平面向量练习题(附答案)
- 格式:doc
- 大小:534.00 KB
- 文档页数:8
平面向量练习题及答案一、选择题1. 设向量a和向量b是两个不共线的向量,若向量c=2向量a-3向量b,向量d=向量a+4向量b,那么向量c和向量d的夹角的余弦值是()A. 1/2B. -1/2C. 0D. 12. 若向量a和向量b的模长分别为3和4,且它们的夹角为60°,则向量a和向量b的点积是()A. 6B. 12C. 15D. 183. 已知向量a=(1,2),向量b=(3,4),则向量a和向量b的向量积的大小是()A. 5B. 6C. 7D. 8二、填空题4. 若向量a=(x,y),向量b=(2,-1),且向量a与向量b共线,则x=______,y=______。
5. 向量a=(3,4),向量b=(-1,2),则向量a和向量b的夹角的正弦值是______。
三、计算题6. 已知向量a=(2,3),向量b=(4,-1),求向量a和向量b的点积。
7. 已知向量a=(-1,3),向量b=(2,-4),求向量a和向量b的向量积。
8. 已知向量a=(1,0),向量b=(2,3),求向量a在向量b上的投影。
四、解答题9. 设向量a=(1,-1),向量b=(2,3),求证向量a和向量b不共线。
10. 已知向量a=(x,y),向量b=(1,1),若向量a和向量b的点积为6,求x和y的值。
答案:1. B2. C3. B4. 2,-15. 根号下((3+4)的平方-(3*(-1)+4*2)的平方)除以(5*根号下2)6. 向量a和向量b的点积为:2*4+3*(-1)=57. 向量a和向量b的向量积为:(3*(-4)-4*2)i-(2*3-1*4)j=-20i+2j8. 向量a在向量b上的投影为:(向量a·向量b)/向量b的模长^2 * 向量b = (1*2+0*3)/(2^2+3^2) * 向量b = (2/13) * (2,3)9. 证:假设向量a和向量b共线,则存在实数k使得向量a=k向量b。
平面向量练习题(一)一.填空题。
1.BA CD DB AC +++等于________.2.若向量a =(3,2),b =(0,-1),则向量2b -a 的坐标是________.3.平面上有三个点A (1,3),B (2,2),C (7,x ),若∠ABC=90°,则x 的值为________.4.向量a 、b 满足|a |=1,|b |=2,(a +b )⊥(2a -b ),则向量a 与b 的夹角为________.5.已知向量a =(1,2),b =(3,1),那么向量2a -21b 的坐标是_________.6.已知A (-1,2),B (2,4),C (4,-3),D (x ,1),若AB 与CD 共线,则|BD |的值等于________.7.将点A (2,4)按向量a =(-5,-2)平移后,所得到的对应点A ′的坐标是______.8.已知a=(1,-2),b=(1,x),若a ⊥b,则x 等于______9. 已知向量a,b 的夹角为 120,且|a|=2,|b|=5,则(2a-b )·a=______10. 设a=(2,-3),b=(x,2x),且3a·b=4,则x 等于_____11. 已知BC CD y x BC AB 且),3,2(),,(),1,6(--===∥DA ,则x+2y 的值为_____ 12.已知向量a+3b,a-4b 分别与7a-5b,7a-2b 垂直,且|a|≠0,|b|≠0,则a 与b 的夹角为____13. 在△ABC 中,O 为中线AM 上的一个动点,若AM=2,则()OA OB OC +的最小值是.14.将圆222=+y x 按向量v =(2,1)平移后,与直线0=++λy x 相切,则λ的值为. 二.解答题。
1.设平面三点A (1,0),B (0,1),C (2,5).(1)试求向量2AB +AC 的模; (2)试求向量AB 与AC 的夹角;(3)试求与BC 垂直的单位向量的坐标.2.已知向量a =(θθcos ,sin )(R ∈θ),b =(3,3)(1)当θ为何值时,向量a 、b 不能作为平面向量的一组基底(2)求|a -b |的取值范围3.已知向量a 、b 是两个非零向量,当a +t b (t ∈R)的模取最小值时,(1)求t 的值(2)已知a 、b 共线同向时,求证b 与a +t b 垂直4.设向量)2,1(),1,3(-==OB OA ,向量OC 垂直于向量OB ,向量BC 平行于OA ,试求OD OC OA OD ,时=+的坐标.5.将函数y=-x 2进行平移,使得到的图形与函数y=x 2-x -2的图象的两个交点关于原点对称.(如图)求平移向量a 及平移后的函数解析式.6.已知平面向量).23,21(),1,3(=-=b a 若存在不同时为零的实数k 和t,使.,,)3(2y x b t a k y b t a x ⊥+-=-+=且(1)试求函数关系式k =f (t )(2)求使f (t )>0的t 的取值范围.参考答案 1.02.(-3,-4)3.74.90° (21,321). 6.73.7.(-3,2).8.-29.12 10.31-11.012.90°13.2-14.51--或(1)∵AB =(0-1,1-0)=(-1,1),AC =(2-1,5-0)=(1,5).∴ 2AB +AC =2(-1,1)+(1,5)=(-1,7).∴ |2AB +AC |=227)1(+-=50.(2)∵ |AB |=221)1(+-=2.|AC |=2251+=26,AB ·AC =(-1)×1+1×5=4. ∴ cos θ=||||AC AB ACAB ⋅=2624⋅=13132. (3)设所求向量为m =(x ,y ),则x 2+y 2=1.① 又BC =(2-0,5-1)=(2,4),由BC ⊥m ,得2 x +4 y =0.② 由①、②,得⎪⎪⎩⎪⎪⎨⎧-==.55552y x 或⎪⎪⎩⎪⎪⎨⎧==.-55552y x ∴(552,-55)或(-552,55)即为所求.13.【解】(1)要使向量a 、b 不能作为平面向量的一组基底,则向量a 、b 共线 ∴33tan 0cos 3sin 3=⇒=-θθθ 故)(6Z k k ∈+=ππθ,即当)(6Z k k ∈+=ππθ时,向量a 、b 不能作为平面向量的一组基底(2))cos 3sin 3(213)3(cos )3(sin ||22θθθθ+-=-+-=-b a 而32cos 3sin 332≤+≤-θθ ∴132||132+≤-≤-b a14.【解】(1)由2222||2||)(a bt a t b tb a +⋅+=+ 当的夹角)与是b a b a b b a t αα(cos ||||||222-=⋅-=时a+tb(t ∈R)的模取最小值(2)当a 、b 共线同向时,则0=α,此时||||b a t -=∴0||||||||||||)(2=-=-⋅=+⋅=+⋅b a a b b a a b tb a b tb a b ∴b ⊥(a +t b )18.解:设020),,(=-=⋅∴⊥=x y OB OC OBOC y x OC ① 又0)1()2(3)2,1(,//=+---+=x y y x BC OA BC 即:73=-x y ②联立①、②得⎩⎨⎧==7,14y x ………10分)6,11(),7,14(=-==∴OA OC OD OC 于是.19.解法一:设平移公式为⎩⎨⎧-'=-'=k y y h x x 代入2x y -=,得到k h hx x y h x k y +-+-=-'-=-'2222.)(即,把它与22--=x x y 联立, 得⎪⎩⎪⎨⎧--=+-+-=22222x x y k h hx x y设图形的交点为(x 1,y 1),(x 2,y 2),由已知它们关于原点对称,即有:⎩⎨⎧-=-=2121y y x x 由方程组消去y 得:02)21(222=++-+-k h x h x . 由.2102212121-==++=+h x x h x x 得且又将(11,y x ),),(22y x 分别代入①②两式并相加,得:.22221222121-+--++-=+k h x hx x x y y 241)())((0211212-+-+-+-=∴k x x x x x x . 解得)49,21(.49-==a k . 平移公式为:⎪⎪⎩⎪⎪⎨⎧-'=+'=4921y y x x 代入2x y -=得:22+--=x x y .解法二:由题意和平移后的图形与22--=x x y 交点关于原点对称,可知该图形上所有点都可以找到关于原点的对称点在另一图形上,因此只要找到特征点即可.22--=x x y 的顶点为)49,21(-,它关于原点的对称点为(49,21-),即是新图形的顶点.由于新图形由2x y -=平移得到,所以平移向量为49049,21021=-=-=--=k h 以下同解法一.20.解:(1).0)(])3[(.0,2=+-⋅-+=⋅∴⊥b t a k b t a y x y x 即 ).3(41,0)3(4,1,4,02222-==-+-∴===⋅t t k t t k b a b a 即 (2)由f (t )>0,得.303,0)3()3(,0)3(412><<-->+>-t t t t t t t 或则即。
A + 2 = 2mA2一cos2 a = m +22,设± = k代入方程组可得<mkm 4-2 = 2mk2m2 - cos2a = m + 2sina 平面向量高考经典试一、选择题1.(全国1文理)已知向量方=(-5,6),方= (6,5),则Z与方A.垂直B.不垂直也不平行C.平行且同向D.平行且反向解.己知向量a = (-5,6), & = (6,5), = —30 + 30 = 0,则U与片垂直,2、(山东文5)已知向量G = (1, 〃),b = (—1, 〃),若2a -b与b垂直,则a =( )A. 1B. y/2C. 2D. 4【分析】:2a-b = (3,n),由2a-b^jb垂直可得:(3,〃)・(—1,〃) = -3 + 〃2 =o=> 〃 = ±右,a = 2 o3、(广东文4理10)若向量履满足修|=|方|二1 3,5的夹角为60。
,则溢+混=解析:aa + a-b= l + lxlx—=—,2 24、(天津理10)设两个向量。
=(A + 2, /i? 一cos2Q)和方=(m, y + sin a),其中人,a为一一人实数.若。
=2上则-的取值范围是mA. [-6,1]B. [4,8]C. (-oo,l]D. [-1,6][分析】由« = (/! +2, A2 - cos2a) ,h = (tn,— + sin a = 2片,可得2去〃7化简得2k ] - cos2a = + 2sin cr,再化简得{2-kJ 2-k2 + 4 ] 一cos2a + ------ 2 sin。
= 0 再令一— = t代入上式得、k - 2) k — 2 k — 2(sin2。
一顶 + (16产 +18/ + 2) = 0 可得一(16产 +18, + 2)c [0,4]解不等式得Z G[-1,--]8(B)\bc^ = ba-bc则入= 2 (A)-■) 1 (B)- ■) (号2 (D)-- ■)解.在左ABC 中,己知D 是AB 边上一点,若AD=2DB , cB=-G5 + XCB,则3CD = CA + AD = CA+-^B = CA + -(CB-CA)=-CA^-CB , 4X=-,选 A 。
平面向量专题练习(带答案详解) 平面向量专题练(附答案详解)一、单选题1.已知向量 $a=(-1,2)$,$b=(1,1)$,则 $a\cdot b$ 等于()A。
3 B。
2 C。
1 D。
02.已知向量 $a=(1,-2)$,$b=(2,x)$,若 $a//b$,则 $x$ 的值是()A。
-4 B。
-1 C。
1 D。
43.已知向量 $a=(1,1,0)$,$b=(-1,0,2)$,且 $ka+b$ 与 $2a-b$ 互相垂直,则 $k$ 的值是()A。
1 B。
5/3 C。
3/5 D。
7/54.等腰直角三角形 $ABC$ 中,$\angle ACB=\frac{\pi}{2}$,$AC=BC=2$,点 $P$ 是斜边 $AB$ 上一点,且 $BP=2PA$,那么 $CP\cdot CA+CP\cdot CB$ 等于()A。
-4 B。
-2 C。
2 D。
45.设 $a,b$ 是非零向量,则 $a=2b$ 是成立的()A。
充分必要条件 B。
必要不充分条件 C。
充分不必要条件 D。
既不充分也不必要条件6.在 $\triangle ABC$ 中 $A=\frac{\pi}{3}$,$b+c=4$,$E,F$ 为边 $BC$ 的三等分点,则 $AE\cdot AF$ 的最小值为()A。
$\frac{8}{3}$ B。
$\frac{26}{9}$ C。
$\frac{2}{3}$ D。
$3$7.若 $a=2$,$b=2$,且 $a-b\perp a$,则 $a$ 与 $b$ 的夹角是()A。
$\frac{\pi}{6}$ B。
$\frac{\pi}{4}$ C。
$\frac{\pi}{3}$ D。
$\frac{\pi}{2}$8.已知非零向量 $a,b$ 满足 $|a|=6|b|$,$a,b$ 的夹角的余弦值为 $\frac{1}{3}$,且 $a\perp (a-kb)$,则实数 $k$ 的值为()A。
18 B。
高中平面向量经典练习题【编著】黄勇权一、填空题1、向量a=(2,4),b=(-1,-3),则向量3a-2b的坐标是。
2、已知向量a与b的夹角为60°,a=(3,4),|b | =1,则|a+5b | = 。
3、已知点A(1,2),B(2,1),若→AP=(3,4),则→BP= 。
4、已知A(-1,2),B(1,3),C(2,0),D(x,1),若AB与CD共线,则|BD|的值等于________。
5、向量a、b满足|a|=1,|b|= 2 ,(a+b)⊥(2a-b),则向量a与b的夹角为________。
6、设向量a,b满足|a+b|= 10,|a-b|= 6 ,则a·b=。
7、已知a、b是非零向量且满足(a-2b)⊥a,(b-2a)⊥b,则a与b的夹角是。
8、在△ABC中,D为AB边上一点,→AD =12→DB,→CD =23→CA + m→CB,则m= 。
9、已知非零向量a,b满足|b|=4|a|,a⊥(2a+b),则a与b的夹角是。
10、在三角形ABC中,已知A(-3,1),B(4,-2),点P(1,-1)在中线AD上,且→AP= 2→PD,则点C的坐标是()。
二、选择题1、设向量→OA=(6,2),→OB=(-2,4),向量→OC垂直于向量→OB,向量→BC平行于→OA,若→OD +→OA=→OC,则→OD坐标=()。
A、(11,6)B、(22,12)C、(28,14)D、(14,7)2、把A(3,4)按向量a(1,-2)平移到A',则点A'的坐标()A、(4 , 2)B、(3,1)C、(2,1)D、(1,0)3、已知向量a,b,若a为单位向量, 且 | a| = | 2b| ,则(2a+ b)⊥(a-2b),则向量a与b的夹角是()。
A、90°B、60°C、30°D、0°4、已知向量ab的夹角60°,| a|= 2,b=(-1,0),则| 2a-3b|=()A、 15B、 14C、 13D、 115、在菱形ABCD中,∠DAB=60°,|2·→0C +→CD|=4,则,|→BC+→CD|=______.A、12B、8C、4D、26题、7题、8、若向量a=(3,4),向量b=(2,1),则a在b方向上的投影为________.A、2B、4C、8D、169题、10、已知正方形ABCD的边长为2,E为CD的中点,则→AE·→BD=.A、-1B、1C、-2D、2三、解答题1、在△ABC中,M是BC的中点,AM=3,BC=10,求→AB·→AC的值。
高中平面向量经典练习题【编著】黄勇权一、填空题1、向量a=(2,4),b=(-1,-3),则向量3a-2b的坐标是。
2、已知向量a与b的夹角为60°,a=(3,4),|b | =1,则|a+5b | = 。
3、已知点A(1,2),B(2,1),若→AP=(3,4),则→BP= 。
4、已知A(-1,2),B(1,3),C(2,0),D(x,1),若AB与CD共线,则|BD|的值等于________。
5、向量a、b满足|a|=1,|b|= 2 ,(a+b)⊥(2a-b),则向量a与b的夹角为________。
6、设向量a,b满足|a+b|= 10,|a-b|= 6 ,则a·b=。
7、已知a、b是非零向量且满足(a-2b)⊥a,(b-2a)⊥b,则a与b的夹角是。
8、在△ABC中,D为AB边上一点,→AD =12→DB,→CD =23→CA + m→CB,则m= 。
9、已知非零向量a,b满足|b|=4|a|,a⊥(2a+b),则a与b的夹角是。
10、在三角形ABC中,已知A(-3,1),B(4,-2),点P(1,-1)在中线AD上,且→AP= 2→PD,则点C的坐标是()。
二、选择题1、设向量→OA=(6,2),→OB=(-2,4),向量→OC垂直于向量→OB,向量→BC平行于→OA,若→OD +→OA=→OC,则→OD坐标=()。
A、(11,6)B、(22,12)C、(28,14)D、(14,7)2、把A(3,4)按向量a(1,-2)平移到A',则点A'的坐标()A、(4 , 2)B、(3,1)C、(2,1)D、(1,0)3、已知向量a,b,若a为单位向量, 且 | a| = | 2b| ,则(2a+ b)⊥(a-2b),则向量a与b的夹角是()。
A、90°B、60°C、30°D、0°4、已知向量ab的夹角60°,| a|= 2,b=(-1,0),则| 2a-3b|=()A、 15B、 14C、 13D、 115、在菱形ABCD中,∠DAB=60°,|2·→0C +→CD|=4,则,|→BC+→CD|=______.A、12B、8C、4D、26题、7题、8、若向量a=(3,4),向量b=(2,1),则a在b方向上的投影为________.A、2B、4C、8D、169题、10、已知正方形ABCD的边长为2,E为CD的中点,则→AE·→BD=.A、-1B、1C、-2D、2三、解答题1、在△ABC中,M是BC的中点,AM=3,BC=10,求→AB·→AC的值。
第二章 平面向量一、选择题1.在△ABC 中,AB =AC ,D ,E 分别是AB ,AC 的中点,则( ). A .AB 与AC 共线 B .DE 与CB 共线 C .AD 与AE 相等D .AD 与BD 相等2.下列命题正确的是( ). A .向量AB 与BA 是两平行向量 B .若a ,b 都是单位向量,则a =bC .若AB =DC ,则A ,B ,C ,D 四点构成平行四边形 D .两向量相等的充要条件是它们的始点、终点相同3.平面直角坐标系中,O 为坐标原点,已知两点A (3,1),B (-1,3),若点C 满足OC =α OA +β OB ,其中 α,β∈R ,且α+β=1,则点C 的轨迹方程为( ).A .3x +2y -11=0B .(x -1)2+(y -1)2=5C .2x -y =0D .x +2y -5=0 4.已知a 、b 是非零向量且满足(a -2b )⊥a ,(b -2a )⊥b ,则a 与b 的夹角是( ). A .6πB .3π C .23π D .56π 5.已知四边形ABCD 是菱形,点P 在对角线AC 上(不包括端点A ,C ),则AP =( ). A .λ(AB +AD ),λ∈(0,1) B .λ(AB +BC ),λ∈(0,22) C .λ(AB -AD ),λ∈(0,1)D .λ(AB -BC ),λ∈(0,22) 6.△ABC 中,D ,E ,F 分别是AB ,BC ,AC 的中点,则DF =( ). A .EF +EDB .EF -DEC .EF +ADD .EF +AF7.若平面向量a 与b 的夹角为60°,|b |=4,(a +2b )·(a -3b )=-72,则向量a 的模为( ).(第1题)A.2 B.4 C.6 D.128.点O是三角形ABC所在平面内的一点,满足OA·OB =OB·OC=OC·OA,则点O是△ABC的().A.三个内角的角平分线的交点B.三条边的垂直平分线的交点C.三条中线的交点D.三条高的交点9.在四边形ABCD中,AB=a+2b,BC=-4a-b,DC=-5a-3b,其中a,b不共线,则四边形ABCD为().A.平行四边形B.矩形C.梯形D.菱形10.如图,梯形ABCD中,|AD|=|BC|,EF∥AB∥CD则相等向量是().A.AD与BC B.OA与OBC.AC与BD D.EO与OF(第10题)二、填空题11.已知向量OA=(k,12),OB=(4,5),OC=(-k,10),且A,B,C三点共线,则k=.12.已知向量a=(x+3,x2-3x-4)与MN相等,其中M(-1,3),N(1,3),则x =.13.已知平面上三点A,B,C满足|AB|=3,|BC|=4,|CA|=5,则AB·BC+BC·CA+CA·AB的值等于.14.给定两个向量a=(3,4),b=(2,-1),且(a+m b)⊥(a-b),则实数m等于.15.已知A,B,C三点不共线,O是△ABC内的一点,若OA+OB+OC=0,则O 是△ABC的.16.设平面内有四边形ABCD和点O,OA=a,OB=b,OC=c, OD=d,若a+c =b+d,则四边形ABCD的形状是.三、解答题17.已知点A(2,3),B(5,4),C(7,10),若点P满足AP=AB+λAC(λ∈R),试求λ为何值时,点P在第三象限内?18.如图,已知△ABC,A(7,8),B(3,5),C(4,3),M,N,D分别是AB,AC,BC的中点,且MN与AD交于F,求DF.(第18题)19.如图,在正方形ABCD中,E,F分别为AB,BC的中点,求证:AF⊥DE(利用向量证明).(第19题) 20.已知向量a=(cos θ,sin θ),向量b=(3,-1),则|2a-b|的最大值.参考答案一、选择题 1.B解析:如图,AB 与AC ,AD 与AE 不平行,AD 与BD 共线反向.2.A解析:两个单位向量可能方向不同,故B 不对.若AB =DC ,可能A ,B ,C ,D 四点共线,故C 不对.两向量相等的充要条件是大小相等,方向相同,故D 也不对.3.D解析:提示:设OC =(x ,y ),OA =(3,1),OB =(-1,3),α OA =(3α,α),β OB =(-β,3β),又αOA +β OB =(3α-β,α+3β),∴ (x ,y )=(3α-β,α+3β),∴⎩⎨⎧βαβα33+=-=y x ,又α+β=1,由此得到答案为D .4.B解析:∵(a -2b )⊥a ,(b -2a )⊥b ,∴(a -2b )·a =a 2-2a ·b =0,(b -2a )·b =b 2-2a ·b =0,∴ a 2=b 2,即|a |=|b |.∴|a |2=2|a ||b |cos θ=2|a |2cos θ.解得cos θ=21. ∴ a 与b 的夹角是3π. 5.A解析:由平行四边形法则,AB +AD =AC ,又AB +BC =AC ,由 λ的范围和向量数乘的长度,λ∈(0,1).6.D解析:如图,∵AF =DE , ∴ DF =DE +EF =EF +AF .(第6题)(第1题)7.C解析:由(a +2b )·(a -3b )=-72,得a 2-a ·b -6b 2=-72. 而|b |=4,a ·b =|a ||b |cos 60°=2|a |, ∴ |a |2-2|a |-96=-72,解得|a |=6. 8.D解析:由 OA ·OB =OB ·OC =OC ·OA ,得OA ·OB =OC ·OA , 即OA ·(OC -OB )=0,故BC ·OA =0,BC ⊥OA ,同理可证AC ⊥OB , ∴ O 是△ABC 的三条高的交点. 9.C解析:∵AD =AB +BC +D C =-8a -2b =2BC ,∴AD ∥BC 且|AD |≠|BC |. ∴ 四边形ABCD 为梯形. 10.D解析:AD 与BC ,AC 与BD ,OA 与OB 方向都不相同,不是相等向量. 二、填空题 11.-32. 解析:A ,B ,C 三点共线等价于AB ,BC 共线,AB =OB -OA =(4,5)-(k ,12)=(4-k ,-7),BC =OC -OB =(-k ,10)-(4,5)=(-k -4,5),又 A ,B ,C 三点共线,∴ 5(4-k )=-7(-k -4),∴ k =-32. 12.-1.解析:∵ M (-1,3),N (1,3), ∴ MN =(2,0),又a =MN ,∴ ⎩⎨⎧0=4-3-2=3+2x x x 解得⎩⎨⎧4=1=-1=-x x x 或∴ x =-1. 13.-25.解析:思路1:∵ AB =3,BC =4,CA =5,∴ △ABC 为直角三角形且∠ABC =90°,即AB ⊥BC ,∴AB ·BC =0, ∴ AB ·BC +BC ·CA +CA ·AB =BC ·CA +CA ·AB =CA ·(BC +AB ) =-(CA )2 =-2CA =-25.思路2:∵ AB =3,BC =4,CA =5,∴∠ABC =90°, ∴ cos ∠CAB =CA AB=53,cos ∠BCA =CABC=54.根据数积定义,结合图(右图)知AB ·BC =0, BC ·CA =BC ·CA cos ∠ACE =4×5×(-54)=-16, CA ·AB =CA ·AB cos ∠BAD =3×5×(-53)=-9. ∴ AB ·BC +BC ·CA +CA ·AB =0―16―9=-25. 14.323. 解析:a +m b =(3+2m ,4-m ),a -b =(1,5). ∵ (a +m b )⊥(a -b ),∴ (a +m b )·(a -b )=(3+2m )×1+(4-m )×5=0 m =323. 15.答案:重心.解析:如图,以OA ,OC 为邻边作□AOCF 交AC 于D(第13题)点E ,则OF =OA +OC ,又 OA +OC =-OB ,∴ OF =2OE =-OB .O 是△ABC 的重心. 16.答案:平行四边形.解析:∵ a +c =b +d ,∴ a -b =d -c ,∴BA =CD . ∴ 四边形ABCD 为平行四边形. 三、解答题 17.λ<-1.解析:设点P 的坐标为(x ,y ),则AP =(x ,y )-(2,3)=(x -2,y -3). AB +λAC =(5,4)-(2,3)+λ[(7,10)-(2,3)]=(3,1)+λ(5,7) =(3+5λ,1+7λ).∵ AP =AB +λAC ,∴ (x -2,y -3)=(3+5λ,1+7λ). ∴ ⎩⎨⎧+=-+=-λλ713532y x 即⎩⎨⎧+=+=λλ7455y x要使点P 在第三象限内,只需⎩⎨⎧<+<+074055λλ 解得 λ<-1.18.DF =(47,2). 解析:∵ A (7,8),B (3,5),C (4,3), AB =(-4,-3),AC =(-3,-5).又 D 是BC 的中点, ∴ AD =21(AB +AC )=21(-4-3,-3-5) =21(-7,-8)=(-27,-4). 又 M ,N 分别是AB ,AC 的中点, ∴ F 是AD 的中点, ∴ DF =-FD =-21AD =-21(-27,-4)=(47,2). (第18题)19.证明:设AB =a ,AD =b ,则AF =a +21b ,ED =b -21a . ∴ AF ·ED =(a +21b )·(b -21a )=21b 2-21a 2+43a ·b . 又AB ⊥AD ,且AB =AD ,∴ a 2=b 2,a ·b =0. ∴ AF ·ED =0,∴AF ⊥ED .本题也可以建平面直角坐标系后进行证明.20.分析:思路1:2a -b =(2cos θ-3,2sin θ+1),∴ |2a -b |2=(2cos θ-3)2+(2sin θ+1)2=8+4sin θ-43cos θ. 又4sin θ-43cos θ=8(sin θcos3π-cos θsin 3π)=8sin (θ-3π),最大值为8, ∴ |2a -b |2的最大值为16,∴|2a -b |的最大值为4.思路2:将向量2a ,b 平移,使它们的起点与原点重合,则|2a -b |表示2a ,b 终点间的距离.|2a |=2,所以2a 的终点是以原点为圆心,2为半径的圆上的动点P ,b 的终点是该圆上的一个定点Q ,由圆的知识可知,|PQ |的最大值为直径的长为4.(第19题)。
高中数学平面向量测试题及答案一、选择题1、下列哪一组向量是平行向量?A. (3,4)与(4,3)B. (3,4)与( - 4,- 3)C. (3,4)与( - 4,9)D. (3,4)与(7,8)2、下列哪一组向量是共线向量?A. (1,2)与(2,3)B. (1,1)与(2,2)C. (1,2)与( - 2,4)D. (1, - 1)与( - 2,2)3、下列哪一组向量是垂直向量?A. (1,2)与(2,1)B. (3,4)与(4,3)C. ( - 3,4)与(4, - 3)D.平面向量是数学中的一个重要概念,是解决许多实际问题的重要工具。
以下是一些经典的平面向量测试题,可以帮助大家了解和评估自己的平面向量水平。
给出平面向量的基本概念和性质,包括向量的表示、向量的模、向量的加法、减法和数乘等。
给出一个向量的坐标表示,包括在直角坐标系中的表示和在极坐标系中的表示。
给定两个向量 a和 b,求它们的数量积、夹角和模长。
给定一个向量 a,求它的单位向量、零向量和负向量。
给定一个平面向量场,求其中的平行向量、共线向量和线性无关向量。
给定一个三维平面向量场,求其中的法向量和切线向量。
给定一个向量的模长和夹角,求这个向量的坐标表示。
给定两个三维向量 a和 b,求它们在空间中的位置关系,如平行、共线和垂直等。
给定一个平面向量 a和一个非零向量 b,求 a和 b的垂直平分面和a和 b的中垂线。
给定一个向量的正交分解和极坐标表示,求这个向量的直角坐标表示和极坐标表示。
以上是平面向量经典测试题的一些例子,这些题目可以帮助大家巩固平面向量的基本概念和性质,提高解决实际问题的能力。
解释:平面向量是由两个数值和一个字母组成的,其中字母表示向量的方向,而数值表示向量的模长。
选项A符合这个要求,而其他选项都不符合。
解释:平面向量的基本运算包括加法、减法和数乘,而D选项中的“数乘和加法”实际上是包含了这三种运算,因此不是平面向量的运算。
平面向量学校:___________姓名:___________班级:___________考号:___________1..若向量(1,2),(4,5)BA CA == ,则BC =A. (5,7)B. (3,3)--C. ()3,3D. ()5,7--2.已知向量2(1,1),(,2),x x ==+a b 若,a b 共线,则实数x 的值为( )A.1-B.2C.1或2-D.1-或23.已知向量(1,2),(2,)a b m ==- ,若//a b ,则|23|a b + 等于( )A B . C ..4.在ABC ∆中,已知D 是AB 边上的一点,若2AD DB = ,13CD CA CB λ=+ ,则λ=( ) A.23 B.13 C.13- D.23- 5.在平面直角坐标系xOy 中,已知点(0,0),(0,1),(1,2),(,0)O A B C m -,若//OB AC ,则实数m 的值为( )A. 2-B. 12-C. 12D. 2 6.已知||6a = ,||3b = ,12a b ⋅=- ,则向量a 在向量b 方向上的投影是( ) A .-4 B .4 C .-2 D .27.已知向量(3,4)OA =- ,(6,3)OB =- ,(2,1)OC m m =+ ,若//AB OC ,则实数m 的值为( )A .15B .-3C .35-D .17- 8.平面向量a 与b 的夹角为60°,1||),0,2(==b a ,则|2|b a +等于( )A B .C .4D .129.已知(3,4)a = ,(1,2)b = ,则a b -= . 10.已知平面向量)1,3(=a ,)3,(-=x b ,且b a ⊥,则x 的值为 .11.已知向量a ,b 满足|a |=1,|b |=2,a 与b 的夹角为60°,向量c =2a +b .则向量c 的模为 .12.已知向量()()cos45,sin30,2sin 45,4cos60,b c =︒︒=︒︒ 则b c ⋅= .13.向量a ,b 满足则a 与b 的夹角为 .14.已知,,a b c 是同一平面内的三个向量,其中(1,2)a =(1)若||c = //c a ,求:c 的坐标(2)若||b = 2a b + 与2a b - 垂直,求a 与b 的夹角 15.已知平面向量(cos ,sin )a ϕϕ= ,(cos ,sin )b x x = ,(sin ,cos )c ϕϕ=- ,其中0ϕπ<<,且函数()()cos ()sin f x a b x b c x =⋅+⋅ 的图象过点)1,6(π. (1)求ϕ的值;(2)将函数)(x f y =图象上各点的横坐标变为原来的的2倍,纵坐标不变,得到函数)(x g y =的图象,求函数)(x g y =在[0,]2π上的最大值和最小值.16.已知向量2(cos ,1),,cos )222x x x m n =-= ,设函数()f x m n = (1)求()f x 在区间[]0,π上的零点;(2)在ABC ∆中,角A B C 、、的对边分别是,,a b c ,且满足2b ac =,求()f B 的取值范围.17.向量)sin ,1(x m a +=→,))6cos(4,1(π+=→x b ,设函数→→⋅=b a x g )(,(R m ∈,且m 为常数)(1)若x 为任意实数,求)(x g 的最小正周期;(2)若)(x g 在⎪⎭⎫⎢⎣⎡3,0π上的最大值与最小值之和为7,求m 的值.18(1,)b y = ,已知//a b ,且有函数)(x f y =. (1)求函数)(x f y =的周期;(2)已知锐角ABC ∆的三个内角分别为C B A ,,,若有3)3(=-πA f ,边7=BC ,721sin =B ,求AC 的长及ABC ∆的面积. 19.已知向量x ),1,(sin -=)23,(cos x =,)()(x f ⋅+=(1)当[0,]2x π∈时,求函数)(x f 的值域:(2)锐角A B C ∆中,c b a ,,分别为角C B A ,,的对边,若1023)2(,27,245===B f b c a ,求边c a ,.参考答案1.B【解析】试题分析:()3,3BC BA AC =+=-- 考点:向量的坐标运算.2.D.【解析】试题分析:∵2(1,1),(,2)x x ==+a b ,,a b 共线,∴根据向量共线的充要条件知1×x 2-1×(x+2)=0,∴x=-1或2,选D.考点:平面向量共线(平行)的坐标表示.3.C【解析】试题分析:由//a b 可得()40221-=⇒=-⨯-⨯m m ,所以()54641628,432=+=+⇒--=+.考点:向量的坐标运算.4.A【解析】试题分析:2AD DB = ,即()2C D C A C B C D -=- ,解得1233CD CA CB =+ ,23λ∴=,故选A.考点:平面向量的线性表示5.C【解析】试题分析:因为,在平面直角坐标系xOy 中,点(0,0),(0,1),(1,2),(,0)O A B C m -,所以,(1,2),(,1)OB AC m =-=- ,又//OB AC ,所以,11,122m m -==-,选C. 考点:平面向量的概念,共线向量.6.A【解析】 试题分析:向量a 在向量b方向上的投影是θcos ⋅(θ是a ,b 的夹角),θcos ⋅=-4.考点:向量的数量积运算.7.B .【解析】试题分析:由题意知(3,1)AB OB OA =-= ,(2,1)OC m m =+ ,又//AB OC ,则3(1)120m m ⨯+-⨯=,即3m =-.考点:两向量平行的充要条件.8.B【解析】试题分析:因为,(2,0),a = 所以,||2a = ,2220|2|444421cos60412,|2|a b a a b b a b +=+⋅+=+⨯⨯⨯+=+= B. 考点:平面向量的数量积、夹角、模9.(2,2)【解析】试题分析:根据向量的减法等于横坐标、纵坐标分别对应相减,得到(31,42)(2,2).a b -=--= .向量的加减及数乘类似实数运算,一般不会出错,只需注意对应即可.考点:向量的减法运算10.1【解析】试题分析:b a ⊥10330=⇒=-⇒=⋅⇒x x b a .考点:平面向量数量积运算.11.【解析】试题分析:|c |2=(2a +b )2=4a 2+4a·b+b 2=4+4×1×2×cos60°+4=12,即|c |=考点:平面向量数量积、向量的模.12.2.【解析】试题分析:由向量数量积的坐标运算公式得112sin 45cos454sin30cos6024222b c ⋅=︒︒+︒︒=⨯⨯= . 考点:1.向量数量积的坐标运算公式;2.三角函数式求值.13.23π. 【解析】试题分析:由题意解得1a b ⋅=- ,则1cos ,2a b =- ,即a 与b 的夹角为23π. 考点:1.平面向量数量积运算;2.向量夹角公式.14.(1)(2,4)或(2,4)--;(2)π.【解析】试题分析:(1)设(,)c x y = ,利用两个已知条件||c = //c a 列出关于,x y 的方程组,解出,x y 即可;(2)由2a b + 与2a b - 垂直得(2)(2)0a b a b +⋅-= ,对此式进行化简,可求出a b ⋅ ,又,a b 的模易知,利用向量数量积的定义则可求出a 与b 的夹角.试题解析:设(,)c x y = 由//||c a c =及 2212022,4420y x x x y y x y ⋅-⋅===-⎧⎧⎧∴⎨⎨⎨==-+=⎩⎩⎩或 所以,(2,4)(2,4)c c ==-- 或 7分(2)∵2a b + 与2a b - 垂直,∴(2)(2)0a b a b +⋅-=即222320a a b b +⋅-= ;∴52a b ⋅=- ∴cos 1||||a b a b θ⋅==- ,∵[0,]θπ∈∴θπ= 14分 考点:向量的数量积、向量的模、向量的平行与垂直.15.(1)3πϕ=;(2)最小值12,最大值1. 【解析】 试题分析:(1)根据向量的数量积的坐标运算,求出,a b b c ⋅⋅ 代入:()()c o s ()s f x a b x b c x=⋅+⋅ 整理便得()cos(2)f x x ϕ=-,再根据()f x 过点)1,6(π可得ϕ的值;(2)将函数)(x f y =图象上各点的横坐标变为原来的的2倍,纵坐标不变,便将函数)(x f y =中的x 换成12x 便得函数)(x g y =的解析式:()cos()3g x x π=-. 由02x π≤≤得033236x πππππ-≤-≤-=.结合cos y x =的图象可得()cos()3g x x π=-在[0,]2π上的最大值和最小值. 试题解析:(1) cos cos sin sin cos()a b x x x ϕϕϕ⋅=+=- 1分cos sin sin cos sin(b c x x x ϕϕϕ⋅=-=- ()x -ϕ 2分()()cos ()sin f x a b x b c x ∴=⋅+⋅cos()cos sin()sin x x x x ϕϕ=-+-cos()x x ϕ=--cos(2)x ϕ=-, 4分即()cos(2)f x x ϕ=- ∴()cos()163f ππϕ=-=,而0ϕπ<<, ∴3πϕ=. 6分(2)由(1)得,()cos(2)3f x x π=-, 于是1()cos(2())23g x x π=-, 即()cos()3g x x π=-. 9分 当[0,]2x π∈时,336x πππ-≤-≤, 所以1cos()123x π≤-≤, 11分 即当0x =时,()g x 取得最小值12, 当3x π=时,()g x 取得最大值1. 13分考点:1、向量的坐标运算;2、三角变换;3、三角函数的图象变换;4、三角函数的最值16.(1)3π、π;(2)(1,0]-. 【解析】试题分析:(1)先由平面向量数量积的坐标表示得到()f x ,然后由三角函数的倍角公式进行降次,再将函数()f x 的解析式化为()()sin f x A x b ωϕ=++的形式.令()0f x =,在区间[]0,π解得3x π=或π,即得到零点3π、π;(2)由条件及余弦定理,通过基本不等式可得1cos 2B ≥,又根据角B 是三角形内角,从而得到其范围,再代入即可得()f B 的取值范围.试题解析:因为向量2(cos ,1),,cos )222x x x m n =-= ,函数()f x m n = .所以21cos ()cos cos 2222x x x x f x x +=-=-111cos sin()22262x x x π=--=--3分 (1)由()0f x =,得1sin()62x π-=. =+266x k πππ-∴, 5=+266x k k Z πππ-∈或, =+23x k ππ∴, =+2x k k Z ππ∈或,又[]0,x π∈,3x π∴=或π.所以()f x 在区间[]0,π上的零点是3π、π. 6分 (2)在ABC ∆中,2b ac =,所以222221cos 2222a cb ac ac ac B ac ac ac +-+-==≥=. 由1cos 2B ≥且(0,)B π∈,得(0,],3B π∈--666B πππ⎛⎤∈ ⎥⎝⎦从而,10分 11sin()(,]622B π-∈-∴, 1()sin()(1,0]62f B B π=-+∈-∴ 12分 考点:1.数量积的坐标表示;2.余弦定理;3.三角函数的性质.17.(1)T π=;(2)2m =.【解析】试题分析:(1)借助向量数量积运算,利用两角和与差公式化为一角一函数()2sin(2)6g x x m π=++,可求函数周期;(2)由x 的范围求出26x π+的范围,借助函数图象求出函数最值.试题解析:(1)()14sin cos()14sin (cos cos sin sin )666g x a b m x x m x x x πππ=⋅=+++=++-2cos2x x m ++2sin(2)6x m π=++ 5分 所以T π=.(2)因为03x π≤<,所以52666x πππ≤+<, 9分 所以6x π=时,()2max g x m =+;0x =时,min ()1g x m =+ 12分所以217,2m m m +++==. 14分考点:1.函数的性质:周期、最值;2.三角函数的化简.18.(1)2π;(2)2AC =,S =. 【解析】 试题分析:(1)利用//的充要条件得出)(x f y =,再化简成sin()y A x B ωϕ=++类型求周期;(2)先由条件3)3(=-πA f 求出角A ,再由正弦定理B AC A BC sin sin =求AC ,然后只需求出AB 或sin C 即可求ABC ∆的面积.试题解析:解:由//得0)cos 23sin 21(21=+-x x y 3分 即 )3sin(2)(π+==x x f y 5分 (1)函数)(x f 的周期为π2=T 6分(2)由3)3(=-πA f 得3)33sin(2=+-ππA 即23sin =A ∵ABC ∆是锐角三角形∴3π=A 8分由正弦定理:BAC A BC sin sin =及条件7=BC ,721sin =B 得2237217sin sin =⋅=⋅=A B BC AC , 10分又∵A AC AB AC AB BC cos 2222⋅⋅-+=即2122472⨯⨯⋅-+=AB AB 解得3=AB 11分 ∴ABC ∆的面积233sin 21=⋅⋅=A AC AB S 12分 考点:1、平面向量与三角函数结合,2、正弦定理与余弦定理综合运用,3、三角形面积公式.19.(1)1[22-;(2)8c a ==. 【解析】试题分析:(1)先利用倍角公式、两角差的正弦公式将解析式化简,将已知x 代入,求值域;本卷由【在线组卷网 】自动生成,请仔细校对后使用,答案仅供参考。
6.2平面向量的运算练习一、单选题1.化简OP PS QS +-的结果等于( ). A .QPB .OQC .SPD .SQ2.如图,M 在四面体OABC 的棱BC 的中点,点N 在线段OM 上,且13MN OM =,设OA a =,OB b =,OC c =,则下列向量与AN 相等的向量是( )A .1133a b c -++B .1133a b c ++C .1166a b c -++D .1166a b c ++3.如图,在四边形ABCD 中,AC 与BD 交于点O ,若AD BC =,则下面互为相反向量的是( )A .AC 与CBB .OB 与ODC .AB 与DCD .AO 与OC4.已知平行四边形ABCD 中,E 为边AD 的中点,AC 与BE 相交于点F ,若EF xAB y AD =+,则( )A .11,36x y ==-B .11,24x y ==-C .11,33x y ==-D .11,23x y ==-5.()()32a b a b a +---=( ) A .5aB .5bC .5a -D .5b -6.已知向量a ,b 不共线,若2AB a b =+,37BC a b =-+,45CD a b =-,则( ) A .A ,B ,C 三点共线 B .A ,B ,D 三点共线 C .A ,C ,D 三点共线D .B ,C ,D 三点共线7.已知向量a 、b 满足2a =,5b =,且a 与b 夹角的余弦值为15,则()()23a b a b +⋅-=( ) A .30-B .28-C .12D .728.如图,在ABC 中,12AN NC =,P 是BN 上的一点,若1139AP m AB AC ⎛⎫=++ ⎪⎝⎭,则实数m 的值为( )A .19B .29C .23D .13二、多选题9.如图,在平行四边形ABCD 中,下列计算正确的是A .AB AD AC += B .AC CD DO OA ++= C .++=AB AC CD ADD .0AC BA DA ++=10.如图,D ,E ,F 分别是ABC 的边AB ,BC ,CA 的中点,则AF DB -等于( )A .FDB .EC C .BED .DF11.在ABC 中,12,33AE AB AD AC ==,记,BC a CA b ==,则下列结论中正确的是( ) A .()13AE a b =-- B .AD b =-C .()13DE b a =- D .AB a b =+12.设a ,b ,c 是三个非零向量,且相互不共线,则下列说法正确的是( ) A .若a b a b +=-,则a b ⊥ B .若a b =,则()()a b a b +⊥- C .若a c b c ⋅=⋅,则a b -不与c 垂直D .()()b c a a c b ⋅-⋅不与c 垂直三、填空题13.在ABC 中,,,D E F 分别是,,AB BC CA 的中点,则AE DB -=___________. 14.下列四个等式:①a +b =b +a ;①-(-a )=a ;①AB +BC +CA =0;①a +(-a )=0. 其中正确的是______(填序号).15.已知a ,b 是不共线的向量,OA a b λμ=+,32OB a b =-,23OC a b =+,若A ,B ,C 三点共线,则实数λ,μ满足__________.16.已知m 、n 是夹角为120°的两个单位向量,向量()1a tm t n =+-,若n a ⊥,则实数t =______.四、解答题17.如图,E ,F ,G ,H 分别是梯形ABCD 的边AB ,BC ,CD ,DA 的中点,化简下列各式:(1)DG EA CB ++; (2)EG CG DA EB +++.18.化简:(1)BA BC-;(2)AB BC AD+-;(3)AB DA BD BC CA++--.19.已知△OBC中,点A是线段BC的中点,点D是线段OB的一个三等分点(靠近点B),设AB=a→,AO=b→.(1)用向量a→与b→表示向量OC;(2)若35OE OA=,判断C,D,E是否共线,并说明理由.20.已知2,3,,a b a b ==的夹角为60︒,53,3c a b d a kb =+=+,当实数k 为何值时, (1)→→d//c(2)c d ⊥21.已知向量a 与b 的夹角3π4θ=,且3a =,22b =. (1)求a b ⋅,()(2)a b a b +⋅-; (2)求a b +;(3)a 与a b +的夹角的余弦值.22.已知向量,,a b c 满足:2a =,()R c a tb t =-∈,,3a b π=.(1)若1a b ⋅=,求b 在a 方向上的投影向量; (2)求||c 的最小值.答案1.B 2.A 3.B 4.A 5.B 6.B 7.B 8.D 9.AD 10.BCD 11.AC 12.AB 13.AF 14.①①①① 15.513λμ+=. 16.2317.(1)DG EA CB GC BE CB GB BE GE +++++===; (2)0EG CG DA EB EG GD DA AE ED DE ==+=++++++. 18.(1)BA BC CA -=.(2)AB BC AD AC AD DC +-=-=.(3)AB DA BD BC CA AB BD AD AC CB AD AD AB AB ++--=+-++=-+=. 19.解(1)①AB =a →,AO =b →,点A 是BC 的中点,∴AC =-a →.①OC OA AC =+=-a →-b →. (2)假设存在实数λ,使CE =λCD .①CE CO OE =+=a →+b →+35(-b →)=a →+25b →,11(33CD CB BD CB BO CB BA AO =+=+=++)=2a →+13(-a →+b →)=53a →+13b →,①a →+25b →=λ5133a b →→⎛⎫+ ⎪⎝⎭,①5131235λλ⎧=⎪⎪⎨⎪=⎪⎩,,此方程组无解, ①不存在实数λ,满足CE =λCD . ①C ,D ,E 三点不共线. 20.(1)若→→d//c ,得c d λ=,即53(3)a b a kb λ+=+,即35,3,k λλ=⎧⎨=⎩解得53λ=,95k =.(2)若c d ⊥,则0c d ⋅=,即53)(3)0(a b a kb +⋅+=,得()22159530k k ++⋅+=a a b b , ()115495233902k k ⨯++⨯⨯⨯+⋅=,解得2914k =-. 21.(1)已知向量a 与b 的夹角3π4θ=,且3a =,22b =,则3πcos364a b a b ⎛⋅=⋅⋅=⨯=- ⎝⎭, 所以()22()(2)296281a b a b a a b b +⋅-=-⋅-=---⨯=-;(2)()(222292a b a b a ab b +=+=+⋅+=+⨯-(3)a 与a b +的夹角的余弦值为()296cos ,535a a baa ba ab a a ba a b⋅++⋅-+====⨯⋅+⋅+ 22.(1)由数量积的定义可知:cos ,a bb a b a⋅=,所以b 在a 方向上的投影向量为: 11||cos ,||||||224a ab a a b a b a a a a ⋅<>=⋅=⋅=; (2)()()2222c a tb a tb a ta b tb =-=-=-⋅+又2a =,,3a b π=,所以()224c t bt b =-+令R x t b =∈所以22c x =-=所以当1x t b ==时,c 取到最小值为。
《平面向量》测试题一、选择题1。
若三点P (1,1),A (2,—4),B (x ,-9)共线,则( )A 。
x=-1B 。
x=3 C.x=29D.x=512。
与向量a=(-5,4)平行的向量是( )A.(-5k,4k) B 。
(-k 5,—k 4) C.(—10,2) D 。
(5k,4k )3。
若点P 分AB 所成的比为43,则A 分BP 所成的比是( )A 。
73 B. 37 C.- 37 D 。
—734。
已知向量a 、b ,a ·b=-40,|a |=10,|b |=8,则向量a 与b 的夹角为( )A 。
60° B.—60° C.120° D 。
—120°5.若|a-b |=32041 ,|a|=4,|b|=5,则向量a ·b=( )A 。
103B 。
-103C 。
102 D.106.(浙江)已知向量a =(1,2),b =(2,-3).若向量c 满足(c +a )∥b ,c ⊥(a +b ),则c =() A.错误! B 。
错误! C.错误! D.错误!7。
已知向量a=(3,4),b=(2,—1),如果向量(a+x)·b 与b 垂直,则x 的值为( )A 。
323B 。
233C 。
2D 。
—528。
设点P 分有向线段21P P 的比是λ,且点P 在有向线段21P P 的延长线上,则λ的取值范围是() A.(-∞,—1) B 。
(-1,0) C.(-∞,0) D 。
(—∞,-21)9.设四边形ABCD 中,有DC =21AB ,且|AD |=|BC |,则这个四边形是( )A 。
平行四边形 B.矩形 C.等腰梯形 D.菱形10。
将y=x+2的图像C 按a=(6,-2)平移后得C ′的解析式为( )A 。
y=x+10 B.y=x-6 C 。
y=x+6 D 。
y=x-1011.将函数y=x 2+4x+5的图像按向量a 经过一次平移后,得到y=x 2的图像,则a 等于( )A 。
si nt he i rb ei n ga re g平面向量专题训练知识点回顾1.向量的三种线性运算及运算的三种形式。
向量的加减法,实数与向量的乘积,两个向量的数量积都称为向量的线性运算,前两者的结果是向量,两个向量数量积的结果是数量。
每一种运算都可以有三种表现形式:图形、符号、坐标语言。
主要内容列表如下:运 算图形语言符号语言坐标语言+=→--OA →--OB →--OC-=→--OB →--OA →--AB记=(x 1,y 1),=(x 1,y 2)→--OA →--OB 则+=(x 1+x 2,y 1+y 2)→--OA →--OB -=(x 2-x 1,y 2-AB OB --→= →--OA y 1)加法与减法+=→--OA →--AB →--OB实数与向量的乘积=λ→--AB →a λ∈R记=(x,y)→a 则λ=(λx,λy)→a 两个向量的数量积·=||||→a →b →a →b cos<,>→a →b 记=(x 1,y 1), =(x 2,y 2)→a →b 则·=x 1x 2+y 1y 2→a →b (3)两个向量平行 :设=(x 1,y 1),=(x 2,y 2),则∥ x 1y 2-x 2y 1=0→a →b →a →b ⇔a b λ=⇔(4)两个向量垂直:设=(x 1,y 1), =(x 2,y 2),则⊥x 1x 2+y 1y 2=0→a →b →a →b ⇔a 0b ∙= ⇔课堂精练一、选择题1. 已知平面向量a =,1x () ,b =2,x x (-), 则向量+a b ( )A 平行于x 轴 B.平行于第一、三象限的角平分线C.平行于y 轴D.平行于第二、四象限的角平分线2. 已知向量(1,2)=a ,(2,3)=-b .若向量c 满足()//+c a b ,()⊥+c a b ,则c =( )A .77(,)93B .77(,)39-- C .77(,)39 D .77(,)93--E CBA3.已知向量(1,0),(0,1),(),a b c ka b k R d a b ===+∈=-,如果//c d 那么 ( )A .1k =且c 与d 同向B .1k =且c 与d 反向C .1k =-且c 与d 同向D .1k =-且c 与d 反向4已知平面向量(11)(11)==-,,,a b ,则向量1322-=a b ( )A.(21)--, B.(21)-,C.(10)-, D.(12),5.设P 是△ABC 所在平面内的一点,2BC BA BP +=,则( )A.0PA PB +=B.0PC PA +=C.0PB PC +=D.0PA PB PC ++= 6.已知向量a = (2,1), a·b = 10,︱a + b ︱= b ︱= ( )7.设a 、b 、c 是单位向量,且a ·b =0,则()()a c b c -∙-的最小值为( )A.2- 2-C.1-D.1-8已知向量(1)(1)n n ==-,,,a b ,若2-a b 与b 垂直,则=a ( )A .1BC .2D .49平面向量a 与b 的夹角为060,(2,0)a =,1b = 则2a b +=( )B.10.若向量a=(1,1),b=(-1,1),c=(4,2),则c=( )A.3a+bB. 3a-bC.-a+3bD. a+3b11.如图1, D ,E ,F 分别是∆ABC 的边AB ,BC ,CA 的中点,则 ( )A .0AD BE CF ++= B .0BD CF DF -+= C .0AD CE CF +-= D .0BD BE FC --=12.已知O 是ABC △所在平面内一点,D 为BC 边中点,且2OA OB OC ++=0,那么( )A.AO OD = B.2AO OD = C.3AO OD= D.2AO OD= 13.设非零向量a 、b 、c 满足c b a c b a =+==|,|||||,则>=<b a ,( )A .150° B.120° C.60° D.30°14.已知()()3,2,1,0a b =-=-,向量a b λ+与2a b -垂直,则实数λ的值为()A.17-B.17C.16-D.1615.已知1,6,()2==-=Aa b a b a ,则向量a 与向量b 的夹角是( )A .6πB .4πC .3πD .2π16.已知向量(1,1),(2,),x ==a b 若a +b 与-4b 2a 平行,则实数x 的值是( )A .-2B .0C .1D .217.在ABC △中,AB = c ,AC = b .若点D 满足2BD DC = ,则AD =( )A .2133+b c B .5233-c b C .2133-b c D .1233+b c 18.在平行四边形ABCD 中,AC 为一条对角线,若(2,4)AB = ,(1,3)AC =,则BD = ( )A .(-2,-4)B .(-3,-5)C .(3,5)D .(2,4)19.设)2,1(-=a ,)4,3(-=b ,)2,3(=c 则=⋅+c b a )2( ( )A.(15,12)-B.0C.3-D.11-二、填空题1.若向量a ,b 满足12a b == ,且a 与b 的夹角为3π,则a b += .2.设向量(12)(23)==,,,a b ,若向量λ+a b 与向量(47)=--,c 共线,则=λ3.已知向量a 与b 的夹角为120,且4==a b ,那么(2)+A b a b 的值为4.已知平面向量(2,4)a = ,(1,2)b =- .若()c a a b b =-⋅,则||c = ____________.5.a ,b 的夹角为120︒,1a = ,3b = 则5a b -=.6.已知向量2411()(),,,a =b =.若向量()λ⊥b a +b ,则实数λ的值是7.若向量a 、b 满足b a b a 与,1==的夹角为120°,则b a b a ··+=8.已知向量(3,1)a = ,(1,3)b = , (,2)c k = ,若()a c b -⊥则k = .9.已知向量(3,1)a = ,(1,3)b = ,(,7)c k = ,若()a c -∥b ,则k = .10.在平面直角坐标系xoy 中,四边形ABCD 的边AB∥DC,AD∥BC,已知点A(-2,0),B (6,8),C(8,6),则D 点的坐标为__________.平面向量专题训练答案:一选择题1 C2 D3 D 4D 5 B 6 C 7 D 8 C 9 B10 B11 A 12 A 13 B 14 A 15 C 16 D 17 A 18 B 19 C 二 填空题2 23 0 _4 285 76 -37 -18 09 5 10_(0,-2)。
平面向量练习题一.填空题。
1. BA CD DB AC +++等于________.2.若向量=(3,2),=(0,-1),则向量2-的坐标是________.3.平面上有三个点A (1,3),B (2,2),C (7,x ),若∠ABC =90°,则x 的值为________.4.向量a 、b 满足|a |=1,|b |=2,(a +b )⊥(2a -b ),则向量a 与b 的夹角为________.5.已知向量=(1,2),=(3,1),那么向量2-21的坐标是_________. 6.已知A (-1,2),B (2,4),C (4,-3),D (x ,1),若与共线,则||的值等于________.7.将点A (2,4)按向量a =(-5,-2)平移后,所得到的对应点A ′的坐标是______.8. 已知a=(1,-2),b=(1,x),若a ⊥b,则x 等于______9. 已知向量a,b 的夹角为ο120,且|a|=2,|b|=5,则(2a-b )·a=______10. 设a=(2,-3),b=(x,2x),且3a ·b=4,则x 等于_____11. 已知BC CD y x BC AB 且),3,2(),,(),1,6(--===∥DA ,则x+2y 的值为_____ 12. 已知向量a+3b,a-4b 分别与7a-5b,7a-2b 垂直,且|a|≠0,|b|≠0,则a 与b 的夹角为____ 13. 在△ABC 中,O 为中线AM 上的一个动点,若AM=2,则()OA OB OC +u u u r u u u r u u u r 的最小值是 .14.将圆222=+y x 按向量v =(2,1)平移后,与直线0=++λy x 相切,则λ的值为 .二.解答题。
1.设平面三点A (1,0),B (0,1),C (2,5).(1)试求向量2AB +AC 的模; (2)试求向量AB 与AC 的夹角;(3)试求与垂直的单位向量的坐标.2.已知向量a =(θθcos ,sin )(R ∈θ),b =(3,3)(1)当θ为何值时,向量a 、b 不能作为平面向量的一组基底(2)求|a -b |的取值范围3.已知向量a 、b 是两个非零向量,当a +t b (t ∈R)的模取最小值时,(1)求t 的值(2)已知a 、b 共线同向时,求证b 与a +t b 垂直4. 设向量)2,1(),1,3(-==OB OA ,向量垂直于向量,向量 平行于,试求OD OC OA OD ,时=+的坐标.5.将函数y=-x 2进行平移,使得到的图形与函数y=x 2-x -2的图象的两个交点关于原点对称.(如图)求平移向量a 及平移后的函数解析式.6.已知平面向量).23,21(),1,3(=-=若存在不同时为零的实数k 和t,使 .,,)3(2y x b t a k y b t a x ⊥+-=-+=且(1)试求函数关系式k =f (t )(2)求使f (t )>0的t 的取值范围.参考答案1.2.(-3,-4)3.74.90°(21,321).6.73.7.(-3,2).8.-29.1210.31-11.012. 90°13.2-14.51--或(1)∵ AB =(0-1,1-0)=(-1,1),=(2-1,5-0)=(1,5). ∴ 2+=2(-1,1)+(1,5)=(-1,7).∴ |2+|=227)1(+-=50.(2)∵ ||=221)1(+-=2.||=2251+=26,·=(-1)×1+1×5=4. ∴ cos θ =||||AC AB ⋅=2624⋅=13132. (3)设所求向量为=(x ,y ),则x 2+y 2=1. ①又 BC =(2-0,5-1)=(2,4),由BC ⊥m ,得2 x +4 y =0. ② 由①、②,得⎪⎪⎩⎪⎪⎨⎧-==.55552y x 或⎪⎪⎩⎪⎪⎨⎧==.-55552y x ∴ (552,-55)或(-552,55)即为所求.13.【解】(1)要使向量a 、b 不能作为平面向量的一组基底,则向量a 、b 共线 ∴ 33tan 0cos 3sin 3=⇒=-θθθ 故)(6Z k k ∈+=ππθ,即当)(6Z k k ∈+=ππθ时,向量a 、b 不能作为平面向量的一组基底(2))cos 3sin 3(213)3(cos )3(sin ||22θθθθ+-=-+-=-b a 而32cos 3sin 332≤+≤-θθ∴ 132||132+≤-≤-b a14.【解】(1)由2222||2||)(a bt a t b tb a +⋅+=+ 当的夹角)与是b a b a b b a t αα(cos ||||||222-=⋅-=时a+tb(t ∈R)的模取最小值(2)当a 、b 共线同向时,则0=α,此时||||b a t -=∴0||||||||||||)(2=-=-⋅=+⋅=+⋅b a a b b a a b tb a b tb a b ∴b ⊥(a +t b )18.解:设020),,(=-=⋅∴⊥=x y y x Θ ① 又0)1()2(3)2,1(,//=+---+=x y y x BC OA BC Θ 即:73=-x y ②联立①、②得⎩⎨⎧==7,14y x ………10分 )6,11(),7,14(=-==∴OA OC OD OC 于是.19.解法一:设平移公式为⎩⎨⎧-'=-'=k y y h x x 代入2x y -=,得到k h hx x y h x k y +-+-=-'-=-'2222.)(即,把它与22--=x x y 联立, 得⎪⎩⎪⎨⎧--=+-+-=22222x x y k h hx x y设图形的交点为(x 1,y 1),(x 2,y 2),由已知它们关于原点对称,即有:⎩⎨⎧-=-=2121y y x x 由方程组消去y 得:02)21(222=++-+-k h x h x . 由.2102212121-==++=+h x x h x x 得且又将(11,y x ),),(22y x 分别代入①②两式并相加,得:.22221222121-+--++-=+k h x hx x x y y 241)())((0211212-+-+-+-=∴k x x x x x x . 解得)49,21(.49-==a k . 平移公式为:⎪⎪⎩⎪⎪⎨⎧-'=+'=4921y y x x 代入2x y -=得:22+--=x x y .解法二:由题意和平移后的图形与22--=x x y 交点关于原点对称,可知该图形上所有点都可以找到关于原点的对称点在另一图形上,因此只要找到特征点即可.22--=x x y 的顶点为)49,21(-,它关于原点的对称点为(49,21-),即是新图形的顶点.由于新图形由2x y -=平移得到,所以平移向量为49049,21021=-=-=--=k h 以下同解法一.20.解:(1).0)(])3[(.0,2=+-⋅-+=⋅∴⊥t k t 即Θ ).3(41,0)3(4,1,4,02222-==-+-∴===⋅t t k t t k 即Θ (2)由f (t )>0,得.303,0)3()3(,0)3(412><<-->+>-t t t t t t t 或则即。
平面向量经典练习题(含答案)1、向量a=(2,4),b=(-1,-3),则向量3a-2b的坐标是(8,22)。
2、已知向量a与b的夹角为60°,a=(3,4),|b|=1,则|a+5b|=√61.3、已知点A(1,2),B(2,1),若AP=(3,4),则BP=(-1,-1)。
4、已知A(-1,2),B(1,3),C(2,0),D(x,1),若AB与CD共线,则|BD|=2.5、向量a、b满足|a|=1,|b|=2,(a+b)⊥(2a-b),则向量a与b的夹角为30°。
6、设向量a,b满足|a+b|=10,|a-b|=6,则a·b=7.7、已知a、b是非零向量且满足(a-2b)⊥a,(b-2a)⊥b,则a与b的夹角是60°。
8、在△ABC中,D为AB边上一点,AD=2DB,CD=3CA+mCB,则m=1.9、已知非零向量a,b满足|b|=4|a|,a⊥(2a+b),则a与b的夹角是53.13°。
10、在三角形ABC中,已知A(-3,1),B(4,-2),点P(1,-1)在中线AD上,且AP=2PD,则点C的坐标是(6,-3)。
二、选择题1、设向量OA=(6,2),OB=(-2,4),向量OC垂直于向量OB,向量BC平行于OA,若OD+OA=OC,则OD坐标=(11,6)。
2、把A(3,4)按向量a(1,-2)平移到A',则点A'的坐标(4,2)。
3、已知向量a,b,若a为单位向量,且|a|=|2b|,则(2a+b)⊥(a-2b),则向量a与b的夹角是30°。
4、已知向量ab的夹角60°,|a|=2,b=(-1,√3),则|2a-3b|=13.5、在菱形ABCD中,∠DAB=60°,|2·0C+CD|=4,则|BC+CD|=2.6、略。
7、略。
8、若向量a=(3,4),向量b=(2,1),则a在b方向上的投影为2.9、略。
BAC D平面向量一、选择题:1、在平面上,已知点A(2,1),B(0,2),C(-2,1),O(0,0).给出下面得结论:①②③其中正确..结论得个数就是()A.1个B.2个C.3个D.0个2.下列命题正确得就是()A.向量得长度与向量得长度相等B.两个有共同起点且相等得向量,其终点可能不同C.若非零向量与就是共线向量,则A、B、C、D四点共线D.若,则3、若向量= (1,1), = (1,-1), =(-1,2),则等于( )A、+B、C、D、+4.若,且与也互相垂直,则实数得值为( )A. B、6C、D、35.已知=(2,3), =(,7) ,则在上得正射影得数量为( )A、B、C、D、6.己知(2,-1)、(0,5) 且点P在得延长线上,,则P点坐标为()A、(-2,11)B、(C、(,3)D、(2,-7)7.设就是非零向量,若函数得图象就是一条直线,则必有( )A.ﻩ B. C.ﻩD.8.已知D点与ABC三点构成平行四边形,且A(-2,1),B(-1,3),C(3,4),则D点坐标为( )A、(2,2) B、(4,6) C、(-6,0) D、(2,2)或(-6,0)或(4,6)9、在直角中,就是斜边上得高,则下列等式不成立得就是(A)(B)(C)(D)10. 设两个向量与其中为实数、若则得取值范围就是( )A、B、C、D、10.已知P={a|a=(1,0)+m(0,1),m∈R},Q={b|b=(1,1)+n(-1,1),n∈R}就是两个向量集合,则P∩Q 等于( )A.{(1,1)} B.{(-1,1)} C.{(1,0)}D.{(0,1)}二、填空题:11.若向量得夹角为,,则.12.向量.若向量,则实数得值就是ﻩﻩ.13.向量、满足==1,=3,则=14. 如图,在中,就是边上一点,则、15.如图,在中,点就是得中点,过点得直线分别交直线,于不同得两点,若,,则得值为ﻩ. 三、解答题:16、设两个非零向量e1、e2不共线、如果=e1+e2,2e1+8e2,=3(e1-e2)⑴求证:A、B、D共线;⑵试确定实数k,使ke1+e2与e1+ke2共线、17、已知△ABC中,A(2,4),B(-1,-2),C(4,3),BC边上得高为AD、⑴求证:AB⊥AC;⑵求点D与向量得坐标、17.(10分)已知sin(α+错误!)=-错误!,α∈(0,π).(1)求错误!得值;(2)求cos(2α-错误!)得值.18.已知矩形相邻得两个顶点就是A(-1,3),B(-2,4),若它得对角线交点在x轴上,求另两个顶点得坐标.19、已知△顶点得直角坐标分别为、(1)若,求sin∠得值;(2)若∠就是钝角,求得取值范围、20.已知向量.(1)若,求; (2)求得最大值.21、设向量,函数、(Ⅰ)求函数得最大值与最小正周期; (Ⅱ)求使不等式成立得得集合、 22.(12分)已知向量a =(cos α,sin α),b =(c os β,sin β),|a -b |=错误!.(1)求co s(α-β)得值; (2)若0<α<\f(π,2),-错误!<β<0,且si n β=-错误!,求sin α.平面向量参考答案一、选择题:1-5:BA BBC 6、A 7、 A 【解析】,若函数得图象就是一条直线,即其二次项系数为0, 0, 8、D 9、 C 、【分析】: ,A就是正确得,同理B 也正确,对于D 答案可变形为,通过等积变换判断为正确、 10、 A 【分析】由可得,设代入方程组可得消去化简得,再化简得再令代入上式得可得解不等式得因而解得、故选A 10、 A 二、填空题: 11、 【解析】。
含解析高中数学《平面向量》专题训练30题(精)含解析高中数学《平面向量》专题训练30题(精)1.已知向量.(1)若,求x的值;(2)记,求函数y=f(x)的最大值和最小值及对应的x的值.【答案】(1)(2)时,取到最大值3;时,取到最小值.【解析】【分析】(1)根据,利用向量平行的充要条件建立等式,即可求x的值.(2)根据求解求函数y=f(x)解析式,化简,结合三角函数的性质即可求解最大值和最小值及对应的x的值.【详解】解:(1)∵向量.由,可得:,即,∵x∈[0,π]∴.(2)由∵x∈[0,π],∴∴当时,即x=0时f(x)max=3;当,即时.【点睛】本题主要考查向量的坐标运用以及三角函数的图象和性质,利用三角函数公式将函数进行化简是解决本题的关键.2.已知中,点在线段上,且,延长到,使.设.(1)用表示向量;(2)若向量与共线,求的值.【答案】(1),;(2)【解析】【分析】(1)由向量的线性运算,即可得出结果;(2)先由(1)得,再由与共线,设,列出方程组求解即可.【详解】解:(1)为BC的中点,,可得,而(2)由(1)得,与共线,设即,根据平面向量基本定理,得解之得,.【点睛】本题主要考查向量的线性运算,以及平面向量的基本定理,熟记定理即可,属于常考题型.3.(1)已知平面向量、,其中,若,且,求向量的坐标表示;(2)已知平面向量、满足,,与的夹角为,且(+)(),求的值.【答案】(1)或;(2)【解析】【分析】(1)设,根据题意可得出关于实数、的方程组,可求得这两个未知数的值,由此可得出平面向量的坐标;(2)利用向量数量积为零表示向量垂直,化简并代入求值,可解得的值.【详解】(1)设,由,可得,由题意可得,解得或.因此,或;(2),化简得,即,解得4.已知向量,向量.(1)求向量的坐标;(2)当为何值时,向量与向量共线.【答案】(1)(2)【解析】【详解】试题分析:(1)根据向量坐标运算公式计算;(2)求出的坐标,根据向量共线与坐标的关系列方程解出k;试题解析:(1)(2),∵与共线,∴∴5.已知向量与的夹角,且,.(1)求,;(2)求与的夹角的余弦值.【答案】(1),;(2).【解析】【分析】(1)利用平面向量数量积的定义可计算得出的值,利用平面向量数量积的运算性质计算得出的值;(2)计算出的值,利用平面向量夹角的余弦公式可求得与的夹角的余弦值.【详解】(1)由已知,得,;(2)设与的夹角为,则,因此,与的夹角的余弦值为.6.设向量,,记(1)求函数的单调递减区间;(2)求函数在上的值域.【答案】(1);(2).【解析】【详解】分析:(1)利用向量的数量积的坐标运算式,求得函数解析式,利用整体角的思维求得对应的函数的单调减区间;(2)结合题中所给的自变量的取值范围,求得整体角的取值范围,结合三角函数的性质求得结果.详解:(1)依题意,得.由,解得故函数的单调递减区间是.(2)由(1)知,当时,得,所以,所以,所以在上的值域为.点睛:该题考查的是有关向量的数量积的坐标运算式,三角函数的单调区间,三角函数在给定区间上的值域问题,在解题的过程中一是需要正确使用公式,二是用到整体角思维.7.在中,内角,,的对边分别是,,,已知,点是的中点.(Ⅰ)求的值;(Ⅱ)若,求中线的最大值.【答案】(Ⅰ);(Ⅱ).【解析】【分析】(1)由正弦定理,已知条件等式化边为角,结合两角和的正弦公式,可求解;(2)根据余弦定理求出边的不等量关系,再用余弦定理把用表示,即可求解;或用向量关系把用表示,转化为求的最值.【详解】(Ⅰ)由已知及正弦定理得.又,且,∴,即.(Ⅱ)方法一:在中,由余弦定理得,∵,当且仅当时取等号,∴.∵是边上的中线,∴在和中,由余弦定理得,,①.②由①②,得,当且仅当时,取最大值.方法二:在中,由余弦定理得,∵,当且仅当时取等号,∴.∵是边上的中线,∴,两边平方得,∴,当且仅当时,取最大值.【点睛】本题考查正弦定理、余弦定理在三角形中应用,考查基本不等式和向量的模长公式的灵活运用,是一道综合题.8.已知平面向量,.(1)若,求的值;(2)若,与共线,求实数m的值.【答案】(1);(2)4.【解析】(1)求出,即可由坐标计算出模;(2)求出,再由共线列出式子即可计算.【详解】(1),所以;(2),因为与共线,所以,解得m=4.9.已知向量.(Ⅰ)若,求的值;(Ⅱ)若,求向量与夹角的大小.【答案】(Ⅰ);(Ⅱ).【解析】【分析】(Ⅰ)首先求出的坐标,再根据,可得,即可求出,再根据向量模的坐标表示计算可得;(Ⅱ)首先求出的坐标,再根据计算可得;【详解】解:(Ⅰ)因为,所以,由,可得,即,解得,即,所以;(Ⅱ)依题意,可得,即,所以,因为,所以与的夹角大小是.10.如图,在中,,,,,.(1)求的长;(2)求的值.【答案】(1);(2).【解析】(1)将用和表示,利用平面向量数量积的运算律和定义计算出的值,即可得出的长;(2)将利用和表示,然后利用平面向量数量积的运算律和定义计算出的值.【详解】(1),,,,,,.;(2),,,.【点睛】本题考查平面向量模与数量积的计算,解题的关键就是选择合适的基底将题中所涉及的向量表示出来,考查计算能力,属于中等题.11.如图所示,在中,,,,分别为线段,上一点,且,,和相交于点.(1)用向量,表示;(2)假设,用向量,表示并求出的值.【答案】(1);(2),.【解析】【分析】(1)把放在中,利用向量加法的三角形法则即可;(2)把,作为基底,表示出,利用求出.【详解】解:由题意得,,所以,(1)因为,,所以.(2)由(1)知,而而因为与不共线,由平面向量基本定理得解得所以,即为所求.【点睛】在几何图形中进行向量运算:(1)构造向量加、减法的三角形法则和平行四边形法则;(2)树立“基底”意识,利用基向量进行线性运算.12.已知向量与的夹角为,且,.(1)若与共线,求k;(2)求,;(3)求与的夹角的余弦值【答案】(1);(2),;(3).【解析】【分析】(1)利用向量共线定理即可求解.(2)利用向量数量积的定义:可得数量积,再将平方可求模.(3)利用向量数量积即可夹角余弦值.【详解】(1)若与共线,则存在,使得即,又因为向量与不共线,所以,解得,所以.(2),,(3).13.已知.(1)当为何值时,与共线(2)当为何值时,与垂直?(3)当为何值时,与的夹角为锐角?【答案】(1);(2);(3)且.【解析】【分析】(1)利用向量共线的坐标表示:即可求解.(2)利用向量垂直的坐标表示:即可求解.(3)利用向量数量积的坐标表示,只需且不共线即可求解.【详解】解:(1).与平行,,解得.(2)与垂直,,即,(3)由题意可得且不共线,解得且.14.如图,在菱形ABCD中,,.(1)若,求的值;(2)若,,求.(3)若菱形ABCD的边长为6,求的取值范围.【答案】(1);(2);(3).【解析】【分析】(1)由向量线性运算即可求得值;(2)先化,再结合(1)中关系即可求解;(3)由于,,即可得,根据余弦值范围即可求得结果.【详解】解:(1)因为,,所以,所以,,故.(2)∵,∴∵ABCD为菱形∴∴,即.(3)因为,所以∴的取值范围:.【点睛】(1)应用平面向量基本定理表示向量的实质是利用平行四边形法则或三角形法则进行向量的加、减或数乘运算;(2)用向量基本定理解决问题的一般思路是:先选择一组基底,并运用该基底将条件和结论表示成向量的形式,再通过向量的运算来解决.15.已知,,与夹角是.(1)求的值及的值;(2)当为何值时,?【答案】(1);(2)【解析】【分析】(1)利用数量积定义及其向量的运算性质,即可求解;(2)由于,可得,利用向量的数量积的运算公式,即可求解.【详解】(1)由向量的数量积的运算公式,可得,.(2)因为,所以,整理得,解得.即当值时,.【点睛】本题主要考查了数量积定义及其运算性质、向量垂直与数量积的关系,其中解答中熟记向量的数量积的运算公式,以及向量垂直的坐标运算是解答的关键,着重考查了推理能力与计算能力,属于中档题.16.设向量(I)若(II)设函数【答案】(I)(II)【解析】【详解】(1)由=(sinx)2+(sinx)2=4sin2x,=(cosx)2+(sinx)2=1,及,得4sin2x=1.又x∈,从而sinx=,所以x=.(2)sinx·cosx+sin2x=sin2x-cos2x+=sin+,当x∈时,-≤2x-≤π,∴当2x-=时,即x=时,sin取最大值 1.所以f(x)的最大值为.17.化简.(1).(2).【答案】(1);(2).【解析】(1)利用平面向量加法的三角形法则化简可得所求代数式的结果;(2)利用平面向量加法的三角形法则化简可得所求代数式的结果.【详解】(1);(2).18.已知点,,,是原点.(1)若点三点共线,求与满足的关系式;(2)若的面积等于3,且,求向量.【答案】(1)(2)或【解析】【分析】(1)由题意结合三点共线的充分必要条件确定m,n满足的关系式即可;(2)由题意首先求得n的值,然后求解m的值即可确定向量的坐标.【详解】(1),,由点A,B,C三点共线,知∥,所以,即;(2)由△AOC的面积是3,得,,由,得,所以,即,当时,,?解得或,当时,,方程没有实数根,所以或.【点睛】本题主要考查三点共线的充分必要条件,向量垂直的充分必要条件等知识,意在考查学生的转化能力和计算求解能力.19.如图,在直角梯形中,为上靠近B的三等分点,交于为线段上的一个动点.(1)用和表示;(2)求;(3)设,求的取值范围.【答案】(1);(2)3;(3).【解析】【分析】(1)根据给定条件及几何图形,利用平面向量的线性运算求解而得;(2)选定一组基向量,将由这一组基向量的唯一表示出而得解;(3)由动点P设出,结合平面向量基本定理,建立为x的函数求解.【详解】(1)依题意,,,;(2)因交于D,由(1)知,由共起点的三向量终点共线的充要条件知,,则,,;(3)由已知,因P是线段BC上动点,则令,,又不共线,则有,,在上递增,所以,故的取值范围是.【点睛】由不共线的两个向量为一组基底,用该基底把相关条件和结论表示成向量的形式,再通过向量的运算来解决.20.设向量满足,且.(1)求与的夹角;(2)求的大小.【答案】(1);(2)【解析】【分析】(1)由已知得,展开求得,结合夹角公式即可求解;(2)由化简即可求解.【详解】(1)设与的夹角为θ由已知得,即,因此,得,于是,故θ=,即与的夹角为;(2)由.21.已知,,(t∈R),O是坐标原点.(1)若点A,B,M三点共线,求t的值;(2)当t取何值时,取到最小值?并求出最小值.【答案】(1)t;(2)当t时,?的最小值为.【解析】【分析】(1)求出向量的坐标,由三点共线知与共线,即可求解t的值.(2)运用坐标求数量积,转化为函数求最值.【详解】(1),,∵A,B,M三点共线,∴与共线,即,∴,解得:t.(2),,,∴当t时,?取得最小值.【点睛】关键点点睛:(1)由三点共线,则由它们中任意两点构成的向量都共线,求参数值.(2)利用向量的数量积的坐标公式得到关于参数的函数,即可求最值及对应参数值.22.设向量,,.(1)求;(2)若,,求的值;(3)若,,,求证:A,,三点共线.【答案】(1) 1(2)2(3)证明见解析【解析】【分析】(1)先求,进而求;(2)列出方程组,求出,进而求出;(3)求出,从而得到,得到结果.(1),;(2),所以,解得:,所以;(3)因为,所以,所以A,,三点共线.23.在平面直角坐标系中,已知,.(Ⅰ)若,求实数的值;(Ⅱ)若,求实数的值.【答案】(Ⅰ);(Ⅱ).【解析】(Ⅰ)求出向量和的坐标,然后利用共线向量的坐标表示得出关于的方程,解出即可;(Ⅱ)由得出,利用向量数量积的坐标运算可得出关于实数的方程,解出即可.【详解】(Ⅰ),,,,,,解得;(Ⅱ),,,解得.【点睛】本题考查平面向量的坐标运算,考查利用共线向量和向量垂直求参数,考查计算能力,属于基础题.24.在中,,,,点,在边上且,.(1)若,求的长;(2)若,求的值.【答案】(1);(2).【解析】【分析】(1)先设,,根据题意,求出,,再由向量模的计算公式,即可得出结果;(2)先由题意,得到,,再由向量数量积的运算法则,以及题中条件,得到,即可求出结果.【详解】(1)设,,则,,因此,所以,,(2)因为,所以,同理可得,,所以,∴,即,同除以可得,.【点睛】本题主要考查用向量的方法求线段长,考查由向量数量积求参数,熟记平面向量基本定理,以及向量数量积的运算法则即可,属于常考题型.25.已知向量,,,且.(1)求,;(2)求与的夹角及与的夹角.【答案】(1),;(2),.【解析】【分析】(1)由、,结合平面向量数量积的运算即可得解;(2)记与的夹角为,与的夹角为,由平面向量数量积的定义可得、,即可得解.【详解】(1)因为向量,,,且,所以,所以,又,所以;(2)记与的夹角为,与的夹角为,则,所以.,所以.【点睛】本题考查了平面向量数量积的运算与应用,考查了运算求解能力,属于基础题.26.平面内给定三个向量,,.(1)求满足的实数,;(2)若,求实数的值.【答案】(1),;(2).【解析】【分析】(1)依题意求出的坐标,再根据向量相等得到方程组,解得即可;(2)首先求出与的坐标,再根据向量共线的坐标表示计算可得;【详解】解:(1)因为,,,且,,,,.,解得,.(2),,,.,,,.,解得.27.如图,已知中,为的中点,,交于点,设,.(1)用分别表示向量,;(2)若,求实数t的值.【答案】(1),;(2).【解析】(1)根据向量线性运算,结合线段关系,即可用分别表示向量,;(2)用分别表示向量,,由平面向量共线基本定理,即可求得t的值.【详解】(1)由题意,为的中点,,可得,,.∵,∴,∴(2)∵,∴∵,,共线,由平面向量共线基本定理可知满足,解得.【点睛】本题考查了平面向量的线性运算,平面向量共线基本定理的应用,属于基础题.28.已知,向量,.(1)若向量与平行,求k的值;(2)若向量与的夹角为钝角,求k的取值范围【答案】(1)或;(2).【解析】(1)利用向量平行的坐标表示列式计算即得结果;(2)利用,且不共线,列式计算即得结果.【详解】解:(1)依题意,,,又,得,即解得或;(2)与的夹角为钝角,则,即,即,解得或.由(1)知,当时,与平行,舍去,所以.【点睛】思路点睛:两向量夹角为锐角(或钝角)的等价条件:(1)两向量夹角为锐角,等价于,且不共线;(2)两向量夹角为钝角,等价于,且不共线.29.已知.(1)若,求的值;(2)若,求向量在向量方向上的投影.【答案】(1)(2)【解析】【分析】(1)先得到,根据可得,即可求出m;(2)根据求出m=2,再根据求在向量方向上的投影.【详解】;;;;;;;在向量方向上的投影为.【点睛】本题主要考查了向量坐标的加法和数量积的运算,向量垂直的充要条件及向量投影的计算公式,属于中档题.30.平面内给定三个向量.(1)求;(2)求满足的实数m和n;(3)若,求实数k.【答案】(1)6;(2);(3).【解析】(1)利用向量加法的坐标运算得到,再求模长即可;(2)先写的坐标,再根据使对应横纵坐标相等列方程组,解方程组即得结果;(3)利用向量垂直则数量积为零,再利用数量积的坐标运算列关系求出参数即可.【详解】解:(1)由,得,;(2),,,,故,解得;(3),,,,,,即,解得.【点睛】结论点睛:若,则等价于;等价于.试卷第1页,共3页试卷第1页,共3页。
高中数学平面向量习题五篇篇一:高中数学平面向量练习题一.填空题。
1. +++等于________.2.若向量=(3,2),=(0,-1),则向量2-的坐标是________. 3.平面上有三个点A (1,3),B (2,2),C (7,x ),若∠ABC =90°,则x 的值为________.4.向量a 、b 满足|a|=1,|b|=2,(a+b)⊥(2a-b),则向量a 与b 的夹角为________.5.已知向量=(1,2),=(3,1),那么向量2-21的坐标是_________. 6.已知A (-1,2),B (2,4),C (4,-3),D (x ,1),若与共线,则||的值等于________.7.将点A (2,4)按向量=(-5,-2)平移后,所得到的对应点A ′的坐标是______.8. 已知a=(1,-2),b=(1,x),若a ⊥b,则x 等于______9. 已知向量a,b 的夹角为120,且|a|=2,|b|=5,则(2a-b )·a=______ 10. 设a=(2,-3),b=(x,2x),且3a ·b=4,则x 等于_____11. 已知y x 且),3,2(),,(),1,6(--===∥,则x+2y 的值为_____ 12. 已知向量a+3b,a-4b 分别与7a-5b,7a-2b 垂直,且|a|≠0,|b|≠0,则a 与b 的夹角为____13. 在△ABC 中,O 为中线AM 上的一个动点,若AM=2,则()OA OB OC +的最小值是 .14.将圆222=+y x 按向量v=(2,1)平移后,与直线0=++λy x 相切,则λ的值为 .二.解答题。
1.设平面三点A (1,0),B (0,1),C (2,5).(1)试求向量2+的模; (2)试求向量与的夹角; (3)试求与垂直的单位向量的坐标.2.已知向量a=(θθcos ,sin )(R ∈θ),b=(3,3)(1)当θ为何值时,向量a 、b 不能作为平面向量的一组基底 (2)求|a -b|的取值范围3.已知向量a、b是两个非零向量,当a+tb(t∈R)的模取最小值时,(1)求t的值(2)已知a、b共线同向时,求证b与a+tb垂直4. 设向量)2,11,3(-=,向量垂直于向量,向量平行于,=(),试求OD=时+的坐标.OAOCOD,5.将函数y=-x 2进行平移,使得到的图形与函数y=x 2-x -2的图象的两个交点关于原点对称.(如图)求平移向量a 及平移后的函数解析式.6.已知平面向量).23,21(),1,3(=-=若存在不同时为零的实数k 和t,使.,,)3(2t k t ⊥+-=-+=且 (1)试求函数关系式k=f (t ) (2)求使f (t )>0的t 的取值范围.参考答案1.2.(-3,-4)3.74.90°(21,321).6.73.7.(-3,2). 8.-2 9.1210.3111.0 12. 90° 13.2-14.51--或(1)∵ AB =(0-1,1-0)=(-1,1),=(2-1,5-0)=(1,5). ∴ 2+=2(-1,1)+(1,5)=(-1,7). ∴ |2AB +|=227)1(+-=50.(2)∵ ||=221)1(+-=2.||=2251+=26,·AC =(-1)×1+1×5=4.∴ cos=||||AC AB ⋅=2624⋅=13132.(3)设所求向量为m =(x ,y ),则x 2+y 2=1. ①又 =(2-0,5-1)=(2,4),由⊥,得2 x +4 y =0. ②由①、②,得⎪⎪⎩⎪⎪⎨⎧-==.55552y x 或⎪⎪⎩⎪⎪⎨⎧==.-55552y x ∴ (552,-55)或(-552,55)即为所求.13.【解】(1)要使向量a 、b 不能作为平面向量的一组基底,则向量a 、b 共线∴33tan 0cos 3sin 3=⇒=-θθθ故)(6Z k k ∈+=ππθ,即当)(6Z k k ∈+=ππθ时,向量a 、b 不能作为平面向量的一组基底(2))cos 3sin 3(213)3(cos )3(sin ||22θθθθ+-=-+-=-b a 而32cos 3sin 332≤+≤-θθ ∴ 132||132+≤-≤-b a14.【解】(1)由2222||2||)(a bt a t b tb a +⋅+=+当的夹角)与是b a b a b b a t αα(cos ||||||222-=⋅-=时a+tb(t ∈R)的模取最小值(2)当a 、b 共线同向时,则0=α,此时||||b a t -=∴0||||||||||||)(2=-=-⋅=+⋅=+⋅b a a b b a a b tb a b tb a b ∴b ⊥(a+tb)18.解:设020),,(=-=⋅∴⊥=x y OB OC OB OC y x OC ①又0)1()2(3)2,1(,//=+---+=x y y x 即:73=-x y ②联立①、②得⎩⎨⎧==7,14y x ………10分 )6,11(),7,14(=-==∴OA OC OD OC 于是.19.解法一:设平移公式为⎩⎨⎧-'=-'=k y y hx x 代入2x y -=,得到k h hx x y h x k y +-+-=-'-=-'2222.)(即,把它与22--=x x y 联立,得⎪⎩⎪⎨⎧--=+-+-=22222x x y k h hx x y设图形的交点为(x 1,y 1),(x 2,y 2), 由已知它们关于原点对称,即有:⎩⎨⎧-=-=2121y y x x 由方程组消去y 得:02)21(222=++-+-k h x h x .由.2102212121-==++=+h x x h x x 得且又将(11,y x ),),(22y x 分别代入①②两式并相加,得:.22221222121-+--++-=+k h x hx x x y y241)())((0211212-+-+-+-=∴k x x x x x x . 解得)49,21(.49-==a k . 平移公式为:⎪⎪⎩⎪⎪⎨⎧-'=+'=4921y y x x 代入2x y -=得:22+--=x x y . 解法二:由题意和平移后的图形与22--=x x y 交点关于原点对称,可知该图形上所有点都可以找到关于原点的对称点在另一图形上,因此只要找到特征点即可.22--=x x y 的顶点为)49,21(-,它关于原点的对称点为(49,21-),即是新图形的顶点.由于新图形由2x y -=平移得到,所以平移向量为49049,21021=-=-=--=k h 以下同解法一.20.解:(1).0)(])3[(.0,2=+-⋅-+=⋅∴⊥t k t 即 ).3(41,0)3(4,1,4,02222-==-+-∴===⋅t t k t t k 即(2)由f(t)>0,得.303,0)3()3(,0)3(412><<-->+>-t t t t t t t 或则即篇二:高中数学平面向量习题及答案第二章 平面向量 一、选择题1.在△ABC 中,AB =AC ,D ,E 分别是AB ,AC 的中点,则( ). A .与共线 B .与共线 C .与相等 D .与相等2.下列命题正确的是( ). A .向量与是两平行向量 B .若a ,b 都是单位向量,则a =bC .若=,则A ,B ,C ,D 四点构成平行四边形 D .两向量相等的充要条件是它们的始点、终点相同3.平面直角坐标系中,O 为坐标原点,已知两点A(3,1),B(-1,3),若点C 满足,其中R 1,则点C 的轨迹方程为( ).A .3x +2y -11=0B .(x -1)2+(y -1)2=5C .2x -y =0D .x +2y -5=04.已知a 、b 是非零向量且满足(a -2b)⊥a ,(b -2a)⊥b ,则a 与b 的夹角是( ).A .6πB .3πC .23πD .56π5.已知四边形ABCD 是菱形,点P 在对角线AC 上(不包括端点A ,C),则=( ).(第1题)A .λ(+),λ∈(0,1)B .λ(+),λ∈(0,22) C .λ(-),λ∈(0,1)D .λ(-BC ),λ∈(0,22)6.△ABC 中,D ,E ,F 分别是AB ,BC ,AC 的中点,则=( ). A .+ B .- C .+D .+7.若平面向量a 与b 的夹角为60°,|b|=4,(a +2b)·(a -3b)=-72,则向量a 的模为( ). A .2B .4C .6D .128.点O 是三角形ABC 所在平面内的一点,满足OA ·OB =OB ·OC =OC ·OA ,则点O 是△ABC 的( ). A .三个内角的角平分线的交点B .三条边的垂直平分线的交点C .三条中线的交点D .三条高的交点9.在四边形ABCD 中,=a +2b ,=-4a -b ,C =-5a -3b ,其中a ,b 不共线,则四边形ABCD 为( ). A .平行四边形B .矩形C .梯形D .菱形10.如图,梯形ABCD 中,|AD |=|BC |,EF ∥AB ∥CD 则相等向量是( ). A .AD 与BC B .OA 与OB C .AC 与BD D .EO 与OF二、填空题11.已知向量OA =(k ,12),OB =(4,5),OC =(-k ,10),且A ,B ,C 三点(第10题)共线,则k=.12.已知向量a=(x+3,x2-3x-4)与MN相等,其中M(-1,3),N(1,3),则x=.13.已知平面上三点A,B,C满足|AB|=3,||=4,||=5,则AB·BC +BC·CA+CA·AB的值等于.14.给定两个向量a=(3,4),b=(2,-1),且(a+mb)⊥(a-b),则实数m等于.15.已知A,B,C三点不共线,O是△ABC内的一点,若OA+OB+OC=0,则O是△ABC的.16.设平面内有四边形ABCD和点O,OA=a,OB=b,OC=c, OD=d,若a +c=b+d,则四边形ABCD的形状是.三、解答题17.已知点A(2,3),B(5,4),C(7,10),若点P满足AP=AB+λ(λ∈R),试求λ为何值时,点P在第三象限内?18.如图,已知△ABC,A(7,8),B(3,5),C(4,3),M,N,D分别是AB,AC,BC的中点,且MN与AD交于F,求DF.(第18题)19.如图,在正方形ABCD 中,E ,F 分别为AB ,BC 的中点,求证:AF ⊥DE(利用向量证明).20.已知向量a =(cos θ,sin θ),向量b =(3,-1),则|2a -b|的最大值.(第19题)参考答案 一、选择题 1.B解析:如图,与,与不平行,与共线反向. 2.A解析:两个单位向量可能方向不同,故B 不对.若=,可能A ,B ,C ,D 四点共线,故C 不对.两向量相等的充要条件是大小相等,方向相同,故D 也不对. 3.D解析:提示:设OC =(x ,y),OA =(3,1),OB =(-1,3)OA =(3)OB =(3)OAOB =(33),∴ (x ,y)=(33),∴⎩⎨⎧βαβα33+=-=y x1,由此得到答案为D . 4.B解析:∵(a -2b)⊥a ,(b -2a)⊥b ,∴(a -2b)·a =a2-2a ·b =0,(b -2a)·b =b2-2a ·b =0,∴ a2=b2,即|a|=|b|.∴|a|2=2|a||b|cos θ=2|a|2cos θ.解得cos θ=21.∴ a 与b 的夹角是3π.(第1题)5.A解析:由平行四边形法则,+=,又+=,由λ的范围和向量数乘的长度,λ∈(0,1).6.D解析:如图,∵=,∴=+=+.(第6题)7.C解析:由(a+2b)·(a-3b)=-72,得a2-a·b-6b2=-72.而|b|=4,a·b=|a||b|cos 60°=2|a|,∴ |a|2-2|a|-96=-72,解得|a|=6.8.D解析:由OA·OB=OB·OC=OC·OA,得OA·OB=OC·OA,即OA·(OC-OB)=0,故BC·OA=0,BC⊥OA,同理可证AC⊥OB,∴ O是△ABC的三条高的交点.9.C解析:∵AD=++C=-8a-2b=2BC,∴∥BC且||≠|BC|.∴四边形ABCD为梯形.10.D解析:AD与BC,AC与BD,OA与OB方向都不相同,不是相等向量.二、填空题11.-32.解析:A ,B ,C 三点共线等价于,BC 共线,AB =OB -OA =(4,5)-(k ,12)=(4-k ,-7),BC =OC -OB =(-k ,10)-(4,5)=(-k -4,5),又 A ,B ,C 三点共线,∴ 5(4-k)=-7(-k -4),∴ k =-32.12.-1.解析:∵ M(-1,3),N(1,3), ∴ MN =(2,0),又a =MN ,∴ ⎩⎨⎧0=4-3-2=3+2x x x 解得⎩⎨⎧4=1=-1=-x x x 或 ∴ x =-1. 13.-25.解析:思路1:∵ 3=4,5,∴ △ABC 为直角三角形且∠ABC =90°,即⊥,∴·=0, ∴ ·BC +BC ·CA +CA · =·+· =CA ·(BC +) =-(CA )2=-25.思路2:∵3=4=5,∴∠ABC =90°,∴ cos ∠CAB53,cos ∠BCA=54.根据数积定义,结合图(右图)知·=0,BC ·CAcos ∠ACE =4×5×(-54)=-16, CA ·cos ∠BAD =3×5×(-53)=-9.∴ ·+·+·=0―16―9=-25.14.323.解析:a +mb =(3+2m ,4-m),a -b =(1,5). ∵ (a +mb)⊥(a -b),∴ (a +mb)·(a -b)=(3+2m)×1+(4-m)×5=0 m =323.15.答案:重心.解析:如图,以OA ,OC 为邻边作□AOCF 交AC 于点E ,则OF =OA +OC ,又 OA +OC =-OB , ∴ =2OE =-OB .O 是△ABC 的重心. 16.答案:平行四边形.(第15题)D(第13题)解析:∵ a +c =b +d ,∴ a -b =d -c ,∴BA =CD . ∴ 四边形ABCD 为平行四边形. 三、解答题 17.λ<-1.解析:设点P 的坐标为(x ,y),则=(x ,y)-(2,3)=(x -2,y -3).+λAC =(5,4)-(2,3)+λ[(7,10)-(2,3)=(3,1)+λ(5,7) =(3+5λ,1+7λ). ∵ AP =+λAC ,∴ (x -2,y -3)=(3+5λ,1+7λ).∴ ⎩⎨⎧+=-+=-λλ713532y x 即⎩⎨⎧+=+=λλ7455y x要使点P 在第三象限内,只需⎩⎨⎧<+<+074055λλ 解得 λ<-1.18.=(47,2).解析:∵ A(7,8),B(3,5),C(4,3),=(-4,-3),=(-3,-5).又 D 是BC 的中点,∴ =21(+AC )=21(-4-3,-3-5) =21(-7,-8)=(-27,-4).又 M ,N 分别是AB ,AC 的中点,(第18题)∴ F 是AD 的中点,∴ DF =-FD =-21AD =-21(-27,-4)=(47,2). 19.证明:设=a ,AD =b ,则AF =a +21b ,ED =b -21a . ∴ AF ·ED =(a +21b)·(b -21a)=21b2-21a2+43a ·b .又AB ⊥,且,∴ a2=b2,a ·b =0.∴ AF ·ED =0,∴AF ⊥ED .本题也可以建平面直角坐标系后进行证明.20.分析:思路1:2a -b =(2cos θ-3,2sin θ+1),∴ |2a -b|2=(2cos θ-3)2+(2sin θ+1)2=8+4sin θ-43cos θ.又4sin θ-43cos θ=8(sin θcos 3π-cos θsin 3π)=8sin(θ-3π),最大值为8,∴ |2a -b|2的最大值为16,∴|2a -b|的最大值为4.思路2:将向量2a ,b 平移,使它们的起点与原点重合,则|2a -b|表示2a ,b 终点间的距离.|2a|=2,所以2a 的终点是以原点为圆心,2为半径的圆上的动点P ,b 的终点是该圆上的一个定点Q ,由圆的知识可知,|PQ|的最大值为直径的长为4.(第19题)篇三:平面向量练习题精心汇编选择题:1.已知平行四边形ABCD ,O 是平行四边形ABCD 所在平面内任意一点,=,=,=,则向量等于 ( )A .++B .+-C .-+D .--2.已知向量a 与b 的夹角为120o,3,13,a ab =+=则b等于( )(A )5 (B )4 (C )3 (D )13.设a ,b 是两个非零向量.下列正确的是( ) A .若|a +b|=|a|-|b|,则a ⊥b B .若a ⊥b ,则|a +b|=|a|-|b|C .若|a +b|=|a|-|b|,则存在实数λ,使得b =λ aD .若存在实数λ,使得b =λa ,则|a +b|=|a|-|b|高☆考♂资♀源€网 4.已知→a =(sin θ,1+cos θ),→b =(1,1-cos θ),其中θ∈(π,3π2),则一定有 ( )A .→a ∥→bB .→a ⊥→bC .→a 与→b 夹角为45°D .|→a |=|→b | 5.已知向量a →=(6,-4),b →=(0,2),c →=a →+λb →,若C 点在函数y =sin π12x 的图象上,实数λ=( ) A .52 B .32C .-52D .-326. 已知∈Z k ,(,1),(2,4)==AB k AC ,若≤10AB ABC 是直角三角形的概率为( )A .17B .27C .37D .477.将π2cos 36x y ⎛⎫=+ ⎪⎝⎭的图象按向量π24⎛⎫=-- ⎪⎝⎭,a 平移,则平移后所得图象的解析式为( )A.π2cos 234x y ⎛⎫=+- ⎪⎝⎭ B.π2cos 234x y ⎛⎫=-+ ⎪⎝⎭ C.π2cos 2312x y ⎛⎫=-- ⎪⎝⎭D.π2cos 2312x y ⎛⎫=++ ⎪⎝⎭8.在ABC ∆中,M 是BC 的中点,AM=1,点P 在AM 上且满足−→−=−→−PM AP 2,则()PA PB PC ⋅+等于( )(A )49 (B )43 (C )43- (D) 49-9.已知O 是ABC △所在平面内一点,D 为BC 边中点,且2OA OB OC ++=0,那么( ) A.AO OD = B.2AO OD =C.3AO OD =D.2AO OD =10.△ABC 中,点D 在边AB 上,CD 平分∠ACB ,若CB = a , CA = b ,a= 1 ,b= 2, 则CD =( )(A )13a + 23b (B )23a +13b (C )35a +45b (D )45a +35b11.已知||2||0a b =≠,且关于x 的方程2||0x a x a b ++⋅=有实根,则a 与b 的夹角的取值范围是 ( )A.[0,6π]B.[,]3ππC.2[,]33ππD.[,]6ππ12. 设非零向量a =)2,(x x ,)2,3(x b -=,且b a ,的夹角为钝角,则x 的取值范围是( )(A ))(0,∞- (B )) ⎝⎛0,34 (C ))(0,∞- ) ⎝⎛0,34(D )⎝⎛⎪⎭⎫-∞-31, ) ⎝⎛-0,31 )⎝⎛∞+,3413.已知点O 、N 、P 在三角形ABC 所在平面内,且==,0=++NC NB NA ,则PB PA ∙=∙=∙则点O 、N 、P 依次是三角形ABC 的( )(A )重心、外心、垂心 (B )重心、外心、内心 (C )外心、重心、垂心 (D )外心、重心、内心14.设(,1)A a ,(2,)B b ,(4,5)C 为坐标平面上三点,O 为坐标原点,若OA 与OB 在OC 方向上的投影相同,则a 与b 满足的关系式为( )(A )453a b -= (B )543a b -= (C )4514a b += (D )5414a b += 15.(上海理14)在直角坐标系xOy 中,,i j 分别是与x 轴,y 轴平行的单位向量,若直角三角形ABC 中,2AB i j =+,3AC i k j =+,则k 的可能值有( ) A 、1个 B 、2个 C 、3个 D 、4个填空题:16.四边形ABCD 中,()()()1,2,4,1,5,3AB BC CD ==--=--则四边形ABCD 的形状是17.已知,a b 是两个非零向量,且a b a b ==-,则与a a b +的夹角为____ 18.已知OFQ ∆的面积为S ,且1=⋅−→−−→−FQ OF ,若2321<<S ,则−→−−→−FQ OF ,夹角θ的取值范围是_________19.若O 是ABC 所在平面内一点,且满足2OB OC OB OC OA-=+-,则ABC的形状为_ ___20若D 为ABC ∆的边BC 的中点,ABC ∆所在平面内有一点P ,满足0P A B P C P ++=,设||||AP PD λ=,则λ的值为__21下列命题中:① →→→→→→→⋅-⋅=-⋅c a b a c b a )(;② →→→→→→⋅⋅=⋅⋅c b a c b a )()(;③2()a b →→-2||a →=22||||||a b b →→→-⋅+;④ 若0=⋅→→b a ,则0=→a 或0=→b ;⑤若,a bc b ⋅=⋅则a c =;⑥22a a=;⑦2a bba a⋅=;⑧222()a b a b ⋅=⋅;⑨222()2a b a a b b -=-⋅+。
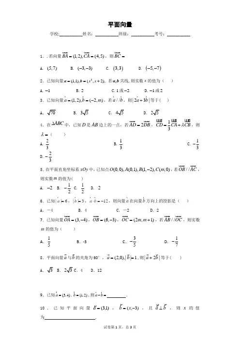
平面向量练习题
一.填空题。
1. BA CD DB AC +++等于________.
2.若向量=(3,2),=(0,-1),则向量2-的坐标是________.
3.平面上有三个点A (1,3),B (2,2),C (7,x ),若∠ABC =90°,则x 的值为________.
4.向量a 、b 满足|a |=1,|b |=2,(a +b )⊥(2a -b ),则向量a 与b 的夹角为________.
5.已知向量a =(1,2),b =(3,1),那么向量2a -21b 的坐标是_________. 6.已知A (-1,2),B (2,4),C (4,-3),D (x ,1),若与CD 共线,则|BD |的值等于________.
7.将点A (2,4)按向量=(-5,-2)平移后,所得到的对应点A ′的坐标是______.
8. 已知a=(1,-2),b=(1,x),若a ⊥b,则x 等于______
9. 已知向量a,b 的夹角为ο120,且|a|=2,|b|=5,则(2a-b )·a=______
10. 设a=(2,-3),b=(x,2x),且3a ·b=4,则x 等于_____
11. 已知y x 且),3,2(),,(),1,6(--===∥,则x+2y 的值为_____ 12. 已知向量a+3b,a-4b 分别与7a-5b,7a-2b 垂直,且|a|≠0,|b|≠0,则a 与b 的夹角为____ 13. 在△ABC 中,O 为中线AM 上的一个动点,若AM=2,则()OA OB OC +u u u r u u u r u u u r 的最小值是 .
14.将圆22
2=+y x 按向量v =(2,1)平移后,与直线0=++λy x 相切,则λ的值为 .
二.解答题。
1.设平面三点A (1,0),B (0,1),C (2,5).
(1)试求向量2+的模; (2)试求向量与的夹角;
(3)试求与垂直的单位向量的坐标.
2.已知向量a =(θθcos ,sin )(R ∈θ),b =(3,3)
(1)当θ为何值时,向量a 、b 不能作为平面向量的一组基底
(2)求|a -b |的取值范围
3.已知向量a 、b 是两个非零向量,当a +t b (t ∈R)的模取最小值时,
(1)求t 的值
(2)已知a 、b 共线同向时,求证b 与a +t b 垂直
4. 设向量)2,1(),1,3(-==,向量垂直于向量,向量 平行于,试求
,=+的坐标.
5.将函数y=-x 2进行平移,使得到的图形与函数y=x 2-x -2的图象的两个交点关于原点对称.(如图)求平移向量a 及平移后的函数解析式.
6.已知平面向量).2
3,21(),1,3(=-=若存在不同时为零的实数k 和t,使 .,,)3(2y x b t a k y b t a x ⊥+-=-+=且
(1)试求函数关系式k =f (t )
(2)求使f (t )>0的t 的取值范围.
参考答案
1.
2.(-3,-4)
°
(21,321
).
6.73.
7.(-3,2).
8.-2
10.31
-
12. 90°
13.2-
14.51--或
(1)∵ AB =(0-1,1-0)=(-1,1),AC =(2-1,5-0)=(1,5). ∴ 2AB +AC =2(-1,1)+(1,5)=(-1,7).
∴ |2AB +AC |=
227)1(+-=50. (2)∵ |AB |=221)1(+-=2.|AC |=2251+=26,
AB ·AC =(-1)×1+1×5=4.
∴ cos
==2624⋅=1313
2. (3)设所求向量为=(x ,y ),则x 2+y 2=1. ①
又 =(2-0,5-1)=(2,4),由⊥,得2 x +4 y =0. ②
由①、②,得⎪⎪⎩⎪⎪⎨⎧-==.55552y x 或⎪⎪⎩⎪⎪⎨⎧==.-55552y x ∴ (552,-55)或(-552,55)
即为所求.
13.【解】(1)要使向量a 、b 不能作为平面向量的一组基底,则向量a 、b 共线
∴ 33tan 0cos 3sin 3=⇒=-θθθ
故)
(6Z k k ∈+
=ππθ,即当)
(6Z k k ∈+=ππθ时,向量a 、b 不能作为平面向量的一组
基底
(2)
)cos 3sin 3(213)3(cos )3(sin ||22θθθθ+-=-+-=-b a 而32cos 3sin 332≤+≤-θθ
∴ 132||132+≤-≤-b a
14.【解】(1)由2222||2||)(a bt a t b tb a +⋅+=+ 当的夹角)与是b a b a b b a t αα(cos ||||||222-=⋅-
=时a+tb(t ∈R)的模取最小值
(2)当a 、b 共线同向时,则0=α,此时
|||
|b a t -= ∴
0||||||||||||)(2=-=-⋅=+⋅=+⋅b a a b b a a b tb a b tb a b ∴b ⊥(a +t b )
18.解:设020),,(=-=⋅∴⊥=x y OB OC OB
OC y x OC Θ ① 又0)1()2(3)2,1(,//=+---+=x y y x Θ 即:73=-x y ②
联立①、②得⎩⎨⎧==7,14y x ………10分 )6,11
(),7,14(=-==∴于是.
19.解法一:设平移公式为
⎩⎨⎧-'=-'=k y y h x x 代入2x y -=,得到
k h hx x y h x k y +-+-=-'-=-'2222.)(即,
把它与22
--=x x y 联立,
得⎪⎩⎪⎨⎧--=+-+-=22222x x y k h hx x y 设图形的交点为(x 1,y 1),(x 2,y 2),
由已知它们关于原点对称,
即有:⎩⎨⎧-=-=2121y y x x 由方程组消去y 得:
02)21(222=++-+-k h x h x . 由.2102212121-==++=+h x x h x x 得且
又将(11,y x ),),(22y x 分别代入①②两式并相加,
得:.22221222121-+--++-=+k h x hx x x y y
241)())((0211212-+-+-+-=∴k x x x x x x . 解得
)49,21(.49-==a k . 平移公式为:⎪⎪⎩⎪⎪⎨⎧-'=+'=4921y y x x 代入2x y -=得:22+--=x x y .
解法二:由题意和平移后的图形与
22--=x x y 交点关于原点对称,可知该图形上所有点都可以找到关于原点的对称点在另一图形上,因此只要找到特征点即可.
22--=x x y 的顶点为)49,21(-,它关于原点的对称点为(49,21-),即是新图形的顶点.
由于新图形由2
x y -=平移得到,所以平移向量为49049,21021=-=-=--=k h 以下同解法一.
20.解:(1)
.0)(])3[(.0,2=+-⋅-+=⋅∴⊥t k t 即Θ
).3(41,0)3(4,1,4,0222
2-==-+-∴===⋅t t k t t k 即Θ (2)由f (t )>0,得.303,0)3()3(,0)3(412><<-->+>-t t t t t t t 或则即。