初一数学能力提高测试题
- 格式:doc
- 大小:459.50 KB
- 文档页数:5
数学初一测试题及答案一、选择题(每题3分,共30分)1. 下列哪个数是最小的正整数?A. 0B. 1C. -1D. 22. 计算下列哪个等式是正确的?A. 3 + 2 = 6B. 4 - 1 = 3C. 2 × 3 = 5D. 6 ÷ 2 = 43. 如果一个数的相反数是-5,则这个数是:A. 5B. -5C. 0D. 104. 下列哪个选项是正确的不等式?A. 3 > 2B. 4 < 3C. 5 ≥ 5D. 6 ≤ 75. 一个数的平方是9,这个数是:A. 3B. -3C. 3或-3D. 06. 计算下列哪个等式是错误的?A. (3 + 2) × 2 = 10B. 3 × (2 + 1) = 9C. 4 ÷ 2 - 1 = 1D. 5 + 0 = 67. 一个数的立方是-8,这个数是:A. 2B. -2C. 4D. -48. 以下哪个是正确的分数乘法?A. 1/2 × 1/3 = 1/6B. 2/3 × 3/4 = 2/4C. 3/4 × 4/3 = 12/12D. 5/6 × 6/5 = 19. 一个数的绝对值是5,这个数可以是:A. 5B. -5C. 5或-5D. 010. 计算下列哪个等式是正确的?A. (-3) + (-2) = -1B. (-4) × 2 = 8C. (-5) ÷ (-1) = 5D. (-6) - (-3) = -3二、填空题(每题4分,共20分)1. 一个数的相反数是它自己,这个数是______。
2. 一个数的绝对值是它自己,这个数是非负数,即______。
3. 两个数相加等于10,其中一个数是3,另一个数是______。
4. 一个数的平方是16,这个数是______。
5. 一个数的立方是-27,这个数是______。
三、解答题(每题10分,共50分)1. 计算并简化表达式:(2x + 3) - (x - 5)。
初一数学测试题带答案一、选择题1. 下列哪个数是素数?A. 9B. 18C. 23D. 27答案:C2. 下列哪个数是偶数?A. 7B. 13C. 20D. 31答案:C3. 已知一个四边形的对角线相等且互相垂直,这个四边形是什么形状?A. 矩形B. 正方形C. 长方形D. 平行四边形答案:B4. 一个圆的直径是10cm,那么它的半径是多少?A. 5cmB. 10cmC. 20cmD. 30cm答案:A5. 计算:3 × (5 + 2) - 4 ÷ 2 =A. -1B. 10C. 14D. 17答案:C二、填空题1. 一周有____天。
答案:72. 60 ÷ 5 × 6 = ______。
答案:723. 假设x = 2,y = 3,求解2x + y的值。
答案:74. 一个矩形的长是5cm,宽是2cm,它的面积是______平方厘米。
答案:105. 补全数列:2,4,6,______,10,12。
答案:8三、解答题1. 在一个等差数列中,首项是5,公差是3,求第10项的值。
答案:31解析:等差数列的通项公式为an = a1 + (n-1)d其中,an代表第n项,a1代表首项,d代表公差。
代入已知条件得到:a10 = 5 + (10-1) × 3 = 312. 三个数的平均数是60,其中两个数是70和80,求第三个数。
答案:50解析:三个数的平均数等于三个数之和除以3,设第三个数为x。
根据已知条件得到:(70 + 80 + x) / 3 = 60解方程得到:x = 503. 某书店原价出售一本书是20元,打折后售价为15元,打折的折扣率是多少?答案:25%解析:折扣率等于优惠的金额除以原价,再乘以100%。
根据已知条件得到:(20 - 15) / 20 × 100% = 25%四、应用题1. 小明有20枚红色的小球和15枚蓝色的小球,他将它们全部放入两个袋子里,每个袋子至少放一个球,问他有多少种放法?答案:430解析:将小球放入两个袋子,可以看成是从总数中选出一定数量的红球和蓝球,再分配到两个袋子中。
初一数学测试题及答案一、选择题(每题2分,共20分)1. 下列哪个数是最小的正整数?A. 0B. 1C. -1D. 2答案:B2. 如果一个数的绝对值是5,那么这个数可能是:A. 5B. -5C. 5或-5D. 都不是答案:C3. 计算下列表达式的结果是:\( 3x + 2y \)A. \( x + y \)B. \( 3 + 2 \)C. \( 3x + 2 \)D. \( 5y \)答案:C4. 下列哪个选项是正确的不等式?A. \( 3 > 5 \)B. \( 2 < 2 \)C. \( -1 \leq 0 \)D. \( 0 < -1 \)答案:C5. 一个正数的平方总是:A. 正数B. 零C. 负数D. 可能是正数或负数答案:A6. 以下哪个是偶数?A. 3B. 7C. 2D. 5答案:C7. 一个数的相反数是:A. 它自己B. 它的绝对值C. 它的两倍D. 它的负数答案:D8. 如果 \( a \) 和 \( b \) 是两个数,那么 \( a - b \) 等于:A. \( a + b \)B. \( b - a \)C. \( a \times b \)D. \( a \div b \)答案:B9. 一个数的立方是它自己的数有:A. 1B. -1C. 0D. 所有选项答案:D10. 下列哪个是正确的因式分解?A. \( x^2 - 1 = x + 1 \)B. \( x^2 - 1 = (x - 1)(x + 1) \)C. \( x^2 - 1 = x - 1 \)D. \( x^2 - 1 = x(x - 1) \)答案:B二、填空题(每题2分,共20分)11. 一个数的相反数是它自己,这个数是_。
答案:012. 如果 \( a \) 是一个正数,那么 \( a^2 \) 一定_。
答案:大于013. 绝对值最小的数是_。
答案:014. 如果 \( b \) 是一个负数,那么 \( -b \) 是_。
初一数学下能力测试题(一)班级_________姓名___________一.填空题1.多项式4x 2-7xy 2+3x -14是 次 项式,它的二次项是 ,它的最高次项的系数是 ____ ,常数项是 。
2.在代数式0,-x,1x -, 2x π中,单项式有_________ 个。
3.当m= 时,2312m x y -是六次单项式。
4.已知2x 3y 2和-x m y n是同类项,则代数式9m 2-5mn -17的值为 。
5.[-(-x)2]3= ,(a 4)3·(-a 3)5= ,()3723a a a÷⋅=6.()()()8231_______11x x x -÷⋅-=-, 11122______2n n n +--+=⨯ 7.19_________3n n+÷= 20012002120.4_________2⎛⎫⨯= ⎪⎝⎭8.()()2223210310_________---⨯⨯-⨯=(写成科学记数法的形式)二.选择题:1.不是同类项的是( )A.-25与1B.-4xy 2z 2和-4x 2yz 2C.-x 2y 与-yx 2D.-a 3与-4a 32.下列等式中能成立的个数是( )(1) x 2m =(x 2)m (2)a 2m =(-a m )2 (3)x 2m =(x m )2 (4)x 2m =(-x 2)mA.4个B.3个C.2个D.1个 3.下列计算中,正确的是( )A.3a -2a=1B.-m -m=m 2C.7x 2y 3-7x 2y 3=0D.2x 2+2x 2=4x 44.下列去括号中,错误的是( )A.3x 2-(x -2y+5z)=3x -x -5z+2yB.5a 2+(-3a -b)-(2c -d)=5a 2-3a -b -2c+dC.3x 2-3(x+6)=3x 2-3x -6D.-(x -2y)-(-x 2+y 2)=-x+2y+x 2-y 25.下列计算正确的是( )A.(ab m )n =a n b m+nB.[-(-x)2y]2=x 6y 3C.(x -y)(-x+y)=-x 2-y 2D.(5a+3b)(3b -5a)=-25a 2+9b 26.化简()3432212a b a b -⋅÷的结果是( )A.216b B. 216b - C. 223b - D. 223ab -7.下列计算正确的是( )A.236236x x x ⋅=B. 336x x x += C. ()222x y x y +=+ D.()32mm m x x x ÷=8.在下列运算中,正确的是( )A.()10428x x x x ÷÷= B.()()532xy xy xy ÷=C.212n n xx x ++÷= D.423n n n n x x x x -÷⋅=9.()2334a bc ab ⎛⎫-÷- ⎪⎝⎭等于( ) A.214a c B. 14ac C. 294a c D. 94ac 10.下列各乘式中,不能用平方差公式计算的是( ) A.(x -y)(-x+y) B.(-x+y)(-x -y) C.(-x -y)(x -y) D.(x+y)(-x+y)11.若x 2-x -m=(x -m)(x+1)且x ≠0,则m=( ). A.0 B.-1 C.1 D.212.若多项式244x nx m ++等于()22x n +,则m 、n 满足( )A.20m n +=B. 20m n -=C. 20m n +=D. 20n m -= 13.在下列各式中,运算结果是223649y x -+的是( ) A.()()6767y x y x -+-- B. ()()6767y x y x -+- C.()()7479x y x y -+ D. ()()6767y x y x ---14.()()121341224n n n n y y y y ++--+-÷-等于( )A.23111862y y y -++ B. 22121111862n n n y y y +--+ C. 23111862y y y -+ D. 22121111862n n n y yy +---- 15.化简()()()()243a b c b a c a c b b c a -+⋅--⋅+-⋅--结果是( )A.()10a b c --+ B. ()10a b c -+ C. ()10a b c -- D. ()10a b c ---三.计算题 1.()()()32423a a a -⋅-⋅- 2. ()()342232m x y mxy -÷-3.()()()564410510310-⨯⨯⨯ 4. ()()()2323337235x x x x x -⋅--+-⋅5. ()222212252a ab b a a b ab ⎛⎫-⋅--- ⎪⎝⎭6. ()()1002000.252---⨯-7.22322251253523a b a b ab a b b ab ⎛⎫⎛⎫-+--⋅ ⎪ ⎪⎝⎭⎝⎭8.()()()()()453243245422x x x x a a ⎡⎤-⋅---÷---⋅⎢⎥⎣⎦四.解答题 先化简,再求值1.()()222222a a ab b b ab a b ----+-,其中13a =,12b =2.()()()3223222132332mn m mmn n m n ⎡⎤--⋅÷-⎢⎥⎣⎦,其中10m =,1n =-3.已知105m=,104n =,求2310m n -的值.4.一个正方形的一边增加3cm ,另一边减少3cm ,所得到的长方形与这个正方形的每一边减少1cm 所得到的正方形的面积相等,求这个长方形的长和宽。
【小升初衔接】北师大版2023年初一分班考数学专项提升模拟测试卷(A卷)一.选一选(满分16分,每小题2分)1.两个圆柱的底面积相等,高之比是3:2,它们的体积之比是()A.3:2B.2:3C.9:42.一个圆锥的底面半径扩大到原来的3倍,高没有变,体积()A.扩大到原来的3倍B.扩大到原来9倍C.扩大到原来的6倍D.也没有变3.下面没有能与0.5、34、6组成比例的是()B.4C.9D.16A.1164.比例尺是1:4000000的地图上量得甲、乙两地相距24厘米,两火车同时从甲、乙两地相对开出,甲车每小时行72千米,比乙车每小时慢10%,大约()小时后相遇.A.4B.5C.6D.75.下面图形向右平移()格。
A.3B.4C.7D.86.如图()号实线图形绕点O按逆时针方向旋转90 后能得到虚线图形.A.B.C.7.下列各式中,两种量成正比例的是()A .25a b ⨯=B .34a b=C .36a b -=8.下面说确的是()A .长方形的周长一定,长和宽成正比例B .正方形的周长和边长成正比例C .圆的周长一定,π与直径成反比例D .正方形的面积和边长成正比例二.填空题(满分16分,每小题2分)9.把一个圆锥体浸没在底面积是30平方厘米的盛有水的圆柱形容器里,水面升高4厘米且水未溢出,这个圆锥体的体积是立方厘米。
10.长方体容器内装有水,容器内壁底面长方形的长为20cm ,宽为8cm 。
现在把一个圆柱和一个圆锥放入容器内,圆锥全部浸入水中,圆柱有29露在水面上,这时水面升高3cm 。
如果圆柱和圆锥的底面半径、高都分别相等,那么圆柱的体积是立方厘米。
11.一个长方形的长是15厘米,宽是9厘米,现在按照1:3的比例缩小,那么它的长是,宽是,面积是原来的.12.在1:2000000图中,量得A 、B 两地相距3厘米,那么A 、B 两地的实际距离是千米.13.在成立70周年阅兵式上,受检阅车辆在笔直的上行驶,车辆的运动方式是;车辆向左转弯时,方向盘的运动是。
适合初一做的试题及答案试题名称:初一数学基础测试一、选择题(每题2分,共20分)1. 下列哪个数是最小的正整数?A. 0B. 1C. -1D. 2答案:B2. 如果一个数的平方是16,那么这个数是?A. 4B. -4C. 4或-4D. 16答案:C3. 一个圆的半径是3厘米,它的直径是多少厘米?A. 6厘米B. 9厘米C. 12厘米D. 15厘米答案:A4. 以下哪个是奇数?A. 2B. 4C. 5D. 8答案:C5. 一个数的绝对值是5,这个数可能是?A. 5B. -5C. 5或-5D. 0答案:C6. 一个班级有40名学生,其中男生占60%,女生有多少人?A. 16B. 24C. 40D. 20答案:A7. 一个数的倒数是1/4,这个数是多少?A. 4B. 1/4C. 1/2D. 2答案:A8. 一个长方形的长是10厘米,宽是5厘米,它的周长是多少厘米?A. 30厘米B. 15厘米B. 20厘米D. 25厘米答案:A9. 一个数的平方根是4,这个数是多少?A. 16B. 8C. 2D. 4答案:A10. 以下哪个是质数?A. 2B. 4C. 6D. 8答案:A二、填空题(每题2分,共20分)1. 一个数的平方是25,这个数是______。
答案:5或-52. 圆的周长公式是______。
答案:2πr3. 一个数的立方是-27,这个数是______。
答案:-34. 如果一个数的绝对值是3,那么这个数可能是______。
答案:3或-35. 一个班级有50名学生,男生占40%,女生占______。
答案:60%6. 一个直角三角形的两条直角边分别是3和4,斜边的长度是______。
答案:57. 一个数的倒数是2/3,这个数是______。
答案:3/28. 一个长方形的长是8厘米,宽是4厘米,它的面积是______。
答案:32平方厘米9. 一个数的平方根是2,这个数是______。
答案:410. 以下哪个是合数?答案:4三、简答题(每题10分,共20分)1. 解释什么是有理数,并给出两个有理数的例子。
第一讲有理数之基础过关无理数:无限不循环小数有理数:1.除了无限不循环小数以外其他所有的数。
2.能够表示成分数m n(0n ≠,m 、n 均为整数且互质)形式的数。
有理数——整数和分数统称为有理数⎧⎧⎫⎪⎬⎪⎨⎭⎪⎪⎪⎨⎩⎪⎫⎧⎪⎪⎨⎬⎪⎪⎩⎭⎩正整数自然数整数零负整数有理数正分数分数有限小数和无限循环小数负分数 数轴、相反数、绝对值、倒数、负倒数数轴: 规定了原点、正方向和单位长度的直线叫做数轴。
相反数:只有符号不同的两个数,互称为相反数。
注意:求一个数或式子的相反数,只要在数和式子的前面加负号。
绝对值:点到原点距离。
注意:正数的绝对值是本身,0的绝对值是0,负数的绝对值是它的相反数。
倒数: 乘积为1的两个数互为倒数。
负倒数:乘积为-1的两个数互为负倒数。
【例1】某公车原先有 22人,经过 4个站点时上下车情况如下(上车为正,下车为负):(+4,-8),(-5,+6),(-3,+2),(+1,-7),则①“+4”、“-5”分别表示什么意义?②这4个站点总共新上了多少人?③经过 4个站点后,车上还有多少人?【例2】-a 的相反数为 5,b 的倒数是c ,c 的负倒数是2,d 在数轴的左边且与原点的距离为3,求32()a b d c ---的值。
【例3】已知a ,b 互为相反数,x 的绝对值为2,c 、d 互为倒数,试求219971998()()()x a b cd x a b cd ++++++-的值。
【例4】若有 x ,y 满足22002(1)1210x x y -+-+=,则22x y +的值为多少?【例5】式子212x ++的最小值是 ,这时x = 。
【例6】已知()22560x y y +++-=,则22315y xy x x -++= 。
【例7】改革开放以来,我国国内生产总值由1978年的3645亿元增长到2008年的300670亿元。
将300670亿元用科学记数法表示应为元,保留两个有效数字结果为元,精确到万亿元结果为元。
七年级数学上学期期末复习精选测试题(能力提高卷)一.选择题(共10小题)1.下列说法中:①|﹣a|一定是正数;②m+|m|的结果必为非负数;③如果a大于b,那么a 的倒数小于b的倒数;④n个数相乘,积的符号由负因数的个数决定;⑤如果两个数的绝对值相等,那么这两个数互为相反数;正确的个数有()A.1个B.2个C.3个D.4个2.四个有理数﹣2,﹣1,0,1,其中最小的是()A.﹣2B.﹣1C.0D.13.如表是2020年部分国家的GDP比上一年的增长率,其中增长率最低的国家是()中国美国埃及日本2.3%﹣3.49% 3.57%﹣5.81%A.中国B.美国C.埃及D.日本4.单项式﹣22xy2的次数是()A.2B.3C.4D.55.已知(x﹣1)6=a6x6+a5x5+a4x4+a3x3+a2x2+a1x+a0,将x=0代入这个等式中可以求出a0=1.用这种方法可以求得a6+a5+a4+a3+a2+a1的值为()A.﹣16B.16C.﹣1D.16.下列各组中的两个单项式是同类项的是()A.xy与xyz B.3a2b与3ab2C.35与﹣12D.﹣m与n7.如表是德国足球甲级联赛某赛季的部分球队积分榜:球队比赛场次胜场负场平场积分沃尔夫斯堡34217669斯图加特34207767柏林赫塔34864规定:负一场积0分.观察后可知,柏林赫塔在这个赛季的胜场次数是()A.18场B.19场C.20场D.21场8.某次篮球积分赛,每队均比赛14场,胜一场记2分,平一场记1分,负一场记0分.某中学篮球队的胜场数是负场数的3倍,这个蓝球队在这次积分赛中积分可能为( ) A .12B .17C .20D .229.下列说法:①画射线AB =6cm ;②设a 表示一个数,则﹣a 一定不是正数;③射线AB 与射线BA 是同一条射线;④用两个钉子就可以把一根木条固定在墙上,依据的数学原理是两点确定一条直线.其中正确的个数有( ) A .1个B .2个C .3个D .4个10.已知线段AB ,延长AB 至C ,使AB =mBC ,反向延长AB 至D ,使AD =13BD ,若AB :CD =6:13,则m 的值为( ) A .65B .43C .32D .53二.填空题(共10小题)11.如图,在数轴上点A 表示a ,点C 表示c ,且|a +20|+(c ﹣30)2=0.动点B 从数1对应的点开始向右运动,速度为每秒1个单位长度,同时点A ,C 在数轴上运动,点A ,C 的速度分别为每秒2个单位长度,每秒3个单位长度,运动时间为t 秒.若点A 向左运动,点C 向右运动,2AB ﹣mBC 的值不随时间t 的变化而改变,则m 的值是 .12.|﹣2|= ;﹣2的相反数是 ;﹣2的倒数是 .13.(2021秋•青山区期末)武汉冬季一天的温差是12℃,这天最低气温是﹣3℃,最高气温是 ℃.14.若2a ﹣b =﹣1,则6+8a ﹣4b = . 15.已知x =6,则x 2﹣x +6的值是 .16.单项式﹣xy 2z 的系数、次数分别为 、 .17.如图,是编号为1、2、3、4的400m 跑道,每条跑道由两条直的跑道和两端是半圆形的跑道组成,每条跑道宽1m ,内侧的1号跑道长度为400m ,则2号跑道比1号跑道长 m ;若在一次200m 比赛中(每个跑道都由一个半圆形跑道和部分直跑道组成),要使得每个运动员到达同一终点线,则4号跑道起跑点比2号跑道起跑点应前移 m (π取3.14).18.若方程2x+b=x﹣1的解是x=﹣4,那么b的值是.19.如图,直线AB,CD相交于点O,OE平分∠BOD,OF平分∠COE.若∠BOF=30°,则∠DOE=°.20.在如图所示的小正方形组成的网格中,点A,B,C,D,O均在格点(网格线交点)上,那么∠AOC∠BOD(填“>”,“<”或“=”).三.解答题(共10小题)21.某粮库原有大米132吨,一周内该粮库大米的进出情况如表:(运进大米记作“+”,运出大米记作“﹣”).某粮库大米一周进出情况表(单位:吨)星期一星期二星期三星期四星期五星期六星期日﹣32+26﹣23﹣16m+42﹣21(1)若经过这一周,该粮库存有大米88吨,求m的值,并说明星期五该粮库是运进还是运出大米,运进或运出大米多少吨?(2)若大米进出库的装卸费用为每吨25元,求这一周该粮库需要支付的装卸总费用.22.计算:(1)3﹣(+63)﹣(﹣41);(2)(﹣1)2022×|112|﹣(0.5)÷(−13).23.数轴上有A ,B ,C 三点,A ,B 表示的数分别为m ,n (m <n ),点C 在B 的右侧,AC ﹣AB =2.(1)如图1,若多项式(n ﹣1)x 3﹣2x 7+m +3x ﹣1是关于x 的二次三项式,请直接写出m ,n 的值;(2)如图2,在(1)的条件下,长度为1的线段EF (E 在F 的左侧)在A ,B 之间沿数轴水平滑动(不与A ,B 重合),点M 是EC 的中点,N 是BF 的中点,在EF 滑动过程中,线段MN 的长度是否发生变化,请判断并说明理由; (3)若点D 是AC 的中点.①直接写出点D 表示的数 (用含m ,n 的式子表示); ②若AD +2BD =4,试求线段AB 的长.24.(1)化简:﹣4(a 3﹣3b 2)+(﹣2b 2+5a 3);(2)先化简,再求值:2ab +6(12a 2b +ab 2)﹣[3a 2b ﹣2(1﹣ab ﹣2ab 2)],其中a =﹣1,b =1.25.先化简,再求值:若A =2x 2+x ﹣3,B =x 2﹣3x +1,其中x =﹣2,求: (1)A +2B 的值; (2)A ﹣B 的值.26.解方程:(1)6x ﹣2(1﹣x )=6; (2)x+13−x−36=3.27.某商场从厂家购进甲、乙两种文具,甲种文具的每件进价比乙种文具的每件进价少20元.若购进甲种文具7件,乙种文具2件,则需要760元. (1)求甲、乙两种文具的每件进价分别是多少元?(2)该商场从厂家购进甲、乙两种文具共50件,所用资金恰好为4400元.在销售时,每件甲种文具的售价为100元,要使得这50件文具销售利润率为30%,每件乙种文具的售价为多少元?28.如图,数轴上点A 表示的数为a ,点B 表示的数为b ,AB 表示点A 和B 之间的距离,C 是AB 的中点,且a 、b 满足|a +3|+(b +3a )2=0. (1)求点C 表示的数;(2)若点P 从A 点出发向右运动,点M 为AP 的中点,在点P 到达点B 之前,求证2BM ﹣BP 为定值;(3)点P 从A 点以每秒2个单位的速度向右运动,点Q 同时从B 点出发以每秒1个单位的速度向左运动,若AP +BQ =3PQ ,求运动时间t .29.如图,已知线段AB ,延长线段BA 至C ,使CB =43AB . (1)请根据题意将图形补充完整.直接写出ACAB= :(2)设AB =9cm ,点D 从点B 出发,点E 从点A 出发,分别以3cm /s ,1cm /s 的速度沿直线AB 向左运动.①当点D 运动到线段AB 上,求AD CE的值;②在点D ,E 沿直线AB 向左运动的过程中,M ,N 分别是线段DE 、AB 的中点.当点C 恰好为线段BD 的三等分点时,求MN 的长.30.(1)如图1,已知点C ,D 在线段AB 上,P 是BD 的中点,线段AB ,CP 的长度m ,n 满足|m ﹣27|+(n ﹣15)2=0,AD :BC =5:7,求线段CD 的长度;(2)已知∠AOB =140°,将射线OB 绕着点O 逆时针旋转一定的角度α(0°<α<140°)得到射线OD ,作∠BOD 的平分线OP ,将射线OP 绕着点O 逆时针旋转60°得到射线OC .∠AOD :∠BOC =1:t .①如图2,若t <1,请直接用含有t 的式子表示出∠AOD 的度数; ②若∠COD =12∠AOC ,求t 的值.。
初一数学测试题题目一:算术运算1. 计算:(1)0.5 + 0.25 (2)0.9 - 0.3 (3)1.5 × 4 (4)6 ÷ 22. 求下列各式的值:(1)5 + 3 × 2 (2)(7 - 3) × 2 (3)10 - 2 × 4 ÷ 2题目二:数的比较1. 比较下列各数的大小,并用“<”、“>”、“=”填空:(1)9 ____ 8 (2)2 ____ 2 (3)7 ____ 82. 将下列各数从小到大排列:6,3,9,5,7,1题目三:数的性质1. 将下列每组数中的奇数和偶数分别写出来:15,10,22;5,8,11;18,7,132. 判断下列各数是奇数还是偶数:(1)19 (2)24 (3)107题目四:分数与小数1. 将下列各分数转化为小数并四舍五入到百分位:(1)1/2 (2)3/4(3)2/5(4)5/82. 判断下列各小数是不是循环小数:(1)0.45 (2)0.333 (3)0.826(4)0.9999题目五:几何图形1. 用直线连接已给的点,并填上图形名称:A(2,3),B(5,3),C(4,7),D(1,7)2. 根据已知条件完成下列等腰三角形:底边长度为6cm,两腰之和为10cm题目六:代数运算1. 求下列各式的值:(1)2x + 4,当x=3时(2)3y - 7,当y=5时(3)5z² - 1,当z=2时2. 求下列各式的值:(1)4a - 3b,当a=2,b=1 (2)2x² - 3y,当x=3,y=1题目七:方程与方程式1. 解下列方程:(1)4x + 3 = 19 (2)2y - 5 = -3 (3)5z - 2z = 142. 根据已知条件,列出方程式:(1)一个未知数的3倍加上6等于15 (2)两个未知数的和为10,差为2题目八:图表分析1. 根据以下柱状图回答问题:(1)哪个州的工厂数量最多?有多少个?(2)哪个州的工厂数量最少?有多少个?(3)哪个州的工厂数量超过50个?2. 根据以下表格回答问题:| 学生姓名 | 朝阳区 | 海淀区 | 丰台区 ||--------|-------|-------|------|| 张三 | 90 | 88 | 86 || 李四 | 92 | 94 | 88 || 王五 | 96 | 91 | 90 |(1)谁的成绩最好?(2)哪个区的平均成绩最高?(3)谁的数学成绩最低?题目九:应用题某商店元旦期间进行促销活动,原价200元的商品打7折出售,而原价300元的商品打85折出售。
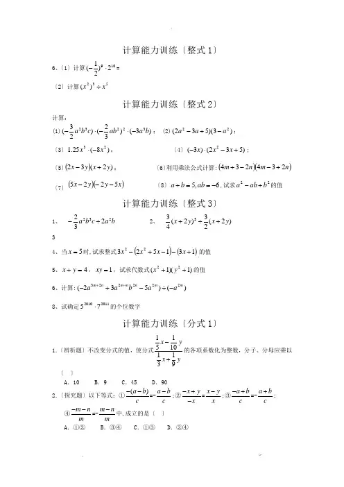
计算能力训练〔整式1〕6、〔1〕计算1092)21(⋅-=〔2〕计算532)(x x ÷ 计算能力训练〔整式2〕计算:(1))3()32()23(32232b a ab c b a -⋅-⋅-; (2))3)(532(22a a a -+-; 〔3〕)8(25.123x x -⋅; 〔4〕)532()3(2+-⋅-x x x ;〔5〕())2(32y x y x +-; 〔6〕利用乘法公式计算:()()n m n m 234234+--+〔7〕()()x y y x 5225--- 〔8〕6,5-==+ab b a ,试求22b ab a +-的值 计算能力训练〔整式3〕1、 b a c b a 232232÷-2、 )2(23)2(433y x y x +÷+ 34、当5=x 时,试求整式()()13152322+--+-x x x x 的值 5、4=+y x ,1=xy ,试求代数式)1)(1(22++y x 的值6、计算:)()532(222223m m n n m n m a a b a a -÷-+-++8、试确定2011201075⋅的个位数字计算能力训练〔分式1〕1.〔辨析题〕不改变分式的值,使分式115101139x y x y -+的各项系数化为整数,分子、分母应乘以〔• 〕A .10B .9C .45D .902.〔探究题〕以下等式:①()a b c --=-a b c -;②x y x -+-=x y x -;③a b c -+=-a b c +; ④m n m --=-m n m-中,成立的是〔 〕 A .①② B .③④ C .①③ D .②④3.〔探究题〕不改变分式2323523x x x x -+-+-的值,使分子、分母最高次项的系数为正数,正确的选项是〔• 〕A .2332523x x x x +++-B .2332523x x x x -++-C .2332523x x x x +--+D .2332523x x x x ---+ 4.〔辨析题〕分式434y x a+,2411x x --,22x xy y x y -++,2222a ab ab b +-中是最简分式的有〔 〕 A .1个 B .2个 C .3个 D .4个5.〔技能题〕约分:〔1〕22699x x x ++-; 〔2〕2232m m m m-+-. 6.〔技能题〕通分:〔1〕26x ab ,29y a bc ; 〔2〕2121a a a -++,261a -. 7.〔妙法求解题〕*+1x=3,求2421x x x ++的值 计算能力训练〔分式2〕1.根据分式的根本性质,分式a a b--可变形为〔 〕 A .a a b -- B .a a b + C .-a a b - D .a a b + 2.以下各式中,正确的选项是〔 〕A .x y x y -+--=x y x y -+;B .x y x y -+-=x y x y ---;C .x y x y -+--=x y x y +-;D .x y x y -+-=x y x y-+ 3.以下各式中,正确的选项是〔 〕A .a m a b m b +=+B .a b a b ++=0C .1111ab b ac c --=-- D .221x y x y x y -=-+ 4.〔2005·**市〕假设a=23,则2223712a a a a ---+的值等于_______. 5.〔2005·市〕计算222a ab a b+-=_________. 6.公式22(1)x x --,323(1)x x --,51x -的最简公分母为〔 〕A .〔*-1〕2B .〔*-1〕3C .〔*-1〕D .〔*-1〕2〔1-*〕3 7.21?11x x x -=+-,则?处应填上_________,其中条件是__________. 拓展创新题 8.〔学科综合题〕a 2-4a+9b 2+6b+5=0,求1a -1b 的值. 9.〔巧解题〕*2+3*+1=0,求*2+21x 的值. 计算能力训练(分式方程1)选择1、〔2009年〕甲志愿者方案用假设干个工作日完成社区的*项工作,从第三个工作日起,乙志愿者加盟此项工作,且甲、乙两人工效一样,结果提前3天完成任务,则甲志愿者方案完成此项工作的天数是……………【 】A .8 B.7 C .6 D .52、(2009年市)3.用换元法解分式方程13101x x x x --+=-时,如果设1x y x-=,将原方程化为关于y 的整式方程,则这个整式方程是〔 〕A .230y y +-=B .2310y y -+=C .2310y y -+=D .2310y y --= 3、〔2009襄樊市〕分式方程131x x x x +=--的解为〔 〕 A .1 B .-1 C .-2 D .-34、〔2009〕5.分式方程3221+=x x 的解是〔 〕 A .0=x B .1=x C .2=x D .3=x5、〔2009年〕关于*的方程211x a x +=-的解是正数,则a 的取值围是A .a >-1B .a >-1且a ≠0C .a <-1D .a <-1且a ≠-26、〔2009〕*服装厂准备加工400套运动装,在加工完160套后,采用了新技术,使得工作效率比原方案提高了20%,结果共用了18天完成任务,问方案每天加工服装多少套?在这个问题中,设方案每天加工*套,则根据题意可得方程为〔A 〕18%)201(400160=++x x 〔B 〕18%)201(160400160=+-+xx 〔C 〕18%20160400160=-+x x 〔D 〕18%)201(160400400=+-+x x7、〔2009年市〕解方程xx -=-22482的结果是〔 〕 A .2-=x B .2=x C .4=x D .无解8、〔2009年〕分式方程211x x=+的解是〔 〕 A .1 B .1- C .13 D .13- 9、〔09〕分式方程2131=-x 的解是〔 〕 A .21=x B .2=x C .31-=x D .31=x 10、〔2009年〕甲志愿者方案用假设干个工作日完成社区的*项工作,从第三个工作日起,乙志愿者加盟此项工作,且甲、乙两人工效一样,结果提前3天完成任务,则甲志愿者方案完成此项工作的天数是【 】A .8 B.7 C .6 D .511、〔2009年〕方程121x x=-的解是〔 〕 A .0 B .1C .2 D .312、〔2009年省〕解分式方程11222x x x-+=--,可知方程〔 〕 A .解为2x = B .解为4x =C .解为3x =D .无解13、〔2009年〕方程121x x=-的解是〔 〕 A .0 B .1C .2 D .314、〔2009年省〕解分式方程11222x x x-+=--,可知方程〔 〕 A .解为2x = B .解为4x =C .解为3x =D .无解计算能力训练(分式方程2)填空1、〔2009年市〕请你给*选择一个适宜的值,使方程2112-=-x x 成立,你选择的*=________。
第四章 三角形【提高能力测试】 题型发散1.选择题,把正确答案的代号填入题中括号内. (1)下列各条件中,不能作出惟一直角三角形的是( ) (A)已知两直角边 (B)已知两锐角 (C)已知一直角边和一锐角 (D)已知斜边和一直角边(2)已知AM 、AH 、AD 分别是△ABC 的BC 边上的中线、高线和∠A 的平分线,AB≠AC ,那么AM 、AH 、AD 的位置关系为( )(A)AD 在AM 和AH 之间 (B)AM 在AD 和AH 之间 (C)AH 在AD 和AM 之间 (D)不能确定(3)已知三角形的两边长为2和7,第三边的数值是奇数,那么这个三角形的周长是( )(A)14 (B)15 (C)16 (D)17(4)在△ABC 中,若∠A=21∠B=31∠C ,那么这个三角形是( )(A)锐角三角形 (B)直角三角形 (C)钝角三角形 (D)以上都不对(5)已知线段m ,n(m>n),用直尺和圆规作等腰△ABC ,使AB=AC=m ,BC=n ,再分别以AB 、AC 为边向三角形外作等边△ABD 和等边△ACE ,连结BE 、CD ,那么( )(A)BE>CD (U)BE=CD (C)BE<CD (D)BE≤CD(6)在△ABC 中,AB>AC ,AD 为BC 边上的中线,则∠DAB 与∠DAC 的大小关系是( )(A)∠DAB>∠DAC (B)∠DAB<∠DAC (C)∠DAB=∠DAC (D)不能确定2.填空题.(1)在△ABC 中,AB=AC ,BD 平分∠ABC 交AC 于D ,DE 垂直平分AB ,垂足为E ,则∠C=______________(2)在锐角△ABC 中,高AD 和BE 交于H 点,且BH=AC ,则∠ABC=___ _度.(3)已知△ABC ,D 在AC 上,∠A=︒36,∠DBC=︒36,∠C=︒72,那么∠BDC=_________度,∠ABD=_________度,其中等腰三角形有__________(4)边长为2,x-4,5的三根木条首尾相接组成三角形,则x 的取值范围是______________.(5)在△ABC 中,如果()242>-=n n a ,b=4n ,则c=_______时,∠C=︒90. (6)在Rt △ABC 中,AB=2AC ,CD 、CE 分别是斜边上的中线和高,则∠DCE=____________.解法发散1.如图5—75,已知在△ABC 中,AB=AC ,延长AB 到D ,使 BD=AB ,E 为AB 的中点,求证:CD=2CE.(按原图与如下四个图(见图5-76(a)~(d))所作辅助线用五种方法证明)2.如图5—77,已知在△ABC 中,∠A=︒90,∠C 的平分线交对边AB 于点E ,交斜边上的高AD 于O ,过点O 作OF ∥CB 交AB 于F ,求证:AE=BF.(用两种方法证明)3.如图5—78,已知△ABC 中,∠B 是锐角,且∠B=2∠C ,AD 是BC 边上的高.求证:AB+BD=DC(用两种方法证明)变换发散1.如图5—79,已知在△ABC 中,AB=AC ,P 是三角形内一点且有∠APB>∠APC.求证:PB<PC.2. 如图5—80,△ABC 按逆时针旋转至△C B A ''的位置,使AC 平分B B '.求证:B A '也平分C C '.逆向发散发散题如图5—81,在△ABC中,已知AB=AC,BD=DC,DE⊥AB,DF⊥AC.求证:DE=DF.构造发散1.如图5—82,在△ABC中,AD为∠A的平分线,E为BC的中点,过E作EF∥AD交AB于G,交CA的延长线于F,求证:BG=CF.2.如图5—83,已知在△ABC中,∠A=2∠B,CD是∠C的平分线.求证:BC=AC+AD.3.如图5—84,在等边三角形ABC中,延长BC到D,延长BA到E,使AE=BD,连CE、DE.求证:CE=DE.变更命题发散1.如图5—85,已知在△ABC中,CF是AB边上的高,BE是AC边上的高,若AB>AC.求证:BE>CF.2.如图5—86,AB=AE,∠B=∠E.BC=ED.F是CD的中点.求证:AF⊥CD.3.如图5—87,AB=AE,BC=ED,∠B=∠E,求证:∠C=∠D.迁移发散1.已知△ABC的周长是12cm,若c+a=2b,c-a=2cm,求a、b、c的长度.2.如图5—88,已知△ABC 中,AB=2CA ,且CA 为最小边.求证:61(AB+BC+CA)<CA<41(AB+BC+CA).综合发散1.如图5—89,已知自Rt △ABC 的直角顶点A 作BC 上的高AD.求证:AD+BC>AB+AC2.如图5—90,C 是线段AB 上一点,分别以AC 、CB 为一边作等边三角形ACD 和CBE ,AE 交CD 于M ,BD 交CE 于N.求证:(1)△CMN 是等边三角形; (2)MN ∥AB.3.已知D 是△ABC 中∠BAC 平分线AE 上一点,AB>AC.求证:AB-AC>BD-DC.4.在△ABC 中,∠C= 90,AC=BC ,过C 在△ABC 外作直线MN ,使AM ⊥MN 于M ,BN ⊥MN 于N.(1)求证:MN=AM+BN ;(2)若过C 在△ABC 内作直线MN ,当MN 位于何位置时,AM 、BN 和MN 之间满足关系式AM-BN=MN.并证明之.5.如图5—91,已知:O 是△ABC 内一点.求证:(1)∠BOC>∠A ; (2)21(BC+CA+AB)<OA+OB+OC.6.如图5—92,在等腰直角三角形ABC 中,P 为斜边BC 的中点,D 为BC 上任一点,DE ⊥AB ,DF ⊥AC.求证:PE=PF ,PE ⊥PF.参考答案【提高能力测试】 题型发散1.(1)(B) (2)(A) (3)(C) (4)(B) (5)(B) (6)(B)2.(1)︒70 (2)︒45 (3)︒︒,3672,△ABC,△ABD,△BCD.(4)7<x<11.(5)42+n .(6)︒30.解法发散1.证法1如图5—75,取CD 的中点F ,连结BF. ∵AB=BD ,∴BF ∥AC ,且BF=21AC. ∴∠2=∠ACB.∵AB=AC , ∴∠1=∠ACB.∴∠1=∠2 ∵BE=21AB ,∴BE=BF.又∵BC=BC , ∴△BCE ≌△BCF.∴CE=CF.∴CD=2CE. 以下四种证法省略.2.证法1如图5—77,过点E 作EK ⊥BC ,垂足为K. ∵E 是∠C 平分线,∠BAC=︒90,∴EK=EA.又∠1和∠2同是21∠ACB 的余角,∴∠1=∠2,∠2=∠3,∠1=∠3. ∴AE=AO=EK ,又FO ∥BC ,∴∠AFO=∠EBK,∠AOF=∠EKB=︒90, ∴Rt △AOF ≌△EKB. ∴AF=EB.故AE=BF.证法2如图85'-过点O 作OG ∥AB 交BC 于G ,则BGOF 是平行四边形.∴BF=GO.∵∠AOE=∠1+∠3,∠AEO=∠B+∠2, 又∠BAC=︒90,AD ⊥BC ,∴∠B=∠1.∵CE 是∠ACB 的平分线, ∴∠2=∠3.∴∠AOE=∠AEO. ∴AE=AO.在△AOC 和△GOC 中,∵∠CGO=∠B=∠1,∠2=∠3,OC 为公共边, ∴△AOC ≌△GOC ,AO=GO=AE=BF ,故AE=BF. 3.证法1在DC 上截取DE=DB ,连结AE. ∵AD ⊥DE ,BD=DE.AB=AE.∴∠B=∠AEB. ∵∠B=2∠C.∴∠AEB=2∠C. ∴∠C=∠EAC.∴AE=EC=AB. ∵DC=DE+EC ,∴AB+BD=DC.证法2如图95'-,延长CB 到F ,使BF=AB ,连AF.在△AFB 中,∵AB=BF.∴∠F=∠BAF.∵∠ABC=∠F+∠BAF ,即∠ABC=2∠F , 又∠ABC=2∠C ,∠F=∠C. ∴AC=AF.又AD ⊥FC ,FD=DC.∵FD=FB+BD ,FD=AB+BD ,即AB+BD=DC. 变换发散1.分析:∵AB=AC ,本题以等腰三角形ABC 的顶点A 为旋转中心,顶角(∠BAC)为旋转角,旋转到P AC ',的位置.欲证P C PC '>,连P P ',只须证PC P C P P '∠>'∠.∵C P A APC '∠<∠,又P P A P AP '∠='∠ ∴PC P C P P '∠>'∠.∴C P PC '>. 问题得证.证明:以A 为顶点,以AC 为边,在△ABC 外作PAB AC P ∠='∠,在P A '上取AP P A =',连C P '.∵AB=AC.∴P AC ABP '∆≅∆. ∴APB C P A ∠='∠,连P P ' ∵P A AP '=,∴P P A P AP '∠='∠ ∴PC P C P P '∠>'∠.∴C P PC '> ∵PB C P ='.∴PC>PB. 2.证法1在△B AB '中,∵B A AB '=,AC 平分B B ',∴AC 是等腰B AB '∆的顶角平分线, 即C A B BAC AC B BAC ''∠=∠'∠=∠.,C MA MAC '∠=∠. 又在△AMC 和C AM '∆中,∵C A AC '=,C MA MAC '∠=∠,AM=AM , ∴C AM AMC '∆≅∆.∴C M MC '=.故B A '平分C C '.证法2可通过证明C A B BAC AC B BAC ''∠=∠'∠=∠,, 从而得C A B AC B ''∠='∠,可证得B A ',平分C C '. 逆向发散提示连结AD ,AD 是等腰三角形的顶角平分线,本题应用角平分线的两个互逆定理证明.构造发散1.分析:因有∠BGE=∠F ,欲证BG=CF 可考虑证明其所在的三角形全等,而△GBE 和△CFE 明显不全等,故须构造含已知角和欲证线段为边的直角三角形,或使夹已知角的另一对边相等,又注意到条件中有BE=CE ,若作BP ⊥EF ,CQ ⊥EF ,须证BP=CQ ,然此易由Rt △BPE ≌Rt △CQE 得到.证明:过B 、C 分别作BP ⊥EF ,CO ⊥FE. 垂足分别为P 、Q ,则BP ∥CQ 阅.∴∠PBE=∠QCE ,而BE=CE ,∴Rt △QPE ≌Rt △CAE.BP=CQ.又EF ∥DA ,AD 平分∠A ,∠BGE=∠F.∴Rt △BPG ≌Rt △CQF.故BC=CF.2.证明:在CB 上截取CE=CA ,连DE ,构造新三角形△CDE.在△ACD 和△ECD 中,∵AC=EC ,∠1=∠2,CD=CD ,∴△ACD ≌△ECD.∴AD=DE ,∠CED=∠A.∵∠A=2∠B ,∴∠CED=2∠B.∴∠B=∠EDB.∴DE=EB=AD.∵BC=CE+EB ,∴BC=AC+AD.3.分析:延长BD 到F ,使DF=BC 连结EF ,则BE=BF ,构造△DEF ,欲证△BCE ≌△FDE.证明:∵∠B=︒60,BE=BF ,∴△EFB 是等边三角形.∴∠B=∠F.∵BC=DF ,BE=FE ,∴△BCE ≌△FDE.∴CE=DE.变更命题发散1.∵CF AB S BE AC S ABC ABC ⋅=⋅=∆∆21,21, ∴CF AB BE AC ⋅=⋅.∵AB>AC ,∴BE>CF.2.连结AC 、AD.在△ABC 和△AED 中,∵AB=AE ,∠B=∠E ,BC=ED ,∴△ABC ≌△AED.∴AC=AD.在△ACF 和△ADF 中,∵AC=AD ,AF=AF ,CF=DF ,∴△ACF ≌△ADF.∴∠AFC=∠AFD.∵∠CFD=︒180,∴∠AFC=︒=︒⋅9018021.∴AF ⊥CD. 3.连结AC 、AD.∵AB=AE ,∠B=∠E ,BC=ED ,∴△ABC ≌△AED(SAS).∴∠1=∠2,AC=AD(全等三角形的对应角、对应边相等).∴在△ACD 中,∠3=∠4.∴∠1+∠3=∠2+∠4,即∠BCD=∠EDC.迁移发散1.解:依题意,得方程组:⎪⎩⎪⎨⎧=-=+=++2212a c ba c cb a 解方程组,得:a=3(cm),b=4(cm),c=5(cm). 2.设AC=a ,AB=2a ,周长AB+BC+CA=l ,则:AB+BC+CA=2a+a+BC.∵BC>a ,∴AB+BC+CA>2a+a+a=4a.∴4l a <又BC<AB+CA=2a+a=3a ,则l=AB+BC+CA<2a+3a+a=6a.∴6l a >.综上46l a l <<. ∴即61(AB+BC+CA)<CA<41(AB+BC+CA). 综合发散1.分析:在BC 上截取BE=AB ,作EF ⊥AC 于F ,连结AE ,构造Rt △AEF 和Rt △ADE ,证明这两个直角三角形全等.证明:如图015'-,在BC 上截取BE=AB ,作EF ⊥AC 于F ,连结AE.∵BA ⊥AC ,EF ⊥AC ,∴AB ∥EF.∴∠BAE=∠2.又∠BAE=∠1,∴∠1=∠2.在Rt △ADE 和Rt △AEF 中,∵AE=AE ,∠1=∠2,∴Rt △ADE ≌Rt △AEF.∴AD=AF.∵BE=AB,EC>FC,∴AD+BE+FC>AF+AB+FC,即AD+BC>AB+AC.2.(1)∵△ACD和△CBE是等边三角形,∴AC=CD,CE=CB.∵∠ACD=∠ECB=︒60.60,∴∠BCE=︒∴∠ACE=∠DCB.∴△ACE≌△DCB.(SAS).∴∠AEC=∠DBC.在△MCE和△NCB中,∵∠AEC=∠DBC,CE=CB,∠MCE=∠NCB=︒60,∴△MCE≌△NCB.∴MC=NC.又∠MCN=︒60,∴△CMN是等边三角形.(2)∵∠NMC=∠ACM=︒60,∴MN∥AB.3.∵AB>AC,在AB上截取AF=AC,连结DF,则△ADF≌△ADC,∴DF=DC.在△DBF中,BF>DB-DF,∴BF>DB-DC.∵BF=AB-AC.即有AB-AC>DB-DC.4.(1)如图11-,5'∵AM⊥MN,BN⊥MN,∴∠AMC=∠BNC=︒90.∵∠ACB=︒90.∴∠MCA+∠NCB=︒90.∴∠ACM=∠CBN.又AC=CB ,∴△ACM ≌△CBN ,MC=BN ,AM=CN.∴MN=AM+BN.(2)若过C 在△ABC 内作直线MN ,当MN 经过等腰直角△ABC 的底边AB 的中点时,MN 、AM 、BN 之间满足关系式MN=AM-BN.证明略.5.(1)如图215'-延长BO 交AC 于点D.∵∠BOC 是△OCD 的外角,∴∠BOC>∠1.同理可证∠1>∠A ,∴∠BOC>∠A.(2)连结OA.在△ABO 中,∵AB<OA+OB ,同理BC<OB+OC ,AC<OA+OC.∴BC+CA+AB<2(OA+OB+OC) 即21(BC+CA+AB)<OA+OB+OC.6.连结AP.∵AP=BP=PC ,AF=ED=BE ,∠PAF=∠PBE=︒45,∴△PAF ≌△PBE.∴∠APF=∠BPE.∴PE=PF.∠APF+∠APE=∠BPE+∠APE.又∠APF+∠APE+∠BPE+∠APE=︒180,∴∠EPA+∠APF=︒90.即PE ⊥PF.。
数学七年级上册能力培养与测试一、引言数学,作为一门基础学科,对学生的逻辑思维能力、数学问题解决能力和数学应用能力等方面都有很高的要求。
在七年级上册,学生将接触到更多的数学知识,并逐渐培养和提高自己的数学能力。
本文将围绕数学七年级上册的能力培养与测试展开探讨,深入分析数学能力的培养和测试,并共享个人观点和理解。
二、数学能力的培养1. 培养逻辑思维能力在七年级上册,学生需要逐渐培养自己的逻辑思维能力,学会运用数学知识解决问题。
逻辑思维是数学学习的重要基础,学生需要通过大量的练习和思考,逐渐提高自己的逻辑思维水平。
在解决代数方程式的过程中,学生需要通过推理和归纳来找到解题的方法,这既考验了学生的逻辑思维能力,也促进了数学能力的培养。
2. 培养数学问题解决能力数学七年级上册的学习内容涉及到多种数学问题的解决方法,例如方程的解法、几何图形的性质等。
这就要求学生在解决问题时,能够灵活运用所学的知识,找到最合适的解题方法。
为了培养学生的数学问题解决能力,老师可以设计一些拓展性的数学问题,让学生动脑筋思考,培养他们的解决问题的能力。
3. 培养数学应用能力数学七年级上册的知识内容不再局限于纸面上的计算和推理,还涉及到了数学在实际生活中的应用。
学生需要学会将所学的数学知识应用到实际生活中,解决实际问题。
这就要求学生具备一定的数学应用能力,能够将抽象的数学知识与实际问题相结合,进行分析和解决。
培养数学应用能力,可以通过设计一些生活中的数学问题,让学生动手操作、做实验,从而提高他们的数学应用能力。
以上三点是数学能力培养的重要方面,通过对这些方面的培养,可以帮助学生在数学学习中获得更加全面的提升。
三、数学能力的测试1. 组织视觉思维测试视觉思维测试是一种通过观察、分析和判断来检验学生视觉思维能力的测试形式。
在数学学习中,视觉思维能力是非常重要的,例如在解决几何图形的性质问题时,需要学生具备较强的视觉思维能力。
可以通过组织视觉思维测试来检验学生在这方面的表现,并为他们提供相应的培训和辅导。
2022年新人教版七年级数学上册第2单元综合能力提升测试卷时间:120分钟满分:120分班级__________姓名__________得分__________一、选择题(共7小题,满分21分,每小题3分)1.(3分)要比较A=2xx+1与B=x+12中的大小(x是正数),知道A﹣B的正负就可以判断,则下列说法正确的是()A.A≥B B.A>B C.A≤B D.A<B 2.(3分)已知有2个完全相同的边长为a、b的小长方形和1个边长为m、n的大长方形,小明把这2个小长方形按如图所示放置在大长方形中,小明经过推理得知,要求出图中阴影部分的周长之和,只需知道a、b、m、n中的一个量即可,则要知道的那个量是()A.a B.b C.m D.n3.(3分)如图所示,三张正方形纸片①,②,③分别放置于长(a+b),宽(a+c)的长方形中,正方形①,②,③的边长分别为a,b,c,且a>b>c,则阴影部分周长为()A.4a+2c B.4a+2b C.4a D.4a+2b+2c 4.(3分)有依次排列的3个整式:x,x+7,x﹣2,对任意相邻的两个整式,都用右边的整式减去左边的整式,所得之差写在这两个整式之间,可以产生一个新整式串:x,7,x+7,﹣9,x﹣2,则称它为整式串1;将整式串1按上述方式再做一次操作,可以得到整式串2;以此类推.通过实际操作,得出以下结论:①整式串2为:x,7﹣x,7,x,x+7,﹣x﹣16,﹣9,x+7,x﹣2;②整式串3共17个整式;③整式串3的所有整式的和比整式串2的所有整式的和小2;④整式串2021的所有整式的和为3x ﹣4037;上述四个结论正确的有( )个.A .1B .2C .3D .45.(3分)某楼盘在今年国庆节期间,为了增加销售业绩,提高销售量,该楼盘在原单价为a 元/平方米的基础上降价10%,则降价后的单价为( )元/平方米.A .(1+10%)aB .(1﹣10%)aC .1+10%aD .10%a6.(3分)甲、乙、丙三家商店对一种定价相同的文具开展促销活动.甲商店一次性降价30%;乙商店连续两次降价15%;丙商店先降价20%后又降价10%.若小雪准备在促销活动中,购买此种文具,则下列说法中,正确的是( )A .小雪到甲商店购买这种文具更合算B .小雪到乙商店购买这种文具更合算C .小雪到丙商店购买这种文具更合算D .在促销活动中,三家商店的这种文具售价相同,小雪可任选一家购买7.(3分)若(2x ﹣1)6=a 6x 6+a 5x 5+a 4x 4+a 3x 3+a 2x 2+a 1x +a 0,则a 6﹣a 5+a 4﹣a 3+a 2﹣a 1的值为( )A .0B .1C .728D .729 二、填空题(共7小题,满分21分,每小题3分)8.(3分)已知代数式3x 2﹣4x ﹣6的值是9,则代数式x 2−43x +2的值是 .9.(3分)已知x 2﹣2x =3,则3x 2﹣6x ﹣4的值为 .10.(3分)当代数式x 2+3x +1的值等于7时,代数式2x 2+6x ﹣2的值是 .11.(3分)某工厂去年春节派甲、乙两辆货车运输一批年货到两个不同的商场,甲车与乙车的行驶时间相同,乙年的平均速度是甲车的3倍.该工厂今年仍用这两辆货车从工厂运送同样的年货到另外两个商场,甲车今年的平均速度不变,乙车今年的平均速度增加了13.结果乙车今年增加的路程是甲车今年增加的路程的3倍,则今年甲车与乙车的行驶时间之比为 .12.(3分)(2x ﹣1)5=a 5x 5+a 4x 4+…+a 1x +a 0,则a 2+a 4= .13.(3分)已知有理数a ,b 满足ab <0,|a ﹣b |=b ﹣a ,a +3b +4=|a ﹣2b |,则代数式a +12b 的值为 .14.(3分)已知单项式2a 3b m 2−3m+n 与﹣3a n b 2是同类项,则代数式2m 2﹣6m +2022的值是 .三、解答题(共10小题,满分78分)15.(6分)先化简,再求值:(x 2﹣y 2﹣2xy )﹣(﹣3x 2+4xy )+(x 2+5xy ),其中x =﹣1,y =2.16.(6分)已知:关于x 、y 的多项式x 2+ax ﹣y +b 与多项式bx 2﹣3x +6y ﹣3的差的值与字母x 的取值无关,求代数式3(a 2﹣2ab ﹣b 2)﹣(4a 2+ab +b 2)的值.17.(6分)已知A =x 2﹣ax ﹣1,B =2x 2﹣ax ﹣1,且多项式A −12B 的值与字母x 取值无关,求a 的值.18.(6分)求值:(1)已知5x ﹣2y =3,求15x ﹣6y ﹣8的值.(2)已知a ﹣b =5,﹣ab =3,求(7a +4b +ab)−6(56b +a −ab)的值.19.(6分)已知代数式A =2m 2+3my +2y ﹣1,B =m 2﹣my .(1)若(m ﹣1)2+|y +2|=0,求3A ﹣2(A +B )的值;(2)若3A ﹣2(A +B )的值与y 的取值无关,求m 的值.20.(9分)为了推进学生综合素质的全面发展,积极落实校本课程.据了解,某校篮球社团有m 人,排球社团比篮球社团人数的34少20人,如果从篮球社团调出15人到排球社团,那么调动后篮球社团的人数比排球社团人数多多少人?当m =60时,问调动后篮球社团的人数比排球社团人数多多少人?21.(9分)某校校长在国庆节带领该校市级“三好学生”外出旅游,甲旅行社说“如果校长买一张票,则其余学生可享受半价优惠”,乙旅行社说“包括校长在内全部按票价的6折优惠”(即按票价的60%收费).现在全票价为240元,学生数为5人,请算一下哪家旅行社优惠?如果是一位校长,两名学生呢?如果是一位校长,x 名学生呢?(用含x 的代数式表示甲、乙两家旅行社的收费)22.(10分)长方形ABCD 的长是a ,宽是b ,分别以A ,C 为圆心,长方形的宽为半径画弧,得到如图所示的图形.(1)请你用代数式表示阴影部分的周长和面积(结果中保留π);(2)当a =4,b =1时,求阴影部分的面积是多少?(π取3.14)23.(10分)我们自从有了用字母表示数,发现表达有关的数和数量关系更加的简洁明了,从而更助于我们发现更多有趣的结论,请你按要求试一试:(1)用代数式表示:①a与b的差的平方;②a与b的平方和与a,b两数积的2倍的差.(2)当a=3,b=﹣2时,求第(1)题中①②所列的代数式的值.(3)由第(2)题的结果,你发现了什么等式?(4)利用你发现的结论,求:20222﹣4044+20212的值.24.(10分)如图,一块正方形纸板剪去四个相同的三角形后留下了阴影部分的图形.已知正方形的边长为a,三角形的高为h.(1)用代数式表示阴影部分的面积;(2)当|a﹣4|和|h﹣1|的值互为相反数时,求阴影部分的面积.参考答案一、选择题(共7小题,满分21分,每小题3分)1.C;2.D;3.A;4.D;5.B;6.A;7.C;二、填空题(共7小题,满分21分,每小题3分)8.79.510.1011.4:312.﹣12013.﹣214.2020三、解答题(共10小题,满分78分)15.解:原式=x2﹣y2﹣2xy+3x2﹣4xy+x2+5xy=5x2﹣xy﹣y2,当x=﹣1,y=2时,原式=5×(﹣1)2﹣(﹣1)×2﹣22=5+2﹣4=3.16.解:(x2+ax﹣y+b)﹣(bx2﹣3x+6y﹣3)=x2+ax﹣y+b﹣bx2+3x﹣6y+3=(1﹣b)x2+(a+3)x﹣7y+b+3,∵(1﹣b)x2+(a+3)x﹣7y+b+3与字母x的取值无关,∴1﹣b=0,a+3=0,∴b=1,a=﹣3,3(a2﹣2ab﹣b2)﹣(4a2+ab+b2)=3a2﹣6ab﹣3b2﹣4a2﹣ab﹣b2)=﹣a2﹣7ab﹣4b2,当b=1,a=﹣3时原式=﹣(﹣3)2﹣7×(﹣3)×1﹣4×12=﹣9+21﹣4=8.17.解:∵A =x 2﹣ax ﹣1,B =2x 2﹣ax ﹣1,∴A −12B=(x 2﹣ax ﹣1)−12(2x 2﹣ax ﹣1)=x 2﹣ax ﹣1﹣x 2+12ax +12=−12ax −12,∵多项式A −12B 的值与字母x 取值无关,∴−12a =0,∴a =0.18.解:(1)15x ﹣6y ﹣8=3(5x ﹣2y )﹣8,当5x ﹣2y =3时,原式=3×3﹣8=9﹣8=1;(2)(7a +4b +ab)−6(56b +a −ab)=7a +4b +ab ﹣5b ﹣6a +6ab=a ﹣b +7ab ,∵﹣ab =3,∴ab =﹣3,当a ﹣b =5,ab =﹣3时,原式=5+7×(﹣3)=5﹣21=﹣16.19.解:(1)∵(m ﹣1)2+|y +2|=0,∴m ﹣1=0,y +2=0,∴m =1,y =﹣2,∵A =2m 2+3my +2y ﹣1,B =m 2﹣my ,∴3A ﹣2(A +B )=3(2m 2+3my +2y ﹣1)﹣2(2m 2+3my +2y ﹣1+m 2﹣my )=6m 2+9my +6y ﹣3﹣4m 2﹣6my ﹣4y +2﹣2m 2+2my=5my +2y ﹣1,当m =1,y =﹣2时,原式=5×1×(﹣2)+2×(﹣2)﹣1=﹣15;(2)∵3A ﹣2(A +B )=5my +2y ﹣1=(5m +2)y ﹣1,又∵此式的值与y 的取值无关,∴5m +2=0,∴m =−25.20.解:排球社团的人数为:(34m ﹣20)人, 调动后排球社团的人数为:(m ﹣15)人,调动后排球社团的人数为:(34m ﹣20+15)=(34m ﹣5)人, 调动后篮球社团的人数比排球社团人数多的人数为:(m ﹣15)﹣(34m ﹣5)=(14m ﹣10)人; 当m =60时,14m ﹣10=14×60﹣10=5(人). 答:当m =60时,调动后篮球社团的人数比排球社团人数多5人.21.解:甲旅行社总费用为:240+240×5×50%=840(元),乙旅行社总费用为:240×6×60%=864(元)所以甲旅行社优惠.若1名校长,2名学生,那么:甲旅行社总费用为:240+240×2×50%=480(元),乙旅行社总费用为:240×3×60%=432(元)所以乙旅行社优惠.若1名校长,x 名学生,那么:甲旅行社总费用为:240+240×x ×50%=240+120x 乙旅行社总费用为:240×(x +1)×60%=144x +144,①当甲旅行社总费用<乙旅行社总费用得:240+120x <144x +144,解得x >4,所以当学生人数多于4人时,甲旅行社更优惠.②当甲旅行社总费用=乙旅行社总费用得,得240+120x =144x +144,解得x =4,所以当有4名学生时,两家旅行社的收费一样.③当甲旅行社总费用>乙旅行社总费用得:240+120x >144x +144,解得x<4,所以当学生人数少于4人时,乙旅行社更优惠.22.解:(1)∵四边形ABCD是长方形,∴AB=CD,∴两个14圆=半圆,∴C阴影=2(a−b)+2×14×2πb=2a−2b+πb,∴S阴影=S长方形ABCD﹣S半圆=ab−12πb2;(2)将a=4,b=1代入ab−12πb2得:4−π2=4﹣1.57=2.43.23.解:(1)①a与b的差的平方为:(a﹣b)2;②a与b的平方和与a,b两数积的2倍的差为a2+b2﹣2ab;(2)当a=3,b=﹣2时,(a﹣b)2=(3+2)2=52=25,a2+b2﹣2ab=9+4﹣2×3×(﹣2)=9+4+12=25;(3)(a﹣b)2=a2+b2﹣2ab;(4)20222﹣4044+20212=20222﹣2×2022×2021+20212+2×2022×2020=(2022﹣2021)2+2×2022×2020=1+8168880=8168881.24.解:(1)a2﹣4×1 2ah=a2﹣2ah;(2)∵|a﹣4|和|h﹣1|的值互为相反数,∴|a﹣4|+|h﹣1|=0,∴a﹣4=0,h﹣1=0,∴a=4,h=1,∴a2﹣2ah=42﹣2×4×1=16﹣8=8,∴阴影部分的面积为8.。
第一章有理数拔尖测试题一、选择题:(每小题3分,共30分)1、设a 是最小的自然数,b 是最大的负整数,c 是绝对值最小的有理数,则a-b+c•的值为( )A.-1B.0C.1D.22、下列说法中正确的是( )A.两个负数相减,等于绝对值相减;B.两个负数的差一定大于零C.负数减去正数,等于两个负数相加;D.正数减去负数,等于两个正数相减3、计算: 123456789100.10.20.30.40.50.60.70.80.9-+-+-+-+-++++++++的结果为( ) A.91 B.911 C.91- D.911- 4、若三个不等的有理数的代数和为0,则下面结论正确的是( )A.3个加数全为0B.最少有2个加数是负数C.至少有1个加数是负数D.最少有2个加数是正数5、以下命题正确的是( ).(A )如果那么a 、b 都为零 (B )如果 ,那么a 、b 不都为零 (C )如果 ,那么a 、b 都为零 (D )如果 ,那么a 、b 均不为零6、若,则的值为( )A .B .C .0D .47、绝对值大于 1 小于 4 的整数的和是( )A 、0B 、5C 、-5D 、108、a,b 互为相反数,下列各数中,互为相反数的一组为( )A.a 2与b 2B. a 3与b 3C. a 2n 与b 2n (n 为正整数)D. a 2n+1与b 2n+1(n 为正整数)9、若a 2003·(-b)2004<0,则下列结论正确的是( )A .a>0,b>0 B.a<0,b>0 C.a<0,b<0 D.a<0,b ≠0。
10、 2008年5月5日,奥运火炬手携带着象征“和平、友谊、进步”的奥运圣火火种,离开海拔5200米的“珠峰大本营”,向山顶攀登.他们在海拔每上升100米,气温就下降0.6°C 的低温和缺氧的情况下,于5月8日9时17分,成功登上海拔8844.43米的地球最高点.而此时“珠峰大本营”的温度为-4°C ,峰顶的温度为(结果保留整数) ( )A .-26°CB .-22°C C .-18°CD .22° C23(2)0m n -++=2m n +4-1-二、填空题(每空2分,共30分)11、平方与绝对值都是它的相反数的数是________,这个数的立方和它的关系是_________。
初一数学思维测试题及答案一、选择题(每题2分,共10分)1. 下列哪个数是最小的正整数?A. 0B. 1C. -1D. 22. 如果一个数的平方等于它本身,那么这个数可能是:A. 1B. -1C. 0D. A和C3. 一个数的绝对值是它本身,这个数是:A. 正数B. 负数C. 非负数D. 非正数4. 以下哪个表达式的结果不是整数?A. \( \frac{7}{2} \)B. \( 5 - 3 \)C. \( 4 \div 2 \)D.\( 3 + 4 \)5. 一个数的相反数是它自己,这个数是:A. 0B. 1C. -1D. 2二、填空题(每题2分,共10分)6. 一个数的平方是16,这个数可能是______。
7. 如果\( a \)和\( b \)互为相反数,那么\( a + b = _______ \)。
8. 一个数的绝对值等于4,这个数可能是______。
9. 一个数的立方等于它自身,这个数可能是______。
10. 如果\( x \)是最小的正整数,那么\( x + 1 \)是______。
三、解答题(每题5分,共20分)11. 已知一个数的立方是-27,求这个数。
12. 一个数的平方加上8等于这个数本身,求这个数。
13. 一个数的绝对值是它自己,这个数可能是哪些?14. 如果\( x \)是最小的正整数,\( y \)是最大的负整数,求\( x- y \)。
四、应用题(每题10分,共30分)15. 一个班级有40名学生,其中一半是男生。
如果班级平均成绩是85分,求男生的平均成绩。
16. 一个长方形的长是宽的两倍,面积是48平方厘米。
求长方形的长和宽。
17. 一个数列的前三项是1, 3, 6,每一项都是前一项的两倍。
求第10项的值。
五、结束语通过以上初一数学思维测试题的练习,同学们可以检验自己的数学基础知识和逻辑思维能力。
希望这些题目能够帮助大家更好地理解和掌握数学概念,提高解题技巧。
数学是一门需要不断练习和思考的学科,希望同学们能够保持好奇心和探索精神,不断挑战自己,享受数学带来的乐趣。