二元一次方程组单元测试题及答案
- 格式:doc
- 大小:406.50 KB
- 文档页数:19
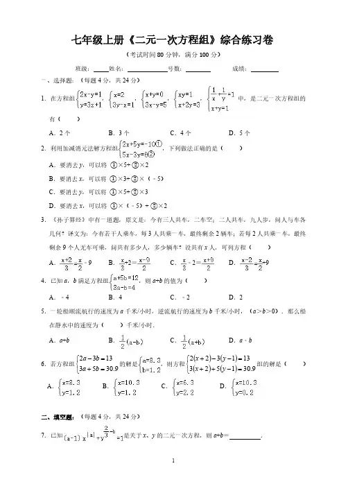
《二元一次方程》基础测试题一、选择题1.方程2x+y =0,3x-xy =1,2x+y ﹣x =7,x −1y =0二元一次方程的个数是( ) A .1个 B .2个 C .3个 D .4个2.把方程2x-y=3改写成用含x 的式子表示y 的形式( )A .y=2x-3B .y=2x+3C .1322x y =+D .132x y =+ 3.若{x =5y =2是关于x 和y 的二元一次方程2x ﹣by =6的解,则b 的值是( ) A . 2 B .﹣2 C . 4 D .﹣44.关于二元一次方程组{y =x +1x −2y =7,消去y 可得( ) A .x-x ﹣1=7 B .x-2x ﹣1=7 C .x-2x ﹣2=7 D .x+2x-2=75.已知二元一次方程组{2x −y =7x −2y =−3,则x+y 的值为( ) A .﹣4 B .4 C .﹣5 D .56.若方程x+y =2,x ﹣2y =8和kx-y =6有公共解,则k 的值是( )A .1B .﹣1C .2D .﹣27.现在小强的年龄是小玲的2倍,2年前小强的年龄是小玲的3倍,今年小强和小玲的年龄是多少岁?设小强今年x 岁,小玲今年y 岁,可列方程组( )A .{x +2=3(y +2)x =2yB .{x −2=3(y −2)x =2yC .{x +2=2(y +2)x =3yD .{x −2=3(y −2)x =3y8.若|x+2y ﹣2|+√x −y +1=0,则x+y 的值为( )A .4B .2C .1D .09.一个两位数数位上的数字之和是8,将它的十位数字和个位数字交换后,得到新的两位数,若新两位数比原两位数小18,则原两位数为( )A .26B .53C .35D .6210.已知关于x 、y 的二元一次方程组的解3+2=+22+3=x y k x y k ⎧⎨⎩满足x+y=2,则k 的值为( ) A .0 B .1 C .2 D .411.已知方程组213616x y z x y z -+=-⎧⎨+-=⎩,则x+y 的值为( ) A .3 B .4 C .5 D .612.今有牛五、羊二,值金十两;牛二、羊五,值金八两,牛、羊各值金几何?题目大意是:5头牛、2只羊共值金10两,2头牛、5只羊共值金8两,每头牛、每只羊各值金多少两?解:设一头牛值金x 两,一只羊值金y 两,则列方程组( )A .{5y −2x =102y −5x =8B .{5y −2x =82y −5x =10C .{5y +2x =102y +5x =8D .{5y +2x =82y +5x =10二、填空题13.方程ax+(a +1)y =3a -1是关于x 、y 的二元一次方程,则a 的范围是_______。
第8章 二元一次方程组章末检测(时间:90分钟 满分:120分)一、选择题(本大题共10小题,每小题3分,共30分.在每小题给出的四个选项中,只有一个选项是符合题目要求的)1.下列各方程组中,是二元一次方程组的是A .2113a b a b⎧+=⎪⎨⎪=⎩B .325210x y y z -=⎧⎨-=⎩C .1321x yxy ⎧+=⎪⎨⎪=⎩D .271.1405x y x y -=⎧⎨+=⎩2.二元一次方程2x -y =1有无数多个解,下列四组值中是该方程的解的是 A .00.5x y =⎧⎨=-⎩B .47x y =⎧⎨=⎩C .11x y =⎧⎨=-⎩D .53x y =-⎧⎨=-⎩3.解方程组34791025m n m n -=⎧⎨-=-⎩①②的最简单方法是A .由②得m =10259n -,代入①中 B .由②得9m =10n -25,代入①中 C .由①得m =743n+,代入②中 D .由①得3m =7+4n ,代入②中 4.下列说法正确的是A .3923x y x xy -=⎧⎨+=⎩是二元一次方程组B .方程x +3y =6的解是31x y =⎧⎨=⎩C .方程2x -y =3的解必是方程组2331x y x y -=⎧⎨+=⎩的解D .31x y =⎧⎨=-⎩是方程组4233x y x y -=⎧⎨+=⎩的解5.若|3x +2y -4|+27(5x +6y )2=0,则x ,y 的值分别是A .65x y =⎧⎨=-⎩B .352x y =⎧⎪⎨=-⎪⎩C .810x y =⎧⎨=⎩D .5112x y =⎧⎪⎨=-⎪⎩6.七年级两个班植树,一天共植树30棵,已知甲班的植树棵数是乙班植树棵数的2倍,设甲、乙两班分别植树x 棵,y 棵,那么可列方程组 A .302x y x y+=⎧⎨=⎩B .302x y x y+=⎧⎨=⎩C .302x y y x =-⎧⎨=+⎩D .302x y x y +=⎧⎨=+⎩7.若关于x ,y 的二元一次方程组25245x y k x y k +=+⎧⎨-=-⎩的解满足x +y =9,则k 的值是A .1B .2C .3D .48.已知关于x ,y 的二元一次方程组111222a x b y c a x b y c +=⎧⎨+=⎩的解为23x y =⎧⎨=⎩,那么11122223342334a x b y c a x b y c⎧+=⎪⎪⎨⎪+=⎪⎩的解为A .23x y =⎧⎨=⎩B .32x y =⎧⎨=⎩C .34x y =⎧⎨=⎩D .43x y =⎧⎨=⎩9.父子二人并排垂直站立于游泳池中时,爸爸露出水面的高度是他自身身高的13,儿子露出水面的高度是他自身身高的17,父子二人的身高之和为3.2米.若设爸爸的身高为x米,儿子的身高为y米,则可列方程组为A.3.211(1)(1)73x yx y+=⎧⎪⎨+=+⎪⎩B.3.211(1)(1)73x yx y+=⎧⎪⎨-=-⎪⎩C.3.21137x yx y+=⎧⎪⎨=⎪⎩D.3.211(1)(1)37x yx y+=⎧⎪⎨-=-⎪⎩10.小明在解关于x,y的二元一次方程组331x yx y+⊗=⎧⎨-⊗=⎩时得到了正确结果1xy=⊕⎧⎨=⎩,后来发现“⊗”“⊕”处被污损了,请你帮他找出⊗、⊕处的值分别是A.⊗=1,⊕=1 B.⊗=2,⊕=1 C.⊗=1,⊕=2 D.⊗=2,⊕=2 二、填空题(本大题共10小题,每小题3分,共30分)11.请写出一个以11xy=-⎧⎨=⎩为解的二元一次方程:__________.12.方程组1151x y zy z xz x y+-=⎧⎪+-=⎨⎪+-=⎩的解是__________.13.已知2728x yx y+=⎧⎨+=⎩,则x-y=__________,x+y=__________.14.若235323x yx y+=-=-⎧⎨⎩,则2(2x+3y)+3(3x-2y)=__________.15.如果方程组45xax by=⎧⎨+=⎩的解与方程组32ybx ay=⎧⎨+=⎩的解相同,则a+b=__________.16.已知方程组322121x y mx y m+=+⎧⎨+=-⎩,当m__________时,x+y>0.17.在代数式x2+ax+b中,当x=2时,其值是1;当x=-3时,其值是1.则当x=-4时,其值是__________.18.已知关于x,y的二元一次方程组78ax bybx ay+=⎧⎨+=⎩的解为23xy=⎧⎨=⎩,那么关于m,n的二元一次方程组()()7()()8a m n b m n b m n a m n ++-=⎧⎨++-=⎩的解为__________. 19.若关于x 的方程组220x y my x y -=+⎧⎨-=⎩的解是负整数,则整数m 的值是__________.20.小亮解得方程组2212x y x y +=⎧⎨-=⎩●的解为5x y =⎧⎨=⎩★,由于不小心,有两个数●和★被污损了,看不清楚,则●和★这两个数分别为__________.三、解答题(本大题共8小题,共60分.解答应写出文字说明、证明过程或演算步骤) 21.解下列二元一次方程组:(1)35382x y y x =-⎧⎨=-⎩;(2)22(1)2(1)(1)5x y x y -=-⎧⎨-+-=⎩.22.解下列方程组:(1)124x y x y +=⎧⎨-=-⎩;(2)1234()5()38x y x yx y x y +-⎧+=⎪⎨⎪+--=-⎩.23.已知方程组51542ax yx by+=⎧⎨-=-⎩①②,由于甲看错了方程①中的a得到方程组的解为31xy=-⎧⎨=⎩,乙看错了方程②中的b得到方程组的解为12xy=⎧⎨=⎩.若按正确的a、b计算,求原方程组的解.24.一外地游客到某特产专营店,准备购买精加工的豆腐乳和猕猴桃果汁两种盒装特产,若购买3盒豆腐乳和2盒猕猴桃果汁共需60元;购买1盒豆腐乳和3盒猕猴桃果汁共需55元.(1)请分别求出每盒豆腐乳和每盒猕猴桃果汁的价格;(2)该游客购买了4盒豆腐乳和2盒猕猴桃果汁,共需多少元?25.列方程组解应用题:打折前,买10件A商品和5件B商品共用了400元,买5件A商品和10件B商品共用了350元.(1)求打折前A商品、B商品每件分别多少钱?(2)打折后,买100件A商品和100件B商品共用了3800元.比不打折少花多少钱?26.某面粉加工厂要加工一批小麦,2台大面粉机和5台小面粉机同时工作2小时共加工小麦1.1万斤;3台大面粉机和2台小面粉机同时工作5小时共加工小麦3.3万斤.(1)1台大面粉机和1台小面粉机每小时各加工小麦多少万斤?(2)该厂现有9.45万斤小麦需要加工,计划使用8台大面粉机和10台小面粉机同时工作5小时,能否全部加工完?请你帮忙计算一下.27.有一间阶梯教室,第1排的座位数为a,从第2排开始,每一排都比前一排增加b个座位,(1)请你在下表的空格里填写一个适当的式子:(2)已知第4排有18个座位,第15排的座位数是第5排座位数的2倍,求第21排有多少个座位?28.已知:用3辆A型车和2辆B型车载满货物一次可运货17吨;用2辆A型车和3辆B型车载满货物一次可运货18吨,某物流公刊现有35吨货物,计划同时租用A型车a辆,B型车b辆,一次运完,且恰好每辆车都载满货物.根据以上信息,解答下列问题:(1)1辆A型车和1辆B型车都载满货物一次可分别运货多少吨?(2)请你帮该物流公司设计租车方案;(3)若A型车每辆需租金200元/次,B型车每辆需租金240元/次,请选出最省钱的租车方案,并求出最少租车费.1.【答案】D【解析】A、b是二次,故不是二元一次方程组,故此选项错误;B、含有三个未知数,是三元而不是二元方程组,故此选项错误;C、xy是二次项,是二次而不是一次方程,故此选项错误;D、是二元一次方程组.故此选项正确,故选D.2.【答案】B【解析】将x=4,y=7代入方程得:左边=1,右边=1,即左边=右边,则47xy=⎧⎨=⎩是方程2x-y=1的解.故选B.3.【答案】D【解析】解方程组34791025m n m n -=⎧⎨-=-⎩①②的最好方法是由①得347m n =+,再代入②9m =3·3m =3·(47)n +,故选D .6.【答案】A【解析】设甲、乙两班分别植树x 棵,y 棵,根据题意可得,302x y x y +=⎧⎨=⎩,故选A . 7.【答案】B 【解析】25245x y k x y k +=+⎧⎨-=-⎩①②,①-②,得3y =k +7,∴y =73k +, 将y =73k +代入①中,得1383k x -=,∵x +y =9,∴1387933k k -++=, 即14k =28,∴k =2,故选B . 8.【答案】C 【解析】把23x y =⎧⎨=⎩代入方程组得,111222a x b y c a x b y c +=⎧⎨+=⎩,又∵11122223342334a x b y c a x b y c⎧+=⎪⎪⎨⎪+=⎪⎩,∴23x =2,34y =3,即,x =3,y =4,故选C . 9.【答案】D【解析】设爸爸的身高为x 米,儿子的身高为y 米,由题意得:3.211(1)(1)37x y x y +=⎧⎪⎨-=-⎪⎩,故选D . 10.【答案】B【解析】将1x y =⊕⎧⎨=⎩代入方程组,两方程组相加,得x =⊕=1;将x =⊕=1代入x +⊗y =3中,得1+⊗=3,⊗=2,故选B .11.【答案】答案不唯一,如2x +y =0【解析】本题答案不唯一,只要写出的二元一次方程的解为11x y =-⎧⎨=⎩即可,如2x +y =0.故答案为:2x +y =0. 12.【答案】683x y z =⎧⎪=⎨⎪=⎩【解析】已知方程1151x y z y z x z x y +-=⎧⎪+-=⎨⎪+-=⎩①②③,①+②得2y =16,解得y =8, ②+③得2z =6,解得z =3, ①+③得2x =12,解得x =6,∴方程的解为683x y z =⎧⎪=⎨⎪=⎩,故答案为:683x y z =⎧⎪=⎨⎪=⎩.13.【答案】-1;5【解析】2728x y x y +=⎧⎨+=⎩①②,①-②,得x -y =-1, ①+②,得3x +3y =15, ∴x +y =5,故答案为:-1,5. 14.【答案】1【解析】∵235323x y x y +=-=-⎧⎨⎩,∴2(2x +3y )+3(3x -2y )=2×5+3×(-3)=10-9=1,故答案为:1.16.【答案】>-2【解析】322121x y m x y m +=+⎧⎨+=-⎩①②,②×2-①得:x =-3③,将③代入②得:y =m +5,所以原方程组的解为35x y m =-⎧⎨=+⎩. ∵x +y >0,∴-3+m +5>0,解得:m >-2,∴当m >-2时,x +y >0.故答案为:>-2. 17.【答案】7【解析】由题意得:421931a b a b ++=⎧⎨-+=⎩,解得:15a b =⎧⎨=-⎩,所以原代数式为:x 2+x -5,当x =-4时,x 2+x -5=16-4-5=7,故答案为:7.18.【答案】5212 mn⎧=⎪⎪⎨⎪=-⎪⎩【解析】∵关于x,y的二元一次方程组78ax bybx ay+=⎧⎨+=⎩的解为:23xy=⎧⎨=⎩,∴237238a bb a+=⎧⎨+=⎩,∴23m nm n+=⎧⎨-=⎩,解得:5212mn⎧=⎪⎪⎨⎪=-⎪⎩.故答案为:5212mn⎧=⎪⎪⎨⎪=-⎪⎩.19.【答案】3或2【解析】解方程组220x y myx y-=+⎧⎨-=⎩,得:4121xmym⎧=⎪⎪-⎨⎪=⎪-⎩,∵解是负整数,∴1-m=-2或1-m=-1,∴m=3或2.故答案为:3或2.20.【答案】8,-2【解析】将x=5代入2x-y=12,得y=-2,将x,y的值代第一个方程,得2x+y=2×5-2=8,所以●表示的数为8,★表示的数为-2,故答案为:8,-2.21.【解析】(1)35382x yy x=-⎧⎨=-⎩①②,把①代入②,得3y=8-2(3y-5),解得y=2,把y=2代入①,可得x=3×2-5,即x=1,∴原方程组的解为12 xy=⎧⎨=⎩.(2)方程组化简得:2028x yx y-=⎧⎨+=⎩①②,②-①×2,得5y=8,解得y=85,将y=85代入①,得x=165,∴原方程组的解为16585xy⎧=⎪⎪⎨⎪=⎪⎩.22.【解析】(1)124x yx y+=⎧⎨-=-⎩①②,①+②,得3x=-3,解得x=-1,把x=-1代入①,得y=2,所以原方程组的解为12xy=-⎧⎨=⎩.(2)1234()5()38x y x yx y x y+-⎧+=⎪⎨⎪+--=-⎩①②,由①,得5x+y=6,③由②,得-x+9y=-38,所以x=9y+38,将x=9y+38代入③,得46y=-184,所以y=-4,把y=-4代入x=9y+38,得x=2,所以原方程组的解为24 xy=⎧⎨=-⎩.23.【解析】把31xy=-⎧⎨=⎩代入②得:122b--=-,解得:10b=-,把12xy=⎧⎨=⎩代入①得:1015a+=,解得:5a=,即方程组为:5515 4102x yx y+=⎧⎨+=-⎩①②,①×2-②得:632x=,解得:163x =, 把163x =代入①得:805153y +=, 解得:73y =-, 即原方程组的解为:16373x y ⎧=⎪⎪⎨⎪=-⎪⎩.25.【解析】(1)设打折前A 商品每件x 元、B 商品每件y 元,根据题意,得:105400510350x y x y +=⎧⎨+=⎩, 解得:3020x y =⎧⎨=⎩. 答:打折前A 商品每件30元、B 商品每件20元.(2)打折前,买100件A 商品和100件B 商品共用:100×30+100×20=5000(元)比不打折少花:5000-3800=1200(元),答:打折后,买100件A 商品和100件B 商品比不打折少花1200元.26.【解析】(1)设1台大面粉机每小时加工小麦x 万斤,1台小面粉机每小时加工小麦y 万斤,根据题意得:2(25) 1.15(32) 3.3x y x y +=⎧⎨+=⎩, 解得:0.20.03x y =⎧⎨=⎩, 答:1台大面粉机每小时加工小麦0.2万斤,1台小面粉机每小时加工小麦0.03万斤;(2)(8×0.2+10×0.03)×5=9.5(万斤),∵9.5>9.45,∴能全部加工完.27.【解析】(1)a +3b .(2)根据题意,得318142(4)a b a b a b +=⎧⎨+=+⎩, 解得122a b =⎧⎨=⎩, 所以12+20×2=52, 答:第21排有52个座位.28.【解析】(1)设每辆A 型车、B 型车都装满货物一次可以分别运货x 吨、y 吨,依题意列方程组为:32172318x y x y +=⎧⎨+=⎩,解得34x y =⎧⎨=⎩, 答:1辆A 型车辆装满货物一次可运3吨,1辆B 型车装满货物一次可运4吨. (2)结合题意,和(1)可得3a +4b =35,∴a =3543b -, ∵a 、b 都是整数,∴82a b =⎧⎨=⎩或55a b =⎧⎨=⎩或18a b =⎧⎨=⎩, 答:有3种租车方案:方案一:A 型车8辆,B 型车2辆;方案二:A 型车5辆,B 型车5辆;方案三:A 型车1辆,B 型车8辆。
人教版七年级数学 第8章《二元一次方程组》单元提优测试题完成时间:120分钟 满分:150分姓名 成绩10小题,每小题4分,共40分。
每小题给出的四个选项中,只有一个选项是符合题意的,请将该选项的标号填入表格内)1.已知x2m-1+3y4-2n=-7是关于x ,y 的二元一次方程,则m ,n 的值是( )A. ⎩⎨⎧m =2n =1 B. ⎩⎪⎨⎪⎧m =1n =-32 C. ⎩⎪⎨⎪⎧m =1n =52 D. ⎩⎪⎨⎪⎧m =1n =322.小明到商店购买“五四青年节”活动奖品,购买20只铅笔和10本笔记本共需110元,购买30支铅笔和5本笔记本共需85元.设每支铅笔x 元,每本笔记本y 元,则可列方程组( ) A. ⎩⎨⎧20x +30y =11010x +5y =85 B. ⎩⎨⎧20x +10y =11030x +5y =85 C. ⎩⎨⎧20x +5y =11030x +10y =85 D. ⎩⎨⎧5x +20y =11010x +30y =85 3.若34x 2a+b y 3及34x 6y a-b的和是单项式,则a +b =( ) A. -3 B. 0 C. 3 D. 6 4.已知|a +b -1|+2a +b -2=0,则(a -b)2 017的值为( )A. 1B. -1C. 2 017D. -2 017 5.若方程mx +ny =6的两个解是⎩⎨⎧x =1,y =1,⎩⎨⎧x =2,y =-1,则m ,n 的值为( ) A. 4,2 B. 2,4 C. -4,-2 D. -2,-46.我国古代数学名著《孙子算经》中记载了一道题,大意是:100匹马恰好拉了100片瓦,已知1匹大马能拉3片瓦,3匹小马拉1片瓦,问有多少匹大马,多少匹小马?若设大马有x 匹,小马有y 匹,那么可列方程组为( )A. ⎩⎨⎧x +y =1003x +3y =100 B. ⎩⎪⎨⎪⎧x +y =100x +13y =100 C. ⎩⎪⎨⎪⎧x +y =1003x +13y =100 D. ⎩⎨⎧x +y =1003x +y =100 7.父子二人并排垂直站立于游泳池中时,爸爸露出水面的高度是他自身身高的13,儿子露出水面的高度是他自身身高的17,父子二人的身高之和为3.2米.若设爸爸的身高为x 米,儿子的身高为y 米,则可列方程组为( ) A. ⎩⎪⎨⎪⎧x +y =3.2(1+17)x =(1+13)y B. ⎩⎪⎨⎪⎧x +y =3.2(1-17)x =(1-13)y C. ⎩⎪⎨⎪⎧x +y =3.213x =17y D. ⎩⎪⎨⎪⎧x +y =3.2(1-13)x =(1-17)y 8.端午节前夕,某超市用1 680元购进A ,B 两种商品共60件,其中A 型商品每件24元,B 型商品每件36元.设购买A 型商品x 件,B 型商品y 件,依题意列方程组正确的是( )A. ⎩⎨⎧x +y =6036x +24y =1 680B. ⎩⎨⎧x +y =6024x +36y =1 680C. ⎩⎨⎧36x +24y =60x +y =1 680D. ⎩⎨⎧24x +36y =60x +y =1 6809.某车间有90名工人,每人每天平均能生产螺栓15个或螺帽24个,已知一个螺栓配两个螺帽,应该如何分配工人才能使生产的螺栓和螺帽刚好配套?则生产螺栓和生产螺帽的人数分别为( ) A. 50人,40人 B. 30人,60人 C. 40人,50人 D. 60人,30人10.通讯员要在规定时间内到达某地,若每小时走15千米,则可提前24分钟到达某地;若每小时走12千米,则要迟到15分钟.设通讯员到达某地的路程是x 千米,原定的时间为y 小时,则可列方程组为( ) A. ⎩⎨⎧x 15-15=y x 12+12=y B. ⎩⎨⎧x 15+15=y x 12-12=y C. ⎩⎨⎧x 15-2460=y x 12-1560=y D. ⎩⎨⎧x 15+2460=y x 12-1560=y二、填空题(每题5分,共20分)11.小刚解出了方程组⎩⎨⎧3x -y =3,2x +y =▲,解为⎩⎨⎧x =4,y =◆,因不小心滴上了两滴墨水,刚好盖住了方程组中的一个数和解中的一个数,则▲= ,◆= .12.《孙子算经》中有一道题:“今有木,不知长短,引绳度之,余绳四尺五寸;屈绳量之,不足一尺,木长几何?”译文大致是:“用一根绳子去量一根木条,绳子剩余4.5尺;将绳子对折再量木条,木条剩余1尺,问木条长多少尺?”如果设木条长x 尺,绳子长y 尺,可列方程组为 .13.小林、小芳和小亮三人玩飞镖游戏,各投5支飞镖,规定在同一圆环内得分相同,中靶和得分情况如图,则小亮的得分是 分.14.一个两位数的十位数字及个位数字的和为8,若把这个两位数加上18,正好等于将这个两位数的十位数字及个位数字对调后所组成的新两位数,则原来的两位数为三、解答题(共90分)15.(8分)解下列二元一次方程组:(1)⎩⎨⎧3x +2y =19,①2x -y =1.② (2)⎩⎨⎧4x +3y =14,①3x +2y =22;②16.(8分)“六一”前夕,市关工委准备为希望小学购进图书和文具若干套,已知1套文具和3套图书需104元,3套文具和2套图书需116元,求1套文具和1套图书各需多少元? 17.(8分)已知⎩⎨⎧x =2,y =-1是方程组⎩⎨⎧ax +y =b ,4x -by =a +5的解,求a ,b 的值.18.(8分)甲、乙两人共同解方程组⎩⎨⎧ax +5y =15,①4x -by =-2,②由于甲看错了方程①中的a ,得到方程组的解为⎩⎨⎧x =-3,y =-1;乙看错了方程②中的b ,得到方程组的解为⎩⎨⎧x =5,y =4.试计算a2017+(-110b)2 018的值. 19.(10分)甲、乙两位同学一起解方程组⎩⎨⎧ax +by =2,cx -3y =-2,甲正确地解得⎩⎨⎧x =1,y =-1,乙仅因抄错了题中的c ,解得⎩⎨⎧x =2,y =-6,求原方程组中a ,b ,c 的值.20.(10分)随着“互联网+”时代的到来,一种新型打车方式受到大众欢迎,该打车方式的总费用由里程费和耗时费组成,其中里程费按p 元/公里计算,耗时费按q 元/分钟计算(总费用不足9元按9元计价).小明、小刚两人用该打车方式出行,按上述计价规则,其打车总费用、行驶里程数及车速如表:(1)求p ,q 的值;(2)如果小华也用该打车方式,车速55公里/时,行驶了11公里,那么小华的打车总费用为多少? 21.(12分)学校“百变魔方”社团准备购买A ,B 两种魔方,已知 购买2个A 种魔方和6个B 种魔方共需130元,购买3个A 种魔 方和4个B 种魔方所需款数相同.(1)求这两种魔方的单价;(2)结合社员们的需求,社团决定购买A ,B 两种魔方共100个.某商店有两种优惠活动,如图所示.请根据以上信息,购进A 种魔方多少个时,两种活动费用相同?22.(12分)某景点的门票价格如下表:某校七年级(1)、(2)两班计划去游览该景点,其中(1)班人数少于50人,(2)班人数多于50人且少于100人.如果两班都以班为单位单独购票,那么一共支付1 118元,如果两班联合起来作为一个团体购票,那么只需花费816元. (1)两个班各有多少名学生?(2)团体购票及单独购票相比较,两个班各节约了多少钱?23.(14分)“五一”期间,步步高超市进行兑换活动,亮亮妈妈的积分卡里有7 000 分,她看了看兑换方法后(见表),兑换了两种礼品共5件并刚好用完积分,请你求出亮 亮妈妈的兑换方法.人教版七年级数学 第8章《二元一次方程组》单元提优测试题参 考 答 案1.已知x2m-1+3y4-2n=-7是关于x ,y 的二元一次方程,则m ,n 的值是( D )A. ⎩⎨⎧m =2n =1 B. ⎩⎪⎨⎪⎧m =1n =-32 C. ⎩⎪⎨⎪⎧m =1n =52 D. ⎩⎪⎨⎪⎧m =1n =322.小明到商店购买“五四青年节”活动奖品,购买20只铅笔和10本笔记本共需110元,购买30支铅笔和5本笔记本共需85元.设每支铅笔x 元,每本笔记本y 元,则可列方程组( B )A. ⎩⎨⎧20x +30y =11010x +5y =85B. ⎩⎨⎧20x +10y =11030x +5y =85C. ⎩⎨⎧20x +5y =11030x +10y =85D. ⎩⎨⎧5x +20y =11010x +30y =85 3.若34x 2a+b y 3及34x 6y a-b的和是单项式,则a +b =( C ) A. -3 B. 0 C. 3 D. 6 4.已知|a +b -1|+2a +b -2=0,则(a -b)2 017的值为( A )A. 1B. -1C. 2 017D. -2 017 5.若方程mx +ny =6的两个解是⎩⎨⎧x =1,y =1,⎩⎨⎧x =2,y =-1,则m ,n 的值为( A ) A. 4,2 B. 2,4 C. -4,-2 D. -2,-46.我国古代数学名著《孙子算经》中记载了一道题,大意是:100匹马恰好拉了100片瓦,已知1匹大马能拉3片瓦,3匹小马拉1片瓦,问有多少匹大马,多少匹小马?若设大马有x 匹,小马有y 匹,那么可列方程组为( C ) A. ⎩⎨⎧x +y =1003x +3y =100 B. ⎩⎪⎨⎪⎧x +y =100x +13y =100C. ⎩⎪⎨⎪⎧x +y =1003x +13y =100 D. ⎩⎨⎧x +y =1003x +y =100 7.父子二人并排垂直站立于游泳池中时,爸爸露出水面的高度是他自身身高的13,儿子露出水面的高度是他自身身高的17,父子二人的身高之和为3.2米.若设爸爸的身高为x 米,儿子的身高为y 米,则可列方程组为( D ) A. ⎩⎪⎨⎪⎧x +y =3.2(1+17)x =(1+13)y B. ⎩⎪⎨⎪⎧x +y =3.2(1-17)x =(1-13)y C. ⎩⎪⎨⎪⎧x +y =3.213x =17y D. ⎩⎪⎨⎪⎧x +y =3.2(1-13)x =(1-17)y 8.端午节前夕,某超市用1 680元购进A ,B 两种商品共60件,其中A 型商品每件24元,B 型商品每件36元.设购买A 型商品x 件,B 型商品y 件,依题意列方程组正确的是( B )A. ⎩⎨⎧x +y =6036x +24y =1 680B. ⎩⎨⎧x +y =6024x +36y =1 680C. ⎩⎨⎧36x +24y =60x +y =1 680D. ⎩⎨⎧24x +36y =60x +y =1 6809.某车间有90名工人,每人每天平均能生产螺栓15个或螺帽24个,已知一个螺栓配两个螺帽,应该如何分配工人才能使生产的螺栓和螺帽刚好配套?则生产螺栓和生产螺帽的人数分别为( C )A. 50人,40人B. 30人,60人C. 40人,50人D. 60人,30人10.通讯员要在规定时间内到达某地,若每小时走15千米,则可提前24分钟到达某地;若每小时走12千米,则要迟到15分钟.设通讯员到达某地的路程是x 千米,原定的时间为y 小时,则可列方程组为( D ) A. ⎩⎨⎧x 15-15=y x 12+12=y B. ⎩⎨⎧x 15+15=y x 12-12=y C. ⎩⎨⎧x 15-2460=y x 12-1560=y D. ⎩⎨⎧x 15+2460=y x 12-1560=y二、填空题(每题5分,共20分)11.小刚解出了方程组⎩⎨⎧3x -y =3,2x +y =▲,解为⎩⎨⎧x =4,y =◆,因不小心滴上了两滴墨水,刚好盖住了方程组中的一个数和解中的一个数,则▲= 17 ,◆= 9 .12.《孙子算经》中有一道题:“今有木,不知长短,引绳度之,余绳四尺五寸;屈绳量之,不足一尺,木长几何?”译文大致是:“用一根绳子去量一根木条,绳子剩余4.5尺;将绳子对折再量木条,木条剩余1尺,问木条长多少尺?”如果设木条长x 尺,绳子长y 尺,可列方程组为 ⎩⎪⎨⎪⎧y -x =4.5y 2=x -1 .13.小林、小芳和小亮三人玩飞镖游戏,各投5支飞镖,规定在同一圆环内得分相同,中靶和得分情况如图,则小亮的得分是 21 分.14.一个两位数的十位数字及个位数字的和为8,若把这个两位数加上18,正好等于将这个两位数的十位数字及个位数字对调后所组成的新两位数,则原来的两位数为 35. 三、解答题(共90分)15.(8分)解下列二元一次方程组:(1)⎩⎨⎧3x +2y =19,①2x -y =1.② (2)⎩⎨⎧4x +3y =14,①3x +2y =22;② 解:由②,得y =2x -1.③ 将③代入①,得3x +4x -2=19. 解得x =3.将x =3代入③,得y =5. ∴原方程组的解为⎩⎨⎧x =3,y =5.16.(8分)“六一”前夕,市关工委准备为希望小学购进图书和文具若干套,已知1套文具和3套图书需104元,3套文具和2套图书需116元,求1套文具和1套图书各需多少元? 解:设1套文具的价格为x 元,一套图书的价格为y 元,根据题意,得⎩⎨⎧x +3y =104,3x +2y =116, 解得⎩⎨⎧x =20,y =28.答:1套文具和1套图书各需20元、28元.17.(8分)已知⎩⎨⎧x =2,y =-1是方程组⎩⎨⎧ax +y =b ,4x -by =a +5的解,求a ,b 的值.解:把⎩⎨⎧x =2,y =-1代入⎩⎨⎧ax +y =b ,4x -by =a +5得⎩⎨⎧2a -1=b ,①8+b =a +5.②把①代入②,得8+(2a -1)=a +5. 解得a =-2.把a =-2代入①,得2×(-2)-1=b. 解得b =-5. ∴a =-2,b =-5.18.(8分)甲、乙两人共同解方程组⎩⎨⎧ax +5y =15,①4x -by =-2,②由于甲看错了方程①中的a ,得到方程组的解为⎩⎨⎧x =-3,y =-1;乙看错了方程②中的b ,得到方程组的解为⎩⎨⎧x =5,y =4.试计算a2017+(-110b)2 018的值. 解:把⎩⎨⎧x =-3,y =-1代入方程②中,得4×(-3)-b×(-1)=-2,解得b =10. 把⎩⎨⎧x =5,y =4代入方程①中,得 5a +5×4=15,解得a =-1. ∴a2 017+(-110b)2 018=(-1)2 017+(-110×10)2 018=(-1)+1=0. 19.(10分)甲、乙两位同学一起解方程组⎩⎨⎧ax +by =2,cx -3y =-2,甲正确地解得⎩⎨⎧x =1,y =-1,乙仅因抄错了题中的c ,解得⎩⎨⎧x =2,y =-6,求原方程组中a ,b ,c 的值.解:把⎩⎨⎧x =1,y =-1代入⎩⎨⎧ax +by =2,cx -3y =2中,得⎩⎨⎧a -b =2,c +3=-2,∴⎩⎨⎧a -b =2,c =-5.由题意知:⎩⎨⎧x =2,y =-6是方程ax +by =2的解,∴2a -6b =2,即a -3b =1. 联立⎩⎨⎧a -b =2,a -3b =1,解得⎩⎨⎧a =52,b =12.故a =52,b =12,c =-5. 20.(10分)随着“互联网+”时代的到来,一种新型打车方式受到大众欢迎,该打车方式的总费用由里程费和耗时费组成,其中里程费按p 元/公里计算,耗时费按q 元/分钟计算(总费用不足9元按9元计价).小明、小刚两人用该打车方式出行,按上述计价规则,其打车总费用、行驶里程数及车速如表:(1)求p ,q 的值;(2)如果小华也用该打车方式,车速55公里/时,行驶了11公里,那么小华的打车总费用为多少? 解:(1)由题意,得⎩⎨⎧8p +8q =12,10p +12q =16. 解得⎩⎪⎨⎪⎧p =1,q =12.(2)小华的里程数是11 km ,时间为12 min. 则总费用是:11p +12q =17(元).答:总费用是17元.21.(12分)学校“百变魔方”社团准备购买A ,B 两种魔方,已知购买2个A 种魔方 和6个B 种魔方共需130元,购买3个A 种魔方和4个B 种魔方所需款数相同. (1)求这两种魔方的单价;(2)结合社员们的需求,社团决定购买A ,B 两种魔方共100个. 某商店有两种优惠活动,如图所示.请根据以上信息,购进A 种 魔方多少个时,两种活动费用相同?解:(1)设A 种魔方的单价为x 元/个,B 种魔方的单价为y 元/个,根据题意,得⎩⎨⎧2x +6y =130,3x =4y , 解得⎩⎨⎧x =20,y =15.答:A 种魔方的单价为20元/个,B 种魔方的单价为15元/个. (2)设购进A 种魔方m 个,则购进B 种魔方(100-m)个,根据题意,得0.8×20m +0.4×15(100-m)=20m +15(100-m -m),解得m =45. 答:购进A 种魔方45个时,两种活动费用相同. 22.(12分)某景点的门票价格如下表:购票人数/人 1~50 51~100 100以上 每人门票价/元12108某校七年级(1)、(2)两班计划去游览该景点,其中(1)班人数少于50人,(2)班人数多于50人且少于100人.如果两班都以班为单位单独购票,那么一共支付 1 118元,如果两班联合起来作为一个团体购票,那么只需花费816元.(1)两个班各有多少名学生?(2)团体购票及单独购票相比较,两个班各节约了多少钱? 解:(1)设七年级(1)班有x 名学生,七年级(2)班有y 名学生. ①若两班人数多于50人且少于100人,则⎩⎨⎧12x +10y =1 118,10(x +y )=816.解得⎩⎨⎧x =151,y =-69.4.不合题意,舍去;②若两班人数多于100人,则⎩⎨⎧12x +10y =1 118,8(x +y )=816. 解得⎩⎨⎧x =49,y =53.答:七年级(1)班有49名学生,七年级(2)班有53名学生. (2)∵49×(12-8)=196,53×(10-8)=106,∴团体购票及单独购票相比较,七年级(1)班节约了196元,七年级(2)班节约了106元. 23.(14分)“五一”期间,步步高超市进行兑换活动,亮亮妈妈的积分卡里有7 000 分,她看了看兑换方法后(见表),兑换了两种礼品共5件并刚好用完积分,请你求出亮 亮妈妈的兑换方法.礼品表兑换礼品 积分 榨汁机一个 3 000分 电茶壶一个 2 000分 书包一个1 000分解:①设亮亮妈妈兑换了x 个电茶壶和y 个书包,由题意,得⎩⎨⎧2 000x +1 000y =7 000,x +y =5, 解得⎩⎨⎧x =2,y =3.②设亮亮妈妈兑换了x 个榨汁机和y 个书包,由题意,得⎩⎨⎧3 000x +1 000y =7 000,x +y =5, 解得⎩⎨⎧x =1,y =4.③设亮亮妈妈兑换x 个榨汁机和y 个电茶壶,由题意,得⎩⎨⎧3 000x +2 000y =7 000,x +y =5,解得⎩⎨⎧x =-3,y =8.不合题意,舍去.答:亮亮妈妈兑换了2个电茶壶和3个书包或1个榨汁机和4个书包.。
第八章二元一次方程组单元知识检测题(时间:90分钟满分:100分)一、选择题(每小题3分,共24分)1.方程2x-1y=0,3x+y=0,2x+xy=1,3x+y-2x=0,x2-x+1=0中,二元一次方程的个数是()A.1个B.2个C.3个D.4个2.二元一次方程组32325x yx y-=⎧⎨+=⎩的解是()A.3217...230122xx xxB C Dy yyy=⎧⎧===⎧⎧⎪⎪⎨⎨⎨⎨==-=⎩⎩⎪⎪=⎩⎩3.关于x,y的二元一次方程组59x y kx y k+=⎧⎨-=⎩的解也是二元一次方程2x+3y=6的解,则k的值是(• )A.k=-34B.k=34C.k=43D.k=-434.如果方程组1x yax by c+=⎧⎨+=⎩有唯一的一组解,那么a,b,c的值应当满足()A.a=1,c=1 B.a≠b C.a=b=1,c≠1 D.a=1,c≠1 5.方程3x+y=7的正整数解的个数是()A.1个B.2个C.3个D.4个6.已知x,y满足方程组45x my m+=⎧⎨-=⎩,则无论m取何值,x,y恒有关系式是( )A.x+y=1 B.x+y=-1 C.x+y=9 D.x+y=97.如果│x+y-1│和2(2x+y-3)2互为相反数,那么x,y的值为()A.1122 ...2211 x x x xB C Dy y y y==-==-⎧⎧⎧⎧⎨⎨⎨⎨==-=-=-⎩⎩⎩⎩8.若2,117x ax byy bx by=-+=⎧⎧⎨⎨=+=⎩⎩是方程组的解,则(a+b)·(a-b)的值为()A.-353B.353C.-16 D.16二、填空题(每小题3分,共24分)9.若2x2a-5b+y a-3b=0是二元一次方程,则a=______,b=______.10.若12ab=⎧⎨=-⎩是关于a,b的二元一次方程ax+ay-b=7的一个解,则代数式x2+2xy+y2-1•的值是_________.11.写出一个解为12x y =-⎧⎨=⎩的二元一次方程组__________.12.a -b=2,a -c=12,则(b -c )3-3(b -c)+94=________. 13.已知32111x x y y ==-⎧⎧⎨⎨==⎩⎩和都是ax+by=7的解,则a=_______,b=______. 14.若2x 5a y b+4与-x 1-2b y 2a 是同类项,则b=________.15.方程mx -2y=x+5是二元一次方程时,则m________.16.方程组2332s t s t +-==4的解为________. 三、解答题17.解方程组(每小题4分,共8分)(1)257320x y x y -=⎧⎨-=⎩ 33(2)255(2)4x y x y +⎧=⎪⎨⎪-=-⎩18.已知y=3xy+x ,求代数式2322x xy y x xy y +---的值.(本小题5分)19.已知方程组256351648x y x y ax by bx ay +=--=⎧⎧⎨⎨-=-+=-⎩⎩与方程组的解相同.求(2a+b )2004的值本小题5分) 20.已知x=1是关于x 的一元一次方程ax -1=2(x -b )的解,y=1是关于y 的一元一次方程b (y -3)=2(1-a )的解.在y=ax 2+bx -3中,求当x=-3时y 值.(本小题5分)21.甲、乙两人同解方程组54ax y x by +=⎧⎨=-⎩ 时,甲看错了方程①中的a,解得31x y =-⎧⎨=-⎩,乙看错了②中的b,200620075()410x b a y =⎧+-⎨=⎩试求的值.(本小题5分)22.某商场按定价销售某种电器时,每台可获利48元,•按定价的九折销售该电器6台与将定价降低30元销售该电器9台所获得的利润相等.求该电器每台的进价、•定价各是多少元?(本小题6分)23.一张方桌由1个桌面,4条桌腿组成,如果1m3木料可以做方桌的桌面50•个或做桌腿300条,现有10m3木料,那么用多少立方米的木料做桌面,•多少立方米的木料做桌腿,做出的桌面与桌腿,恰好能配成方桌?能配成多少张方桌.(本小题6分)24.甲、乙二人在上午8时,自A、B两地同时相向而行,上午10时相距36km,•二人继续前行,到12时又相距36km,已知甲每小时比乙多走2km,求A,B两地的距离.(•本小题6分)25.某中学组织学生春游,原计划租用45座客车若干辆,但有15人没有座位;若租用同样数量的60座客车,则多出一辆车,且其余客车恰好坐满,已知45•座客车每日每辆租金为220元,60座客车每日每辆租金为300元.试问:(1)春游学生共多少人?原计划租45座客车多少辆?(2)若租用同一种车,要使每位同学都有座位,怎样租车更合算?(本小题6分)答案:一、选择题1.B 解析:②④是2.C 解析:用加减法,直接相加即可消去y,求得x的值.3.B 解析:解方程组可得x=7k,y=-2k,然后把x,y代入二元一次方程2x+3y=6,即2×7k+3×(-2k)=6,解得k=34,故选B.4.B5.B 解析:正整数解为:1241 x xy y==⎧⎧⎨⎨==⎩⎩6.C 解析:由方程组消去m,得到一个关于x,y的方程,化简这个方程即可.7.C 解析:根据两个非负数互为相反数,判断两个非负数必定都是0,所以有122 2301 x y xx y y+-==⎧⎧⎨⎨+-==-⎩⎩解得8.C 解析:把x=-2,y=1代入原方程组得213 275a b ab a b-+==-⎧⎧⎨⎨-+==-⎩⎩解得,∴(a+b)(a-b)=-16.二、填空题9.-2,-1 解析:根据二元一次方程的定义可得x,y的指数都是1,•由二元一次方程定义,得2512311 a b aa b b-==-⎧⎧⎨⎨-==-⎩⎩解得.10.24 解析:把a=1,b=-2代入原方程可得x+y的值,把a=1,b=-2代入ax+ay-b=•7得x+y=5,因为x2+2xy+y2-1=(x+y)2-1,所以原式=24.11.2024x yx y+=⎧⎨-=-⎩(答案不唯一).12.278解析:由a-b=2,a-c=12可得b-c=-32,再代入(b-c)3-3(b-c)+94=278.13.2 1 解析:本题既考查了二元一次方程的解的概念又考查了二元一次方程组的解法.分别将两组解法代入二元一次方程,可得372 21171a b aa b b+==⎧⎧⎨⎨-+==⎩⎩解这个方程组得.14.-2 解析:本题涉及同类项的概念:所含字母相同,相同字母的指数也相同,• 由此可得5a=1-2b;b+4=2a,将两式联立组成方程组,解出a,b的值,分别为a=1,b=-2,•故b a=-2.15.≠116. 24434342s t s t s t +⎧=⎪=⎧⎪⎨⎨=-⎩⎪=⎪⎩解析:解方程组即可. 三、解答题17.解:(1)257320x y x y -=⎧⎨-=⎩3得,6x -3y=15 ③ ②-③,得x=5.将x=5代入①,得y=5,所以原方程组的解为55x y =⎧⎨=⎩. (2)原方程组变为51565104x y x y +=⎧⎨-=-⎩①-②,得y=25.将y=25代入①,得5x+15×25=6,x=0, 所以原方程组的解为025x y =⎧⎪⎨=⎪⎩. 18.解:因为y=3xy+x ,所以x -y=-3xy . 当x -y=-3xy 时,2322()32(3)332()2325x xy y x y xy xy xy x xy y x y xy xy xy +--+-+===------. 解析:首先根据已知条件得到x -y=-3xy,再把要求的代数式化简成含有x -y 的式子,然后整体代入,使代数式中只含有xy ,约分后得解.19.解:因为两个方程组的解相同,所以解方程组25623562x y x x y y +=-=⎧⎧⎨⎨-==-⎩⎩解得 代入另两个方程得2143a b a a b b +=-=⎧⎧⎨⎨-+=-=-⎩⎩解得,∴原式=(2×1-3)2004=1. 20.解:将x=1,y=1分别代入方程得512(1)3(13)2(1)23a a b b a b ⎧=⎪-=-⎧⎪⎨⎨-=-⎩⎪=⎪⎩解方程组得 所以原式=53x 2+23x -3.当x=-3时,• 原式=53×(-3)2+23×(-3)-3=15-2-3=10. 21.解:把31x y =-⎧⎨=-⎩代入方程②,得4×(-3)=b ·(-1)-2,解得b=10.把54x y =⎧⎨=⎩ 代入方程①,得5a+5×4=15,解得a=-1,所以a 2006+20072006200710()(1)()1010b -=-+-=1+(-1)=0. 22.解:设该电器每台的进价为x 元,定价为y 元.由题意得48,162,6(0.9)9(30)210.y x x y x y x y -==⎧⎧⎨⎨-=--=⎩⎩解得. 答:•该电器每台的进价是162元,定价是210元.解析:打九折是按定价的90%销售,利润=售价-进价.23.解:设用xm 3木料做桌面,ym 3木料做桌腿.由题意,得106,450300 4.x y x x y y +==⎧⎧⎨⎨⨯==⎩⎩解得 (2)6×50=300(张).答:用6m 3木料做桌面,4m 3木料做桌腿恰好能配成方桌,能配成300张方桌.解析:问题中有两个条件:①做桌面用的木料+做桌腿用的木料=10;②4×桌面个数=桌腿个数.24.解:设A 、B 两地相距xkm,乙每小时走ykm ,则甲每小时走(y+2)km .根据题意,•得2(2)361084(2)3617y y x x y y x y ++=-=⎧⎧⎨⎨++=+=⎩⎩解这个方程组得.答:略. 25.解:(1)设参加春游的学生共x 人,原计划租用45座客车y 辆.根据题意,得451524060(1)5y x x y x y +==⎧⎧⎨⎨-==⎩⎩解这个方程组,得 . 答:春游学生共240人,原计划租45座客车5辆.(2)租45座客车:240÷45≈5.3,所以需租6辆,租金为220×6=1320(元);租60•座客车:240÷60=4,所以需租4辆,租金为300×4=1200(元).所以租用4辆60座客车更合算.解析:租车时最后一辆不管几个人都要用一辆,所以在计算车的辆数时用“收尾法”,而不是“四舍五入”.。
第八章 二元一次方程组单元测试题一、选择题:(每题3分,共36分)1.下列方程中,是二元一次方程的是( )A .3x -2y=4zB .6xy+9=0C .1x +4y=6D .4x=24y -2.下列方程组中,是二元一次方程组的是( )A .228423119 (237)54624x y x y a b x B C D x y b c y xx y +=+=-=⎧⎧=⎧⎧⎨⎨⎨⎨+=-==-=⎩⎩⎩⎩3.二元一次方程5a -11b=21 ( )A .有且只有一解B .有无数解C .无解D .有且只有两解 4.方程y=1-x 与3x+2y=5的公共解是( )A .3333...2422x x x x B C D y y y y ==-==-⎧⎧⎧⎧⎨⎨⎨⎨===-=-⎩⎩⎩⎩5.若│x -2│+(y+3)2=0,则 x+y 的值是( ) A .-1 B .-2 C .-3 D .326.方程组43235x y kx y -=⎧⎨+=⎩的解,x 与y 的值相等,则k 等于( )A .-1B .-2C .-3D .17.下列各式,属于二元一次方程的个数有( )①xy+2x -y=7; ②4x+1=x -y ; ③1x+y=5; ④x=y ;⑤x 2-y 2=2 ⑥6x -2y ⑦x+y+z=1 ⑧y (y -1)=2y 2-y 2+x A .1 B .2 C .3 D .48.七年级学生共有246人,其中男生人数y 比女生人数x 的2倍少2人,•则下面所列的方程组中符合题意的有( )A .246246216246 (22222222)x y x y x y x y B C D y x x y y x y x +=+=+=+=⎧⎧⎧⎧⎨⎨⎨⎨=-=+=+=+⎩⎩⎩⎩ 9.方程2x+y=9在正整数范围内的解有( )A 、1个B 、2个C 、3个D 、4个10.若是m y x 25与2214-++n m n y x 同类项,则n m -2的值为 ( )A 、1B 、-1C 、-3D 、以上答案都不对⎨⎧=2xA 、⎩⎨⎧=+=-5253y x y xB 、⎩⎨⎧=--=523x y x yC 、⎩⎨⎧=+=-152y x y xD 、⎩⎨⎧+==132y x y x12.若方程组 ⎩⎨⎧=+=+16156653y x y x 的解也是方程3x+ky=10的解,则k的值是( )A、k=6 B、k=10 C、k=9 D、k=101二、填空题(每题3分,共18分)13.已知方程2x+3y -4=0,用含x 的代数式表示y 为:______________;用含y 的代数式表示x 为_____ ________.14.若x 3m -3-2y n -1=5是二元一次方程,则m=_____,n=___ ___. 15.已知│x -1│+(2y+1)2=0,且2x -ky=4,则k=_____. 16.二元一次方程x+y=5的正整数解有______________. 17.以57x y =⎧⎨=⎩为解的一个二元一次方程组是_________. 18.已知2316x mx y y x ny =-=⎧⎧⎨⎨=--=⎩⎩是方程组的解,则m=_______,n=______. 三、解答题(共46分)19.用适当的方法解下列方程组(12分)(1)、⎩⎨⎧=-=+-6430524m n n m ( 2)、⎪⎪⎩⎪⎪⎨⎧=--=-323113121y x y x (3)、⎩⎨⎧=-=+110117.03.04.0y x y x20.(6分)二元一次方程组437(1)3x ykx k y+=⎧⎨+-=⎩的解x,y的值相等,求k.21.(6分)七年级学生去某处旅游,如果每辆汽车坐45人,那么有15个学生没有座位;如果每辆汽车坐60人,那么空出1辆汽车。
二元一次方程组单元测试卷学校:___________姓名:___________班级:___________一、选择题(本大题共12小题,共36.0分)1. 方程ax −4y =x −1是二元一次方程,则a 的取值为( )A. a ≠0B. a ≠−1C. a ≠1D. a ≠2 2. 下列方程组不是二元一次方程组的是( )A. {x −y =41x+y=4B. {4x +3y =62x +y =2 C. {x −y =4x +y =2D. {12(y −1)=212(x−1)=13. 方程组{3x +2y =7, ①4x −y =13, ②下列变形正确的是( )A. ①×2−②消去xB. ①−②×2消去yC. ①×2+②消去xD. ①+②×2消去y 4. 方程组{ax −y =12x +by =2的解为{x =1y =1,则a ,b 的值为( )A. a =2,b =0B. a =−2,b =0C. a =−2,b =2D. a =2,b =25. 二元一次方程2x +y =5的正整数解对数为( )A. 1对B. 2对C. 3对D. 4对 6. 已知|3x +2y −4|与9(5x +7y −3)2互为相反数,则x 、y 的值是( )A. {x =1y =1B. {x =2y =−1C. {x =−1y =2D. 无法确定7. 小明用17元买了1支笔和某种笔记本3个,已知笔记本的单价比笔的单价的2倍还多1元,设笔每支x 元,笔记本每本y 元,则所列方程组为( )A. {x +3y =17x =2y +1B. {x +3y =17y =2x +1C. {y +3x =17x =2y +1D. {y +3x =17y =2x +18. 用“●”“■”“●”分别表示三种不同的物体,如图所示,前两架天平保持平衡,若要使第三架天平也平衡,那么“?”处应放“■”的个数为( )A. 5个B. 4个C. 3个D. 2个9. 用四个完全一样的长方形和一个小正方形拼成如图所示的大长方形的长和宽,已知大正方形的面积是121,小正方形的面积是9,若用x ,y(x >y)表示长方形的长和宽,则下列关系中不正确的是( ) A. x +y =11 B. x 2+y 2=180 C. x −y =3 D. x ⋅y =2810. 如果二元一次方程ax +by +2=0有两个解{x =2y =2与{x =1y =−1,那么下列各组中仍是这个方程的解的是( )A. {x =3y =5 B. {x =6y =2 C. {x =5y =3 D. {x =2y =6 11. 已知x =2m +1,y =2m −1,用含x 的式子表示y 的结果是( ) A. y =x +2B. y =x −2C. y =−x +2D. y =−x −212. 已知{x =1y =2z =3是方程组{ax +by =2by +cz =3cx +az =7的解,则a +b +c 的值是( )A. 3B. 2C. 1D. 无法确定二、填空题(本大题共6小题,共18.0分)13. 已知二元一次方程x +2y =2,用含x 的代数式表示y ,则y = ______ . 14. 已知{x =1y =−1是方程3mx −y =m 的一个解,则m =______.15. 已知{x =2y =3是方程4x +ky =2的解,则k =______.16. 甲种电影票每张20元,乙种电影票每张15元,若购买甲、乙两种电影票共40张,恰好用去700元,则甲种电影票买了______张. 17. 在一本书上写着方程组{x +py =2x +y =1的解是{x =0.5y =♦,其中y 的值被墨渍盖住了,不过,我们可解得出p = ______ .18. 对于X 、Y 定义一种新运算“∗”:X ∗Y =aX +bY ,其中a 、b 为常数,等式右边是通常的加法和乘法的运算.已知:3∗5=15,4∗7=28,那么2∗3=_____. 三、解答题(本大题共6小题,共46.0分) 19. (8分)解方程组(1){y =2x 3y +2x =8(2){x +y =2x+15−y−12=−1.20. (6分)在等式y =ax 2+bx +c 中,当x =O 时y =0;当x =1时,y =−1;当x =−1时,y =2,求a ,b ,c 的值. 21. (8分)若关于x 、y 的二元一次方程组的解x ,y 互为相反数,求m 的值.22. (8分)已知方程组{ax +5y =15①4x −by =−2②,由于甲看错了方程①中的a 得到方程组的解为{x =−13y =−1,乙看错了方程②中的b 得到方程组的解为{x =5y =4,(1)求a 、b 的值. (2)求原方程组的解.23. (8分)食品安全是关乎民生的重要问题,在食品中添加过量的添加剂对人体健康有害,但适量的添加剂对人体健康无害而且有利于食品的储存和运输.为提高质量,做进一步研究,某饮料加工厂需生产A 、B 两种饮料共100瓶,需加入同种添加剂270克,其中A 饮料每瓶需加添加剂2克,B 饮料每瓶需加添加剂3克,饮料加工厂生产了A 、B 两种饮料各多少瓶?24. (8分)某服装店用6000元购进A ,B 两种新式服装,按标价售出后可获得毛利润A 型B 型 进价(元/件) 60 100 标价(元/件)100160(1)求这两种服装各购进的件数;(2)如果A中服装按标价的8折出售,B中服装按标价的7折出售,那么这批服装全部售完后,服装店比按标价售出少收入多少元?二元一次方程组单元测试卷【答案】 1. C 2. A 3. D4. A5. B6. B7. B8. A 9. B10. A 11. B12. A13.2−x 214. −12 15. −2 16. 20 17.3 18. 219. 解:(1){y =2x ①3y +2x =8 ②,把①代入②得:6x +2x =8,即x =1, 把x =1代入①得:y =2,则方程组的解为{x =1y =2;(2)方程组整理得:{2x −5y =−17 ①x +y =2 ②,①+②×5得:7x =−7,即x =−1, 把x =−1代入②得:y =3, 则方程组的解为{x =−1y =3.20. 解:根据题意得{c =0①a +b +c =−1②a −b +c =2③ ,②+③得2a +2c =1④, 把①代入④得2a =1, 解得a =12,把a =12,c =0代入②得12+b +0=−1, 解得b =−32,所以方程组的解为{a =12b =−32c =0.21. 解:将x =−y 代入二元一次方程租{3x +5y =22x +7y =m −18可得关于y ,m 的二元一次方程组{−3y +5y =2−2y +7y =m −18,解得m =23.22. 解:(1)将{x =−13y =−1,代入方程组中的第二个方程得:−52+b =−2, 解得:b =50,将{x =5y =4代入方程组中的第一个方程得:5a +20=15, 解得:a =−1.故a 的值是−1,b 的值是50. (2)把a =−1,b =50代入方程组得{−x +5y =15①4x −50y =−2②,①×10+②得:−6x =148, 解得:x =−743,将x =−743代入①得:y =−2915. 则原方程组的解为{x =−743y =−2915.23. 解:设A 种饮料生产了x 瓶,B 种饮料生产了y 瓶,根据题意,得:{x +y =1002x +3y =270,解得:{x =30y =70,答:A 种饮料生产了30瓶,B 种饮料生产了70瓶.24. 解:(1)设A 种服装购进x 件,B 种服装购进y 件,由题意,得 {60x +100y =600040x +60y =3800, 解得:{x =50y =30.答:A 种服装购进50件,B 种服装购进30件;(2)由题意,得3800−50(100×0.8−60)−30(160×0.7−100)=3800−1000−360 =2440(元). 答:服装店比按标价售出少收入2440元.1. 【解答】解:方程ax −4y =x −1变形得(a −1)x −4y =−1, 根据二元一次方程的概念,方程中必须含有两个未知数, 所以a −1≠0,即a ≠1. 故选C .2. 解:A 、第一个方程不是整式方程,则方程组不是二元一次方程组; B 、C 、D 、正确. 故选A .组成二元一次方程组的两个方程应共含有两个未知数,且未知数的项最高次数都应是一次的整式方程.3. 解:方程组{3x +2y =7, ①4x −y =13, ②,变形得:①+②×2消去y . 故选D方程组中第二个方程两边乘以2,与第一个方程相加消去y 即可.4. 解:把{x =1y =1代入{ax −y =12x +by =2得{a −1=1 ①2+b =2 ②解得{a =2b =0,故选:A .根据方程组的解满足方程,把解代入方程组,可得关于a 、b 的方程组,解方程组,可得答案.5. 解:2x +y =5, 解得:y =−2x +5,当x =1时,y =3;当x =2时,y =1, 则方程的正整数解为2对. 故选B将x 看做已知数求出y ,即可确定出方程的正整数解.6. 【解答】解:根据题意得:|3x +2y −4|+9(5x +7y −3)2=0, 可得{3x +2y =4①5x +7y =3②,②×3−①×5得:11y =−11,即y =−1, 将y =−1代入①得:x =2, 则方程组的解为{x =2y =−1,故选B7. 解:设笔每支x 元,笔记本每本y 元,由题意得,{x +3y =17y =2x +1.故选B .设笔每支x 元,笔记本每本y 元,根据用17元买了1支笔和某种笔记本3个,笔记本的单价比笔的单价的2倍还多1元,列方程组即可.8. 解:设“●”“■”“●”分别为x 、y 、z ,由图可知, {2x =y +z z =x +y,解得x =2y ,z =3y , 所以x +z =2y +3y =5y ,即“■”的个数为5, 故选A .设“●”“■”“●”分别为x 、y 、z ,由图列出方程组解答即可解决问题. 解决此题的关键列出方程组,求解时用其中的一个数表示其他两个数,从而使问题解决. 9. 解:由题意得,大正方形的边长为14,小正方形的边长为2 ∴x +y =11,x −y =3, 则{x +y =11x −y =3, 解得:{x =7y =4.故可得B 选项的关系式不正确. 故选:B .根据大正方形及小正方形的面积,分别求出大正方形及小正方形的边长,然后解出x 、y 的值,即可判断各选项.10. 解:把{x =2y =2与{x =1y =−1代入方程ax +by +2=0有{2a +2b +2=0a −b +2=0,解得{a =−32b =12,所以二元一次方程为−32x +12y +2=0,把A {x =3y =5代入方程得,左边=−32×3+12×5+2=0,右边=0,左边=右边,则是该方程的解. 故选A .把二元一次方程ax +by +2=0的两个解{x =2y =2与{x =1y =−1分别代入方程得到{2a +2b +2=0a −b +2=0,解方程组得到{a =−32b =12,所以二元一次方程为−32x +12y +2=0;然后把四个选项代入方程检验,能使方程的左右两边相等的x ,y 的值即是方程的解. 注意掌握二元一次方程的求解及二元一次方程组的求解方法.11. 【解答】解:由x =2m +1,y =2m −1, 得到x −y =2, 解得:y =x −2, 故选B .12. 解:由题意将{x =1y =2z =3代入方程组得:{a +2b =2①2b +3c =3②c +3a =7③,①+②+③得:a +2b +2b +3c +c +3a =2+3+7, 即4a +4b +4c =4(a +b +c)=12, 则a +b +c =3. 故选A .由题意,可将x ,y 及z 的值代入方程组得到关于a ,b ,c 的方程组,将方程组中三个方程左右两边相加,变形后即可求出a +b +c 的值.此题考查了三元一次方程组的解,以及解三元一次方程组,方程组的解为能使方程组中每一个方程左右两边相等的未知数的值,本题的技巧性比较强,求a +b +c 不要求出a ,b 及c 的值,而是整体求出. 13. 解:方程x +2y =2, 解得:y =2−x 2, 故答案为:2−x 2.把x 看做已知数求出y 即可.此题考查了解二元一次方程,解题的关键是将x 看做已知数求出y .14. 解:把{x =1y =−1代入方程得:3m +1=m ,解得:m =−12. 故答案是:−12.把{x =1y =−1代入方程,即可得到一个关于m 的方程,解方程即可求解. 本题考查二元一次方程的解的定义,要求理解把x ,y 的值代入原方程后,方程左右两边一定相等.15. 解:把{x =2y =3代入方程4x +ky =2,得4×2+3k =2, 解得k =−2. 故答案为−2.知道了方程的解,可以把这对数值代入方程,得到一个含有未知数k 的一元一次方程,从而可以求出k 的值.本题考查二元一次方程的解的定义,解题关键是把方程的解代入原方程,使原方程转化为以系数k 为未知数的方程.一组数是方程的解,那么它一定满足这个方程,利用方程的解的定义可以求方程中其他字母的值.16. 解:设购买甲电影票x 张,乙电影票y 张, 由题意得,{x +y =4020x +15y =700,解得:{x =20y =20,即甲电影票买了20张.故答案为:20.设购买甲电影票x 张,乙电影票y 张,则根据总共买票40张,花了700元可得出方程组,解出即可得出答案.此题考查了二元一次方程组的应用,属于基础题,解答本题的关键是根据题意等量关系得出方程组.17. 解:将x =0.5代入x +y =1,得0.5+y =1, 则y =0.5,将x =0.5,y =0.5代入x +py =2,有0.5+0.5p =2, 解得p =3.根据方程组解的定义,把x =0.5代入x +y =1求出y 的值,再将x 、y 的值代入x +py =2即可求出p 的值.此题考查了对方程解的理解,直接代入方程求值即可. 18. 解:∵X ∗Y =aX +bY ,3∗5=15,4∗7=28, ∴3a +5b =15 ①,4a +7b =28 ②, ∴②−①得:a +2b =13 ③, ①−③得:2a +3b =2, 而2∗3=2a +3b =2.本题是一种新定义运算题目.首先要根据运算的新规律,得出3a +5b =15①,4a +7b =28②,2∗3=2a +3b .本题考查有理数运算在实际生活中的应用,利用所学知识解答实际问题是我们应具备的能力.认真审题,准确的列出式子是解题的关键. 19. (1)方程组利用代入消元法求出解即可;(2)方程组整理后,利用加减消元法求出解即可.此题考查了解二元一次方程组,利用了消元的思想,消元的方法有:代入消元法与加减消元法.20. 先根据题意得到三元一次方程组{c =0①a +b +c =−1②a −b +c =2③ ,再把②与③相加可计算出a ,然后把a 与c 的值代入②可计算出b .本题考查了解三元一次方程组:利用代入法或加减法,把三元一次方程组的问题转化为解二元一次方程组的问题.21. 考查了解二元一次方程的能力和对方程解的概念的理解.利用x ,y 的关系代入方程组消元,从而求得m 的值.22. 此题考查了二元一次方程组的解,方程组的解即为能使方程组中两方程成立的未知数的值.(1)将甲得到的方程组的解代入第二个方程求出b 的值,将乙得到方程组的解代入第一个方程求出a的值,从而求解;(2)先确定出正确的方程组,求出方程组的解即可得到原方程组的解.23. 设A种饮料生产了x瓶,B种饮料生产了y瓶,根据:①A种饮料瓶数+B种饮料瓶数=100,②A种饮料添加剂的总质量+B种饮料的总质量=270,列出方程组求解可得.本题主要考查二元一次方程组的应用能力,在解题时要能根据题意得出等量关系,列出方程组是本题的关键.24. (1)设A种服装购进x件,B种服装购进y件,由总价=单价×数量,利润=售价−进价建立方程组求出其解即可;(2)分别求出打折后的价格,再根据总利润=A种服装的利润+B中服装的利润,求出其解即可.本题考查了销售问题的数量关系的运用,列二元一次方程组解实际问题的运用,解答时由销售问题的数量关系建立二元一次方程组是关键.。
人教版七年级数学下册第八章二元一次方程组单元测试题一、选择题。
1.已知下列方程组:(1)3{ 2x y y ==-,(2)32{ 24x y y +=-=,(3)1+3{ 10x y x y =--=,(4)1+3{ 10x y x y=-=,其中属于二元一次方程组的个数为( )A. 1B. 2C. 3D. 4 2.已知方程组54{58x y x y +=+=,则x ﹣y 的值为( )A. 2B. ﹣1C. 12D. ﹣43.用一根绳子环绕一棵大树,若环绕大树3周,绳子还多4尺,若环绕大树4周,绳子又少了3尺,则环绕大树一周需要绳子( )A. 5尺B. 6尺C. 7尺D. 8尺4.甲、乙、丙、丁四人到文具店购买同一种笔记本和计算器,购买的数量及总价分别如下表所示.若其中一人的总价算错了,则此人是( )A.甲B .乙C .丙D .丁5.如果是方程组 的解,那么下列各式中成立的是( )A. a +4c =2B. 4a +c =2C. 4a +c +2=0D. a +4c +2=06.某班共有学生49人.一天,该班某男生因事请假,当天的男生人数恰为女生人数的一半.若设该班男生人数为x ,女生人数为y ,则下列方程组中,能计算出x ,y 的是( )A.⎩⎪⎨⎪⎧x -y =49,y =2(x +1)B.⎩⎪⎨⎪⎧x +y =49,y =2(x +1)C.⎩⎪⎨⎪⎧x -y =49,y =2(x -1)D.⎩⎪⎨⎪⎧x +y =49,y =2(x -1) 7.二元一次方程组的正整数解有( )组解A. 0B. 3C. 4D. 6 8.《九章算术》是中国传统数学的重要著作,方程术是它的最高成就.其中记载:今有人共买物,人出八,盈三;人出七,不足四,问人数、物价各几何?译文:今有人合伙购物,每人出8钱,会多3钱;每人出7钱,又会差4钱,问人数、物价各是多少?设合伙人数为x 人,物价为y 钱,以下列出的方程组正确的是( )A. B. C. D.9.解方程组2{78ax by cx y +=-=时,一学生把c 看错得2{ 2x y =-=,已知方程组的正确解是3{2x y ==-,则a 、b 、c 的值是( )A. a 、b 不能确定,c=-2B. a 、b 、c 不能确定C. a=4,b=7,c=2D. a=4,b=5,c=-210.一个两位数,十位上数字比个位上数字大2,且十位上数字与个位上数字之和为12,则这个两位数为( )A. 46B. 64C. 57D. 75 二、填空题(每小题3分,共15分)1.若2x a +1-3y b -2=10是一个二元一次方程,则a -b =________.2.若方程组⎩⎪⎨⎪⎧2x +y =*,3x -y =3的解为⎩⎨⎧x =2,y =#,则“*”“#”的值分别为________.象限.3.已知等式y =kx +b ,当x =1时,y =2;当x =2时,y =-3.若x =-1,则y =________.4.若m ,n 为实数,且|2m+n ﹣,则(m+n )2018的值为________ .5.若235,{ 323x y x y +=-=-则2(2x +3y)+3(3x -2y)=________.6.对于X 、Y 定义一种新运算“*”:X*Y=aX+bY ,其中a 、b 为常数,等式右边是通常的加法和乘法的运算.已知:3*5=15,4*7=28,那么2*3=__________ . 三、解答题 1.解方程组:(1)(2);2.解关于x 、y 的方程组时,甲正确地解得方程组的解为,乙因为把c抄错了,在计算无误的情况下解得方程组的解为,求a、b、c的值.3.随着“互联网+”时代的到来,一种新型打车方式受到大众欢迎,该打车方式的总费用由里程费和耗时费组成,其中里程费按p元/公里计算,耗时费按q元/分钟计算(总费用不足9元按9元计价).小明、小刚两人用该打车方式出行,按上述计价规则,其打车总费用、(1)求p,q的值;(2)如果小华也用该打车方式,车速55公里/时,行驶了11公里,那么小华的打车总费用为多少?4.已知:用2辆A型车和1辆B型车载满货物一次可运货11吨;用1辆A型车和2辆B型车载满货物一次可运货13吨.根据以上信息, 解答下列问题:(1)1辆A型车和l辆B型车都载满货物一次可分别运货多少吨?(2)某物流公司现有31吨货物,计划同时租用A型车a辆,B型车b辆,一次运完,且恰好每辆车都载满货物请用含有b的式子表示a,并帮该物流公司设计租车方案;(3)在(2)的条件下,若A型车每辆需租金500元/次,B型车每辆需租金600元/次.请选出最省钱的租车方案,并求出最少租车费用.5.某商场计划从一厂家购进若干部新型手机以满足市场需求.已知该厂家生产三种不同型号的手机,出厂价分别是甲种型号手机1800元/部,乙种型号手机600元/部,丙种型号手机1200元/部.商场在经销中,甲种型号手机可赚200元/部,乙种型号手机可赚100元/部,丙种型号手机可赚120元/部.(1)若商场用6万元同时购进两种不同型号的手机共40部,并恰好将钱用完,请你通过计算分析进货方案;(2)在(1)的条件下,求盈利最多的进货方案.参考答案一、选择题。
二元一次方程组(时间:45分钟 满分:100分) 姓名一、选择题(每小题5分,共20分)1. 下列不是二元一次方程组的是( )A .141y x x y ⎧+=⎪⎨⎪-=⎩ B .43624x y x y +=⎧⎨+=⎩C .44x y x y +=⎧⎨-=⎩ D .35251025x y x y +=⎧⎨+=⎩2.由132x y-=,可以得到用x 表示y 的式子是( )A .223x y -=B .2133x y =-C .223x y =-D .223xy =-3.方程组327413x y x y +=⎧⎨-=⎩的解是( )A .13x y =-⎧⎨=⎩ B .31x y =⎧⎨=-⎩C .31x y =-⎧⎨=-⎩ D .13x y =-⎧⎨=-⎩4.方程组125x y x y -=⎧⎨+=⎩的解是( )A .12x y =-⎧⎨=⎩ B .21x y =⎧⎨=-⎩C .12x y =⎧⎨=⎩D .21x y =⎧⎨=⎩二、填空题(每小题6分,共24分)5.在349x y +=中,如果2y = 6,那么x = 。
6.已知18x y =⎧⎨=-⎩是方程31mx y -=-的解,则m = 。
7.若方程m x + n y = 6的两个解是11x y =⎧⎨=⎩,21x y =⎧⎨=-⎩,则m = ,n = 。
8.如果2150x y x y -+=+-=,那么x = ,y = 。
三、解下列方程组(每小题8分,共16分)9.1323334m nm n ⎧+=⎪⎪⎨⎪-=⎪⎩10.()()344126x y x y x y x y⎧+--=⎪⎨+-+=⎪⎩四、综合运用(每小题10分,共40分)11.用16元买了60分、80分两种邮票共22枚。
60分与80分的邮票各买了多少枚?12.已知梯形的面积是42cm2,高是6cm,它的下底比上底的2倍少1cm,求梯形的上下底。
13.〈〈一千零一夜〉〉中有这样一段文字:有一群鸽子,其中一部分在树上欢歌,另一部分在地上觅食,树上的一只鸽子对地上觅食的鸽子说:“若从你们中飞上来一只,则树下的鸽子就是整个鸽群的13,若从树上飞下去一只,则树上、树下的鸽子就一样多了。
人教版七年级数学下册第八章 二元一次方程组复习检测试题一、选择题1.下列各式,属于二元一次方程的个数有( ) ①xy+2x -y=7; ②4x+1=x -y ; ③1x+y=5; ④x=y ; ⑤x 2-y 2=2 ⑥6x -2y ⑦x+y+z=1 ⑧y (y -1)=2y 2-y 2+x A .1 B .2 C .3 D .42.如果方程组⎩⎪⎨⎪⎧x +y =★,2x +y =16的解为⎩⎪⎨⎪⎧x =6,y =■,那么被“★”“■”遮住的两个数分别是( ) A .10,4 B .4,10 C .3,10 D .10,33.已知二元一次方程30x y +=的一个解是x ay b=⎧⎨=⎩,其中0a ≠,那么( )A.0ba> B.0ba= C.0ba< D.以上都不对4.若满足方程组的x 与y 互为相反数,则m 的值为( ) A .1B .﹣1C .﹣11D .115今年学校举行足球联赛,共赛17轮(即每队均需参赛17场),记分办法是:胜1场得3分,平1场得1分,负1场得0分.在这次足球比赛中,小虎足球队得16分,且踢平场数是踢负场数的整数倍,则小虎足球队踢负场数的情况有( ) A .2种 B .3种C .4种D .5 种6.已知方程组5354x y ax y +=⎧⎨+=⎩和2551x y x by -=⎧⎨+=⎩有相同的解,则a ,b 的值为 ( )A.12a b =⎧⎨=⎩B.46a b =-⎧⎨=-⎩ C.62a b =-⎧⎨=⎩D.142a b =⎧⎨=⎩7.某文具店一本练习本和一支水笔的单价合计为3元,小妮在该店买了20本练习本和10支水笔,共花了36元.如果设练习本每本为x 元,水笔每支为y 元,那么根据题意,下列方程组中,正确的是( )A.⎩⎪⎨⎪⎧x -y =320x +10y =36B.⎩⎪⎨⎪⎧x +y =320x +10y =36 C.⎩⎪⎨⎪⎧y -x =320x +10y =36 D.⎩⎪⎨⎪⎧x +y =310x +20y =368.某年级学生共有246人,其中男生人数y比女生人数x的2倍少2人,•则下面所列的方程组中符合题意的有()A.246246216246... 22222222 x y x y x y x yB C Dy x x y y x y x+=+=+=+=⎧⎧⎧⎧⎨⎨⎨⎨=-=+=+=+⎩⎩⎩⎩9.某商店有两进价不同的耳机都卖64元,其中一个盈利60%,另一个亏本20%,在这次买卖中,这家商店()A、赔8元B、赚32元C、不赔不赚D、赚8元10.如图,宽为50cm的长方形图案由10个相同的小长方形拼成,其中一个小长方形的面积为()A.400cm2B.500cm2C.600cm2D.300cm2二、填空题1.将方程3y﹣x=2变形成用含y的代数式表示x,则x=.2.为了开展“阳光体育”活动,某班计划购买甲、乙两种体育用品(每种体育用品都购买),其中甲种体育用品每件20元,乙种体育用品每件30元,共用去150元,请你设计一下,共有____种购买方案.3.已知│x-1│+(2y+1)2=0,且2x-ky=4,则k=_____.4.《孙子算经》是中国古代重要的数学著作,其中有一段文字的大意是:甲、乙两人各有若干钱.如果甲得到乙所有钱的一半,那么甲共有钱48文;如果乙得到甲所有钱的,那么乙也共有钱48文.甲、乙两人原来各有多少钱?设甲原有x文钱,乙原有y文钱,可列方程组是.三、解答题1.解方程组:2.定义一个非零常数的运算,规定:a*b=ax+by,例如:2*3=2x+3y,若1*1=8,4*3=27,求x、y的值.3.甲、乙两位同学在解方程组时,甲把字母a看错了得到方程组的解为;乙把字母b看错了得到方程组的解为.(1)求a,b的正确值;(2)求原方程组的解.4.某工厂第一季度生产甲、乙两种机器共550台,经市场调查决定调整两种机器的产量,计划第二季度生产这两种机器共536台,其中甲种机器产量要比第一季度增产12%,乙种机器产量要比第一季度减产20%.该厂第一季度生产甲、乙两种机器各多少台?5.某校准备去楠溪江某景点春游,旅行社面向学生推出的收费标准如下:已知该校七年级参加春游学生人数多于100人,八年级参加春游学生人数少于100人.经核算,若两个年级分别组团共需花费17700元,若两个年级联合组团只需花费14700元.(1)两个年级参加春游学生人数之和超过200人吗?为什么?(2)两个年级参加春游学生各有多少人?6.某超市第一次用4600元购进甲、乙两种商品,其中甲商品件数的2倍比乙商品件数的3倍少40件,甲、乙两种商品的进价和售价如下表(利润=售价﹣进价):(1)该超市第一次购进甲、乙两种商品的件数分别是多少?(2)该超市将第一次购进的甲、乙两种商品全部卖出后一共可获得多少利润?(3)该超市第二次以同样的进价又购进甲、乙两种商品.其中甲商品件数是第一次的2倍,乙商品的件数不变.甲商品按原价销售,乙商品打折销售.第二次甲、乙两种商品销售完以后获得的利润比第一次获得的利润多280元,则第二次乙商品是按原价打几折销售的?参考答案一.选择题1.B. 2.A.3.B.4.D.5.B.6.B.7.B.8.B.9.C.10.A.二.填空题1.3y﹣2 2.两 3. k=1.4..三.解答题1.解:原方程组可整理得:,②﹣①得:2x=4,解得:x=2,把x=2代入①得:2﹣2y=﹣3,解得:y=,即原方程组的解为:.2.解:∵a*b=ax+by∴1*1=8,即为x+y=8,4*3=27 即为4x+3y=27;解方程组①×3﹣②,得﹣x=﹣3,解得x=3,将x=3代入①,得y=5.3.解:(1)根据题意得:,解得:a=2,b=﹣3,(2)方程组为,解得.4.解:设某工厂第一季度人教版七年级数学下册第八章二元一次方程组单元测试题一、选择题。
第八章二元一次方程组单元测试题题号一二三总分得分一、选择题(本大题共9 小题,共27 分)1.方程 2x- =0, 3x+y=0,2x+xy=1, 3x+y-2x=0, x2-x+1=0 中,二元一次方程的个数是()A. 5个B. 4个C. 3个D. 2个2. 假如 3x m+n+5y m-n-2=0是一个对于x、y 的二元一次方程,那么()A. B. C. D.3.以下各方程的变形,正确的选项是()A.由 3+x=5,得 x=5+3 C. 由y=0,得y=2B.D.由7x= ,得 x=49由3=x-2,得 x=2+34. 假如 x=y,那么以下等式不必定成立的是()A. x+a=y+aB. x-a=y-aC. ax=ayD.=5.已知甲、乙两种商品的进价和为100 元,为了促销而打折销售,若甲商品打八折,乙商品打六折,则可赚 50 元,若甲商品打六折,乙商品打八折,则可赚 30 元,甲、乙两种商品的订价分别为()A. 50元、150元B. 50元、100元C. 100元、50元D. 150元、50元6.把方程 x=1 变形为 x=2,其依照是()A. 分数的基天性质B. 等式的性质1C. 等式的性质2D. 解方程中的移项7.用“加减法”将方程组中的 x 消去后获得的方程是()A. 3y=2B. 7y=8C. -7y=2D. -7y=88.已知 2x-3y=1,用含 x 的代数式表示 y正确的选项是()A. y= x-1B. x=C. y=D. y=-- x9.在一次野炊活动中,小明所在的班级有x 人,分红 y 组,若每组 7 人,则余下 3 人;若每组 8 人,则缺 5 人,求全班人数的正确的方程组是()A. B. C. D.二、填空题(本大题共 6 小题,共 24 分)10.对于 x、y 方程( k2-1)x2+( k+1)x+2 ky=k+3,当 k= ______ 时,它为一元一次方程,当 k= ______ 时,它为二元一次方程.11.若( 2x-y)2与|x+2 y-5|互为相反数,则(x-y)2005= ______ .12.二元一次方程组的解是 ______ .13.一个两位数的十位数字与个位数字之和等于5,十位数字与个位数字之差为1,设十位数字为 x,个位数字为y,则用方程组表示上述语言为 ______ .14.方程 x( x+3 ) =0 的解是 ______ .15.由方程组,能够获得 x+y+z的值是 ______ .三、计算题(本大题共8 小题,共 49 分)16.解方程组:17. 解方程组:18.解方程组.19. 五一时期,春华旅行社组织一个由成人和学生共20 人构成的旅行团到凤凰古城旅游,景区门票售票标准是:成人门票148 元 /张,学生门票20 元 /张,该旅行团购置门票共花销 1936 元,问该团购置成人门票和学生门票各多少张?20.为迎接 6 月 5 日“世界环境日”,某校团委展开“光盘行动”,提议学生截止餐桌上的浪费.该校七年级(1)、( 2)、( 3)三个班共128 人参加了活动,此中七(3)班有 38 人参加,七( 1)班参加的人数比七(2)班多 10 人,请问七( 1)班和七( 2)班各有多少人参加“光盘行动”?21. 广安某水果店计划购进甲、乙两种新出产的水果共140 千克,这两种水果的进价、售价如表所示:进价(元 /千克)售价(元/千克)甲种58乙种913( 1)若该水果店估计进货款为1000 元,则这两种水果各购进多少千克?( 2)若该水果店决定乙种水果的进货量不超出甲种水果的进货量的 3 倍,应如何安排进货才能使水果店在销售完这批水果时赢利最多?此时收益为多少元?22. 某旅行社组织一批旅客出门旅行,原计划租用45座客车若干辆,但有15 人没有座位;若租用相同数目的60 座客车,则多出一辆车,且其他客车恰巧坐满.已知45 座客车租金为每辆 220 元, 60 座客车租金为每辆300 元,问:( 1)这批旅客的人数是多少?原计划租用多少辆45座客车?( 2)若租用同一种车,要使每位旅客都有座位,应当如何租用才合算?23. 为了更好治理岳阳河水质,安岳县污水办理企业计划购置10台污水办理设施,现有A、 B 两种型号的设施,此中每台的价钱、月办理污水量如表:A 型B 型价钱(万元 /台)m n办理污水量(吨/250200月)经检查:买一台 A 型比购 B 型多 3 万元,买 2 台 A 型比购置 3 台 B 型少 5 万元.( 1)求 m, n 的值;( 2)经估算,购置设施自己不超出117 万元,你以为有哪几种购置方案?( 3)在( 2)的条件下,若每个月要求办理无水不低于2050 吨,为节俭资本,请你为企业设计一种最省钱的方案.答案和分析【答案】1.D2.B3. D4. D5. D6. C7. D8.C9.A10.-1; 111.-112.13.14.0 或 -315.316. 解:,① ×3+②得: 16x=48,解得: x=3,把x=3 代入①得: y=2.因此原方程组的解为.17. 解:,① ×2+②得: 9x=18,解得: x=2,把x=2 代入②得: y=1,则方程组的解为.18. 解:方程组整理得:,①-② ×2 得: x=-1,把x=-1 代入②得: y=5 ,则方程组的解为.19.解:设购置成人门票 x 张,学生门票 y 张,由题意得解得答:购置成人门票12 张,学生门票8 张.20. 解:设七(1)班有x人参加“光盘行动”,七(2)班有 y 人参加“光盘行动”,,解得,,即七( 1)班有 50 人参加“光盘行动”,七(2)班有 40 人参加“光盘行动”.21.解:( 1)设购进甲种水果 x 千克,则购进乙种水果( 140-x)千克,依据题意可得:5x+9 ( 140-x) =1000 ,解得: x=65,∴140-x=75(千克),答:购进甲种水果 65 千克,乙种水果 75千克;( 2)由图表可得:甲种水果每千克收益为: 3 元,乙种水果每千克收益为: 4 元,设总收益为W,由题意可得出:W=3 x+4( 140-x) =-x+560,故W 随 x 的增大而减小,则 x 越小 W 越大,由于该水果店决定乙种水果的进货量不超出甲种水果的进货量的3 倍,∴140-x≤3x,解得: x≥35,∴当 x=35 时, W 最大 =-35+560=525 (元),故140-35=105 ( kg).答:当甲购进35 千克,乙种水果105 千克时,此时收益最大为525 元.22. 解:(1)设这批旅客的人数是x 人,原计划租用45 座客车 y 辆.依据题意,得,解这个方程组,得.答:这批旅客的人数240 人,原计划租45 座客车 5 辆;( 2)租 45 座客车: 240÷45≈5.(3辆),因此需租 6 辆,租金为220×6=1320(元),租 60 座客车: 240÷60=4 (辆),因此需租 4 辆,租金为300×4=1200 (元).答:租用 4 辆 60 座客车更合算.23. 解:(1)由题意得,解得;( 2)设购置污水办理设施 A 型设施 x 台, B 型设施( 10-x)台,依据题意得14x+11( 10-x)≤117,解得 x≤∵x 取非负整数,∴x=0, 1, 2,∴有三种购置方案:①A 型设施 0 台, B 型设施 10 台;② A 型设施 1 台, B 型设施 9 台;③ A 型设施 2 台, B 型设施 8 台;( 3)由题意: 250x+200( 10-x)≥2050,解 x≥1,又∵x≤,∴1≤x≤,而 x 取非负整数,∴x 为 1, 2,当x=1 时,购置资本为: 14×1+11×9=113 (万元),当x=2 时,购置资本为: 14×2+11×8=116 (万元),∴为了节俭资本,应选购 A 型设施 1 台, B 型设施 9 台.【分析】1.解: 2x- =0 是分式方程,不是二元一次方程;3x+y=0 是二元次方程;2x+xy=1 不是二元一次方程;3x+y-2x=0 是二元一次方程;2x -x+1=0 不是二元一次方程.含有两个未知数,而且含有未知数的项的次数都是1,像这样的方程叫做二元一次方程.本题主要考察的是二元一次方程的定义,掌握二元一次方程的定义是解题的重点.2. 解:依题意得:,解得.应选: B.依据二元一次方程的定义进行判断即可.本题考察了二元一次方程的定义,二元一次方程一定切合以下三个条件:(1)方程中只含有 2 个未知数;( 2)含未知数项的最高次数为一次;(3)方程是整式方程.3. 解:A、两边加的数不一样,故 A 不切合题意;B、两边乘的数不一样,故 B 不切合题意;C、左侧乘2,右侧加 2,故 C 不切合题意;D 、两边都加2,故 D 切合题意;应选: D.依据等式的性质,可得答案.本题考察了等式的性质,熟记等式的性质是解题重点.4.解: A、等式 x=y 的两边同时加上 a,该等式仍旧成立;故本选项正确;B、等式 x=y 的两边同时减去a,该等式仍旧成立;故本选项正确;C、等式 x=y 的两边同时乘以a,该等式仍旧成立;故本选项正确;D 、当 a=0 时,、无心义;故本选项错误;应选: D.利用等式的性质对每个式子进行变形即可找出答案.本题主要考察等式的性质.运用等式性质 2 时,一定注意等式两边所乘的(或除以的)数或式子不为0,才能保证所得的结果还是等式.5.解:设甲种商品的订价分别为x 元,则乙种商品的订价分别为y 元,依据题意得:,解得:.应选 D.设甲种商品的订价分别为x 元,则乙种商品的订价分别为y 元,依据“若甲商品打八折,乙商品打六折,则可赚 50元,若甲商品打六折,乙商品打八折,则可赚30 元”可得出对于 x、 y 的二元一次方程组,解方程组即可得出结论.本题考察认识二元一次方程组,依据数目关系列出二元一次方程组是解题的重点.6. 解:把方程x=1变形为x=2,其依照是等式的性质2,应选 C利用等式的基天性质判断即可.本题考察认识一元一次方程,以及等式的性质,娴熟掌握等式的性质是解本题的重点.7. 解:,①-②得: -7y=8,应选 D.方程组中双方程相减消去x 获得结果,即可做出判断.本题考察认识二元一次方程组,娴熟掌握运算法例是解本题的重点.8.解:方程 2x-3y=1 ,解得: y=.应选 C.将 x 看做已知数求出y 即可.本题考察认识二元一次方程,解题的重点是将x 看做已知数求出y.9.解:依据每组 7 人,则余下 3 人,得方程 7y+3= x,即 7y=x-3;依据每组8 人,则缺 5 人,即最后一组差 5 人不到 8 人,得方程8y-5=x,即 8y=x+5.可列方程组为:.应选: A.本题中不变的是全班的人数x 人.等量关系有:①每组 7 人,则余下 3 人;②每组 8 人,则缺 5 人,即最后一组差 5 人不到 8 人.由此列出方程组即可.本题考察二元一次方程组的实质运用,理解题目中不变的是全班的人数,用不一样的代数式表示全班的人数是本题的重点.10.解:由于方程为对于 x、 y 的一元一次方程,因此:①,解得 k=-1 ;②,无解,因此 k=-1 时,方程为一元一次方程.依据二元一次方程的定义可知,解得k=1,因此 k=1 时,方程为二元一次方程.故答案为: -1; 1.( 1)若方程为对于x、 y 的一元一次方程,则二次项系数应为0,而后 x 或 y 的系数中有一个为0,另一个不为0 即可.( 2)若方程为对于x、y 的二元一次方程,则二次项系数应为0 且 x 或 y 的系数不为0.考察了一元一次方程与二元一次方程的定义,本题比较简单,解答本题的重点是熟知一元一次方程与二元一次方程的定义.11.解:∵( 2x-y)2与|x+2y-5|互为相反数,∴( 2x-y)2+|x+2y-5|=0,∴,解得,,∴( x-y)2005=( 1-2)2005=-1 ,故答案为 -1.依据非负数的性质列出方程求出x、 y 的值,代入所求代数式计算即可.本题考察了非负数的性质:几个非负数的和为0 时,这几个非负数都为0.12. 解:,把①代入②得:x+2x=3,即 x=1,把x=1 代入①得: y=2,则方程组的解为,故答案为:方程组利用代入消元法求出解即可.本题考察认识二元一次方程组,利用了消元的思想,消元的方法有:代入消元法与加减消元法.13. 解:由题意,有.题中有两个等量关系:十位数字+个位数字 =5;十位数字 -个位数字 =1.依据这两个等量关系即可列出方程组.读懂题意,找出等量关系是列方程解应用题的重点.本题比较简单.注意十位数字与个位数字之差即为十位数字-个位数字,而不是个位数字 -十位数字.14.解:x(x+3)=0 ,∴x=0, x+3=0 ,∴方程的解是x1=0, x2=-3 .故答案为: 0 或 -3.推出方程x=0, x+3=0,求出方程的解即可.本题主要考察对解一元一次方程,解一元二次方程,等式的性质等知识点的理解和掌握,能把一元二次方程转变成一元一次方程是解本题的重点.15.解:∵① +② +③,得2x+2 y+2z=6,∴x+y+z=3,故答案为: 3.依据方程组,三个方程相加,即可获得x+y+z的值.本题考察三元一次方程组的解,解得重点是明确解三元一次方程组的解答方法.16.用加减法,先把 y 的系数转变成相同的或相反的数,而后双方程相加减消元,从而求出 x 的值,而后把x 的值代入一方程求y 的值.解二元一次方程组的基本思想是消元.消元的方法有代入法和加减法,本题主要考察了加减消元法.17.方程组利用加减消元法求出解即可.本题考察认识二元一次方程组,利用了消元的思想,消元的方法有:代入消元法与加减消元法.18.方程组整理后,利用加减消元法求出解即可.本题考察认识二元一次方程组,利用了消元的思想,消元的方法有:代入消元法与加减消元法.19.设购置成人门票 x 张,学生门票 y 张,则由“成人和学生共 20 人”和“购置门票共花销1936 元”列出方程组解决问题.本题考察二元一次方程组的实质运用,找出题目包含的数目关系是解决问题的重点.20.依据题意能够列出相应的二元一次方程组,从而能够解答本题.本题考察二元一次方程组的应用,解题的重点是明确题意,列出相应的二元一次方程组.21. (1)依据计划购进甲、乙两种新出产的水果共140 千克,从而利用该水果店估计进货款为1000 元,得出等式求出即可;(2)利用两种水果每千克的收益表示出总收益,再利用一次函数增减性得出最大值即可.主要考察了一次函数的应用以及一元一次不等式的应用和一元一次方程的应用等知识,利用一次函数增减性得出函数最值是解题重点.22.145×45座客车辆数+15=旅客总数,60× 45座客车辆数()本题中的等量关系为:(-1) =旅客总数,据此可列方程组求出第一小题的解;(2)需要分别计算 45 座客车和 60 座客车各自的租金,比较后再弃取.本题考察二元一次方程组的实质运用,找出题目包含的数目关系是解决问题的重点.23.( 1)利用买一台 A 型比购 B 型多 3 万元,买 2 台 A 型比购置 3 台 B 型少 5 万元可列二元一次方程组,而后解方程组可获得m、 n 的值;( 2)设购置污水办理设施 A 型设施 x 台, B 型设施( 10-x)台,利用购置设施自己不超出117 万元列不等式 14x+11( 10-x)≤117,解得 x≤,而后 x 取非负整数可获得购置方案;( 3)利用每个月要求办理无水不低于2050 吨列不等式250x+200( 10-x)≥2050,解 x≥1,加上 x≤,则 1≤x≤,再 x 取非负整数获得x 为 1, 2,而后比较x=1 和 x=2 的购置资本可获得最省钱的方案.本题考察了一元一次不等式的应用:由实质问题中的不等关系列出不等式,成立解决问题的数学模型,经过解不等式能够获得实质问题的答案.。
⼆元⼀次⽅程组及其应⽤单元测试题4套(含答案)⼆元⼀次⽅程组单元检测1姓名:时间:成绩:⼀、选择题(共12题每题3分共36分)⼀、根据图1所⽰的计算程序计算y 的值,若输⼊2=x ,则输出的y 值是() A .0 B .2- C .2 D .4 ⼆、将⽅程121=+-y x 中含的系数化为整数,下列结果正确的是() A .442-=-y x B .442=-y x C .442-=+y x D .442=+y x 三、如果==21y x 是⼆元⼀次⽅程组?=+=+21ay bx by ax 的解,那么a ,b 的值是() A .??=-=01b a B .==01b a C .==10b a D .?-==10b a 四、如果⼆元⼀次⽅程组?=+=-a y x ay x 3的解是⼆元⼀次⽅程0753=--y x 的⼀个解,那么a 的值是( )A .3B .5C .7D .9五、如果3251b a 与y x x b a ++-141是同类项,则x ,y 的值是( )A .??==31y x B .==22y x C .==21y x D .==32y x六、若2a 2s b 3s -2t 与-3a 3t b 5是同类项,则( ) A .s =3,t =-2 B .s =-3,t =2 C .s =-3,t =-2 D .s =3,t =2 七、⽅程3y +5x =27与下列的⽅程________所组成的⽅程组的解是??==43y x ( )A .4x +6y =-6B .4x +7y -40=0C .2x -3y =13D .以上答案都不对⼋、⼆元⼀次⽅程组??=-=+ky x k y x 7252的解满⾜⽅程31x -2y =5,那么k 的值为( )A .53B .35C .-5D .1九、甲、⼄两地相距360千⽶,⼀轮船往返于甲、⼄两地之间,顺流⽤18⼩时,逆流⽤24⼩时,若设船在静⽔中的速度为x 千⽶/时,⽔流速度为y 千⽶/时,在下列⽅程组中正确的是 ( )A .=-=+360)(24360)(18y x y xB .??=+=+360)(24360)(18y x y xC .=-=-360)(24360)(18y x y xD .=+=-360)(24360)(18y x y x⼗、在等式b kx y +=中,当x=0时,y=1-;当x=1-时,y=0,则这个等式是( )A .1--=x yB .x y -=C .1+-=x yD .1+=x y ⼗⼀、如果??=+-=-+0532082z y x z y x ,其中xyz≠0,那么x :y :z=( )A .1:2:3B .2:3:4C .2:3:1D .3:2:1 ⼗⼆、如果⽅程组??=-+=+5)1(21073y a ax y x 的解中的x 与y 的值相等,那么a 的值是( )A .1B .2C .3D .4 ⼆、填空题(共4题每题3分共12分)⼗三、已知42+=a x ,32+=a y ,如果⽤x 表⽰y ,则y = .⼗四、在等式5×⼝+3×Δ=4的⼝和Δ处分别填⼊⼀个数,使这两个数互为相反数.⼗五、如果2006200520044321=+-+-+n m n m y x 是⼆元⼀次⽅程,那么32n m +的值是.⼗六、如图,点A 的坐标可以看成是⽅程组的解.三、解答题(共7题 6+6+7+7+8+8+10 共52分)⼗七、(1)??-==+73825x y y x (2)?=-=+423732y x y x⼗⼋、若⽅程组??=+=-31y x y x 的解满⾜⽅程组?=+=-84by ax by ax ,求a ,b 的值.⼗九、定义“*”:(1)(1)x yA B x A BA B *=++++,已知321=*,432=*,求43*的值.⼆⼗、某⽔果批发市场⾹蕉的价格如下表购买⾹蕉数(千克) 不超过20千克 20千克以上但不超过40千克 40千克以上每千克的价格6元5元4元张强两次共购买⾹蕉50千克,已知第⼆次购买的数量多于第⼀次购买的数量,共付出264元,请问张强第⼀次,第⼆次分别购买⾹蕉多少千克?⼆⼗⼀、为保护学⽣视⼒,课桌椅的⾼度都是按⼀定的关系配套设计的,研究表明:假设课桌的⾼度y (cm)是椅⼦的⾼度x (cm )的⼀次函数,下表列出两套符合条件的课桌椅的⾼度:第⼀套第⼆套椅⼦的⾼度X(cm) 40.0 37.0 桌⼦⾼度y(cm)75.070.2(1)请确定x y 与的函数关系式;(2)现有⼀把⾼39cm 的椅⼦和⼀张⾼为78.2cm 的课桌,它们是否配套?为什么?⼆⼗⼆、(1)求⼀次函数的坐标的交点的图象与的图象P l x y l x y 2112122-=-=. (2)求直线1l 与y 轴交点A 的坐标; 求直线2l 与X 轴的交点B 的坐标; (3)求由三点P 、A 、B 围成的三⾓形的⾯积.⼆⼗三、阅读下列解题过程,借鉴其中⼀种⽅法解答后⾯给出的试题:问题:某⼈买13个鸡蛋,5个鸭蛋、9个鹅蛋共⽤去了9.25元;买2个鸡蛋,4个鸭蛋、3个鹅蛋共⽤去了3.20元.试问只买鸡蛋、鸭蛋、鹅蛋各⼀个共需多少元.分析:设买鸡蛋,鸭蛋、鹅蛋各⼀个分别需x 、y 、z 元,则需要求x+y+z 的值.由题意,知----=++---=++)2(20.3342)1(25.99513z y x z y x ;视x 为常数,将上述⽅程组看成是关于y 、z 的⼆元⼀次⽅程组,化“三元”为“⼆元”、化“⼆元”为“⼀元”从⽽获解.解法1:视x 为常数,依题意得?-----=+----=+)4(220.334)3(1325.995x z y x z y解这个关于y 、z 的⼆元⼀次⽅程组得??-=+=xz xy 2105.0于是05.12105.0=-+++=++x x x z y x .评注:也可以视z 为常数,将上述⽅程组看成是关于x 、y 的⼆元⼀次⽅程组,解答⽅法同上,你不妨试试.分析:视z y x ++为整体,由(1)、(2)恒等变形得 25.9)2(4)(5=++++z x z y x , 20.3)2()(4=+-++z x z y x .解法2:设a z y x =++,b z x =+2,代⼊(1)、(2)可以得到如下关于a 、b 的⼆元⼀次⽅程组??----=----=+)6(20.34)5(25.945b a b a由⑤+4×⑥,得05.2221+a ,05.1=a .评注:运⽤整体的思想⽅法指导解题.视z y x ++,z x +2为整体,令z y x a ++=,z x b +=2,代⼈①、②将原⽅程组转化为关于a 、b 的⼆元⼀次⽅程组从⽽获解.请你运⽤以上介绍的任意⼀种⽅法解答如下数学竞赛试题:购买五种教学⽤具A 1、A 2、A 3、A 4、A 5的件数和⽤钱总数列成下表:那么,购买每种教学⽤具各⼀件共需多少元?品名次数 A 1 A 2 A 3 A 4 A 5 总钱数第⼀次购买件数 l 3 4 5 6 1992 第⼆次购买件数l 5 7 9 11 2984参考答案⼀、选择题1.D2.A3.B4.C5.C6.D7.B8.B9.A10.A11.C12.B ⼆、填空题 13.x -1 14.2,-2 15.9 16.??+--=512x y x y 三、解答题17、(1){21=-=x y (2){21==x y 18、解:解⽅程组??=+=-31y x y x 得:{21==x y将{21==x y 分别代⼊⽅程组=+=-84by ax by ax 得{8242=+=-b a b a 解这个⽅程组得{32==a b所以3=a 、2=b 19.?-==13275Y X ,351442013277543=-=*.20.解:设张强第⼀次购买了⾹蕉x 千克, 第⼆次购买了⾹蕉y 千克,由题意可知025x <<, ①当02040x y <≤,≤时,由题意可得,=+=+5026456y x y x 解得{1436==x y②当02040x y <≤,>时,由题意可得?=+=+5026446y x y x 解得{3218==x y (不合题意,舍去)③当025x <<时,则2530y <<,则张强花的钱数为5X+5Y=5×50=250<264(不合题意,舍去) 所以张强第⼀次买14千克⾹蕉,第⼆次买36千克⾹蕉. 21.解:(1)设y kx b =+,根据题意得{750.402.700.37=+=+b k b k 解得{6.111==k b 所以116.1+=k y(2)不配套,因为:当X=39时,由116.1+=k y 得y=1.6×39+11=73.4≠78 所以不配套.22、解:(1)由-=-=22121x y x y 解得:??=-=3232x y 所以点P 的坐标为-32,32,(2)当X=0时,由Y=2×0-2=-2,所以点A 坐标是(0,-2). 当Y=0时,由0=-21X-1,得X=2,所以点B 坐标是(2,0). (3)如图112222222233PAB S =??-=△23、1000元⼆元⼀次⽅程单元检测2姓名:时间:成绩:⼆⼗四、选择题(共12题每题3分共36分) 1. 已知下列⽅程组:(1)-==23y y x ,(2)=-=+423z y y x ,(3)=-=+0131y x y x ,(4)=-=+0131y x y x ,其中属于⼆元⼀次⽅程组的个数为() A.1 B.2 C.3 D.42. 已知532b a x y +与2244a b x y --是同类项,则a b 的值为()A.2B.-2C.1D.-13. 已知⽅程组-=-=+1242m ny x ny mx 的解是-==11y x ,那么m 、n 的值为()A.?-==11n m B.==12n m C.==23n m D.==13n m4. 三元⼀次⽅程组??=+=+=+651x z z y y x 的解是()A.??===501z y x B. 015x y z ?=?=??=?C.===401z y xD.===014z y x5. 若⽅程组=+=-+14346)1(y x y a ax 的解x 、y 的值相等,则a 的值为()A.-4B.4C.2D.16. 若关于x 、y 的⽅程组?=-=+k y x ky x 73的解满⾜⽅程2x +3y =6,那么k 的值为()A.-23B.23C.-32D.-237. 若⽅程y =kx +b 当x 与y 互为相反数时,b ⽐k 少1,且x =21,则k 、b 的值分别是() A.2,1 B.32,35 C.-2,1 D.31,-328. 某班学⽣分组搞活动,若每组7⼈,则余下4⼈;若每组8⼈,则有⼀组少3⼈.设全班有学⽣x ⼈,分成y 个⼩组,则可得⽅程组()A.=-=+y x y x 3847B.=++=x y x y 3847C.+=-=3847x y x yD.+=+=3847x y x y9. 某车间56名⼯⼈,每⼈每天能⽣产螺栓16个或螺母24个,设有名⼯⼈⽣产螺栓,其它⼯⼈⽣产螺母,每天⽣产的螺栓和螺母按1:2配套,所列⽅程正确的是()A.=?=+y x y x 2416256B.=?=+y x y x 1624256C.==+y x y x 241628D.?==+y x y x 16245610. 某班为奖励在校运会上取得较好成绩的运动员,花了400元钱购买甲、⼄两种奖品共 30件,其中甲种奖品每件16元,⼄种奖品每件12元,求甲⼄两种奖品各买多少件?该问题中,若设购买甲种奖品x 件,⼄种奖品y 件,则⽅程组正确的是()A.301216400x y x y +=??+=?B.301612400x y x y +=??+=?C. 121630400x y x y +=??+=?D. 161230400x y x y +=??+=?11. 灾后重建,四川从悲壮⾛向豪迈.灾民发扬伟⼤的抗震救灾精神,桂花村派男⼥村民共15 ⼈到⼭外采购建房所需的⽔泥,已知男村民⼀⼈挑两包,⼥村民两⼈抬⼀包,共购回15 包.请问这次采购派男⼥村民各多少⼈?A .男村民3⼈,⼥村民12⼈B .男村民5⼈,⼥村民10⼈C .男村民6⼈,⼥村民9⼈D .男村民7⼈,⼥村民8⼈12. 在早餐店⾥,王伯伯买5颗馒头,3颗包⼦,⽼板少拿2元,只要50元.李太太买了 11颗馒头,5颗包⼦,⽼板以售价的九折优待,只要90元.若馒头每颗x 元,包⼦每颗y 元,则下列哪⼀个⼆元⼀次联⽴⽅程式可表⽰题⽬中的数量关系?A .=++=+9.09051125035y x y xB .÷=++=+9.09051125035y x y xC .=+-=+9.09051125035y x y xD .÷=+-=+9.09051125035y x y x⼆⼗五、填空题(共4题每题3分共12分)13. 已知⼆元⼀次⽅程1213-+y x =0,⽤含y 的代数式表⽰x ,则x =_________;当y =-2时,x =.14. 在(1)-==23y x ,(2)-==354y x ,(3)1472x y ?==??这三组数值中,_____是⽅程组 x -3y =9的解,______是⽅程2 x +y =4的解,______是⽅程组?=+=-4293y x y x 的解.15. 已知=-=54y x ,是⽅程41x +2 my +7=0的解,则m =_______.16. 若⽅程组=-=+137by ax by ax 的解是-=-=12y x ,则a =_________,b =_______.⼆⼗六、解答题(共7题 6+6+7+7+8+8+10 共52分(此处分值可以根据具体情况来定))17. -=-=-.557832y x y x18. =+=+.15765545.04332y x y x19. 已知⽅程组?+=+=+25332n y x ny x 的解x 、y 的和为12,求n 的值.20. 已知⽅程组-=+=-1332by ax y x 与=+=+3321123by ax y x 的解相同,求a 2+2ab +b 2 的值.21. 已知代数式x 2+ax +b 当x =1和x =-3时的值分别为0和14,求当x =3时代数式的值.22.某校去年⼀年级男⽣⽐⼥⽣多80⼈,今年⼥⽣增加20%,男⽣减少25%,结果⼥⽣⼜⽐男⽣多30⼈,求去年⼀年级男⽣、⼥⽣各多少⼈.23.B两地相距20千⽶,甲、⼄两⼈分别从A、B 两地同时相向⽽⾏,两⼩时后在途中相遇,然后甲返回A地,⼄继续前进,当甲回到A地时,⼄离A地还有2千⽶,求甲、⼄两⼈的速度.参考答案⼀、选择题1.B2.C3.D4.A5.C6.B7.D8.C9.A 10.B 11.B 12. B ⼆、填空题13.x =62y -;x =32.14.(1),(2);(1),(3);(1).15.-53.16.a =-5,b =3.三、解答题17.【答案】-=-=.65y x 【答案】=-=.223y x19.【提⽰】解已知⽅程组,⽤n 的代数式表⽰x 、y ,再代⼊ x +y =12.【答案】n =14.20.【提⽰】先解⽅程组=+=-1123332y x y x 求得x 、y ,再代⼊⽅程组?=+-=+3321by ax by ax 求a 、b .【答案】=-=52b a .21.【提⽰】由题意得关于a 、b 的⽅程组.求出a 、b 写出这个代数式,再求当x =3时它的值.【答案】5. 22.【提⽰】设去年⼀年级男⽣、⼥⽣分别有x ⼈、y ⼈,可得⽅程组=--+=-.30)100251()100201(80x y y x 【答案】x =280,y =200. 23.【提⽰】由题意,相遇前甲⾛了2⼩时,及“当甲回到A 地时,⼄离A 地还有2千⽶”,可得列⽅程组的另⼀个相等关系:甲、⼄同向⾏2⼩时,相差2千⽶.设甲、⼄两⼈的速度分别为x 千⽶/时,y 千⽶/时,则=-=+.2)(220)(2y x y x 【答案】甲的速度为5.5千⽶/时,⼄的速度为4.5千⽶/时.⼆元⼀次⽅程组单元检测3姓名:时间:成绩:⼀、选择题(共12题每题3分共36分)1. 下列是⼆元⼀次⽅程的是()A .x x =-63B .y x 23=C .132=+y x D .xy y x =-32 2. 在⽅程组=+=-1253by x y ax 中,如果-==121y x 是它的⼀个解,那么a 、b 的值为( )A .a =1,b =2B .不能惟⼀确定C .a =4,b =0D .a =21,b =-1 3. ⽅程41ax y x -=-是⼆元⼀次⽅程,则a 的取值为()A 、a ≠0B 、a ≠-1C 、a ≠1D 、a ≠24. 已知57x y =??=?满⾜⽅程kx ﹣2y =1,则k 等于()A .3B .4C .5D .65. ⼆元⼀次⽅程32325x y x y -=??+=?的解是()A 、10x y =??=?B 、322x y ?==?C 、232x y =??= D 、71x y =??=-? 6. ⽼师问⼀⼥⽣有⼏个兄弟姐妹,她答:“有⼏个兄弟就有⼏个姐妹”,⽼师⼜问她的哥哥有⼏个兄弟姐妹,他答:“我的姐妹是兄弟的2倍”,则他们的兄弟姐妹中,男孩、⼥孩的⼈数各是()A 、4、3B 、2、5C 、3、4D 、5、27. 在等式b kx y +=中,当1=x 时,5=y ;当2-=x 时,11=y ,则k 、b 的值为A.??-==27b kB.??=-=27b k C.-==72b k D.=-=72b k8. 若352220x y x y +++--=,则223x xy -的值是()A 、14B 、-4C 、-12D 、129. ⼆元⼀次⽅程组327,25x y x y -=??+=?的解是()A .32x y =??=?B .12x y =??=?C .42x y =??=?D .31x y =??=?10. ⼩明在解关于x 、y 的⼆元⼀次⽅程组331x y x y +?=??-?=?时得到了正确结果1x y =⊕=?后来发现“?”、“⊕”处被墨⽔污损了,请你帮他找出“?”、“⊕”处的值分别是()A . ?=1,⊕=1B . ?=2,⊕=1C . ?=1,⊕=2D . ?=2,⊕=211. 为迎接2013年“亚青会”,学校组织了⼀次游戏:每位选⼿朝特制的靶⼦上各投三以飞镖,在同⼀圆环内得分相同.如图所⽰,⼩明、⼩君、⼩红的成绩分别是29分、43分和33分,则⼩华的成绩是()⼩明⼩君⼩红⼩华A .31分B .33分C .36分D .38分12. 下列⽅程中,是⼆元⼀次⽅程的是() A .3x -2y =4z B .6xy +9=0 C .1x +4y =6 D .4x =24y - ⼆、填空题(共4题每题3分共12分)13. 若?==53y x 是⽅程22=-y mx 的⼀个解,则=m 。
二元一次方程组解法练习题一.解答题(共16小题) 1.解下列方程组 (1)(2)(3))(6441125为已知数a a y x ay x ⎩⎨⎧=-=+(4)(5)(6).(7)(8)⎩⎨⎧=--+=-++0)1(2)1()1(2x y x x x y y x(9)(10) ⎪⎪⎩⎪⎪⎨⎧=-++=-++1213222132y x y x2.求适合的x,y的值.3.已知关于x,y的二元一次方程y=kx+b的解有和.(1)求k,b的值.(2)当x=2时,y的值.(3)当x为何值时,y=3?1.解下列方程组(1)(2);(3);(4)(5).(6)(7)(8)(9)(10);2.在解方程组时,由于粗心,甲看错了方程组中的a,而得解为,乙看错了方程组中的b,而得解为.(1)甲把a看成了什么,乙把b看成了什么?(2)求出原方程组的正确解.二元一次方程组解法练习题精选参考答案与试题解析一.解答题(共16小题)1.求适合的x,y的值.考点:解二元一次方程组.分析:先把两方程变形(去分母),得到一组新的方程,然后在用加减消元法消去未知数x,求出y的值,继而求出x的值.解答:解:由题意得:,由(1)×2得:3x﹣2y=2(3),由(2)×3得:6x+y=3(4),(3)×2得:6x﹣4y=4(5),(5)﹣(4)得:y=﹣,把y的值代入(3)得:x=,∴.点评:本题考查了二元一次方程组的解法,主要运用了加减消元法和代入法.2.解下列方程组(1)(2)(3)(4).考点:解二元一次方程组.分析:(1)(2)用代入消元法或加减消元法均可;(3)(4)应先去分母、去括号化简方程组,再进一步采用适宜的方法求解.解答:解:(1)①﹣②得,﹣x=﹣2,解得x=2,把x=2代入①得,2+y=1,解得y=﹣1.故原方程组的解为.(2)①×3﹣②×2得,﹣13y=﹣39,解得,y=3,把y=3代入①得,2x﹣3×3=﹣5,解得x=2.故原方程组的解为.(3)原方程组可化为,①+②得,6x=36,x=6,①﹣②得,8y=﹣4,y=﹣.所以原方程组的解为.(4)原方程组可化为:,①×2+②得,x=,把x=代入②得,3×﹣4y=6,y=﹣.所以原方程组的解为.点评:利用消元法解方程组,要根据未知数的系数特点选择代入法还是加减法:①相同未知数的系数相同或互为相反数时,宜用加减法;②其中一个未知数的系数为1时,宜用代入法.3.解方程组:解二元一次方程组.考点:计算题.专题:先化简方程组,再进一步根据方程组的特点选用相应的方法:用加减法.分析:解答:解:原方程组可化为,①×4﹣②×3,得7x=42,解得x=6.把x=6代入①,得y=4.所以方程组的解为.点;二元一次方程组无论多复杂,解二元一次方程组的基本思想都是消元.消元的方法有代入法和加减法.评:4.解方程组:考点:解二元一次方程组.专题:计算题.分析:把原方程组化简后,观察形式,选用合适的解法,此题用加减法求解比较简单.解答:解:(1)原方程组化为,①+②得:6x=18,∴x=3.代入①得:y=.所以原方程组的解为.点评:要注意:两个二元一次方程中同一未知数的系数相反或相等时,把这两个方程的两边相加或相减,就能消去这个未知数,得到一个一元一次方程,这种方法叫做加减消元法.本题适合用此法.5.解方程组:考点:解二元一次方程组.专题:计算题;换元法.分析:本题用加减消元法即可或运用换元法求解.解答:解:,①﹣②,得s+t=4,①+②,得s﹣t=6,即,解得.所以方程组的解为.点评:此题较简单,要熟练解方程组的基本方法:代入消元法和加减消元法.6.已知关于x,y的二元一次方程y=kx+b的解有和.(1)求k,b的值.(2)当x=2时,y的值.(3)当x为何值时,y=3?考点:解二元一次方程组.专题:计算题.分析:(1)将两组x,y的值代入方程得出关于k、b的二元一次方程组,再运用加减消元法求出k、b的值.(2)将(1)中的k、b代入,再把x=2代入化简即可得出y的值.(3)将(1)中的k、b和y=3代入方程化简即可得出x的值.解答:解:(1)依题意得:①﹣②得:2=4k,所以k=,所以b=.(2)由y=x+,把x=2代入,得y=.(3)由y=x+把y=3代入,得x=1.点评:本题考查的是二元一次方程的代入消元法和加减消元法,通过已知条件的代入,可得出要求的数.7.解方程组:(1);(2).考点:解二元一次方程组.分析:根据各方程组的特点选用相应的方法:(1)先去分母再用加减法,(2)先去括号,再转化为整式方程解答.解答:解:(1)原方程组可化为,①×2﹣②得:y=﹣1,将y=﹣1代入①得:x=1.∴方程组的解为;(2)原方程可化为,即,①×2+②得:17x=51,x=3,将x=3代入x﹣4y=3中得:y=0.∴方程组的解为.点评:这类题目的解题关键是理解解方程组的基本思想是消元,掌握消元的方法有:加减消元法和代入消元法.根据未知数系数的特点,选择合适的方法.8.解方程组:考点:解二元一次方程组.专题:计算题.分析:本题应把方程组化简后,观察方程的形式,选用合适的方法求解.解答:解:原方程组可化为,①+②,得10x=30,x=3,代入①,得15+3y=15,y=0.则原方程组的解为.点评:解答此题应根据各方程组的特点,有括号的去括号,有分母的去分母,然后再用代入法或加减消元法解方程组.9.解方程组:考点:解二元一次方程组.专题:计算题.分析:本题为了计算方便,可先把(2)去分母,然后运用加减消元法解本题.解答:解:原方程变形为:,两个方程相加,得4x=12,x=3.把x=3代入第一个方程,得4y=11,y=.解之得.点评:本题考查的是二元一次方程组的解法,方程中含有分母的要先化去分母,再对方程进行化简、消元,即可解出此类题目.10.解下列方程组:(1)(2)考点:解二元一次方程组.专题:计算题.分析:此题根据观察可知:(1)运用代入法,把①代入②,可得出x,y的值;(2)先将方程组化为整系数方程组,再利用加减消元法求解.解答:解:(1),由①,得x=4+y③,代入②,得4(4+y)+2y=﹣1,所以y=﹣,把y=﹣代入③,得x=4﹣=.所以原方程组的解为.(2)原方程组整理为,③×2﹣④×3,得y=﹣24,把y=﹣24代入④,得x=60,所以原方程组的解为.点评:此题考查的是对二元一次方程组的解法的运用和理解,学生可以通过题目的训练达到对知识的强化和运用.11.解方程组:(1)(2)考点:解二元一次方程组.专题:计算题;换元法.分析:方程组(1)需要先化简,再根据方程组的特点选择解法;方程组(2)采用换元法较简单,设x+y=a,x﹣y=b,然后解新方程组即可求解.解答:解:(1)原方程组可化简为,解得.(2)设x+y=a,x﹣y=b,∴原方程组可化为,解得,∴∴原方程组的解为.点评:此题考查了学生的计算能力,解题时要细心.12.解二元一次方程组:(1);(2).考点:解二元一次方程组.专题:计算题.分析:(1)运用加减消元的方法,可求出x、y的值;(2)先将方程组化简,然后运用加减消元的方法可求出x、y的值.解答:解:(1)将①×2﹣②,得15x=30,x=2,把x=2代入第一个方程,得y=1.则方程组的解是;(2)此方程组通过化简可得:,①﹣②得:y=7,把y=7代入第一个方程,得x=5.则方程组的解是.点评:此题考查的是对二元一次方程组的解法的运用和理解,学生可以通过题目的训练达到对知识的强化和运用.13.在解方程组时,由于粗心,甲看错了方程组中的a,而得解为,乙看错了方程组中的b,而得解为.(1)甲把a看成了什么,乙把b看成了什么?(2)求出原方程组的正确解.考点:解二元一次方程组.专题:计算题.分析:(1)把甲乙求得方程组的解分别代入原方程组即可;(2)把甲乙所求的解分别代入方程②和①,求出正确的a、b,然后用适当的方法解方程组.解答:解:(1)把代入方程组,得,解得:.把代入方程组,得,解得:.∴甲把a看成﹣5;乙把b看成6;(2)∵正确的a是﹣2,b是8,∴方程组为,解得:x=15,y=8.则原方程组的解是.点评:此题难度较大,需同学们仔细阅读,弄清题意再解答.14.考点:解二元一次方程组.分析:先将原方程组中的两个方程分别去掉分母,然后用加减消元法求解即可.解答:解:由原方程组,得,由(1)+(2),并解得x=(3),把(3)代入(1),解得y=∴原方程组的解为.点评:用加减法解二元一次方程组的一般步骤:1.方程组的两个方程中,如果同一个未知数的系数既不互为相反数又不相等,就用适当的数去乘方程的两边,使一个未知数的系数互为相反数或相等;2.把两个方程的两边分别相加或相减,消去一个未知数,得到一个一元一次方程;3.解这个一元一次方程;4.将求出的未知数的值代入原方程组的任意一个方程中,求出另一个未知数,从而得到方程组的解.15.解下列方程组:(1);(2).考点:解二元一次方程组.分析:将两个方程先化简,再选择正确的方法进行消元.解答:解:(1)化简整理为,①×3,得3x+3y=1500③,②﹣③,得x=350.把x=350代入①,得350+y=500,∴y=150.故原方程组的解为.(2)化简整理为,①×5,得10x+15y=75③,②×2,得10x﹣14y=46④,③﹣④,得29y=29,∴y=1.把y=1代入①,得2x+3×1=15,∴x=6.故原方程组的解为.点评:方程组中的方程不是最简方程的,最好先化成最简方程,再选择合适的方法解方程.16.解下列方程组:(1)(2)考点:解二元一次方程组.分析:观察方程组中各方程的特点,用相应的方法求解.解答:解:(1)①×2﹣②得:x=1,将x=1代入①得:2+y=4,y=2.∴原方程组的解为;(2)原方程组可化为,①×2﹣②得:﹣y=﹣3,y=3.将y=3代入①得:x=﹣2.∴原方程组的解为.点评:解此类题目要注意观察方程组中各方程的特点,采用加减法或代入法求解.二元一次方程组单元测试题及答案(一)一、选择题(每题3分,共24分)1、表示二元一次方程组的是( )A 、⎩⎨⎧=+=+;5,3x z y xB 、⎩⎨⎧==+;4,52y y xC 、⎩⎨⎧==+;2,3xy y xD 、⎩⎨⎧+=-+=222,11xy x x y x 2、方程组⎩⎨⎧=-=+.134,723y x y x 的解是( ) A 、⎩⎨⎧=-=;3,1y x B 、⎩⎨⎧-==;1,3y x C 、⎩⎨⎧-=-=;1,3y x D 、⎩⎨⎧-=-=.3,1y x 3、设⎩⎨⎧=+=.04,3z y y x ()0≠y 则=z x ( ) A 、12 B 、121-C 、12-D 、.121 4、设方程组()⎩⎨⎧=--=-.433,1by x a by ax 的解是⎩⎨⎧-==.1,1y x 那么b a ,的值分别为( )A 、;3,2-B 、;2,3-C 、;3,2-D 、.2,3-5、方程82=+y x 的正整数解的个数是( )A 、4B 、3C 、2D 、16、在等式n mx x y ++=2中,当3.5,3;5,2=-=-===x y x y x 则时时时,=y ( )。
人教版七年级下第八章 二元一次方程组 单元测试题(含答案)一、选择题(每题4分,共32分)1. 下列方程中,是二元一次方程的是( ) A . x xy 212=+ B . 222=-y x C . 31=+yx D . y y x =+23 2. 以⎩⎨⎧-==11y x 为解的二元一次方程组是( )A .⎩⎨⎧=-=+10y x y x B .⎩⎨⎧-=-=+10y x y x C .⎩⎨⎧=-=+20y x y x D .⎩⎨⎧-=-=+2y x y x3.程1523=+y x 在自然数范围内的解共有( )A .1对B .2对C .3对D .无数对 4.已知单项式b a nm +3与单项式n m b a -32是同类项,那么m 、n 的值分别是( )A .⎩⎨⎧-==12n m B .⎩⎨⎧-=-=12n m C .⎩⎨⎧==12n m D .⎩⎨⎧=-=12n m5.关于x 、y 的二元一次方程⎩⎨⎧=-=+ky x ky x 95的解也是二元一次方程632=+y x 的解,则k 的值是( )A .43-B .43C .34D .34-6.若二元一次方程73=-y x ,132=+y x ,9-=kx y 有公共解,则k 的取值范围为( )A .3B .—3C .—4D .47.若⎩⎨⎧==21y x 与⎩⎨⎧==32y x 都是3=-ay bx 的解,则下列各组数值中也是3=-ay bx 的解的是( )A .⎩⎨⎧-==43y x B .⎩⎨⎧==34y x C .⎩⎨⎧-=-=43y x D .⎩⎨⎧==43y x8.为了研究吸烟是否对肺癌有影响,某肿瘤研究所随机地调查了10000人,并进行统计分析.结果显示:在吸烟者中患肺癌的比例是2.5%,在不吸烟者中患肺癌的比例是0.5%,吸烟者患肺癌的人数比不吸烟者患肺癌的人数多22人.如果设这10000人中,吸烟者患肺癌的人数为x ,不吸烟者患肺癌的人数为y ,根据题意,下面列出的方程组正确的是( )A .⎩⎨⎧=⨯+⨯=-10000%5.0%5.222y x y xB .⎪⎩⎪⎨⎧=+=-10000%5.0%5.222yx y x C .⎩⎨⎧=⨯-⨯=+22%5.0%5.210000y x y x D .⎪⎩⎪⎨⎧=-=+22%5.0%5.210000yx y x 二、填空题(每题4分,共32分)9. 在方程5413=-y x 中,用含x 的代数式表示为:y = ,当3=x 时,y = . 10.已知方程组⎩⎨⎧=+=-②①.123,432y x y x 用加减法消去x 的方法是 ,用加减法消去y 的方法是 .11.以方程组⎩⎨⎧=-=+2233y x y x 的解为坐标的点(x ,y )在平面直角坐标系中的第 象限.12.已知⎩⎨⎧==12y x 是二元一次方程组⎩⎨⎧=-=+18my nx ny mx 的解,则n m -2的算术平方根是 .13. 若方程组⎩⎨⎧=-+=-3)1(334y k kx y x 的解x 和y 的值相等,则k = .14.已知方程组⎩⎨⎧=+=-241121254y x y x ,则2)(y x +的值为 .15. “今有共买犬,人出五,不足九十;人出五十,适足.问人数、犬价各几何?”题目大意是:现在大家共一条狗,若每人出五元,还差九十元;若每人出五十元,刚好够.可知一共有 人,狗价为 元.16.甲、乙两人去商店买东西,他们所带的钱数之比为7:6,甲用掉50元,乙用掉60元,两人余下的钱数之比是3:2,则甲余下的钱数为 元,乙余下的钱数为 元.三、解答题(共56分)17.(每题5分,共10分)解下列方程组:(1)⎩⎨⎧=+=+64302y x y x ;(2)⎩⎨⎧=+=-3241123b a b a .18.(8分)在b y ax =+2中,已知x 当1-=x 时,2=y ;当2=x 时,21=y .求代数式))((22b ab a b a +-+的值.19.(9分)如图,在东北大秧歌的踩高跷表演中,已知演员身高是高跷长度的2倍,高跷与腿重合部分的长度为28cm ,演员踩在高跷上时,头顶距离地面的高度为224cm .设演员的高度为x cm ,高跷的长度为y cm ,求x ,y 的值.20.(9分)已知方程组⎩⎨⎧-=--=+4652by ax y x 与方程组⎩⎨⎧-=+=-81653ay bx y x 的解相同,求2015)2(b a +的值.21.(10分)已知:用2辆A 型车和1辆B 型车装满货物一次可运货10吨;用1辆A 型车和2辆B 型车装满货物一次可运货11吨.某物流公司现有31吨货物,计划同时租用A 型车a人教版数学七年级下册第八章 二元一次方程组 能力提升检测卷一.选择题(共10小题)1.下列方程是二元一次方程的是( ) A .2x-4=xB .x-2y=6C .x+ 2y =3D .xy=5xcmcm28ycmcm224第19题图2.以方程组 ⎩⎨⎧x +y =102x +y =6的解为坐标的点(x,y)在( )A .第一象限B .第二象限C .第三象限D .第四象限3.在方程组 = = 中,代入消元可得( )A .3y-1-y=7B .y-1-y=7C .3y-3=7D .3y-3-y=74.若2x |k|+(k-1)y=3是关于x ,y 的二元一次方程,则k 的值为( ) A .-1B .1C .1或-1D .05.若关于x ,y 的二元一次方程组 = = 的解为 = = ,则a+4b 的值为( )A .17B .197C .1D .36.如果方程x-y=3与下面的方程组成的方程组的解为= =,那么这一个方程可以是( )A .2(x-y)=6yB .3x-4y=16C .14x+2y =5D .12x+3y =87.某加工厂有工人50名,生产某种一个螺栓套两个螺母的配套产品,每人每天平均生产螺栓14个或螺母20个,应分配多少人生产螺栓,多少人生产螺母,能使生产出的螺栓和螺母刚好配套?设应安排x 人生产螺栓,y 人生产螺母,则所列方程组为( ) A . = = B .= =C . = =D .==8.关于x ,y 的方程组 = = 的解是 = =,其中y 的值被盖住了,不过仍能求出p ,则p 的值是( ) A .- 12B .12C .- 14D .149.A 、B 两地相距900km,一列快车以200km/h 的速度从A 地匀速驶往B 地,到达B 地后立刻原路返回A 地,一列慢车以75km/h 的速度从B 地匀速驶往A 地.两车同时出发,截止到它们都到达终点时,两车恰好相距200km 的次数是( )A.5 B.4 C.3 D.210.如图所示是最近微信朋友圈常被用来“醒醒盹,动动脑”的图片,请你一定认真观察,动动脑子想一想,图中的?表示什么数()A.25 B.15 C.12 D.14二.填空题(共5小题)11.把方程5x+y=3改写为用含x的式子表示y的形式是.12.已知==是方程ax+by=3的一组解(a≠0,b≠0),任写出一组符合题意的a、b值,则a= ,b= .13.已知方程组==和==的解相同,则2m-n= .14.小明,小丽,小刚到同一个文具店买文具,小明买了2支钢笔,2本作业本,3个文件袋共花了20元;小丽买了1支钢笔,2个文件袋共花了10元;那么小刚买了5支钢笔,4本作业本,8个文件袋共花了元.15.甲乙二人分别从相距20km的A,B两地出发,相向而行.如图是小华绘制的甲乙二人运动两次的情形,设甲的速度是xkm/h,乙的速度是ykm/h,根据题意所列的方程组是.三.解答题(共10小题)16.解下列方程(组)(1)==(2)==(3)===17.已知==,==都是关于x,y的二元一次方程y=x+b的解,且m-n=b2+2b-4,求b的值.18.甲、乙两人同求方程ax-by=7的整数解,甲求出一组解为==,而乙把ax-by=7中的7错看成1,求得一组解为==,试求a、b的值.19.阅读下列解方程组的部分过程,回答下列问题解方程组=,①=,②现有两位同学的解法如下:解法一;由①,得x=2y+5,③把③代入②,得3(2y+5)-2y=3.……解法二:①-②,得-2x=2.……(1)解法一使用的具体方法是,解法二使用的具体方法是,以上两种方法的共同点是.(2)请你任选一种解法,把完整的解题过程写出来20.某人沿着相同的路径上山、下山共用了2h.如果上山速度为3km/h,下山速度为5km/h,那么这条山路长是多少?21.我校准备从体育用品商店一次性购买若干个足球和篮球(每个足球的价格相同,每个篮球的价格相同),若购买3个足球和2个篮球共需310元.购买1个足球和1个篮球共需130元.求购买足球、篮球的单价各是多少元?22.【方法体验】已知方程组= ① = ②求4037x+y 的值.小明同学发现解此方程组代入求值很麻烦!后来他将两个方程直接相加便迅速解决了问题.请你体验一下这种快捷思路,写出具体解题过程: 【方法迁移】根据上面的体验,填空: 已知方程组= =则3x+y-z=.【探究升级】已知方程组= =求-2x+y+4z 的值.小明凑出"-2x+y+4z=2﹒(x+2y+3z)+(-1)﹒(4x+3y+2z)=20-15=5“,虽然问题获得解决,但他觉得凑数字很辛苦!他问数学老师丁老师有没有不用凑数字的方法,丁老师提示道:假设-2x+y+4z=m ﹒(x+2y+3z)+n ﹒(4x+3y+2z),对照方程两边各项的系数可列出方程组 == =,它的解就是你凑的数!根据丁老师的提示,填空: 2x+5y+8z=(x+2y+3z)+(4x+3y+2z)【巩固运用】已知2a-b+kc=4,且a+3b+2c=-2,当k 为时,8a+3b-2c 为定值,此定值是.(直接写出结果)23.《孙子算经》是中国古代重要的数学著作,其中记载:“今有甲、乙二人,持钱各不知数.甲得乙中半,可满四十八.乙得甲太半,亦满四十八,问甲、乙二人原持钱各几何?”译文:“甲,乙两人各有若干钱.如果甲得到乙所有钱的一半,那么甲共有钱48文,如果乙得到甲所有钱的23,那么乙也共有钱48文,问甲,乙二人原来各有多少钱?”24.【阅读材料】南京市地铁公司规定:自2019年3月31日起,普通成人持储值卡乘坐地铁出行,每个自然月内,达到规定消费累计金额后的乘次,享受相应的折扣优惠(见图).地铁出行消费累计金额月底清零,次月重新累计.比如:李老师二月份无储值卡消费260元,若采用新规持储值卡消费,则需付费150×0.95+50×0.9+60×0.8=235.5元.【解决问题】甲、乙两个成人二月份无储值卡乘坐地铁消费金额合计300元(甲消费金额超过150元,但不超过200元).若两人采用新规持储值卡消费,则共需付费283.5元.求甲、乙二月份乘坐地铁的消费金额各是多少元?答案: 1.B 2.B 3.D 4.A 5.D 6.A 7.B 8.A 9.B 10.B 11. y=-5x+3 12.1,1 13.5 14.50 15.16.解:(1)= ①= ② , ①+②×5,得:13x=26,x=2,将x=2代入②,得:4-y=3,y=1, 所以方程组的解为 = = ;(2)将方程组整理成一般式为= ①= ② ,①+②,得:6x=14,x=73,将x=73代入①,得:7-2y=8,y=- 12,所以方程组的解为(3)= ① = ② = ③,①+②,得:3x+4y=24 ④, ③+②,得:6x-3y=人教版数学七年级下册第八章 二元一次方程组 能力提升检测卷一.选择题(共10小题)1.下列方程是二元一次方程的是( ) A .2x-4=xB .x-2y=6C .x+ 2y =3D .xy=52.以方程组 ⎩⎨⎧x +y =102x +y =6的解为坐标的点(x,y)在( )A .第一象限B .第二象限C .第三象限D .第四象限3.在方程组 = = 中,代入消元可得( )A .3y-1-y=7B .y-1-y=7C .3y-3=7D .3y-3-y=74.若2x |k|+(k-1)y=3是关于x ,y 的二元一次方程,则k 的值为( ) A .-1B .1C .1或-1D .05.若关于x ,y 的二元一次方程组 = = 的解为 = = ,则a+4b 的值为( )A .17B .197C .1D .36.如果方程x-y=3与下面的方程组成的方程组的解为= =,那么这一个方程可以是( )A .2(x-y)=6yB .3x-4y=16C .14x+2y =5D .12x+3y =87.某加工厂有工人50名,生产某种一个螺栓套两个螺母的配套产品,每人每天平均生产螺栓14个或螺母20个,应分配多少人生产螺栓,多少人生产螺母,能使生产出的螺栓和螺母刚好配套?设应安排x人生产螺栓,y人生产螺母,则所列方程组为()A.==B.==C.==D.==8.关于x,y的方程组==的解是==,其中y的值被盖住了,不过仍能求出p,则p的值是()A.- 12B.12C.-14D.149.A、B两地相距900km,一列快车以200km/h的速度从A地匀速驶往B地,到达B地后立刻原路返回A地,一列慢车以75km/h的速度从B地匀速驶往A地.两车同时出发,截止到它们都到达终点时,两车恰好相距200km的次数是()A.5 B.4 C.3 D.210.如图所示是最近微信朋友圈常被用来“醒醒盹,动动脑”的图片,请你一定认真观察,动动脑子想一想,图中的?表示什么数()A.25 B.15 C.12 D.14二.填空题(共5小题)11.把方程5x+y=3改写为用含x的式子表示y的形式是.12.已知==是方程ax+by=3的一组解(a≠0,b≠0),任写出一组符合题意的a、b值,则a= ,b= .13.已知方程组==和==的解相同,则2m-n= .14.小明,小丽,小刚到同一个文具店买文具,小明买了2支钢笔,2本作业本,3个文件袋共花了20元;小丽买了1支钢笔,2个文件袋共花了10元;那么小刚买了5支钢笔,4本作业本,8个文件袋共花了元.15.甲乙二人分别从相距20km的A,B两地出发,相向而行.如图是小华绘制的甲乙二人运动两次的情形,设甲的速度是xkm/h,乙的速度是ykm/h,根据题意所列的方程组是.三.解答题(共10小题)16.解下列方程(组)(1)==(2)==(3)===17.已知==,==都是关于x,y的二元一次方程y=x+b的解,且m-n=b2+2b-4,求b的值.18.甲、乙两人同求方程ax-by=7的整数解,甲求出一组解为==,而乙把ax-by=7中的7错看成1,求得一组解为==,试求a、b的值.19.阅读下列解方程组的部分过程,回答下列问题解方程组=,①=,②现有两位同学的解法如下:解法一;由①,得x=2y+5,③把③代入②,得3(2y+5)-2y=3.……解法二:①-②,得-2x=2.……(1)解法一使用的具体方法是,解法二使用的具体方法是,以上两种方法的共同点是.(2)请你任选一种解法,把完整的解题过程写出来20.某人沿着相同的路径上山、下山共用了2h.如果上山速度为3km/h,下山速度为5km/h,那么这条山路长是多少?21.我校准备从体育用品商店一次性购买若干个足球和篮球(每个足球的价格相同,每个篮球的价格相同),若购买3个足球和2个篮球共需310元.购买1个足球和1个篮球共需130元.求购买足球、篮球的单价各是多少元?22.【方法体验】已知方程组=①=②求4037x+y的值.小明同学发现解此方程组代入求值很麻烦!后来他将两个方程直接相加便迅速解决了问题.请你体验一下这种快捷思路,写出具体解题过程:【方法迁移】根据上面的体验,填空:已知方程组==则3x+y-z=.【探究升级】已知方程组==求-2x+y+4z的值.小明凑出"-2x+y+4z=2﹒(x+2y+3z)+(-1)﹒(4x+3y+2z)=20-15=5“,虽然问题获得解决,但他觉得凑数字很辛苦!他问数学老师丁老师有没有不用凑数字的方法,丁老师提示道:假设-2x+y+4z=m﹒(x+2y+3z)+n ﹒(4x+3y+2z),对照方程两边各项的系数可列出方程组 == =,它的解就是你凑的数!根据丁老师的提示,填空: 2x+5y+8z=(x+2y+3z)+(4x+3y+2z)【巩固运用】已知2a-b+kc=4,且a+3b+2c=-2,当k 为时,8a+3b-2c 为定值,此定值是.(直接写出结果)23.《孙子算经》是中国古代重要的数学著作,其中记载:“今有甲、乙二人,持钱各不知数.甲得乙中半,可满四十八.乙得甲太半,亦满四十八,问甲、乙二人原持钱各几何?”译文:“甲,乙两人各有若干钱.如果甲得到乙所有钱的一半,那么甲共有钱48文,如果乙得到甲所有钱的23,那么乙也共有钱48文,问甲,乙二人原来各有多少钱?”24.【阅读材料】南京市地铁公司规定:自2019年3月31日起,普通成人持储值卡乘坐地铁出行,每个自然月内,达到规定消费累计金额后的乘次,享受相应的折扣优惠(见图).地铁出行消费累计金额月底清零,次月重新累计.比如:李老师二月份无储值卡消费260元,若采用新规持储值卡消费,则需付费150×0.95+50×0.9+60×0.8=235.5元.【解决问题】甲、乙两个成人二月份无储值卡乘坐地铁消费金额合计300元(甲消费金额超过150元,但不超过200元).若两人采用新规持储值卡消费,则共需付费283.5元.求甲、乙二月份乘坐地铁的消费金额各是多少元?答案: 1.B 2.B 3.D 4.A 5.D 6.A 7.B 8.A 9.B 10.B 11. y=-5x+3 12.1,1 13.5 14.50 15.16.解:(1)= ①= ② , ①+②×5,得:13x=26,x=2,将x=2代入②,得:4-y=3,y=1, 所以方程组的解为 = = ;(2)将方程组整理成一般式为= ①= ② ,①+②,得:6x=14,x=73,将x=73代入①,得:7-2y=8,y=- 12,所以方程组的解为(3)= ① = ② = ③,①+②,得:3x+4y=24 ④, ③+②,得:6x-3y=人教版七年级数学下册第九章不等式与不等式组复习检测试题(有答案)一、选择题。
七年级数学下册《第八章 二元一次方程组》单元测试卷及答案解析-人教版一、单选题1.如果21x y =⎧⎨=-⎩是关于x 、y 的二元一次方程ax+y=1的解,那么a 的值为( )A .-2B .-1C .0D .I2.已知二元一次方程组 522048x y x y +=⎧⎨-=⎩①②,若用加减法消去y ,则正确的是( )A .①×1+②×1B .①×1+②×2C .①×1-②×1D .①×1-②×23.七年级学生在会议室开会,每排座位坐12人,则有11人没有座位;每排座位坐14人,则余1人独坐一排,则这间会议室的座位排数是( ) A .14B .13C .12D .154.方程组24x y x y -=⎧⎨-=⎩的解为2x y =-⎧⎨=⎩▽则被△和△遮盖的两个数分别为(,)A .-10,6B .2,-6C .2,6D .10,-65.已知13x y =⎧⎨=⎩是关于x ,y 的二元一次方程2x y m -=的一个解,则m 的值是( )A .5B .2C .-5D .-26.关于x ,y 的二元一次方程组538y x x y =-⎧⎨-=⎩,用代入法消去y ,得到的方程是( )A .3583x x --=B .358x x +-=C .358x x ++=D .358x x -+=7.已知24328a b a b +=⎧⎨+=⎩,则2a+2b 的值为()A .3B .4C .6D .78.小明计划用100元钱在京东商城购买价格分别为6元和8元的两种商品,则在钱全部用完的前提下,可供小明选择的方案有( ) A .3种B .4种C .5种D .6种9.举办“书香文化节”的活动中,将x 本图书分给了y 名学生,若每人分6本,则剩余40本;若每人分8本,则还缺50本,下列方程组正确的是( )A .640850y x y x -=⎧⎨+=⎩B .640850y xy x +=⎧⎨-=⎩C .640850x y x y +=⎧⎨-=⎩D .640850y xy x -=⎧⎨-=⎩10.若方程组41233x by z x by z -+=⎧⎨-+=⎩ 的解是1x ay z c=⎧⎪=⎨⎪=⎩,则6a b c ++的值是( )A .-3B .0C .3D .6二、填空题11.已知二元一次方程x -2y =10,用含x 的代数式表示y ,则y = . 12.已知x 、y 满足方程组3202132022x y x y +=⎧⎨+=⎩,则x y -= .13.若273330x y y z z x +=⎧⎪+=⎨⎪+=⎩,则代数式x+y+z 的值为 .14.小明家准备装修一套新房,若甲、乙两家装修公司合作需6周完成,装修费用为5.2万元;若甲公司单独做4周,剩下的由乙公司做,还需9周完成,此时装修费用为4.8万元.若小明只选甲公司单独完成,则他需要付给甲公司装修费用 万元.三、计算题15.解方程组:(1){y =2x3x +2y =7 (2){4x −y =112x +y =1316.解方程组: 4223327x y z x y z x y z +-=⎧⎪-+=-⎨⎪+-=⎩四、解答题17.解方程组 64ax by x cy +=⎧⎨+=⎩ 时甲同学因看错 a 符号,从而求得解为32x y =⎧⎨=⎩ ,乙因看漏 c ,从而求得解为 62x y =⎧⎨=-⎩ ,试求 a , b , c 的值.18.已知方程组31313x y mx y m +=-+⎧⎨-=+⎩的解满足x 为非正数,y 为负数,求m 的取值范围.19. 2021年下半年,新冠疫情在全球新一波蔓延,接种新冠疫苗是当前抗击疫情最有效的手段.某县注射的疫苗有两种,一种是2针剂的灭活疫苗,另种是3针剂的重组蛋白疫苗.某校120名教职工全部完成其中一种疫苗的注射,共注射了325针,注射2针剂和3针剂疫苗的教职工各有多少人?五、综合题20.已知二元一次方程20ax y b +-=(a ,b 均为常数,且a≠0).(1)当a =3,b =﹣4时用x 的代数式表示y ;(2)若()2212x a by b b =-⎧⎪⎨=+⎪⎩是该二元一次方程的一个解 ①探索a 与b 关系,并说明理由;②无论a 、b 取何值,该方程有一组固定解,请求出这组解.21.下面是马小虎同学解二元一次方程组的过程,请认真阅读并完成相应的任务.解方程组:{3x −y =4 ①6x −3y =10 ②解:①×2,得628x y -=……③ 第一步 ②-③,得2y -= 第二步=2y -. 第三步将=2y -代入①,得2x =.第四步所以,原方程组的解为22x y =⎧⎨=-⎩第五步(1)这种求解二元一次方程组的方法叫做 法,以上求解步骤中,马小虎同学第 步开始出现错误.(2)请写出此题正确的解答过程.22.目前,新型冠状病毒在我国虽可控可防,但不可松懈.建兰中学欲购置规格分别为200mL 和500mL 的甲、乙两种免洗手消毒液若干瓶,已知购买3瓶甲和2瓶乙免洗手消毒液需要80元,购买1瓶甲和4瓶乙免洗手消毒液需要110元. (1)求甲、乙两种免洗手消毒液的单价.(2)该校在校师生共1000人,平均每人每天都需使用10mL 的免洗手消毒液,若校方采购甲、乙两种免洗手消毒液共花费2500元,则这批消毒液可使用多少天?(3)为节约成本,该校购买散装免洗手消毒液进行分装,现需将8.4L 的免洗手消毒液全部装入最大容量分别为200mL 和500mL 的两种空瓶中(每瓶均装满),若分装时平均每瓶需损耗10mL ,请问如何分装能使总损耗最小,求出此时需要的两种空瓶的数量.参考答案与解析1.【答案】D【解析】【解答】解:将 21x y =⎧⎨=-⎩ 代入ax+y=1得2a-1=1 解得a=1. 故答案为:D.【分析】根据方程根的概念,将x=2与y=-1代入ax+y=1可得关于字母a 的方程,求解即可得出a 的值.2.【答案】B【解析】【解答】解: ACD 、既不能消去x ,也不能消去y ,错误;B 、能消去y ,正确; 故答案为:B.【分析】观察两方程中y 的系数,找出两系数的最小公倍数,结合系数的符号,即可判断.3.【答案】C【解析】【解答】解:设这间会议室的座位排数是x 排,人数是y 人.根据题意,得()12111411x y x y+=⎧⎨-+=⎩解得12155x y =⎧⎨=⎩. 故答案为:C .【分析】本题中有两个等量关系:1、每排坐12人,则有11人没有座位;2、每排坐14 人,则余1人独坐一排. 这样设每排的座位数为x ,总人数为y ,列出二元一次方程组即可.4.【答案】B【解析】【解答】解:∵方程组24x y x y -=⎧⎨-=⎩①②的解为2x y =-⎧⎨=⎩▽ 424y y --=⎧⎨--=⎩①②解之:y=-6, △=2【分析】将x=-2代入第二个方程,可求出△的值,再将x ,y 的值代入第一个方程,可求出△的值.5.【答案】C【解析】【解答】解:13x y =⎧⎨=⎩是关于x ,y 的二元一次方程2x y m -=的一个解123m ∴-⨯=5m ∴=-故答案为:C.【分析】将x=1、y=3代入方程中进行计算可得m 的值.6.【答案】D【解析】【解答】解:方程:{y =x −5①3x −y =8②把①式代入②式,可得:()358x x --=整理,可得:358x x -+= 故答案为:D.【分析】将第一个方程代入第二个方程中可得3x-(x-5)=8,然后化简即可.7.【答案】C【解析】【解答】解:24328a b a b +=⎧⎨+=⎩①② ①+②,可得: 4a +4b =12 ∴2a +2b =12÷2=6. 故答案为:C .【分析】两方程组中两方程相加即可求解.8.【答案】B【解析】【解答】设购买价格为6元的商品x 件,价格为8元的商品y 件依题意得:68100x y +=5034xy -∴=又x ,y 均为正整数解得211x y =⎧⎨=⎩或68x y =⎧⎨=⎩或105x y =⎧⎨=⎩或142x y =⎧⎨=⎩因此可供小明选择的方案有4种.【分析】设购买价格为6元的商品x 件,价格为8元的商品y 件, 根据购买价格分别为6元和8元的两种商品共花费100元,列出二元一次方程,再求出其正整数解即可.9.【答案】B【解析】【解答】解:由题意得: 640850y xy x +=⎧⎨-=⎩故答案为:B.【分析】根据“ 每人分6本,则剩余40本”得方程6y-40=x ;根据“每人分8本,则还缺50本”得方程8y-50=x ,依此列出二元一次方程组,即可解答.10.【答案】A【解析】【解答】解:∵方程组41233x by z x by z -+=⎧⎨-+=⎩ 的解是1x a y z c=⎧⎪=⎨⎪=⎩∴41233a b c a b c -+=⎧⎨-+=⎩①② 由①-②得:2b c +=- ∴2b c =--把2b c =--代入①,得:()241a c c ---+=∴51a c +=-∴65123a b c a c b c ++=+++=--=-. 故答案为:A.【分析】由题意把x 、y 、z 的值代入方程组可得关于a 、b 、c 的方程组,将c 作为常数,用含c 的式子表示出a 、b ,整体代换计算即可求解.11.【答案】x 102- 【解析】【解答】解:x -2y =102y=x-10 解之:y=x 102-. 故答案为x 102-【分析】先移项,再将y的系数化为1,可求出y.12.【答案】1 2 -【解析】【解答】解:3202132022 x yx y+=⎧⎨+=⎩①②①-②得,2x-2y=﹣1两边同除以2得,x-y=1 2 -故答案为1 2 -.【分析】将①式和②式整体相减得出2x-2y=﹣1,然后根据等式的性质两边同除以2,即可解答. 13.【答案】45【解析】【解答】解:273330x yy zz x+=⎧⎪+=⎨⎪+=⎩①②③①+②+③得:2x+2y+2z=90整理得:x+y+z=45.故答案为:45.【分析】将方程组中的三个方程相加并化简可得x+y+z的值. 14.【答案】6【解析】【解答】解:设甲公司的工作效率为x,乙公司的工作效率为y.依题意列方程组,得661 491 x yx y+=⎧⎨+=⎩解这个方程组,得110115 xy⎧=⎪⎪⎨⎪=⎪⎩所以,甲公司单独做需10周,乙公司单独做需15周;设甲一周的装修费是m万元,乙一周的装修费是n万元.依题意列方程组,得66 5.2 49 4.8 m nm n+=⎧⎨+=⎩解这个方程组,得35415 mn⎧=⎪⎪⎨⎪=⎪⎩甲单独做的装修费:35×10=6(万元)故答案为:6.【分析】设甲公司的工作效率为x,乙公司的工作效率为y,根据相等关系“ 甲装修公司6周完成的工作量+乙装修公司6周完成的工作量=1,甲装修公司4周完成的工作量+乙装修公司9周完成的工作量=1”可得关于x、y的方程组,解之求出x、y的值;设甲一周的装修费是m万元,乙一周的装修费是n万元,根据相等关系“ 甲装修公司6周所需费用+乙装修公司6周完成所需费用=1,甲装修公司4周所需费用+乙装修公司9周所需费用=1”可得关于m、n的方程组,解之可求解.15.【答案】(1)解:{y=2x①3x+2y=7②将①代入②得3x+4x=7解得x=1将x=1代入①得y=2∴12 xy=⎧⎨=⎩(2)解:{4x−y=11①2x+y=13②①+②得6x=24解得x=4将x=4代入②得8+y=13解得y=5∴45 xy=⎧⎨=⎩【解析】【分析】(1)将①方程直接代入②方程可求出x的值,再将x的值代入①方程可求出y的值,从而即可得出方程组的解;(2)将方程组中的两个方程相加可求出x的值,再将x的值代入②方程可求出y的值,从而即可得出方程组的解.16.【答案】解:4 223 327x y zx y zx y z+-=⎧⎪-+=-⎨⎪+-=⎩①②③解:①+②得, 31x y -=④ ②×2+③得, 731x y -=⑤④与⑤组成方程组得 31731x y x y -=⎧⎨-=⎩解方程组得, 12x y =⎧⎨=⎩把 12x y =⎧⎨=⎩ 代入①得, 124z +-=解得, 1z =-∴原方程组的解为: 121x y z =⎧⎪=⎨⎪=-⎩【解析】【分析】利用第一个方程加上第二个方程可得3x-y=1,利用第二个方程的2倍加上第三个方程可得7x-3y=1,联立求解可得x 、y 的值,然后将x 、y 的值代入第一个方程中求出z 的值,据此可得方程组的解.17.【答案】解:甲同学因看错 a 符号∴ 把 3x = , 2y = 代入 4x cy +=解得 12c =326a b -+= .乙因看漏 c∴ 把 6x = , 2y =- 代入 6ax by +=得 626a b -= 得 326626a b a b -+=⎧⎨-=⎩解得, a=4 , b=9【解析】【分析】甲同学看错a 的负号,把x=3,y=2代入x+cy=4,求出c 值,因看错a 的符号,得-3a+2b=6,再由乙看漏c ,把x=6,y=-2代入ax+by=6,得6a-2b=6,联立方程组解方程组得a 、b 的值,即可解决问题.18.【答案】解:解方程组31313x y m x y m +=-+⎧⎨-=+⎩,得324x m y m =-⎧⎨=--⎩ ∵x 为非正数,y 为负数∴30240m m -≤⎧⎨--<⎩解得-2<m≤3【解析】【分析】先求出方程组的解324x m y m =-⎧⎨=--⎩,再根据题意列出不等式组30240m m -≤⎧⎨--<⎩,最后求出m 的取值范围即可。
第八章 二元一次方程组§8.1二元一次方程组一、填空题1、二元一次方程4x-3y=12,当x=0,1,2,3时,y=____ __。
2、在x+3y=3中,若用x 表示y ,则y=__ ___,用y 表示x ,则x=_ _____。
3、已知方程(k 2-1)x 2+(k+1)x+(k-7)y=k+2,当k=______时,方程为一元一次方程;当k=______时,方程为二元一次方程。
4、对二元一次方程2(5-x)-3(y-2)=10,当x=0时,则y=___ ___;当y=0时,则x=__ ____。
5、方程2x+y=5的正整数解是___ ___。
6、若(4x-3)2+|2y+1|=0,则x+2=_____ _。
7、方程组⎩⎨⎧==+bxy a y x 的一个解为⎩⎨⎧==32y x ,那么这个方程组的另一个解是 。
8、若21=x 时,关于y x 、的二元一次方程组⎩⎨⎧=-=-212by x y ax 的解互为倒数,则=-b a 2 。
二、选择题1、方程2x-3y=5,xy=3,33=+yx ,3x-y+2z=0,62=+y x 中是二元一次方程的有( )个。
A、1 B、2 C、3 D、4 2、方程2x+y=9在正整数范围内的解有( )A 、1个B 、2个C 、3个D 、4个3、与已知二元一次方程5x-y=2组成的方程组有无数多个解的方程是( )A 、10x+2y=4B 、4x-y=7C 、20x-4y=3D 、15x-3y=6 4、若是m y x 25与2214-++n m n y x 同类项,则n m -2的值为 ( )A 、1B 、-1C 、-3D 、以上答案都不对 5、在方程(k 2-4)x 2+(2-3k)x+(k+1)y+3k=0中,若此方程为二元一次方程,则k值为( )A 、2B 、-2C 、2或-2D 、以上答案都不对. 6、若⎩⎨⎧-==12y x 是二元一次方程组的解,则这个方程组是( )A 、⎩⎨⎧=+=-5253y x y x B 、⎩⎨⎧=--=523x y x y C 、⎩⎨⎧=+=-152y x y x D 、⎩⎨⎧+==132y x y x7、在方程3)(3)(2=--+x y y x 中,用含x 的代数式表示y ,则 ( )A 、35-=x yB 、3--=x yC 、35+=x yD 、35--=x y 8、已知x=3-k,y=k+2,则y与x的关系是( )A、x+y=5 B、x+y=1 C、x-y=1 D、y=x-1 9、下列说法正确的是( )A、二元一次方程只有一个解 B、二元一次方程组有无数个解C、二元一次方程组的解必是它所含的二元一次方程的解 D、三元一次方程组一定由三个三元一次方程组成10、若方程组⎩⎨⎧=+=+16156653y x y x 的解也是方程3x+ky=10的解,则k的值是( )A、k=6 B、k=10 C、k=9 D、k=101三、解答题1、解关于x 的方程)1(2)4)(1(+-=--x a x a a2、已知方程组⎩⎨⎧=+=+cy ax y x 27,试确定c a 、的值,使方程组:(1)有一个解;(2)有无数解;(3)没有解3、关于y x 、的方程3623-=+k y kx ,对于任何k 的值都有相同的解,试求它的解。
二元一次方程组解法练习题一.解答题(共16小题) 1.解下列方程组 (1)(2)(3))(6441125为已知数a a y x ay x ⎩⎨⎧=-=+(4)(5)(6).(7)(8)⎩⎨⎧=--+=-++0)1(2)1()1(2x y x x x y y x(9)(10) ⎪⎪⎩⎪⎪⎨⎧=-++=-++1213222132y x y x2.求适合的x ,y 的值.3.已知关于x ,y 的二元一次方程y=kx+b 的解有和.(1)求k ,b 的值.(2)当x=2时,y 的值. (3)当x 为何值时,y=3?1.解下列方程组(1)(2);(3);(4)(5).(6)(7)(8)(9)(10);2.在解方程组时,由于粗心,甲看错了方程组中的a,而得解为,乙看错了方程组中的b,而得解为.(1)甲把a看成了什么,乙把b看成了什么?(2)求出原方程组的正确解.二元一次方程组解法练习题精选参考答案与试题解析一.解答题(共16小题)1.求适合的x,y的值.考点:解二元一次方程组.分析:先把两方程变形(去分母),得到一组新的方程,然后在用加减消元法消去未知数x,求出y的值,继而求出x的值.解答:解:由题意得:,由(1)×2得:3x﹣2y=2(3),由(2)×3得:6x+y=3(4),(3)×2得:6x﹣4y=4(5),(5)﹣(4)得:y=﹣,把y的值代入(3)得:x=,∴.点评:本题考查了二元一次方程组的解法,主要运用了加减消元法和代入法.2.解下列方程组(1)(2)(3)(4).考点:解二元一次方程组.分析:(1)(2)用代入消元法或加减消元法均可;(3)(4)应先去分母、去括号化简方程组,再进一步采用适宜的方法求解.解答:解:(1)①﹣②得,﹣x=﹣2,解得x=2,把x=2代入①得,2+y=1,解得y=﹣1.故原方程组的解为.(2)①×3﹣②×2得,﹣13y=﹣39,解得,y=3,把y=3代入①得,2x﹣3×3=﹣5,解得x=2.故原方程组的解为.(3)原方程组可化为,①+②得,6x=36,x=6,①﹣②得,8y=﹣4,y=﹣.所以原方程组的解为.(4)原方程组可化为:,①×2+②得,x=,把x=代入②得,3×﹣4y=6,y=﹣.所以原方程组的解为.点评:利用消元法解方程组,要根据未知数的系数特点选择代入法还是加减法:①相同未知数的系数相同或互为相反数时,宜用加减法;②其中一个未知数的系数为1时,宜用代入法.3.解方程组:考解二元一次方程组.点:计算题.专题:分先化简方程组,再进一步根据方程组的特点选用相应的方法:用加减法.析:解答:解:原方程组可化为,①×4﹣②×3,得7x=42,解得x=6.把x=6代入①,得y=4.所以方程组的解为.;二元一次方程组无论多复杂,解二元一次方程组的基本思想都是消元.消元的方法有代入法和加减法.点评:4.解方程组:考点:解二元一次方程组.专题:计算题.分析:把原方程组化简后,观察形式,选用合适的解法,此题用加减法求解比较简单.解答:解:(1)原方程组化为,①+②得:6x=18,∴x=3.代入①得:y=.所以原方程组的解为.点评:要注意:两个二元一次方程中同一未知数的系数相反或相等时,把这两个方程的两边相加或相减,就能消去这个未知数,得到一个一元一次方程,这种方法叫做加减消元法.本题适合用此法.5.解方程组:考点:解二元一次方程组.专题:计算题;换元法.分析:本题用加减消元法即可或运用换元法求解.解答:解:,①﹣②,得s+t=4,①+②,得s﹣t=6,即,解得.所以方程组的解为.点评:此题较简单,要熟练解方程组的基本方法:代入消元法和加减消元法.6.已知关于x,y的二元一次方程y=kx+b的解有和.(1)求k,b的值.(2)当x=2时,y的值.(3)当x为何值时,y=3?考点:解二元一次方程组.专题:计算题.分析:(1)将两组x,y的值代入方程得出关于k、b的二元一次方程组,再运用加减消元法求出k、b的值.(2)将(1)中的k、b代入,再把x=2代入化简即可得出y的值.(3)将(1)中的k、b和y=3代入方程化简即可得出x的值.解答:解:(1)依题意得:①﹣②得:2=4k,所以k=,所以b=.(2)由y=x+,把x=2代入,得y=.(3)由y=x+把y=3代入,得x=1.点评:本题考查的是二元一次方程的代入消元法和加减消元法,通过已知条件的代入,可得出要求的数.7.解方程组:(1);(2).考点:解二元一次方程组.分析:根据各方程组的特点选用相应的方法:(1)先去分母再用加减法,(2)先去括号,再转化为整式方程解答.解答:解:(1)原方程组可化为,①×2﹣②得:y=﹣1,将y=﹣1代入①得:x=1.∴方程组的解为;(2)原方程可化为,即,①×2+②得:17x=51,x=3,将x=3代入x﹣4y=3中得:y=0.∴方程组的解为.点评:这类题目的解题关键是理解解方程组的基本思想是消元,掌握消元的方法有:加减消元法和代入消元法.根据未知数系数的特点,选择合适的方法.8.解方程组:考点:解二元一次方程组.专题:计算题.分析:本题应把方程组化简后,观察方程的形式,选用合适的方法求解.解答:解:原方程组可化为,①+②,得10x=30,x=3,代入①,得15+3y=15,y=0.则原方程组的解为.点评:解答此题应根据各方程组的特点,有括号的去括号,有分母的去分母,然后再用代入法或加减消元法解方程组.9.解方程组:考点:解二元一次方程组.专题:计算题.分析:本题为了计算方便,可先把(2)去分母,然后运用加减消元法解本题.解答:解:原方程变形为:,两个方程相加,得4x=12,x=3.把x=3代入第一个方程,得4y=11,y=.解之得.点评:本题考查的是二元一次方程组的解法,方程中含有分母的要先化去分母,再对方程进行化简、消元,即可解出此类题目.10.解下列方程组:(1)(2)考点:解二元一次方程组.专题:计算题.分析:此题根据观察可知:(1)运用代入法,把①代入②,可得出x,y的值;(2)先将方程组化为整系数方程组,再利用加减消元法求解.解答:解:(1),由①,得x=4+y③,代入②,得4(4+y)+2y=﹣1,所以y=﹣,把y=﹣代入③,得x=4﹣=.所以原方程组的解为.(2)原方程组整理为,③×2﹣④×3,得y=﹣24,把y=﹣24代入④,得x=60,所以原方程组的解为.点评:此题考查的是对二元一次方程组的解法的运用和理解,学生可以通过题目的训练达到对知识的强化和运用.11.解方程组:(1)(2)考点:解二元一次方程组.专题:计算题;换元法.分析:方程组(1)需要先化简,再根据方程组的特点选择解法;方程组(2)采用换元法较简单,设x+y=a,x﹣y=b,然后解新方程组即可求解.解答:解:(1)原方程组可化简为,解得.(2)设x+y=a,x﹣y=b,∴原方程组可化为,解得,∴∴原方程组的解为.点评:此题考查了学生的计算能力,解题时要细心.12.解二元一次方程组:(1);(2).考点:解二元一次方程组.专题:计算题.分析:(1)运用加减消元的方法,可求出x、y的值;(2)先将方程组化简,然后运用加减消元的方法可求出x、y的值.解答:解:(1)将①×2﹣②,得15x=30,x=2,把x=2代入第一个方程,得y=1.则方程组的解是;(2)此方程组通过化简可得:,①﹣②得:y=7,把y=7代入第一个方程,得x=5.则方程组的解是.点评:此题考查的是对二元一次方程组的解法的运用和理解,学生可以通过题目的训练达到对知识的强化和运用.13.在解方程组时,由于粗心,甲看错了方程组中的a,而得解为,乙看错了方程组中的b,而得解为.(1)甲把a看成了什么,乙把b看成了什么?(2)求出原方程组的正确解.考点:解二元一次方程组.专题:计算题.分析:(1)把甲乙求得方程组的解分别代入原方程组即可;(2)把甲乙所求的解分别代入方程②和①,求出正确的a、b,然后用适当的方法解方程组.解答:解:(1)把代入方程组,得,解得:.把代入方程组,得,解得:.∴甲把a看成﹣5;乙把b看成6;(2)∵正确的a是﹣2,b是8,∴方程组为,解得:x=15,y=8.则原方程组的解是.点评:此题难度较大,需同学们仔细阅读,弄清题意再解答.14.考点:解二元一次方程组.分析:先将原方程组中的两个方程分别去掉分母,然后用加减消元法求解即可.解答:解:由原方程组,得,由(1)+(2),并解得x=(3),把(3)代入(1),解得y=∴原方程组的解为.点评:用加减法解二元一次方程组的一般步骤:1.方程组的两个方程中,如果同一个未知数的系数既不互为相反数又不相等,就用适当的数去乘方程的两边,使一个未知数的系数互为相反数或相等;2.把两个方程的两边分别相加或相减,消去一个未知数,得到一个一元一次方程;3.解这个一元一次方程;4.将求出的未知数的值代入原方程组的任意一个方程中,求出另一个未知数,从而得到方程组的解.15.解下列方程组:(1);(2).考点:解二元一次方程组.分析:将两个方程先化简,再选择正确的方法进行消元.解答:解:(1)化简整理为,①×3,得3x+3y=1500③,②﹣③,得x=350.把x=350代入①,得350+y=500,∴y=150.故原方程组的解为.(2)化简整理为,①×5,得10x+15y=75③,②×2,得10x﹣14y=46④,③﹣④,得29y=29,∴y=1.把y=1代入①,得2x+3×1=15,∴x=6.故原方程组的解为.点评:方程组中的方程不是最简方程的,最好先化成最简方程,再选择合适的方法解方程.16.解下列方程组:(1)(2)考点:解二元一次方程组.分析:观察方程组中各方程的特点,用相应的方法求解.解答:解:(1)①×2﹣②得:x=1,将x=1代入①得:2+y=4,y=2.∴原方程组的解为;(2)原方程组可化为,①×2﹣②得:﹣y=﹣3,y=3.将y=3代入①得:x=﹣2.∴原方程组的解为.点评:解此类题目要注意观察方程组中各方程的特点,采用加减法或代入法求解.二元一次方程组单元测试题及答案(一)一、选择题(每题3分,共24分)1、表示二元一次方程组的是( )A 、⎩⎨⎧=+=+;5,3x z y xB 、⎩⎨⎧==+;4,52y y xC 、⎩⎨⎧==+;2,3xy y xD 、⎩⎨⎧+=-+=222,11x y x x y x 2、方程组⎩⎨⎧=-=+.134,723y x y x 的解是( )A 、⎩⎨⎧=-=;3,1y xB 、⎩⎨⎧-==;1,3y xC 、⎩⎨⎧-=-=;1,3y x D 、⎩⎨⎧-=-=.3,1y x 3、设⎩⎨⎧=+=.04,3z y y x ()0≠y 则=z x ( ) A 、12 B 、121-C 、12-D 、.121 4、设方程组()⎩⎨⎧=--=-.433,1by x a by ax 的解是⎩⎨⎧-==.1,1y x 那么b a ,的值分别为( )A 、;3,2-B 、;2,3-C 、;3,2-D 、.2,3-5、方程82=+y x 的正整数解的个数是( )A 、4B 、3C 、2D 、16、在等式n mx x y ++=2中,当3.5,3;5,2=-=-===x y x y x 则时时时, =y ( )。