苑春苗,讲师 - 天津工业大学计算机与科学技术学院
- 格式:pdf
- 大小:48.00 KB
- 文档页数:1
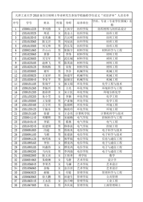
天津工业大学2018届全日制硕士毕业研究生参加学校抽检学位论文“双盲评审”人员名单序号学号姓名性别导师培养单位学科、专业(专业学位领域)名称1 1530011225 李刘倩女王闻宇纺织学院纺织材料与纺织品设计2 1531015325 周觅女范金土纺织学院纺织工程3 1531015345 史兆森男吕汉明纺织学院纺织工程4 1531015365 陈文洋男刘延波纺织学院纺织工程5 1531015385 刘文帅男肖长发纺织学院纺织工程6 1530021065 许山山男崔振宇材料学院材料科学与工程7 1531025065 黄睿女李伟材料学院材料工程8 1531025085 吴宝军男武长城材料学院材料工程9 1531025105 赵林飞男陈英波材料学院材料工程10 1531025125 韩杨杨男宋俊材料学院材料工程11 1531035005 谢军男李莎机械学院机械工程12 1531035025 王家祥男孙建军机械学院机械工程13 1531035045 李家平男赵镇宏机械学院机械工程14 1530151185 张瑞平女郭文娟环化学院化学工程与技术15 1530151265 李振兴男王亮环化学院环境科学与工程16 1530151285 郭彩萍女宋立民环化学院环境分析化学17 1531155285 朱小雪女李颖环化学院化学工程18 1531155305 王玺督男卢素敏环化学院化学工程19 1531155405 左宇环男张朝晖环化学院环境工程20 1531155425 于振东男杨俊玲环化学院环境工程21 1530131165 徐蒙女王金亮计算机学院计算机科学与技术22 1530041145 邓耀辉男宋丽梅电气学院控制科学与工程23 1531045145 李韬男蔡燕电气学院电气工程24 1531045245 侯建国男修春波电气学院控制工程25 1530091085 闫超男邢海英电信学院电子科学与技术26 1530091105 马楷男张建新电信学院电子科学与技术27 1530091125 杨明珠女郭翠娟电信学院信息与通信工程28 1531095165 李怡女缪竟鸿电信学院电子与通信工程29 1531095185 何鑫伟女缪竟鸿电信学院电子与通信工程30 1531095205 马向东男李鸿强电信学院电子与通信工程31 1530082005 陈文冰女王俊青理学院数学32 1530054065 朱晓琳女马静艺术学院设计学33 1531056045 李荣杰女马澜艺术学院艺术设计34 1531056065 余畅女金百洋艺术学院艺术设计35 1530063025 郝敏女付聪管理学院管理科学与工程36 1530063065 徐大鹏男田建生管理学院公共管理37 1531065445 王永思女孙月峰管理学院工业工程38 1531067005 龙辰男齐庆祝管理学院工商管理硕士39 1530234045 张维强男韩海涛图书馆图书馆学40 1525122005 孙志桓男马涛经济学院应用经济学41 1530113005 于小桐女尹艳冰经济学院应用经济学42 1531116005 陶鹏男李树生经济学院金融硕士43 1530104005 李华敏女王者洁文法学院经济法学44 1531106025 张瑞峰男王乃华文法学院电影45 1530174025 张亚丽女王立荣马克思学院思想政治教育备注:学校抽检的学位论文“双盲评审”工作由研究生院组织实施。
第34卷第8期2017年8月计算机应用与软件Computer Applications and SoftwareVoL34 No.8Aug.2017云计算中基于多种群蚁群算法的虚拟机整合王亚宁苑春苗*孙学梅(天津工业大学计算机科学与软件学院天津300387)摘要在云计算的发展研究中,数据中心的高能耗问题得到了广泛的关注,而虚拟机整合是解决数据中心高 能耗问题的手段之一。
其思想是通过将一些物理机上的虚拟机迁移到其他活跃的物理机上使得一些物理机切换 到低能耗模式或睡眠模式,从而降低云数据中心的能耗。
首次将多种群蚁群算法应用于虚拟机整合,提出基于多 种群蚁群算法的虚拟机整合算法。
该算法通过特定的目标函数寻找一个近似最优解。
通过仿真实验验证了该算 法在降低能量消耗和减少虚拟机迁移次数方面优于现存的两种较优的虚拟机整合算法。
关键词数据中心能量消耗虚拟机整合多种群蚁群中图分类号TP3 文献标识码 A DOI:10. 3969/j. issn. 1000-386x. 2017. 08. 005VIRTUAL MACHINE INTEGRATION BASEDON MULTIPLE ANT COLONIES ALGORITHM FOR CLOUD COMPUTINGWang Yaning Yuan Chunmiao *Sun Xuemei(College of Computer Science and Software Engineering,Tianjin Polytechnic University, Tianjin 300387,China) Abstract In the development of cloud computing, high energy consumption of the data center has been widespread concerned, and the virtual machine integration is one of the means to solve the problem of high energy consumption. Virtual machine migration is a method of the number of virtual machines by the physical machine to migrate to make some of physical machines can sleep or enter low-power mode, which reduces power consumption of the cloud data center. In this paper, we present a multiple ant colonies algorithm to implement virtual machines consolidation. The proposed approach finds a near-optimal solution based on a specified objective function. It verifies through experiment that this algorithm outperforms existing virtual machines consolidation approaches in terms of energy consumption and the number of virtual machines migration.Keywords Data center Energy consumption VM integration Multiple ant colonies〇引言云计算作为近来计算机工业领域的一大重要变 革,其发展迅速,为用户提供几乎无限的虚拟的计算、存储和网络等资源。
(19)中华人民共和国国家知识产权局(12)发明专利申请(10)申请公布号 (43)申请公布日 (21)申请号 201910951747.8(22)申请日 2019.10.08(71)申请人 天津工业大学地址 300387 天津市西青区宾水西道延长线399号(72)发明人 代凤英 高亚钗 姜继成 王金娜 姜富馨 任健 (51)Int.Cl.A61K 9/19(2006.01)A61K 47/34(2017.01)A61K 38/28(2006.01)A61P 25/28(2006.01)C08B 37/00(2006.01)B82Y 5/00(2011.01)B82Y 40/00(2011.01)(54)发明名称一种具有ROS响应性聚合物自组装纳米粒子的制备方法(57)摘要本发明提供了一种具有ROS响应性聚合物自组装纳米粒子的制备方法。
本发明提供的聚合物首先由维生素E琥珀酸酯和3-氨基苯硼酸形成前药,3-氨基苯硼酸再与右旋酸酐的邻二醇形成聚合物。
该聚合物在水中自组装成包载胰岛素的纳米粒子,除具有良好的生物相容性和生物可降解性外,3-氨基苯硼酸与右旋酸酐的邻二醇形成的硼酯键具有良好的ROS敏感性,在H 2O 2存在下会断键,维生素E琥珀酸酯游离,同时释放出来包载的胰岛素,使得该纳米载体具有更好的ROS敏感响应药物释放及潜在的阿尔茨海默症治疗应用。
权利要求书1页 说明书5页 附图2页CN 110538156 A 2019.12.06C N 110538156A1.一种具有ROS响应性的聚合物自组装载药纳米粒子的制备方法。
本发明提供的聚合物首先由维生素E琥珀酸酯和3-氨基苯硼酸形成前药,3-氨基苯硼酸再与右旋酸酐的邻二醇形成聚合物。
该聚合物在水中自组装成包载胰岛素的纳米粒子。
2.一种权利要求1所述的ROS响应性的聚合物自组装纳米粒子的制备方法,包括以下步骤:(1)将维生素E琥珀酸酯与3-氨基苯硼酸化学连接形成维生素E琥珀酸酯-3-氨基苯硼酸前药,维生素E琥珀酸酯,1-乙基-(3-(二甲氨基)丙基)碳二亚胺盐酸盐(EDC)和N -羟基琥珀酰亚胺(NHS)溶于无水DMSO中,避光在室温下活化2-4小时。
收稿日期:2018 09 09;修回日期:2018 10 24作者简介:邢倩(1993 ),女,硕士研究生,主要研究方向为无线传感器网络、移动群智感知等(13502196367@163.com);孙学梅,女,副教授,硕导,博士,主要研究方向为无线网络;苑春苗,女,副教授,主要研究方向为计算机网络、网络多媒体.移动群智感知中的空间任务分配机制邢 倩,孙学梅,苑春苗(天津工业大学计算机科学与软件学院,天津300387)摘 要:在移动群智感知的空间任务分配问题中用户与任务的空间距离直接影响完成任务所需的成本,而现有的研究在这方面却考虑不足,因此以最小化感知成本为目标设计了移动群智感知中的空间任务分配机制。
首先,以感知成本最小为目标,基于遗传算法和贪心算法设计了一种高效的任务分配方法;其次,针对用户感知质量的随机性,基于用户的历史感知情况和当前任务的执行情况设计了用户感知质量的更新机制。
为验证所提机制的效果,通过仿真实验与两种基准的任务分配方法作比较。
实验结果表明,所提机制在感知总成本和用户执行任务所移动的总距离等方面均有更好的效果。
关键词:移动群智感知;空间任务;任务分配;成本最小中图分类号:TP393.06 文献标志码:A 文章编号:1001 3695(2020)03 050 0868 04doi:10.19734/j.issn.1001 3695.2018.09.0644AssignmentmechanismforspatialtasksinmobilecrowdsensingXingQian,SunXuemei,YuanChunmiao(SchoolofComputerScience&SoftwareEngineering,TiangongUniversity,Tianjin300387,China)Abstract:Fortheallocationofspatialtasksinmobilecrowdsensing,thespatialdistancebetweenusersandtasksdirectlyaf fectsthecostrequiredtocompletethetasks,whiletheexistingresearchaboutthisisconsideredinadequate.Inordertominimizecost,thepaperproposedaspatialtaskallocationmechanism.Firstly,basedongeneticalgorithmandgreedyalgorithm,itdesignedanefficienttaskallocationmethodtominimizethecostrequiredtocompletethetasks.Secondly,consideringtheran domnessofusersensingquality,itdesignedamechanismofusersensingqualityupdatingbasedonthehistoricalqualityandthequalityofthecurrenttask.Toverifytheeffectivenessoftheproposedmechanism,itconductedsimulationscomparedwiththetwobenchmarks.Theresultsshowthatforspatialtaskallocationtheproposedmechanismhasbetterresultsintermsoftotalcostandspatialdistancethattheuserneedstomovetoperformthetask.Keywords:mobilecrowdsensing;spatialtasks;taskallocation;minimizecost 如今,智能手机逐渐成为移动通信设备的主流,这些智能手机通常配有功能强大的传感器[1],如GPS、相机和数字式罗盘等。
苑春苗,讲师
1998 获西安电子科技大学计算机软件专业,学士学位;2003获西安电子科技大学计算机科学与技术专业,硕士学位;2003至今任职于天津工业大学。
主要研究方向:
1.网络多媒体系统
主要承担课程:
计算机网络;无线网络技术;交换技术
联系方式:
Email:cm_yuan@
科研项目与专利:
支持与参与项目:
1.粮油行业信息化系统开发,横向,2009-2010,主持。
学术论文:
[1]苑春苗,金志刚,杨清永. WiMAX下的移动视频监控系统设计与实现, 计算机工程,
V ol.36(No.6):221-223, 2010年3月
[2]Yuan Chunmiao, Jin Zhigang, Yang Qingyong. A Adaptive Frame Rate QoS Control in
Wireless Video Surveillance System, The 5th International Conference on Wireless Communications, Networking and Mobile Computing,2009,9 (EI:20100112610551)[3]Yuan Chunmiao, Jin Zhigang, Yang Qingyong. A Prototype of H.264-based Remote Video
Surveillance System, The 2nd International Conference on Intelligent Networks and Intelligent Systems,2009, 11,334-337 (EI:20101212782526)
[4]Yuan Chunmiao, Yang Qingyong. The Scheme of SIP-based Video Surveillance System,
The 2nd International Workshop on Education Technology and Computer Science (ETCS 2010), 2010, 3 (EI:20103613209958)
[5]Yuan Chunmiao, Yang Qingyong. Study on peer-to-peer in video surveillance system,
IEEC 2010,2010.7(EI:20102312986287)
[6]苑春苗,万振凯,杨清永.主动方式的视频监控系统连接方案研究,天津工业大学学报,
V ol.29(No.4):85-88,2010.8。