概率论公式汇总
- 格式:pdf
- 大小:277.52 KB
- 文档页数:24
第一章P(A+B)=P(A)+P(B)- P(AB) 特别地,当A 、B 互斥时,P(A+B)=P(A)+P(B) 条件概率公式概率的乘法公式全概率公式:从原因计算结果Bayes 公式:从结果找原因第二章)()()|(B P AB P B A P =)|()()(B A P B P AB P =)|()(A B P A P =∑==nk k k B A P B P A P 1)|()()(∑==nk kki i k B A P B P B A P B P A B P 1)|()()|()()|(∑≤==≤=xk k X P x X P x F )()()(1),(0≤≤y x F },{),(y Y x X P y x F ≤≤=二项分布(Bernoulli 分布)——X~B(n,p)泊松分布——X~P(λ)概率密度函数怎样计算概率均匀分布X~U(a,b)指数分布X~Exp (θ)),...,1,0()1()(n k p p C k X P k n k k n =-==-,,...)1,0(!)(===-k e k k X P k,λλ1)(=⎰+∞∞-dx x f )(b X a P ≤≤⎰=≤≤badx x f b X a P )()()0(1)(/≥=-x e x f x θ)(1)(b x a ab x f ≤≤-=分布函数 对离散型随机变量对连续型随机变量分布函数与密度函数的重要关系:二元随机变量及其边缘分布 分布规律的描述方法联合密度函数 联合分布函数联合密度与边缘密度⎰∞-=≤=xdt t f x X P x F )()()(⎰∞-=≤=xdt t f x X P x F )()()(),(y x f ),(y x F 0),(≥y x f 1),(=⎰⎰+∞∞-+∞∞-dxdy y x f ⎰+∞∞-=dy y x f x f X ),()()()('x f x F =离散型随机变量的独立性连续型随机变量的独立性第三章 数学期望离散型随机变量,数学期望定义连续型随机变量,数学期望定义● E(a)=a ,其中a 为常数● E(a+bX)=a+bE(X),其中a 、b 为常数 ● E(X+Y)=E(X)+E(Y),X 、Y 为任意随机变量随机变量g(X)的数学期望⎰+∞∞-=dx y x f y f Y ),()(}{}{},{j Y P i X P j Y i X P =====)()(),(y f x f y x f Y X =∑+∞-∞=⋅=k kkP xX E )(⎰+∞∞-⋅=dxx f x X E )()(∑=kkk p x g X g E )())((常用公式方差 定义式常用计算式∑∑=ijiji p x X E )(dxdy y x xf X E ⎰⎰=),()()()()(Y E X E Y X E +=+∑∑=ijijj i p y x XY E )(dxdy y x xyf XY E ⎰⎰=),()()()()(,Y E X E XY E Y X =独立时与当()⎰+∞∞-⋅-=dx x f X E x X D )()()(2[]22)()()(X E X E X D -=常用公式当X 、Y 相互独立时:方差的性质D(a)=0,其中a 为常数D(a+bX)=b2D(X),其中a 、b 为常数 当X 、Y 相互独立时,D(X+Y)=D(X)+D(Y) 协方差与相关系数协方差的性质))}())(({(2)()()(Y E Y X E X E Y D X D Y X D --++=+)()()(Y D X D Y X D +=+)()()(),(Y E X E XY E Y X Cov -=)()(),(Y D X D Y X Cov XY=ρ[][]{})()()()()(Y E X E XY E Y E Y X E X E -=--())()()(),(22X D X E X E X X Cov =-=),(),(Y X abCov bY aX Cov =独立与相关 独立必定不相关 相关必定不独立 不相关不一定独立 第四章 正态分布标准正态分布的概率计算 标准正态分布的概率计算公式)()()(a a Z P a Z P Φ=<=≤)(1)()(a a Z P a Z P Φ-=>=≥)()()(a b b Z a P Φ-Φ=≤≤1)(2)()()(-Φ=-Φ-Φ=≤≤-a a a a Z a P 一般正态分布的概率计算),(),(),(Z Y Cov Z X Cov Z Y X Cov +=+),(~2σμN X 222)(21)(σμσπ--=x e x f 2)(,)(σμ==X D X E )(1)(a a -Φ-=Φ)1,0(~),(~2N X Z N X σμσμ-=⇔一般正态分布的概率计算公式第五章卡方分布t 分布F 分布 )()()(σμ-Φ=<=≤a a X P a X P )(1)()(σμ-Φ-=>=≥a a X P a X P )()()(σμσμ-Φ--Φ=≤≤a b b X a P )(~)1,0(~212n X N X ni i χ∑=,则若())(~1),,(~21222n Y N Y ni iχμσσμ∑=-则若),(~//),(~),(~21212212n n F n V n U n V n U 则若χχ则若),(~),1,0(~2n Y N X χ)(~/n t nY X正态总体条件下 样本均值的分布:样本方差的分布:两个正态总体的方差之比第六章点估计:参数的估计值为一个常数 矩估计 最大似然估计似然函数均值的区间估计——大样本结果),(~2nN X σμ)1,0(~/N nX σμ-)1(~)1(222--n S n χσ)1(~/--n t ns X μ)1,1(~//2122212221--n n F S S σσ);(1θi ni x f L ∏==);(1θi ni x p L ∏==⎪⎫⎛z x σα/—正态总体方差的区间估计⎪⎪⎭⎫ ⎝⎛-±n p p z p )1(2/α正态分布的分位点—大样本要求样本容量—样本比例—2/)50(αz n np >已知准差小样本、正态总体、标σ⎪⎭⎫ ⎝⎛±n z x σα2/未知准差小样本、正态总体、标σ⎪⎭⎫ ⎝⎛-±n s n t x )1(2/α分布的分位点的自由度为—t n n t 1)1(2/--α()22)1()1(--Sn Sn 样本方差—22S两个正态总体均值差的置信区间大样本或正态小样本且方差已知两个正态总体方差比的置信区间第七章假设检验的步骤① 根据具体问题提出原假设H0和备择假设H1② 根据假设选择检验统计量,并计算检验统计值③ 看检验统计值是否落在拒绝域,若落在拒绝域则拒绝原假设,否则就不拒绝原假设。
1、 A B AB A AB;AB A (B A)例: 证明:A B)B A AB AB A B.第一部分 概率论基本公式 概率论与数理统计基本公式证明: 由(A B) B ,知 B 不发生, A 发生,则 AB 不发生,从而 A B) B A AB 成立,也即 A B 成立,也即 A B 成立。
得证。
2、对偶率: A B A B ;A B A B.3、概率性率: (1) 有限可加: A 1、 A 2为不相容事件,则 P(A 1 A 2) P(A 1) P(A 2)P(A B)P(A)P(B);P(A) P(B)(3) 对任意两个事件有: P(AB) P(A)P(B) P(AB)例:已知: P(A) 0.5, P(AB) 0.2,P(B) 0.4.求:(1)P(AB);P(A B);P(A解: AB AB B,且B 、AB 是不相容事件, P(AB) P(AB) P(B) 即P(AB) 0.2.,又 P(A) 0.5, P(A B) P(A) P(AB) 0.3 P(A B) P(A) P(B) P(AB)0.7, P( AB) PA B 1 P(A B) 0.3.4、古典概P(A B) P(A) P(AB),特别, B A 时有: (2) B); P( AB )例: n 双鞋总共 2n 只,分为 n 堆,每堆为 2只,事件 A 每堆自成一双鞋的概率 2n (2-n 2))!!2!,自成一双为: n! C 22n解:分堆法: C 22n n !,则P(A) 5、条件概率 P(B| A)P(AB),称为在事件 A 条件下,事件 B 的条件概率, P(A)P(B)称为无条件概率。
乘法公式: P(AB) P(A)P(B |A) P(AB) P(B)P(A |B) 全概率公式:P(B) P(A i )P(B| A i ) i贝叶斯公式: P(A i |B)P(A i B)P(A i )P(B|A i )i P(B)P(A j )P(B |A j )j例:有三个罐子, 1号装有 2红1黑共 3个球, 2号装有 3红1黑 4个球, 3号装有 2红2黑 4 个球,某人随机从其中一罐,再从该罐中任取一个球, (1)求取得红球的概率; ( 2)如 果取得是红球,那么是从第一个罐中取出的概率为多少?解:(1)设B i {球取自 i 号罐 },i 1,2,3。
第一章随机事件和概率(1)排列组合公式从m个人中挑出n个人进行排列的可能数。
从m个人中挑出n个人进行组合的可能数。
(2)加法和乘法原理加法原理(两种方法均能完成此事):m+n某件事由两种方法来完成,第一种方法可由m种方法完成,第二种方法可由n 种方法来完成,则这件事可由m+n 种方法来完成。
乘法原理(两个步骤分别不能完成这件事):m×n某件事由两个步骤来完成,第一个步骤可由m种方法完成,第二个步骤可由n 种方法来完成,则这件事可由m×n 种方法来完成。
(3)一些常见排列重复排列和非重复排列(有序)对立事件(至少有一个)顺序问题(4)随机试验和随机事件如果一个试验在相同条件下可以重复进行,而每次试验的可能结果不止一个,但在进行一次试验之前却不能断言它出现哪个结果,则称这种试验为随机试验。
试验的可能结果称为随机事件。
(5)基本事件、样本空间和事件在一个试验下,不管事件有多少个,总可以从其中找出这样一组事件,它具有如下性质:①每进行一次试验,必须发生且只能发生这一组中的一个事件;②任何事件,都是由这一组中的部分事件组成的。
这样一组事件中的每一个事件称为基本事件,用来表示。
基本事件的全体,称为试验的样本空间,用表示。
一个事件就是由中的部分点(基本事件)组成的集合。
通常用大写字母A,B,C,…表示事件,它们是的子集。
为必然事件,Ø为不可能事件。
不可能事件(Ø)的概率为零,而概率为零的事件不一定是不可能事件;同理,必然事件(Ω)的概率为1,而概率为1的事件也不一定是必然事件。
(6)事件的关系与运算①关系:如果事件A的组成部分也是事件B的组成部分,(A发生必有事件B发生):如果同时有,,则称事件A与事件B等价,或称A等于B:A=B。
A、B中至少有一个发生的事件:A B,或者A+B。
属于A而不属于B的部分所构成的事件,称为A与B的差,记为A-B,也可表示为A-AB或者,它表示A发生而B不发生的事件。
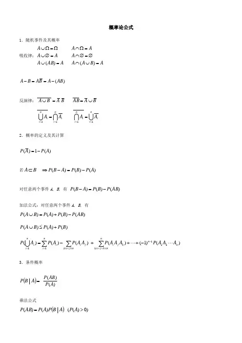
概率论公式1.随机事件及其概率吸收律:AAB A A A A =⋃=∅⋃Ω=Ω⋃)( AB A A A A A =⋃⋂∅=∅⋂=Ω⋂)( )(AB A B A B A -==-反演律:B A B A =⋃ B A AB ⋃=n i i n i i A A 11=== ni in i i A A 11===2.概率的定义及其计算)(1)(A P A P -=若B A ⊂ )()()(A P B P A B P -=-⇒对任意两个事件A , B , 有 )()()(AB P B P A B P -=-加法公式:对任意两个事件A , B , 有)()()()(AB P B P A P B A P -+=⋃)()()(B P A P B A P +≤⋃)()1()()()()(2111111n n n n k j i k j i n j i j i n i i n i i A A A P A A A P A A P A P A P -≤<<≤≤<≤==-+++-=∑∑∑3.条件概率()=A B P)()(A P AB P乘法公式 ())0)(()()(>=A P A B P A P AB P()())0)(()()(12112112121>=--n n n n A A A P A A A A P A A P A P A A A P全概率公式 ∑==n i i AB P A P 1)()( )()(1i ni i B A P B P ⋅=∑=Bayes 公式)(A B P k )()(A P AB P k = ∑==n i i i k k B A P B P B A P B P 1)()()()(4.随机变量及其分布分布函数计算)()()()()(a F b F a X P b X P b X a P -=≤-≤=≤<5.离散型随机变量(1) 0 – 1 分布1,0,)1()(1=-==-k p p k X P k k(2) 二项分布 ),(p n B若P ( A ) = pn k p p C k X P k n k k n ,,1,0,)1()( =-==-*Possion 定理0lim >=∞→λn n np 有 ,2,1,0!)1(lim ==---∞→k k e p p C kk n n k n kn n λλ(3) Poisson 分布 )(λP,2,1,0,!)(===-k k e k X P kλλ6.连续型随机变量(1) 均匀分布 ),(b a U⎪⎩⎪⎨⎧<<-=其他,0,1)(b x a ab x f ⎪⎪⎩⎪⎪⎨⎧--=1,,0)(a b a x x F(2) 指数分布 )(λE⎪⎩⎪⎨⎧>=-其他,00,)(x e x f x λλ ⎩⎨⎧≥-<=-0,10,0)(x e x x F x λ(3) 正态分布 N (m , s 2 )+∞<<∞-=--x e x f x 222)(21)(σμσπ⎰∞---=x t t e x F d 21)(222)(σμσπ*N (0,1) — 标准正态分布 +∞<<∞-=-x e x x 2221)(πϕ +∞<<∞-=Φ⎰∞--x t e x xt d 21)(22π7.多维随机变量及其分布二维随机变量( X ,Y )的分布函数⎰⎰∞-∞-=xy dvdu v u f y x F ),(),(边缘分布函数与边缘密度函数⎰⎰∞-+∞∞-=xX dvdu v u f x F ),()( ⎰+∞∞-=dv v x f x f X ),()( ⎰⎰∞-+∞∞-=y Y dudv v u f y F ),()(⎰+∞∞-=du y u f y f Y ),()(8.连续型二维随机变量(1) 区域G 上的均匀分布,U ( G ) ⎪⎩⎪⎨⎧∈=其他,0),(,1),(G y x A y x f(2)二维正态分布+∞<<-∞+∞<<∞-⨯-=⎥⎥⎦⎤⎢⎢⎣⎡-+------y x e y x f y y x x ,121),(2222212121212)())((2)()1(21221σμσσμμρσμρρσπσ9.二维随机变量的 条件分布 0)()()(),(>=x f x y f x f y x f X X Y X 0)()()(>=y f y x f y f Y Y X Y ⎰⎰+∞∞-+∞∞-==dy y f y x f dy y x f x f Y Y X X )()(),()( ⎰⎰+∞∞-+∞∞-==dx x f x y f dx y x f y f X X Y Y )()(),()( )(y x f Y X )(),(y f y x f Y = )()()(y f x f x y f Y X X Y =)(x y f X Y )(),(x f y x f X = )()()(x f y f y x f X Y Y X =10.随机变量的数字特征数学期望 ∑+∞==1)(k k k p x X E⎰+∞∞-=dx x xf X E )()(随机变量函数的数学期望X 的 k 阶原点矩)(k X EX 的 k 阶绝对原点矩)|(|k X EX 的 k 阶中心矩)))(((k X E X E -X 的 方差)()))(((2X D X E X E =-X ,Y 的 k + l 阶混合原点矩)(l k Y X EX ,Y 的 k + l 阶混合中心矩()l k Y E Y X E X E ))(())((--X ,Y 的 二阶混合原点矩)(XY EX ,Y 的二阶混合中心矩 X ,Y 的协方差()))())(((Y E Y X E X E --X ,Y 的相关系数XY Y D X D Y E Y X E X E ρ=⎪⎪⎭⎫ ⎝⎛--)()())())(((X 的方差D (X ) =E ((X - E (X ))2))()()(22X E X E X D -=协方差()))())(((),cov(Y E Y X E X E Y X --=)()()(Y E X E XY E -= ())()()(21Y D X D Y X D --±±= 相关系数)()(),cov(Y D X D Y X XY =ρ(注:素材和资料部分来自网络,供参考。
概率论公式大全(2011版)1.随机事件及其概率吸收律:A AB A A A A =⋃=∅⋃Ω=Ω⋃)( AB A A A AA =⋃⋂∅=∅⋂=Ω⋂)()(AB A B A B A -==-反演律:B A B A =⋃ B A AB ⋃=n i i n i i A A 11=== ni in i i A A 11===2.概率的定义及其计算)(1)(A P A P -=若B A ⊂ )()()(A P B P A B P -=-⇒对任意两个事件A , B , 有 )()()(AB P B P A B P -=-加法公式:对任意两个事件A , B , 有)()()()(AB P B P A P B A P -+=⋃)()()(B P A P B A P +≤⋃)()1()()()()(2111111n n n n k j i k j i n j i j i n i i n i i A A A P A A A P A A P A P A P -≤<<≤≤<≤==-+++-=∑∑∑3.条件概率()=A B P)()(A P AB P乘法公式 ())0)(()()(>=A P A B P A P AB P()())0)(()()(12112112121>=--n n n n A A A P A A A A P A A P A P A A A P全概率公式∑==n i i AB P A P 1)()( )()(1i ni i B A P B P ⋅=∑=Bayes 公式)(A B P k )()(A P AB P k = ∑==n i i i k k B A P B P B A P B P 1)()()()(4.随机变量及其分布分布函数计算)()()()()(a F b F a X P b X P b X a P -=≤-≤=≤<5.离散型随机变量(1) 0 – 1 分布1,0,)1()(1=-==-k p p k X P k k(2) 二项分布 ),(p n B若P ( A ) = pn k p p C k X P k n kk n ,,1,0,)1()( =-==-* Possion 定理0lim >=∞→λn n np有,2,1,0!)1(l i m ==---∞→k k e p p C kk n n k n k n n λλ(3) Poisson 分布 )(λP,2,1,0,!)(===-k k e k X P kλλ6.连续型随机变量(1) 均匀分布 ),(b a U⎪⎩⎪⎨⎧<<-=其他,0,1)(b x a a b x f⎪⎪⎩⎪⎪⎨⎧--=1,,0)(a b ax x F(2) 指数分布 )(λE⎪⎩⎪⎨⎧>=-其他,00,)(x e x f x λλ⎩⎨⎧≥-<=-0,10,0)(x e x x F x λ(3) 正态分布 N (μ , σ 2 )+∞<<∞-=--x e x f x 222)(21)(σμσπ⎰∞---=x t t e x F d 21)(222)(σμσπ* N (0,1) — 标准正态分布 +∞<<∞-=-x e x x 2221)(πϕ +∞<<∞-=Φ⎰∞--x t e x x t d 21)(22π7.多维随机变量及其分布二维随机变量( X ,Y )的分布函数⎰⎰∞-∞-=xy dvdu v u f y x F ),(),(边缘分布函数与边缘密度函数⎰⎰∞-+∞∞-=xX dvdu v u f x F ),()( ⎰+∞∞-=dv v x f x f X ),()( ⎰⎰∞-+∞∞-=y Y dudv v u f y F ),()( ⎰+∞∞-=du y u f y f Y ),()(8.连续型二维随机变量(1) 区域G 上的均匀分布,U ( G ) ⎪⎩⎪⎨⎧∈=其他,0),(,1),(G y x A y x f(2) 二维正态分布+∞<<-∞+∞<<∞-⨯-=⎥⎥⎦⎤⎢⎢⎣⎡-+------y x e y x f y y x x ,121),(2222212121212)())((2)()1(21221σμσσμμρσμρρσπσ9.二维随机变量的 条件分布 0)()()(),(>=x f x y f x f y x f X X Y X0)()()(>=y f y x f y f Y Y X Y ⎰⎰+∞∞-+∞∞-==dy y f y x f dy y x f x f Y Y X X )()(),()( ⎰⎰+∞∞-+∞∞-==dx x f x y f dx y x f y f X X Y Y )()(),()()(y x f Y X )(),(y f y x f Y = )()()(y f x f x y f Y X X Y = )(x y f X Y )(),(x f y x f X = )()()(x f y f y x f X Y Y X =10.随机变量的数字特征数学期望∑+∞==1)(k k k p x X E⎰+∞∞-=dx x xf X E )()(随机变量函数的数学期望X 的 k 阶原点矩)(k X EX 的 k 阶绝对原点矩)|(|k X EX 的 k 阶中心矩)))(((k X E X E -X 的 方差)()))(((2X D X E X E =-X ,Y 的 k + l 阶混合原点矩)(l k Y X EX ,Y 的 k + l 阶混合中心矩()l k Y E Y X E X E ))(())((--X ,Y 的 二阶混合原点矩)(XY EX ,Y 的二阶混合中心矩 X ,Y 的协方差()))())(((Y E Y X E X E --X ,Y 的相关系数XY Y D X D Y E Y X E X E ρ=⎪⎪⎭⎫⎝⎛--)()())())(((X 的方差D (X ) =E ((X - E (X ))2))()()(22X E X E X D -=协方差()))())(((),cov(Y E Y X E X E Y X --=)()()(Y E X E XY E -= ())()()(21Y D X D Y X D --±±= 相关系数)()(),cov(Y D X D Y X XY =ρ……………………………………………………………………………………………………………………………。
概率论的公式大全1.基本概率公式:对于一个随机事件A,它发生的概率(记作P(A))等于A包含的元素数目除以样本空间中元素的总数目。
P(A)=个数(A)/个数(样本空间)2.条件概率公式:对于两个事件A和B,如果B已经发生,则A发生的概率记作P(A,B)。
P(A,B)=P(A交B)/P(B)3.全概率公式:对于一系列互不相容的事件B1,B2,...,Bn,它们的并集等于样本空间,那么对于另一个事件A,可以用条件概率公式表示为:P(A)=Σ(P(A,Bi)*P(Bi)),i=1到n4.贝叶斯定理:对于一系列互不相容的事件B1,B2,...,Bn,它们的并集等于样本空间,那么对于另一个事件A,可以用条件概率公式表示为:P(Bi,A)=(P(A,Bi)*P(Bi))/Σ(P(A,Bj)*P(Bj)),j=1到n5.独立事件公式:对于两个事件A和B,如果它们相互独立(即A的发生与B的发生没有任何关系),则它们的联合概率等于它们的乘积。
P(A交B)=P(A)*P(B)6.乘法公式:对于一系列独立事件A1,A2,...,An,它们的概率等于各个事件发生的概率的乘积。
P(A1交A2交...交An)=P(A1)*P(A2)*...*P(An)7.加法公式:对于两个事件A和B,它们的并集的概率等于各个事件发生的概率之和减去它们的交集的概率。
P(A并B)=P(A)+P(B)-P(A交B)8.期望值公式:对于一个随机变量X和它的概率分布P(X),它的期望值可以表示为:E(X)=Σ(Xi*P(Xi))9.方差公式:对于一个随机变量X和它的期望值E(X),它的方差可以表示为:Var(X) = Σ((Xi - E(X))^2 * P(Xi)),i为X的取值范围内的索引10.协方差公式:对于两个随机变量X和Y,它们的协方差可以表示为:Cov(X, Y) = E((X - E(X)) * (Y - E(Y)))11.相关系数公式:对于两个随机变量X和Y,它们的相关系数可以表示为:Corr(X, Y) = Cov(X, Y) / (σ(X) * σ(Y)),其中σ(X)和σ(Y)分别是X和Y的标准差12.大数定律:对于独立同分布的随机变量序列X1,X2,...,Xn,当n趋向于无穷大时,它们的算术平均值逐渐接近它们的期望值。
第一章随机事件和概率(1)排列组合公式从m个人中挑出n个人进行排列的可能数。
从m个人中挑出n个人进行组合的可能数。
(2)加法和乘法原理加法原理(两种方法均能完成此事):m+n某件事由两种方法来完成,第一种方法可由m种方法完成,第二种方法可由n 种方法来完成,则这件事可由m+n 种方法来完成。
乘法原理(两个步骤分别不能完成这件事):m×n某件事由两个步骤来完成,第一个步骤可由m种方法完成,第二个步骤可由n 种方法来完成,则这件事可由m×n 种方法来完成。
(3)一些常见排列重复排列和非重复排列(有序)对立事件(至少有一个)顺序问题(4)随机试验和随机事件如果一个试验在相同条件下可以重复进行,而每次试验的可能结果不止一个,但在进行一次试验之前却不能断言它出现哪个结果,则称这种试验为随机试验。
试验的可能结果称为随机事件。
(5)基本事件、样本空间和事件在一个试验下,不管事件有多少个,总可以从其中找出这样一组事件,它具有如下性质:①每进行一次试验,必须发生且只能发生这一组中的一个事件;②任何事件,都是由这一组中的部分事件组成的。
这样一组事件中的每一个事件称为基本事件,用来表示。
基本事件的全体,称为试验的样本空间,用表示。
一个事件就是由中的部分点(基本事件)组成的集合。
通常用大写字母A,B,C,…表示事件,它们是的子集。
为必然事件,Ø为不可能事件。
不可能事件(Ø)的概率为零,而概率为零的事件不一定是不可能事件;同理,必然事件(Ω)的概率为1,而概率为1的事件也不一定是必然事件。
(6)事件的关系与运算①关系:如果事件A的组成部分也是事件B的组成部分,(A发生必有事件B发生):如果同时有,,则称事件A与事件B等价,或称A等于B:A=B。
A、B中至少有一个发生的事件:A B,或者A+B。
属于A而不属于B的部分所构成的事件,称为A与B的差,记为A-B,也可表示为A-AB或者,它表示A发生而B不发生的事件。
概率论常⽤公式 有些概率公式常常会⼀段时间内要⽤到,但是有经常忘记,这⾥备注⼀下1、乘法法则 p\left ( x,y \right )=p\left ( x|y \right )p\left ( y \right )=p\left ( y|x \right )p\left ( x \right ) 实际上就是条件概率公式的⼀个等价形式2、独⽴性 如果x和y是相互独⽴的,那么有: p\left ( x, y \right ) = p\left ( x\right )p\left ( y\right )3、贝叶斯规则(Bayes' Rule) 贝叶斯规则⼜成为贝叶斯公式,在许多领域都有着⼴泛的应⽤,其公式如下: p\left ( y|x \right )=\frac{p\left ( x|y \right )p\left ( y \right )}{p\left ( x \right )} 分母是标准化常数,⽤于确保左边的后验概率其所有可能的值之和为1。
因此,我们通常可写成: p\left ( y|x \right )=\eta p\left ( x|y \right )p\left ( x \right ) 在给定背景知识e给定的情况下,贝叶斯变成:p\left ( y|x,e \right )=\frac{p\left ( x|y,e \right )p\left ( y|e \right )}{p\left ( x|e \right )}4、边缘化 边缘概率公式如下: p\left ( x \right )= \int_{y}^{ } p\left ( x,y \right )dy 在离散的情况下,积分变成求和: p\left ( x \right )= \sum_{y}^{ } p\left ( x,y \right ) 5、全概率法则 全概率是边缘概率的⼀种变体,能通过乘法法则推导⽽来,即: p\left ( x \right )= \int_{y}^{ } p\left ( x|y \right )p\left ( y \right )dy 且,对于离散情况则为相应概率之和,即: p\left ( x \right )= \sum_{y}^{ } p\left ( x|y \right )p\left ( y \right )dy 对于连续情况,条件概率的全概率公式:p\left ( x|y \right )= \int_{z}^{ } p\left ( x|y,z \right )p\left ( z|y \right )dz 对于离散情况,条件概率的全概率公式:p\left ( x|y \right )= \sum_{z}^{ } p\left ( x|y,z \right )p\left ( z|y \right )dz6、马尔科夫假设 马尔科夫假设是指变量x_{t},只与它直接的前⼀时刻状态x_{t-1}有关,和x_{t^{‘}-1}⽆关,其中t^{'}<t-1,则有 p\left ( x_{t}|x_{1:t-1} \right )= p\left(x_{t}|x_{t-1} \right)latax公式编辑器:,博客园只需要在选项中勾选⼀下“”即可。
概率论的公式大全概率论是数学的一个分支,研究随机事件发生的概率。
以下是概率论中常用的公式。
1.基本概率公式:P(A)=n(A)/n(S)其中,P(A)表示事件A发生的概率,n(A)表示事件A的样本空间中的有利结果数量,n(S)表示样本空间中的总结果数量。
2.加法公式:P(A或B)=P(A)+P(B)-P(A且B)其中,P(A或B)表示事件A或事件B发生的概率,P(A且B)表示事件A和事件B同时发生的概率。
3.乘法公式:P(A且B)=P(A)×P(B,A)其中,P(B,A)表示在事件A发生的条件下,事件B发生的概率。
4.条件概率公式:P(A,B)=P(A且B)/P(B)其中,P(A,B)表示在事件B发生的条件下,事件A发生的概率。
5.全概率公式:P(A)=Σ(P(A,Bi)×P(Bi))其中,P(A)表示事件A的概率,Bi表示S的一个划分,P(A,Bi)表示在事件Bi发生的条件下,事件A发生的概率,P(Bi)表示事件Bi的概率。
6.贝叶斯公式:P(Bi,A)=(P(A,Bi)×P(Bi))/Σ(P(A,Bj)×P(Bj))其中,P(Bi,A)表示在事件A发生的条件下,事件Bi发生的概率,P(A,Bi)表示在事件Bi发生的条件下,事件A发生的概率,P(Bi)表示事件Bi的概率。
7.期望值公式:E(X)=Σ(Xi×P(Xi))其中,E(X)表示随机变量X的期望值,Xi表示X的取值,P(Xi)表示X取值为Xi的概率。
8.方差公式:Var(X) = Σ((Xi - E(X))^2 × P(Xi))其中,Var(X)表示随机变量X的方差,Xi表示X的取值,E(X)表示X 的期望值,P(Xi)表示X取值为Xi的概率。
9.标准差公式:SD(X) = √Var(X)其中,SD(X)表示随机变量X的标准差,Var(X)表示X的方差。
10.二项分布的概率公式:P(X=k)=C(n,k)×p^k×(1-p)^(n-k)其中,P(X=k)表示X取值为k的概率,C(n,k)表示组合数,p表示单次实验成功的概率,n表示试验重复的次数,k表示成功发生的次数。
概率论的公式大全一、基本概率公式:1.定义概率公式:对于任意事件A,概率P(A)的范围是[0,1]。
2.互补事件概率公式:对于任意事件A,概率P(A')=1-P(A)。
3.空集概率公式:对于空集Φ,概率P(Φ)=0。
二、条件概率公式:4.定义条件概率公式:对于事件A和B,当P(B)>0时,条件概率P(A,B)=P(A∩B)/P(B)。
5.乘法公式:对于事件A和B,P(A∩B)=P(A,B)·P(B)。
三、独立事件公式:6.独立事件公式:对于事件A和B,当P(A)>0且P(B)>0,事件A和事件B相互独立的充要条件是P(A∩B)=P(A)·P(B)。
7.乘法公式(多个独立事件):对于事件A1,A2,...,An,P(A1∩A2∩...∩An)=P(A1)·P(A2)·...·P(An)。
四、加法公式:8.加法公式(两个互不相容事件):对于事件A和B,当A和B互不相容(即A∩B=Φ)时,P(A∪B)=P(A)+P(B)。
9.加法公式(两个一般事件):对于事件A和B,P(A∪B)=P(A)+P(B)-P(A∩B)。
五、全概率公式:10.全概率公式:对于任意一系列互不相容的事件B1,B2,...,Bn,且每个事件Bi的概率大于0且小于1,且它们的并集为样本空间S,则对于任意事件A,有P(A)=Σ[P(A,Bi)·P(Bi)],其中Σ表示求和。
六、贝叶斯公式:11.贝叶斯公式:对于事件A和一系列互不相容的事件B1,B2,...,Bn,且每个事件Bi的概率大于0且小于1,且它们的并集为样本空间S,则对于任意事件A,有P(Bi,A)=P(A,Bi)·P(Bi)/[Σ[P(A,Bj)·P(Bj)]],其中Σ表示求和。
七、期望与方差公式:12.期望公式:对于随机变量X的概率分布函数P(x),它的期望E(X)定义为E(X)=Σ[x·P(x)],其中Σ表示求和。
概率公式整理1.随机事件及其梅率/I kjQ = Q吸收律,= JAu(Afi) = AP(A) = l-P(A)若 4uB=>P(B-4) = P(B)-P(A)对任意两个事件< B.有P(B-A) = P(B) - P(AB)加法公式,对任意两个事件4,乩有P (AuB ) = P (A )^P (H )-P (Afi )P (A<J B )<P (A ) + P (B}p (Ck )=£p(T )—+ £P (4也d )+・+(T )zpsd …月”)c=l i«ll£i< j<k<M3. 条件摄率P{B\A )=琴晋桑法公式I \AB }=P (A )T \B \A )(/yj )>o ) P (仏…4, K 4 )应2⑷…P ( &⑷2…<l )(P (仆2・・4)>0)全權率公式 P (/)= £P (MJ =£p(^).p (/f|^)/=! ZBg 公式他代需=严皿反演 AuB = AB2.權率的定义及其计算~AB -A <JB U4=n7p|4=u^/=i r=iz=i 心 iAr\Cl = A /fr>0 = 0 Ar\(Au fi) = AA-B = AB = A-(AB)%)£P(E)P(衲)4. 随机变量及其分布P(a<X< b) = P(X </>)-P(X < a)=F(b)-F(a)5. 离散型廈机变量(1) U-l 分布 P(% = A) = /?*(l-p)*-*,= 0,1⑵二项分布 3(仏p)若 P(/O=p ,P(X = k) = C^p k (\-pY \ k6. 连续型随机变童分布函数计算* Pnssion 定理 liin np n = A > 0 •有C» 几"几)n->x/f-A一& =e —— k\k = 0」Z …(3) Poisson 分布 P(A)p (X=k) = eA Ar!(1)均匀分布 V(a.b) f(x) = \b-a^a<x<b0,()•其他⑵指数分布E") f(x) =x>0其他 F (X )=\^e0、 x<0严,xAO⑶正杰分布N(〃Y 2)!- (•匕"F-oc < x < +oc F(x)=* A(0J)—标准正态分布(p(x) = -j —-e 2-oo<x < +oo ①(x) = J e Q -oo <x < +oo7•多维廈机变童及英分布二维廈机变童(X")的分布函数 F(x,y)=匸匸/("Md v边螺分布函数与边垛密度函数(A )=匸 £ V(w,v)JvJw f x (x) = [:/(x,")dv& 连续型二维蘆机变量(1)区域G上的均匀分布,U(G)1-/ra (2)二维正态分布/(X」)=]2zzcr1cr2^Jl — p2OO < X < +8,—8 < y < +89. 二维随机变量的条件分布/(x, y)=f x(x)f Y\x(川)f x=AC V)A|K(4^ AW>0fxM =匚f(x9y)dy =匚/即(巾)•斤(刃妙f Y(y)=匚/(•皿=匚屁(y\x Vx(x)dx•ZW) A(v) •A|,Y3X)/Y(X) -fAy)-几(y|x)= /(2)心(巾”2)JxMio敦学期望E(X) = [〉r(x)dxG★•1Rt机变量議敷的效学期望X 的A 阶原点矩E(X k )X 的Jt 阶绝对原点矩E(\ X I*)X 的A 阶中心矩 E((X-E(X))k )X 的方差 Zf((Z-£(X))2)=D(%) X,F 的阶混合原点矩 E(XW)X,y 的 A + / 阶混合中心矩 £((%-E (x ))x (r-E (y ))/) X 』的二阶混合原点矩 E(XY)X,y 的二阶混合中心矩X.}的协方差 E ((X-E(X))(Y-E(Y)))X 的方差 D(X)-E((X-E(X))2) D(X) = E(X 2)-E 2(X}协方差 cov( Y, Y) = E ((X-E(x)x y-£(y»)= E( AT) - E(X)E(Y)= ±-(D(X±Y)-D(X)-D(Y))相犬呑数P VTX 」•的相关系数(X-E(X))(y-E(K))lcov(x±r)y[D(X)4D(Y)。