液压与气压传动课后答案第1章
- 格式:doc
- 大小:1000.00 KB
- 文档页数:8
第1章 思考题和习题解1.3 液压传动系统由哪几部分组成?各组成部分的作用是什么?答:(1)动力装置:动力装置是指能将原动机的机械能转换成为液压能的装置,它是液压系统的动力源。
(2)控制调节装置:其作用是用来控制和调节工作介质的流动方向、压力和流量,以保证执行元件和工作机构的工作要求。
(3)执行装置:是将液压能转换为机械能的装置,其作用是在工作介质的推动下输出力和速度(或转矩和转速),输出一定的功率以驱动工作机构做功。
(4)辅助装置:除以上装置外的其它元器件都被称为辅助装置,如油箱、过滤器、蓄能器、冷却器、管件、管接头以及各种信号转换器等。
它们是一些对完成主运动起辅助作用的元件,在系统中是必不可少的,对保证系统正常工作有着重要的作用。
(5)工作介质:工作介质指传动液体,在液压系统中通常使用液压油液作为工作介质。
1.6 液压油液的粘度有几种表示方法?它们各用什么符号表示?它们又各用什么单位?答:(1)动力粘度η :动力粘度又称为绝对粘度,由式:dydu A F f =η确定。
(2)运动粘度ν :液体的动力粘度与其密度的比值被称为液体的运动粘度,即:ηνρ=(3)相对粘度: 1.7 国家新标准规定的液压油液牌号是在多少温度下的哪种粘度的平均值?答:我国液压油的牌号是用它在温度为40℃时的运动粘度平均值来表示的。
例如32号液压油,就是指这种油在40℃时的运动粘度平均值为32 mm 2/s 。
1.8 密闭容器内液压油的体积压缩系数κ为1.5×103-/MPa ,压力在1 MPa 时的容积为2 L 。
求在压力升高到10 MPa 时液压油的容积为多少?解:根据体积压缩系数公式:1V VP ∆∆-=κ可得:027.01092105.169-=⨯⨯⨯⨯-=∆⋅-=∆-p V V κL则:压缩后油的容积为V t = 2 - 0.027 = 1.973 L 答:压缩后油的容积为1.973 L1.12 液压传动的介质污染原因主要来自哪几个方面?应该怎样控制介质的污染?答:液压油液被污染的原因是很复杂的,但大体上有以下几个方面:(1)残留物的污染(2)侵入物的污染:液(3)生成物的污染:这主要指液压传动系统在工作过程中所产生的金属微粒、密封材料磨损颗粒、涂料剥离片、水分、气泡及油液变质后的胶状物等所造成的液压油液污染。
液压与气压传动(江苏大学)智慧树知到课后章节答案2023年下江苏大学第一章测试1.液压系统的两个重要参数是压力和流量。
A:对 B:错答案:对2.液压传动不易获得很大的力和转矩。
A:对 B:错答案:错3.液压传动适合在传动比要求严格的场合使用。
A:对 B:错答案:错4.液压传动适合远距离传动。
A:对 B:错答案:错5.液压系统故障诊断方便、容易。
A:错 B:对答案:错6.液压传动装置本质上是一种能量转换装置。
A:错 B:对答案:对7.油液的粘温特性显示,油液的粘度与温度无关。
A:对 B:错答案:错8.粘性是油液流动时,内部产生摩擦力的性质A:错 B:对答案:对9.液压系统的执行元件是()。
A:电动机 B:液压泵 C:液压缸和液压马达 D:液压阀答案:液压缸和液压马达10.液压系统中,液压泵属于()。
A:执行元件 B:动力元件 C:控制调节元件 D:辅助元件答案:动力元件11.液压传动是利用液体的()来工作的。
A:压力能和动能 B:压力能 C:势能 D:动能答案:压力能12.国际标准ISO对油液的粘度等级(VG)进行划分,是按这种油液40℃时()的平均值进行划分的。
A:恩氏粘度 B:运动粘度 C:动力粘度 D:赛氏粘度答案:运动粘度13.溶解在油液的空气含量增加时,油液的体积弹性模量()。
A:增大 B:基本不变 C:不确定 D:减小答案:减小14.液压系统的故障大多数是()引起的。
A:系统漏油 B:油温过高 C:油液粘度不适应 D:油液污染答案:油液污染15.液压系统主要由()和工作介质组成。
A:辅助元件 B:控制调节元件 C:动力元件 D:执行元件答案:辅助元件;控制调节元件;动力元件;执行元件16.影响油液粘度变化的因素有()。
A:温度 B:流量 C:成分 D:压力答案:温度;压力17.油液常用的粘度有()。
A:恩氏粘度 B:动力粘度 C:运动粘度 D:相对粘度答案:动力粘度;运动粘度;相对粘度第二章测试1.液体流经薄壁小孔的流量与孔口面积的()成正比。
第1章绪论1-1什么是液压传动?什么是气压传动?参考答案:液压与气压传动的基本工作原理是相似的,都是以流体的压力能来传递动力的。
以液体(液压油)为工作介质,靠液体的压力能进行工作称为液压传动。
以压缩空气为工作介质,靠气体压力能进行工作的称为气压传动。
1-2液压与气压传动系统有哪几部分组成?各部分的作用是什么?参考答案:液压传动系统和气压传动系统主要有以下部分组成:(1)动力元件:液压泵或气源装置,其功能是将原电动机输入的机械能转换成流体的压力能,为系统提供动力。
(2)执行元件:液压缸或气缸、液压马达或气压马达,它们的功能是将流体的压力能转换成机械能,输出力和速度(或转矩和转速),以带动负载进行直线运动或旋转运动。
(3)控制元件:压力流量和方向控制阀,它们的作用是控制和调节系统中流体的压力、流量和流动方向,以保证执行元件达到所要求的输出力(或力矩)、运动速度和运动方向。
(4)辅助元件:保证系统正常工作所需要的辅助装置,包括管道、管接头、油箱或储气罐、过滤器和压力计等。
(5)传动介质:指传递能量的流体,即液压油或压缩空气。
1-3液压与气压传动主要优缺点有哪些?参考答案:液压传动的主要优点:在输出相同功率的条件下,液压转动装置体积小、重量轻、结构紧凑、惯性小、并且反应快。
可在运行过程中实现大范围的无级调速、且调节方便。
传动无间隙,运动平稳,能快速启动、制动和频繁换向。
操作简单,易于实现自动化,特别是与电子技术结合更易于实现各种自动控制和远距离操纵。
不需要减速器就可实现较大推力、力矩的传动。
易于实现过载保护,安全性好;采用矿物油作工作介质,滋润滑性好,故使用寿命长。
液压元件已是标准化、系列化、通用化产品、便于系统的设计、制造和推广应用。
液压传动的主要缺点:(1)油液的泄露、油液的可压缩性、油管的弹性变形会影响运动的传递正确性,故不宜用于精确传动比的场合。
(2)由于油液的粘度随温度而变,从而影响运动的稳定性,故不宜在温度变化范围较大的场合工作。
第一章1-1 什么是流体传动?除传动介质外,它由哪几部分组成?各部分的主要作用是什么?答:以流体为工作介质,在密闭容器中实现各种机械的能量转换、传递和自动控制的技术称为流体传动。
动力元件——将原动机的机械能转换为执行机构所需要的流体液压能。
包括液压泵、空压机。
执行元件——将由动力元件输入的流体液压能转换为负载所需的新的机械能。
包括液压气动缸和液压气动马达。
控制元件——对系统中流体的压力、流量或流动方向进行控制或调节。
包括压力阀、流量阀和方向阀等。
辅助元件——流体传动系统中的各种辅助装置。
如油箱、过滤器、油雾器等。
1-2 液压系统中的压力取决于什么?执行元件的运动速度取决于什么?液压传动是通过液体静压力还是液体动压力实现传动的?答:液压系统中的压力取决于外负载的大小,与流量无关。
执行元件的运动速度取决于流量Q ,与压力无关。
液压传动是通过液体静压力实现传动的。
第二章2-3 液压油液的黏度有几种表示方法?它们各用什么符号表示?它们又各用什么单位? 答:(1)动力黏度(绝对黏度):用μ表示,国际单位为:Pa ∙s (帕∙秒);工程单位:P (泊)或cP (厘泊)。
(2)运动黏度: 用ν表示,法定单位为sm2,工程制的单位为St(沲,scm 2),cSt (厘沲)。
(3)相对黏度:中国、德国、前苏联等用恩氏黏度ºE ,美国采用赛氏黏度SSU ,英国采用雷氏黏度R ,单位均为秒。
2-11如题2-11图所示为串联液压缸,大、小活塞直径分别为D 2=125mm,D 1=75mm;大、小活塞杆直径分别为d 2=40mm,d 1=20mm ,若流量q=25L/min 。
求v 1、v 2、q 1、q 2各为多少?解: 由题意 41πD 211ν =q ∴ 1ν=4q/π D 21=0.094m/s又 ∵q=41πD 222ν ∴2ν=0.034m/sq 1=41π(D 21-d 21)1ν=3.86x104-m 3/s=23.16L/minq 2=41π(D 22-d 22)2ν=3.74 x104-m 3/s=22.44 L/min2-13求题2-13图所示液压泵的吸油高度H 。
《液压与气压传动》第4版课后答案主编刘银水许福玲第4版《液压与气压传动》课后习题答案第一章习题1-1某液压油在大气压下的体积是50L ,当压力升高后其体积减少到49.9L ,设液压油的体积弹性模量Pa K 5107000?=,求压力升高值。
解:V Vp K -=Θ Pa Pa V V K p 551014)(50)509.49(107000?=-??-=??-=?∴1-2用恩氏粘度计测得3/850m kg =ρ的某种液压油200mL 流过的时间s t 1531=。
20℃时200mL 蒸馏水流过的时间s t 512=。
问该液压油的E 0为多少?动力粘度)(s Pa ?μ为多少?运动粘度)/(2s m ν为多少?解:351153210===t t E s m s m E E v /1083.19)/(10)331.6331.7(10)31.631.7(2626600---?=?-?=?-= s Pa s Pa v ??===-5610169.0)(1083.19850ρμ1-3如题1-3图所示,容器A 内充满着3/900m kg =ρ的液体,汞U 形测压计的m s m h A 5.0,1==,求容器A 中心压力。
解:设B 、C 为等压面,容器A 中心压力为p A ,则:aC A A B cB p gh P p gZ p p p +=+==汞ρρ得:a A A p gh p gZ +=+汞ρρ容器A 中心的绝对压力为:PaPa p Z h g p aA A 55331031.2)(1001.1)5.0109.01106.13(81.9)(?=?+??-=+-=ρρ汞容器 A 中心的相对压力为:Pa Pa Z h g p p A a A533103.1))(5.0109.01106.13(81.9)(?=??-=-=-ρρ汞1-4 如题1-4图所示,具有一定真空度的容器用一根管子倒置于一液面与大气相同的槽中,液体在管中上升的高度m h 5.0=,设液体的密度3/1000m kg =ρ,试求容器内的真空度。
第一章绪论1-1液压系统中的压力取决于〔〕,执行元件的运动速度取决于〔〕。
1-2液压传动装置由〔〕、〔〕、〔〕和〔〕四局部组成,其中〔〕和〔〕为能量转换装置。
1—3 设有一液压千斤顶,如图1—3所示。
小活塞3直径d=10mm,行程h=20mm,大活塞8直径D=40mm,重物w=50000N,杠杆l=25mm,L=500mm。
求:①顶起重物w时,在杠杆端所施加的力F;②此时密闭容积中的液体压力p;⑧杠杆上下动作一次,重物的上升量H;④如果小活塞上有摩擦力f l=200N,大活塞上有摩擦力f2=1000 N, 杠杆每上下动作一次,密闭容积中液体外泄0.2cm3至油箱,重新完成①、②、③。
图题1—3第二章液压油液2-1什么是液体的粘性?2-2粘度的表式方法有几种?动力粘度及运动粘度的法定计量单位是什么?2-3压力和温度对粘度的影响如何?2—4 我国油液牌号与50℃时的平均粘度有关系,如油的密度ρ=900kg /m 3,试答复以下几个问题:1)30号机油的平均运动粘度为( )m 2/s ;2〕30号机油的平均动力粘度为( )Pa .s ;3) 在液体静止时,40号机油与30号机油所呈现的粘性哪个大?2—5 20℃时水的运动粘度为l ×10—6m 2/s ,密度ρ=1000kg /m 3;20℃时空气的运动粘度为15×10—6m 2/s ,密度ρ=1.2kg /m 3;试比拟水和空气的粘度( )(A)水的粘性比空气大;(B)空气的粘性比水大。
2—6 粘度指数高的油,表示该油 ( )(A)粘度较大;(B)粘度因压力变化而改变较大;(C) 粘度因温度变化而改变较小;(D) 粘度因温度变化而改变较大。
2—7 图示液压缸直径D=12cm ,活塞直径d=11.96cm ,活塞宽度L =14cm ,间隙中充以动力粘度η=0.065Pa ·s 的油液,活塞回程要求的稳定速度为v=0.5 m /s ,试求不计油液压力时拉回活塞所需的力F 等于多少" 第三章 液压流体力学根底§ 3-1 静止流体力学3—1什么是液体的静压力?压力的表示方法有几种?压力的单位是什么?3—2在图示各盛水圆筒活塞上的作用力F =3000 N 。
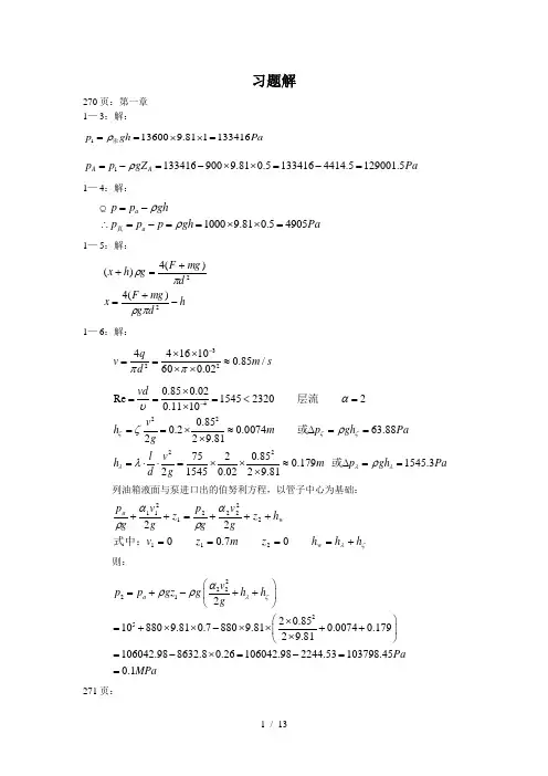
习题解270页:第一章 1— 3:解:1136009.811133416p gh Pa ρ==⨯⨯=汞11334169009.810.51334164414.5129001.5A A p p gZ Pa ρ=-=-⨯⨯=-=1— 4:解:10009.810.54905a a p p ghp p p gh Paρρ=-∴=-==⨯⨯=Q 真1— 5:解:h dg mg F x d mg F g h x -+=+=+22)(4)(4)(πρπρ1— 6:解:3224416100.85/600.02q v m s d ππ-⨯⨯==≈⨯⨯ 422220.850.02Re 1545232020.11100.850.20.007463.88229.817520.850.1791545.3215450.0229.81vdv h mp gh Pag l v h m p gh Pad g ζζζλλλαυζρλρ-⨯===<=⨯==⨯≈∆==⨯=⋅⋅=⨯⨯≈ ∆==⨯层流或或列油箱液面与泵进口出的伯努利方程,以管子中心为基础:ζλαραρh h h z m z v h z gv g p z g v g p w w a +====+++=++07.0022211222221211式中:则:2222125220.85108809.810.78809.810.00740.17929.81106042.988632.80.26106042.982244.53103798.450.1a v p p gz g h h g Pa MPaλζαρρ⎛⎫=+-++ ⎪⎝⎭⎛⎫⨯=+⨯⨯-⨯⨯++ ⎪⨯⎝⎭=-⨯=-==271页:1— 9:解:方法一:2222322212244300015286620.050.010.610.6158.28440.610.000078558.280.0028440.002835.70.01440.0028 1.40.05d F p Pa D d q c A m sq m v s d q m v s D ππππππππ⨯∆===⨯⨯⨯==⨯=⨯⨯=⨯⨯=⨯===⨯⨯===⨯由动量方程:设缸底对液体的作用力为f ,方向向左,取β=1,则:()()()212130009000.002835.7 1.43000 2.5234.3300086.42913.6F f q v v f F q v v Nρρ-=-=--=-⨯⨯-=-⨯=-= 则液体对缸底的作用力方向向右。
液压与气压传动课后答案(左健民)第一章液压传动基础知识1-1液压油的体积为331810m -⨯,质量为16。
1kg ,求此液压油的密度。
解: 23-3m 16.1===8.9410kg/m v 1810ρ⨯⨯ 1— 2 某液压油在大气压下的体积是335010m -⨯,当压力升高后,其体积减少到3349.910m -⨯,取油压的体积模量为700.0K Mpa =,求压力升高值。
解: ''33343049.9105010110V V V m m ---∆=-=⨯-⨯=-⨯由0P K V V ∆=-∆知: 643070010110 1.45010k V p pa Mpa V --∆⨯⨯⨯∆=-==⨯ 1- 3图示为一粘度计,若D=100mm ,d=98mm,l=200mm ,外筒转速n=8r/s 时,测得转矩T=40N ⋅cm,试求其油液的动力粘度。
解:设外筒内壁液体速度为0u08 3.140.1/ 2.512/2fu n D m s m s F TA r rlπτπ==⨯⨯===由 dudy du dyτμτμ=⇒= 两边积分得0220.422()()22 3.140.20.0980.10.0510.512a a T l d D p s p s u πμ-⨯-⨯⨯∴===1-4 用恩式粘度计测的某液压油(3850/kg m ρ=)200Ml 流过的时间为1t =153s ,20C ︒时200Ml 的蒸馏水流过的时间为2t =51s,求该液压油的恩式粘度E ︒,运动粘度ν和动力粘度μ各为多少? 解:12153351t E t ︒=== 62526.31(7.31)10/ 1.9810/E m s m s Eν--=︒-⨯=⨯︒21.6810Pa s μνρ-==⨯⋅1—5 如图所示,一具有一定真空度的容器用一根管子倒置一液面与大气相通的水槽中,液体与大气相通的水槽中,液体在管中上升的高度h=1m ,设液体的密度为31000/kg m ρ=,试求容器内真空度。
第一章习题答案1-1 填空题1.液压传动是以(液体)为传动介质,利用液体的(压力能)来实现运动和动力传递的一种传动方式。
2.液压传动必须在(密闭的容器内)进行,依靠液体的(压力)来传递动力,依靠(流量)来传递运动。
3.液压传动系统由(动力元件)、(执行元件)、(控制元件)、(辅助元件)和(工作介质)五部分组成。
4.在液压传动中,液压泵是(动力)元件,它将输入的(机械)能转换成(压力)能,向系统提供动力。
5.在液压传动中,液压缸是(执行)元件,它将输入的(压力)能转换成(机械)能。
6.各种控制阀用以控制液压系统所需要的(油液压力)、(油液流量)和(油液流动方向),以保证执行元件实现各种不同的工作要求。
7.液压元件的图形符号只表示元件的(功能),不表示元件(结构)和(参数),以及连接口的实际位置和元件的(空间安装位置和传动过程)。
8.液压元件的图形符号在系统中均以元件的(常态位)表示。
1-2 判断题1.液压传动不易获得很大的力和转矩。
(×)2.液压传动装置工作平稳,能方便地实现无级调速,但不能快速起动、制动和频繁换向。
(×)3.液压传动与机械、电气传动相配合时,易实现较复杂的自动工作循环。
(√)4.液压传动系统适宜在传动比要求严格的场合采用。
(×)第二章习题答案2-1 填空题1.液体受压力作用发生体积变化的性质称为液体的(可压缩性),可用(体积压缩系数)或(体积弹性模量)表示,体积压缩系数越大,液体的可压缩性越(大);体积弹性模量越大,液体的可压缩性越(小)。
在液压传动中一般可认为液体是(不可压缩的)。
2.油液粘性用(粘度)表示;有(动力粘度)、(运动粘度)、(相对粘度)三种表示方法;计量单位m2/s是表示(运动)粘度的单位;1m2/s =(106)厘斯。
3.某一种牌号为L-HL22的普通液压油在40o C时(运动)粘度的中心值为22厘斯(mm2/s)。
4. 选择液压油时,主要考虑油的(粘度)。
g 1.68 10 Pa s850kg /m 3 )200Ml 流过的时间为 t 1=153s ,20 C 时 200Ml 的蒸馏水流过的时间为 t 2 =51s ,求该液压油的恩式粘度 E ,运动粘度 和动力粘度 各为多少?6.31 6 2 5 2 (7.31 E 6.E 31) 106m 2/s 1.98 10 5m 2/s2液压与气压传动课后答案(左健民)第一章液压传动基础知识 1-1 液压油的体积为 18 10 3m 3,质量为 16.1kg ,求此液压油的密度。
解: m = 16.1-3 =8.94 102kg/m 3 v 18 10-31-2 某液压油在大气压下的体积是 50 10 3m 3 ,当压力升高后,其体积减少到 49.9 10 3 m 3 ,取油压的体积模量为 K 700.0Mpa ,求压力升高值。
解:' ' 3 3 3 4 3V V ' V 0' 49.9 10 3 50 10 3m 3 1 10 4m 3 由K P V 0知: p k V 700 106 13104 pa 1.4Mpa 50 10 31- 3 图示为一粘度计, 若 D=100m ,md=98mm,l=200mm 外, 筒转速 n=8r/s 时,测得 转矩 T=40N cm,试求其油液的动力粘度。
两边积分得 T 2l(d 2 D 2 u 0解:设外筒内壁液体速度为 u 0n D 8 3.14 0.1m / s 2.512m/ s F f A T rg2 rldu dydy du0.4 2 3.14 0.2(0.02980.51202.1) p gs 0.051p gs0.1p a gs 0.051 p a gs1-4 用恩式粘度计测的某液压油( 解:E t 11533 t 2 511-5 如图所示,一具有一定真空度的容器用一根管子倒置一液面与大气相通的水槽中,液体与大气相通的水槽中,液体在管中上升的高度 h=1m,设液体的密度为 1000 kg / m 3 ,试求容器内真空度。
第1章绪论1-1什么是液压传动?什么是气压传动?参考答案:液压与气压传动的基本工作原理是相似的,都是以流体的压力能来传递动力的。
以液体(液压油)为工作介质,靠液体的压力能进行工作称为液压传动。
以压缩空气为工作介质,靠气体压力能进行工作的称为气压传动。
1-2液压与气压传动系统有哪几部分组成?各部分的作用是什么?参考答案:液压传动系统和气压传动系统主要有以下部分组成:(1)动力元件:液压泵或气源装置,其功能是将原电动机输入的机械能转换成流体的压力能,为系统提供动力。
(2)执行元件:液压缸或气缸、液压马达或气压马达,它们的功能是将流体的压力能转换成机械能,输出力和速度(或转矩和转速),以带动负载进行直线运动或旋转运动。
(3)控制元件:压力流量和方向控制阀,它们的作用是控制和调节系统中流体的压力、流量和流动方向,以保证执行元件达到所要求的输出力(或力矩)、运动速度和运动方向。
(4)辅助元件:保证系统正常工作所需要的辅助装置,包括管道、管接头、油箱或储气罐、过滤器和压力计等。
(5)传动介质:指传递能量的流体,即液压油或压缩空气。
1-3液压与气压传动主要优缺点有哪些?参考答案:液压传动的主要优点:在输出相同功率的条件下,液压转动装置体积小、重量轻、结构紧凑、惯性小、并且反应快。
可在运行过程中实现大范围的无级调速、且调节方便。
传动无间隙,运动平稳,能快速启动、制动和频繁换向。
操作简单,易于实现自动化,特别是与电子技术结合更易于实现各种自动控制和远距离操纵。
不需要减速器就可实现较大推力、力矩的传动。
易于实现过载保护,安全性好;采用矿物油作工作介质,滋润滑性好,故使用寿命长。
液压元件已是标准化、系列化、通用化产品、便于系统的设计、制造和推广应用。
液压传动的主要缺点:(1)油液的泄露、油液的可压缩性、油管的弹性变形会影响运动的传递正确性,故不宜用于精确传动比的场合。
(2)由于油液的粘度随温度而变,从而影响运动的稳定性,故不宜在温度变化范围较大的场合工作。
《液压与气压传动》习题解答第1章液压传动概述1、何谓液压传动?液压传动有哪两个工作特性?答:液压传动是以液体为工作介质,把原动机的机械能转化为液体的压力能,通过控制元件将具有压力能的液体送到执行机构,由执行机构驱动负载实现所需的运动和动力,把液体的压力能再转变为工作机构所需的机械能,也就是说利用受压液体来传递运动和动力。
液压传动的工作特性是液压系统的工作压力取决于负载,液压缸的运动速度取决于流量。
2、液压传动系统有哪些主要组成部分?各部分的功用是什么?答:⑴动力装置:泵,将机械能转换成液体压力能的装置。
⑵执行装置:缸或马达,将液体压力能转换成机械能的装置。
⑶控制装置:阀,对液体的压力、流量和流动方向进行控制和调节的装置。
⑷辅助装置:对工作介质起到容纳、净化、润滑、消声和实现元件间连接等作用的装置。
⑸传动介质:液压油,传递能量。
3、液压传动与机械传动、电气传动相比有哪些优缺点?答:液压传动的优点:⑴输出力大,定位精度高、传动平稳,使用寿命长。
⑵容易实现无级调速,调速方便且调速范围大。
⑶容易实现过载保护和自动控制。
⑷机构简化和操作简单。
液压传动的缺点:⑴传动效率低,对温度变化敏感,实现定比传动困难。
⑵出现故障不易诊断。
⑶液压元件制造精度高,⑷油液易泄漏。
第2章液压传动的基础知识1、选用液压油有哪些基本要求?为保证液压系统正常运行,选用液压油要考虑哪些方面?答:选用液压油的基本要求:⑴粘温特性好,压缩性要小。
⑵润滑性能好,防锈、耐腐蚀性能好。
⑶抗泡沫、抗乳化性好。
⑷抗燃性能好。
选用液压油时考虑以下几个方面,⑴按工作机的类型选用。
⑵按液压泵的类型选用。
⑶按液压系统工作压力选用。
⑷考虑液压系统的环境温度。
⑸考虑液压系统的运动速度。
⑹选择合适的液压油品种。
2、油液污染有何危害?应采取哪些措施防止油液污染?答:液压系统中污染物主要有固体颗粒、水、空气、化学物质、微生物等杂物。
其中固体颗粒性污垢是引起污染危害的主要原因。
g 1.68 10 Pa s850kg /m 3 )200Ml 流过的时间为 t 1=153s ,20 C 时 200Ml 的蒸馏水流过的时间为 t 2 =51s ,求该液压油的恩式粘度 E ,运动粘度 和动力粘度 各为多少?6.31 6 2 5 2 (7.31 E 6.E 31) 106m 2/s 1.98 10 5m 2/s2液压与气压传动课后答案(左健民)第一章液压传动基础知识 1-1 液压油的体积为 18 10 3m 3,质量为 16.1kg ,求此液压油的密度。
解: m = 16.1-3 =8.94 102kg/m 3 v 18 10-31-2 某液压油在大气压下的体积是 50 10 3m 3 ,当压力升高后,其体积减少到 49.9 10 3 m 3 ,取油压的体积模量为 K 700.0Mpa ,求压力升高值。
解:' ' 3 3 3 4 3V V ' V 0' 49.9 10 3 50 10 3m 3 1 10 4m 3 由K P V 0知: p k V 700 106 13104 pa 1.4Mpa 50 10 31- 3 图示为一粘度计, 若 D=100m ,md=98mm,l=200mm 外, 筒转速 n=8r/s 时,测得 转矩 T=40N cm,试求其油液的动力粘度。
两边积分得 T 2l(d 2 D 2 u 0解:设外筒内壁液体速度为 u 0n D 8 3.14 0.1m / s 2.512m/ s F f A T rg2 rldu dydy du0.4 2 3.14 0.2(0.02980.51202.1) p gs 0.051p gs0.1p a gs 0.051 p a gs1-4 用恩式粘度计测的某液压油( 解:E t 11533 t 2 511-5 如图所示,一具有一定真空度的容器用一根管子倒置一液面与大气相通的水槽中,液体与大气相通的水槽中,液体在管中上升的高度 h=1m,设液体的密度为 1000 kg / m 3 ,试求容器内真空度。
液压与气压传动课后答案(左健民)第一章液压传动基础知识1-1液压油的体积为331810m -⨯,质量为16。
1kg ,求此液压油的密度。
解: 23-3m 16.1===8.9410kg/m v 1810ρ⨯⨯ 1— 2 某液压油在大气压下的体积是335010m -⨯,当压力升高后,其体积减少到3349.910m -⨯,取油压的体积模量为700.0K Mpa =,求压力升高值。
解: ''33343049.9105010110V V V m m ---∆=-=⨯-⨯=-⨯由0P K V V ∆=-∆知: 643070010110 1.45010k V p pa Mpa V --∆⨯⨯⨯∆=-==⨯ 1- 3图示为一粘度计,若D=100mm ,d=98mm,l=200mm ,外筒转速n=8r/s 时,测得转矩T=40N ⋅cm,试求其油液的动力粘度。
解:设外筒内壁液体速度为0u08 3.140.1/ 2.512/2fu n D m s m s F TA r rlπτπ==⨯⨯===由 dudy du dyτμτμ=⇒= 两边积分得0220.422()()22 3.140.20.0980.10.0510.512a a T l d D p s p s u πμ-⨯-⨯⨯∴===1-4 用恩式粘度计测的某液压油(3850/kg m ρ=)200Ml 流过的时间为1t =153s ,20C ︒时200Ml 的蒸馏水流过的时间为2t =51s,求该液压油的恩式粘度E ︒,运动粘度ν和动力粘度μ各为多少? 解:12153351t E t ︒=== 62526.31(7.31)10/ 1.9810/E m s m s Eν--=︒-⨯=⨯︒21.6810Pa s μνρ-==⨯⋅1—5 如图所示,一具有一定真空度的容器用一根管子倒置一液面与大气相通的水槽中,液体与大气相通的水槽中,液体在管中上升的高度h=1m ,设液体的密度为31000/kg m ρ=,试求容器内真空度。
文档从网络中收集,已重新整理排版.word 版本可编辑.欢迎下载支持.第一章液压传动基础知识课后答案1-1液压油的体积为331810m -⨯,质量为16.1kg ,求此液压油的密度。
解: 23-3m 16.1===8.9410kg/m v 1810ρ⨯⨯ 1-2 某液压油在大气压下的体积是335010m -⨯,当压力升高后,其体积减少到3349.910m -⨯,取油压的体积模量为700.0K Mpa =,求压力升高值。
解: ''33343049.9105010110V V V m m ---∆=-=⨯-⨯=-⨯由0P K V V ∆=-∆知: 643070010110 1.45010k V p pa Mpa V --∆⨯⨯⨯∆=-==⨯ 1- 3图示为一粘度计,若D=100mm ,d=98mm,l=200mm,外筒转速n=8r/s 时,测得转矩T=40N ⋅cm,试求其油液的动力粘度。
解:设外筒内壁液体速度为0u08 3.140.1/ 2.512/2fu n D m s m s F TA r rl πτπ==⨯⨯===由 dudy du dyτμτμ=⇒= 两边积分得0220.422()()22 3.140.20.0980.10.0510.512a a T l d D p s p s u πμ-⨯-⨯⨯∴===1-4 用恩式粘度计测的某液压油(3850/kg m ρ=)200Ml 流过的时间为1t =153s ,20C ︒时200Ml 的蒸馏水流过的时间为2t =51s ,求该液压油的恩式粘度E ︒,运动粘度ν和动力粘度μ各为多少? 解:12153351t E t ︒=== 62526.31(7.31)10/ 1.9810/E m s m s Eν--=︒-⨯=⨯︒ 21.6810Pa s μνρ-==⨯⋅1-5 如图所示,一具有一定真空度的容器用一根管子倒置一液面与大气相通的水槽中,液体与大气相通的水槽中,液体在管中上升的高度h=1m,设液体的密度为31000/kg m ρ=,试求容器内真空度。
解:设0P 为大气压,a P 为绝对压力,则真空度:0a P P P =-取水槽液面为基面,列出静力学基本方程:0a p ph g gρρ+= 则真空度为: 310009.819.810a p p gh ρ-==⨯⨯=⨯pa1-6 如图所示,有一直径为d ,质量为m 的活塞浸在液体中,并在力F 的作用下处于静止状态。
若液体的密度为ρ,活塞浸入深度为h ,试确定液体在测压管内的上升高度x 。
解:由题意知:2()4()F Gg x h AF G x hg d ρρπ+=++∴=-1-7图示容器A 中的液体的密度ρA =900Kg/m 3,B 中液体的密度为ρB =1200 Kg/m 3, Z A =200mm, Z B =180mm,h=60mm,U 形管中的测试介质是汞,试求A,B 之间的压力差。
解:此为静压力问题,可列出静压力平衡方程:P A +ρA g Z A =ρB g Z B + ρ水银g h + P B 得 ΔP AB =P A -P B =ρB g Z B + ρ水银g h -ρA g Z=1200×9.8×0.18+13.6×103×0.06-900×9.8×0.2Pa=8350 Pa1-9 如图所示,已知水深H=10m,截面22120.02,0.04A m A m ==,求孔口的出流流量以及点2处的表压力(取1∂=,不计损失) 解:对0-0和2-2截面列理想液体能量方程:22002222p V p V H g g g gρρ+=+- 1 对2-2和1-1截面列理想液体能量方程:22221122p V p V g g g gρρ+=+ 2 显然,12a p p p == 020,0v v v ≈故且有连续方程:1122V A V A q == 3由123联立解得:3111229.8100.020.28/q v A gH A m s ∴===⨯⨯⨯=则2处的表压力即 2222'122212()22a q gH v vA p p p p p ρρ--=-=-==20.2829.810()0.0410000.07352pa Mpa ⨯⨯-=⨯=1-10 如图示一抽吸设备水平放置,其出口和大气相通,细管处截面积421 3.210A m -=⨯,出口处管道截面积214A A =,h=1m ,求开始抽吸时,水平管中所必需通过的流量q (液体为理想液体,不计损失)。
解:对截面和建立液体的能量方程:22112222P V P V g g g gρρ+=+ (1) 连续方程1122V A V A = (2)又 12P gh P ρ+= (3) 方程(1)(2)(3)联立,可得流量4322144 3.210/ 1.462/q V A A m s L s -===⨯⨯= 1-11 图示水平放置的固定导板,将直径d=0.1m,而速度为V=20m/s 的射流转过90度角,求导板作用于液体的合力大小和方向(31000/kg m ρ=) 解:射流流量22333.140.120/0.157/44d q Av v m s m s π⨯===⨯= 对射流列X 轴方向的动量方程(0)10000.157(20)3141.6X F q v N N ρ=-=⨯⨯-=-(“—”表示力的方向与X 轴正方向相反) 对射流列Y 轴方向的动量方程(0)10000.157203141.6Y F q v N N ρ=-=⨯⨯=导板作用于液体的合力4442.2F N ===合,方向与X 轴正方向成135︒1-12如图所示的安全阀,阀座直径d=25mm ,当系统压力为5.0Mpa 时,阀的开度x=5mm 为,通过的流量q=600L/min ,若阀的开启压力为4.3Mpa ,油液的密度为900kg/m 3,弹簧的刚度k=20N/mm ,求油液的出流角。
解:对安全阀阀心列平衡方程 F F F =+液弹簧液动 其中,62(5 4.3)104F pA d π==-⨯⨯液 F kx =弹簧 12(cos )F q v v ρα=-液动而 1q v A =2d d p v C C ⨯==联立以上得,()cos 2dqpA kx qA pqcραρρ-+=代入数据得,28.2o α=1-14有一液压缸,其流量为q=32L/min ,吸油管直径20mm ,液压泵吸油口距离液面高500mm 。
如只考虑吸油管中500mm 的沿程压力损失,油液的运动粘度为 20⨯610-2/m s ,油液的密度为9003/kg m ,问泵的吸油腔处的真空度为多少?解:如图,对1-1截面和2-2截面建立液体能量方程:22112222p v p v h g g g gρρ+=++w +h 其中,020,0v v v ≈故1a p p =得到真空度:2212a p p gh v g ρρρ-=++w h 212gh v P ρρ=++∆(P ∆表示沿程压力损失)322323210//0.663/160(3210)4v q A m s m s π--⨯===⨯⨯⨯⨯60.6630.02Re 66323202010vdυ-⨯===<⨯,所以流态为层流 沿程压力损失2222275175687.6Re 22V l l P V Pa d V d d λρνρ∆==⨯⨯⨯=所以,真空度为p=39009.840010-⨯⨯⨯+219000.8492⨯⨯+687.6a p =4539.9a p1-15运动粘度ν=40×10-6m 2/s 的油液通过水平管道,油液密度ρ=900kg/m 3,管道内径d=10mm,l=5m,进口压力P 1=4.0MPa, 问流速为3 m/s 时,出口压力P 2为多少?解:由于油在水平管道中流动,此管道为等径直管,所以产生沿程压力损失:22646422e L v L v p R d vd d λρυρ===62644010590030.19230.010.012pa Mpa -⨯⨯⨯⨯⨯=⨯ P 2=P 1-ΔP λ=4-0.192 MPa =3.81Mpa1-16 有一薄壁节流小孔,通过的流量为q=25L/min ,压力损失为0.3Mpa ,试求节流孔的通流面积,设流量系数C d =0.61,油液的密度900kg/m 3 解:由2d pq C Aρ⨯=,得2dA pC ρ=⨯=325262.651020.310600.61900m m --=⨯⨯⨯⨯⨯1-17图示柱塞直径d=19.9mm,缸套直径D=20mm,长l=70mm,柱塞在力F =40N 作用下向下运动,并将油液从隙缝中挤出,若柱塞与缸套同心,油液的动力粘度μ=0.784×10-3Pa.s ,问柱塞下落0.1 m 所需的时间。
解:此问题为缝隙流动问题,且为环形缝隙300122dh dh q p u l ππμ=+其中,2D d h -=,2000.14d q u A t π==, 24F p d π=代入数据得,20.8t s =1-18如图所示的液压系统从蓄能器A 到电磁阀B 的距离l=4m,管径d=20mm,壁厚1mm δ=,管内压力2Mpa ,钢的弹性模量5E=2.210Mpa ⨯,液体密度3900/kg m ρ=,5/m s ν=体积模量31.3310k Mpa =⨯,求,当阀瞬间关闭、0.02和0.05关闭时,在管路中达到的最大压力各为多少? 解:压力冲击波的传播速度9393111.3310900/1148.04/2010 1.331011110 2.2102240.0071148.04d c kC m s m sd k E l t s sc ρδ--⨯===⨯⨯++⨯⨯⨯=== (1) 阀瞬间关闭,属于直接冲击, 此时管道内瞬间压力升高值0.0079001148.045 1.810.02c t p cvpa Mpa t ρ∆==⨯⨯⨯= 管中最大压力max 02 1.81 3.81p p p Mpa Mpa =+∆=+=(2) t=0.02>c t ,属于间接冲击 此时管道内瞬间压力升高值 0.0079001148.0450.720.05c t p cv pa Mpa t ρ∆==⨯⨯⨯= 管中最大压力max 020.72 2.72p p p Mpa Mpa =+∆=+=(3) t=0.05>c t ,属于间接冲击 此时管道内瞬间压力升高值0.0079001148.0450.720.05c t p cvpa Mpa t ρ∆==⨯⨯⨯= 管中最大压力max 020.72 2.72p p p Mpa Mpa =+∆=+=0.8A B C p p p Mpa ===2)停在终端位置时, 3.5, 4.5,2A B C p Mpa p Mpa p Mpa ===此时,液压阀的负载无穷大,使得减压阀2、1相继工作,故2, 3.5C A p Mpa p Mpa ==,随着泵的流量继续增加,B 点压力迅速憋高,使得该溢流阀工作,故 4.5B p Mpa =。