅱ)若,求的面积.
20.在平面直角坐标系中,曲线的参数方程为(为参数),已知点,点是曲线上任意一点,点为的中点,以坐标原点为极点,轴正半轴为极轴建立极坐标系.
(1)求点的轨迹的极坐标方程;
(2)已知直线:与曲线交于两点,若,求的值.
21.已知椭圆的离心率为,点在椭圆上
(1)求椭圆的方程;
(2)已短直线与椭交于A、B两点,点P的坐标为,且,求实数m 的值.
22.已知椭圆的离心率为,右焦点为,直线l经过点F,且与椭圆交于A,B两点,O为坐标原点.
(1)求椭圆的标准方程;
(2)当直线l绕点F转动时,试问:在x轴上是否存在定点M,使得为常数?若存在,求出定点M的坐标;若不存在,请说明理由.
23.如图,在平面直角坐标系中,己知抛物线的焦点为,点是第一象限内抛物线上的一点,点的坐标为
(1)若,求点的坐标;
(2)若为等腰直角三角形,且,求点的坐标;
(3)弦经过点,过弦上一点作直线的垂线,垂足为点,求证:“直线与抛物线相切”的一个充要条件是“ 为弦的中点”.
24.已知,是椭圆:上的两点,线段的中点在直线上.
(1)当直线的斜率存在时,求实数的取值范围;
(2)设是椭圆的左焦点,若椭圆上存在一点,使,求的值.
答案
一、单选题
1. D
2. D
3. B
4. C
5. B
6. C
7. D
8. D
9. B 10. C
二、填空题
11. (﹣1,﹣3)12. 13. 14. 15.
16. 17. 18.
三、解答题
19. 解:(Ⅰ)因为向量与平行,
所以,
由正弦定理得,
又,从而tanA=,由于0<A<π,所以A=.
(Ⅱ)由余弦定理得a2=b2+c2-2bccosA,而a=,b=2,A=,
得7=4+c2-2c,即c2-2c-3=0,
因为c>0,所以c=3.
故△ABC的面积为bcsinA=.
20. (1)解:设,.且点,由点为的中点,所以
整理得.即,
化为极坐标方程为.
(2)解:设直线:的极坐标方程为.设,,因为,所以,即.
联立整理得.
则解得.所以,则.
21. (1)解:设椭圆的焦距为,由已知有,又由,
可得,由点在椭圆上,有,
由此可得,椭圆的方程为
(2)解:设点A的坐标,点B的坐标,
由方程组,消去y,整理可得,①
由求根公式可得,②
由点P的坐标为,可得,
故,③
又,,
代入上式可得,
由已知,以及②,可得,整理得,解得,
这时,①的判别式,故满足题目条件,.
22. (1)解:由题意可知,,又,解得,
所以,所以椭圆的方程为.
(2)解:若直线不l垂直于x轴,可设的方程为.
由得.
.
设,,则,.
设,则,,
要使得(为常数),只要,
即.
对于任意实数k,要使式恒成立,
只要,解得.
若直线l垂直于x轴,其方程为,
此时,直线l与椭圆两交点为,,
取点,有,,
.
综上所述,过定点的动直线l与椭圆相交于A,B两点,当直线l绕点F转动时,存在定点,使得.
23. (1)解:点是第一象限内抛物线上的一点,且
设,则解得: ,即.
(2)解:设,由,
可得: ,
①
又等腰,得点在轴投影为、中点,即: .
将, 代入①得: , (舍去)点坐标为.
(3)解:过点
设为: ,点,点,其中点,
可得: 联立直线与抛物线得,消掉
可得:
根据韦达定理可得:
设点处抛物线得切线为
联立直线与抛物线得: ,消掉
可得:
,可得: 过处切线方程为
化简得求切线与直线得交点
可得
轴,与相切时, 为中点
以上各步骤,均可逆“直线与抛物线相切”的一个充要条件是“ 为弦的中点”.
24. (1)解:设,,则,,
两式相减得:,
由线段的中点在直线上,可设此中点,因为直线的斜率存在,所以,设其斜率为,由式得,即.
由于弦的中点必在椭圆内部,则,解得. 又,所以斜率的取值范围为.
(2)解:由(1)知,,因为椭圆的左焦点为,
所以,,设,则,
,
,
,
同理可得,因为点在椭圆上,所以
,
解得.当时,,直线的方程为,代入得,由根与系数关系得.
则.
由对称性知,当时也成立,.。