浙江财经大学 微积分 下册总复习共35页
- 格式:ppt
- 大小:3.79 MB
- 文档页数:35
抓住微积分,它是高数的核心,理解好导数和积分的含义。
题记―――高等数学,是某些自考专业的重要课程。
但对于如何通过考试,如何学好这门课程,许多朋友都是百展莫愁,头痛不已。
而高数及格率又是所有科目中及格率最低的几门之一,成为许多考生能否顺利完成专业课程的主要障碍。
数学,是一门深奥而又有趣的课程。
如果增加对这门课程的自信心,不要畏惧它,你会很容易接受这门课,你也会发觉其实这门课程并不难,这对于学好数学是一个非常必要的条件。
培根说,“数学是科学的大门和钥匙。
”的确,数学是科学技术的基础。
高等数学与应用数学(包括线性代数、概率论与数理统计、复变函数、数学物理方程,等等)是各专业的重要基础理论课。
在会计专业里,比如财务成本管理,审计,评估,管理会计,……等等科目里都有高等数学的影子;在经济学领域里,更是如此。
无论微观经济还是宏观经济的经典理论里都有高等数学的烙印函数、极限与连续(一)基本概念1.函数:常量与变量,函数的定义2.函数的表示方法:解析法,图示法、表格法3.函数的性质:函数的单调性、奇偶性、有界性和周期性4.初等函数:基本初等函数,复合函数,初等函数,分段表示的函数,建立函数关系5.极限:数列极限、函数极限、左右极限、极限四则运算,无穷小量与无穷大量,无穷小量的性质,无穷小量的比较,两个重要极限6.连续:函数在一点连续,左右连续,连续函数,间断点及其分类,初等函数的连续性,闭区间上连续函数性质的叙述重点:函数概念,基本初等函数,极限的计算难点:建立函数关系,极限概念(二)基本要求·1·1. 理解函数的概念,了解分段函数。
能熟练地求函数的定义域和函数值。
2. 了解函数的主要性质(单调性、奇偶性、周期性和有界性)。
3. 熟练掌握六类基本初等函数的解析表达式、定义域、主要性质和图形。
4. 了解复合函数、初等函数的概念。
5. 会列简单应用问题的函数关系式。
6. 了解极限的概念,知道数极限的描述性定义,会求函数的左、右极限。
浙江财经学院课程期末考试试卷浙江财经学院 ~ 学年第二学期《微积分B 下》课程期末考试试卷( B 卷)考核方式:闭卷考试日期: 年 月 日适用专业、班级:题 号一二三四五六七八九十总分得 分评卷人(共九大题)评卷人得分一、选择题(每小题2分共10分)1.=( )。
⎰A .B .C .D .4π2ππ32π2.设收敛,则( )。
∑∞=12n n u A .收敛B .收敛∑∞=1n n u ∑∞=-1)1(n n n u C .发散 D .发散∑∞=-12)1(nnnu ∑∞=1n n u 3.下列积分中不是广义积分的是( )。
A .B .C .D .1222(1)-⎰dxx 1ln ⎰edxx x11-⎰ 0+∞-⎰x e dx4.设,其中具有连续的二阶偏导数,则( )。
)()(y x y x z -++=φϕφϕ,A .B . 0""=-yy xx z z 0""=+yy xx z z浙江财经学院课程期末考试试卷C .D .0"=xy z 0""=+xx xy z z 5.微分方程的通解是()。
0)1()1(22=+++dx y dy x A .B .c y x =+arctan arctan cy x =+tan tan C .D .c y x =+ln ln cy c x c =+tan tan 评卷人得分二、填空题(每小题2分共20分)1.设,则______________________。
22 ()cos =⎰x xf x u du =)('x f 2.函数的定义域为)410ln()arcsin(222y x y x z --+-=_____________________。
3.=______________________。
∑∞=+1)1(1n n n 4.=_______________________________。
微积分下册复习要点(共5篇)第一篇:微积分下册复习要点微积分下册复习要点第七章多元函数微分学1.了解分段函数在分界点连续的判别;2.掌握偏导数的计算(特别是抽象函数的二阶偏导数)必考3.掌握隐函数求导(曲面的切平面和法线),及方程组求导(曲线的切线和法平面方程)必考。
4.方向导数的计算,特别是梯度,散度,旋度的计算公式;必考。
5.可微的定义,分段函数的连续性及可微性,偏导数及偏导数的连续性。
6.多元函数的极值和最值:无条件极值和条件极值(拉格朗日乘数法),实际问题的最值。
必考。
第八章重积分1.二重积分交换积分次序;必考。
2.利用合适的坐标系计算(特别是极坐标)3.三重积分中三种坐标系的合理使用(直角坐标系,柱坐标系,球坐标系)在使用时特别注意“先二后一法”的运用。
必考。
4.重积分的应用中曲面面积、重心、转动惯量、引力的公式,曲面面积为重点。
第九章曲线曲面积分1.第一、二类曲线积分的计算公式(特别是参数方程);2.第一、二类曲面积分的计算公式(常考第一类曲面积分,第二类曲面积分一般用高斯公式)3.三个公式的正确使用(格林公式、高斯公式、斯托克斯公式)必考。
可以参考期中考试卷中最后三个题。
4.格林公式中有“奇点”的使用条件及积分与路径无关的条件(可能和全微分方程结合)必考。
第10章级数1.数项级数的敛散性的判别:定义,收敛的必要条件,比较判别法及极限形式,比值判别法,根值判别法,莱布尼兹判别法,条件收敛和绝对收敛的概念。
2.幂级数的收敛域及和函数的计算。
(利用逐项求导和逐项积分)必考。
3.将函数展成幂级数。
(一般利用间接法)必考。
4.将函数展成傅里叶级数,系数的计算公式;狄利克雷收敛定理;几个词的理解(周期延拓、奇延拓、偶延拓、变量替换)第11章常微分方程1.各种一阶微分方程的计算:可分离变量、齐次方程、可化为齐次方程的方程、一阶线性微分方程、伯努利方程、全微分方程。
2.可降阶的微分方程三种形式,特别注意不显含x 这种情形。
《微积分(下)》课程期末复习题(1)一、计算下列积分(每小题5分,共15分)1. 22arctan 1x xdx x ++⎰2.40⎰3. 1ln eexdx ⎰二、 求由曲线3 , 02()4 , 2x x f x x x ⎧≤≤=⎨->⎩和x 轴所围平面图形的面积,并求此图形绕x 轴旋转一周所成的旋转体体积(9分)三、求下列函数的偏导数或全微分(18分)1. ()cos sin ,x z e y xy =+,求,z z x x∂∂∂∂2. 设()yx y x z 2354+-=,求zx∂∂及z y ∂∂.3. 若(),z z x y =由方程()2sin 2323x y z x y z +-=+- 确定,计算.z z x y∂∂+∂∂四、某厂生产两种型号的产品. 已知生产A 产品x 单位. B 产品y 单位时的总成本函数为()1003070,++=y x y x C . 两种产品的需求函数分别为330 . 550B A py p x -=-=(B A p p , 分别为两种产品的价格),若限制总产量为20 , 试求 y x , 使总利润最大。
(9分)五、重积分(15)1.已知sin()xyf x dyyπ=⎰,计算0()f x dxπ⎰。
2.计算二重积分D xydxdy⎰⎰,其中D是由抛物线2y x=及直线2y x=+所围成的闭区域。
六、 选择题 (每小题2分,共10分)1. 设⎰=+=+)( cos )1(x f c x dx x f 则( )A .)1sin(-xB .)1sin(--xC .)1sin(+xD .)1sin(+-x2. 设平面区域D 由(),(),,y f x y g x x a x b ====围成,其中a b <,(),()f xg x 均连续且()()0f x g x ≤≤,则平面区域D 绕x 轴旋转所成旋转体体积为( )A .()2()()baf xg x dx π-⎰B .()22()()ba g x f x dx π-⎰C . ()22()()b af xg x dx π-⎰D . ()()baf xg x dx π-⎰3. 已知00(,)3f x y =,00(,)2x f x y '=,00(,)4y f x y '=,[]00ln (,)x f x y '=( )A .13 B . 23 C . 43D . 0 4. 设二元函数(,)z f x y =在()00,x y 的某邻域内有连续的二阶偏导数,且00(,)2xxA f x y ''==00(,)0xyB f x y ''==00(,)2yyC f x y ''==,则点()00,x y ( ) A . 不是极大值点 B . 不是极小值点 C . 是极大值D . 是极小值5. 设{}22(,)14 D x y x y =≤+≤,则Ddxdy =⎰⎰( )A . πB . 2πC . 3πD . 4π七、填空题(每小题2分,共20分)1. 若2()f x dx x C =+⎰,则211()f dx x x =⎰______________2. 设()f x 在[,]a b 上连续,则()ba d f x dx dx =⎰3. 设)(x f 的一个原函数是cos x ,则 ='⎰dx x f x )(4.11cos )x x dx -=⎰5. 1001lim (1sin 2)xu x u du x →+⎰=6. 函数)1ln(4222y x y x z ---=的定义域为7. 设(2)x z e f x y -=--,且当0y =时,2z x =,则zx∂∂=8. 已知21xx yyx dz e dx e dy y y=-, 则2z x y ∂=∂∂ . 9. 函数333z x y xy =+-的极值点是___________________.10. 设(,)(,)Df x y x f x y dxdy =+⎰⎰, 其中D 是由(0,0),(1,0),(1,1)A B C 围成的三角形闭区域,则(,)Df x y dxdy ⎰⎰=___________________.八、证明:11(1)(1)m n n m x x dx x x dx -=-⎰⎰(4分)。
微积分大一下册知识点总结微积分是数学中的一门重要课程,它是研究函数的变化率的一门学科。
一学期的微积分学习涵盖了许多重要的知识点,这些知识点对我们理解函数的性质和应用具有重要的指导作用。
在这篇文章中,我将总结微积分大一下册的一些重要知识点。
一、导数与微分导数是微积分中最基本的概念之一,它描述了函数在某一点处的变化率。
我们可以通过极限的方式来定义导数,即某一点的导数等于函数在这一点的极限。
导数不仅能够告诉我们函数在某一点的变化率,还可以帮助我们研究函数的凸凹性和极值点。
通过求导,我们可以得到函数的驻点和拐点,从而更好地理解函数的形状和性质。
微分是导数的一个重要应用,它可以用来近似计算函数的变化量。
微分与导数的关系是微积分中的一个重要定理,它告诉我们微分就是导数乘以自变量的变化量。
通过微分,我们可以建立起函数与自变量之间的关系,从而更好地研究函数的性质。
二、积分与不定积分积分是微积分中的另一个重要概念,它是函数的一个反运算。
积分可以帮助我们计算函数的面积、弧长和体积等,它在物理学、经济学和工程学等领域都有重要的应用。
不定积分是积分的一种形式,它是求解原函数的方法。
对于给定的函数f(x),不定积分可以得到f(x)的一个原函数F(x)。
不定积分的结果通常还包含一个常数C,这是因为不同的原函数之间相差一个常数。
定积分是积分的另一种形式,它可以帮助我们计算函数在给定区间上的总变化量。
定积分可以用来求解曲线下的面积、弧长和体积等,它在几何学和物理学中有广泛的应用。
三、微分方程微分方程是微积分中的另一个重要概念,它描述了未知函数与它的导数之间的关系。
微分方程在物理学、工程学和生物学等领域都有重要的应用,它是建立数学模型的重要工具。
常微分方程是微分方程中最常见的一类,它描述了未知函数与它的导数之间的关系是使用函数本身的形式。
常微分方程通常可以通过分离变量、线性方程和常数变易等方法进行求解。
四、级数级数是微积分中的另一个重要概念,它是无穷求和的一种形式。
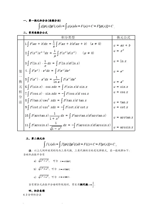
一、第一换元积分法(凑微分法)C x F C u F du u g dx x x g +=+=='⎰⎰)]([)()()()]([ϕϕϕ.二、常用凑微分公式三、第二换元法C x F C t F dt t t f dx x f +=+='=⎰⎰)]([)()()]([)(ψϕϕ,注: 以上几例所使用的均为三角代换, 三角代换的目的是化掉根式, 其一般规律如下:当被积函数中含有a) ,22x a - 可令 ;sin t a x = b) ,22a x + 可令 ;tan t a x = c) ,22a x - 可令 .sec t a x =当有理分式函数中分母的阶较高时, 常采用倒代换t x 1=.四、积分表续 4.3分部积分法xu x u x u x u x u x u a u e u x u x u b ax u x d x f dx x x f x d x f dx xx f x d x f xdx x f x d x f xdx x f x d x f xdx x f x d x f xdx x f da a f a dx a a f de e f dx e e f x d x f dx xx f x d x f dx x x f a b ax d b axf a dx b ax f xx xx x x xx x x arcsin arctan cot tan cos sin ln )(arcsin )(arcsin 11)(arcsin .11)(arctan )(arctan 11)(arctan .10cot )(cot csc )(cot .9tan )(tan sec )(tan .8cos )(cos sin )(cos .7sin )(sin cos )(sin .6)(ln 1)(.5)()(..4)(ln )(ln 1)(ln .3)0()()(1)(.2)0()()(1)(.1法分积元换一第换元公式积分类型22221==========+=-=-=+-==-=⋅=⋅=⋅=⋅=⋅≠=≠++=+⎰⎰⎰⎰⎰⎰⎰⎰⎰⎰⎰⎰⎰⎰⎰⎰⎰⎰⎰⎰⎰⎰-μμμμμμμ分部积分公式:⎰⎰-=vdu uv udv (3.1) ⎰⎰'-='vdx u uv dx v u (3.2)分部积分法实质上就是求两函数乘积的导数(或微分)的逆运算. 一般地, 下列类型的被积函数常考虑应用分部积分法(其中m , n 都是正整数)..arctan arccos arcsin )(ln cos sin cos sin 等mx x mxx mxx x x e x mx e mx e mx x mx x n n n n mx n nx nx n n5.1定积分的概念 5.2定积分的性质两点补充规定:(a) 当b a =时,;0)(=⎰badx x f (b) 当b a >时,⎰⎰-=abbadx x f dx x f )()(.性质1 .)()()]()([⎰⎰⎰±=±bababadx x g dx x f dx x g x f性质2 ,)()(⎰⎰=baba dx x f k dx x kf (k 为常数).性质3⎰⎰⎰+=bccaba dx x f dx x f dx x f )()()(.性质4 .1a b dx dx baba-==⋅⎰⎰性质5 若在区间],[b a 上有),()(x g x f ≤ 则,)()(⎰⎰≤babadx x g dx x f ).(b a <推论1 若在区间],[b a 上,0)(≥x f 则 ,0)(≥⎰badx x f ).(b a <推论2).(|)(|)(b a dxx f dx x f baba<≤⎰⎰性质6 (估值定理)设M 及m 分别是函数)(x f 在区间],[b a 上的最大值及最小值,则).()()(a b M dx x f a b m ba-≤≤-⎰性质7 (定积分中值定理) 如果函数)(x f 在闭区间],[b a 上连续,则在],[b a 上至少存在一个点ξ, 使).(),)(()(b a a b f dx x f ba≤≤-=⎰ξξ5.3微积分的基本公式 一、引例二、积分上限的函数及其导数:⎰=Φxadt t f x )()(定理2 若函数)(x f 在区间],[b a 上连续,则函数⎰=Φxadt t f x )()(就是)(x f 在],[b a 上的一个原函数.三、牛顿—莱布尼兹公式定理3 若函数)(x F 是连续函数)(x f 在区间],[b a 上的一个原函数,则)()()(a F b F dx x f ba-=⎰. (3.6)公式(3.4)称为牛顿—莱布尼茨公式. 5.4定积分的换元法积分法和分部积分法 一、定积分换元积分法定理1 设函数)(x f 在闭区间],[b a 上连续,函数)(t x ϕ=满足条件: (1),)(,)(b a ==βϕαϕ 且b t a ≤≤)(ϕ;(2))(t ϕ在],[βα(或],[αβ)上具有连续导数,则有⎰⎰'=βαϕϕdt t t f dx x f ba)()]([)(. (4.1)公式(4.1)称为定积分的换元公式.定积分的换元公式与不定积分的换元公式很类似. 但是,在应用定积分的换元公式时应注意以下两点:(1)用)(t x ϕ=把变量x 换成新变量t 时, 积分限也要换成相应于新变量t 的积分限,且上限对应于上限,下限对应于下限;(2) 求出)()]([t t f ϕϕ'的一个原函数)(t Φ后,不必象计算不定积分那样再把)(t Φ变换成原变量x 的函数,而只要把新变量t 的上、下限分别代入)(t Φ然后相减就行了. 二、定积分的分部积分法 ⎰ba udv⎰-=bab a vdu uv ][ 或 ⎰'badx v u ⎰'-=ba b a dx u v uv ][5.5广义积分一、无穷限的广义积分)()(|)()(a F F x F dx x f a a-+∞==∞++∞⎰)()(|)()(-∞-==∞-∞-⎰F b F x F dx x f b b)()(|)()(-∞-+∞==∞+∞-+∞∞-⎰F F x F dx x f二、无界函数的广义积分⎰⎰++→=ba ba dx x f dx x f εε)(lim )(0.)(lim)(0⎰⎰-+→=εεb aba dx x f dx x f5.6定积分的几何应用一、微元法定积分的所有应用问题.一般总可按“分割、求和、取极限”三个步骤把所求的量表示为定积分的形式.可以抽象出在应用学科中广泛采用的将所求量U (总量)表示为定积分的方法——微元法.这个方法的主要步骤如下:(1) 由分割写出微元 根据具体问题.选取一个积分变量.例如x 为积分变量.并确定它的变化区间],[b a .任取],[b a 的一个区间微元],[dx x x +.求出相应于这个区间微元上部分量U ∆的近似值.即求出所求总量U 的微元 dx x f dU )(=;(2) 由微元写出积分 根据dx x f dU )(=写出表示总量U 的定积分⎰⎰==bab adx x f dU U )(微元法在几何学、物理学、经济学、社会学等应用领域中具有广泛的应用.本节和下一节主要介绍微元法在几何学与经济学中的应用. 应用微元法解决实际问题时.应注意如下两点:(1) 所求总量U 关于区间],[b a 应具有可加性.即如果把区间],[b a 分成许多部分区间, 则U 相应地分成许多部分量, 而U 等于所有部分量U ∆之和. 这一要求是由定积分概念本身所决定的;(2) 使用微元法的关键是正确给出部分量U ∆的近似表达式dx x f )(.即使得U dU dx x f ∆≈=)(. 在通常情况下.要检验dx x f U )(-∆是否为dx 的高阶无穷小并非易事.因此.在实际应用要注意dx x f dU )(=的合理性. 二、平面图形的面积(1)直角坐标系下平面图形的面积 (2)极坐标系下平面图形的面积曲边扇形的面积微元 θθd r dA 2)]([21=所求曲边扇形的面积 .)]([212θθϕβαd A ⎰=三、旋转体:由一个平面图形绕这平面内一条直线旋转一周而成的立体称为旋转体. 这条直线称为旋转轴.旋转体的体积微元 ,)]([2dx x f dV π= 所求旋转体的体积 .)]([2⎰=ba dx x f V π四、平行截面面积为已知的立体的体积:如果一个立体不是旋转体.但却知道该立体上垂直于一定轴的各个截面面积.那么.这个立体的体积也可用定积分来计算.体积微元 ,)(dx x A dV =所求立体的体积 .)(⎰=badx x A V5.7积分在经济分析的应用6.1空间解析几何简介 一、空间直角坐标系在平面解析几何中.我们建立了平面直角坐标系.并通过平面直角坐标系.把平面上的点与有序数组(即点的坐标),(y x )对应起来. 同样.为了把空间的任一点与有序数组对应起来.我们来建立空间直角坐标系.过空间一定点O , 作三条相互垂直的数轴. 依次记为x 轴(横轴)、y 轴(纵轴)、z 轴(竖轴).统称为坐标轴. 它们构成一个空间直角坐标系Oxyz (图6-1-1). 空间直角坐标系有右手系和左手系两种. 我们通常采用右手系.二、空间两点间的距离.)()()(||21221221221z z y y x x M M -+-+-=三曲面及其方程定义1在空间直角坐标系中.如果曲面S 上任一点坐标都满足方程0),,(=z y x F .而不在曲面S 上的任何点的坐标都不满足该方程.则方程0),,(=z y x F 称为曲面S 的方程, 而曲面S 就称为方程0),,(=z y x F 的图形空间曲面研究的两个基本问题是:(1) 已知曲面上的点所满足的几何条件.建立曲面的方程; (2) 已知曲面方程.研究曲面的几何形状. 平面平面是空间中最简单而且最重要的曲面. 可以证明空间中任一平面都可以用三元一次方程0=+++D Cz By Ax (1.3)来表示.反之亦然. 其中A 、B 、C 、D 是不全为零常数. 方程(1.3)称为平面的一般方程.柱面定义2 平行于某定直线并沿定曲线C 移动的直线L 所形成的轨迹称为柱面. 这条定曲线C 称为柱面的准线, 动直线L 称为柱面的母线.二次曲面在空间直角坐标系中.我们采用一系列平行于坐标面的平面去截割曲面.从而得到平面与曲面一系列的交线(即截痕).通过综合分析这些截痕的形状和性质来认识曲面形状的全貌. 这种研究曲面的方法称为平面截割法.简称为截痕法.椭球面 1222222=++c z b y a x )0,0,0(>>>c b a (1.4)椭圆抛物面 qy p x z 2222+=(同号与q p )双曲抛物面 z qy p x =+-2222 ( p 与q 同号) 单叶双曲面 1222222=-+c z b y a x )0,0,0(>>>c b a双叶双曲面 1222222-=+-cz b y a x )0,0,0(>>>c b a二次锥面 0222222=-+cz b y a x )0,0,0(>>>c b a6.2多元函数的基本概念一、平面区域的概念:内点、外点、边界点、开集、连通集、区域、闭区域 二、二元函数的概念定义1 设D 是平面上的一个非空点集.如果对于D 内的任一点),(y x .按照某种法则f .都有唯一确定的实数z 与之对应.则称f 是D 上的二元函数.它在),(y x 处的函数值记为),(y x f .即),(y x f z =.其中x .y 称为自变量. z 称为因变量. 点集D 称为该函数的定义域.数集}),(),,(|{D y x y x f z z ∈=称为该函数的值域.类似地.可定义三元及三元以上函数. 当2≥n 时, n 元函数统称为多元函数. 二元函数的几何意义三、二元函数的极限定义2 设函数),(y x f z =在点),(000y x P 的某一去心邻域内有定义.如果当点),(y x P 无限趋于点),(000y x P 时.函数),(y x f 无限趋于一个常数A .则称A 为函数),(y x f z =当),(y x ),(00y x →时的极限. 记为A y x f y y x x =→→),(lim 00.或 A y x f →),( (),(),(00y x y x →) 也记作A P f P P =→)(lim 0或 A P f →)( )(0P P →二元函数的极限与一元函数的极限具有相同的性质和运算法则.在此不再详述. 为了区别于一元函数的极限.我们称二元函数的极限为二重极限.四、二元函数的连续性定义3 设二元函数),(y x f z =在点),(00y x 的某一邻域内有定义.如果),(),(lim 0000y x f y x f y y x x =→→,则称),(y x f z =在点),(00y x 处连续. 如果函数),(y x f z =在点),(00y x 处不连续.则称函数),(y x f z =在),(00y x 处间断.与一元函数类似.二元连续函数经过四则运算和复合运算后仍为二元连续函数. 由x 和y 的基本初等函数经过有限次的四则运算和复合所构成的可用一个式子表示的二元函数称为二元初等函数. 一切二元初等函数在其定义区域内是连续的. 这里定义区域是指包含在定义域内的区域或闭区域. 利用这个结论.当要求某个二元初等函数在其定义区域内一点的极限时.只要算出函数在该点的函数值即可.特别地.在有界闭区域D 上连续的二元函数也有类似于一元连续函数在闭区间上所满足的定理. 下面我们不加证明地列出这些定理.定理1(最大值和最小值定理) 在有界闭区域D 上的二元连续函数, 在D 上至少取得它的最大值和最小值各一次.定理2(有界性定理)在有界闭区域D 上的二元连续函数在D 上一定有界.定理3(介值定理)在有界闭区域D 上的二元连续函数, 若在D 上取得两个不同的函数值, 则它在D 上取得介于这两值之间的任何值至少一次. 6.3偏导数一、偏导数的定义及其计算法定义1 设函数),(y x f z =在点),(00y x 的某一邻域内有定义, 当y 固定在0y 而x 在0x 处有增量x ∆时, 相应地函数有增量),,(),(0000y x f y x x f -∆+如果xy x f y x x f x ∆-∆+→∆),(),(lim00000存在, 则称此极限为函数),(y x f z =在点),(00y x 处对x 的偏导数, 记为).,(,,00000000y x f z xf xz x y y x x xy y x x y y x x 或======∂∂∂∂例如.有),(00y x f x xy x f y x x f x ∆-∆+=→∆),(),(lim00000.类似地.函数),(y x f z =在点),(00y x 处对y 的偏导数为yy x f y y x f y ∆-∆+→∆),(),(lim00000,记为).,(,,00000000y x f z yfy z y y y x x yy y x x y y x x 或======∂∂∂∂上述定义表明.在求多元函数对某个自变量的偏导数时, 只需把其余自变量看作常数.然后直接利用一元函数的求导公式及复合函数求导法则来计算之. 二、关于多元函数的偏导数.补充以下几点说明:(1)对一元函数而言.导数dxdy可看作函数的微分dy 与自变量的微分dx 的商. 但偏导数的记号xu∂∂是一个整体. (2)与一元函数类似.对于分段函数在分段点的偏导数要利用偏导数的定义来求.(3)在一元函数微分学中.我们知道.如果函数在某点存在导数.则它在该点必定连续. 但对多元函数而言.即使函数的各个偏导数存在.也不能保证函数在该点连续.例如.二元函数⎪⎩⎪⎨⎧=≠+=)0,0(),(,0)0,0(),(,),(22y x y x y x xyy x f 在点)0,0(的偏导数为,00lim )0,0()0,0(lim)0,0(00=∆=∆-∆+=→∆→∆x xf x f f x x x .00lim )0,0()0,0(lim)0,0(00=∆=∆-∆+=→∆→∆yy f y f f x y y 但从上节例5已经知道这函数在点)0,0(处不连续.三、偏导数的几何意义设曲面的方程为),(y x f z =.)),(,,(00000y x f y x M 是该曲面上一点.过点0M 作平面0y y =.截此曲面得一条曲线.其方程为⎩⎨⎧==00),(y y y x f z 则偏导数),(00y x f x 表示上述曲线在点0M 处的切线x T M 0对x 轴正向的斜率(图6-3-1). 同理.偏导数),(00y x f y 就是曲面被平面0x x =所截得的曲线在点0M 处的切线y T M 0对y 轴正向的斜率.四、偏导数的经济意义设某产品的需求量),,(y p Q Q = 其中p 为该产品的价格, y 为消费者收入. 记需求量Q 对于价格p 、消费者收入y 的偏改变量分别为),,(),(y p Q y p p Q Q p -∆+=∆和 ).,(),(y p Q y y p Q Q y -∆+=∆易见.pQ p ∆∆表示Q 对价格p 由p 变到p p ∆+的平均变化率. 而pQ p Qp p ∆∆=∂∂→∆0lim 表示当价格为p 、消费者收入为y 时, Q 对于p 的变化率. 称Qp p Q pp Q Q E p p p ⋅∂∂-=∆∆=→∆//lim为需求Q 对价格p 的偏弹性. 同理.yQ y ∆∆表示Q 对收入y 由y 变到y y ∆+的平均变化率. 而yQ y Qy y ∆∆=∂∂→∆0lim 表示当价格p 、消费者收入为y 时, Q 对于y 的变化率. 称 Qy y Q yy Q Q E y y y ⋅∂∂-=∆∆=→∆//lim为需求Q 对收入y 的偏弹性.五、科布-道格拉斯生产函数在商业与经济中经常考虑的一个生产模型是科布-道格拉斯生产函数100,),(1<<>=-a c ycx y x p aa且.其中p 是由x 个人力单位和y 个资本单位生产处的产品数量(资本是机器、场地、生产工具和其它用品的成本)。
经济数学--微积分大一下期末复习资料 考试题型:1.求偏导数5*8’=40’2.求偏弹性1*6’=6’3.条件极值1*6’=6’4.二重积分2*6’=12’5.微分方程与差分方程4*6’=24’6.无穷级数2*6’=12’ a.判断正项级数敛散性判断交错级数敛散性及条件或绝对收敛 b.求和函数(收敛半径、收敛域)求和函数展开式一.求偏导类型1:展开式形式,如:xy z =求解:将求的看做变量,另一个看做常数。
求二阶时,只要对相应的一阶再求一次即可。
Eg :设13323+--=xy xy y x z ,求22x z ∂∂、x y z ∂∂∂2、yx z∂∂∂2、22y z ∂∂解:y -y 3-y x 3xz322=∂∂x -x y 9-y x 2yz23=∂∂22x z ∂∂=2x y 6x y z ∂∂∂2=1-y 9-y x 622 yx z ∂∂∂2=1-y 9-y x 622 22y z ∂∂=x y 18-x 23类型2:),(y x z f =求解:画链式法则进行求解xEg :)(z ,,xy y x f w ++=,求zx wx w ∂∂∂∂∂2,解:设u=x+y+z ,v=xyz ,),(v u f w =则链式法则如右图所示参考资料:课本练习册7-16页 二.求偏弹性经济数学-微积分P310 例8 PS :例8答案中2221222221222P P P Q P P P Q -=∂∂-=∂∂应改为wvx zy y参考资料:练习册21-22页 三.条件极值求解:找出目标函数与约束条件,设出拉格朗日函数,解方程组,得出答案。
参考资料:练习册19-20页 四.二重积分类型1.直角坐标系下 a.X 型 先积x 再积y b.Y 型 先积y 再积x 类型2.极坐标系下 ⎩⎨⎧==θθrsin y rcos x θσrdrd d =:PS求解:1.做出积分区间2.判断适合用直角坐标解答还是极坐标3.如果适合用直角坐标系解答,判断是X 型还是Y 型。
浙江财经大学慕课微积分2
《微积分》课程是高等院校经济、金融、管理等各专业必修的一门公共数学基础课,由微积分)和微积分下两门课组成,本学期开课的是第5期《微积分》。
本课程强调数学理论与各专业的有机结合,它是学习现代经济、管理理论的前提和基础,也是财经类院校学生学习专业课程的重要工具。
本课程系统地介绍了微积分的基本概念、基本理论和基本方法。
课程主要内容有:函数、极限与连续、导数与微分、中值定理与导数的应用、不定积分、定积分、无穷级数、多元函数微积分学、微分方程、差分方程等。
微积分Calculus是以函数为研究对象,运用极限的思想进行微分和积分计算的一门数学学科。
微积分的内容丰富多彩,它呈现出概念严谨、理论系统、逻辑性强、表达形式抽象的特点。
我们不仅要对微积分的定义、定理、结论等进行严谨的讲解、推理、研究,还会通过多种教学手段,引导学生关注数学概念的背景,从而理解抽象的数学概念,进而掌握概念的内涵和外延。
课程讲解力求由浅入深,突出重点和难点,从核心概念理解和应用出发,直至抽象的理论完整理解。
通过本课程的学习,目的是使学生深刻领会数学的思想和方法,能综合运用所学的数学知识提高分析问题和解决实际问题的能力,培养学生的抽象思维能力、逻辑推理能力、空间想象能力,提升学生的数学修养和综合素质,为学生今后从事各项经济工作和研究、培养新时期应用型复合人才奠定坚实的基础。
《微积分》(下)复习大纲第六章定积分教学目的和要求:1、了解定积分的概念及存在定理,理解定积分的基本性质和中值定理2、掌握牛顿-莱布尼兹公式,掌握定积分的换元法和分部积分法3、理解两种广义积分的概念并掌握它们的求法4、理解定积分的应用并掌握它们的求法重点:1、牛顿-莱布尼兹公式2、定积分的换元法和分部积分法难点:1、定积分的概念2、积分上限函数的概念与应用3、定积分的换元法和分部积分法中的技巧第一节定积分的概念和性质教学目的和要求:1、通过曲边梯形的面积以及变速直线运动的路程实例引入定积分的概念,从中领会从有限到无限、特殊到一般的数学思想,从而培养学生的数学意识和利用数学解决实际问题的能力。
2、使学生掌握定积分的概念和存在定理,并通过例题使学生学会如何处理和解决相应的数学问题。
3、理解定积分的基本性质和中值定理重点:定积分的概念教学过程:一、问题的提出1、几何上,曲边梯形的面积2、物理上,变速直线运动的路程二、定积分的定义1、定积分的定义2、定积分存在的条件3、定积分的几何意义三、定积分的性质1、线性性质(1)2、线性性质(2)3、区间可加性4、用定积分求矩行面积的公式5、定积分的不等式性质6、定积分的估值不等式7、定积分的中值定理第二节微积分基本定理教学目的和要求:1、掌握积分上限函数的定义及其性质2、掌握微积分基本公式(牛顿--莱布尼茨公式),会用这个公式求一些函数的定积分重点:1、积分上限函数的定义及其性质2、牛顿--莱布尼茨公式教学过程:一、积分上限函数的定义及其性质1、积分上限函数的定义2、积分上限函数的性质3、原函数存在定理二、牛顿--莱布尼茨公式第三节定积分的积分法教学目的和要求:1、使学生掌握定积分的换元积分法、分部积分法。
重点:定积分的换元积分法、分部积分法。
一、定积分的换元法二、定积分的分部积分法第四节定积分的应用教学目的和要求:1.理解定积分的应用于求面积、体积。
重点:在直角坐标系中列出所求问题的积分式一、平面图形的面积二、体积1.平行截面面积为已知的立体的体积2.旋转体的体积一般情况,闭区间[a,b]上连续曲线)(xf构成的曲边梯形绕X轴旋转一周而成的立体,闭区间[c,d]上连续曲线()x g y=构成的曲边梯形绕Y轴旋转一周而成的立体,叫旋转体。