2016矩阵论试题
- 格式:doc
- 大小:215.50 KB
- 文档页数:6
1、检验下列集合对于指明的数域和指定的运算,是否构成线性空间:1)集合:数域F 上的所有5次多项式;数域:F ;运算:多项式的加法和数乘.2)集合:n 阶实矩阵的全体;数域:实数域R ;运算:矩阵的加法及数乘.3)集合:数域F 上的n 阶对称矩阵的全体;数域:F ;运算:矩阵的加法及数乘.4)集合:全体整数;数域:实数域R ;运算:数的加法及乘法.5)集合:],[b a 上的全体连续函数;数域:实数域R ;运算:函数的加法及数乘.6)集合:数域F 上的齐次线性方程组0=Ax 的所有解向量;数域:F ;运算:数组向量的加法及数乘.7)集合:},0{R b a b b a V ∈⎪⎪⎭⎫ ⎝⎛-=;数域:实数域R ;运算:矩阵的加法及数乘. 8)集合:},1{R b a b b a V ∈⎪⎪⎭⎫ ⎝⎛-=;数域:实数域R ;运算:矩阵的加法及数乘. 解 1) 不是,对加法不封闭,(或对数乘不封闭,F ∉0);2) 是;3) 是;4) 不是,对数乘运算(即通常数的乘法)不封闭;5) 是;6) 是;7) 是;8) 不是,无零元素.2、设V 是数域F 上的线性空间,n εεε,,,21 是V 的一组基.证明:1) 对于数域F 中任意非零的数k ,向量组n k k k εεε,,,21 是V 的一组基;2) n n εεε,,2,21 是V 的一组基.3) 对于F 中任何一组全不为零的数n k k k ,,,21 ,向量组n n k k k εεε,,,2211 是V 的一组基.证 1) 设存在F 中数n k k k ,,,21 ,使得02211=+++n n k k k k k k εεε ,则由n εεε,,,21 线性无关,有021====k k k k k k n ,因0≠k ,所以021====n k k k ,所以n k k k εεε,,,21 线性无关,又它们共有n 个,所以是V 的一组基.2)因为A n n n ),,,(),,2,(2121εεεεεε =,⎪⎪⎪⎪⎪⎭⎫ ⎝⎛=n A 21,因为0!≠=n A ,所以A 为可逆矩阵,又因n εεε,,,21 为一组基,所以n n εεε,,2,21 也为一组基.3) 显然向量组n εεε,,,21 与n n k k k εεε,,,2211 能相互线性表示,也即这两个向量组等价,又因n εεε,,,21 线性无关,所以n n k k k εεε,,,2211 也线性无关,从而为V 的一组基.3、求出下列线性空间的维数和一组基.1) 数域F 上所有n 阶上三角矩阵的集合V 对于通常的矩阵加法与数乘所成的数域F 上的线性空间.2) 数域F 上所有n 阶对角矩阵的集合V 对于通常的矩阵加法与数乘所成的数域F 上的线性空间.3) 复数域C 上所有3元行向量的集合.},,),,{(321321C a a a a a a V ∈=对于通常的数组向量加法与数乘所成的实数域R 上的线性空间.4) 集合},0{R b a b b a V ∈⎪⎪⎭⎫ ⎝⎛= 对于通常的矩阵加法与数乘所成的实数域R 上的线性空间.解 1) 维数为2)1(+n n ,一组基为n j i n i E ij ≤≤=;,2,1, .(ij E 为元素ij a 为1,其他元素都为0的n 阶矩阵).2) 维数为n ,一组基为n i E ii ,,2,1, =.3) 维数为6,一组基为(1,0,0),(0,1,0),(0,0,1),(,0,0),(0,,0),(0,0,)i i i4) 维数为2,一组基为⎪⎪⎭⎫ ⎝⎛⎪⎪⎭⎫ ⎝⎛0110,0001.4、已知线性空间3R 的两组基 1231231001110,1,0;'0,'1,'1,001001εεεεεε⎛⎫⎛⎫⎛⎫⎛⎫⎛⎫⎛⎫ ⎪ ⎪ ⎪ ⎪ ⎪ ⎪====== ⎪ ⎪ ⎪ ⎪ ⎪ ⎪ ⎪ ⎪ ⎪ ⎪ ⎪ ⎪⎝⎭⎝⎭⎝⎭⎝⎭⎝⎭⎝⎭求3R 中向量Ta a a ),,(321=α分别在两组基下的坐标.解 因为332211εεεαa a a ++=,所以α在基321,,εεε下的坐标为⎪⎪⎪⎭⎫ ⎝⎛321a a a .又因为123123111(',',')(,,)011001εεεεεε⎛⎫ ⎪= ⎪ ⎪⎝⎭,所以α在基123',','εεε下的坐标为⎪⎪⎪⎭⎫ ⎝⎛--=⎪⎪⎪⎭⎫ ⎝⎛⎪⎪⎪⎭⎫ ⎝⎛-332213211100110111a a a a a a a a . 5、下述各题中线性空间V 的子集1V 是否构成V 的子空间:(各题中的F 均为数域). 1)3112312,{(,,)0};V F V a a a a a ==+= 2)32112312,{(,,)};V R V a a a a a ===3)1],[V x R V =是所有常数项为0的实系数多项式的集合;4);][,][315x F V x F V ==5)122,V FV ⨯=是V 中所有2阶可逆矩阵的集合; 6)122,V FV ⨯=是V 中所有右上角元素为0的矩阵的集合; 7)122,V F V ⨯=是V 中所有右上角元素为1的矩阵的集合; 8)1,V R V n=是V 中所有第一个分量大于第二个分量的向量所成的集合.解 1) 是;因为对任意的1321321),,(),,,(V b b b a a a ∈,对任意的F k ∈, 1332211321321),,(),,(),,(V b a b a b a b b b a a a ∈+++=+1321321),,(),,(V ka ka ka a a a k ∈=.2) 不是;对任意的1321321),,(),,,(V b b b a a a ∈,因为),,,(),,(),,(332211321321b a b a b a b b b a a a +++=+且221a a =,221b b =,但22211)(b a b a +≠+,所以和1V ∉.3) 是;4) 是;5) 不是;若22,⨯∈F B A 均可逆,但B A +未必可逆.6) 是;7) 不是;若1V A ∈,对F k ∈≠1,有kA 右上角元素为1≠k ,故1V kA ∉.8) 不是;如1),2,1(V ∈-- ,对R k k ∈<,0,有k k 2-<-,(1,2,)k --= 1(,2,)k k V --∉ .6、设V 是实系数n 元齐次线性方程组0=Ax 的所有解向量的集合.证明:1)V 是线性空间n R 的一个子空间(该线性空间称为齐次线性方程组0=Ax 的解空间);2)0=Ax 的任一基础解系都是V 的一组基.证 1) 记{0},n V x R Ax =∈=则任意的V y x ∈,,有()000A x y Ax Ay +=+=+=,对任意的k R ∈,有0)(==kAx kx A ,所以V kx y x ∈+,,V 是nR 的一个子空间.2) 任取0=Ax 的一组基础解系12,,,r ηηη ,则12,,,r ηηη 线性无关,且0=Ax 的任一个解都能由12,,,r ηηη 线性表示,所以12,,,r ηηη 为V 的一组基,r V =dim .7、求齐次线性方程组 ⎪⎩⎪⎨⎧=++=++=+-03020421431432x x x x x x x x x的解空间的维数和一组基.解 将系数矩阵使用初等行变换⎪⎪⎪⎭⎫ ⎝⎛-→⎪⎪⎪⎭⎫ ⎝⎛-000011102101301121011110 ,同解方程组⎩⎨⎧=+-=++002432431x x x x x x 解空间的维数为2=-r n ,令),(43x x 分别为)1,0(),0,1(,得一组基础解系T T )1,0,1,2(,)0,1,1,1(21--=-=ηη,即为解空间的一组基.(答案不唯一)8、求4R 中由向量⎥⎥⎥⎥⎦⎤⎢⎢⎢⎢⎣⎡-=⎥⎥⎥⎥⎦⎤⎢⎢⎢⎢⎣⎡=⎥⎥⎥⎥⎦⎤⎢⎢⎢⎢⎣⎡-=⎥⎥⎥⎥⎦⎤⎢⎢⎢⎢⎣⎡=1215,8120,3011,21024321αααα 生成的子空间的维数和一组基.解 因为),,,(4321ααααL 的维数等于向量组4321,,,αααα的秩,4321,,,αααα的一个极大无关组就是),,,(4321ααααL 的一组基.又因为⎪⎪⎪⎪⎪⎭⎫ ⎝⎛-→⎪⎪⎪⎪⎪⎭⎫ ⎝⎛--00000000121021011832210112105012,故维数为2,21,αα为一组基(不唯一). 9、证明:在线性空间V 中,两个向量组生成相同子空间的充分必要条件是这两个向量组等价.证 设12,,...,s ααα及12,,...,t βββ是线性空间V 的两个向量组,如果12121(,,...,)(,,...,)s t L L V αααβββ==,此时,若视1V 由12,,...,s ααα生成,则12,,...,t βββ作为1V 中的向量必可由12,,...,s ααα线性表示;若视1V 由12,,...,t βββ生成,则12,,...,s ααα又可由12,,...,t βββ线性表示.于是12,,...,s ααα与12,,...,t βββ等价.反之,若12,,...,s ααα与12,,...,t βββ等价,由于12(,,...,)s L ααα中的向量都可由12,,...,s ααα线性表示,而12,,...,s ααα又可由12,,...,t βββ线性表示,于是12(,,...,)s L ααα中的向量都可由12,,...,t βββ线性表示,即1212(,,...,)(,,...,)s t L L αααβββ⊆.同理可证,1212(,,...,)(,,...,)t s L L βββααα⊆,所以1212(,,...,)(,,...,)s t L L αααβββ=.10、证明:如果n 维线性空间V 的两个子空间1V ,2V 的维数之和大于n ,则12V V 中必有非零向量.证 由维数公式121212dim()dim()dim()dim()V V V V V V +=++ ,由已知,有12dim()0V V > ,故12V V 中必有非零向量.11、证明:线性空间V 的任一子空间1V 都是数乘变换*k 的不变子空间.证 对任意的1V α∈,因1*()k k V αα=∈,有1V 为*k 的不变子空间.12、设线性空间V 的子空间1V ,2V 都是线性变换σ的不变子空间,试证12V V 及12V V +也是σ的不变子空间.证 对任意的12V V α∈ ,则1()V σα∈,2()V σα∈,有12()V V σα∈ ;对任意的12V V α∈+,有12ααα=+,12,V V αα∈∈,则11()V σα∈,22()V σα∈,有1212()()()V V σασασα=+∈+.13、设321,,εεε是线性空间V 的一组基,线性变换σ使132231)(,)(,)(εεσεεσεεσ===,求σ的所有特征根及全部特征向量.解 σ在321,,εεε下对应的矩阵为⎪⎪⎪⎭⎫ ⎝⎛=001010100A ,易求得A 的也即σ的特征根为1,121=-=λλ(2重),当11-=λ时,解0)(=--X A E ,得一个基础解系1(1,0,1)T ξ=-,所以σ对应特征根11-=λ的全部特征向量为11231113(,,)(),k k εεεξεε=-其中1k 为任意的非零数.当12=λ时,解0)(=-X A E ,得一个基础解系23(0,0,1),(1,0,1),T T ξξ==所以σ对应特征根12=λ的全部特征向量为212323123323313(,,)(,,)()k k k k εεεξεεεξεεε+=++,其中32,k k 是不同时为0的任意数.14、 判明下述规则τσ,是否成为各自线性空间V 的变换:1)F 为数域,22⨯=F V ,对于任意的V A ∈,若⎪⎪⎭⎫ ⎝⎛=d c b a A ,则⎪⎪⎭⎫ ⎝⎛=⎪⎪⎭⎫ ⎝⎛=c a A c b a A )(,0)(τσ; 2)3][x R V =,对于任意的V x a x a a x f ∈++=2210)(,则)()]([),()]([x xf x f x f dx d x f ==τσ; 3)2R V =,对于任意的V ∈α,若T b a ),(=α,则T T ib ia b a ),()(,)1,1()(=++=ατασ.解 此题主要看τσ,的像是否属于V ,易知1)2)3)中的σ都是V 的变换,τ都不是.15、设线性空间3F 上的变换τσ,为:对3321),,(F a a a T ∈=α,⎪⎪⎪⎭⎫ ⎝⎛---+=⎪⎪⎪⎭⎫ ⎝⎛+=21332121210)(,)(a a a a a a a a a a ατασ,试求σττσ,+.解 ⎪⎪⎪⎭⎫ ⎝⎛-+=+323212))((a a a a a ατσ;⎪⎪⎪⎭⎫ ⎝⎛-+-+=3213210))((a a a a a a αστ.16、判断下面变换中哪些是线性变换,哪些不是.1) 在3R 上,定义σ:对⎪⎪⎪⎭⎫ ⎝⎛=∈⎪⎪⎪⎭⎫ ⎝⎛=0)(,213321a a R a a a ασα;2) 在3F 上,定义σ:对⎪⎪⎪⎪⎭⎫ ⎝⎛+=∈⎪⎪⎪⎭⎫ ⎝⎛=332213321)(,a a a a F a a a ασα; 3) 在4F 上,定义σ:对⎪⎪⎪⎪⎪⎭⎫ ⎝⎛+++=∈⎪⎪⎪⎪⎪⎭⎫ ⎝⎛=443322144321)(,a a a a a a a F a a a a ασα; 4) 在线性空间V 上,定义σ:V ∈=ααασ,)(0,其中0α为V 中一个固定的向量.5) 在n n R⨯上,合同变换σ:n n T R A AP P A ⨯∈=,)(σ,其中P 为一个固定的n 阶实可逆矩阵;6) 在][x F 上,定义变换σ:][)(),()]([x F x f x xf x f ∈=σ.解 1)是;2)不是;3)是;4)当00=α时是,当00≠α时不是;5)是;6)是.17、对于线性空间上的线性变换的乘法不具备交换律,但是对某些特定的线性变换τσ,,有τσστ=,此时称τσ,是可换的,今设P 是线性空间n n F ⨯中的一个确定矩阵,定义n n F ⨯的变换τσ,如下:对于n n F ⨯中的任意矩阵A ,AP A PA A ==)(,)(τσ,试证:1)τσ,都是线性变换. 2) τσ,是可换的.证 对任意的n n F B A ⨯∈,,任意的F k ∈,因为)()()()(B A PB PA B A P B A σσσ+=+=+=+)()()(A k kPA kA P kA σσ===所以σ是线性变换,同理可证τ也是线性变换.又n n F A A P PA AP P AP A ⨯∈====),()()()()(τσσστ,所以τσ,都是线性变换.18、设22⨯∈R V ,σ是V 上线性变换,对于任意的V M ∈,若⎪⎪⎭⎫ ⎝⎛=d c b a M ,则⎪⎪⎭⎫ ⎝⎛++=d c c b a b M )(σ. 1) 证明σ是可逆线性变换; 2) 求出1-σ,即对上面的矩阵M ,求出)(1M -σ.证 1)取V 的一组基1112212210010000,,,00001001E E E E ⎛⎫⎛⎫⎛⎫⎛⎫==== ⎪ ⎪ ⎪ ⎪⎝⎭⎝⎭⎝⎭⎝⎭,则⎪⎪⎭⎫ ⎝⎛=⎪⎪⎭⎫ ⎝⎛=⎪⎪⎭⎫ ⎝⎛=⎪⎪⎭⎫ ⎝⎛=1000)(,1100)(,0011)(,0010)(22211211E E E E σσσσ,所以σ在基22211211,,,E E E E 下的矩阵为⎪⎪⎪⎪⎪⎭⎫ ⎝⎛=1100010000110010A ,因为01≠-=A ,所以A 可逆,故σ可逆.2)对V M ∈,有⎪⎪⎭⎫ ⎝⎛--=-c d c a a b M )(1σ. 1、设V 是实数域R 上的n 维线性空间,12,,,n εεε 是V 的一组基,对于V 中向量n n x x x εεεα+++= 2211,n n y y y εεεβ+++= 2211,定义内积为n n y nx y x y x +++= 22112),(βα,证明V 在此内积下构成一个内积空间.证 设R k V z z z n n ∈∈+++=,2211εεεγ ,则有n n x ny x y x y +++== 22112),(),(αββα;111222(,)()2()()n n n x y z x y z nx y z αβγ+=++++++11221122(2)(2)n n n n x y x y nx y x z x z nx z =+++++++(,)(,)αβαγ=+; 1122(,)2(,)n n k kx y kx y nkx y k αβαβ=+++= .当0=α时,0),(=αα;当0≠α时,至少有一个00≠i x ,从而0),(200>=i x i αα,因此,该实数是V 上的内积,V 构成一个内积空间.2、设V 是实数域R 上的n 维线性空间,n εεε,,21 是V 的一组基,A 是一个n 阶正定实对称矩阵.定义V 的内积如下:对于V 中向量βα,,如果它们在基12,,,n εεε 下的坐标分别为y x ,,则 Ay x T =),(βα,证明V 是一个内积空间.证 设V ∈γ,在基12,,,n εεε 下的坐标为z ,R k ∈,则有),()(),(αββα=====Ax y x A y Ay x Ay x T T T T T T ;),(),()(),(γαβαγβα+=+=+=+Az x Ay x z y A x T T T ;),()(),(βαβαk Ay kx Ay kx k T T ===;因为A 为n 阶正定实对称矩阵,所以Ax x T =),(αα为正定二次型.0≠α时,0),(>αα;0=α时,0),(=αα,所以V 是一个内积空间.3、在实内积空间4R (内积为实向量的普通内积)中,已知⎥⎥⎥⎥⎦⎤⎢⎢⎢⎢⎣⎡--=⎥⎥⎥⎥⎦⎤⎢⎢⎢⎢⎣⎡--=⎥⎥⎥⎥⎦⎤⎢⎢⎢⎢⎣⎡=1111,1111,0011321βββ, 试求出与321,,βββ都正交的单位向量.解 设T x x x x ),,,(4321=α满足,3,2,1,0),(==i i βα有 ⎪⎩⎪⎨⎧=-+-=--+=+0004321432121x x x x x x x x x x ,可取T )1,1,1,1(--=α,故单位向量为 T ⎪⎭⎫ ⎝⎛--21,21,21,21或T⎪⎭⎫ ⎝⎛--21,21,21,21. 4、设内积空间3C 中向量βα,的内积为 αββαH =),(判断下述向量βα,是否正交:1)T T i i i i )2,1,1(,),,1(-+=--=βα;2)TT i i i i i )3,1,,1(,)2,,1(-=+-=βα. 解 1)01)2,1,1(),(=⎪⎪⎪⎭⎫ ⎝⎛--+-=i i i i βα,故正交.2)04721)3,,1(),(≠+=⎪⎪⎪⎭⎫ ⎝⎛+-+-=i i i i i i βα,故不正交. 5、设12,,,n ααα 是n 维内积空间V 的一组基,如果V 中向量β使.,2,1,0),(n i i ==αβ证明 0=β.证 令n n x x x αααβ+++= 2211,有0),(),(),(11===∑∑==n i i i n i i i x x αβαβββ,由内积定义,有0=β.6、设V 是实数域R 上的内积空间,321,,εεε是V 的一组标准正交基.证明)22(31),22(31),22(31321332123211εεεηεεεηεεεη--=+-=-+=也是V 的一组标准正交基.证⎪⎪⎪⎪⎪⎪⎭⎫ ⎝⎛----=323231323132313232),,(),,(321321εεεηηη,记矩阵 ⎪⎪⎪⎪⎪⎪⎭⎫ ⎝⎛----=323231323132313232A ,因为,E A A T =所以A 为正交矩阵,又因为321,,εεε为标准正交基,所以321,,ηηη也是标准正交基.7、设54321,,,,εεεεε是5维内积空间V 的一组标准正交基.32132125112,,εεεαεεαεεα++=-=+=.求子空间),,(321αααL 的一组标准正交基.解 设0332211=++αααk k k ,则0)()2(51332321321=+++-+++εεεεk k k k k k k ,因为5321,,,εεεε线性无关,则0321===k k k ,所以321,,ααα线性无关,所以他们是),,(321αααL 的一组基.将321,,ααα正交化,单位化,即得),,(321αααL 的一组标准正交基.记)0,0,1,1,2(),0,0,0,1,1(),1,0,0,0,1(321=-==x x x ,则正交化,11x y =;⎪⎭⎫ ⎝⎛--=-=21,0,0,1,21),(),(1111222y y y y x x y ;()1,0,1,1,1),(),(),(),(13222231111333-=-=--=y x y y y y x y y y y x x y ;单位化)1,0,0,0,1(222211==y z ; )1,0,0,2,1(663622--==y z ; )1,0,1,1,1(213-=z 所以标准正交基)(21),2(66),(22532135212511εεεεγεεεγεεγ-++=--=+=. 8、已知线性空间4][x R 对于内积⎰-=11)()())(),((dx x g x f x g x f构成一个内积空间.从基32,,,1x x x 出发,经正交单位化求一组标准正交基.解 因为32),(,0)1,(,211)1,1(1121111=====⋅=⎰⎰⎰---dx x x x xdx x dx , 52),(,32)1,(,0),(2222===x x x x x ,…… 正交化,令11=β;x x x =⋅-=1)1,1()1,(2β; 31),(),(1)1,1()1,(22223-=⋅-⋅-=x x x x x x x x β;x x 5334-=β;再单位化x x x x x x 41434145;4104103;26),(;22)1,1(34232211-=-=====ηηβηβη9、对于实数域R 上的线性空间n m R ⨯,规定内积如下:对于nm R ⨯中任意元素][],[ij ij b B a A ==,则=),(B A 迹∑∑===n i mj ji ji Tb a A B 11)(.证明nm R⨯对此内积构成欧氏空间.证 ∑∑∑∑=======n i mj m j ni ji ji ji jiA B a b b aB A 1111),(),(;对任意的R k ∈,nm ij Ra C ⨯∈=][,有=+),(C B A 迹=+))((A C B T 迹()T T B A C A +=迹)(A B T +迹()TC A =(,)A B (,)A C +;=),(B kA 迹=))((kA B T 迹)(A kB T =k 迹)(A B T =),(B A k ;0),(112≥=∑∑==n i mj ji a A A ,当且仅当0=ji a (即0=A )时,0),(=A A ,所以n m R ⨯对此内积构成欧氏空间.10、设欧氏空间4R (内积为普通实数组向量的点积)的一组基为⎥⎥⎥⎥⎦⎤⎢⎢⎢⎢⎣⎡=⎥⎥⎥⎥⎦⎤⎢⎢⎢⎢⎣⎡=⎥⎥⎥⎥⎦⎤⎢⎢⎢⎢⎣⎡=⎥⎥⎥⎥⎦⎤⎢⎢⎢⎢⎣⎡=1111,0111,0011,00014321αααα,求在这组基下的度量矩阵A .解 ⎪⎪⎪⎪⎪⎭⎫⎝⎛==4321332122211111)),((j i A αα. 11、在线性空间4R 上定义一种内积成为欧氏空间.已知在基T T T T e e e e )1,0,0,0(,)0,1,0,0(,)0,0,1,0(,)0,0,0,1(4321====下的度量矩阵为⎥⎥⎥⎥⎦⎤⎢⎢⎢⎢⎣⎡----=3101121001211012A . 1) 求在基T T T T )1,1,0,1(,)1,2,1,0(,)0,0,2,1(,)0,0,1,1(4321==-=-=αααα下的度量矩阵B .2) 求实数a ,使向量T a )1,2,,1(-=α与向量T )0,2,1,1(-=β正交. 解 1) 因为由基4321,,,e e e e 到基4321,,,αααα的过渡矩阵⎪⎪⎪⎪⎪⎭⎫⎝⎛----=⎪⎪⎪⎪⎪⎭⎫⎝⎛--=-2100110010113112;11001200012110111P P , 设向量α在4321,,,e e e e 下的坐标为x ,则α在4321,,,αααα下的坐标为x P 1-,如果在基4321,,,αααα下的度量矩阵为B ,则Ax x x BP x P T T ==--11)(),(αα,所以⎪⎪⎪⎪⎪⎭⎫⎝⎛----===--79119130010631032,)(11AP P B A BP P T T 2)βα,在4321,,,e e e e 下的坐标分别为T a )1,2,,1(-和T)0,2,1,1(-,所以0)0,2,1,1()1,2,,1(),(=--=T A a βα时,有310=a . 12、设321,,εεε是欧氏空间V 的一组基,内积在这组基下的度量矩阵为⎪⎪⎪⎭⎫ ⎝⎛----=612121211A已知V 的子空间1V 的一组基为112αεε=+,2123αεεε=+-.1) 证明21,αα是1V 的一组正交基; 2) 求1V 的正交补⊥1V 的一组基. 证 1) 因为12111213212223(,)(,)(,)(,)(,)(,)(,)ααεεεεεεεεεεεε=+-++-112(1)2(1)0=--+-+--=,故21,αα正交,所以21,αα是1V 的一组正交基.2) 只需再找到V 中向量3α使321,,ααα为V 的一组正交基,则3α即为⊥1V 的一组基. 方法一:设3322113εεεαx x x ++=,利用正交条件⎩⎨⎧==0),(0),(3231αααα 即 ⎪⎪⎪⎪⎩⎪⎪⎪⎪⎨⎧=⎥⎥⎥⎦⎤⎢⎢⎢⎣⎡-=⎥⎥⎥⎦⎤⎢⎢⎢⎣⎡0)1,1,1(0)0,1,1(321321x x x A x x x A 可得一解为2,2,7321-===x x x ,即得3213227εεεα-+=.方法二:先将21,αα扩充为V 的一组基123,,ααξ,为此只需123,,αατ的坐标线性无关.例如取31ξε=即可.再将123,,ααξ正交化.因21,αα已是正交组,正交化过程只需从第三个向量做起.令(3)(3)311223k k αααξ=++,算出(3)(3)3132121122(,)(,)20,(,)(,)5k k ξαξααααα=-==-=,即得3213525257εεεα-+=.13、设4维欧氏空间V 在基4321,,,εεεε下的度量矩阵为⎥⎥⎥⎥⎦⎤⎢⎢⎢⎢⎣⎡--=1100162102100101A , 已知V 中向量323312211,,εεαεεαεεα-=+=+=,V 的子空间1123(,,)V L ααα=.1) 试求1V 的一组标准正交基; 2) 设有1V 的线性变换σ,使11266()(1)33σααα=+-,21266()(1)(2)63σααα=-++-,3136()22σααα=+请判明σ是不是1V 的正交变换或对称变换?解 1) 显然321,,ααα线性相关,其极大无关组21,αα即为1V 的一组基,将21,αα正交化、单位化便可得1V 的一组标准正交基.正交化得21211,ααβαβ+-==;再单位化得11212233,233γαγαα==-+. 又解 如取31,αα为1V 的一组标准正交基,因为31,αα已是正交基,只需单位化,便得1V 的一组标准正交基3332111133,22αααηαααη====2) 由题设条件知B ),(),(2121αααασ=,⎥⎥⎥⎥⎦⎤⎢⎢⎢⎢⎣⎡----+=36236661361B 由1)的结果知P ),(),(2121ααγγ=,⎥⎥⎥⎥⎦⎤⎢⎢⎢⎢⎣⎡-=3303322P 设对1V 的标准正交基21,γγ有C ),(),(2121γγγγσ=则应有⎥⎦⎤⎢⎣⎡--=⎥⎥⎥⎥⎦⎤⎢⎢⎢⎢⎣⎡-⎥⎥⎥⎥⎦⎤⎢⎢⎢⎢⎣⎡----+⎥⎦⎤⎢⎣⎡==-211133033223623666136130221BP P C因为C 是对称矩阵但不是正交矩阵,所以σ是对称变换但不是正交变换.14、设A ,B 都是H -矩阵,证明AB 也是H -矩阵的充要条件是BA AB =.证 必要性:BA A B AB AB H H H ===)()(;充分性:AB BA A B AB H H H ===)(,所以AB 为H -矩阵.15、若矩阵A 满足,A A H -=则称A 为一个反厄密特矩阵.试证:任一n 阶矩阵可表示为一个厄密特矩阵与一个反厄密特矩阵之和.证 设C B A +=,且C C B B H H -==,,则C B C B A HH H -=+=,所以)(21),(21H H A A C A A B -=+=为所求. 16、判断下列各矩阵在所指明的数域上能否相似对角化?若能,求出一个相似因子P ,并给出相应的对角矩阵Λ.1),163053064⎪⎪⎪⎭⎫ ⎝⎛----=A 实数域 2),201335212⎪⎪⎪⎭⎫⎝⎛----=A 复数域3),013211233⎪⎪⎪⎭⎫ ⎝⎛---=A 实数域 4),1211⎪⎪⎭⎫⎝⎛--=B 复数域5)⎪⎪⎪⎭⎫ ⎝⎛=624232426B ,实数域解 1) )2()1(163530642+-=-+--=-λλλλλλA E ,特征根11=λ(二重),22-=λ.当11=λ时,解0)(1=-X A E λ,有⎪⎪⎪⎭⎫⎝⎛→⎪⎪⎪⎭⎫ ⎝⎛--000000021063063063,秩为1,故基础解系中有213=-=-r n 个线性无关特征向量,因0)(1=-X A E λ的同解方程组为0221=+x x ,3x 为任意实数.则令0,132==x x 有)0,1,2(1'-=ξ;1,032==x x 有)1,0,0(2'=ξ.当22-=λ,解0)(2=-X A E λ,有⎪⎪⎪⎭⎫ ⎝⎛-→⎪⎪⎪⎭⎫ ⎝⎛-→⎪⎪⎪⎭⎫ ⎝⎛---000110011330000011363033063,秩为2,故基础解系中有 1=-r n 个线性无关的特征向量,其同解方程组为⎩⎨⎧=-=+003221x x x x .令12=x ,则得)1,1,1(3'-=ξ.因A 有3个线性无关的特征向量.令⎪⎪⎪⎭⎫⎝⎛--=110101102P ,则Λ=⎪⎪⎪⎭⎫⎝⎛-=-2111AP P ,P 为相似因子. 2),0)1(13321335212323=+=+++=+-+---=-λλλλλλλλA E 特征根1-=λ(三重).当1-=λ时,解0)(=--X A E ,有010*******=⎪⎪⎪⎭⎫ ⎝⎛----X ,因0)(≠--A E ,故秩1)(≥--A E ,所以基础解系有2≤-r n 个线性无关特征向量.故A 不能相似对角化.3) )4)(4(164413211233223+-=-+-=-----=-λλλλλλλλλA E ,因其不能在实数域上分解成一次因式乘积,故A 不能相似于对角形(或A 特征根为复数).4)0112112=+=+--=-λλλλB E ,i i -==21,λλ. 当i =1λ时,0)(=-X B iE ,有01211=⎪⎪⎭⎫⎝⎛+--X i i , ⎪⎪⎭⎫ ⎝⎛+-→⎪⎪⎭⎫ ⎝⎛+--00)1(2111211i i i ,同解方程组0)1(2121=+-x i x ,令22=x ,则一个特征向量⎪⎪⎭⎫⎝⎛+=211i ξ.当i -=2λ时,0)(=--X B iE ,有01211=⎪⎪⎭⎫⎝⎛+----X i i ,⎪⎪⎭⎫ ⎝⎛+----1211i i ⎪⎪⎭⎫⎝⎛-→00)1(211i ,同解方程组0)1(2121=-+x i x ,令22=x ,则得到一个基础解系⎪⎪⎭⎫ ⎝⎛+-=212i ξ.则一个相似因子为⎪⎪⎭⎫ ⎝⎛+-+=2211i i P ,且⎪⎪⎭⎫⎝⎛-=Λ=-i i BP P 1. 5)0)11()2(444815624232426223=--=-+-=---------=-λλλλλλλλλB E ,2=λ(二重),11=λ.当21=λ时,()⎪⎪⎪⎭⎫ ⎝⎛→⎪⎪⎪⎭⎫ ⎝⎛---------=-0000002124242124242X B E ,同解方程组022321=++x x x ,秩为1,基础解系中有3-1=2个线性无关特征向量.令),(32x x 分别取)0,1(,)1,0(,得)1,0,1(,)0,1,21(21'-='-=ξξ.当112=λ时,()⎪⎪⎪⎭⎫ ⎝⎛--→⎪⎪⎪⎭⎫ ⎝⎛------=-00012010152428242511X B E ,同解方程组 ⎩⎨⎧=-=-0203231x x x x ,秩为2,基础解系中有3-2=1个线性无关特征向量.令13=x ,有 )1,21,1(3'=ξ,得到一个相似因子⎪⎪⎪⎪⎪⎪⎭⎫ ⎝⎛--=11021011121P ,且⎪⎪⎪⎭⎫ ⎝⎛=-11221BP P 17、对实对称矩阵⎪⎪⎪⎭⎫ ⎝⎛------=324262423A ,求正交矩阵Q ,使'Q AQ 为对角矩阵. 解0)2()7(982112324262423223=+-=++-=---=-λλλλλλλλλA E ,得71=λ(二重), 22-=λ.当71=λ时,()X X A E ⎪⎪⎪⎭⎫⎝⎛=-4242124247,因⎪⎪⎪⎭⎫ ⎝⎛→⎪⎪⎪⎭⎫ ⎝⎛000000212424212424,有022321=++x x x ,令),(32x x 分别取)0,2(,)1,0(,有一个基础解系⎪⎪⎪⎭⎫⎝⎛-=⎪⎪⎪⎭⎫ ⎝⎛-=101,02121ξξ.当22-=λ时,()05242824252=⎪⎪⎪⎭⎫ ⎝⎛---=--X X A E ,因⎪⎪⎪⎭⎫ ⎝⎛---524282425⎪⎪⎪⎭⎫ ⎝⎛--→000120101 ,有⎩⎨⎧=-=-0203231x x x x ,令23=x ,得基础解系⎪⎪⎪⎭⎫⎝⎛=2123ξ. 将21,ξξ正交化得 )0,2,1(11'-==ξη, )1,52,54()0,2,1(51)1,0,1(),(),(1111222'--=---=-=ηηηηζξη,单位化得 )0,2,1(511'-=e ,)55,52,54(1512'--=e 将3ξ单位化得 )2,1,2(313'=e , 令⎪⎪⎪⎪⎪⎪⎪⎪⎭⎫⎝⎛---=32155503115525232155451Q ,则Q 为正交矩阵,且⎪⎪⎪⎭⎫ ⎝⎛-Λ='=-2771AQ Q AQ Q .18、求一个酉矩阵U ,把H -矩阵⎪⎪⎭⎫⎝⎛-=22i i A 化为对角形. 解,0)3)(1(341)2(2222=--=+-=--=---=-λλλλλλλλi iA E 解得3,121==λλ.当11=λ时,解0)(=-X A E 有⎪⎪⎭⎫⎝⎛→⎪⎪⎭⎫ ⎝⎛---→-00111i i i A E ,同解方程组021=+ix x ,令12=x ,得)1,(1'-=i ξ.当32=λ时,解0)3(=-X A E ,有⎪⎪⎭⎫⎝⎛-→⎪⎪⎭⎫⎝⎛-→-001113i i i A E 同解方程组021=-ix x ,令12=x ,得.)1,(2'=i ξ再单位化得 ,121,12121⎪⎪⎭⎫⎝⎛=⎪⎪⎭⎫ ⎝⎛-=i e i e 令⎪⎪⎭⎫ ⎝⎛-=1121i i U ,得 ⎪⎪⎭⎫⎝⎛=Λ=31AU U H.19、设V 是3维欧氏空间,321,,εεε是V 的一组标准正交基,线性变换σ使321332123211542)(,452)(,222)(εεεεσεεεεσεεεεσ+--=-+=-+= 求V 的一组标准正交基321,,ηηη,使σ在基321,,ηηη下的矩阵为对角矩阵.解 由题设条件可得σ在标准正交基321,,εεε下的矩阵⎥⎥⎥⎦⎤⎢⎢⎢⎣⎡----=542452222A ,对实对称矩阵A ,可求出正交矩阵⎥⎥⎥⎥⎥⎥⎥⎦⎤⎢⎢⎢⎢⎢⎢⎢⎣⎡--=3235032155455311552552Q , 使)10,1,1(1diag AQ Q =Λ=-.令123123(,,)(,,)Q ηηηεεε=即得所求之标准正交基11221233123255,5525455,15153122.333ηεεηεεεηεεε=-+=++=+-1、用初等变换把下列λ-矩阵化为Smith 标准形.1) ⎪⎪⎭⎫⎝⎛+-λλλλλλ3522232) ⎪⎪⎪⎭⎫⎝⎛++2)1()1(λλλλ解 1)、21[(1)]32232[1,2]3222323[1,2]522352533523λλλλλλλλλλλλλλλλλλλλλλλλ⎛⎫+⎛⎫⎛⎫⎛⎫--+⎪→→→ ⎪ ⎪ ⎪ ⎪++-- ⎪⎝⎭⎝⎭⎝⎭⎝⎭22250(103)0(103)33λλλλλλλλλλ⎛⎫+⎛⎫⎪⎪→→ ⎪ ⎪---- ⎪ ⎪⎝⎭⎝⎭.2)、3222(1)(1)(1)00020(1)(2)1021λλλλλλλλλλλλλλλλλ+++⎛⎫⎛⎫⎛⎫⎪ ⎪ ⎪→→++⎪ ⎪ ⎪ ⎪ ⎪ ⎪+-+--⎝⎭⎝⎭⎝⎭22(1)1(1)(1)1(1)λλλλλλλλ+⎛⎫⎛⎫ ⎪ ⎪→+→+ ⎪ ⎪ ⎪ ⎪+⎝⎭⎝⎭. 2、求出下列矩阵的不变因子和行列式因子.1)⎪⎪⎪⎭⎫⎝⎛++2)1()1(λλλλ 2)⎪⎪⎪⎪⎪⎪⎭⎫⎝⎛----a b b a b a n λλλ121 ,其中11,-n b b 都是不为0的常数.解 1) 易知32321)1()(),1()(,1)(+=+==λλλλλλλD D D ,所以22331221)1()()()(),1()()()(,1)(+==+===λλλλλλλλλλλD D d D D d d .2) 易知121()()()1,()()n n n D D D D a λλλλλ-=====- ,所以121()()()1,()()n n n d d d d a λλλλλ-=====- .3、求下列矩阵的若当标准形.1)⎪⎪⎪⎭⎫ ⎝⎛---502613803; 2)⎪⎪⎪⎭⎫ ⎝⎛--212044010; 3)⎪⎪⎪⎭⎫ ⎝⎛---544446235; 4)⎪⎪⎪⎭⎫⎝⎛-----8411362331; 5)⎪⎪⎪⎭⎫ ⎝⎛---568236013 ; 6)⎪⎪⎪⎭⎫ ⎝⎛--011231221 ; 7)⎪⎪⎪⎭⎫ ⎝⎛---496375254 ; 8)⎪⎪⎪⎪⎪⎭⎫ ⎝⎛---01121413;9)⎪⎪⎪⎪⎪⎭⎫ ⎝⎛1000210032104321. 解 1) 先求A E -λ的初等因子,使用初等变换得⎪⎪⎪⎭⎫ ⎝⎛++→⎪⎪⎪⎭⎫ ⎝⎛-+--+---→⎪⎪⎪⎭⎫ ⎝⎛+-+---=-2)1(00010001111613803502613803λλλλλλλλλλA E ,所以初等因子是2)1(),1(++λλ,因而A 的Jordan 标准形为⎪⎪⎪⎭⎫ ⎝⎛---=1111J 或⎪⎪⎪⎭⎫⎝⎛---1111 2)1010440440212122E A λλλλλλλ--⎛⎫⎛⎫ ⎪ ⎪-=-→-→ ⎪ ⎪ ⎪ ⎪----⎝⎭⎝⎭221001004(2)00(2)0122002λλλλλλ-⎛⎫⎛⎫⎪⎪--→- ⎪ ⎪ ⎪ ⎪----⎝⎭⎝⎭所以行列式因子3321)2()(,2)(,1)(-=-==λλλλλD D D ; 不变因子2321)2()(,2)(,1)(-=-==λλλλλd d d ; 初等因子组2)2(,2--λλ;Jordan 标准形为⎪⎪⎪⎭⎫ ⎝⎛2122或⎪⎪⎪⎭⎫⎝⎛2212. 3) ⎪⎪⎪⎭⎫⎝⎛321[若当块次序可有不同]; 4) ⎪⎪⎪⎭⎫ ⎝⎛11111; 5) ⎪⎪⎪⎭⎫⎝⎛-+i i 221;6) ⎪⎪⎪⎭⎫⎝⎛1112;7) ⎪⎪⎪⎭⎫⎝⎛0101; 8) 将A 写成分块形式⎪⎪⎭⎫⎝⎛=21A A A , 其中⎪⎪⎭⎫⎝⎛-=⎪⎪⎭⎫ ⎝⎛--=0112,141321A A .先分别求出21,A A 的初等因子 ⎪⎪⎭⎫ ⎝⎛-→⎪⎪⎭⎫ ⎝⎛+--=-21)1(11413λλλλA E ,初等因子为2)1(-λ. ⎪⎪⎭⎫ ⎝⎛-→⎪⎪⎭⎫ ⎝⎛--=-22)1(1112λλλλA E ,初等因子为2)1(-λ. 所以A 的初等因子为2)1(-λ,2)1(-λ.故Jordan 标准形为⎪⎪⎪⎪⎪⎭⎫⎝⎛1111119) ⎪⎪⎪⎪⎪⎭⎫ ⎝⎛1111111. 4、求矩阵⎪⎪⎪⎭⎫⎝⎛--=130901025017A 的Jordan 标准形,并求变换矩阵P .解 ⎪⎪⎪⎭⎫⎝⎛--→-2)2)(3(11λλλA E ,因此A ~⎪⎪⎪⎭⎫ ⎝⎛2123, 即⎪⎪⎪⎭⎫⎝⎛==-21231J AP P ,PJ AP =,令),,(321x x x P =,可得 32322112,2,3x x Ax x Ax x Ax +===2321)2(,0)2(,0)3(x x A E x A E x A E -=-=-=-由齐次线性方程组0)3(=-x A E ,可求得Tx )0,1,0(1=; 由齐次线性方程组0)2(=-x A E ,可求得Tx )3,0,5(2=;把2x 代入2)2(x x A E -=-,可求得T x )1,0,2(3=.所以⎪⎪⎪⎭⎫ ⎝⎛=130001250P .5、已知3阶矩阵A 具有3重特征根1,是否可以说A 的若当标准形一定为⎪⎪⎪⎭⎫⎝⎛=11111J ,如果不一定,请说出此时A 的若当形有几种可能?都是什么样子?解 不一定;题设条件确定了A 的特征多项式为3)1()(-=λλψ.也就是说,A 的初等因子之积应为3)1(-λ.此时,初等因子组尚有如下一些可能:ⅰ)3)1(-λ;ⅱ)2)1(),1(--λλ;ⅲ))1(),1(),1(---λλλ.因此,相应的若当形也有三种可能,即ⅰ)⎪⎪⎪⎭⎫ ⎝⎛11111;ⅱ)⎪⎪⎪⎭⎫ ⎝⎛1111;ⅲ)⎪⎪⎪⎭⎫ ⎝⎛111. 6、求下列矩阵1)⎪⎪⎪⎭⎫ ⎝⎛----=221041040A ;2)⎪⎪⎪⎭⎫ ⎝⎛-311111002;3)⎪⎪⎪⎭⎫⎝⎛-----211212112;4)⎪⎪⎪⎭⎫ ⎝⎛--011212213;5)⎪⎪⎪⎭⎫ ⎝⎛----444174147的最小多项式. 解 1) ⎪⎪⎪⎭⎫⎝⎛++→-2)2(21λλλA E ,故最小多项式为23)2()(+=λλd .2),311111002⎥⎥⎥⎦⎤⎢⎢⎢⎣⎡------=-λλλλA E 其行列式因子为,1)(1=λD ),2()(2-=λλD .)2(3111)2()(33-=----=λλλλλD 不变因子为.)2()(,2)(,1)(2321-=-==λλλλλd d d 故Jordan 标准形为⎪⎪⎪⎭⎫ ⎝⎛2122,最小多项式2)2()(-=λλϕ. 3) ,211212112⎥⎥⎥⎦⎤⎢⎢⎢⎣⎡--+--=-λλλλA E 因),1()(,1)(21-==λλλD DA E D -=λλ)(3,)1(3-=λ故()22211)(,1)(,1)(-=-==λλλλλd d d ,故⎪⎪⎪⎭⎫ ⎝⎛=1211J ,最小多项式2)1()(-=λλϕ.4) )2()1(2--λλ; 5) )12)(3(--λλ.7、方阵A 满足0=kA (k 为正整数),试说明A 的最小多项式取何种形式? 解)0()(k l l ≤≤=λλϕ.8、设方阵A 满足E A =2,能否说)1)(1()(-+=λλλϕ一定是A 的最小多项式?如果已知1和-1都是A 的特征根,情况又怎样呢?解 提示:12-λ是A 的致零多项式,故最小多项式有三种可能:)1)(1(,1,1-+-+λλλλ.当1与-1均为A 的特征根时,最小多项式就是12-λ.9、已知方阵A 的特征多项式为)1()1()(2-+=λλλϕ,A 的最小多项式为1)(23+--=λλλλϕ.请给出A 的一个若当形,并简要说明原因.解 特征多项式为4次多项式,故知A 为4阶矩阵,A 的特征根为11-=λ(二重),12=λ(二重).由最小多项式)1()1()(2-+=λλλϕ可知A 的若当形J 中有两个若当小块为)1(,11121-=⎪⎪⎭⎫ ⎝⎛=J J .因为J 的主对角线上应是A 的全部特征根,所以J 中还有另一个若当小块)1(3-=J .于是,A 的一个若当形为⎪⎪⎪⎪⎪⎭⎫ ⎝⎛--=11111J . 1、求矩阵⎪⎪⎪⎭⎫ ⎝⎛--=110101011A的QR 分解.解 记),,(321ααα=A ,用施密特正交化方法得11βα=;212121122ββααα=-+=-+;312312*********βββαααα=++=++,单位化得T )0,22,22(2222111===αβε; T)36,66,66(3666362122-=+-==ααβε; T )33,33,33(2363632332133--=++==αααβε. 记26326663036302B ⎛⎫-⎪ ⎪ ⎪=⎪ ⎪ ⎪⎪ ⎪⎝⎭,123263263263(,,)26363033Q εεε⎛⎫ ⎪⎪ ⎪==-- ⎪⎪ ⎪- ⎪ ⎪⎝⎭,则有Q AB =, 1222226602620033R B -⎛⎫-⎪ ⎪ ⎪==- ⎪ ⎪ ⎪ ⎪ ⎪⎝⎭,便有QR A =. 2、求出下列矩阵的一种满秩分解1) ⎪⎪⎪⎭⎫ ⎝⎛--=211012A ;2) ⎪⎪⎪⎭⎫ ⎝⎛--=300212112A ;3) 111111111111i i A i i --⎛⎫⎪--⎪= ⎪- ⎪--⎝⎭解 1) 显然,A 是一个列满秩矩阵,故它的一种满秩分解为AE A =,即23⨯=A B ,22⨯=E C ,BC A =.2) 在用行,列初等变换化A 为标准形过程中,顺便求出相应的初等变换21,P P .具体过程为:⎪⎪⎪⎪⎪⎪⎪⎪⎭⎫⎝⎛---→⎪⎪⎪⎪⎪⎪⎪⎪⎭⎫⎝⎛--=⎪⎪⎭⎫ ⎝⎛+-+1000100011110000113000011121000100011003000102120011120)]1(12[()]13[E E A,00011002121211110003131010001001010100002111100001103000111121)]31(2[)]1(13[)]1(12[)]21(1[]3,2[31⎪⎪⎪⎭⎫ ⎝⎛⎪⎪⎭⎫⎝⎛=⎪⎪⎪⎪⎪⎪⎪⎪⎭⎫⎝⎛---→⎪⎪⎪⎪⎪⎪⎪⎪⎭⎫⎝⎛---→+-+PP E r所以A 的秩为2,行列变换矩阵分别为⎪⎪⎪⎪⎪⎭⎫⎝⎛-=⎪⎪⎪⎪⎭⎫⎝⎛--=010100212121,1110313100121P P . 求21,P P 的逆,,010100112,1300310011211⎪⎪⎪⎭⎫⎝⎛-=⎪⎪⎪⎭⎫ ⎝⎛-=--P P取11-P 的前两列为B ,取12-P 的前两行为C ,则得到A 的一种满秩分解⎪⎪⎭⎫⎝⎛-⎪⎪⎪⎭⎫⎝⎛-==100112303101BC A .3) 记),,,,(4321A A A A A =易知),(21A A 为一个极大无关组,,0213A A A -=,0214iA A A +=令⎪⎪⎭⎫ ⎝⎛-=⎪⎪⎪⎪⎪⎭⎫ ⎝⎛---==i C A A B 1100001,11111111),(21,则BC A =. 3、求下列矩阵(相应于互异特征根)的谱分解:1)⎪⎪⎭⎫ ⎝⎛=2543A ;2)⎪⎪⎭⎫ ⎝⎛-0220;3)⎪⎪⎪⎪⎪⎭⎫ ⎝⎛------1111111111111111; 解 1) 求出A 的特征根)2)(7(2543+-=----=-λλλλλA E ,得,71=λ 22-=λ.计算对角化相似因子P 及1-P ,使⎪⎪⎭⎫⎝⎛-=Λ=-271AP P . 解0)7(=-X A E ,有基础解系,⎪⎪⎭⎫ ⎝⎛=111ξ,解0)2(=--X A E ,有基础解系,⎪⎪⎭⎫⎝⎛-=542ξ,则⎪⎪⎭⎫ ⎝⎛-=⎪⎪⎭⎫⎝⎛-==-114591,5141),(121P P ξξ. 令)91,91(),94,95(,54,112121-==⎪⎪⎭⎫⎝⎛-=⎪⎪⎭⎫⎝⎛=Q Q P P ,则,95959494,94959495222111⎪⎪⎪⎪⎭⎫ ⎝⎛--==⎪⎪⎪⎪⎭⎫⎝⎛==Q P A Q P A得谱分解式 ⎪⎪⎪⎪⎭⎫⎝⎛---⎪⎪⎪⎪⎭⎫ ⎝⎛=-=+=95959494294959495727212211A A A A A λλ. 2) 4222+=-=-λλλλA E ,得互异特征根i i 2,221-==λλ,令i i 2)(,2)(21+=-=λλϕλλϕ,,212221)2(41)()(,212221)2(41)()(22221111⎪⎪⎪⎪⎭⎫ ⎝⎛-=--==⎪⎪⎪⎪⎭⎫ ⎝⎛-=+==i i iE A i A A i i iE A i A A λϕϕλϕϕ则⎪⎪⎪⎪⎭⎫⎝⎛--⎪⎪⎪⎪⎭⎫⎝⎛-=+=212221221222122211i i i i i i A A A λλ. 3)0=-A E λ得,21-=λ22=λ(3重).令2)(,2)()(1221+=-=+=-=λλλλϕλλλλϕ,,3111131111311113)2(41)()(,111111111111111141)2(41)()(22221111⎪⎪⎪⎪⎪⎭⎫⎝⎛------=+==⎪⎪⎪⎪⎪⎭⎫⎝⎛------=--==E A A A E A A A λϕϕλϕϕ则2122A A A +-=.4、求下列正规矩阵的谱分解式.1)⎪⎪⎭⎫⎝⎛-=0110A ;2)⎪⎪⎪⎭⎫ ⎝⎛----=242422221A ;3)⎪⎪⎪⎭⎫ ⎝⎛=001010100A . 解 1) 求出A 的特征根i i -==21,λλ,求酉矩阵U 使得⎪⎪⎭⎫⎝⎛-=Λ=-i i AU U 1 解0)(=-X A iE ,得T i ),1(1=ξ,解0)(=--X A iE ,得Ti ),1(2-=ξ, 故⎪⎪⎭⎫ ⎝⎛-=i i U 1121, ⎪⎪⎭⎫ ⎝⎛---==-i i U U H 11211. 令⎪⎪⎭⎫ ⎝⎛-=-⎪⎪⎭⎫ ⎝⎛=1121),1(211211i i i i A ,⎪⎪⎭⎫⎝⎛-=--⎪⎪⎭⎫ ⎝⎛-=1121),1(211212i i i i A , 则21iA iA A -=.2) 求A 的特征根得71-=λ,22=λ(2重)求相似因子P ,使得⎪⎪⎪⎭⎫⎝⎛-=-2271AP P .解0)7(=--X A E ,得T )2,2,1(1--=ξ,解0)2(=-X A E ,得T T )1,0,2(,)0,1,2(32=-=ξξ,令,102012221⎪⎪⎪⎭⎫ ⎝⎛---=P 可算得⎪⎪⎪⎭⎫ ⎝⎛---=-542452221911P ,令,44244222191)2,2,1(912211⎪⎪⎪⎭⎫⎝⎛----=--⋅⎪⎪⎪⎭⎫⎝⎛--=A ,54245222891542452911001222⎪⎪⎪⎭⎫ ⎝⎛--=⎪⎪⎭⎫ ⎝⎛-⋅⎪⎪⎪⎭⎫ ⎝⎛-=A 则2127A A A +-=.3),0)1()1()1()(01011022=+-=---=---=-λλλλλλλλλλA E 得11=λ(2重),12-=λ.解,010********)(1=⎪⎪⎪⎭⎫⎝⎛--⇒=-X X A E λ得,)1,1,1(,)1,0,1(21T T ==ξξ解,010********)(2=⎪⎪⎪⎭⎫ ⎝⎛-----⇒=-X X A E λ得T )1,0,1(3-=ξ,令,2102101021121,1110101111⎪⎪⎪⎪⎪⎭⎫ ⎝⎛--=⎪⎪⎪⎭⎫⎝⎛-=-PP,210210002102121021101,21021010210210102112111101121⎪⎪⎪⎪⎪⎭⎫⎝⎛--=⎪⎭⎫ ⎝⎛-⎪⎪⎪⎭⎫⎝⎛-=⎪⎪⎪⎪⎪⎭⎫ ⎝⎛=⎪⎪⎭⎫⎝⎛-⎪⎪⎪⎭⎫ ⎝⎛=A A 则21A A A -=.5、求矩阵⎪⎪⎭⎫⎝⎛002001的奇异值分解. 解 ⎪⎪⎪⎭⎫ ⎝⎛=000000005A A H,特征根51=λ,02=λ(2重).故A 的奇异值为0,521==σσ.记∑=)5(,则A 的奇异值矩阵为⎪⎪⎭⎫⎝⎛=⨯000005n m S . 求出A A H分别相应于特征根0,521==λλ的标准正交特征向量为,100,010,001321⎪⎪⎪⎭⎫ ⎝⎛=⎪⎪⎪⎭⎫ ⎝⎛=⎪⎪⎪⎭⎫ ⎝⎛=v v v令),(),,(),(2132211V V V v v V v V ===,计算⎪⎪⎭⎫⎝⎛=∑=-2151111AV U ,求2U : ⎪⎪⎭⎫ ⎝⎛=4221H AA , 0,521==λλ.对02=λ,解T THu X AA E )51,52()1,2(0)0(1-=⇒-=⇒=-ξ,令⎪⎪⎪⎪⎭⎫⎝⎛-=51522U , 则⎪⎪⎭⎫ ⎝⎛-==122151),(21U U U ,得到奇异值分解⎪⎪⎪⎭⎫⎝⎛⎪⎪⎭⎫ ⎝⎛⎪⎪⎭⎫ ⎝⎛-==100010001000005122151HUSV A 6、求矩阵⎪⎪⎪⎭⎫ ⎝⎛--=110011A的奇异值分解.解 ∑=)2(,⎪⎪⎪⎭⎫⎝⎛=000002S ;),(21V V V =,⎥⎥⎥⎥⎦⎤⎢⎢⎢⎢⎣⎡=⎥⎥⎥⎥⎦⎤⎢⎢⎢⎢⎣⎡-=2121,212121V V ;),(21U U U =,⎥⎥⎥⎥⎥⎦⎤⎢⎢⎢⎢⎢⎣⎡=⎥⎥⎥⎥⎥⎦⎤⎢⎢⎢⎢⎢⎣⎡-=21001210,2102121U U ; ⎥⎥⎥⎥⎦⎤⎢⎢⎢⎢⎣⎡-⎥⎥⎥⎦⎤⎢⎢⎢⎣⎡⎥⎥⎥⎥⎥⎦⎤⎢⎢⎢⎢⎢⎣⎡-==212121210000022102101021021HUSV A . 7、求下列矩阵A 的M-P 广义逆+A .1)⎥⎥⎥⎦⎤⎢⎢⎢⎣⎡=101201A ,2)⎥⎥⎥⎥⎦⎤⎢⎢⎢⎢⎣⎡--=112001110001A ;3)⎥⎥⎥⎦⎤⎢⎢⎢⎣⎡--1210002i i ;4)10201102132i i -⎡⎤⎢⎥-⎢⎥⎢⎥-⎣⎦解 1) ⎪⎪⎭⎫⎝⎛--=+51222261A ;2) ⎥⎥⎥⎦⎤⎢⎢⎢⎣⎡-----=+11311131222281A ; 3) ⎥⎥⎥⎦⎤⎢⎢⎢⎣⎡----=+51052242151i i i A ; 4) ⎥⎥⎥⎥⎦⎤⎢⎢⎢⎢⎣⎡----=+i i A 3301745134330241. 1、设nn n n ij Ca A ⨯⨯∈=)(,令12211()n nij Fi j Aa ===∑∑,则F A 为方阵范数,证明:FA 是一种与向量的2-范数2x 相容的方阵范数.称它为方阵A 的Frobenius 范数,简称F-范数.证 即证22x AAx F≤,设n i a a a A in i i i ,,2,1),,,,(21 ==;T n x x x x ),,,(21 =,则⎪⎪⎪⎪⎪⎭⎫⎝⎛=⎪⎪⎪⎪⎪⎭⎫ ⎝⎛=x A x A x A x A A A Ax n n 2121,由Cauchy 不等式得22221212222112x A x a x a x a x a x A inj jnj ijnin i i i =≤+++=∑∑== .所以22222222222221111()()nnnni i i j Fi i i j A x A x A x a x A x=====≤==∑∑∑∑ 从而 22x AAx F≤.2、设V 是n 维(复的或实的)线性空间,n e e e ,,,21 是V 的一组基,则对任意的V x ∈,x 有唯一表示式n n e x e x e x x +++= 2211,规定 2112)(∑==ni i Ex x.证明:E x 是V 中元素的一种范数.证 (ⅰ) 若0≠x ,因n e e e ,,,21 线性无关,故至少有一个坐标00≠i x ,因此,。
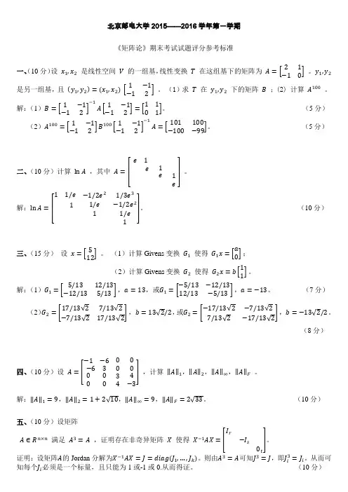
北京邮电大学2015——2016学年第一学期《矩阵论》期末考试试题评分参考标准一、(10分)设 x 1,x 2 是线性空间 V 的一组基,线性变换 T 在这组基下的矩阵为 A =[21−10] 。
y 1,y 2 是另一组基,且 (y 1,y 2)=(x 1,x 2) [1−1−12] 。
(1)求 T 在 y 1,y 2 下的矩阵 B ;(2) 计算 A 100 。
解:(1)B =[1−1−12]−1A [1−1−12]=[1101]。
(5分) (2)A 100=[1−1−12]B 100[1−1−12]−1A =[101100−100−99]。
(5分)二、(10分)计算 ln A ,其中 A =[e1e 1e 1e ] 。
解:ln A =[11/e −1/2e 21/3e 311/e −1/2e 211/e 1]。
(10分)三、(15分) 设 x =[512] 。
(1)计算Givens 变换 G 1 使得 G 1x =[a 0] ; (2)计算Givens 变换 G 2 使得 G 2x =b [11] 。
解:(1)G 1=[5/1312/13−12/135/13],a =13,或G 1=[−5/13−12/1312/13−5/13],a =−13。
(7分) (2)G 2=[17/13√27/13√2−7/13√217/13√2],b =13√2/2,或G 2=[−17/13√2−7/13√27/13√2−17/13√2],b =−13√2/2。
(8分)四、(10分)设 A =[−1−600−630000 00344−3] ,计算 ‖A ‖1,‖A ‖2,‖A ‖∞,‖A ‖F 。
解:‖A ‖1=9,‖A ‖2=1+2√10,‖A ‖∞=9,‖A ‖F =2√33。
(10分)五、(10分)设矩阵A ∈R n×n 满足 A 3=A ,证明存在非奇异矩阵 X 使得 X −1AX =[I r −I s 0t]。
矩阵论复习题矩阵论复习题矩阵论作为线性代数的重要分支,涉及到矩阵的性质、运算以及应用等方面。
在学习矩阵论的过程中,复习题是提高理解和巩固知识的重要工具。
本文将通过一些典型的矩阵论复习题,帮助读者回顾和加深对矩阵论的理解。
1. 矩阵的乘法性质与运算规则(1) 证明矩阵的乘法不满足交换律,即AB≠BA。
(2) 若矩阵A是m×n阶矩阵,矩阵B是n×p阶矩阵,证明矩阵乘法满足结合律,即(AB)C=A(BC)。
(3) 证明单位矩阵是矩阵乘法的单位元,即对于任意矩阵A,有AI=IA=A。
2. 矩阵的逆与行列式(1) 若矩阵A可逆,证明其逆矩阵唯一。
(2) 若矩阵A可逆,证明其逆矩阵也可逆,且逆矩阵的逆等于A。
(3) 若矩阵A可逆,证明其转置矩阵也可逆,且转置矩阵的逆等于A的逆的转置。
(4) 证明若矩阵A可逆,则其行列式不为零,即|A|≠0。
3. 矩阵的特征值与特征向量(1) 若矩阵A的特征值为λ,证明矩阵A-λI的行列式为零,即|A-λI|=0。
(2) 若矩阵A的特征向量为v,证明对于任意非零实数k,kv也是矩阵A的特征向量。
(3) 若矩阵A的特征向量v1和v2对应于不同的特征值λ1和λ2,证明v1和v2线性无关。
(4) 若矩阵A的特征向量v对应于特征值λ,证明对于任意正整数n,(A^n)v对应于特征值λ^n。
4. 矩阵的相似与对角化(1) 若矩阵A与矩阵B相似,证明矩阵B与矩阵A相似。
(2) 若矩阵A与矩阵B相似,矩阵B可对角化,证明矩阵A也可对角化。
(3) 若矩阵A可对角化,证明A的特征向量组成的矩阵P可逆,且A=PDP^-1,其中D为对角矩阵。
通过复习以上的矩阵论题目,可以加深对矩阵的性质、运算规则、逆与行列式、特征值与特征向量以及相似与对角化的理解。
同时,通过解题的过程,还可以提高解决问题的能力和运用矩阵论知识的技巧。
希望读者能够充分利用这些复习题,巩固所学的矩阵论知识,为进一步深入学习打下坚实的基础。
矩阵论复习题1. 设+=R V 是正实数集,对于任意的V y x ∈,,定义x 与y 的和为 y x y x ⋅=⊕对于任意的数R k ∈,定义k 与x 的数乘为k x x k =⊗问:对于上述定义加法和数乘运算的集合V ,是否构成线性空间,并说明理由.2.对任意的2,R y x ∈,),(21x x x =,),(21y y y =定义x 与y 的和为),(112211y x y x y x y x +++=⊕对于任意的数R k ∈,定义k 与x 的数乘为)2)1(,(2121x k k kx kx x k -+=⊗ 问:对于上述定义加法和数乘运算的集合2R ,是否构成线性空间,并说明理由.3.设},022|),,{(321321R x x x x x x x S i ∈=++=,试证明S 是3R 的子空间,并求S的一组基和S dim .4.设)(R P n 表示次数不超过n 的全体多项式构成的线性空间,)}()(,0)0(|)({R P x f f x f S n ∈='=证明S 是)(R P n 的子空间,并写出S 的一组基和计算S dim .5. 设33:R R T →是线性变换,()()321323213212,,2,,x x x x x x x x x x x T -++-+=求T 的零空间)(T N 和像空间)(T R 的基和维数.6. 设T 是3R 上的线性变换,对于基},,{k j i 有k j k j i T -=++)( i k j T =+)( k j i k T 532)(++=1)确定T 在基},,{k j i 下的矩阵;2)求T 的像空间的基与维数.7. 在22R ⨯中求由基(I) 12101A ⎛⎫= ⎪⎝⎭ 20122A ⎛⎫= ⎪⎝⎭ 32112A -⎛⎫= ⎪⎝⎭ 41312A ⎛⎫= ⎪⎝⎭到基(II) 11210B ⎛⎫= ⎪-⎝⎭ 21111B -⎛⎫= ⎪⎝⎭ 31211B -⎛⎫= ⎪⎝⎭41101B --⎛⎫= ⎪⎝⎭的过渡矩阵. 并求矩阵⎪⎪⎭⎫ ⎝⎛-=2102A 在基(I)下的坐标.8. 在)(2R P 中, 对任意的)()(),(2R P x g x f ∈定义内积为⎰=10)()())(),((dx x g x f x g x f 若取)(2R P 的一组基},,1{2x x ,试用Schmidt Gram -正交化方法,求)(2R P 的一组标准正交基.9. 在2[]P x 中,内积定义为:120,()(),,[].f g f x g x dx f g P x <>=∀∈⎰ 1)如果()612+-=x x x f ,计算f ;2)证明:任一线性多项式()bx a x g +=,都正交于()612+-=x x x f . 10. 已知122112012422A ⎛⎫ ⎪= ⎪ ⎪⎝⎭,求A 的最大秩分解。
2016——2017学年第一学期 《矩阵理论》考试试卷试卷审核人: 考试时间: 2016.12.4注意事项:1.本试卷适用于16级研究生学生考试使用。
2.本试卷共8页,满分100分。
答题时间150分钟。
学院: 姓名:_________________学号:一.(本题满分12分) 设3[]P x 是次数不超过3的实系数多项式空间,{}2301233()(1)0;()[]W f x f a x a x a x f x a P x ==+++∈=,1. 证明W 按照多项式的加法与数乘运算构成3[]P x 的线性子空间;2. 求W 的维数及其一组基.二. (本题满8分)求矩阵524212425A⎡⎤⎢⎥⎢⎥⎢⎥⎣⎦-=---的LU分解和LDU分解.三.(本题满分12分) 设T 为线性空间22R ⨯的一个线性变换 ,对任意的22a b R c d ⨯⎡⎤∈⎢⎥⎣⎦, 232a b a b b T c d c d d ⎛⎫+⎡⎤⎡⎤= ⎪⎢⎥⎢⎥+⎣⎦⎣⎦⎝⎭ ; 1. 求T 在22R⨯的标准基 111221100100,,,000010E E E ⎡⎤⎡⎤⎡⎤===⎢⎥⎢⎥⎢⎥⎣⎦⎣⎦⎣⎦220001E ⎡⎤=⎢⎥⎣⎦下的矩阵; 2. 求T 在22R ⨯的另一基 123110100,,,111111G G G ⎡⎤⎡⎤⎡⎤===⎢⎥⎢⎥⎢⎥⎣⎦⎣⎦⎣⎦40001G ⎡⎤=⎢⎥⎣⎦下的矩阵.四.(本题满分8分)设A()λ为6阶λ矩阵,其秩为4,初等因子为3212111,,,,,,,()λλλλλλλλ--+++,试求A()λ的不变因子与Smith 标准型.五.(本题满分15分) 已知微分方程组112321233123++3+dx =3x x x dt dx =x x x dt dx =3x 3x x dt ⎧⎪⎪⎪⎨⎪⎪⎪⎩---可简记为d x Ax dt =, 写出A 并求满足初始条件1(0)11x ⎡⎤⎢⎥⎢⎥⎢⎥⎣⎦=的解.六.(本题满分10分)设1011131,11Ai⎡⎤⎢⎥⎢⎥⎢⎥⎣⎦-=---作出A的盖尔圆, 并判断哪些盖尔圆相交, 应用圆盘定理隔离A的特征值.七.(本题满分10分)设矩阵0311A-⎡⎤=⎢⎥⎣⎦,试计算矩阵多项式32()2272g A A A A E=-++并求1A.八. (本题满分10分)已知010001230A⎡⎤⎢⎥=⎢⎥⎢⎥⎣⎦,求矩阵A的Jordan标准形J,并求10A.九.(本题满分15分) 设10010112,10012111A b⎡⎤⎡⎤⎢⎥⎢⎥⎢⎥⎢⎥⎢⎥⎢⎥⎢⎥⎢⎥⎢⎥⎢⎥⎣⎦⎣⎦-==-,1.求A的满秩分解;2.求A+;3.判断线性方程组Ax b=是否有解;4.求线性方程组Ax b=的极小范数解或极小范数最小二乘解(并指出所求的是哪种解).。
一.(10分)已知n n C ⨯中的两种范数a ⋅和b ⋅,对于n n C A ⨯∈,证明b a A A A +=是n n C ⨯中的范数. 解:⑴非负性:由于b a ⋅⋅,是两种范数,故当A=0时,0,0==b a A A ,所以000=+=+=b a A A A ; 当A ≠0时,0,0>>b a A A ,所以0>+=b a A A A⑵齐性:()A A A A A A A A b a b a b a ααααααα=+=+=+= ⑶三角不等式:B A B A B A B A B A B A b b a a b a +=+++≤+++=+二.(每小题10分,共20分)已知⎥⎥⎥⎦⎤⎢⎢⎢⎣⎡---=101121103A ,()⎥⎥⎥⎦⎤⎢⎢⎢⎣⎡=002t e t b , 1. 求At e2. 用矩阵函数方法求微分方程()()()()()⎪⎩⎪⎨⎧-=+=T x t b t Ax t x dt d1,0,10的解.解:1. ()1112113det ----=-λλλλA I ()()3211132-=----=λλλλ显然, )det(A I -λ的一阶子式的公因子为1, 容易知道)det(A I -λ 的二阶子式的公因子为2-λ,所以A的最小多项式为()()()23222-=--=λλλλm ,即()()022=-=I A A m ,设()()()b a g m e f t ++==λλλλλ,则()a te f t =='λλ 对于特征值2=λ有()()⎩⎨⎧=='+==a te f b a e f t t 22222,()⎩⎨⎧+-==ttet b te a 2212 所以⎥⎥⎥⎦⎤⎢⎢⎢⎣⎡----+=+=t t t t t t e bI aA e t At1010122. ()()()⎪⎭⎪⎬⎫⎪⎩⎪⎨⎧⎥⎥⎥⎦⎤⎢⎢⎢⎣⎡⎥⎥⎥⎦⎤⎢⎢⎢⎣⎡+--+⎥⎥⎥⎦⎤⎢⎢⎢⎣⎡-=⎥⎦⎤⎢⎣⎡+=⎰⎰--ds e s s s ss s e e ds s b e x e t x s t s At t As At 001010110102020 ⎥⎥⎥⎦⎤⎢⎢⎢⎣⎡-=⎪⎭⎪⎬⎫⎪⎩⎪⎨⎧⎥⎥⎥⎦⎤⎢⎢⎢⎣⎡+⎥⎥⎥⎦⎤⎢⎢⎢⎣⎡-=t t e t e t At 1001012三.(15分)用Givens 变换求⎥⎥⎥⎥⎦⎤⎢⎢⎢⎢⎣⎡=2100421132403100A 的QR 分解. 解:()T01001=β,构造()s c T ,13=,1101sin ,0100cos 22232132223211=+=+===+=+==xx x s x x x c θθ⎥⎥⎥⎥⎦⎤⎢⎢⎢⎢⎣⎡--=⎥⎥⎥⎥⎦⎤⎢⎢⎢⎢⎣⎡⎥⎥⎥⎥⎦⎤⎢⎢⎢⎢⎣⎡-=210031002340421121421132403100100000010010010013A T⎥⎦⎤⎢⎣⎡--=21312A , 构造),(12s c T , ()21sin ,21111cos 222122222211=+==-=+--=+==x x x s x x x c θθ⎥⎦⎤⎢⎣⎡=⎥⎦⎤⎢⎣⎡--⎥⎦⎤⎢⎣⎡---=1052212131111121212A T⎥⎥⎥⎥⎦⎤⎢⎢⎢⎢⎣⎡-=⎥⎦⎤⎢⎣⎡=2/1002/12/1002/10010010013122T T I T ,⎥⎥⎥⎥⎥⎦⎤⎢⎢⎢⎢⎢⎣⎡-==2/12/100000100102/12/100TT Q ,⎥⎥⎥⎥⎦⎤⎢⎢⎢⎢⎣⎡=2/12/522344211R四.(10分)用Gerschgorin 定理证明⎥⎥⎥⎥⎦⎤⎢⎢⎢⎢⎣⎡=8110260110410100A 至少有两个实特征值. 解:A 的4个盖尔圆为:{}1|1≤=z z G ,{}2114|2=+≤-=z z G , {}3216|3=+≤-=z z G , {}2118|4=+≤-=z z G ,它们构成的两个连通部分为11G S =,4322G G G S =.易见,1S ,2S 都关于实轴对称且各含有1个和3个特征值,因为实矩阵的复特征值必成对出现, 故1S ,2S 必各含有一个实特征值,从而A 至少含有2个实特征值.五.(20分)已知⎥⎥⎥⎥⎥⎥⎦⎤⎢⎢⎢⎢⎢⎢⎣⎡------=221221*********A ,⎥⎥⎥⎥⎥⎥⎦⎤⎢⎢⎢⎢⎢⎢⎣⎡---=44111b 1. 求A 的满秩分解.2. 求+A3. 用广义逆矩阵的方法判别方程组b Ax =是否相容.4. 求方程组b Ax =的极小范数解或极小范数最小二乘解并指出所求解的类型.解 1。
矩阵论试题(07,12)一.(18分)填空:1.矩阵⎪⎪⎪⎪⎪⎭⎫⎝⎛-----=2101120100102201A 的Jordan 标准形为J = 2.设,4321,1001021001201001⎪⎪⎪⎪⎪⎭⎫ ⎝⎛=⎪⎪⎪⎪⎪⎭⎫⎝⎛--=x A 则⎪⎩⎪⎨⎧===∞Ax A A F 23. 若A 是正交投影矩阵,则cos(A )=4. 设nm CA ⨯∈,A +是A 的Moore-Penrose 逆,则(-2A,A )+=5.设⎪⎪⎪⎭⎫ ⎝⎛=⎪⎭⎫ ⎝⎛--=300220111,4221B A ,则A B +I 2I 3的全体特征值是( )。
6. 设向量空间R 2按照某种内积构成欧式空间,它的两组基为)1,1(),1,1(21-==αα和),12,6(),2,0(21==ββ且i α与j β的内积为3),(,1),(,15),(,1),(22122111=-===βαβαβαβα 则基21,αα的度量矩阵为( )。
二.(10分)设n m n m ij C a A ⨯⨯∈=)(,定义实数ijji a n A ,max =1. 证明A 是nm C⨯中的矩阵范数.2. 证明该矩阵范数与向量的∞-范数相容.三.(15分)已知⎪⎪⎪⎭⎫⎝⎛=⎪⎪⎪⎭⎫ ⎝⎛=⎪⎪⎪⎭⎫⎝⎛-----=321)0(,211)(,211121221x e t b A t 。
1. 求Ate;2. 用矩阵函数方法求微分方程)()()(t b t Ax t x dtd+=满足初始条件x (0)的解。
四.(10分)用Givens 变换求矩阵⎪⎪⎪⎪⎪⎪⎭⎫⎝⎛----=4300041220513003400054321A 的QR 分解。
五.(10分)用Gerschgorin 定理隔离矩阵⎪⎪⎪⎪⎪⎭⎫⎝⎛-----=i i A 22.03.005.245511.02011.002的特征值。
(要求画图表示) 六. (15分)已知⎪⎪⎪⎪⎪⎭⎫⎝⎛--=⎪⎪⎪⎪⎪⎭⎫⎝⎛------=1321,01111211111101110100b A 。
2015——2016学年第一学期 《矩阵理论》考试试卷试卷审核人: 考试时间: 2015.12.20注意事项:1.本试卷适用于15级研究生学生考试使用。
2.本试卷共8页,满分100分。
答题时间150分钟。
学院: 姓名:________________学号:23320()[]20a b c d V f t a bt ct dt R t b c d ⎧⎫+-+=⎧⎪⎪==+++∈⎨⎨⎬+-=⎩⎪⎪⎩⎭1.证明V 按照多项式的加法与数乘运算构成3[]R t 的学习子空间;2.求V 的维数与一组基.二. (本题满分12分) 在线性空间22R ⨯ 中, 1. 证明 123410000101,,,00011010A A A A ⎛⎫⎛⎫⎛⎫⎛⎫==== ⎪ ⎪ ⎪ ⎪-⎝⎭⎝⎭⎝⎭⎝⎭是22R ⨯的一组基;2. 设有线性变换,使得 2212,21TA A A R ⨯⎛⎫=∀∈ ⎪-⎝⎭,求该线性变换在基123410000101,,,00011010A A A A ⎛⎫⎛⎫⎛⎫⎛⎫==== ⎪ ⎪ ⎪ ⎪-⎝⎭⎝⎭⎝⎭⎝⎭下的矩阵.三.(本题满分10分)求矩阵031042212A⎡⎤⎢⎥=-⎢⎥⎢⎥⎣⎦的QR分解.四.(本题满分15分)已知 12261313At t t tt e e t tt t t t --⎛⎫⎪=-- ⎪ ⎪--+⎝⎭, 1. 求矩阵 A ;2. 求矩阵A 的Jordan 标准形J ,并求相似变换矩阵,P 使得1P AP J -=.五.(本题满分8分)作出矩阵011131118A ⎡⎤⎢⎥=⎢⎥⎢⎥⎣⎦的盖尔圆,并应用圆盘定理隔离其特征值.六.(本题满分8分)求多项式矩阵222212+1()=A λλλλλλλλλλλ⎛⎫++-⎪ ⎪ ⎪-⎝⎭的Smith 标准形.七.(本题满分10分)设矩阵⎪⎪⎭⎫⎝⎛-=0311A ,试计算矩阵多项式 E A A A A g 272)(23++-=.八.(本题满分12分) 已知95421452,()1,2280t A f t e →⎡⎤⎛⎫⎪⎢⎥=-= ⎪⎢⎥⎪⎢⎥-⎣⎦⎝⎭1. 求矩阵函数 ;Ate2. 求微分方程组()()()d x t A x t f t dt→→→=+满足初始条件1(0)02x →⎡⎤⎢⎥=⎢⎥⎢⎥⎣⎦的解.九. (本题满分15分) 设11121101,00110012A b-⎛⎫⎛⎫⎪ ⎪⎪ ⎪==⎪ ⎪⎪ ⎪⎝⎭⎝⎭,1. 求A的满秩分解;2.求A+;3. 求矛盾方程组Ax b=的极小范数最小二乘解,并计算其两种范数.。
矩阵论复习题1设A 、B 均为n 阶正规矩阵,试证A 与B 酉相似的充分必要条件是A 与B 的特征值相同。
证明: 充分性:A 与B 的特征值相同,A 、B 均为n 阶正规矩阵,则有11,A P IP B Q IQ --== 故11111,,A P QIQ P R Q P R P Q -----==令= A 与B 酉相似 必要性:A,B 为n 阶正规矩阵,存在初等变换R,1A RBR -=11,,,I E PQ A P IP B Q EQ --==为对角矩阵,存在初等变换111,I PAP E QRAR Q ---== ,因为I,E 为对角矩阵,故I=E 。
因此A 与B 的特征值相同。
#2 作出下列矩阵的奇异值分解10(1)A 0111⎡⎤⎢⎥=⎢⎥⎢⎥⎣⎦011(2)A 200-⎡⎤=⎢⎥⎣⎦ (1)632- 6 3 2101263011,130 2 6 311206333T B AA ⎡⎤⎡⎤⎡⎤⎢⎥⎢⎥⎢⎥⎢⎥⎢⎥⎢⎥⎡⎤⎢⎥⎢⎥⎢⎥⎢⎥==⎢⎥⎢⎥⎢⎥⎢⎥⎢⎥⎢⎥⎢⎥⎢⎥⎣⎦⎢⎥⎢⎥⎢⎥-⎢⎥⎢⎥⎢⎥⎢⎥⎢⎥⎢⎥⎣⎦⎣⎦⎣⎦特征值对应,特征值对应,特征值对应 2221 2 2,131222 2 2TC A A ⎡⎤⎡⎤⎢⎥⎢⎥⎡⎤⎢⎥⎢⎥==⎢⎥⎢⎥⎢⎥⎣⎦-⎢⎥⎢⎥⎣⎦⎣⎦特征值对应,特征值对应故263 2 6 32210263 2 203 2 6 3220063 2 20 33HA ⎡⎤-⎢⎥⎡⎤⎢⎥⎡⎤⎢⎥⎢⎥⎢⎥⎢⎥=⎢⎥⎢⎥⎢⎥⎢⎥⎢⎥-⎢⎥⎣⎦⎢⎥⎣⎦-⎢⎥⎢⎥⎣⎦(2) 2010,240401T B AA ⎡⎤⎡⎤⎡⎤==⎢⎥⎢⎥⎢⎥⎣⎦⎣⎦⎣⎦特征值对应,特征值对应, 0040012201-1,2-400- 2 20-11022- 2 2T C A A ⎡⎤⎡⎤⎢⎥⎢⎥⎡⎤⎡⎤⎢⎥⎢⎥⎢⎥⎢⎥⎢⎥⎢⎥==⎢⎥⎢⎥⎢⎥⎢⎥⎢⎥⎢⎥⎢⎥⎢⎥⎣⎦⎣⎦⎢⎥⎢⎥⎢⎥⎢⎥⎣⎦⎣⎦特征值对应,特征值对应,特征值对应 0101022200A 001 2202022022H⎡⎤⎢⎥⎢⎥⎡⎤⎡⎤⎢⎥=-⎢⎥⎢⎥⎢⎥⎣⎦⎣⎦⎢⎥⎢⎥⎢⎥⎣⎦3.求下列矩阵A 的满秩分解123002111021A ⎛⎫⎪=- ⎪⎪⎝⎭112211001230010,021110102111001230010,021101100001001230=010021-11-11L L A L L L A A ⎡⎤⎡⎤⎢⎥⎢⎥==-⎢⎥⎢⎥⎢⎥⎢⎥---⎣⎦⎣⎦⎡⎤⎡⎤⎢⎥⎢⎥==-⎢⎥⎢⎥⎢⎥⎢⎥⎣⎦⎣⎦⎡⎤⎡⎤⎢⎥⎢⎥⎢⎥⎣⎦⎢⎥⎣⎦故4 设A 、B 均为n 阶Hermite 正定矩阵,证明:若B A ≥且BA AB =,则33B A ≥.证明:由于A 、B 均为n 阶Hermite 正定矩阵,且BA AB =,则AB 与BA 均为n 阶Hermite 正定矩阵。
习题 1.21. 解:因为对2的任一向量(21,x x ),按对应规则都有2中惟一确定的向量与之对应,所以是2的一个变换.(1) 关于x 轴的对称变换; (2) 关于y 轴的对称变换; (3) 关于原点的对称变换; (4) 到x 轴的投影变换; (5) 到y 轴的投影变换.2. 解: (1) 不是.因为(2211ααk k +)=2211ααk k ++β≠k 1(1α)+k 2)()()(22112βαβαα+++=k k=2211ααk k ++)(21k k +β(2) 不是.因为(2211ααk k +)=β≠k 1(1α)+k 2βα)()(212k k +=(3) 不是.因为取 x =(1 , 0 , 0 ) , 1≠k 时,(k x )=(k 2,0, 0)≠k( x )= k (1, 0, 0)=(k , 0, 0)(4) 是.因为 设x =(321,,x x x ) , y =(321,,y y y )(k 1x +k 2y )=112(x k ),,2(),,1322121322y y y y y k x x x x +-++-=k 1(x )+k 2( y )(5) 是.因为()()(2211x f k x f k +)=)1()1(2211+++x f k x f k=k 1(f 1(x ))+k 2))((2x f(6) 是.因为()()(2211x f k x f k +)=)()(022011x f k x f k += k 1(f 1(x ))+k 2))((2x f(7) 不是.因为 设x =(321,,x x x ) , y =(321,,y y y )(k 1x +k 2y )= ()0),sin(),cos(22211211y k x k y k x k ++≠k 1(x )+k 2( y )=)0,sin ,(cos )0,sin ,(cos 212211y y k x x k + =()0,sin sin ,cos cos 22211211y k x k y k x k ++ .3. 解:1(α+β)=1[()]()11222221,,y x y x y x y x --+=++()()=-+-=1212,,y y x x 1(α)+1(β)1(k α)=1(k (x 1, x 2))()()kx x k kx kx =-=-=1212,,1(α)所以1是线性变换.同理可证2也是线性变换.(1+2)(α)= (1+2)[(x 1, x 2)]=1[(x 1, x 2)]+2[(x 1, x 2)]),(),(),(21212112x x x x x x x x --+=-+-=12(α)=1[2(α)]=1[( x 1, -x 2)]=(- x 2, -x 1)21(α)=2[1(α)]=2[( x 2, -x 1)]=( x 2, x 1) .4. 证:(1)因()()()C B A B A C B A +-+=+()()=-+-=BC CB AC CA (A )+(B )()()()()=-=-=AC CA k C kA kA C kA k(A )故是线性变换.(2)(A )B +A(B ) ()()BC CB A B AC CA -+-==-=ABCCAB (AB )5. 解:令 ()3,,R c b a c cb a a ∈↔⎥⎦⎤⎢⎣⎡+ 即可.6. 证:设()[]n x p x f ∈,则(12-21)(f(x))=1[2(f(x))]-2[1(f(x))]=1[xf(x)]-2[f(x)]()()()()x f x f x x f x x f ='-'+=故12-21是恒等变换.7. 证:设2V ∈α,则2211e k e k +=α,由于2(e 1)+ 2(e 2)=2(e 1+e 2)=e '1+e '22(e 1)-2(e 2)=2(e 1-e 2)=e '1-e '2所以,2(e 1)=e '1,2(e 2)= e '2 于是1(α)=k11(e 1)+k21(e 2)2211e k e k '+'= = k12(e 1)+k22(e 2)=2(α)故1=2.8. 解:(1) 因为j i ,在xoy 平面上,其投影不变,故有(i )=i ,(j)=j ,又k 垂直xoy 平面,则0)(=k , 得((i ),(j ),(k ))=(i ,j ,k ) 000010001所求矩阵为A = 000010001 .(2) 因为,001)(γβαα++==i,010)(γβαβ++==j ,,011)(γβαγ++=+=j i所以, 所求矩阵为 A = 000110101 .(3) 由的定义知, (i )= ((1 ,0 ,0 ))= ( 2 ,0 ,1)(j )= ((0 ,1, 0 ))= ( -1, 1 , 0)(k )=((0 ,0 ,1))= ( 0 ,1 , 0)有 ((i ),(j ),(k ))=(),,k j i 0111012- 所求矩阵为 A = 0111012- . (4) 据题设: )())(('t f t f = 则)(1x =(bt e at cos )'=bt be bt ae at at sin cos -=21bx ax - )(2x =( bt e at sin )' =12bx ax +)(3x =( bt te at cos )'=431bx ax x -+ )(4x =(bt te at sin )' =342bx ax x ++)(5x =(bt e t at cos 212)' =653bx ax x -+)(6x = ( bt t sin 212 )' =564bx ax x ++于是( )(1x , )(2x , )(3x , )(4x , )(5x , )(6x )()D x x x x x x 654321,,,,,= ,所求矩阵为D =ab baa bbaa bba---00000010000100001000019. 解:(1) (123,,e e e )=(321,,e e e ) 001010100 =(321,,e e e )C所求矩阵为 B=C 1-AC = 111213212223313233a a a a a a a a a (2) (321,,e ke e )=(321,,e e e ) 10000001k =(321,,e e e )C所求矩阵为B=C1-AC =333231232221131211akaakaakaakaa(3) (3221,,eeee+)=(321,,eee)1111=(321,,eee)C 所求矩阵为B=C1-AC=33323231132312221211222113121211aaaaaaaaaaaaaaaa+----++10. 解:由定义知()()31121,0,2εεε+==212)0,1,1()(εεε+-=-=()()23,1,0εε==所以,所求矩阵为⎥⎥⎥⎦⎤⎢⎢⎢⎣⎡-11112.11. 解:因为()()21121,2εεε'+'==()()1231,3εε'==()()2131,1εεε'+'-=-=所以,所求矩阵为⎥⎦⎤⎢⎣⎡-11132.12. 解: (1η,2η,3η)=(321,,εεε) 111101011--(321,,εεε)=(1η,2η,3η) 111101011--1-= (1η,2η,3η) CB=C 1-AC = 11110111-- 021011101- 111101011--1-= 12121211---- .13. 解:(1) (1η,2η,3η) = (321,,e e e ) C , 过渡矩阵为C=(321,,e e e )1-(1η,2η,3η)= 1011101211- 111122221---- = 252112323123232--- (2) ()(1e ,)(2e ,)(3e )=(1η,2η,3η) = (321,,e e e ) C故在基{}i e 下的矩阵就是 C . (3) (()1η,(2η),(3η) ) = (1η,2η,3η) = (321,,e e e ) C=()(1e ,)(2e ,)(3e ) C = (1η,2η,3η) C故在基{}i η下的矩阵仍为C . 14. 解:(1) 由于()211111100cE aE c a E +=⎥⎦⎤⎢⎣⎡=()221212100cE aE c a E +=⎥⎦⎤⎢⎣⎡=()211121100dE bE d b E +=⎥⎦⎤⎢⎣⎡=()221222100dE bE d b E +=⎥⎦⎤⎢⎣⎡= 故1在该基下的矩阵为⎥⎥⎥⎥⎦⎤⎢⎢⎢⎢⎣⎡=d cd c b a b a A 000000001 类似地,可得2在该基下的矩阵为⎥⎥⎥⎥⎦⎤⎢⎢⎢⎢⎣⎡=d b c a d b c a A 000000002. 由于3=12,所以3在该基下的矩阵为⎥⎥⎥⎥⎥⎦⎤⎢⎢⎢⎢⎢⎣⎡==2222213d bd cd bccd ad c ac bd b ad abbc abaca A A A同理,可得4在该基下的矩阵为⎥⎥⎥⎥⎦⎤⎢⎢⎢⎢⎣⎡=a c a c b a b a A 0200022000204 (2)由于由简单基E 11,E 12,E 21,E 22改变为给定基E 1,E 2,E 3,E 4的过渡矩阵为⎥⎥⎥⎥⎦⎤⎢⎢⎢⎢⎣⎡-=001110011000001C 于是,4在给定基下的矩阵为⎥⎥⎥⎥⎦⎤⎢⎢⎢⎢⎣⎡--==-a b ca b c c c a b b a C A C B 002202204115. 解: (1)将题给关系式写成矩阵形式为(()1e ,(2e ),(3e ) ) ()⎥⎥⎥⎦⎤⎢⎢⎢⎣⎡=⎥⎥⎥⎦⎤⎢⎢⎢⎣⎡110011101,,423312121321εεε 即()()()B e e e 3211321321,423312121110011101,,,,εεεεεε=⎥⎥⎥⎦⎤⎢⎢⎢⎣⎡⎥⎥⎥⎦⎤⎢⎢⎢⎣⎡=-由于()()C e e e 321321,,,,=εεε,所以有(=),,321εεε()()BC C e e e 321321,,,,εεε=故在基(II )下的矩阵⎥⎥⎥⎦⎤⎢⎢⎢⎣⎡----==256355123BC A (2)因为(=)1ε()()⎥⎥⎥⎦⎤⎢⎢⎢⎣⎡=⎥⎥⎥⎦⎤⎢⎢⎢⎣⎡001,,001,,321321A εεεεεε ()()⎥⎥⎥⎦⎤⎢⎢⎢⎣⎡=⎥⎥⎥⎦⎤⎢⎢⎢⎣⎡=953,,001,,321321e e e CA e e e所以()1ε在基(I )下的坐标为(3,5,9).16. 解:(1)取[]2x p 的简单基1,x ,x 2,则有()()()⎥⎥⎥⎦⎤⎢⎢⎢⎣⎡==101110102,,1,,1,,202321x x A x x f f f 从简单基改变到基f 1,f 2,f 3和g 1,g 2,g 3的过渡阵分别为⎥⎥⎥⎦⎤⎢⎢⎢⎣⎡=5222101011C , ⎥⎥⎥⎦⎤⎢⎢⎢⎣⎡-=2101010112C 故有(g 1, g 2, g 3)=(1, x, x 2 )C =()211321,,C C f f f -()()21101232121102,,,,1C C A C g g g C C A x x ---== 即在基(II )下的矩阵⎥⎥⎥⎦⎤⎢⎢⎢⎣⎡---==--110211*********C C A C A (2)因为()()()⎥⎥⎥⎦⎤⎢⎢⎢⎣⎡=⎥⎥⎥⎦⎤⎢⎢⎢⎣⎡=-321,,321,,1123212C g g g x x x f ()⎥⎥⎥⎦⎤⎢⎢⎢⎣⎡-=032,,321g g g 所以(f(x))=()()⎥⎥⎥⎦⎤⎢⎢⎢⎣⎡-=⎥⎥⎥⎦⎤⎢⎢⎢⎣⎡-032,,032,,321321A g g g g g g()23211354,,x x g g g +--=⎥⎥⎥⎦⎤⎢⎢⎢⎣⎡-= .17. 证:设在给定基下的矩阵为()ij a A =,并设C 为从旧基到新基的过渡矩阵,由于在任一组基下的矩阵相同,则有AC C A 1-=,即AC=CA ,根据“A 与一切满秩矩阵可变换”性质,即可定出A 必为数量矩阵()常数k kI A ,=.18. 解:由基321,,ηηη到基321,,εεε的过渡矩阵为⎥⎥⎥⎥⎥⎥⎦⎤⎢⎢⎢⎢⎢⎢⎣⎡--=3103161213121211C 故 {}i ε在基下的矩阵为⎥⎥⎥⎦⎤⎢⎢⎢⎣⎡--==-46846453106111C B C B .那么,+,,, (+ )在基{}i ε下的矩阵分别为⎥⎥⎥⎦⎤⎢⎢⎢⎣⎡--=+2644241011151061B A , ⎥⎥⎥⎦⎤⎢⎢⎢⎣⎡-=601272122126061AB , ⎥⎥⎥⎦⎤⎢⎢⎢⎣⎡---=123414026215291361BA , ()⎥⎥⎥⎦⎤⎢⎢⎢⎣⎡---=+3612078611442549675181B A B .19. 证:设有可逆方阵P 与Q ,使 B=P 1-AP , D=Q 1-CQ 则DB O O =CQ Q AP P 11--OO =11--OO QCA O OQP O=QP O O 1-CA O OQP O O即 CA O O 与 DB O O 相似.20. 证:设1r rankA =,2r rankB =,则A ,B 的行向量的极大无关组中分别含有21,r r 个行向量,设分别为11,,r αα 和21,,r ββ ,则A 的每个行向量均可由11,,r αα 线性表示,B 的每个行向量均可由21,,r ββ 线性表示.又可A+B 的每个行向量是A 与B 的相应行向量的和,故A+B 的每个行向量均可由11,,r αα ,21,,r ββ 线性表示.因此A+B 的行向量组的极大无关组中所含向量的个数不超过21r r +,即()rankB rankA B A rank +≤+.21. 证:设()n B r rankA βββ,,,,21 ==,则()()0,,,,,,2121===n n A A A A AB ββββββ ,所以θβ=1A ,θβ=2A ,…,θβ=n A .这就说明B 的列向量n βββ,,,21 都是以A 为系数矩阵的齐次方程组的解.由于r r a n kA =,所以解空间的维数为r n -,从而知nββ,,1 的极大无关组所含向量的个数r n -≤,即r n rankB -≤,因此有n r n r rankB rankA =-+≤+ .22. 证:设A ,B 为同一数域上的n m ⨯与g n ⨯阶矩阵,显然,方程组BX=θ的解向量X 也满足方程组()θ=X AB ,记{}θ==BX X U , (){}θ==X AB X V则V U ⊂,于是dinV AB rank n rankB n U =-≤-=)(dim 即()rankB AB rank ≤.又由于()()()T T T A B rank AB rank AB rank ==rankA rankA T =≤ 因此 (){}r a n k B r a n k A AB rank ,min ≤.23. 证:由上题知,()rankA A A rank T ≤,现在只需证明()rankA A A rank T ≥即可.考虑线性方程组θ=AX A T ,设()T n x x x X ,,,21 =是方程组的一组解,将θ=AX A T 两边左乘X T ,得θ=AX A X T T ,即()θ=AX AX T ,所以θ=AX ,即{}{}00=⊂=AX X AX A X T .于是()rankA n A A rank n T -≤-即有()rankA A A rank T ≤,故有()rankA A A rank T = ,并且有()()rankA rankA A A rank A A rank T T TTT ===即有()()T T AA rank A A rank rankA ==.注:对复矩阵A ,上式不一定成立.例如⎥⎦⎤⎢⎣⎡-=11i i A ,1=rankA .由于 ⎥⎦⎤⎢⎣⎡=⎥⎦⎤⎢⎣⎡-⎥⎦⎤⎢⎣⎡-=00001111ii ii A A T 故()0=A A rank T .此时,相应的关系式应为()()A A rank AA rank rankA **== .24. 证:必要性.由上题已证得,充分性只要在AX=θ两边左乘A T 即可.25. 证:(1)因为n rankA =,故n m ≥,不妨设A 的前n 行线性无关,且构成的n 阶满秩方阵为A 1,后n m -行构成的矩阵为A 2,则⎥⎦⎤⎢⎣⎡=⎥⎦⎤⎢⎣⎡=B A B A B A A AB 2121所以()()rankB B A rank AB rank =≥1,但()r a n k BAB rank ≤,故()r a n k BAB rank =.(2) 同理可证.26. 解:(1)⎥⎦⎤⎢⎣⎡=0011A , ⎥⎦⎤⎢⎣⎡--=0011B ; (2)⎥⎦⎤⎢⎣⎡=0001A , ⎥⎦⎤⎢⎣⎡=0020B ; (3)⎥⎦⎤⎢⎣⎡=0001A , ⎥⎦⎤⎢⎣⎡=1000B .27. 证:因为()()()n m rankB rankA AB rank rankC ,min ,min ≤≤=,但n m >,故m 阶方阵C 的秩m n <≤,所以C 是降秩的.28. 解:先求矩阵A 的特征值和特征向量为 121==λλ, ()T 20,6,31-=α 23-=λ, ()T 1,0,02=α故的特征值和特征向量为121==λλ, ()3212063e e e k +-,0≠k 23-=λ, 3ke , 0≠k .29. 解:(1)121==λλ,()T 1,0,11=α,()T 0,1,02=α,13-=λ,()T 1,0,13-=α.(2)1=λ,()T2,1,31-=α,i143,2±=λ,().10,1432,1463,2Ti i -±-±=α(3)121==λλ,()T 20,6,31-=α,23-=λ,()T 1,0,02=α; (4)2321===λλλ,()T 0,0,1,11=α,()T 0,1,0,12=α,()T 1,0,0,13=α,24-=λ,()T 1,1,1,14---=α.以上分别求出了在不同基下所对应矩阵A 的特征值和特征向量,则类似于上题的方法,可求出不同基下所对应的特征值和特征向量.30. 解:(1),(2),(4)为非亏损矩阵(单纯矩阵),其变换矩阵P 分别为(1)⎥⎥⎥⎦⎤⎢⎢⎢⎣⎡-101010101; (2)⎥⎥⎥⎦⎤⎢⎢⎢⎣⎡----+---+101021432143211461463i i i i ; (4)⎥⎥⎥⎥⎦⎤⎢⎢⎢⎢⎣⎡---110101010011111.31. 证 : 设在给定基下的矩阵为A ,则()n i A i ni i ,,2,100det 1=≠⇔≠=∏=λλ32. 证:设r rankA =,则存在满秩矩阵P 与Q ,使得()0,r I diag PAQ =,故有()C I diag BP PAQQ PABP r 0,111==--- 其中()ij C BQ Q C ==--11, 这说明AB 与diag (0,r I )相似.另一方面,有()0,111r I C d i a g P A Q BP Q BAQ Q ==---,说明BA 与()0,r I Cdiag 相似.不难验证有()()()()0,det 0,det r r I Cdig I C I diag I -=-λλ 故AB 与BA 有相同的特征多项式,因此有相同的特征值和迹.33. 证:设A 的任一特征值为λ,λ的对应于λ的特征子空间记为λV .对λV 中任意向量Z 有BZ Z B BAZ ABZ λλ===故λV BZ ∈,因此λV 为线性变换()BZ Z =的不变子空间,即()BZ Z =为λV 中的线性变换,此线性变换的特征向量即为B 的特征向量,但它又属于λV ,由λV 的定义知它又是A 的特征向量,即A 与B 有公共的特征向量.34. 证:设A 的特征值为i λ,则A 2的特征值为2i λ,由12=i λ有1±=i λ,若所有1=i λ,则A+I 为满秩矩阵,故由(A+I )(A-I )=A 2-I 2=0,有A=I .35. 证:不失一般性,设B 非奇异,有AB=B -1(BA )B 即AB 与BA 相似,所以它们有相同的特征多项式.36. 证:设A 为n 阶方阵,具其秩为r ,由于A 2=A ,知A 的列向量都是A 的对应于特征值1的特征向量.因γ=rankA ,故特征值1的几何重复度为r ,其代数重复度至少为r .又θ=AX 的基础解系中的向量个数为r n -,即A 的特征值0的几何重复度为r n -,其代数重复度不小于r n -.由于一个n 阶矩阵的特征值的代数重复度之和恰为n ,故特征值1和0的代数重复度分别为r 和r n -.可见A 除了1和0外无其它特征值,而1和0的几何重复度之和为n ,故A 为非亏损矩阵,所以A 相似()0,r I diag .37. 证:用反证法.若A 可相似于对角矩阵,对角元素即为A 的特征值,且至少有一个不为0.但是,由于λαα=A ,于是θαλα==k k A ,因为θα≠,所以0=k λ,故0=λ,即A 的特征值都等于0,矛盾.38. 证:由X AX λ=,有()X k kX A λ=,X X A k k λ=,从而有()()X f X A f λ=,即X 也是()A f 的特征向量.显然()A f 的特征值为()λf ,即为λ的多项式.39. 解:取3中的自然基321,,εεε,计算得(1ε)=(0 , -2 ,-2 ) , (2ε)=(-2 , 3 ,-1 ) , (3ε)=(-2 , -1 ,3 )则在基321,,εεε下的矩阵为⎥⎥⎥⎦⎤⎢⎢⎢⎣⎡------=31213222A而A的特征值为2,4321-===λλλ,与之对应的特征向量为()TX0,2,11-=,()TX2,0,12-=,()TX1,1,23=,则有()2,4,41-=Λ=-diagACC,其中⎥⎥⎥⎦⎤⎢⎢⎢⎣⎡--=112211C.由()321,,ααα=(321,,εεε)C求得3R的另一组基为()0,2,12211-=+-=εεα,()2,0,12312-=+-=εεα,()1,1,223213=++=εεεα,显然在该基下的矩阵为对角阵Λ.40. 解:(1)因为()21xx+=,()21xx+=,()xx+=12,所以在基1,x,x2下的矩阵⎥⎥⎥⎦⎤⎢⎢⎢⎣⎡=111111A.(2)由于A原特征值为121-==λλ,23=λ,相应的特征向量为()TX01,11-=,()TX1,12-=,()TX11,13=,存在可逆阵⎥⎥⎥⎦⎤⎢⎢⎢⎣⎡--=1111111C,使⎥⎥⎥⎦⎤⎢⎢⎢⎣⎡--==-2111AACC,故所求的基321,,eee为()()()2223211,1,1,,1,,xxxxCxxeee+++-+-==.41. 解:(1)对任意的V∈βα,及Rlk∈,,有()()()()()BBlBBkBlklkBlkTTTTTTββααβαβαβα-+-=+-+=+=k ((α))+l ((β))故是线性变换. (2)取V 的简单基⎥⎦⎤⎢⎣⎡=⎥⎦⎤⎢⎣⎡=⎥⎦⎤⎢⎣⎡-=0100,0010,1001321A A A 由于(),01101⎥⎦⎤⎢⎣⎡-=A ⎥⎦⎤⎢⎣⎡-=0110)(2A ,⎥⎦⎤⎢⎣⎡-=0110)(3A , 所以在基321,,A A A 下的矩阵为⎥⎥⎥⎦⎤⎢⎢⎢⎣⎡---=111111000R R 的特征值为2,0321===λλλ,对应的线性无关的特征向量为(1,1,0)T ,(0,1,1)T ,(0,1,-1)T ,令⎥⎥⎥⎦⎤⎢⎢⎢⎣⎡-=110111001C , ⎥⎥⎥⎦⎤⎢⎢⎢⎣⎡=Λ200 则有Λ=-RC C 1,由(B 1,B 2,B 3)=(A 1,A 2,A 3)C 求得V 的另一组基为⎥⎦⎤⎢⎣⎡-=+=1011211A A B ,⎥⎦⎤⎢⎣⎡=+=0110322A A B ,⎥⎦⎤⎢⎣⎡-=-=0110323A A B,在该基下的矩阵为Λ.42. 证:(1)取n的一组基n e e e ,,,21 ,设1(n e e e ,,,21 )=(n e e e ,,,21 )A2(n e e e ,,,21 )=(n e e e ,,,21 )B则有 (12)(n e e e ,,,21 )=(n e e e ,,,21 )(AB ) (1+2)(n e e e ,,,21 )=(n e e e ,,,21 )(A+B )由12=1+2,可得AB=A+B ,从而有B T A T =A T +B T .若1是1的特征值,则 1也是A 的特征值,从而1也是A T 的特征值,设A T 对应于特征值1的特征向量为β,即()0≠=βββT A ,由(B T A T )β=(A T +B T )β,可得B T β=β+B T β,即β=0,这与β是A T 的特征向量矛盾,故1不是1的特征值.(2)因1有几个不同的特征值,所以1有n 个线性无关的特征向量.记1的对应于特征值n λλλ,,,21 的线性无关的特征向量为X 1,X 2,…,X n ,即1i i i X X λ= (i =1,2,…,n ),则X 1,X 2,…,X n 作为n的基时,1的矩阵A =diag (n λλλ,,,21 ).再由AB=A+B 及1≠i λ知()⎪⎪⎭⎫ ⎝⎛---=-=-1,,1,122111n n d i a g A I A B λλλλλλ 即1与2在该基X 1,X 2,…,X n 下的矩阵都为对角阵.43. 证:对任意0λαV ∈,有1(αλα0)∈.由于1(2(α))=2(1(α))=2(λα)所以2()0λαV ∈, 故0λV 是2的不变子空间.44. 解:(1) (4'3'2''1,,,e e e e )=( 4321,,,e e e e )C=(4321,,,e e e e ) 211111000320001---∴ B=C 1-AC =242134040168101042699631-----(2) 先求核θ(1-) . 设η=)(1θ-在基{}i ε下的坐标为(4321,,,x x x x ),(θη=)在此基下的坐标为(0,0,0,0),于是A 4321x x xx =000此时A 的秩为2,解之,得基础解系 )1,0,2,1(,)0,1,23,2(21--=--=ξξ, 作 421232112,232e e e e e e +--=+--=ηη . 显然,21,ηη为核θ(1-)的一组基,故核由21,ηη所张成,即θ(1-)=Span (21,ηη) .再求值域(4) . 由于 ((e 1),(e 2),(e 3),(e 4)) = (4321,,,e e e e ) A 而A 的秩为2,所以(e 1),(e 2),(e 3),(e 4)的秩也为2,且(e 1),(e 2)线性无关,故组成(4)的基,从而(4)=Span ((e 1),(e 2)) .(3) 由(2)知21,ηη是核θ(1-)的一组基,易知2121,,,ηηe e 为4的一组基,由于有(2121,,,ηηe e )=(4321,,,e e e e )100100223101201---- = (4321,,,e e e e ) D所以在此基下的矩阵为B=D 1-AD=022021001290025-(4) (2)知(e 1),(e 2)是值域 (4)的一组基,又知(e 1),(e 2),43,e e 为4的一组基,有((e1),(e2),43,e e )=(4321,,,e e e e )10221210210001-- =(4321,,,e e e e ) T所以在此基下的矩阵为B=T 1-A T = 000002231291225 .45. 证:取3中的自然基321,,εεε,因为(+ )(1ε)=(1ε)+ (1ε)=(1,0,0)+(0,0,1)=(1,0,1)同理有(+ )(2ε)=(2,0,0), (+ )(3ε) =(1,1,0)这表明+ 将基321,,εεε变换成3中的另一组基1e =(1,0,1),2e =(2,0,0),3e =(1,1,0)(易证它们线性无关). 又因(+ )(3)是3的子空间,而321,,e e e 是(+ )(3)的最大无关组,故这个子空间的维数为3,再由习题1.1中第22题的结果知(+ )(3)=3(此时取V 2=3).46. 解:因为2[(321,,a a a )]=([(321,,a a a )])=()[]21,,0a a =(0,0,1a )所以2的像子空间为R (2)(){}R a a ∈=,0,0核子空间为N (2)(){}R a a a a ∈=2232,,,0因此,dimR (2)=1,其一组基为(0,0,1);dim N (2)=2,其一组基为(0,1,0),(0,0,1).47. 证 :(1)由的定义容易验证满足可加性和齐次性,所以它为线性变换.又因2[(n x x x ,,,21 )]=[()()2111,,,0,0],,,0--=n n x x x x ,…推知n[()()0,,0,0],,,21 ==n x x x ,即nϑ=(零变换).(2)若[()()()0,,0,0,,,0],,,1121 ==-n n x x x x x ,则1x =2x =…=1-n x =0即()θ1-为由一切形如(0,0,…,n x )的向量构成的子空间,它是一维子空间,则(0,…,0,1)是它的基.又由维数关系dim (V)+dim1-(θ)=n便得 (V) 的维数等于 n-1 .48. 证 :(1)必要性.若(V)= (V),对任V ∈α,则∈)(α (V )=(V) ,故存在V ∈β,使 =)(α)(β ,=)(α2)(β= )(β= )(α ,由α的任意性有= .同理可证= .充分性.若= ,=, 对任(∈)α(V )V ⊂,=)(α)(α= ()(α)∈ (V ) , 故(V)⊂ (V) ;同理可证 (V) ⊂(V).(2)必要性.若()=-θ1)(1θ-,对任V ∈β,作-β)(β,因(-β)(β)=)(β-2)(β=)(β-)(β=θ ,所以,-β)(β∈()θ1- =)(1θ- ,则 (-β)(β)= θ ,故=)(β )(β,由β的任意性有 = . 同理,通过作β- )(β , 可得=.充分性.若= , =, 对任 ∈α()θ1-,由=)(α=)(α ()(α)= (θ)=θ ,故()⊂-θ1)(1θ-;同理,由任∈β)(1θ- ,可得()⊂-θ1)(1θ-.。
矩阵论试题(整理)(完整版)实用资料(可以直接使用,可编辑完整版实用资料,欢迎下载)矩阵论试题(06,12)一.(18分填空:设1.A-B的Jordan标准形为J=2.是否可将A看作线性空间V2中某两个基之间的过渡矩阵()。
3.是否可将B看作欧式空间V2中某个基的度量矩阵。
()4.(),其中。
5.若常数k使得kA为收敛矩阵,则k应满足的条件是()。
6.AB的全体特征值是()。
7.()。
8.B的两个不同秩的{1}-逆为。
二.(10分设,对于矩阵的2-范数和F-范数,定义实数,(任意)验证是中的矩阵范数,且与向量的2-范数相容。
三.(15分已知。
1.求;2.用矩阵函数方法求微分方程满足初始条件x(0的解。
四.(10分用Householder变换求矩阵的QR分解。
五.(10分)用Gerschgorin定理隔离矩阵的特征值。
(要求画图表示)六.(15分已知。
1.求A的满秩分解;2.求A+;3.用广义逆矩阵方法判断线性方程组Ax=b是否有解;4.求线性方程组Ax=b的极小范数解,或者极小范数最小二乘解x0。
(要求指出所求的是哪种解)七.(15分已知欧式空间R22的子空间R22中的内积为V中的线性变换为T(X=XP+XT, 任意XV,1.给出子空间V的一个标准正交基;2.验证T是V中的对称变换;3.求V的一个标准正交基,使T在该基下的矩阵为对角矩阵.八.(7分设线性空间V n的线性变换T在基下的矩阵为A,T e表示V n的单位变换,证明:存在x00,使得T(x0=(T e-T(x0的充要条件是为A的特征值.矩阵论试题(07,12)一.(18分填空:1.矩阵的Jordan标准形为J=2.设则3.若A是正交矩阵,则cos(A=4.设,A+是A的Moore-Penrose逆,则(-2A, A+=5.设,则AB+I2I3的全体特征值是()。
6.设向量空间R2按照某种内积构成欧式空间,它的两组基为和且与的内积为则基的度量矩阵为()。