信号分析与处理习题
- 格式:doc
- 大小:149.50 KB
- 文档页数:6
信号分析与处理答案第二版HEN system office room 【HEN16H-HENS2AHENS8Q8-HENH1688】第二章习题参考解答求下列系统的阶跃响应和冲激响应。
(1)解当激励为时,响应为,即:由于方程简单,可利用迭代法求解:,,…,由此可归纳出的表达式:利用阶跃响应和冲激响应的关系,可以求得阶跃响应:(2)解 (a)求冲激响应,当时,。
特征方程,解得特征根为。
所以:…(2.1.2.1)通过原方程迭代知,,,代入式(2.1.2.1)中得:解得,代入式(2.1.2.1):…(2.1.2.2)可验证满足式(2.1.2.2),所以:(b)求阶跃响应通解为特解形式为,,代入原方程有,即完全解为通过原方程迭代之,,由此可得解得,。
所以阶跃响应为:(3)解(4)解当t>0时,原方程变为:。
…(2.1.3.1)…(2.1.3.2)将(2.1.3.1)、式代入原方程,比较两边的系数得:阶跃响应:求下列离散序列的卷积和。
(1)解用表格法求解(2)解用表格法求解(3)和如题图2.2.3所示解用表格法求解(4)解(5)解(6)解参见右图。
当时:当时:当时:当时:当时:(7) ,解参见右图:当时:当时:当时:当时:当时:(8) ,解参见右图当时:当时:当时:当时:(9) ,解(10),解或写作:求下列连续信号的卷积。
(1) ,解参见右图:当时:当时:当时:当时:当时:当时:(2) 和如图2.3.2所示解当时:当时:当时:当时:当时:(3) ,解(4) ,解(5) ,解参见右图。
当时:当时:当时:当时:(6) ,解(7) ,解(8) ,解(9) ,解试求题图示系统的总冲激响应表达式。
解已知系统的微分方程及初始状态如下,试求系统的零输入响应。
(1) ;解,,(2) ;,解,,,,可定出(3) ;,解,,,可定出某一阶电路如题图所示,电路达到稳定状态后,开关S 于时闭合,试求输出响应。
解由于电容器二端的电压在t=0时不会发生突变,所以。
第五章 信号分析与处理习题5.1 从示波器光屏中测得正弦波图形的“起点”坐标为(0,-1),振幅为2,周期为π4,求该正弦波的表达式。
5.2 某复合信号由频率分别为724Hz 、600Hz 、500Hz 、44Hz 的同相正弦波迭加而成,试求该复杂信号的周期。
若要对该复杂信号进行不失真采样,最小采样频率应为多少?5.3 求信号()()ααπ<<-=t e t x t 10cos 的周期,并绘出时域图形。
5.4 已知矩形单位脉冲信号()t x 0的频谱为()⎪⎭⎫ ⎝⎛=2sin 0ωττωc A X ,试求如题图5.1所示的脉冲信号的频谱。
2τ2τ-T题图5.1 题图5.25.5 求被截断的余弦函数(题图5.2)的傅里叶变换。
()⎩⎨⎧=0cos 0t tx ω 00t t t t >≤ 5.6 求如题图5.3所示三角脉冲的傅里叶变换。
5.7 余弦信号()t t x 0cos ω=被三角脉冲做幅度调制(题图5.4),求调幅信号()t x A 的频谱。
题图5.3 题图5.45.8 试绘出题5.5中调制信号与调幅波的频谱。
5.9 已知一信号的自相关函数()()τττ250sin 264=x R ,求该信号的均方值x ψ及均方根值。
5.10 求余弦信号()t X t x ωcos =的均方根值。
5.11 用1/10倍频程带宽的功率谱密度分析仪,在中心频率50 Hz 、100Hz 、1000Hz 处进行功率谱密度测定,设平均时间为s 1,若带通滤波器为理想滤波器。
求功率谱密度测量的标准化误差G μσ/。
5.12 求正弦信号()t X t x ωsin =的均值、均方值。
5.13 离散傅里叶变换产生误差的原因有哪些?应如何设法减少这些误差?5.14 对3个正弦信号()t t x π2cos 1=,()t t x πcos 2=,()t t x π10cos 3=进行采样,已知采样频率Hz f s 4=,求3个采样输出序列并比较这3个结果。
第一章 时域离散信号与离散系统1-1 给定信号:⎪⎩⎪⎨⎧≤≤-≤≤-+=其它,040,614,52)(n n n n x(1) 画出x(n)序列的波形,标上各序列值;(2) 试用延迟的单位脉冲序列及其加权和表示x(n)序列; (3) 令x 1(n)=2x(n-2),试画出x 1(n)波形; (4) 令x 2(n)=2x(n+2),试画出x 2(n)波形; (5) 令x 3(n)=x(2-n),试画出x 3(n)波形。
1-2 有序列如下图所示请计算x e (n)=[x(n)+x(-n)]/2,并画出波形。
1-3 试判断 (1)∑-∞==nm m x n y )()((2)y(n)=[x(n)]2 (3))792sin()()(ππ+=n n x n y是否线性系统,并判断(2)、(3)是否移不变系统。
1-4设线性时不变系统的单位脉冲响应h(n)和输入序列x(n)如图所示,要求画出y(n)的波形。
1-5 已知线性移不变系统的输入为x(n)=δ(n)-δ(n-2),系统的单位抽样响应为h(n)=0.5n R3(n),试求系统的输出y(n)1-6 设有一系统,其输入输出关系由以下差分方程确定:y(n)-0.5y(n-1)=x(n)+0.5x(n-1)设系统是因果性的。
(1)利用递推法求系统的单位抽样响应;(2)由(1)的结果,利用卷积和求输入x(n)=e jwn u(n)的响应。
第二章时域离散信号与系统的频域分析2-1 试求如下序列的傅立叶变换:(1)x1(n)=R5(n)(2)x2(n)=u(n+3)-u(n-4)2-2 设⎩⎨⎧==其它,01,0,1)(n n x ,将x(n)以4为周期进行周期延拓,形成周期序列~)(n x ,画出x(n)和~)(n x 的波形,求出~)(n x 的离散傅立叶级数~)(k X 和傅立叶变换。
2-3 设如图所示的序列x(n)的FT 用X(e jw )表示,不直接求出X(e jw ),确定并画出傅立叶变换实部Re[X(e jw )]的时间序列x e (n)2-4 求序列-2-n u(-n-1)的Z 变换及收敛域:2-5 已知)(2||5.02523)(211n x z zzz z X 对应的原序列,求收敛<<+--=---2-6 分别用长除法、部分分式法求以下X(z)的反变换:21||,411311)(21>--=--z zz z X2-7 用Z 变换法解下列差分方程:y(n)-0.9y(n-1)=0.05u(n),y(-1)=1,y(n)=0,n<-12-8 研究一个输入为x(n)和输出为y(n)的时域线性离散移不变系统,已知它满足)()1()(310)1(n x n y n y n y =++--,并已知系统是稳定的,试求其单位抽样响应。
信号分析与处理答案第二版HEN system office room 【HEN16H-HENS2AHENS8Q8-HENH1688】第二章习题参考解答求下列系统的阶跃响应和冲激响应。
(1)解当激励为时,响应为,即:由于方程简单,可利用迭代法求解:,,…,由此可归纳出的表达式:利用阶跃响应和冲激响应的关系,可以求得阶跃响应:(2)解 (a)求冲激响应,当时,。
特征方程,解得特征根为。
所以:…(2.1.2.1)通过原方程迭代知,,,代入式(2.1.2.1)中得:解得,代入式(2.1.2.1):…(2.1.2.2)可验证满足式(2.1.2.2),所以:(b)求阶跃响应通解为特解形式为,,代入原方程有,即完全解为通过原方程迭代之,,由此可得解得,。
所以阶跃响应为:(3)解(4)解当t>0时,原方程变为:。
…(2.1.3.1)…(2.1.3.2)将(2.1.3.1)、式代入原方程,比较两边的系数得:阶跃响应:求下列离散序列的卷积和。
(1)解用表格法求解(2)解用表格法求解(3)和如题图2.2.3所示解用表格法求解(4)解(5)解(6)解参见右图。
当时:当时:当时:当时:当时:(7) ,解参见右图:当时:当时:当时:当时:当时:(8) ,解参见右图当时:当时:当时:当时:(9) ,解(10),解或写作:求下列连续信号的卷积。
(1) ,解参见右图:当时:当时:当时:当时:当时:当时:(2) 和如图2.3.2所示解当时:当时:当时:当时:当时:(3) ,解(4) ,解(5) ,解参见右图。
当时:当时:当时:当时:(6) ,解(7) ,解(8) ,解(9) ,解试求题图示系统的总冲激响应表达式。
解已知系统的微分方程及初始状态如下,试求系统的零输入响应。
(1) ;解,,(2) ;,解,,,,可定出(3) ;,解,,,可定出某一阶电路如题图所示,电路达到稳定状态后,开关S 于时闭合,试求输出响应。
解由于电容器二端的电压在t=0时不会发生突变,所以。
1.5习题1-1 信息、信号的定义?答:信息反映了一个物理系统的状态或特性。
信号是传载信息的物理量,是信息的表现形式。
1-2 信息、信号的关系?答:信号中包含着信息,是信息的载体;信号不是信息,信息是从信号中提取出来的。
( 书P2页,信号与信息关系的四项中的(2)(3)项。
)1-3 信号分析的最基本方法?信号的频谱主要哪两类谱?答:信号分析最基本的方法是频谱分析;信号的频谱主要是幅值谱和相位谱。
1-4 信号处理的定义、目的、本质、方法?答:信号处理号处理就是运用数学或物理的方法对信号进行各种加工或变换。
信号处理的目的是滤除混杂在信号中的噪声和干扰,将信号变换成易于识别的形式,便于提取它的特征参数。
信号处理的本质是是信息的变换和提取。
信号处理的方法包括时域和频域处理。
1-5 机电工程中信号处理用于哪些方面?答: 电子通信、机械振动、电气工程领域、语音处理领域、图像处理领域等。
1-6 系统的定义?本书所涉及的系统是什么系统?答:系统是由相互联系、相互制约和相互作用的多个部分(元件)组成的,是具有一定整体功能和综合行为的统一体。
本书所涉及的系统是物理系统。
1-7 测试和检测的定义?测试和检测的主要任务是什么?答:测试是在测量和试验过程中,搜集或获取信息的全部操作;检测是在测量和控制过程中,搜集或获取信息的全部操作。
测试的主要任务是利用各种测量系统精确地测量出测试信号;检测的主要任务是利用各种测量系统寻找与自然信息具有对应关系的种种表现形式的信号,并确定二者间的定性和定量关系。
1-8 信号处理系统分为哪两类?答:模拟信号处理系统和数字信号处理系统。
2.7习题2-1 信号和系统分析方法是什么?频域分析的优点?答:时域分析和频域分析。
F(jw)是原本信号各个频率虚指数信号函数(基信号)的加权值,当通过系统的流水线处理时,系统给其各个频率虚指数信号函数(基信号)又进行了加工,即又乘以了一个加权值(也就是想要哪个频率的虚指数信号函数,就将其乘以一个好的数,要是不喜欢就乘以0,或者稍微大点),这样输出结果,即系统响应的就是各个频率的虚指数信号函数的加权信号的叠加。
第一章 时域离散信号与离散系统1-1 给定信号:⎪⎩⎪⎨⎧≤≤-≤≤-+=其它,040,614,52)(n n n n x(1) 画出x(n)序列的波形,标上各序列值;(2) 试用延迟的单位脉冲序列及其加权和表示x(n)序列; (3) 令x 1(n)=2x(n-2),试画出x 1(n)波形; (4) 令x 2(n)=2x(n+2),试画出x 2(n)波形; (5) 令x 3(n)=x(2-n),试画出x 3(n)波形。
1-2 有序列如下图所示请计算x e (n)=[x(n)+x(-n)]/2,并画出波形。
1-3 试判断 (1)∑-∞==nm m x n y )()((2)y(n)=[x(n)]2 (3))792sin()()(ππ+=n n x n y是否线性系统,并判断(2)、(3)是否移不变系统。
1-4设线性时不变系统的单位脉冲响应h(n)和输入序列x(n)如图所示,要求画出y(n)的波形。
1-5 已知线性移不变系统的输入为x(n)=δ(n)-δ(n-2),系统的单位抽样响应为h(n)=0.5n R3(n),试求系统的输出y(n)1-6 设有一系统,其输入输出关系由以下差分方程确定:y(n)-0.5y(n-1)=x(n)+0.5x(n-1)设系统是因果性的。
(1)利用递推法求系统的单位抽样响应;(2)由(1)的结果,利用卷积和求输入x(n)=e jwn u(n)的响应。
第二章时域离散信号与系统的频域分析2-1 试求如下序列的傅立叶变换:(1)x1(n)=R5(n)(2)x2(n)=u(n+3)-u(n-4)2-2 设⎩⎨⎧==其它,01,0,1)(n n x ,将x(n)以4为周期进行周期延拓,形成周期序列~)(n x ,画出x(n)和~)(n x 的波形,求出~)(n x 的离散傅立叶级数~)(k X 和傅立叶变换。
2-3 设如图所示的序列x(n)的FT 用X(e jw )表示,不直接求出X(e jw ),确定并画出傅立叶变换实部Re[X(e jw )]的时间序列x e (n)2-4 求序列-2-n u(-n-1)的Z 变换及收敛域:2-5 已知)(2||5.02523)(211n x z zzz z X 对应的原序列,求收敛<<+--=---2-6 分别用长除法、部分分式法求以下X(z)的反变换:21||,411311)(21>--=--z zz z X2-7 用Z 变换法解下列差分方程:y(n)-0.9y(n-1)=0.05u(n),y(-1)=1,y(n)=0,n<-12-8 研究一个输入为x(n)和输出为y(n)的时域线性离散移不变系统,已知它满足)()1()(310)1(n x n y n y n y =++--,并已知系统是稳定的,试求其单位抽样响应。
2-1 画出下列各时间函数的波形图,注意它们的区别1)x 1(t) = sin Ω t ·u(t )2)x 2(t) = sin[ Ω ( t – t 0 ) ]·u(t )3)x 3(t) = sin Ω t ·u ( t – t 0 )-14)x2(t) = sin[ ( t – t0) ]·u( t – t0)2-2 已知波形图如图2-76所示,试画出经下列各种运算后的波形图(1)x ( t-2 )(2)x ( t+2 )(3)x (2t)(4)x ( t/2 )(5)x (-t)(6)x (-t-2)(7)x ( -t/2-2 )(8)dx/dt2-3 应用脉冲函数的抽样特性,求下列表达式的函数值(1)⎰+∞∞--)(0t t x δ(t) dt = x(-t 0) (2)⎰+∞∞--)(0t t x δ(t) dt = x(t 0) (3)⎰+∞∞--)(0t t δ u(t -20t ) dt = u(2t )(4)⎰+∞∞--)(0t t δ u(t – 2t 0) dt = u(-t 0) (5)()⎰+∞∞--+t etδ(t+2) dt = e 2-2(6)()⎰+∞∞-+t t sin δ(t-6π) dt =6π+21(7) ()()[]⎰+∞∞-Ω---dt t t t e tj 0δδ=()⎰+∞∞-Ω-dt t etj δ–⎰+∞∞-Ω--dt t t e t j )(0δ= 1-0t j eΩ- = 1 – cos Ωt 0 + jsin Ωt 02-4 求下列各函数x 1(t)与x 2(t) 之卷积,x 1(t)* x 2(t) (1) x 1(t) = u(t), x 2(t) = e -at · u(t) ( a>0 ) x 1(t)* x 2(t) =⎰+∞∞---ττττd t ue u a )()( =⎰-ta d e 0ττ = )1(1ate a--x 1(t)* x 2(t) =ττδτδτπd t t u t )]1()1([)]()4[cos(---+-+Ω⎰+∞∞-= cos[Ω(t+1)+4π]u(t+1) – cos[Ω(t-1)+4π]u(t-1)(3) x 1(t) = u(t) – u(t-1) , x 2(t) = u(t) – u(t-2) x 1(t)* x 2(t) =⎰+∞∞-+-----τττττd t u t u u u )]1()()][2()([当 t <0时,x 1(t)* x 2(t) = 0 当 0<t <1时,x 1(t)* x 2(t) =0td τ⎰ = t 当 1<t <2时,x 1(t)* x 2(t) =21d τ⎰= 1当 2<t<3时,x 1(t)* x 2(t) = 12t d τ-⎰=3-t 当 3<t 时,x 1(t)* x 2(t) = 0(4) x 1(t) = u(t-1) , x 2(t) = sin t · u(t) x 1(t)* x 2(t) =⎰+∞∞---ττττd t u u )1( )( )sin(=⎰⎰∞==01-t 01-t 0| cos - d sin 1)d --u(t sin ττττττ= 1- cos(t-1)2-5 已知周期函数x(t)前1/4周期的波形如图2-77所示,根据下列各种情况的要求画出x(t)在一个周期( 0<t<T )的波形(1) x(t)是偶函数,只含有偶次谐波分量f(t) = f(-t), f(t) = f(t ±T/2)(2) x(t)是偶函数,只含有奇次谐波分量 f(t) = f(-t), f(t) = -f(t ±T/2)(3) x(t)是偶函数,含有偶次和奇次谐波分量f(t) = f(-t)(4) x(t)是奇函数,只含有奇次谐波分量f(t) = -f(-t), f(t) = -f(t±T/2)(5) x(t)是奇函数,只含有偶次谐波分量f(t) = -f(-t), f(t) = f(t±T/2)(6) x(t)是奇函数,含有偶次和奇次谐波分量f(t) = -f(-t)2-6 利用信号x(t)的对称性,定性判断图2-78所示各周期信号的傅里叶级数中所含有的频率分量(a)这是一个非奇、非偶、非奇偶谐波函数,且正负半波不对称,所以含有直流、正弦等所有谐波分量,因为去除直流后为奇函数。
一、选择题:1、下列哪个系统不属于因果系统( )。
A 、]1[][][+-=n x n x n yB 、12()(0)2(0)3()y t x x f t =+-C 、[][]nk y n x k =-∞=∑ D 、()()(1)y t cf t df t =+-2、设激励为f 1(t )、f 2(t )时系统产生的响应分别为y l (t )、y 2(t ),并设a 、b 为任意实常数,若系统具有如下性质:af 1(t )+bf 2(t )↔ay l (t )+by 2(t ),则系统为( )。
A 、线性系统 B 、因果系统 C 、非线性系统D 、时不变系统3、右图所示f (t )的表达式为(C )。
A 、[]()(1)(1)t t t t εεε--+- B 、[]()(1)t t t εε--- C 、[](1)()(1)t t t εε---- D 、[]()(2)t t t εε--4、结构组成和元件参数不随时间变化的系统称为( )系统。
A 、时变 B 、时不变 C 、线性 D 、非线性5、积分f (t )=13-⎰(2t 2+1)δ(t -2)dt 的结果为( )。
A 、1B 、3C 、0D 、9 6、积分55(4)()t t dt δ--⎰等于( )。
A 、-4B 、4C 、3D 、-37、已知信号()f t 的最高频率0f Hz ,则对信号(/2)f t 取样时,其频谱不混叠的最大取样间隔max T 等于( )。
A 、02f B 、 01f C 、012f D 、014f 8线性常系数微分方程()2()3()2()()y t y t y t x t x t ''''++=+表征的LTI 系统,其单位冲激响应h (t )中( )。
A 、包括()t δ项B 、不包括()t δ项C 、不能确认D 、包括()t δ'项 9、以下分别是4个信号的拉普拉斯变换,其中(C )不存在傅里叶变换?A 、1sB 、1C 、12s -D 、12s +10、周期信号的频谱特点是( )。
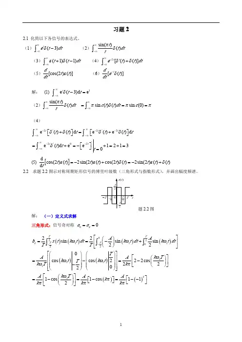
第二章习题参考解答2.1 求下列系统的阶跃响应和冲激响应。
(1) )()1(31)(n x n y n y =--解 当激励为)(n δ时,响应为)(n h ,即:)()1(31)(n n h n h δ+-=由于方程简单,可利用迭代法求解:1)0()1(31)0(=+-=δh h ,31)0(31)1()0(31)1(==+=h h h δ,231)1(31)2()1(31)2(⎪⎭⎫ ⎝⎛==+=h h h δ…,由此可归纳出)(n h 的表达式:)()31()(n n h n ε=利用阶跃响应和冲激响应的关系,可以求得阶跃响应:)(])31(2123[311)31(1)31()()(10n k h n s n n k nk nk ε-=--===+=-∞=∑∑(2) )()2(41)(n x n y n y =--解 (a)求冲激响应)()2(41)(n n h n h δ=--,当0>n 时,0)2(41)(=--n h n h 。
特征方程0412=-λ,解得特征根为21,2121-==λλ。
所以: n n C C n h )21()21()(21-+= …(2.1.2.1)通过原方程迭代知,1)0()2(41)0(=+-=δh h ,0)1()1(41)1(=+-=δh h ,代入式(2.1.2.1)中得:121=+C C0212121=-C C 解得2121==C C , 代入式(2.1.2.1):0,)21(21)21(21)(>-+=n n h n n …(2.1.2.2)可验证)0(h 满足式(2.1.2.2),所以:)(])21()21[(21)(n n h n n ε-+=(b)求阶跃响应通解为 n n c C C n s )21()21()(21-+=特解形式为 K n s p =)(,K n s p =-)2(,代入原方程有 141=-K K , 即34=K完全解为34)21()21()()()(21+-+=+=n n p c C C n s n s n s通过原方程迭代之1)0(=s ,1)1(=s ,由此可得13421=++C C134212121=+-C C 解得211-=C ,612=C 。
习题一 (P7)1. 指出题图1-1所示各信号是连续时间信号?还是离散时间信号。
题图 1-1解:1345(),(),(),()x t x t x t x t 是连续时间信号 26(),()x t x t 是离散时间信号。
2. 判断下列各信号是否是周期信号,如果是周期信号,求出它的基波周期。
(1) )4/3cos(2)(π+=t t x (2) )27/8cos()(+=n n x π(3) (4))1()(−=t j et x π)8/()(π−=n j en x (5) (6) []∑∞=−−−−=)31()3()(m m n m n n x δδ)(2cos )(t u t t x ×=π(7) )4/cos()4/cos()(πn n n x ×=(8) )6/2/sin(2)8/sin()4/cos(2)(ππππ+−+=n n n n x分析:(1) 离散时间复指数信号的周期性:为了使为周期性的,周期,就必须有,因此有。
nj eΩ0>N n j N n j e eΩ+Ω=)(1=Ωn j e N Ω必须为π2的整数倍,即必须有一个整数m,满足m N π2=Ω所以N m=Ωπ2 因此,若π2Ω为一有理数,为周期性的,否则,不为周期性的。
nj e Ω所以,周期信号基波频率为:nj e Ωm N Ω=π2 ,基波周期为:Ω=π2m N 。
(2) 连续时间信号的周期性:(略)k hd a w.c o mk hd aw.co mwww.k hd a w .c o m课后答案网答案:(1) 是周期信号,32π=T (2) 是周期信号,747==mT(3) 是周期信号,2=T(4) 不是周期信号 (5) 不是周期信号 (6) 不是周期信号 (7) 不是周期信号(8) 是周期信号,16=T3.试判断下列信号是能量信号还是功率信号。
(1) (2)tAe t x −=)(10≥t )cos()(02θω+=t A t x(3)tt t x π2sin 2sin )(3+= (4)t e t x t2sin )(4−=解:(1)1()0tx t Aet −=≥222201lim lim 2TTtt T T w A e dt A e −−→∞→∞⎡⎤==⎢⎥−⎣⎦∫()22221lim 1lim 122TT T T A A e e −→∞→∞⎛⎞=−=−−⎜⎟−⎝⎠22A =2222011limlim 0222Tt T T T A P A e dt TTe−→∞→∞⎛⎞==−−⎜⎟⎝⎠∫12T =1()x t ∴为能量信号(2)20()cos()x t A t ωθ=+w =∞ 22A P =20lim cos()TTT w A ωθ−→∞=+∫dt20cos(22)1lim 2TT T t A dt ωθ−→∞++=∫2001lim sin(22)22TT TA t t ωθω→∞−⎡⎤=+⎢⎥⎣⎦+ k hd a w.c o mk hd aw.co mwww.k hd a w .c o m课后答案网2000011lim sin(22)sin(22)2222T A T T ωθωθωω→∞⎡⎤=+−−+⎢⎥⎣⎦T +=∞ 221lim()2T TT P x T−→∞=∫t dt0020011sin(22)sin(22)22lim 122T T T A T ωθωθωω→∞⎡⎤+−−+⎢⎥⎢⎥=+⎢⎥⎢⎥⎣⎦2000sin(22)sin(22)lim24T T T A Tωθωω→∞+−−+=+θ 22A =2()x t ∴为功率信号(3)3()sin 2sin 2x t t t π=+2lim (sin 2sin 2)TTT w t π−→∞=+∫t dt dt22lim(sin 22sin 2sin 2sin 2)TTT t t t t ππ−→∞=++∫21cos 4cos()cos()1cos 4lim 2222TT T t t t dt t ααβαβπβπ−→∞=−+−−−⎡⎤=++⎢⎥=⎣⎦∫ cos 4cos()cos()cos 4lim 1222T T T t t dt αβαβπ−→∞+−−⎡⎤=−+−⎢⎥⎣⎦∫ sin 4sin(22)sin(22)sin 4lim 8(22)2(22)28TT T t t t t πππππ→∞t π−⎡⎤+−=−+−−⎢⎥+−⎣⎦ [sin 4sin(4)sin(22)sin(22)lim 2884444T T T T T Tππππ→∞−++=−+++++ sin(22)sin(22)sin 4sin 4444488T T T T πππππ−−⎤−−−−⎥−−⎦π [sin 4sin(22)sin(22)sin 4lim 2422224T T T T T ππππ→∞+−⎤=−+−−⎥+−⎦T π =∞k hd a w.c o mk hd aw.co mwww.k hd a w .c o m课后答案网231lim()2TTT P x T −→∞=∫t dt[sin 4sin(22)sin(22)sin 4lim 18(22)2(22)28T T T T T T T ππππ→∞⎤+−=−+−−⎥+−⎦T T π =13()x t ∴为功率信号(4)4()sin 2tx t e −=t tdt2lim sin 2Tt T t w e −−→∞=∫12cos 4lim 2TtTT te d −−→∞−=∫t 22lim lim cos 42tTT t T TT t e dt e tdt −−−−→∞→∞=−∫∫ 22lim lim cos 44Tt T t TT T Te e t −−−→∞→∞−⎡⎤=−⎢⎥−⎣⎦∫dt 222lim lim cos 444T T T tT T T e e e t −−−→∞→∞⎛⎞=+−⎜⎟−⎝⎠∫dt 22211cos 4cos 4sin 452TTtt t TTetdt e t e t −−−−−⎡⎤=−+⎢⎥⎣⎦∫∵222211lim lim cos 4sin 44452TT T t tT T T e e w e t −−−→∞→∞e t −⎛⎞⎡⎤∴=+−−+⎜⎟⎢⎥−⎣⎦⎝⎠222222111lim lim cos 4sin 4cos 4sin 444522T T T T T TT T e e e T e T e T e −−−→∞→∞⎛⎞⎡⎤=+−−+++⎜⎟⎢⎥−⎣⎦⎝⎠T 2222221111lim cos 4sin 4cos 4sin 444105105T T T T T T T e e e T e T e T e T −−−→∞⎛⎞=++−−−⎜⎟−⎝⎠221cos 4sin 41cos 4sin 4lim lim 41054105T TT T T T T T e e −→∞→∞⎡⎤⎡=−+−+−−⎢⎥⎢⎣⎦⎣⎤⎥⎦ 0=+∞221cos 4sin 41cos 4sin 4limlim 2410524105T T T T e T T e T P TT−→∞→∞⎡⎤⎡=−+−+−−⎢⎥⎢⎣⎦⎣T ⎤⎥⎦0=+∞4()x t ∴既非功率信号,也非能量信号。
1 信号分析与处理课后习题答案第五章快速傅里叶变换1.1.如果一台通用计算机的速度为平均每次复乘需要如果一台通用计算机的速度为平均每次复乘需要50us 50us,每次复加需要,每次复加需要10us 10us,,用来就散N=1024点的DFT DFT,问:,问:(1)直接计算需要多少时间?用FFT 计算呢?(2)照这样计算,用FFT 计算快速卷积对信号进行处理是,估计可实现实时处理的信号最高频率?解:分析:直接利用DFT 计算:复乘次数为N 2,复加次数为N(N-1);利用FFT 计算:复乘次数为20.5log N N ,复加次数为2log N N ;(1)直接DFT 计算:复乘所需时间2215010245052.4288T N us us s=´=´=复加所需时间2(1)101024(10241)1010.47552T N N us us s=-´=-´=所以总时间1262.90432DFT T T T s=+=FFT 计算:复乘所需时间3220.5log 500.51024log 1024500.256T N N us us s =´=´´´=复加所需时间422log 101024log 1024100.1024T N N us us s =´=´´=所以总时间为340.3584FFT T T T s =+=(2)假设计算两个N 长序列1()x n 和2()x n 的卷积计算过程为如下:第一步:求1()X k ,2()X k ;所需时间为2FFTT ´第二步:计算12()()()X k X k X k =·,共需要N 次复乘运算所需时间为501024500.0512To N us us s=´=´=第三步:计算(())IFFT X k ,所需时间为FFTT 所以总时间为230.35840.0512 1.1264FFT T T To s s s=´+=´+=容许计算信号频率为N/T=911.3Hz 2.2.设设x(n)x(n)是长度为是长度为2N 的有限长实序列,()X k 为x(n)x(n)的的2N 点得DFT DFT。
信号分析第二章答案第二章习题参考解答2.1求下列系统的阶跃响应和冲激响应。
(1)y(n)y(n1)某(n)3h(n1)(n)3解当激励为(n)时,响应为h(n),即:h(n)由于方程简单,可利用迭代法求解:h(0)h(1)(0)13,h(1)111h(0)(1)h(0)333,2111h(2)h(1)(2)h(1)333…,由此可归纳出h(n)的表达式:h(n)()n(n)3利用阶跃响应和冲激响应的关系,可以求得阶跃响应:11()n11311(n)h(k)()k[()n](n)1223kk0313nn(2)y(n)y(n2)某(n)4解(a)求冲激响应11h(n2)(n),当n0时,h(n)h(n2)0。
44111特征方程20,解得特征根为1,2所以:42211h(n)C1()nC2()n…(2.1.2.1)2211通过原方程迭代知,h(0)h(2)(0)1,h(1)h(1)(1)0,代入式44h(n)(2.1.2.1)中得:C1C2111C1C2022信号分析与处理的课后习题答案是高等教育出版社的教科书解得C11C22,代入式(2.1.2.1):h(n)12(12)n12(12)n,n0…(2.1.2.2)可验证h(0)满足式(2.1.2.2),所以:h(n)1[(1)n(1222)n](n)(b)求阶跃响应通解为11c(n)C1(2)nC2(2)n特解形式为1p(n)K,p(n2)K,代入原方程有K4K1,完全解为(n)1 14c(n)p(n)C1(2)nC2(2)n3通过原方程迭代之(0)1,(1)1,由此可得C41C23112C1412C231解得C1112,C26。
所以阶跃响应为:(n)h(k)[41111k032(2)n(6)(2)n](n)(3)y(n)某(n)2某(n1)某(n2)解h(n)(n)2(n1)(n2)n(n)h(k)(n)2(n1)(n2)k0(4)dy(t)dt5y(t)某(t)解dh(t)dt5h(t)(t)当t>0时,原方程变为:dh(t)dt5h(t)0。
2.1 有一个理想采样系统,其采样角频率Ωs =6π,采样后经理想低通滤波器H a (j Ω)还原,其中⎪⎩⎪⎨⎧≥Ω<Ω=Ωππ30321)(,,j H a 现有两个输入,x 1(t )=cos2πt ,x 2(t )=cos5πt 。
试问输出信号y 1(t ),y 2(t )有无失真?为什么? 分析:要想时域采样后能不失真地还原出原信号,则采样角频率Ωs 必须大于等于信号谱最高角频率Ωh 的2倍,即满足Ωs ≥2Ωh 。
解:已知采样角频率Ωs =6π,则由香农采样定理,可得因为x 1(t )=cos2πt ,而频谱中最高角频率πππ32621=<=Ωh ,所以y 1(t )无失真; 因为x 2(t )=cos5πt ,而频谱中最高角频率πππ32652=>=Ωh ,所以y 2(t )失真。
3.2 设x (n )的傅里叶变换为X (e j ω),试利用X (e j ω)表示下列序列的傅里叶变换: (1) )1()1()(1n x n x n x --+-= (2) )]()([21)(2n x n x n x -+=* 分析:利用序列翻褶后的时移性质和线性性质来求解,即)()(ωj e X n x ⇔,)()(ωj e X n x -⇔-)()(ωωj mj e X e n m x --⇔-解:(1)由于)()]([ωj eX n x DTFT =,)()]([ωj e X n x DTFT -=-,则)()]1([ωωj j e X e n x DTFT --=- )()]1([ωωj j e X e n x DTFT -=--故ωωωωωcos )(2])[()]([1j j j j e X e e eX n x DTFT ---=+=(2)由于)()]([ωj e X n x DTFT **=-故)](Re[2)()()]([2ωωωj j j e X e X e X n x DTFT =+=*3.7 试求下列有限长序列的N 点离散傅里叶变换(闭合形式表达式):(1) )()(n R a n x N n =(2) N n n n n x <<-=000)()(,δ (3) )()(n nR n x N = (4) )()(2n R n n x N =分析:利用有限长序列的DFT 的定义,即10)()(10-≤≤=∑-=N k W n x k X N n knN ,解:(1)因为)()(n R a n x N n =,所以k Nj N N n nk NjnN n knNnaea ea Wa k X ππ212111)(--=--=--===∑∑(2)因为N n n n n x <<-=000)()(,δ,所以k n Nj n n knNN n knNeW W n n k X 002100)()(πδ-=-===-=∑(3)由)()(n nR n x N =,得∑-==1)(N n knNnW k X 注意:为了便于求解,必须利用代数简化法消除掉上式中的变量.........................n .。
.∑-=+=10)1()(N n n k NkNnW k X WNW W N WN W N W N W W W N W W W nW nWW k X kNk N N n knNkNN N k N k N k N N k N k N k N k N N n n k N N n kn Nk N-=--+--=+--=-+-+++--++++=-=-∑∑∑-=---=+-=11)1()1(])1()2(2[])1(32[)1)((11)1(32)1(321)1(1则所以kNW Nk X --=1)( (4)注意:本题可利用上题的结论来进行化简。
................由)()(2n R n n x N =,则∑-==102)(N n knNW n k X 根据第(3)小题的结论:若)()(1n nR n x N = 则kNN n knN W NnW k X --==∑-=1)(101 与上题同理,得kNN n knNN n knNkNN N k N k N k N N k N k N k N k N N n n k N N n kn Nk NW NN N k X N N nW N N W n N W N W N W W W N W W W W n Wn W k X ----=+--=+--=-+--=-+-+++--++++=-=-∑∑∑∑-=-=---=+-=12)2()(2)2(2)2()12()1(])1()2(4[])1(94[)1)((1111122)1(232)1(2321)1(212所以10)1()2()(22-≤≤---=N k W N W N N k X k N kN , 3.13 [习题3.20]设有一个频谱分析用的信号处理器,采样点数必须为2的整数幂,假定没有采用任何特殊数据处理措施,要求频率分辨力≤10Hz ,如果采用的采样时间间隔为0.1ms ,试确定:(1) 最小记录长度;(2) 所允许处理信号的最高频率; (3) 在一个记录中的最小点数。
分析:采样间隔T 和采样频率f s 满足f s =1/T ,记录长度T 0和频域分辨力F 0的关系为T 0=1/ F 0,采样定理为f s ≥2f h (f h 为信号最高频率分量),一个记录中最少的采样总数N 满足002F f F f T T N hs ≥==解:(1)因为T 0=1/ F 0,而F 0≤10Hz ,所以s T 1010≥即最小记录长度为0.1s 。
(2)因为kHz T f s 10101.0113=⨯==,而f s ≥2f h 所以kHz f f s h 521=≤即允许处理信号的最高频率为5kHz 。
(3)1000101.01.030=⨯≥=T T N 又因N 必须为2的整数幂所以一个记录中的最少点数为N =210=1024。
3.17 [课堂思考题]若)(),(21n x n x 是因果稳定序列,求证:⎰⎰⎰---=ππωππωππωωωπωπωπ})(21}{)(21{)()(212121d e X d e X d e X e X j j j j证:设)()()(21n x n x n y *= 则由时域卷积定理,得)()()(21ωωωj j j e X e X e Y =即⎰⎰--===*ππωωωππωωωπωπd e e X e X d e e Y n y n x n x n j j j n j j )()(21)(21)()()(2121令上式的左右两边n=0,得)0()0()()()()()()(2121002102121x x k n x k x n x n x d e X e Xn n k n j j ⋅=⎥⎦⎤⎢⎣⎡-=*====-∑⎰ππωωωπ又傅里叶反变换公式,得⎰-=ππωωωπd ee Xn x nj j )(21)(11,⎰-=ππωωωπd e e Xn x n j j )(21)(22则⎰-=ππωωπd e X x j )(21)0(11,⎰-=ππωωπd e X x j )(21)0(22所以⎰⎰⎰---=ππωππωππωωωπωπωπ})(21}{)(21{)()(212121d e Xd e X d e X e X j j j j5.1 各态遍历的随机相位正弦波)sin()(0ϕω+=t x t x式中,x 0,ω均为常数,φ在0~2π内随机取值,试求其自相关函数并作图。
分析:利用自相关函数的定义求解,即⎰+=∞→TT xx dt t x t x TR 0)()(1lim)(ττ解:由自相关函数的定义式,得[]()ωταωτααωταπτπωαωαϕωϕτωϕωττϕπϕπcos 2sin cos sin cos sin 2lim )(21)(sin )sin(1lim )()(1lim )(20222/2/200x d x R T d dt t dt t t x T dtt x t x T R T xx T T T TT xx =+====++++=+=⎰⎰⎰++-∞→-∞→∞→故且则令,可见,该随机相位正弦波的自相关函数只与角频率ω有关,而不含相位信息......,这表明:正弦函数的自相关函数为失去了相位信息的同频率余弦函数。
其自相关函数图形如图所示。
6.4 试导出三阶巴特沃斯低通滤波器的系统函数,设Ωc =2 rad/s 。
分析:与习题6. 3同理,利用模方函数求出其左半S 平面极点,而求得系统函数。
解:对于三阶(N =3)巴特沃斯低通滤波器,其模方函数为()()6221111)(c Nc j j j j j H ΩΩ+=ΩΩ+=Ω令j Ω= s ,则有()611)()(c j s s H s H Ω+=-各极点满足()()6,,2,1231212 ==Ω=+-+k ees k j NN k j c k ,ππ不难得知,当k =1, 2, 3时,相应的极点s k 均位于左半S 平面。
则滤波器的系统函数H (s )的极点312223123432321j es e s j es j j j --==-==+-==πππ因此,三阶巴特沃斯低通滤波器的系统函数为()()()8848)(233213+++=---Ω=s s s s s s s s s s H cR xx (τ) τ x 02/2。