七年级数学上册1.4.1.2+有理数的加法(第2课时)提技能+题组训练(新版)湘教版
- 格式:doc
- 大小:324.00 KB
- 文档页数:4
七年级数学上册1.4有理数的加法和减法1.4.1第2课时有理数加法的运算律教案2新版湘教版第一篇:七年级数学上册1.4有理数的加法和减法1.4.1第2课时有理数加法的运算律教案2新版湘教版1.4 有理数的加法和减法1.4.1 有理数的加法第2课时有理数加法的运算律教学目标:1、知识与技能: 理解有理数加法的运算律,能熟练地运用运算律简化有理数加法的运算,能灵活运用有理数的加法解决简单实际问题。
2、过程与方法: 经过有理数加法运算律的探索过程,了解加法的运算律,能用运算律简化运算。
重点、难点:1、重点:运算律的理解及合理、灵活的运用。
2、难点:合理运用运算律。
教学过程:一、创设情景,导入新课1、叙述有理数的加法法则。
2、“有理数加法”与小学里学过的数的加法有什么区别和联系?答:进行有理数加法运算,先要根据具体情况正确地选用法则,确定和的符号,这与小学里学过的数的加法是不同的;而计算“和”的绝对值,用的是小学里学过的加法或减法运算。
二、合作交流,解读探究1、计算下列各题,并说明是根据哪一条运算法则?(1)(-9.18)+6.18;(2)6.18+(-9.18);(3)(-2.37)+(-4.63)2、计算下列各题:(1)[8+(-5)]+(-4);(2)8+[(-5)+(-4)];(3)[(-7)+(-10)]+(-11);(4)(-7)+[(-10)+(-11)];(5)[(-22)+(-27)]+(+27);(6)(-22)+[(-27)+(+27)].通过上面练习,引导学生得出:交换律——两个有理数相加,交换加数的位置,和不变。
用代数式表示上面一段话:a+b=b+a 运算律式子中的字母a,b表示任意的一个有理数,可以是正数,也可以是负数或者零.在同一个式子中,同一个字母表示同一个数。
结合律——三个数相加,先把前两个数相加,或者先把后两个数相加,和不变.用代数式表示上面一段话:(a+b)+c=a+(b+c)这里a,b,c表示任意三个有理数。
1.4 有理数的加法和减法1.4.1 有理数的加法第2课时有理数加法的运算律教学目标:1、知识与技能:理解有理数加法的运算律,能熟练地运用运算律简化有理数加法的运算,能灵活运用有理数的加法解决简单实际问题。
2、过程与方法:经过有理数加法运算律的探索过程,了解加法的运算律,能用运算律简化运算。
重点、难点:1、重点:运算律的理解及合理、灵活的运用。
2、难点:合理运用运算律。
教学过程:一、创设情景,导入新课1、叙述有理数的加法法则。
2、“有理数加法”与小学里学过的数的加法有什么区别和联系?答:进行有理数加法运算,先要根据具体情况正确地选用法则,确定和的符号,这与小学里学过的数的加法是不同的;而计算“和”的绝对值,用的是小学里学过的加法或减法运算。
二、合作交流,解读探究1、计算下列各题,并说明是根据哪一条运算法则?(1) (-9. 18)+6.18; (2) 6.18+(-9.18); (3) (-2.37)+(-4.63)2、计算下列各题:(1) [8+(-5)]+(-4); (2) 8+[(-5)+(-4)];(3) [(-7)+(-10)]+( -11); (4) (-7)+[(-10)+(-11)];(5) [ (-22)+(-27)]+(+27);(6) (-22)+[(-27)+(+27)].通过上面练习,引导学生得出:交换律——两个有理数相加,交换加数的位置,和不变。
用代数式表示上面一段话:a+b=b+a运算律式子中的字母a,b表示任意的一个有理数,可以是正数,也可以是负数或者零.在同一个式子中,同一个字母表示同一个数。
结合律——三个数相加,先把前两个数相加,或者先把后两个数相加,和不变.用代数式表示上面一段话:(a+b)+c=a+(b+c)这里a,b,c表示任意三个有理数。
根据加法交换律和结合律可以推出:三个以上的有理数相加,可以任意交换加数的位置,也可以先把其中的几个数相加。
三、应用迁移,巩固提高例(P22例2) 计算:(1) 33+(-2)+7+(-8)(2) 4.375+(-82)+( -4.375)引导学生发现,在本例中,把正数与负数分别结合在一起再相加,有相反数的先把相反数相加;能凑整的先凑整;有分母相同的,先把同分母的数相加,计算就比较简便。
有理数的加法(第2课时)(30分钟50分)一、选择题(每小题4分,共12分)1.(·湖州模拟)计算112+(−111)+113+(−112)+114+(−113)+115+(−114)的结果为( )A.4167B.-4165C.26165D.以上都不正确【解析】选B.题中有三对互为相反数,运用运算律后,原式=(−111)+115=-4165.2.运用加法运算律计算(+613)+(-18)+(+423)+(-6.8)+18+(-3.2),最适当的是( )A.[(+613)+(423)+18]+[(-18)+(-6.8)+(-3.2)]B.[(+613)+(−6.8)+(423)]+[(-18)+18+(-3.2)]C.[(+613)+(−18)]+(+423)+(-6.8)+[18+(-3.2)]D.[(+613)+(+423)]+[(-18)+18]+[(-3.2)+(-6.8)]【解析】选D.同分母的相结合、互为相反数的相结合、两数和为整数的相结合,综上选项D 最适当.3.10名学生参加数学竞赛,以80分为标准,超过80分记为正数,不足80分记为负数,得分记录如下(单位:分):+10,+15,-10,-9,-8,-1,+2,-3,-2,+1,则这10名同学的总分是( ) A.795分 B.785分C.775分D.765分【解析】选A.10+(+15)+(-10)+(-9)+(-8)+(-1)+(+2)+(-3)+(-2)+(+1)=-5,所以这10名同学的总分为:80×10+(-5)=795(分).二、填空题(每小题4分,共12分)4.若m,n互为相反数,则|m+(-2)+n|= .【解析】因为m,n互为相反数,所以m+n=0,所以|m+(-2)+n|=|(m+n)+(-2)|=|-2|=2.答案:25.(2014·北京四中质检)计算:1+(-2)+3+(-4)+5+(-6)+…+99+(-100)= .【解题指南】相邻两个数一正一负间隔出现,从第一个数开始两个数为一组,它们的和为-1,且刚好分为50组.【解析】1+(-2)+3+(-4)+5+(-6)+…+99+(-100)=[1+(-2)]+[3+(-4)]+[5+(-6)]+…+[99+(-100)]=(-1)+(-1)+(-1)+…+(-1)=-50.答案:-50【变式训练】把题目问题转化为实际问题(2014·银川模拟)一只电子跳蚤从数轴的原点O出发,第一次向右跳1cm,第二次向左跳2cm,第三次向右跳3cm,第四次向左跳4cm,……,按这样的规律跳100次,跳蚤到O的距离是cm.【解析】规定向右跳为正,则(+1)+(-2)+(+3)+(-4)+…+(+99)+(-100)=[(+1)+(-2)]+[(+3)+(-4)]+…+[(+99)+(-100)]=-1+(-1)+…+(-1)=-50.因为︱-50︱=50,所以跳蚤到O的距离是50cm.答案:506.(2014·包头模拟)已知︱a︱=1,︱b︱=2,︱c︱=3且a>b>c,则a+b+c的值为. 【解题指南】解答本题的两个关键1.先确定绝对值是1,2,3的数.2.再根据条件a>b>c确定a,b,c的值,注意有两种情况,不能有遗漏.【解析】由|a|=1,|b|=2,|c|=3,得a=±1,b=±2,c=±3,因为a>b>c,所以a=1,b=-2,c=-3或a=-1,b=-2,c=-3,所以a+b+c=1+(-2)+(-3)=-4,或a+b+c=(-1)+(-2)+(-3)=-6.答案:-4或-6三、解答题(共26分)7.(9分)计算.(1)(-0.7)+(-0.4)+1+(-0.3)+0.5.(2)(+15)+(-20)+(+28)+(-10)+(-5)+(-7).(3)278+[(−2712)+535]+(−178)+225+(−3112). 【解析】(1)原式=[(-0.7)+(-0.3)+1]+[(-0.4)+0.5]=[(-1)+1]+0.1=0.1. (2)原式=[(-10)+(-5)+(+15)]+[(-20)+(-7)+(+28)] =[(-15)+(+15)]+[(-27)+(+28)]=0+1=1. (3)原式=[(278)+(−178)]+ [(−2712)+(−3112)]+(535+225)=1-523+8=313.8.(8分)一个水利勘察队,第一天沿江向上游走512km,第二天又向上游走513km,第三天又向下游走423km,第四天又向下游走512km.试计算:(1)这个勘察队四天一共行程是多少km?(2)第四天末,这个勘察队在出发点的上游还是下游,距离出发点多远?【解题指南】这个勘察队四天一共行程只需把这四个有理数加起来即可;根据正负数表示相反意义的量,规定向上游走为正,向下游走为负,得到四个有理数,把这四个有理数相加,所得和为正,则在出发点的上游,所得和为负,则在出发点的下游. 【解析】(1)512+513+423+512=(512+512)+(513+423)=11+10 =21(km).答:勘察队四天的总行程为21km. (2)512+513+(−423)+(−512)=23(km).答:第四天末,这个勘察队在出发点的上游,距离出发点23km. 【培优训练】9.(9分)阅读(1)中的方法,计算第(2)小题. (1)-556+(−923)+(−312)+1734.解:原式=[(−5)+(−56)]+[(−9)+(−23)]+[(−3)+(−12)]+(17+34)=[(-5)+(-9)+(-3)+17]+[(−56)+(−23)+(−12)+34]=0+(−54)=-54. (2)上述这种方法叫做拆项法,依照上述方法计算:(−2 01556)+(−2 01423)+4029+(−112).【解析】(−2 01556)+(−2 01423)+4029+(−112) =[(−2 015)+(−56)]+(-2014)+(−23)+4029+[(−1)+(−12)]=[(-2015)+(-2014)+(-1)+4029]+[(−56)+(−23)+(−12)]=-1+(-2)=-3.。
1.4.1.1 有理数的加法(第1课时)提技能·题组训练有理数的加法1.计算(-3)+(-9)的结果是( )A.12B.-12C.6D.-6【解析】选B.(-3)+(-9)=-(3+9)=-12.2.计算(+2)+(-3)所得的结果是( )A.1B.-1C.5D.-5【解析】选B.(+2)+(-3)=-(3-2)=-1.3.若a与2互为相反数,则|a+2|等于( )A.0B.-2C.2D.4【解析】选A.因为a与2互为相反数,所以a+2=0,所以|a+2|=|0|=0.【知识归纳】互为相反数与和为0的关系1.若两个数互为相反数,则它们的和为0.2.若两个数的和是0,则这两个数互为相反数.4.两数相加,其和小于每一个加数,那么( )A.这两个加数一定有一个为0B.这两个加数一正一负,且负数的绝对值较大C.这两个加数一定都是负数D.这两个加数的符号不能确定【解析】选C.选项A中的和等于不是零的那个加数;选项B中的和是负数但大于是负数的加数;两个负数的和小于每一个加数.5. 2+(-1)= .【解析】2+(-1)=1.答案:1【变式训练】计算:+= .【解析】+=+=-.答案:-6.计算:(1)(+15)+(-8).(2)(-0.6)+(-2.3).(3)1+.【解析】(1)(+15)+(-8)=+(15-8)=7.(2)(-0.6)+(-2.3)=-(0.6+2.3)=-2.9.(3)1+(-)=+(-)=.【解题技巧】有理数的加法运算口诀:同号相加一边倒,异号相加“大”减“小”,符号跟着大的跑,绝对值相等“零”正好.【注】“大”减“小”是指绝对值的大小.有理数加法的实际应用1.气温由-1℃上升2℃后是( )A.-1℃B.1℃C.2℃D.3℃【解析】选B.(-1)+2=+(2-1)=1(℃).2.某文具店今年第一季度盈余22000元,第二季度亏本5000元,该文具店今年上半年盈余(或亏本)可用算式表示为( )A.(+22000)+(+5000)B.(-22000)+(+5000)C.(-22000)+(-5000)D.(+22000)+(-5000)【解析】选 D.盈余记做正数,亏本记做负数,则该文具店今年上半年盈余(或亏本)可用算式表示为(+22000)+(-5000).3.北京与巴黎两地的时差是-7小时(带正号的数表示同一时间比北京早的时间数),如果现在北京时间是7:00,那么巴黎的时间是( )A.0:00B.7:00C.14:00D.21:00【解析】选A.根据题意得:7+(-7)=0,所以巴黎的时间是0:00.【变式训练】纽约时间比香港时间迟13小时.你与一位在纽约的朋友约定,纽约时间4月1日晚上8时与他通话,假若在香港的你应月日时给他打电话.【解析】晚上8时即20时,20+13=33(时),33-24=9,即4月2日早上9时.答案:4 2 早上94.冬季我国南北温差非常大,同一天哈尔滨可以到零下32℃,而广州比哈尔滨高52℃,则广州该天的温度是℃.【解析】-32+52=+(52-32)=20(℃).答案:20【易错提醒】本题要先用负数表示零下32℃,不能把哈尔滨的温度错误地认为是32℃.5.水位上升8cm,又下降13cm,则水位上升的结果是cm.【解析】由题意得(+8)+(-13)=-5(cm).答案:-5【互动探究】若改为“水位下降8cm,又下降13cm”,则水位上升的结果是cm.提示:由题意得(-8)+(-13)=-21(cm).答案:-216.在一次水下机器人测试中,机器人在海下时而上升,时而下降.机器人的初始位置在海平面下1500m,下面是机器人在某段时间内的运动情况(把上升记为“+”,下降记为“-”,单位:m):-2800,1600.问:现在机器人处在什么位置?【解析】根据题意可得:上升为“+”,下降为“-”;则现在机器人的位置距初始位置的距离是(-2800)+1600=-1200(m).故(-1200)+(-1500)=-2700(m).答:机器人现在处在海平面下2700m处.7.某商场卖出两件衣服,第一件盈利48元,第二件亏损26元,卖出这两件衣服商场盈利(亏损)了多少元?【解析】用正、负数表示两件衣服的盈利(亏损)情况:第一件盈利48元,记做+48元,第二件亏损26元,记做-26元.列式计算表示两件衣服的盈利(亏损)情况为:+48+(-26)=48-26=22(元).答:卖出这两件衣服商场盈利了22元.【错在哪?】作业错例课堂实拍计算:+.(1)找错:从第_______步开始出错.(2)纠错:_______ ___________________________________ 答案: (1)②(2)原式=34431. 1212121212 +-=--=-()()。
1.4.2有理数的加法一、夯实基础1、23+(-17)+6+(-22)=_______.2、绝对值大于2且小于5的所有负整数的和是________.3、若2,3==b a ,则=+b a ________.4、已知21,43,32-=-==c b a ,则式子=--+-)()(c b a __________. 二、能力提升计算:5、(-2)+3+1+(-3)+2+(-4)6、 1713(134)174(134(-++-+-7、)412(216)313()324(-++-+-8、)814()75(125.0)411(75.0-+-++-+9、若1<a <3,求a a -+-31的值.10、计算:7.10323([3122.16---+-+-三、课外拓展11、10袋大米,以每袋50千克为准:超过的千克数记作正数,不足的千克数记作负数,称重的记录如下:+0.5,+0.3,0,-0.2,-0.3,+1.1,-0.7,-0.2,+0.6,+0.7.求:10袋大米共超重或不足多少千克?总重量是多少千克?四、中考链接12、(2015年威海市)检验4个工件,其中超过标准质量的克数记为正数,不足标准质量的克数记为负数,从轻重的角度看,最接近标准的工件是()A. -2B. -3C. 3D. 5参考答案夯实基础1、-102、-73、1或54、1223- 能力提升5、-36、-17、213- 8、756- 9、解:∵1<a <3,∴1-a <0,3-a >0 ∴a a -+-31=231=-+-a a10、解:7.10323([3122.16+--+-+-=16.2+7.10323312++=32.9 课外拓展 11、解:+0.5)+(+0.3)+0+(-0.2)+(-0.3)+(+1.1)+(-0.7)+(-0.2)+(+0.6)+(+0.7)=1.8(千克)50×10+1.8=501.8(千克)答:10袋大米共超重1.8千克,总重量是501.8千克.中考链接12、A。
1.4.1.1 有理数的加法(第1课时)提技能·题组训练有理数的加法1.计算(-3)+(-9)的结果是( )A.12B.-12C.6D.-6【解析】选B.(-3)+(-9)=-(3+9)=-12.2.计算(+2)+(-3)所得的结果是( )A.1B.-1C.5D.-5【解析】选B.(+2)+(-3)=-(3-2)=-1.3.若a与2互为相反数,则|a+2|等于( )A.0B.-2C.2D.4【解析】选A.因为a与2互为相反数,所以a+2=0,所以|a+2|=|0|=0.【知识归纳】互为相反数与和为0的关系1.若两个数互为相反数,则它们的和为0.2.若两个数的和是0,则这两个数互为相反数.4.两数相加,其和小于每一个加数,那么( )A.这两个加数一定有一个为0B.这两个加数一正一负,且负数的绝对值较大C.这两个加数一定都是负数D.这两个加数的符号不能确定【解析】选C.选项A中的和等于不是零的那个加数;选项B中的和是负数但大于是负数的加数;两个负数的和小于每一个加数.5. 2+(-1)= .【解析】2+(-1)=1.答案:1【变式训练】计算:(−13)+(−12)= .【解析】(−13)+(−12)=(−26)+(−36)=-56.答案:-566.计算:(1)(+15)+(-8).(2)(-0.6)+(-2.3).(3)135+(−25). 【解析】(1)(+15)+(-8)=+(15-8)=7.(2)(-0.6)+(-2.3)=-(0.6+2.3)=-2.9.(3)135+(-25)=+(85-25)=65. 【解题技巧】有理数的加法运算口诀:同号相加一边倒,异号相加“大”减“小”,符号跟着大的跑,绝对值相等“零”正好.【注】“大”减“小”是指绝对值的大小.有理数加法的实际应用1.气温由-1℃上升2℃后是 ( )A.-1℃B.1℃C.2℃D.3℃【解析】选B.(-1)+2=+(2-1)=1(℃).2.某文具店今年第一季度盈余22000元,第二季度亏本5000元,该文具店今年上半年盈余(或亏本)可用算式表示为 ( )A.(+22000)+(+5000)B.(-22000)+(+5000)C.(-22000)+(-5000)D.(+22000)+(-5000)【解析】选 D.盈余记做正数,亏本记做负数,则该文具店今年上半年盈余(或亏本)可用算式表示为(+22000)+(-5000).3.北京与巴黎两地的时差是-7小时(带正号的数表示同一时间比北京早的时间数),如果现在北京时间是7:00,那么巴黎的时间是 ( )A.0:00B.7:00C.14:00D.21:00【解析】选A.根据题意得:7+(-7)=0,所以巴黎的时间是0:00.【变式训练】纽约时间比香港时间迟13小时.你与一位在纽约的朋友约定,纽约时间4月1日晚上8时与他通话,假若在香港的你应 月 日时给他打电话.【解析】晚上8时即20时,20+13=33(时),33-24=9,即4月2日早上9时.答案:4 2 早上94.冬季我国南北温差非常大,同一天哈尔滨可以到零下32℃,而广州比哈尔滨高52℃,则广州该天的温度是 ℃.【解析】-32+52=+(52-32)=20(℃).答案:20【易错提醒】本题要先用负数表示零下32℃,不能把哈尔滨的温度错误地认为是32℃.5.水位上升8cm,又下降13cm,则水位上升的结果是 cm.【解析】由题意得(+8)+(-13)=-5(cm).答案:-5【互动探究】若改为“水位下降8cm,又下降13cm ”,则水位上升的结果是cm.提示:由题意得(-8)+(-13)=-21(cm).答案:-216.在一次水下机器人测试中,机器人在海下时而上升,时而下降.机器人的初始位置在海平面下1500m,下面是机器人在某段时间内的运动情况(把上升记为“+”,下降记为“-”,单位:m):-2800,1600.问:现在机器人处在什么位置?【解析】根据题意可得:上升为“+”,下降为“-”;则现在机器人的位置距初始位置的距离是(-2800)+1600=-1200(m).故(-1200)+(-1500)=-2700(m).答:机器人现在处在海平面下2700m 处.7.某商场卖出两件衣服,第一件盈利48元,第二件亏损26元,卖出这两件衣服商场盈利(亏损)了多少元?【解析】用正、负数表示两件衣服的盈利(亏损)情况:第一件盈利48元,记做+48元,第二件亏损26元,记做-26元.列式计算表示两件衣服的盈利(亏损)情况为:+48+(-26)=48-26=22(元).答:卖出这两件衣服商场盈利了22元.【错在哪?】作业错例 课堂实拍计算:14+(−13).(1)找错:从第_______步开始出错.(2)纠错:_______ ___________________________________ 答案: (1)②(2)原式=34431.1212121212+-=--=-()()。
1.4 有理数的加法基础能力训练☆回归教材 注重基础 ◆有理数加法法则的应用1.计算(表示出应用法则的过程) (1)(-17)+21; (2)(-29)+(-31) (3)(-15)+02.填表:加数加数和的组成和符号 绝对值-12 +3 - 12-3 -9 +18 +8 -9 +16 -9 -53.数轴上一点从原点向正方向移动3个单位长度,再向负方向移动5个单位长度,此时这点表示的数是什么?(列式计算)4.某电视台发射塔建在海拔+218米的山顶上,已知发射塔高185米,那么发射塔顶部的海拔高度是多少米?5.(+12.268)+(-0.379)+(-0.268)+(-0.621)6.先笔算,再用计算器验证计算结果是否正确.)5.5()350()5.15()310(-+-+++-7.把-7,-3,1,5,9五个数填入方格内,使横、竖方向三个数之和相等,你有几种填法?8.分别列出一个满足下列条件的算式 (1)所有加数是负数,和是-5; (2)一个加数是0,和是-5;(3)至少有一个加数是正整数,和是-5. 综合创新训练☆登高望远 课外拓展 ◆创新应用9.有一批食品罐头,标准质量为每听454克.现抽取10听样品进行检测,结果如下表(单位:克)听号 1 2 3 4 5 质量 444 459 454 459 454 听号 6 7 8 9 10 质量 454 449 454 459 464这10听罐头的总质量是多少?用两种方法解10.北京出租车司机小李某天营运全是在长安大街上进行的,如果规定向东为正,向西为负,他这天行车里程(单位:千米)如下:15,-2,5,-l,10,-3,-2,12,4,-5,6;(1)将最后一名乘客送到目的地时,小李距离出车时的出发点多远?(2)若汽车耗油量为0.2升/千米,这天小李共耗油多少升?11.你能求出绝对值小于2 008的所有互为相反数的整数的和吗?说说你是怎样计算的.◆开放探索12.分别在图2-4-2中的圆圈内填上彼此都不相等的数,使得每条线上的三个数之和为零.参考答案1答案:(1)+4 (2)-60 (3)-152 答案:见表:加数加数和的组成和符号绝对值-12 +3 -12-3 -9+18 +8 + 18+8 +26-9 +16 + 16-9 +7-9 -5 -9+5 -143答案:(+3)+(-5)=-2.4答案:403米5答案:116答案:-107答案:填法如下:8答案:答案多样.如:(1)(-2)+(-3)=(-5);(2)0+(-5)=-5:(3)(+8)+(-13)=(-5).9答案:解法1:直接把数字相加得出总质量为4 550克;解法2:把超过标准质量的克数用正数表示,不足的用负数表示,再把所得的正负数相加得10克,然后计算:454×10+10=4 550(克).10 答案:(1)39千米;(2)13升(各数的绝对值相加再乘0.2).11答案:和为0,从±l到±2 007的和为0,再加上0仍得0.12答案:有多种填法,例如:。
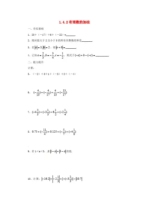
1.4.2有理数的加法
一、夯实基础
1、23+(-17)+6+(-22)=_______.
2、绝对值大于2且小于5的所有负整数的和是________.
3、若,则________.
4、已知,则式子__________.
二、能力提升
计算:
5、(-2)+3+1+(-3)+2+(-4)
6、
7、
8、
9、若1<a<3,求的值.
10、计算:
三、课外拓展
11、10袋大米,以每袋50千克为准:超过的千克数记作正数,不足的千克数记作负数,称重的记录如下:+0.5,+0.3,0,-0.2,-0.3,+1.1,-0.7,-0.2,+0.6,+0.7.
求:10袋大米共超重或不足多少千克?总重量是多少千克?
四、中考链接
12、(2015年威海市)检验4个工件,其中超过标准质量的克数记为正数,不足标准质量的克数记为负数,从轻重的角度看,最接近标准的工件是()
A. -2
B. -3
C. 3
D. 5
参考答案
夯实基础
1、-10
2、-7
3、1或5
4、
能力提升
5、-3
6、-1
7、
8、
9、解:∵1<a<3,
∴1-a<0,3-a>0
∴=
10、解:=16.2+=32.9
课外拓展
11、解:+0.5)+(+0.3)+0+(-0.2)+(-0.3)+(+1.1)+(-0.7)+(-0.2)+(+0.6)+(+0.7)
=1.8(千克)
50×10+1.8=501.8(千克)
答:10袋大米共超重1.8千克,总重量是501.8千克.
中考链接
12、A。
2019-2020学年湘教版数学精品资料1.4.1.2 有理数的加法(第2课时)提技能·题组训练有理数加法运算律的运用1.下面计算用的加法运算律是( )+3.2++7.8=+=-1+11=10A.交换律B.结合律C.先用交换律,再用结合律D.先用结合律,再用交换律【解析】选C.原式=++3.2+7.8(交换律)=+(3.2+7.8)(结合律)=-1+11=10.【变式训练】7+(-3)+(-4)+18+(-11)=(7+18)+[(-3)+(-4)+(-11)]是应用了( ) A.加法交换律 B.加法结合律C.符号化简D.加法交换律与结合律【解析】选D.观察所给式子可知,在运算过程中应用了加法交换律与结合律.2.下列运算中正确的是( )A.8+[14+(-9)]=15B.(-2.5)+[5+(-2.5)]=5C.+(-2)=-2D.3.14+[(-8)+3.14]=-8【解析】选C.选项A的结果是13,选项B的结果是0,选项D的结果是-1.72.3.计算33+(-32)+7+(-8)的结果为( )A.0B.2C.-1D.5【解析】选A.33+(-32)+7+(-8)=(33+7)+[(-32)+(-8)]=40+(-40)=0.4.绝对值小于4的所有整数的和是.【解析】因为绝对值小于4的所有整数有:-3,-2,-1,0,1,2,3;所以-3+(-2)+(-1)+0+1+2+3=(-3+3)+(-2+2)+(-1+1)+0=0.答案:05.计算下列各题.(1)+++.(2)0.75+++1.25.【解析】(1)+++=+=-+=-.(2)0.75+++1.25=(0.75+1.25)+=2+=-4.有理数加法运算律的实际应用1.七年级(1)班一学期班费收支情况如下(收入为正):+250元,-55元,-120元,+7元.该班期末时班费结余为( )A.82元B.85元C.90元D.95元【解析】选A.250+(-55)+(-120)+7=250+7+[(-55)+(-120)]=257+(-175)=82(元).2.一升降机,第一次上升5m,第二次又上升6m,第三次下降4m,第四次又下降9m.这时升降机在原始位置的( )A.上方24 mB.下方24 mC.上方 2 mD.下方 2 m【解题指南】解答本题的三个关键1.规定上升为正,下降为负.2.计算4个数的和.3.根据结果的符号判断方向.【解析】选D.若上升为正,下降为负,则5+6+(-4)+(-9)=(5+6)+[(-4)+(-9)]=11+(-13)=-2.因为-2是负数,所以升降机在原始位置的下方2m.3.在CCTV“开心辞典”栏目中,主持人问这样一道题目:“a是最小的正整数,b是最大的负整数,c是绝对值最小的有理数,请问:a,b,c三数之和是”( )A.-1B.0C.1D.2【解题指南】解答本题两关键:(1)首先根据最小正整数、最大负整数、绝对值最小的有理数的意义求出a,b,c的值.(2)把a,b,c的值代入a+b+c求出答案.【解析】选B.由题意,得:a=1,b=-1,c=0,a+b+c=1+(-1)+0=0.4.某商店去年四个季度的盈亏情况如下(盈余为正):+128.5万元,-140万元,-95.5万元,+280万元,这个商店的总盈利情况是( )A.盈余644万元B.亏本173万元C.盈余173万元D.亏本64万元【解析】选C.(+128.5)+(-140)+(-95.5)+(+280)=(128.5+280)+[(-140)+(-95.5)]=408.5+(-235.5)=408.5-235.5=173(万元).5.某人用320元购买了8套儿童服装,准备以一定价格出售,如果每套儿童服装以55元的价格为标准,超出的记做正数,不足的记做负数,记录如下:+2,-3,+2,+1,-1,-2,0,-2,当卖完这8套儿童服装后是盈利还是亏损?盈利(亏损)多少钱?【解析】因为2+(-3)+2+1+(-1)+(-2)+0+(-2)=[2+(-2)]+[2+(-2)]+[1+(-1)]+(-3)+0=0+0+0+(-3)+0=-3,所以共卖55×8+(-3)=437(元),437-320=117(元),所以卖完这8套儿童服装后盈利117元.【特别提醒】题中+2,-3,+2,+1,-1,-2,0,-2的和表示与8件以55元为标准的差值,不要以这8个数的和的正负判断亏损或盈利.【错在哪?】作业错例课堂实拍出租车司机小李某天下午的营运全是在东西方向的大街上进行的,如果规定向东为正,向西为负,他这天下午行车里程(单位:km)如下:+15,-2,+5, -1,+10,-3,-2,+12,+4,-5,+6.(1)将最后一名乘客送到目的地时,小李当天下午行车里程是多少?(2)若汽车耗油量为0.1L/km,这天下午小李共耗油多少L?(1)找错:从第_______步开始出现错误.(2)纠错: _____________________________________________________答案: (1)①(2) (1)这天下午小李一共行驶了|+15|+|-2|+|+5|+|-1|+|+10|+|-3|+|-2|+|+12|+|+4|+|-5|+|+6|=65(km),(2)共耗油65×0.1=6.5(L).。
最新浙教版七年级数学上册课时训练题汇总(全册共201页附答案)目录1.1从自然数到有理数(第2课时)1.2数轴1.3绝对值1.4有理数的大小比较2.1有理数的加法(第1课时)2.2有理数的减法(第1课时)2.2有理数的减法(第2课时)2.3有理数的乘法(第1课时)2.3有理数的乘法(第2课时)2.4有理数的除法2.5有理数的乘方(第1课时)2.5有理数的乘方(第2课时)2.6有理数的混合运算2.7近似数3.1平方根3.2实数3.3立方根3.4实数的运算4.1用字母表示数4.2代数式4.3代数式的值4.4整式4.5合并同类项4.6整式的加减(第1课时)4.6整式的加减(第2课时)5.1一元一次方程1.1 从自然数到有理数(第1课时)1.自然数是人类历史上最早出现的数.自然数在____________和____________中有着广泛的应用,人们还常常用自然数来给事物____________或____________.2.在小学阶段,小数(π除外)都可以转化为____________,而分数也都可以转化为____________.3.分数在化成小数时,结果可能是____________,也可能是____________.A组基础训练1.2017年2月10日,浙江省某地今明天气预报:”今天:晴转多云,偏北风2~3级,2℃~6℃;明天:多云转晴,0℃~5℃”,其中2月10日,2~3级,0℃~5℃分别属于( )A.排序、测量、测量 B.排序、测量、计数C.排序、计数、测量 D.计数、测量、排序2.生产同样的产品,小王三分钟可生产五个,小李五分钟可生产三个.则下列说法正确的是( )A.小王的工作效率高B.小李的工作效率高C.两人的工作效率一样高D.无法比较两人的工作效率3.四个同学每两个人握一次手,一共握手( )A.8次 B.4次 C.6次 D.10次4.拃是拇指和食指在平面上伸直时,两者端点之间的距离,则以下估计正确的是( )第4题图A.课本的宽度约为4拃B.课桌的宽度约为4拃C.黑板的宽度约为4拃D.字典的厚度约为4拃5.纸店有三种纸,甲种纸4角买11张,乙种纸5角买13张,丙种纸7角买17张,则三种纸中最贵的是( ) A.甲种 B.乙种C.丙种 D.三种一样贵6.(厦门中考)如图所示的6个数是按一定规律排列的,根据这个规律,括号内的数是( )1627 432940()第6题图A.27 B.56 C.43 D.307.如图,将一张正方形纸片分割成四张面积相等的小正方形纸片,然后将其中一张小正方形纸片再分割成四张面积相等的小正方形纸片.如此分割下去,第10次分割后,正方形纸片共有( )第7题图A.31张 B.32张 C.33张 D.34张8.小亮在看报纸时,收集到以下信息:(1)某地的国民生产总值列全国第五位;(2)某城市有16条公共汽车线路;(3)小刚乘T32次火车去北京;(4)小风在校运会上获得跳远比赛第一名.你认为其中用到自然数排序的有____________.9.计算3.69÷6.15,结果用分数表示是____________,用小数表示是____________.10.如图是某宾馆的台阶侧面示意图,若要在台阶上铺地毯,那么至少要买长为____________米的地毯.第10题图11.瑞士中学教师巴尔末成功地从光谱数据95,1612,2521,3632,…中得到巴尔末公式,从而打开了光谱奥妙的大门,请你按这种规律写出接下来的两个数据分别是____________.12.林林手中有22元钱,买文具用了2元5角,买水果用了3元,在回家路上遇到爷爷,爷爷给了他15元钱,现在他手中共有多少钱?B组自主提高13.小慧同学不但会学习,而且也很会安排时间干家务活,煲饭、炒菜、擦窗等样样都行,是爸妈的好帮手.某一天放学回家后,她完成各项家务活及所需时间如下表:小慧同学完成以上各项家务活,至少需要____________分钟(各项家务活转接时间忽略不计).14.一本书有200页,小英计划三天看完,第一天看了全书的40%,第二天与第三天看的页数之比是5∶7.(1)题中200是用于表示计数还是测量的?(2)第二天、第三天分别看了第一天看完后剩下的页数的几分之几?你能求出第二天、第三天各看了多少页吗?15.”假日旅行社”推出”西湖风景区一日游”的两种出游价格方案,如图:方案一成人每人150元,儿童每人60元.方案二团体5人及以上,每人100元.第15题图(1)成人10人,儿童5人.怎样购票合算?(2)成人5人,儿童10人.怎样购票合算?C组综合运用16.一个纸环链,纸环按红、黄、绿、蓝、紫的顺序重复排列,截去其中的一部分,剩下部分如图所示,则被截去部分纸环的个数可能是( )第16题图A.2018 B.2017 C.2016 D.201517.古希腊人常用小石子在沙滩上摆成各种形状来研究数的规律.例如:第17题图由图1中的小石子围成三角形,其颗数3,6,10,…称为三角形数.类似地,称图2中的4,9,16,…这样的数为正方形数.下列数中,既是三角形数又是正方形数的是( )A.15 B.25 C.55 D.1225参考答案1.1从自然数到有理数(第1课时)【课堂笔记】1.计数测量标号排序 2.分数小数 3.有限小数无限循环小数【分层训练】1.A 2.A 3.C 4.B 5.C 6.B7.A8.(1)(3)(4) 9.350.6 10.6.511.4945,646012.31.5元13.33 14.(1)题中200是用于表示计数的.(2)5+7=12,故第二天看了第一天看完后剩下的页数的512,第三天看了第一天看完后剩下的页数的712.200×(1-40%)=120(页),120×512=50(页),120×712=70(页).∴第二天看了50页,第三天看了70页.15.(1)10个成人买团体票,5个儿童购买儿童票合算. (2)5个成人买团体票,10个儿童购买儿童票合算. 16.A 【解析】一个基础纸环链共5个环,左边配上蓝、紫可形成一个基础纸环链,右边配上红即可,中间少了n 个基础纸环链.故截去部分纸环个数必为5n +3,所以选A .17.D 【解析】三角形数的规律s 1=1+2+…+n =n (n +1)2,正方形数的规律s 2=n 2,故既是三角形数又是正方形数的数必是某一个数的平方,并且是相邻两个自然数乘积的一半,故选D .1.1 从自然数到有理数(第2课时)1.大于零的数叫做____________,小于零的数叫做____________. 2.零既不是____________,也不是____________. 3.有理数的分类:分类一:有理数⎩⎪⎨⎪⎧整数⎩⎨⎧⎭⎪⎬⎪⎫正整数零自然数负整数分数⎩⎪⎨⎪⎧正分数负分数分类二:有理数⎩⎪⎨⎪⎧正有理数⎩⎪⎨⎪⎧正整数正分数零负有理数⎩⎪⎨⎪⎧负整数负分数A 组 基础训练1.下列各组中,互为相反意义的量是( ) A .上升和下降B .篮球比赛胜5场与负3场C .向东走3千米,再向东走2千米D .增产10吨粮食与减产-10吨粮食2.如果水位升高3m 时,水位变化记做+3m ,那么水位下降3m 时,水位的变化记做( ) A .-3m B .3m C .6m D .-6m3.某天中午的气温为零上2℃,晚上的气温下降了3℃,则这天晚上的气温为()A .3℃B .1℃C .-3℃D .-1℃4.给出下列说法:①0是正数;②0是整数;③0是自然数;④0是最小的自然数;⑤0是最小的正数;⑥0是最小的非负数;⑦0是偶数;⑧0就表示没有.其中正确的说法有( )A .3个B .4个C .5个D .6个 5.下列说法正确的是( ) A .整数就是正整数和负整数 B .分数包括正分数、负分数C .正有理数和负有理数组成全体有理数D .一个数不是正数就是负数6.-1,0,0.2,17,3中,正数一共有____________个.7.在下列横线上填上恰当的词,使前后构成意义相反的量. (1)收入2000元,____________1800元; (2)____________180m ,下降80m ; (3)向北1000m ,____________500m.8.(1)小张向东走了200m 记为+200m ,然后他向西走了-300m ,这时小张的位置与最初的位置比较是在____________.(2)2017年第二季度某商城的交易总额比第一季度增长7.5%,记做+7.5%,第三季度比第二季度下降1.2%,可记做____________.(3)在一次数学测验中,某班同学的平均分为85分,如果明明得94分,记做+9分,那么婷婷得80分,记做____________分.(4)已知一种零件的内径尺寸在图纸上是30±0.05(单位:毫米),那么内径尺寸为29.89毫米的零件属于____________产品(填”合格”或”不合格”).(5)在时钟上,把时针从钟面数字”12”按顺时针方向拨到”6”,记做拨+12周,那么把时针从”12”开始,拨-14周后,该时针所指的钟面数字是____________.9.把下列各数填入相应的大括号里:-3.14,4.3,+72,0,13,-6,-7.3,-12,0.4,-56,227,26.(1)正数集:{____________…} (2)负数集:{____________…} (3)正整数集:{____________…}(4)负整数集:{____________…}(5)非负数集:{____________…}10.某水库的标准水位记做0m,如果用正数表示水面高于标准水位的高度,那么:(1)0.08m和-1.25m分别代表什么?(2)水面高于标准水位2.26m和水面低于标准水位1.44m分别如何表示?11.如图所示,欢欢、花花、芳芳三家在同一栋楼里,若以花花家的位置为基准,记为0米,规定高出为正,请问:其他两家的位置分别应为多少米?第11题图B组自主提高12.观察下面一列数:-1,2,-3,4,-5,6,-7,…,将这列数排成下列形式:…按照上述规律排下去,那么第10行从左边数第9个数是____________;数-201是第____________行从左边数第____________个数.13.体育课上,老师对七年级男生进行了引体向上的测试,以能做7个为标准,超过的次数用正数表示,不足的次数用负数表示.其中8名男生的成绩如下:3,-1,0,-3,-2,-1,2,0.问:这8名男生有百分之几达到标准?14.仔细观察下列数的规律后回答问题:-1,+2,-3,+4,-5,+6,…(1)数2016前面的符号是”+”还是”-”?(2)第2016个数可表示成什么?C组综合运用15.室内有4盏电灯在照明,每盏电灯都有且只有一个开关控制,现请你每次只拉动其中3盏电灯的开关,问:能否拉动有限次将这4盏灯关闭?如果不能,请说明理由;如果能,请写出最少的次数.参考答案1.1 从自然数到有理数(第2课时)【课堂笔记】1.正数 负数 2.正数 负数 【分层训练】1.B 2.A 3.D 4.C 5.B 6.3 7.(1)支出 (2)上升 (3)向南8.(1)原位置的东面500m 处 (2)-1.2% 【解析】由题意可知增长记为正,则下降记为负. (3)-5 (4)不合格 (5)9 【解析】∵顺时针方向记为正,∴负表示逆时针方向.∴拨-14周后,该时针所指的钟面数字是9.9.(1)4.3,+72,13,0.4,227,26 (2)-3.14,-6,-7.3,-12,-56(3)+72,26 (4)-6,-12 (5)4.3,+72,0,13,0.4,227,2610.(1)水面高于标准水位0.08m ,水面低于标准水位1.25m . (2)+2.26m ,-1.44m . 11.欢欢家:-4米,芳芳家:+12米.12.90 15 5 【解析】根据题意得:每一行最末的数字的绝对值是行数的平方,且奇数前带有负号,偶数前是正号.如第4行最末的数字是42,第9行最后的数字是-92.∴第10行从左边数第9个数是81+9=90.∵-201=-1×(142+5),∴是第15行从左边数第5个数.13.因为8名男生中有4人达到标准,所以达到标准的百分率为48×100%=50%.14.(1)“+” (2)+201615.能,至少四次,下面是一种可能(其中“+”表示打开,“-”表示关闭):、1.2 数轴1.规定了____________、____________和____________的直线叫做数轴.2.如果两个数只有____________不同,那么我们称其中一个数为另一个数的____________,也称这两个数互为相反数.特别地,零的相反数为____________.3.在数轴上,表示互为____________(零除外)的两个点,位于____________的两侧,并且到____________的距离____________.A 组 基础训练1.(宜宾中考)-15的相反数是( )A .5 B.15 C .-15 D .-52.下列各图中,表示的数轴正确的是( )3.下列数1,4,0,-12,-3在数轴上表示的点中不在原点右边的点的个数为( )A .2B .3C .4D .54.如图,数轴的单位长度为1,如果点A ,B 表示的数互为相反数,那么点A 表示的数是( )第4题图A .-4B .-2C .0D .45.数轴上的动点A 向左移动2个单位长度到达点B ,再向右移动5个单位长度到达点C.若点C 表示的数为1,则点A 表示的数为( )A .7B .3C .-3D .-26.有下列说法:①0的相反数是0;②a 的相反数不是正数就是负数;③若a ,b 互为相反数,则ab =-1;④若ab=-1,则a ,b 互为相反数;⑤若a ,b 互为相反数,则a +b =0;⑥若a +b =0,则a ,b 互为相反数.其中正确的有____________.7.(1)如果一个数的相反数是它本身,那么这个数是____________;a 的相反数是____________;若2x +3与x -6互为相反数,则x =____________.(2)数轴上表示-13的点在表示-1的点的____________;数轴上点P 距原点5个单位长度,且在原点的左侧,则点P 表示的数是____________;数轴上点Q 距原点3.5个单位长度,且在原点的右侧,那么点Q 表示的数是____________.(3)若x表示到原点距离最小的点所对应的数,则x=____________;在数轴上距原点512个单位长度的点有____________个,它们表示的数是____________,它们互为____________.(4)如图,数轴上的点P表示的数是-1,将点P向右移动3个单位长度得到点P′,则点P′表示的数是____________.第7题图8.(1)点A在数轴上所表示的数是m,将点A向右移动7个单位后所表示的数是3,则m=____________.(2)已知数轴上的点A表示+7,B,C两点所表示的数互为相反数,且点C与点A的距离为2个单位长度,则点B和点C表示的数分别是____________.9.(1)如图,写出数轴上的点A,B,C,D,E所表示的数.第9题图(2)写出下列各数的相反数,并将这些数与它们的相反数在数轴上表示出来.3,-112,0,12,-210.小明在写作业时,不慎将两滴墨水滴在数轴上,根据图中数据,你能确定墨迹盖住的整数是哪几个吗?第10题图B组自主提高11.七年级(3)班在一次联合活动中,把全班分成5个队参加活动,游戏结束后,5个队的得分如下:A队:-50分;B队:150分;C队:-300分;D队:0分;E队:100分.(1)把每个队的得分标在数轴上,并将代表该队的字母标上(一个单位为50分);(2)从数轴上看A队与B队相差多少分?C队与E队相差多少分?12.有理数a,b在数轴上的位置如图所示.第12题图(1)在数轴上分别用A、B两点表示-a,-b;(2)若数b与-b表示的点相距20个单位长度,则b与-b表示的数分别是什么?(3)在(2)的条件下,若数a表示的点与数b的相反数表示的点相距5个单位长度,则a与-a表示的数是多少?13.如图,图中数轴的单位长度为1.第13题图(1)如果点B,E表示的两个数互为相反数,那么点A,B,C,D,E所表示的数分别是多少?(2)如果点C,E表示的两个数互为相反数,那么点A,B,C,D,E所表示的数分别是多少?C 组 综合运用14.已知在纸面上有一数轴如图,折叠纸面.第14题图(1)若1表示的点与-1表示的点重合,则-3表示的点与数____________表示的点重合; (2)若5表示的点与-1表示的点重合,回答以下问题: ①数3表示的点与数____________表示的点重合;②若数轴上A ,B 两点之间的距离为9(点A 在点B 左侧),且A ,B 两点经折叠后重合,求A ,B 两点所表示的数.参考答案 1.2 数轴【课堂笔记】1.原点 单位长度 正方向 2.符号 相反数 零 3.相反数 原点 原点 相等 【分层训练】1.B 2.C 3.B 4.B 5.D 6.①④⑤⑥7.(1)0 -a 1 (2)右边 -5 +3.5 (3)0 2 +512,-512 相反数 (4)28.(1)-4 (2)-5,5或-9,99.(1)A 表示0,B 表示-212,C 表示-1,D 表示212,E 表示4. (2)它们的相反数分别为-3,112,0,-12,2,画图略.10.-5,-4,-3,-2,1,2,3.11.(1)画数轴略; (2)A 队与B 队相差200分,C 队与E 队相差400分. 12.(1)如图:第12题图(2)数b 与其相反数相距20个单位长度,则b 表示的点到原点的距离为20÷2=10,所以b 表示的数是-10,-b 表示的数是10; (3)因为-b 表示的点到原点的距离为10,而数a 表示的点与数b 的相反数表示的点相距5个单位长度,所以a 表示的点到原点的距离为10-5=5,所以a 表示的数是5,-a 表示的数是-5.13.(1)由图可知:点B ,E 之间相距8个单位长度,又因为它们互为相反数,所以线段BE 的中点是原点.而点D 恰好距点B ,E 各4个单位长度,故点D 表示的数为0.所以点A 表示的数为-6,点B 表示的数为-4,点C 表示的数为-2,点E 表示的数为+4. (2)由图可知:点C ,E 之间相距6个单位长度,因此点C 表示的数为-3,点E 表示的数为+3.所以点A 表示的数为-7,点B 表示的数为-5,点D 表示的数为-1.14.(1)3 (2)①1 ②点A 表示-2.5,点B 表示6.5.1.3 绝对值1.把一个数在数轴上对应的点到____________的____________叫做这个数的____________.2.一般地,一个正数的绝对值是它____________;一个负数的绝对值是它的____________;零的绝对值是____________.互为相反数的两个数的绝对值____________,即任何数的绝对值是____________.3.绝对值等于本身的数是____________.A 组 基础训练1.(绍兴中考)-2的绝对值是( )A .2B .-2C .0 D.122.有理数中,绝对值最小的数是( )A .-1B .0C .1D .没有3.有四包真空小包装火腿,每包以标准克数(450g )为基准,超过的克数记做正数,不足的克数记做负数,以下数据是记录结果,其中表示实际克数最接近标准克数的是( )A .+2B .-3C .+3D .+4 4.下列说法正确的是( ) A .任何有理数的绝对值一定是正数B .互为相反数的两个数的绝对值也互为相反数C .绝对值相等的两个数一定相等D .绝对值等于它本身的数是非负数5.(1)若|x|=-x ,则x 满足的条件是( )A .x >0B .x =0C .x <0D .x ≤0 (2)若|x|=|y|,则x 与y 之间的关系是( ) A .相等 B .互为相反数C .相等或互为相反数D .无法判断。
1.4.1.2 有理数的加法(第2课时)
提技能·题组训练
有理数加法运算律的运用
1.下面计算用的加法运算律是( )
+3.2++7.8=+=-1+11=10
A.交换律
B.结合律
C.先用交换律,再用结合律
D.先用结合律,再用交换律
【解析】选C.原式=++3.2+7.8(交换律)
=+(3.2+7.8)(结合律)
=-1+11=10.
【变式训练】7+(-3)+(-4)+18+(-11)=(7+18)+[(-3)+(-4)+(-11)]是应用了
( ) A.加法交换律 B.加法结合律
C.符号化简
D.加法交换律与结合律
【解析】选D.观察所给式子可知,在运算过程中应用了加法交换律与结合律.
2.下列运算中正确的是( )
A.8+[14+(-9)]=15
B.(-2.5)+[5+(-2.5)]=5
C.+(-2)=-2
D.3.14+[(-8)+3.14]=-8
【解析】选C.选项A的结果是13,选项B的结果是0,选项D的结果是-1.72.
3.计算33+(-32)+7+(-8)的结果为( )
A.0
B.2
C.-1
D.5
【解析】选A.33+(-32)+7+(-8)
=(33+7)+[(-32)+(-8)]
=40+(-40)=0.
4.绝对值小于4的所有整数的和是.
【解析】因为绝对值小于4的所有整数有:-3,
-2,-1,0,1,2,3;
所以-3+(-2)+(-1)
+0+1+2+3=(-3+3)+(-2+2)+(-1+1)+0=0.
答案:0
5.计算下列各题.
(1)+++.
(2)0.75+++1.25.
【解析】(1)+++
=+
=-+=-.
(2)0.75+++1.25
=(0.75+1.25)+
=2+=-4.
有理数加法运算律的实际应用
1.七年级(1)班一学期班费收支情况如下(收入为正):+250元,-55元,-120元,+7元.该班期末时班费结余为( )
A.82元
B.85元
C.90元
D.95元
【解析】选A.250+(-55)+(-120)+7
=250+7+[(-55)+(-120)]
=257+(-175)=82(元).
2.一升降机,第一次上升5m,第二次又上升6m,第三次下降4m,第四次又下降9m.这时升降机在原始位置的( )
A.上方24 m
B.下方24 m
C.上方2 m
D.下方2 m
【解题指南】解答本题的三个关键
1.规定上升为正,下降为负.
2.计算4个数的和.
3.根据结果的符号判断方向.
【解析】选D.若上升为正,下降为负,
则5+6+(-4)+(-9)=(5+6)+[(-4)+(-9)]=11+(-13)=-2.
因为-2是负数,所以升降机在原始位置的下方2m.
3.在CCTV“开心辞典”栏目中,主持人问这样一道题目:“a是最小的正整数,b是最大的负整数,c是绝对值最小的有理数,请问:a,b,c三数之和是”( )
A.-1
B.0
C.1
D.2
【解题指南】解答本题两关键:
(1)首先根据最小正整数、最大负整数、绝对值最小的有理数的意义求出a,b,c的值.
(2)把a,b,c的值代入a+b+c求出答案.
【解析】选B.由题意,得:a=1,b=-1,c=0,a+b+c=1+(-1)+0=0.
4.某商店去年四个季度的盈亏情况如下(盈余为正):+128.5万元,-140万元,-9
5.5万元,+280万元,这个商店的总盈利情况是( )
A.盈余644万元
B.亏本173万元
C.盈余173万元
D.亏本64万元
【解析】选C.(+128.5)+(-140)+(-95.5)+(+280)=(128.5+280)+[(-140)+
(-95.5)]=408.5+(-235.5)=408.5-235.5=173(万元).
5.某人用320元购买了8套儿童服装,准备以一定价格出售,如果每套儿童服装以55元的价格为标准,超出的记做正数,不足的记做负数,记录如下:+2,-3,+2,+1,-1,-2,0,-2,当卖完这8套儿童服装后是盈利还是亏损?盈利(亏损)多少钱?
【解析】因为2+(-3)+2+1+(-1)+(-2)+0+(-2)
=[2+(-2)]+[2+(-2)]+[1+(-1)]+(-3)+0=0+0+0+(-3)+0=-3,
所以共卖55×8+(-3)=437(元),
437-320=117(元),
所以卖完这8套儿童服装后盈利117元.
【特别提醒】题中+2,-3,+2,+1,-1,-2,0,-2的和表示与8件以55元为标准的差值,不要以这8个数的和的正负判断亏损或盈利.
【错在哪?】作业错例课堂实拍
出租车司机小李某天下午的营运全是在东西方向的大街上进行的,如果规定向东为正,向西为负,他这天下午行车里程(单位:km)如下:+15,-2,+5, -1,+10,-3,-2,+12,+4,-5,+6.
(1)将最后一名乘客送到目的地时,小李当天下午行车里程是多少?
(2)若汽车耗油量为0.1L/km,这天下午小李共耗油多少L?
(1)找错:从第_______步开始出现错误.
(2)纠错: _____________________________________________________
答案: (1)①
(2) (1)这天下午小李一共行驶了|+15|+|-2|+|+5|+|-1|+|+10|+|-3|+|-2|
+|+12|+|+4|+|-5|+|+6|=65(km),(2)共耗油65×0.1=6.5(L).。