数学基本公式原理汇总
- 格式:docx
- 大小:59.79 KB
- 文档页数:3
小学数学公式大全在小学数学的学习中,公式是解决问题的重要工具。
掌握好这些公式,不仅能提高解题的效率,还能帮助我们更好地理解数学的原理和规律。
接下来,让我们一起梳理一下小学数学中常见的公式。
一、基本运算公式1、加法交换律:两个加数相加,交换加数的位置,和不变。
用字母表示为:a + b = b + a2、加法结合律:三个数相加,先把前两个数相加,或者先把后两个数相加,和不变。
用字母表示为:(a + b) + c = a +(b + c)3、乘法交换律:两个因数相乘,交换因数的位置,积不变。
用字母表示为:a × b = b × a4、乘法结合律:三个数相乘,先把前两个数相乘,再和另外一个数相乘,或先把后两个数相乘,再和另外一个数相乘,积不变。
用字母表示为:(a × b) × c = a ×(b × c)5、乘法分配律:两个数的和与一个数相乘,可以先把它们分别与这个数相乘,再相加。
用字母表示为:(a + b) × c = a × c + b × c二、四则运算1、加法:加数+加数=和,和一个加数=另一个加数2、减法:被减数减数=差,被减数差=减数,差+减数=被减数3、乘法:因数 ×因数=积,积 ÷一个因数=另一个因数4、除法:被除数 ÷除数=商,被除数 ÷商=除数,商 ×除数=被除数三、图形的周长和面积公式1、长方形的周长=(长+宽)× 2 ,用字母表示为:C = 2 (a + b) ;面积=长 ×宽,用字母表示为:S = a × b2、正方形的周长=边长 × 4 ,用字母表示为:C = 4a ;面积=边长 ×边长,用字母表示为:S = a × a = a²3、三角形的周长=三条边之和;面积=底 ×高 ÷ 2 ,用字母表示为:S = a × h ÷ 24、平行四边形的周长=相邻两边之和 × 2 ;面积=底 ×高,用字母表示为:S = a × h5、梯形的周长=上底+下底+两条腰长;面积=(上底+下底)×高 ÷ 2 ,用字母表示为:S =(a + b) × h ÷ 2四、体积和表面积公式1、长方体的表面积=(长 ×宽+长 ×高+宽 ×高)× 2 ,用字母表示为:S = 2(ab + ah + bh) ;体积=长 ×宽 ×高,用字母表示为:V = a × b × h2、正方体的表面积=棱长 ×棱长 × 6 ,用字母表示为:S = 6a²;体积=棱长 ×棱长 ×棱长,用字母表示为:V = a³五、单位换算公式1、长度单位:1 千米= 1000 米,1 米= 10 分米,1 分米= 10厘米,1 厘米= 10 毫米2、面积单位:1 平方千米= 100 公顷,1 公顷= 10000 平方米,1 平方米= 100 平方分米,1 平方分米= 100 平方厘米,1 平方厘米= 100 平方毫米3、体积单位:1 立方米= 1000 立方分米,1 立方分米= 1000 立方厘米,1 立方厘米= 1000 立方毫米,1 升= 1 立方分米,1 毫升= 1 立方厘米,1 升= 1000 毫升4、质量单位:1 吨= 1000 千克,1 千克= 1000 克5、时间单位:1 世纪= 100 年,1 年= 12 个月,大月(31 天)有 1、3、5、7、8、10、12 月,小月(30 天)有 4、6、9、11 月,平年 2 月 28 天,闰年 2 月 29 天,平年全年 365 天,闰年全年 366 天,1 日= 24 小时,1 小时= 60 分,1 分= 60 秒六、数学中的数量关系1、速度 ×时间=路程,路程 ÷速度=时间,路程 ÷时间=速度2、单价 ×数量=总价,总价 ÷单价=数量,总价 ÷数量=单价3、工作效率 ×工作时间=工作总量,工作总量 ÷工作效率=工作时间,工作总量 ÷工作时间=工作效率这些公式是小学数学中的基础知识,同学们一定要牢记并能熟练运用。
数学公式定律大全1、定理:加法交换律两边加上相同的数都会得到同样的结果,即a+b=b+a2、定理:乘法交换律两边乘以相同的数也会得到同样的结果,即a*b=b*a3、定理:乘法分配律乘法可以分配给加法,即a*(b+c)=a*b+a*c4、定理:乘法结合律加法可以结合乘法,即a*(b*c)=(a*b)*c5、定理:乘方律数的平方等于这个数乘以它本身,即a^2=a*a6、定理:乘方公式三个数的乘方相加等于这三个数乘以它们的积,即a^3+b^3+c^3=(a*b*c)^37、定理:算术和的计算公式一个有n项的等差数列和可表示为 Sn = n * (a1 + an) / 28、定理:算术积的计算公式一个有n项的等差数列的积可表示为 Pn = (an - a1) * (a2 - a1) * (a3 - a1) *…* (an - an - 1)9、定理:立方和公式一个有n项的立方数列和可表示为 Sn = n * (a1^3 + an^3) / 210、定理:立方积公式一个有n项的立方数列的积可表示为 Pn = (an - a1)^3 * (a2 - a1)^3 * (a3 - a1)^3 *…* (an - an - 1)^311、定理:平方差公式设a1,a2,a3,…,an为n个数,则它们的平方差为:A2 = (a1 -a2)^2 + (a2 - a3)^2 + …+ (an - an - 1)^212、定理:立方差公式设a1,a2,a3,…,an为n个数,则它们的立方差为:A2 = (a1 -a2)^3 + (a2 - a3)^3 + … + (an - an - 1)^313、定理:二次根式定理一元二次方程的一般解为:ax^2 + bx + c = 0,其中a≠0。
数学公式大全(数学)数学公式大全数学是一门关于数量、结构、空间以及变化的学科,它是科学和工程中必不可少的基础。
数学公式是数学思想的精华所在,它们可以用来解决各种数学问题,并在实际应用中发挥重要作用。
本文将为您提供一份数学公式大全,涵盖了数学的各个领域。
一、代数和方程1. 一次方程式:ax + b = 0其中,a和b是已知常数,x是未知数。
2. 二次方程式:ax^2 + bx + c = 0其中,a、b、c是已知常数,x是未知数。
3. 四则运算:- 加法:a + b = c- 减法:a - b = c- 乘法:a × b = c- 除法:a ÷ b = c4. 幂运算:a^n表示将a自乘n次,其中a是底数,n是指数。
5. 开平方:√a表示寻找b,使得b^2 = a,其中a是要开方的数。
6. 排列和组合:- 排列:P(n, k) = n! / (n-k)!- 组合:C(n, k) = n! / (k!(n-k)!)其中,n为元素个数,k为要选择的元素个数,"!"表示阶乘运算。
二、几何和三角学1. 直角三角形:- 勾股定理:a^2 + b^2 = c^2- 正弦定理:sin(A) / a = sin(B) / b = sin(C) / c- 余弦定理:c^2 = a^2 + b^2 - 2abcos(C)2. 圆:- 圆的面积:A = πr^2- 圆的周长:C = 2πr其中,r为圆的半径,π是一个数学常数,近似值为3.14159。
3. 三角函数:- 正弦函数:sin(x)- 余弦函数:cos(x)- 正切函数:tan(x)其中,x为角度。
4. 三角恒等式:- 和差公式:sin(A ± B) = sin(A)cos(B) ± cos(A)sin(B)- 二倍角公式:sin(2A) = 2sin(A)cos(A)三、微积分1. 导数:f'(x)表示函数f(x)对x的变化率。
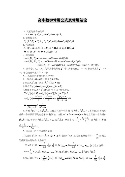
高中数学常用公式及常用结论1. 元素与集合的关系U x A x C A ∈⇔∉,U x C A x A ∈⇔∉. 2.德摩根公式();()U U U U U U C A B C A C B C A B C A C B ==.3.包含关系A B A A B B =⇔=U U A B C B C A ⇔⊆⇔⊆ U A C B ⇔=ΦU C A B R ⇔=4.容斥原理()()card A B cardA cardB card A B =+-()()card A B C cardA cardB cardC card A B =++-()()()()card A B card B C card C A card A B C ---+.5.集合12{,,,}n a a a 的子集个数共有2n 个;真子集有2n –1个;非空子集有2n–1个;非空的真子集有2n–2个.6.二次函数的解析式的三种形式1一般式2()(0)f x ax bx c a =++≠; 2顶点式2()()(0)f x a x h k a =-+≠; 3零点式12()()()(0)f x a x x x x a =--≠. 7.解连不等式()N f x M <<常有以下转化形式()N f x M <<⇔[()][()]0f x M f x N --<⇔|()|22M N M Nf x +--<⇔()0()f x N M f x ->- ⇔11()f x N M N>--. 8.方程0)(=x f 在),(21k k 上有且只有一个实根,与0)()(21<k f k f 不等价,前者是后者的一个必要而不是充分条件.特别地, 方程)0(02≠=++a c bx ax 有且只有一个实根在),(21k k 内,等价于0)()(21<k f k f ,或0)(1=k f 且22211k k a bk +<-<,或0)(2=k f 且22122k abk k <-<+. 9.闭区间上的二次函数的最值二次函数)0()(2≠++=a c bx ax x f 在闭区间[]q p ,上的最值只能在abx 2-=处及区间的两端点处取得,具体如下:1当a>0时,若[]q p a bx ,2∈-=,则{}min max max ()(),()(),()2b f x f f x f p f q a=-=; []q p abx ,2∉-=,{}max max ()(),()f x f p f q =,{}min min ()(),()f x f p f q =. 2当a<0时,若[]q p a b x ,2∈-=,则{}min ()min (),()f x f p f q =,若[]q p a bx ,2∉-=,则{}max ()max (),()f x f p f q =,{}min ()min (),()f x f p f q =.10.一元二次方程的实根分布依据:若()()0f m f n <,则方程0)(=x f 在区间(,)m n 内至少有一个实根 . 设q px x x f ++=2)(,则1方程0)(=x f 在区间),(+∞m 内有根的充要条件为0)(=m f 或2402p q p m ⎧-≥⎪⎨->⎪⎩;2方程0)(=x f 在区间(,)m n 内有根的充要条件为()()0f m f n <或2()0()0402f m f n p q p m n >⎧⎪>⎪⎪⎨-≥⎪⎪<-<⎪⎩或()0()0f m af n =⎧⎨>⎩或()0()0f n af m =⎧⎨>⎩; 3方程0)(=x f 在区间(,)n -∞内有根的充要条件为()0f m <或2402p q p m ⎧-≥⎪⎨-<⎪⎩ .11.定区间上含参数的二次不等式恒成立的条件依据1在给定区间),(+∞-∞的子区间L 形如[]βα,,(]β,∞-,[)+∞,α不同上含参数的二次不等式(,)0f x t ≥t 为参数恒成立的充要条件是min (,)0()f x t x L ≥∉.2在给定区间),(+∞-∞的子区间上含参数的二次不等式(,)0f x t ≥t 为参数恒成立的充要条件是(,)0()man f x t x L ≤∉.30)(24>++=c bx ax x f 恒成立的充要条件是000a b c ≥⎧⎪≥⎨⎪>⎩或2040a b ac <⎧⎨-<⎩.12.13.14.四种命题的相互关系15.充要条件1充分条件:若p q ⇒,则p 是q 充分条件.2必要条件:若q p ⇒,则p 是q 必要条件.3充要条件:若p q ⇒,且q p ⇒,则p 是q 充要条件.注:如果甲是乙的充分条件,则乙是甲的必要条件;反之亦然. 16.函数的单调性1设[]2121,,x x b a x x ≠∈⋅那么[]1212()()()0x x f x f x -->⇔[]b a x f x x x f x f ,)(0)()(2121在⇔>--上是增函数;[]1212()()()0x x f x f x --<⇔[]b a x f x x x f x f ,)(0)()(2121在⇔<--上是减函数. 2设函数)(x f y =在某个区间内可导,如果0)(>'x f ,则)(x f 为增函数;如果0)(<'x f ,则)(x f 为减函数.17.如果函数)(x f 和)(x g 都是减函数,则在公共定义域内,和函数)()(x g x f +也是减函数; 如果函数)(u f y =和)(x g u =在其对应的定义域上都是减函数,则复合函数)]([x g f y =是增函数.18.奇偶函数的图象特征奇函数的图象关于原点对称,偶函数的图象关于y 轴对称;反过来,如果一个函数的图象关于原点对称,那么这个函数是奇函数;如果一个函数的图象关于y 轴对称,那么这个函数是偶函数.19.若函数)(x f y =是偶函数,则)()(a x f a x f --=+;若函数)(a x f y +=是偶函数,则)()(a x f a x f +-=+.20.对于函数)(x f y =R x ∈,)()(x b f a x f -=+恒成立,则函数)(x f 的对称轴是函数2b a x +=;两个函数)(a x f y +=与)(x b f y -= 的图象关于直线2ba x +=对称. 21.若)()(a x f x f +--=,则函数)(x f y =的图象关于点)0,2(a对称; 若)()(a x f x f +-=,则函数)(x f y =为周期为a 2的周期函数.22.多项式函数110()n n n n P x a x a x a --=+++的奇偶性多项式函数()P x 是奇函数⇔()P x 的偶次项即奇数项的系数全为零. 多项式函数()P x 是偶函数⇔()P x 的奇次项即偶数项的系数全为零. 23.函数()y f x =的图象的对称性1函数()y f x =的图象关于直线x a =对称()()f a x f a x ⇔+=-(2)()f a x f x ⇔-=.2函数()y f x =的图象关于直线2a bx +=对称()()f a mx f b mx ⇔+=- ()()f a b mx f mx ⇔+-=.24.两个函数图象的对称性1函数()y f x =与函数()y f x =-的图象关于直线0x =即y 轴对称. 2函数()y f mx a =-与函数()y f b mx =-的图象关于直线2a bx m+=对称. 3函数)(x f y =和)(1x fy -=的图象关于直线y=x 对称.25.若将函数)(x f y =的图象右移a 、上移b 个单位,得到函数b a x f y +-=)(的图象;若将曲线0),(=y x f 的图象右移a 、上移b 个单位,得到曲线0),(=--b y a x f 的图象.26.互为反函数的两个函数的关系a b f b a f =⇔=-)()(1.27.若函数)(b kx f y +=存在反函数,则其反函数为])([11b x f ky -=-,并不是)([1b kx fy +=-,而函数)([1b kx fy +=-是])([1b x f ky -=的反函数. 28.几个常见的函数方程1正比例函数()f x cx =,()()(),(1)f x y f x f y f c +=+=.2指数函数()xf x a =,()()(),(1)0f x y f x f y f a +==≠.3对数函数()log a f x x =,()()(),()1(0,1)f xy f x f y f a a a =+=>≠. 4幂函数()f x x α=,'()()(),(1)f xy f x f y f α==.5余弦函数()cos f x x =,正弦函数()sin g x x =,()()()()()f x y f x f y g x g y -=+,()(0)1,lim1x g x f x→==. 29.几个函数方程的周期约定a>01)()(a x f x f +=,则)(x f 的周期T=a ; 20)()(=+=a x f x f ,或)0)(()(1)(≠=+x f x f a x f , 或1()()f x a f x +=-(()0)f x ≠,或[]1(),(()0,1)2f x a f x +=+∈,则)(x f 的周期T=2a ; 3)0)(()(11)(≠+-=x f a x f x f ,则)(x f 的周期T=3a ; 4)()(1)()()(212121x f x f x f x f x x f -+=+且1212()1(()()1,0||2)f a f x f x x x a =⋅≠<-<,则)(x f 的周期T=4a ;5()()(2)(3)(4)f x f x a f x a f x a f x a +++++++()()(2)(3)(4)f x f x a f x a f x a f x a =++++,则)(x f 的周期T=5a ; 6)()()(a x f x f a x f +-=+,则)(x f 的周期T=6a.30.分数指数幂1m na =0,,a m n N *>∈,且1n >. 21m nm naa-=0,,a m n N *>∈,且1n >.31.根式的性质1na =.2当n 为奇数时a =; 当n 为偶数时,0||,0a a a a a ≥⎧==⎨-<⎩.32.有理指数幂的运算性质1 (0,,)rsr sa a aa r s Q +⋅=>∈.2 ()(0,,)r s rs a a a r s Q =>∈. 3()(0,0,)rr rab a b a b r Q =>>∈.注: 若a >0,p 是一个无理数,则a p 表示一个确定的实数.上述有理指数幂的运算性质,对于无理数指数幂都适用.33.指数式与对数式的互化式log b a N b a N =⇔=(0,1,0)a a N >≠>.34.对数的换底公式log log log m a m NN a=0a >,且1a ≠,0m >,且1m ≠, 0N >.推论 log log m na a nb b m =0a >,且1a >,,0m n >,且1m ≠,1n ≠, 0N >.35.对数的四则运算法则 若a >0,a ≠1,M >0,N >0,则1log ()log log a a a MN M N =+;2 log log log aa a MM N N =-; 3log log ()na a M n M n R =∈.36.设函数)0)((log )(2≠++=a c bx ax x f m ,记ac b 42-=∆.若)(x f 的定义域为R ,则0>a ,且0<∆;若)(x f 的值域为R ,则0>a ,且0≥∆.对于0=a 的情形,需要单独检验.37. 对数换底不等式及其推广 若0a >,0b >,0x >,1x a≠,则函数log ()ax y bx = 1当a b >时,在1(0,)a 和1(,)a +∞上log ()ax y bx =为增函数., 2当a b <时,在1(0,)a 和1(,)a+∞上log ()ax y bx =为减函数.推论:设1n m >>,0p >,0a >,且1a ≠,则 1log ()log m p m n p n ++<.22log log log 2a a am nm n +<. 38. 平均增长率的问题如果原来产值的基础数为N,平均增长率为p ,则对于时间x 的总产值y ,有(1)x y N p =+.39.数列的同项公式与前n 项的和的关系11,1,2n n n s n a s s n -=⎧=⎨-≥⎩ 数列{}n a 的前n 项的和为12n n s a a a =+++.40.等差数列的通项公式*11(1)()n a a n d dn a d n N =+-=+-∈;其前n 项和公式为1()2n n n a a s +=1(1)2n n na d -=+ 211()22d n a d n =+-. 41.等比数列的通项公式1*11()n nn a a a q q n N q-==⋅∈; 其前n 项的和公式为11(1),11,1n n a q q s q na q ⎧-≠⎪=-⎨⎪=⎩或11,11,1n n a a qq q s na q -⎧≠⎪-=⎨⎪=⎩.42.等比差数列{}n a :11,(0)n n a qa d a b q +=+=≠的通项公式为1(1),1(),11n n n b n d q a bq d b q d q q -+-=⎧⎪=+--⎨≠⎪-⎩;其前n 项和公式为(1),(1)1(),(1)111n n nb n n d q s d q db n q q q q +-=⎧⎪=-⎨-+≠⎪---⎩. 43.分期付款按揭贷款每次还款(1)(1)1nnab b x b +=+-元贷款a 元,n 次还清,每期利率为b . 44.常见三角不等式 1若(0,)2x π∈,则sin tan x x x <<.2 若(0,)2x π∈,则1sin cos x x <+≤3 |sin ||cos |1x x +≥.45.同角三角函数的基本关系式22sin cos 1θθ+=,tan θ=θθcos sin ,tan 1cot θθ⋅=. 46.正弦、余弦的诱导公式212(1)sin ,sin()2(1)s ,nn n co απαα-⎧-⎪+=⎨⎪-⎩212(1)s ,s()2(1)sin ,nn co n co απαα+⎧-⎪+=⎨⎪-⎩47.和角与差角公式sin()sin cos cos sin αβαβαβ±=±;cos()cos cos sin sin αβαβαβ±=;tan tan tan()1tan tan αβαβαβ±±=.22sin()sin()sin sin αβαβαβ+-=-平方正弦公式; 22cos()cos()cos sin αβαβαβ+-=-.sin cos a b αα+=)αϕ+辅助角ϕ所在象限由点(,)a b 的象限决定,tan baϕ= .48.二倍角公式sin 2sin cos ααα=.2222cos 2cos sin 2cos 112sin ααααα=-=-=-.22tan tan 21tan ααα=-. 49. 三倍角公式3sin 33sin 4sin 4sin sin()sin()33ππθθθθθθ=-=-+.3cos34cos 3cos 4cos cos()cos()33ππθθθθθθ=-=-+.323tan tan tan 3tan tan()tan()13tan 33θθππθθθθθ-==-+-.50.三角函数的周期公式函数sin()y x ωϕ=+,x ∈R 及函数cos()y x ωϕ=+,x ∈RA,ω,ϕ为常数,且A ≠0,ω>0的周期2T πω=;函数tan()y x ωϕ=+,,2x k k Z ππ≠+∈A,ω,ϕ为常数,且A ≠0,ω>0的周期T πω=.51.正弦定理2sin sin sin a b cR A B C===. 52.余弦定理2222cos a b c bc A =+-; 2222cos b c a ca B =+-; 2222cos c a b ab C =+-.53.面积定理1111222a b c S ah bh ch ===a b c h h h 、、分别表示a 、b 、c 边上的高. 2111sin sin sin 222S ab C bc A ca B ===.322(||||)()OAB S OA OB OA OB ∆=⋅-⋅.54.三角形内角和定理在△ABC 中,有()A B C C A B ππ++=⇔=-+222C A Bπ+⇔=-222()C A B π⇔=-+. 55. 简单的三角方程的通解sin (1)arcsin (,||1)kx a x k a k Z a π=⇔=+-∈≤. s 2arccos (,||1)co x a x k a k Z a π=⇔=±∈≤.tan arctan (,)x a x k a k Z a R π=⇒=+∈∈.特别地,有sin sin (1)()k k k Z αβαπβ=⇔=+-∈.s cos 2()co k k Z αβαπβ=⇔=±∈.tan tan ()k k Z αβαπβ=⇒=+∈.56.最简单的三角不等式及其解集sin (||1)(2arcsin ,2arcsin ),x a a x k a k a k Z πππ>≤⇔∈++-∈.sin (||1)(2arcsin ,2arcsin ),x a a x k a k a k Z πππ<≤⇔∈--+∈. cos (||1)(2arccos ,2arccos ),x a a x k a k a k Z ππ>≤⇔∈-+∈.cos (||1)(2arccos ,22arccos ),x a a x k a k a k Z πππ<≤⇔∈++-∈.tan ()(arctan ,),2x a a R x k a k k Z πππ>∈⇒∈++∈.tan ()(,arctan ),2x a a R x k k a k Z πππ<∈⇒∈-+∈.57.实数与向量的积的运算律 设λ、μ为实数,那么 1 结合律:λμa =λμa ;2第一分配律:λ+μa =λa +μa; 3第二分配律:λa +b =λa +λb . 58.向量的数量积的运算律: 1 a ·b= b ·a 交换律;2λa ·b= λa ·b=λa ·b = a ·λb ; 3a +b ·c= a ·c +b ·c. 59.平面向量基本定理如果e 1、e 2是同一平面内的两个不共线向量,那么对于这一平面内的任一向量,有且只有一对实数λ1、λ2,使得a=λ1e 1+λ2e 2.不共线的向量e 1、e 2叫做表示这一平面内所有向量的一组基底. 60.向量平行的坐标表示设a =11(,)x y ,b =22(,)x y ,且b ≠0,则a bb ≠012210x y x y ⇔-=. 53. a 与b 的数量积或内积 a ·b =|a ||b |cos θ. 61. a ·b 的几何意义数量积a ·b 等于a 的长度|a |与b 在a 的方向上的投影|b |cos θ的乘积. 62.平面向量的坐标运算1设a =11(,)x y ,b =22(,)x y ,则a+b=1212(,)x x y y ++.2设a =11(,)x y ,b =22(,)x y ,则a-b=1212(,)x x y y --. 3设A 11(,)x y ,B 22(,)x y ,则2121(,)AB OB OA x x y y =-=--.4设a =(,),x y R λ∈,则λa=(,)x y λλ.5设a =11(,)x y ,b =22(,)x y ,则a ·b=1212()x x y y +. 63.两向量的夹角公式cos θ=a =11(,)x y ,b =22(,)x y .64.平面两点间的距离公式 ,A Bd =||AB AB AB =⋅=11(,)x y ,B 22(,)x y .65.向量的平行与垂直设a =11(,)x y ,b =22(,)x y ,且b ≠0,则 A ||b ⇔b =λa 12210x y x y ⇔-=. a ⊥ba ≠0⇔a ·b=012120x x y y ⇔+=. 66.线段的定比分公式设111(,)P x y ,222(,)P x y ,(,)P x y 是线段12P P 的分点,λ是实数,且12PP PP λ=,则121211x x x y y y λλλλ+⎧=⎪⎪+⎨+⎪=⎪+⎩⇔121OP OP OP λλ+=+ ⇔12(1)OP tOP t OP =+-11t λ=+. 67.三角形的重心坐标公式△ABC 三个顶点的坐标分别为11A(x ,y )、22B(x ,y )、33C(x ,y ),则△ABC 的重心的坐标是123123(,)33x x x y y y G ++++. 68.点的平移公式''''x x h x x h y y k y y k⎧⎧=+=-⎪⎪⇔⎨⎨=+=-⎪⎪⎩⎩''OP OP PP ⇔=+ . 注:图形F 上的任意一点Px,y 在平移后图形'F 上的对应点为'''(,)P x y ,且'PP 的坐标为(,)h k .69.“按向量平移”的几个结论1点(,)P x y 按向量a =(,)h k 平移后得到点'(,)P x h y k ++.2 函数()y f x =的图象C 按向量a =(,)h k 平移后得到图象'C ,则'C 的函数解析式为()y f x h k =-+.3 图象'C 按向量a =(,)h k 平移后得到图象C ,若C 的解析式()y f x =,则'C 的函数解析式为()y f x h k =+-.4曲线C :(,)0f x y =按向量a =(,)h k 平移后得到图象'C ,则'C 的方程为(,)0f x h y k --=.5 向量m =(,)x y 按向量a =(,)h k 平移后得到的向量仍然为m =(,)x y .70. 三角形五“心”向量形式的充要条件设O 为ABC ∆所在平面上一点,角,,A B C 所对边长分别为,,a b c ,则 1O 为ABC ∆的外心222OA OB OC ⇔==. 2O 为ABC ∆的重心0OA OB OC ⇔++=.3O 为ABC ∆的垂心OA OB OB OC OC OA ⇔⋅=⋅=⋅. 4O 为ABC ∆的内心0aOA bOB cOC ⇔++=. 5O 为ABC ∆的A ∠的旁心aOA bOB cOC ⇔=+. 71.常用不等式:1,a b R ∈⇒222a b ab +≥当且仅当a =b 时取“=”号.2,a b R +∈⇒2a b+≥当且仅当a =b 时取“=”号. 33333(0,0,0).a b c abc a b c ++≥>>>4柯西不等式22222()()(),,,,.a b c d ac bd a b c d R ++≥+∈5b a b a b a +≤+≤-. 72.极值定理已知y x ,都是正数,则有1若积xy 是定值p ,则当y x =时和y x +有最小值p 2;2若和y x +是定值s ,则当y x =时积xy 有最大值241s . 推广 已知R y x ∈,,则有xy y x y x 2)()(22+-=+ 1若积xy 是定值,则当||y x -最大时,||y x +最大; 当||y x -最小时,||y x +最小.2若和||y x +是定值,则当||y x -最大时, ||xy 最小; 当||y x -最小时, ||xy 最大.73.一元二次不等式20(0)ax bx c ++><或2(0,40)a b ac ≠∆=->,如果a 与2ax bx c ++同号,则其解集在两根之外;如果a 与2ax bx c ++异号,则其解集在两根之间.简言之:同号两根之外,异号两根之间.121212()()0()x x x x x x x x x <<⇔--<<; 121212,()()0()x x x x x x x x x x <>⇔--><或.74.含有绝对值的不等式 当a> 0时,有22x a x a a x a <⇔<⇔-<<.22x a x a x a>⇔>⇔>或x a<-.75.无理不等式()0()0()()f xg xf xg x≥⎧⎪>⇔≥⎨⎪>⎩.2()0()0()()0()0()[()]f xf xg x g xg xf xg x≥⎧≥⎧⎪>⇔≥⎨⎨<⎩⎪>⎩或.2()0()()0()[()]f xg x g xf xg x≥⎧⎪<⇔>⎨⎪<⎩.76.指数不等式与对数不等式1当1a>时,()()()()f xg xa a f x g x>⇔>;()0log()log()()0()()a af xf xg x g xf xg x>⎧⎪>⇔>⎨⎪>⎩.2当01a<<时,()()()()f xg xa a f x g x>⇔<;()0log()log()()0()()a af xf xg x g xf xg x>⎧⎪>⇔>⎨⎪<⎩77.斜率公式2121y ykx x-=-111(,)P x y、222(,)P x y.78.直线的五种方程1点斜式11()y y k x x-=-直线l过点111(,)P x y,且斜率为k.2斜截式y kx b=+b为直线l在y轴上的截距.3两点式112121y y x xy y x x--=--12y y≠111(,)P x y、222(,)P x y12x x≠.4截距式1x ya b+=a b、分别为直线的横、纵截距,0a b≠、5一般式0Ax By C++=其中A、B不同时为0.79.两条直线的平行和垂直1若111:l y k x b=+,222:l y k x b=+①121212||,l l k k b b⇔=≠;②12121l l k k⊥⇔=-.2若1111:0l A x B y C++=,2222:0l A x B y C++=,且A1、A2、B1、B2都不为零,①11112222||A B Cl lA B C⇔=≠;②1212120l l A A B B ⊥⇔+=; 80.夹角公式 12121tan ||1k k k k α-=+.111:l y k x b =+,222:l y k x b =+,121k k ≠-212211212tan ||A B A B A A B B α-=+. 1111:0l A x B y C ++=,2222:0l A x B y C ++=,12120A A B B +≠.直线12l l ⊥时,直线l 1与l 2的夹角是2π. 81. 1l 到2l 的角公式 12121tan 1k k k k α-=+.111:l y k x b =+,222:l y k x b =+,121k k ≠-212211212tan A B A B A A B B α-=+.1111:0l A x B y C ++=,2222:0l A x B y C ++=,12120A A B B +≠.直线12l l ⊥时,直线l 1到l 2的角是2π. 82.四种常用直线系方程1定点直线系方程:经过定点000(,)P x y 的直线系方程为00()y y k x x -=-除直线0x x =,其中k 是待定的系数; 经过定点000(,)P x y 的直线系方程为00()()0A x x B y y -+-=,其中,A B 是待定的系数.2共点直线系方程:经过两直线1111:0l A x B y C ++=,2222:0l A x B y C ++=的交点的直线系方程为111222()()0A x B y C A x B y C λ+++++=除2l ,其中λ是待定的系数.3平行直线系方程:直线y kx b =+中当斜率k 一定而b 变动时,表示平行直线系方程.与直线0Ax By C ++=平行的直线系方程是0Ax By λ++=0λ≠,λ是参变量.4垂直直线系方程:与直线0Ax By C ++= A ≠0,B ≠0垂直的直线系方程是0Bx Ay λ-+=,λ是参变量.83.点到直线的距离d =点00(,)P x y ,直线l :0Ax By C ++=.84. 0Ax By C ++>或0<所表示的平面区域设直线:0l Ax By C ++=,则0Ax By C ++>或0<所表示的平面区域是: 若0B ≠,当B 与Ax By C ++同号时,表示直线l 的上方的区域;当B 与Ax By C ++异号时,表示直线l 的下方的区域.简言之,同号在上,异号在下.若0B =,当A 与Ax By C ++同号时,表示直线l 的右方的区域;当A 与Ax By C ++异号时,表示直线l 的左方的区域. 简言之,同号在右,异号在左.85. 111222()()0A x B y C A x B y C ++++>或0<所表示的平面区域 设曲线111222:()()0C A x B y C A x B y C ++++=12120A A B B ≠,则111222()()0A x B y C A x B y C ++++>或0<所表示的平面区域是:111222()()0A x B y C A x B y C ++++>所表示的平面区域上下两部分; 111222()()0A x B y C A x B y C ++++<所表示的平面区域上下两部分.86. 圆的四种方程1圆的标准方程 222()()x a y b r -+-=.2圆的一般方程 220x y Dx Ey F ++++=224D E F +->0.3圆的参数方程 cos sin x a r y b r θθ=+⎧⎨=+⎩.4圆的直径式方程 1212()()()()0x x x x y y y y --+--=圆的直径的端点是11(,)A x y 、22(,)B x y .87. 圆系方程1过点11(,)A x y ,22(,)B x y 的圆系方程是1212112112()()()()[()()()()]0x x x x y y y y x x y y y y x x λ--+--+-----= 1212()()()()()0x x x x y y y y ax by c λ⇔--+--+++=,其中0ax by c ++=是直线AB 的方程,λ是待定的系数.2过直线l :0Ax By C ++=与圆C :220x y Dx Ey F ++++=的交点的圆系方程是22()0x y Dx Ey F Ax By C λ+++++++=,λ是待定的系数.3 过圆1C :221110x y D x E y F ++++=与圆2C :222220x y D x E y F ++++=的交点的圆系方程是2222111222()0x y D x E y F x y D x E y F λ+++++++++=,λ是待定的系数.88.点与圆的位置关系点00(,)P x y 与圆222)()(r b y a x =-+-的位置关系有三种若d =则d r >⇔点P 在圆外;d r =⇔点P 在圆上;d r <⇔点P 在圆内.89.直线与圆的位置关系直线0=++C By Ax 与圆222)()(r b y a x =-+-的位置关系有三种:0<∆⇔⇔>相离r d ; 0=∆⇔⇔=相切r d ; 0>∆⇔⇔<相交r d .其中22BA C Bb Aa d +++=.90.两圆位置关系的判定方法设两圆圆心分别为O 1,O 2,半径分别为r 1,r 2,d O O =21条公切线外离421⇔⇔+>r r d ; 条公切线外切321⇔⇔+=r r d ;条公切线相交22121⇔⇔+<<-r r d r r ; 条公切线内切121⇔⇔-=r r d ; 无公切线内含⇔⇔-<<210r r d .91.圆的切线方程1已知圆220x y Dx Ey F ++++=.①若已知切点00(,)x y 在圆上,则切线只有一条,其方程是0000()()022D x xE y y x x y yF ++++++=. 当00(,)x y 圆外时, 0000()()022D x xE y y x x y yF ++++++=表示过两个切点的切点弦方程.②过圆外一点的切线方程可设为00()y y k x x -=-,再利用相切条件求k,这时必有两条切线,注意不要漏掉平行于y 轴的切线.③斜率为k 的切线方程可设为y kx b =+,再利用相切条件求b,必有两条切线.2已知圆222x y r +=.①过圆上的000(,)P x y 点的切线方程为200x x y y r +=;②斜率为k 的圆的切线方程为y kx =±.92.椭圆22221(0)x y a b a b +=>>的参数方程是cos sin x a y b θθ=⎧⎨=⎩.93.椭圆22221(0)x y a b a b+=>>焦半径公式)(21c a x e PF +=,)(22x ca e PF -=.94.椭圆的的内外部1点00(,)P x y 在椭圆22221(0)x y a b a b +=>>的内部2200221x y a b ⇔+<. 2点00(,)P x y 在椭圆22221(0)x y a b a b+=>>的外部2200221x y a b⇔+>. 95. 椭圆的切线方程1椭圆22221(0)x y a b a b +=>>上一点00(,)P x y 处的切线方程是00221x x y ya b +=.2过椭圆22221(0)x y a b a b+=>>外一点00(,)P x y 所引两条切线的切点弦方程是00221x x y ya b+=. 3椭圆22221(0)x y a b a b+=>>与直线0Ax By C ++=相切的条件是22222A aB b c +=.96.双曲线22221(0,0)x y a b a b -=>>的焦半径公式21|()|a PF e x c =+,22|()|a PF e x c=-.97.双曲线的内外部1点00(,)P x y 在双曲线22221(0,0)x y a b a b -=>>的内部2200221x y a b ⇔->. 2点00(,)P x y 在双曲线22221(0,0)x y a b a b-=>>的外部2200221x y a b ⇔-<. 98.双曲线的方程与渐近线方程的关系1若双曲线方程为12222=-b y a x ⇒渐近线方程:22220x y a b -=⇔x aby ±=.2若渐近线方程为x aby ±=⇔0=±b y a x ⇒双曲线可设为λ=-2222b y a x .3若双曲线与12222=-b y a x 有公共渐近线,可设为λ=-2222by a x 0>λ,焦点在x 轴上,0<λ,焦点在y 轴上.99. 双曲线的切线方程1双曲线22221(0,0)x y a b a b -=>>上一点00(,)P x y 处的切线方程是00221x x y ya b -=.2过双曲线22221(0,0)x y a b a b-=>>外一点00(,)P x y 所引两条切线的切点弦方程是00221x x y ya b-=. 3双曲线22221(0,0)x y a b a b-=>>与直线0Ax By C ++=相切的条件是22222A a B b c -=.100. 抛物线px y 22=的焦半径公式抛物线22(0)y px p =>焦半径02p CF x =+.过焦点弦长p x x px p x CD ++=+++=212122.101.抛物线px y 22=上的动点可设为P ),2(2 y py 或或)2,2(2pt pt P P (,)x y ,其中22y px =.102.二次函数2224()24b ac b y ax bx c a x a a-=++=++(0)a ≠的图象是抛物线:1顶点坐标为24(,)24b ac b a a --;2焦点的坐标为241(,)24b ac b a a -+-;3准线方程是2414ac b y a--=.103.抛物线的内外部1点00(,)P x y 在抛物线22(0)y px p =>的内部22(0)y px p ⇔<>. 点00(,)P x y 在抛物线22(0)y px p =>的外部22(0)y px p ⇔>>. 2点00(,)P x y 在抛物线22(0)y px p =->的内部22(0)y px p ⇔<->. 点00(,)P x y 在抛物线22(0)y px p =->的外部22(0)y px p ⇔>->. 3点00(,)P x y 在抛物线22(0)x py p =>的内部22(0)x py p ⇔<>. 点00(,)P x y 在抛物线22(0)x py p =>的外部22(0)x py p ⇔>>. 4 点00(,)P x y 在抛物线22(0)x py p =>的内部22(0)x py p ⇔<>. 点00(,)P x y 在抛物线22(0)x py p =->的外部22(0)x py p ⇔>->. 104. 抛物线的切线方程1抛物线px y 22=上一点00(,)P x y 处的切线方程是00()y y p x x =+.2过抛物线px y 22=外一点00(,)P x y 所引两条切线的切点弦方程是00()y y p x x =+.3抛物线22(0)y px p =>与直线0Ax By C ++=相切的条件是22pB AC =.105.两个常见的曲线系方程1过曲线1(,)0f x y =,2(,)0f x y =的交点的曲线系方程是12(,)(,)0f x y f x y λ+=λ为参数.2共焦点的有心圆锥曲线系方程22221x y a k b k+=--,其中22max{,}k a b <.当22min{,}k a b >时,表示椭圆; 当2222min{,}max{,}a b k a b <<时,表示双曲线.106.直线与圆锥曲线相交的弦长公式 AB =1212||||AB x x y y ==-=-弦端点A ),(),,(2211y xB y x ,由方程⎩⎨⎧=+=0)y ,x (F b kx y 消去y 得到02=++c bx ax ,0∆>,α为直线AB 的倾斜角,k 为直线的斜率.107.圆锥曲线的两类对称问题1曲线(,)0F x y =关于点00(,)P x y 成中心对称的曲线是00(2-,2)0F x x y y -=. 2曲线(,)0F x y =关于直线0Ax By C ++=成轴对称的曲线是22222()2()(,)0A Ax By C B Ax By C F x y A B A B++++--=++. 108.“四线”一方程对于一般的二次曲线220Ax Bxy Cy Dx Ey F +++++=,用0x x 代2x ,用0y y 代2y ,用002x y xy +代xy ,用02x x +代x ,用02y y+代y 即得方程 0000000222x y xy x x y yAx x B Cy y D E F ++++⋅++⋅+⋅+=,曲线的切线,切点弦,中点弦,弦中点方程均是此方程得到.109.证明直线与直线的平行的思考途径 1转化为判定共面二直线无交点; 2转化为二直线同与第三条直线平行; 3转化为线面平行; 4转化为线面垂直; 5转化为面面平行.110.证明直线与平面的平行的思考途径 1转化为直线与平面无公共点; 2转化为线线平行; 3转化为面面平行.111.证明平面与平面平行的思考途径 1转化为判定二平面无公共点; 2转化为线面平行; 3转化为线面垂直.112.证明直线与直线的垂直的思考途径 1转化为相交垂直; 2转化为线面垂直;3转化为线与另一线的射影垂直;4转化为线与形成射影的斜线垂直. 113.证明直线与平面垂直的思考途径 1转化为该直线与平面内任一直线垂直; 2转化为该直线与平面内相交二直线垂直; 3转化为该直线与平面的一条垂线平行; 4转化为该直线垂直于另一个平行平面; 5转化为该直线与两个垂直平面的交线垂直. 114.证明平面与平面的垂直的思考途径 1转化为判断二面角是直二面角; 2转化为线面垂直.115.空间向量的加法与数乘向量运算的运算律 1加法交换律:a +b =b +a .2加法结合律:a +b +c =a +b +c . 3数乘分配律:λa +b =λa +λb .116.平面向量加法的平行四边形法则向空间的推广始点相同且不在同一个平面内的三个向量之和,等于以这三个向量为棱的平行六面体的以公共始点为始点的对角线所表示的向量.117.共线向量定理对空间任意两个向量a 、bb ≠0 ,a ∥b ⇔存在实数λ使a =λb .P A B 、、三点共线⇔||AP AB ⇔AP t AB =⇔(1)OP t OA tOB =-+.||AB CD ⇔AB 、CD 共线且AB CD 、不共线⇔AB tCD =且AB CD 、不共线.118.共面向量定理向量p 与两个不共线的向量a 、b 共面的⇔存在实数对,x y ,使p ax by =+. 推论 空间一点P 位于平面MAB 内的⇔存在有序实数对,x y ,使MP xMA yMB =+, 或对空间任一定点O,有序实数对,x y ,使OP OM xMA yMB =++.119.对空间任一点O 和不共线的三点A 、B 、C,满足OP xOA yOB zOC =++x y z k ++=,则当1k =时,对于空间任一点O ,总有P 、A 、B 、C 四点共面;当1k ≠时,若O ∈平面ABC,则P 、A 、B 、C 四点共面;若O ∉平面ABC,则P 、A 、B 、C 四点不共面.C A B 、、、D 四点共面⇔AD 与AB 、AC 共面⇔AD x AB y AC =+⇔(1)OD x y OA xOB yOC =--++O ∉平面ABC.120.空间向量基本定理 如果三个向量a 、b 、c 不共面,那么对空间任一向量p ,存在一个唯一的有序实数组x,y,z,使p =x a +y b +z c .推论 设O 、A 、B 、C 是不共面的四点,则对空间任一点P,都存在唯一的三个有序实数x,y,z,使OP xOA yOB zOC =++.121.射影公式已知向量AB =a 和轴l ,e 是l 上与l 同方向的单位向量.作A 点在l 上的射影'A ,作B 点在l 上的射影'B ,则''||cos A B AB =〈a ,e 〉=a ·e122.向量的直角坐标运算设a =123(,,)a a a ,b =123(,,)b b b 则 1a +b =112233(,,)a b a b a b +++; 2a -b =112233(,,)a b a b a b ---; 3λa =123(,,)a a a λλλ λ∈R ;4a ·b =112233a b a b a b ++; 123.设A 111(,,)x y z ,B 222(,,)x y z ,则AB OB OA =-= 212121(,,)x x y y z z ---.124.空间的线线平行或垂直 设111(,,)a x y z =,222(,,)b x y z =,则a b ⇔(0)a b b λ=≠⇔121212x x y y z zλλλ=⎧⎪=⎨⎪=⎩;a b ⊥⇔0a b ⋅=⇔1212120x x y y z z ++=.125.夹角公式设a =123(,,)a a a ,b =123(,,)b b b ,则 cos 〈a ,b 〉.推论 2222222112233123123()()()a b a b a b a a a b b b ++≤++++,此即三维柯西不等式.126. 四面体的对棱所成的角四面体ABCD 中, AC 与BD 所成的角为θ,则2222|()()|cos 2AB CD BC DA AC BDθ+-+=⋅.127.异面直线所成角cos |cos ,|a b θ==21||||||a b a b x ⋅=⋅+其中θ090θ<≤为异面直线a b ,所成角,,a b 分别表示异面直线a b ,的方向向量 128.直线AB 与平面所成角sin||||AB marc AB m β⋅=m 为平面α的法向量.129.若ABC ∆所在平面若β与过若AB 的平面α成的角θ,另两边AC ,BC 与平面α成的角分别是1θ、2θ,A B 、为ABC ∆的两个内角,则2222212sin sin (sin sin )sin A B θθθ+=+.特别地,当90ACB ∠=时,有22212sin sin sin θθθ+=.130.若ABC ∆所在平面若β与过若AB 的平面α成的角θ,另两边AC ,BC 与平面α成的角分别是1θ、2θ,''A B 、为ABO ∆的两个内角,则222'2'212tan tan (sin sin )tan A B θθθ+=+.特别地,当90AOB ∠=时,有22212sin sin sin θθθ+=. 131.二面角l αβ--的平面角cos||||m n arc m n θ⋅=或cos||||m narc m n π⋅-m ,n 为平面α,β的法向量. 132.三余弦定理设AC 是α内的任一条直线,且BC ⊥AC,垂足为C,又设AO 与AB 所成的角为1θ,AB 与AC 所成的角为2θ,AO 与AC 所成的角为θ.则12cos cos cos θθθ=.133. 三射线定理若夹在平面角为ϕ的二面角间的线段与二面角的两个半平面所成的角是1θ,2θ,与二面角的棱所成的角是θ,则有22221212sin sin sin sin 2sin sin cos ϕθθθθθϕ=+- ;1212||180()θθϕθθ-≤≤-+当且仅当90θ=时等号成立.134.空间两点间的距离公式 若A 111(,,)x y z ,B 222(,,)x y z ,则,A B d =||AB AB AB =⋅=135.点Q 到直线l 距离h =点P 在直线l 上,直线l 的方向向量a =PA ,向量b =PQ .136.异面直线间的距离||||CD n d n ⋅=12,l l 是两异面直线,其公垂向量为n ,C D 、分别是12,l l 上任一点,d 为12,l l 间的距离.137.点B 到平面α的距离||||AB n d n ⋅=n 为平面α的法向量,AB 是经过面α的一条斜线,A α∈. 138.异面直线上两点距离公式22cos d mn θ=. ',d EA AF =.d ='E AA F ϕ=--.两条异面直线a 、b 所成的角为θ,其公垂线段'AA 的长度为h.在直线a 、b 上分别取两点E 、F,'A E m =,AF n =,EF d =. 139.三个向量和的平方公式2222()222a b c a b c a b b c c a ++=+++⋅+⋅+⋅2222||||cos ,2||||cos ,2||||cos ,a b c a b a b b c b c c a c a =+++⋅+⋅+⋅140. 长度为l 的线段在三条两两互相垂直的直线上的射影长分别为123l l l 、、,夹角分别为123θθθ、、,则有2222123l l l l =++222123cos cos cos 1θθθ⇔++=222123sin sin sin 2θθθ⇔++=.立体几何中长方体对角线长的公式是其特例.141. 面积射影定理'cos S S θ=.平面多边形及其射影的面积分别是S 、'S ,它们所在平面所成锐二面角的为θ.142. 斜棱柱的直截面已知斜棱柱的侧棱长是l ,侧面积和体积分别是S 斜棱柱侧和V 斜棱柱,它的直截面的周长和面积分别是1c 和1S ,则①1S c l =斜棱柱侧. ②1V S l =斜棱柱.143.作截面的依据三个平面两两相交,有三条交线,则这三条交线交于一点或互相平行. 144.棱锥的平行截面的性质如果棱锥被平行于底面的平面所截,那么所得的截面与底面相似,截面面积与底面面积的比等于顶点到截面距离与棱锥高的平方比对应角相等,对应边对应成比例的多边形是相似多边形,相似多边形面积的比等于对应边的比的平方;相应小棱锥与小棱锥的侧面积的比等于顶点到截面距离与棱锥高的平方比.145.欧拉定理欧拉公式2V F E +-=简单多面体的顶点数V 、棱数E 和面数F.1E =各面多边形边数和的一半.特别地,若每个面的边数为n 的多边形,则面数F 与棱数E 的关系:12E nF =; 2若每个顶点引出的棱数为m ,则顶点数V 与棱数E 的关系:12E mV =. 146.球的半径是R,则其体积343V R π=, 其表面积24S R π=.147.球的组合体1球与长方体的组合体:长方体的外接球的直径是长方体的体对角线长. 2球与正方体的组合体:正方体的内切球的直径是正方体的棱长, 正方体的棱切球的直径是正方体的面对角线长, 正方体的外接球的直径是正方体的体对角线长. 3 球与正四面体的组合体:棱长为a ,. 148.柱体、锥体的体积13V Sh =柱体S 是柱体的底面积、h 是柱体的高.13V Sh =锥体S 是锥体的底面积、h 是锥体的高.149.分类计数原理加法原理 12n N m m m =+++. 150.分步计数原理乘法原理 12n N m m m =⨯⨯⨯. 151.排列数公式m n A =)1()1(+--m n n n =!!)(m n n -.n ,m ∈N ,且m n ≤.注:规定1!0=. 152.排列恒等式11(1)m m n n A n m A -=-+;21mmn n n A A n m -=-; 311m m n n A nA --=;411n n nn n n nA A A ++=-; 511m m m n n n A A mA -+=+.6 1!22!33!!(1)!1n n n +⋅+⋅++⋅=+-.153.组合数公式m nC =m n m mA A =m m n n n ⨯⨯⨯+-- 21)1()1(=!!!)(m n m n -⋅n ∈N ,m N ∈,且m n ≤. 154.组合数的两个性质 1mn C =mn nC - ; 2 m n C +1-m nC =mn C 1+.注:规定10=n C .155.组合恒等式111mm n n n m C C m --+=; 21m mn n n C C n m -=-;311mm n n n C C m--=;4∑=nr r nC0=n2;51121++++=++++r n r n r r r r r rC C C C C . 6n n n r n n n n C C C C C 2210=++++++ . 714205312-+++=+++n n n n n n n C C C C C C . 81321232-=++++n n n n n n n nC C C C . 9rn m r n r m n r m n r m C C C C C C C +-=+++0110 . 10nn n n n n n C C C C C 22222120)()()()(=++++ .156.排列数与组合数的关系m m n n A m C =⋅! .157.单条件排列以下各条的大前提是从n 个元素中取m 个元素的排列. 1“在位”与“不在位”①某特元必在某位有11--m n A 种;②某特元不在某位有11---m n m n A A 补集思想1111---=m n n A A 着眼位置11111----+=m n m m n A A A 着眼元素种.2紧贴与插空即相邻与不相邻①定位紧贴:)(n m k k ≤≤个元在固定位的排列有km k n k k A A --种.②浮动紧贴:n 个元素的全排列把k 个元排在一起的排法有kk k n k n A A 11+-+-种.注:此类问题常用捆绑法;③插空:两组元素分别有k 、h 个1+≤h k ,把它们合在一起来作全排列,k 个的一组互不能挨近的所有排列数有kh h h A A 1+种.3两组元素各相同的插空m 个大球n 个小球排成一列,小球必分开,问有多少种排法当1+>m n 时,无解;当1+≤m n 时,有n m n nn m C A A 11++=种排法.4两组相同元素的排列:两组元素有m 个和n 个,各组元素分别相同的排列数为nn m C +. 158.分配问题1平均分组有归属问题将相异的m 、n 个物件等分给m 个人,各得n 件,其分配方法数共有mnn nn nn mn nn mn nmn n mn C C C C C N )!()!(22=⋅⋅⋅⋅⋅=-- . 2平均分组无归属问题将相异的m ·n 个物体等分为无记号或无顺序的m 堆,其分配方法数共有mn nn n n n mn n n mn n mn n m mn m C C C C C N )!(!)!(!...22=⋅⋅⋅⋅=--.3非平均分组有归属问题将相异的)12m P(P=n +n ++n 个物体分给m 个人,物件必须被分完,分别得到1n ,2n ,…,m n 件,且1n ,2n ,…,m n 这m 个数彼此不相等,则其分配方法数共有!!...!!!! (212)11m n n n n p n p n n n m p m C C C N m m =⋅⋅=-.4非完全平均分组有归属问题将相异的)12m P(P=n +n ++n 个物体分给m 个人,物件必须被分完,分别得到1n ,2n ,…,m n 件,且1n ,2n ,…,m n 这m 个数中分别有a 、b 、c 、…个相等,则其分配方法数有!...!!!...211c b a m C C C N m m n n n n p n p ⋅⋅=- 12!!!!...!(!!!...)m p m n n n a b c =.5非平均分组无归属问题将相异的)12m P(P=n +n ++n 个物体分为任意的1n ,2n ,…,mn 件无记号的m 堆,且1n ,2n ,…,m n 这m 个数彼此不相等,则其分配方法数有!!...!!21m n n n p N =.6非完全平均分组无归属问题将相异的)12m P(P=n +n ++n 个物体分为任意的1n ,2n ,…,m n 件无记号的m 堆,且1n ,2n ,…,m n 这m 个数中分别有a 、b 、c 、…个相等,则其分配方法数有!...)!!(!!...!!21c b a n n n p N m =.7限定分组有归属问题将相异的p 2m p n n n =1+++个物体分给甲、乙、丙,……等m个人,物体必须被分完,如果指定甲得1n 件,乙得2n 件,丙得3n 件,…时,则无论1n ,2n ,…,m n 等m 个数是否全相异或不全相异其分配方法数恒有!!...!! (212)11m n n n n p n p n n n p C C C N m m =⋅=-.159.“错位问题”及其推广贝努利装错笺问题:信n 封信与n 个信封全部错位的组合数为。
高中数学所有公式大总结高中数学涉及的公式很多,不同的章节和知识点都有对应的公式,掌握这些公式是解题的基础。
下面将对高中数学中常用的各个章节的公式进行总结。
1. 代数基本公式:- 二次方程的根公式:对于二次方程ax^2+bx+c=0,根的公式为x=(-b±√(b^2-4ac))/(2a)。
- 一次方程求解公式:对于一次方程ax+b=0,解为x=-b/a。
- 直线的斜率公式:对于直线y=kx+b,其斜率为k。
- 等差数列通项公式:对于等差数列an=a1+(n-1)d,其中an表示第n个数,a1表示首项,d表示公差。
- 等比数列通项公式:对于等比数列an=a1*r^(n-1),其中an表示第n个数,a1表示首项,r表示公比。
2. 平面几何公式:- 长方形面积公式:面积为长乘以宽,即A=lw。
- 正方形面积公式:面积为边长的平方,即A=s^2。
- 三角形面积公式:面积为底乘以高的一半,即A=1/2bh。
- 三角形海伦公式:对于已知三角形三边长a、b、c,其面积可以由海伦公式计算:A=√(s(s-a)(s-b)(s-c)),其中s为半周长(s=(a+b+c)/2)。
- 直角三角形勾股定理:直角三角形两直角边的平方和等于斜边的平方,即a^2+b^2=c^2。
3. 解析几何公式:- 两点之间的距离公式:对于平面上两点的坐标分别为(x1, y1)和(x2, y2),两点之间的距离为d=√((x2-x1)^2+(y2-y1)^2)。
- 点到直线的距离公式:对于直线Ax+By+C=0和平面上的点P(x0, y0),点P 到直线的距离为d=|Ax0+By0+C|/√(A^2+B^2)。
- 两直线夹角的余弦公式:对于直线y=k1x+b1和直线y=k2x+b2,两直线夹角的余弦为cosθ=(k1k2+1)/√((k1^2+1)(k2^2+1))。
4. 概率与统计公式:- 事件的概率公式:对于事件A,其概率表示为P(A)。
高中数学所有公式大总结高中数学是一门重要的学科,其中涉及了许多公式和定理。
这些公式和定理帮助学生解决各种数学问题,以及在日常生活中应用数学知识的能力。
一、代数公式:1. 一元二次方程的求根公式:对于一元二次方程ax^2 + bx + c = 0,其求根公式为 x = (-b ±√(b^2 - 4ac)) / (2a)。
2. 因式分解公式:将一个多项式进行因式分解,以简化计算或解决方程的过程。
3. 比例与相似性公式:包括比例的定义、比例的性质以及相似三角形的性质和判定方法。
4. 二项式定理:展开一个二项式的幂,即(a + b)^n = C(n,0) * a^n * b^0 + C(n,1) * a^(n-1) * b^1 + ... + C(n,n) * a^0 * b^n。
二、几何公式:1. 直角三角形的勾股定理:对于直角三角形,满足a^2 + b^2 = c^2,其中a和b是直角边,c是斜边。
2. 三角函数的基本关系:包括正弦定理、余弦定理和正切定理,用于解决三角形的边长和角度之间的关系。
3. 圆的面积和周长公式:圆的面积公式为A = πr^2,圆的周长公式为C = 2πr,其中r是圆的半径。
4. 三角形的面积公式:三角形的面积公式为A = 1/2 * b * h,其中b是底边长,h是对应的高。
三、微积分与导数:1. 导数的定义与性质:导数表示函数在某一点的变化率,可以用于求函数的极值、曲线的切线等问题。
2. 基本导数公式:例如常数函数的导数为0,幂函数的导数为n * x^(n-1),指数函数的导数为e^x。
3. 导数的四则运算法则:包括求和、差、乘积和商的导数法则,用于求复合函数的导数。
四、概率与统计公式:1. 排列组合公式:包括排列数公式P(n,r) = n! / (n-r)!和组合数公式C(n,r) = n! / (r! * (n-r)!),用于计算事件的可能性。
2. 期望与方差公式:期望表示随机变量的平均值,方差表示随机变量的离散程度,用于描述随机事件的分布情况。
一、数字特性掌握一些最基本的数字特性规律,有利于我们迅速的解题。
(下列规律仅限自然数内讨论)(一)奇偶运算基本法则【基础】奇数±奇数=偶数;偶数±偶数=偶数;偶数±奇数=奇数;奇数±偶数=奇数。
【推论】1.任意两个数的和如果是奇数,那么差也是奇数;如果和是偶数,那么差也是偶数。
2.任意两个数的和或差是奇数,则两数奇偶相反;和或差是偶数,则两数奇偶相同。
(二)整除判定基本法则1.能被2、4、8、5、25、125整除的数的数字特性能被2(或5)整除的数,末一位数字能被2(或5)整除;能被4(或25)整除的数,末两位数字能被4(或25)整除;能被8(或125)整除的数,末三位数字能被8(或125)整除;一个数被2(或5)除得的余数,就是其末一位数字被2(或5)除得的余数;一个数被4(或25)除得的余数,就是其末两位数字被4(或25)除得的余数;一个数被8(或125)除得的余数,就是其末三位数字被8(或125)除得的余数。
2.能被3、9整除的数的数字特性能被3(或9)整除的数,各位数字和能被3(或9)整除。
一个数被3(或9)除得的余数,就是其各位相加后被3(或9)除得的余数。
3.能被11整除的数的数字特性能被11整除的数,奇数位的和与偶数位的和之差,能被11整除。
(三)倍数关系核心判定特征如果a∶b=m∶n(m,n互质),则a是m的倍数;b是n的倍数。
如果x=mny(m,n互质),则x是m的倍数;y是n的倍数。
如果a∶b=m∶n(m,n互质),则a±b应该是m±n的倍数。
二、乘法与因式分解公式正向乘法分配律:(a+b)c=ac+bc;逆向乘法分配律:ac+bc=(a+b)c;(又叫“提取公因式法”)平方差:a^2-b^2=(a-b)(a+b);完全平方和/差:(a±b)^2=a^2±2ab+b^2;立方和:a^3+b^3=(a+b)(a^2-ab+b^2);立方差:a^3-b^3=(a-b)(a^2+ab+b^2);完全立方和/差:(a±b)^3=a^3±3a^2b+3ab^2±b^3;等比数列求和公式:S=a1(1-q^n)/(1-q) (q≠1);等差数列求和公式:Sn=na1+n(n-1)d/2或Sn=n(a1+an)/2。
小学数学公式大全第一部分小学数学图形计算公式1 、正方形C周长S面积a边长周长=边长×4 C=4a面积=边长×边长S=a×a2 、正方体V:体积a:棱长表面积=棱长×棱长×6 S表=a×a×6体积=棱长×棱长×棱长V=a×a×a3 、长方形C周长S面积a边长周长=(长+宽)×2 C=2(a+b)面积=长×宽S=ab4 、长方体V:体积s:面积a:长b: 宽h:高(1)表面积(长×宽+长×高+宽×高)×2 S=2(ab+ah+bh)(2)体积=长×宽×高V=abh5、三角形s面积a底h高面积=底×高÷2 s=ah÷2三角形高=面积×2÷底三角形底=面积×2÷高6、平行四边形s面积a底h高面积=底×高s=ah7、梯形s面积a上底b下底h高面积=(上底+下底)×高÷2 s=(a+b)× h÷28、圆形S面积C周长圆周率π直径d 半径r (1) 直径=半径×2 d=2r半径=直径÷2 r= d÷2(2)周长=直径×圆周率=2×圆周率×半径C=πd=2πr(3)面积=半径×半径×圆周率S=πr29、圆柱体体积v 高h 底面积s 底面半径r 底面周长c(1)侧面积=底面周长×高S=ch=πdh=2πrh(2)表面积=侧面积+底面积×2S= ch+2s =πdh +2πr2 =2π(d÷2)h+ 2π(d÷2)2(3)体积=底面积×高V=ShV=πr 2h=π(d÷2)2 h(4)体积=侧面积÷2×半径10、圆锥体v:体积h:高s;底面积r:底面半径体积=底面积×高÷3V=Sh÷3=πr h÷3=π(d÷2) h÷3=π(C÷2÷π) h÷311、三角形内角和=180度。
高中数学公式大全总结在高中数学学习中,数学公式是学生们必须掌握的重要知识点之一。
数学公式的掌握不仅有助于学生们解决数学题目,还能够帮助他们理解数学知识的内在逻辑和规律。
因此,本文将对高中数学中常见的公式进行总结,帮助学生们更好地掌握数学知识。
一、代数部分。
1. 一元二次方程的解法:一元二次方程的一般形式为ax^2 + bx + c = 0,其解法包括因式分解法、配方法、公式法等。
2. 二项式定理:(a + b)^n = C(n,0)a^n + C(n,1)a^(n-1)b + C(n,2)a^(n-2)b^2 + ... + C(n,n-1)ab^(n-1) + C(n,n)b^n。
3. 等差数列前n项和公式:Sn = (a1 + an) n / 2。
4. 等比数列前n项和公式:Sn = a1 (1 q^n) / (1 q)。
5. 平面直角坐标系中两点距离公式:AB = √((x2 x1)^2 + (y2 y1)^2)。
二、几何部分。
1. 直线与平面的位置关系:直线与平面的位置关系包括相交、平行、重合等情况,可以通过公式和几何图形进行判断。
2. 圆的相关公式:圆的面积公式为S = πr^2,周长公式为C = 2πr。
3. 三角形的面积公式:三角形的面积可以通过海伦公式、两边夹角的正弦公式等进行计算。
4. 直角三角形中的三角函数公式:sinθ = 对边 / 斜边,cosθ = 邻边 / 斜边,tanθ = 对边 / 邻边。
5. 圆锥、圆柱、球体的体积和表面积公式:圆锥的体积V = (1/3)πr^2h,圆柱的体积V = πr^2h,球体的体积V = (4/3)πr^3,表面积S = 4πr^2。
三、概率与统计部分。
1. 事件的概率计算公式:P(A) = n(A) / n(S),其中P(A)表示事件A发生的概率,n(A)表示事件A的样本点个数,n(S)表示样本空间的样本点个数。
2. 二项分布的概率计算公式:P(X=k) = C(n,k) p^k (1-p)^(n-k),其中X表示成功次数,n表示试验次数,p 表示每次试验成功的概率。
常用数学公式数学是一门基础学科,它涉及到了很多的公式和定理。
在数学的各个分支中,有一些公式是非常常用的,几乎在每个数学问题中都会用到。
下面是一些常用的数学公式:1. 二次方程的根:对于二次方程ax²+bx+c=0,它的根可以通过求根公式来得到。
对于实数根,公式为:x=(-b±√(b²-4ac))/2a。
对于复数根,公式为:x=(-b±i√(4ac-b²))/2a。
2. 同余定理:如果两个整数a和b除以正整数m得到的余数相同,那么称a与b关于模m同余,记作a ≡ b (mod m)。
同余定理包括加法同余定理、乘法同余定理和幂同余定理。
3.欧拉公式:对于任何一个凸多面体,它的面数F、顶点数V和边数E之间有着如下关系:F+V=E+2、这个公式被称为欧拉公式,是立体几何中非常重要的公式。
4.边界值定理:对于连续函数f(x)和定义在[a,b]上的连续函数g(x),如果在(a,b)内f(x)≤g(x),那么必然存在一些点c∈(a,b),使得f(c)=g(c)。
5.泰勒展开:如果函数f(x)在x=a处存在各阶导数,则对于任意整数n,函数f(x)在x=a处的n阶泰勒展开式为:f(x)=f(a)+f'(a)(x-a)/1!+f''(a)(x-a)²/2!+...+f⁽ⁿ⁾(a)(x-a)ⁿ/n!+R⁽ⁿ⁺¹⁾(x),其中R⁽ⁿ⁺¹⁾(x)为余项。
6. 复数的欧拉公式:对于任意一个复数z,它可以表示为z=r(cosθ+isinθ),其中r为模长,θ为幅角。
这个公式被称为复数的欧拉公式。
7.向量叉乘的模长:对于二维向量a=(a₁,a₂)和b=(b₁,b₂),它们的叉乘的模长为,a×b,=,a₁b₂-a₂b₁。
8. 三角函数的和差公式:sin(a±b)=sinacosb±cosasinb,cos(a±b)=cosacosb∓sinasinb,tan(a±b)=(tana±tanb)/(1∓tana*tanb)。
MBA数学公式汇总在 MBA 的学习和考试中,数学部分占据着重要的地位。
掌握一系列关键的数学公式,对于解题和取得好成绩至关重要。
以下是为大家汇总的一些常见且重要的 MBA 数学公式。
一、算术部分1、加法和乘法原理加法原理:如果完成一件事有 n 类办法,在第 1 类办法中有 m1 种不同的方法,在第 2 类办法中有 m2 种不同的方法,……,在第 n 类办法中有 mn 种不同的方法,那么完成这件事共有 N = m1 + m2 +… + mn 种不同的方法。
乘法原理:如果完成一件事需要 n 个步骤,做第 1 步有 m1 种不同的方法,做第 2 步有 m2 种不同的方法,……,做第 n 步有 mn 种不同的方法,那么完成这件事共有 N =m1 × m2 × … × mn 种不同的方法。
2、排列与组合排列数公式:Anm = n! /(n m)!(n ≥ m)组合数公式:Cnm = n! / m! ×(n m)!3、等差数列通项公式:an = a1 +(n 1)d前 n 项和公式:Sn = n(a1 + an) / 2 = na1 + n(n 1)d / 24、等比数列通项公式:an = a1 × q^(n 1)前 n 项和公式:当q ≠ 1 时,Sn = a1(1 q^n) /(1 q);当 q = 1 时,Sn = na1二、代数部分1、一元二次方程标准式:ax^2 + bx + c = 0 (a ≠ 0)求根公式:x =b ± √(b^2 4ac) /(2a)根与系数的关系(韦达定理):x1 + x2 = b / a,x1 × x2 = c /a2、函数一次函数:y = kx + b (k、b 为常数,k ≠ 0)二次函数:y = ax^2 + bx + c (a ≠ 0)反比例函数:y = k / x (k 为常数,k ≠ 0)3、不等式基本不等式:对于任意正实数 a、b,有 a +b ≥ 2√(ab)一元二次不等式的解法:先求出对应的一元二次方程的根,然后根据二次函数的图像确定不等式的解集。
数学总结—公式大全1.代数方面的公式1.1 一次方程:ax + b = 0,其中a≠0。
1.2 二次方程:ax² + bx + c = 0,其中a≠0。
1.3 一元二次不等式:ax² + bx + c > 0或ax² + bx + c < 0。
1.4勾股定理:a²+b²=c²,其中a、b为直角三角形的两条直角边,c 为斜边。
1.5 二项式定理:(a + b)ⁿ = C(n,0)aⁿ + C(n,1)aⁿ⁻¹b + ... +C(n,n-1)abⁿ⁻¹ + C(n,n)bⁿ,其中C(n,k)表示组合数。
1.6四则运算规则:加法:a+b=b+a,乘法:a×b=b×a。
2.几何方面的公式2.1 三角形面积公式:S = 1/2bh,其中S表示三角形的面积,b表示底边的长度,h表示高。
2.2直角三角形三边关系:a²+b²=c²,其中a、b为直角三角形的两条直角边,c为斜边。
2.3 正弦定理:a/sinA = b/sinB = c/sinC = 2R,其中a、b、c为三角形的边长,A、B、C为对应的内角,R为三角形外接圆的半径。
2.4 余弦定理:c² = a² + b² - 2abcosC,其中a、b、c为三角形的边长,C为对应的内角。
2.5 面积公式:三角形面积S = 1/2absinC,其中a、b为三角形的两条边,C为对应的夹角。
2.6弧长公式:L=rθ,其中L表示弧长,r表示弧的半径,θ表示圆心角的度数。
3.微积分方面的公式3.1 导数定义:f'(x) = lim (f(x + h) - f(x))/h,其中f'(x)表示函数f(x)在x处的导数。
3.2导数的基本运算法则:常数法则、乘法法则、除法法则、链式法则等。
3.3反函数导数:(f⁻¹)'(y)=1/f'(x),其中f⁻¹表示f的反函数。
数学公式重要数学公式及其推导数学公式:重要数学公式及其推导数学作为一门科学,运用严谨的逻辑与精确的语言,表达了众多的数学概念和数学定理。
其中,数学公式作为数学推理和计算的基础,具有重要的意义。
本文将介绍一些重要的数学公式,并对其推导过程进行详细阐述。
一、勾股定理勾股定理是数学中最重要的定理之一,描述了直角三角形的边之间的关系。
其公式为:a² + b² = c²其中,a、b表示直角三角形的两个直角边的长度,c表示斜边的长度。
推导过程:(这里省略具体推导过程)二、欧拉公式欧拉公式是数学中非常重要的公式,将五个基本数学常数联系在一起,具有优雅的结构。
其公式为:e^(iπ) + 1 = 0其中,e表示自然对数的底,i表示虚数单位,π表示圆周率。
推导过程:(这里省略具体推导过程)三、泰勒级数泰勒级数是一种用无穷多项式表示某个函数的方法,具有广泛的应用。
其公式为:f(x) = f(a) + f'(a)(x-a) + f''(a)(x-a)²/2! + f'''(a)(x-a)³/3! + ...其中,f(x)表示函数,a表示展开点,f'(x)表示函数f(x)的一阶导数。
推导过程:(这里省略具体推导过程)四、傅里叶级数傅里叶级数是一种将周期函数展开为正弦和余弦函数之和的方法,被广泛应用于信号处理和频谱分析中。
其公式为:f(x) = a₀/2 + ∑[aₙcos(nωx) + bₙsin(nωx)]其中,a₀、aₙ、bₙ为系数,ω为角频率。
推导过程:(这里省略具体推导过程)五、导数的定义导数是微积分中重要的概念,描述了函数在某一点处的变化率。
其公式为:f'(x) = lim(h→0) [f(x+h) - f(x)] / h其中,f'(x)表示函数f(x)在点x处的导数。
推导过程:(这里省略具体推导过程)六、微分常见公式微分是微积分的重要内容,用于描述函数的变化。
全国最专业、最权威公考培训机构公务员考试中数学运算的基本公式及定理一 基本运算定律及公式加法交换律: a+b=b+a加法结合律: (a+b ) +c=a+(b+c ) 乘法交换律: ab=ba乘法结合律: (ab ) c=a (bc )乘法分配律: (a+b ) c=ac+bc 乘方运算律: a pap, a 01(a 0);a mn (a m )n (a n )m ; (a )n a n( a 0 ,b 0); (ab)m a m b m ;nma na 2b 2 (a b)(a b) a 3 b 3 (a b)(a 2 ab b 2 )(a b)2 a 2 2ab b 2(a b)3 a 3 3a 2b 3ab 2 b 3二 常见代数公式1.一元二次方程根与系数的关系 (韦达定理):设 x 1,x 2 是方程 ax 2bx c 0(a 0)的两个根,则 x 1x2, x x 。
2.不等式的性质及应用:不等式的性质:a m n a m a n ; a m 平方差公式:立方和(差)公式:则 ac>bd , ;完全立方公式:1(4) 若 a>b ,c>0,则 ac>bc, ;若 a>b ,c<0,则 ac<bc , ;若 a>b>0,c>d>0, 1 2c a b a b b n(1)若a-b>0,则 a>b;若a-b=0,则a=b;若a-b<0,则 a<b。
(2)若a c,c b,则a b。
(传递性)(3)若a b,则a±c b±c;若a≥b,c≥d,则a+c≥b+d,a-d≥b-c;(可加性)a b a bc c c ca bd c(5)若a>b>0,则a n>b n (n>1);若a>b>0,则n a>n b (n>1)。
重要不等式:全国最专业、最权威公考培训机构(1) a 0,b 0 ,a b2 ab (当且仅当 a b 时,等号成立)。
数学中的常见公式和定理数学是一门研究数量、结构、变化以及空间等概念的学科,被认为是自然科学的基石之一。
在数学的研究过程中,人们总结出了许多重要的公式和定理,这些公式和定理不仅是数学领域的基础,也被广泛应用于其他学科和实际生活中。
本文将介绍几个数学中常见的公式和定理,帮助读者更好地理解数学的重要性。
一、勾股定理勾股定理是古希腊数学家毕达哥拉斯提出的,它是几何学中最重要的定理之一。
勾股定理的表达方式是:在一个直角三角形中,斜边的平方等于两个直角边的平方之和。
可以用以下公式来表示:c² = a² + b²其中,c表示斜边的长度,a和b分别表示直角边的长度。
勾股定理被广泛应用于几何学和物理学等领域,用于计算三角形的边长和角度,以及直角坐标系的旋转等问题。
二、牛顿-莱布尼兹公式牛顿-莱布尼兹公式是微积分中的重要公式,描述了函数的导数与定积分之间的关系。
牛顿-莱布尼兹公式的表达方式如下:∫a˚(b) f'(x) dx = f(b) - f(a)其中,f(x)表示函数f的原函数,f'(x)表示函数f的导数。
公式的意义是,在函数f在闭区间[a, b]上可导的情况下,函数f在[a, b]上的定积分等于函数f在区间端点的函数值之差。
牛顿-莱布尼兹公式是微积分的基础,被广泛应用于物理学、工程学等领域,用于计算曲线的面积、质心位置等问题。
三、欧拉公式欧拉公式是数学中最重要的公式之一,它将三个基本数学常数(自然对数的底e、虚数单位i和π)联系在一起。
欧拉公式的表达方式如下:e^ix = cos(x) + i sin(x)其中,e表示自然对数的底,i表示虚数单位,x表示一个实数。
欧拉公式的意义是,任何一个实数x都可以用余弦和正弦函数的线性组合表示。
欧拉公式是数学分析和复变函数等领域的重要工具,应用广泛于数学、物理学和工程学等领域。
四、费马大定理费马大定理是数论中的一项重要定理,由法国数学家费尔马提出并得到了众多数学家的重视。
1— 5年级数学公式、定律、法则大全1、加法交换律 :两数相加交换加数的位置 , 和不变。
2、加法结合律:三个数相加,先把前两个数相加,或先把后两个数相加,再同第三个数相加,和不变。
3、乘法交换律:两数相乘,交换因数的位置,积不变。
4、乘法结合律:三个数相乘,先把前两个数相乘,或先把后两个数相乘,再和第三个数相乘,它们的积不变。
5、乘法分配律:两个数的和同一个数相乘,可以把两个加数分别同这个数相乘,再把两个积相加,结果不变。
如:(2+4×5=2×5+4×5。
6、除法的性质:在除法里,被除数和除数同时扩大(或缩小相同的倍数,商不变。
0除以任何不是 0的数都得 0。
简便乘法:被乘数,乘数末尾有 O 的乘法,可以先把 O 前面的相乘,零不参加运算,有几个零都落下,添在积的末尾。
第三部分:几何体。
1、正方形正方形的周长 =边长×4 公式:C=4a正方形的面积 =边长×边长公式:S=a×a2、长方形长方形的周长 =(长 +宽×2 公式:C=(a+b×2长方形的面积 =长×宽公式:S=a×b3、三角形三角形的面积 =底×高÷2。
公式:S= a×h ÷24、平行四边形平行四边形的面积 =底×高公式:S= a×h5、梯形梯形的面积 =(上底 +下底×高÷2 公式:S=(a+b h ÷2 小学数学应用题常用公式大全1、【和差问题公式】 (和 +差 ÷2=较大数;(和 -差 ÷2=较小数。
2、【和倍问题公式】和 ÷(倍数 +1=一倍数;一倍数 ×倍数 =另一数,或和 -一倍数 =另一数。
3、【差倍问题公式】差 ÷(倍数 -1=较小数;较小数 ×倍数 =较大数,或较小数 +差 =较大数。
数学公式大全数学作为一门科学,有着丰富的理论和方法,其中最为重要的莫过于数学公式。
数学公式通过简洁的符号表示,能够准确表达各种数学关系和定理,是数学研究和应用不可或缺的工具。
下面将介绍一些常用的数学公式,以帮助读者更好地理解和应用数学知识。
一、代数公式1. 一次方程的求解公式:对于方程ax + b = 0,其中a、b为已知常数且a ≠ 0,解x的公式是x = - b / a。
2. 二次方程的求解公式:对于方程ax² + bx + c = 0,其中a、b、c为已知常数且a ≠ 0,解x 的公式是:x = ( -b ± √(b² - 4ac) ) / 2a3. 勾股定理:对于直角三角形,斜边的平方等于两直角边的平方和。
即a² + b²= c²,其中a、b为直角边,c为斜边。
二、几何公式1. 面积公式:- 三角形的面积公式:对于三角形,面积S等于底乘以高的一半。
即S = (1/2) * 底 * 高。
- 矩形的面积公式:对于矩形,面积S等于长乘以宽。
即S = 长 * 宽。
- 正方形的面积公式:对于正方形,面积S等于边长的平方。
即S = 边长²。
- 圆的面积公式:对于圆,面积S等于半径的平方乘以π(圆周率)。
即S = π * 半径²。
2. 体积公式:- 立方体的体积公式:对于立方体,体积V等于边长的立方。
即V = 边长³。
- 圆柱体的体积公式:对于圆柱体,体积V等于底面积乘以高。
即V = 圆的面积 * 高。
- 球体的体积公式:对于球体,体积V等于4/3乘以π乘以半径的立方。
即V = (4/3) * π * 半径³。
三、微积分公式1. 导数公式:- 基本导数公式:- (常数函数导数准则)(k)' = 0,其中k为常数;- (幂函数导数准则)(x^n)' = nx^(n-1),其中n为正整数;- (指数函数导数准则)(a^x)' = ln(a) * a^x,其中a为大于0且不等于1的常数;- (对数函数导数准则)(logₐ(x))' = 1 / (x * ln(a)),其中a为大于0且不等于1的常数。
基本公式原理汇总
1、鸡兔同笼:鸡数=(兔的脚数×总头数–总脚数)÷(兔的脚数-鸡的脚数)
2、和倍问题:数量和÷对应的倍数和=“1”倍量;差倍问题:数量差÷对应的倍数差=“1”倍量;和差问题:大数=(数量和+数量差)÷2,小数=(数量和-数量差)÷2。
3、牛吃草问题:生长量=(较长时间×长时间牛头数-较短时间×短时间牛头数)÷(长时间-短时间);总草量=较长时间×长时间牛头数-较长时间×生长量;
4、抽屉原则一:如果把(m×n)个物体放在n个抽屉里,那么必有一个抽屉中至少放有m 个物体。
抽屉原则二:如果把(m×n+k)个物体放在n个抽屉里,其中k<m,那么必有一个抽屉中至少放有m+1个物体。
5、年龄问题的三个基本特征:①两个人的年龄差是不变的;②两个人的年龄是同时增加或者同时减少的;③两个人的年龄的倍数是发生变化的;
6、等差数列:末项=首项+(项数一1)×公差;数列和=(首项+末项)×项数÷2;
项数=(末项-首项)÷公差+1;公差=(末项-首项)÷(项数-1)。
十进制化成二进制:根据二进制满2进1的特点,用2连续去除这个数,直到商为0,然后把每次所得的余数按自下而上依次写出即可。
7、数线段规律:总数=1+2+3+…+(点数一1);数角规律=1+2+3+…+(射线数一1);数长方形规律:个数=长的线段数×宽的线段数。
数正方形的方法:把长边上分m等份,宽边上n 等份m×n+(m-1)×(n-1)+(m-2)×(n-2) +……+(m-n+1)×1(依次减1)
8、最大公约数基本方法:每一次都用除数和余数相除,能够整除的那个余数,就是所求的最大公约数。
9、整除判断方法:
a、能被2、5整除:末位上的数字能被2、5整除;能被4、25整除:末两位的数字所组成的数能被4、25整除;能被8、125整除:末三位的数字所组成的数能被8、125整除;能被3、9整除:各个数位上数字的和能被3、9整除。
b、能被7整除:
①末三位上数字所组成的数与末三位以前的数字所组成数之差能被7整除;
②逐次去掉最后一位数字并减去末位数字的2倍后能被7整除。
c、能被11整除:
①末三位上数字所组成的数与末三位以前的数字所组成的数之差能被11整除。
②奇数位上的数字和与偶数位数的数字和的差能被11整除。
③逐次去掉最后一位数字并减去末位数字后能被11整除。
d、能被13整除:
①末三位上数字所组成的数与末三位以前的数字所组成的数之差能被13整除。
②逐次去掉最后一位数字并减去末位数字的9倍后能被13整除。
11、完全平方数特征:末位数字只能是:0、1、4、5、6、9;除以3余0或余1;除以4余0或余1;奇数的平方的十位数字为偶数;
12、综合行程:
相遇路程=速度和×相遇时间、追及时间=路程差÷速度差、
顺水行程=(船速+水速)×顺水时间、逆水行程=(船速-水速)×逆水时间
顺水速度=船速+水速、逆水速度=船速-水速、
静水速度=(顺水速度+逆水速度)÷2、水速=(顺水速度-逆水速度)÷2
13、时钟问题:
a、追及距离(格数)÷速度差(1-1/12)=时间
b、两针与某时刻距离相等公式:两针在某时刻的同一边时为追及问题;两针在某时刻的两旁时则假设为相遇问题:格数÷(1+1/12)=时间
c、镜子中的时刻:镜子中与实际时针只需将分针与时针互换
d、时针与分针成多少度公式:时针点数×5×6°-分针点数×5.5°
e、从0点到12点时针与分针共重合11次;从0点到12点时针与分针共22次成直角
14、循环小数:
①纯循环小数小数部分化成分数:将一个循环节的数字组成的数作为分子,分母的各位都是9,9的个数与循环节的位数相同,最后能约分的再约分。
②混循环小数小数部分化成分数:分子是第二个循环节以前的小数部分的数字组成的数与不循环部分的数字所组成的数之差,分母的头几位数字是9,9的个数与一个循环节的位数相同,末几位是0,0的个数与不循环部分的位数相同。
分数转化成循环小数的判断方法:
①一个最简分数,如果分母中既含有质因数2和5,又含有2和5以外的质因数,那么这个分数化成的小数必定是混循环小数。
②一个最简分数,如果分母中只含有2和5以外的质因数,那么这个分数化成的小数必定是纯循环小数。
15、从1开始的连续自然数的平方求和公式:21+22+23+……2n =1/6×n ×(n+1)×(2n+1)
从1开始的连续奇数的求平方和公式:21+23+25+……(2n -1)2 =1/3×n ×(2n+1)×(2n-1)
从2开始的连续偶数的平方求和公式:22+24+26+……+(2n)2 = 2/3×n ×(n+1)×(2n+1) 从1开始连续自然数的立方求和公式: 13+23+33+……+n 3 = (1+2+3+……+n )2
1+2+3+……+n ……+3+2+1=2n 16、等比数列求和公式:S=(末项×公比-首项)÷(公比-1) 17、裂项公式:①
)1(1+⨯n n =n 1-11+n ;)
(1k n n +⨯=(n 1-k n +1)×k 1; b a b a ⨯+=1a +b 1;)2()1(1+⨯+⨯n n n = [)
1(1+⨯n n -)2()1(1+⨯+n n ] ×21;)2()(1d n d n n +⨯+⨯= [)(1d n n +⨯-)
2()(1d n d n +⨯+]×d 21 18、a ÷a 1+a a =1÷11+a a =2
1++a a 19、1×2+2×3+3×4+……+n ×(n +1) = 3
1n ·(n +1) ·(n +2) 20、n 条直线最多有1+2+3+4+……+n = 2
1n ·(n -1)个交点 21、N 条直线最多把平面分成多少部分:(切西瓜公式) 1+21n ·(n +1); n 个圆最多有多少个交点公式:n ·(n -1)
22、一个数可以拆成若干个连续自然数的和,有(这个数的奇约数的个数-1)种不同方法。
23、把自然数n 拆成几个自然数相加的和,要使乘积最大的方法是:
用这个数除以3,余0、1、2三种情况,余0时,拆成3+3+……+3的形式,乘积最大3×3×……×3;余1时,拆成3+3+……+3+(3+1)时,乘积最大3×3×……×3×(3+1)时乘积最大;余2时,拆成3+3+……+3+(3+2)时,乘积最大是3×3×……×3×2。
24、两数积一定,差越小,和越小;两数和一定,差越小,积越大
25、幻方口诀:一居首行正中央,依次斜向右上方,右出框时左边写,上出框时下边放,双出占位写下方
26、余数的性质:
①、若a 、b 除以c 的余数相同,则c|a-b 或c|b-a 。
②、a 与b 的和除以c 的余数等于a 除以c 的余数加上b 除以c 的余数的和除以c 的余数。
③、a 与b 的积除以c 的余数等于a 除以c 的余数与b 除以c 的余数的积除以c 的余数。
27、分数大小的比较:①通分分子法②通分分母法③分子和分母大小比较法:当分子和分母的差一定时,分子或分母越大的分数值越大。
④倒数比较法。