考研高等数学公式(word版,全面
- 格式:doc
- 大小:210.50 KB
- 文档页数:15
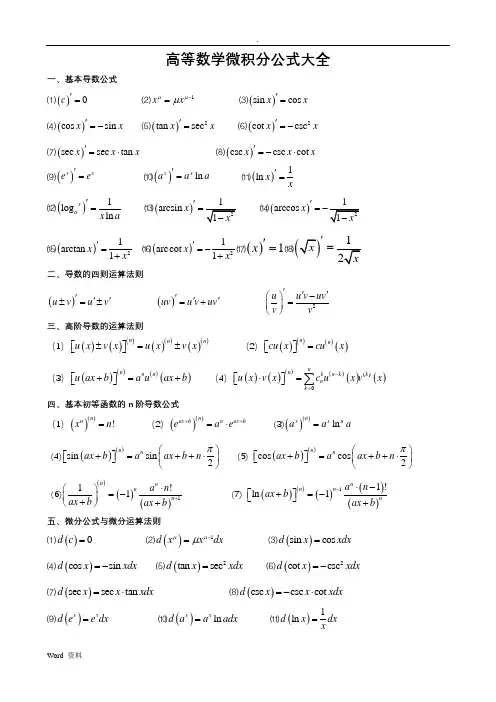
高等数学微积分公式大全一、基本导数公式⑴()0c '= ⑵1x xμμμ-= ⑶()sin cos x x '=⑷()cos sin x x '=- ⑸()2tan sec x x '= ⑹()2cot csc x x '=- ⑺()sec sec tan x x x '=⋅ ⑻()csc csc cot x x x '=-⋅⑼()xxee'= ⑽()ln xxaaa '= ⑾()1ln x x'=⑿()1log ln xax a'= ⒀()arcsin x '= ⒁()arccos x '=⒂()21arctan 1x x '=+ ⒃()21arccot 1x x '=-+⒄()1x '=⒅'=二、导数的四则运算法则()u v u v '''±=± ()uv u v uv '''=+ 2u u v uv v v '''-⎛⎫= ⎪⎝⎭三、高阶导数的运算法则 (1)()()()()()()()n n n u x v x u x v x ±=±⎡⎤⎣⎦ (2)()()()()n n cu x cu x =⎡⎤⎣⎦(3)()()()()n n nu ax b a uax b +=+⎡⎤⎣⎦(4)()()()()()()()0nn n k k k n k u x v x c u x v x -=⋅=⎡⎤⎣⎦∑ 四、基本初等函数的n 阶导数公式 (1)()()!n nxn = (2)()()n ax b n ax b e a e ++=⋅ (3)()()ln n x x n a a a =(4)()()sin sin 2n n ax b a ax b n π⎛⎫+=++⋅⎡⎤ ⎪⎣⎦⎝⎭ (5) ()()cos cos 2n nax b a ax b n π⎛⎫+=++⋅⎡⎤ ⎪⎣⎦⎝⎭ (6)()()()11!1n n nn a n ax b ax b +⋅⎛⎫=- ⎪+⎝⎭+ (7) ()()()()()11!ln 1n n n na n axb ax b -⋅-+=-⎡⎤⎣⎦+五、微分公式与微分运算法则 ⑴()0d c = ⑵()1d xxdx μμμ-= ⑶()sin cos d x xdx =⑷()cos sin d x xdx =- ⑸()2tan sec d x xdx = ⑹()2cot csc d x xdx =- ⑺()sec sec tan d x x xdx =⋅ ⑻()csc csc cot d x x xdx =-⋅ ⑼()xxd ee dx = ⑽()ln xxd a aadx = ⑾()1ln d x dx x=⑿()1logln xad dx x a =⒀()arcsin d x =⒁()arccos d x = ⒂()21arctan 1d x dx x =+ ⒃()21arccot 1d x dx x=-+ 六、微分运算法则⑴()d u v du dv ±=± ⑵()d cu cdu = ⑶()d uv vdu udv =+ ⑷2u vdu udvd v v -⎛⎫= ⎪⎝⎭七、基本积分公式⑴kdx kx c =+⎰ ⑵11x x dx c μμμ+=++⎰ ⑶ln dxx c x=+⎰ ⑷ln xxa a dx c a=+⎰ ⑸x x e dx e c =+⎰ ⑹cos sin xdx x c =+⎰ ⑺sin cos xdx x c =-+⎰⑻221sec tan cos dx xdx x c x ==+⎰⎰ ⑼221csc cot sin xdx x c x ==-+⎰⎰⑽21arctan 1dx x c x =++⎰ ⑾arcsin x c =+八、补充积分公式tan ln cos xdx x c =-+⎰ cot ln sin xdx x c =+⎰ sec ln sec tan xdx x x c =++⎰ csc ln csc cot xdx x x c =-+⎰2211arctan xdx c a x a a=++⎰ 2211ln 2x adx c x a a x a-=+-+⎰arcsinxc a=+ ln x c =+十、分部积分法公式⑴形如n ax x e dx ⎰,令nu x =,axdv e dx =形如sin n x xdx ⎰令nu x =,sin dv xdx =形如cos n x xdx ⎰令nu x =,cos dv xdx = ⑵形如arctan n x xdx ⎰,令arctan u x =,ndv x dx =形如ln n x xdx ⎰,令ln u x =,ndv x dx =⑶形如sin ax e xdx ⎰,cos ax e xdx ⎰令,sin ,cos axu e x x =均可。
高等数学考研复习资料,最全篇,适合于一遍,二遍复习研究细节,祝你考研数学春风得意马,突破130 分大关!目录一、函数与极限 (2)1、集合的概念··············································22、常量与变量..............................................3 2、函数..................................................4 3、函数的简单性态............................................4 4、反函数...................................................5 5、复合函数..................................................6 6、初等函数..................................................6 7、双曲函数及反双曲函数......................................7 8、数列的极限..............................................8 9、函数的极限..............................................9 10、函数极限的运算规则. (11)一、函数与极限1、集合的概念一般地我们把研究对象统称为元素,把一些元素组成的总体叫集合(简称集)。
高等数学公式导数公式:基本积分表:三角函数的有理式积分:222212211cos 12sin ududx x tg u u u x u u x +==+-=+=, , , 一些初等函数: 两个重要极限:ax x a a a ctgx x x tgx x x x ctgx x tgx a x x ln 1)(log ln )(csc )(csc sec )(sec csc )(sec )(22='='⋅-='⋅='-='='222211)(11)(11)(arccos 11)(arcsin x arcctgx x arctgx x x x x +-='+='--='-='⎰⎰⎰⎰⎰⎰⎰⎰⎰⎰+±+=±+=+=+=+-=⋅+=⋅+-==+==Ca x x a x dx C shx chxdx C chx shxdx Ca a dx a Cx ctgxdx x Cx dx tgx x Cctgx xdx x dx C tgx xdx x dx xx)ln(ln csc csc sec sec csc sin sec cos 22222222C axx a dx C x a xa a x a dx C a x ax a a x dx C a xarctg a x a dx Cctgx x xdx C tgx x xdx Cx ctgxdx C x tgxdx +=-+-+=-++-=-+=++-=++=+=+-=⎰⎰⎰⎰⎰⎰⎰⎰arcsin ln 21ln 211csc ln csc sec ln sec sin ln cos ln 22222222⎰⎰⎰⎰⎰++-=-+-+--=-+++++=+-===-Cax a x a x dx x a Ca x x a a x x dx a x Ca x x a a x x dx a x I nn xdx xdx I n n nn arcsin 22ln 22)ln(221cos sin 2222222222222222222222ππ三角函数公式: ·诱导公式:·和差角公式: ·和差化积公式:2sin2sin 2cos cos 2cos2cos 2cos cos 2sin2cos 2sin sin 2cos2sin2sin sin βαβαβαβαβαβαβαβαβαβαβαβα-+=--+=+-+=--+=+αββαβαβαβαβαβαβαβαβαβαβαctg ctg ctg ctg ctg tg tg tg tg tg ±⋅=±⋅±=±=±±=±1)(1)(sin sin cos cos )cos(sin cos cos sin )sin(μμμxxarthx x x archx x x arshx e e e e chx shx thx e e chx e e shx x x xx xx xx -+=-+±=++=+-==+=-=----11ln21)1ln(1ln(:2:2:22)双曲正切双曲余弦双曲正弦...590457182818284.2)11(lim 1sin lim 0==+=∞→→e xxx x x x·倍角公式:·半角公式:ααααααααααααααααααcos 1sin sin cos 1cos 1cos 12cos 1sin sin cos 1cos 1cos 122cos 12cos 2cos 12sin -=+=-+±=+=-=+-±=+±=-±=ctg tg·正弦定理:R CcB b A a 2sin sin sin === ·余弦定理:C ab b a c cos 2222-+=·反三角函数性质:arcctgx arctgx x x -=-=2arccos 2arcsin ππ高阶导数公式——莱布尼兹(Leibniz )公式:)()()()2()1()(0)()()(!)1()1(!2)1()(n k k n n n n nk k k n k n n uv v u k k n n n v u n n v nu v u v u C uv +++--++''-+'+==---=-∑ΛΛΛ中值定理与导数应用:拉格朗日中值定理。
考研高等数学复习——高斯公式高斯公式是高等数学中的一个重要的公式,它是计算闭曲线内部面积的一种方法。
高斯公式可以用于求解定积分,也可以用于计算二重积分和三重积分。
高斯公式在数学和物理中都有广泛的应用。
在数学中,高斯公式常用于计算包围封闭曲线的内部面积,或者计算通过曲面的流量。
在物理学中,高斯公式常用于计算电场的通量和磁场的通量,以及计算介质中的电荷和磁荷的总量。
高斯公式的表述为:对于平面封闭曲线C,其内部有一无穷个数的点,每个点视为源点,曲线C上有一单位的源强度。
假设曲线C包围的面积为A,则通过曲线C的总通量Φ等于A。
这个公式的数学表达式可以表示为:∫∫D dxdy=∮C(xdy-ydx)其中D表示平面曲线C所围成的区域,∮C表示曲线C的线积分,dxdy表示在D上的二重积分,xdy-ydx表示曲线C的微分形式。
高斯公式的证明可以通过对二重积分的计算来完成。
假设曲线C的参数方程为x=x(t),y=y(t),其中t的范围为[a,b],则曲线C的线积分可以表示为∫C(xdy-ydx)=∫[a,b] (x(t)dy(t)-y(t)dx(t))根据微积分中的参数方程曲线上的导数关系,我们可以得到dy(t)=dy/dt dt,dx(t)=dx/dt dt,并将其代入线积分的表达式中,得到∫C(xdy-ydx)=∫[a,b] (x(t)(dy(t)/dt)-y(t)(dx(t)/dt))dt=∫[a,b](x(t)*dy(t)/dt-y(t)*dx(t)/dt)dt通过对该式进行变形,我们可以得到∫C(xdy-ydx)=∫[a,b]((x(t)dx(t)/dt+y(t)dy(t)/dt)dt利用变量替换,我们可以将x(t)dx(t)/dt+y(t)dy(t)/dt表示为求面积D上的二重积分,即∫∫D dxdy。
因此,我们得到了高斯公式∮C(xdy-ydx)=∫∫D dxdy利用高斯公式,我们可以简化一些定积分的计算过程。
高等数学公式导数公式:基本积分表:ax x a a a x x x x x x x x x x a x x ln 1)(log ln )(cot csc )(csc tan sec )(sec csc )(cot sec )(tan 22='='⋅-='⋅='-='='222211)cot (11)(arctan 11)(arccos 11)(arcsin x x arc x x x x x x +-='+='--='-='⎰⎰⎰⎰⎰⎰⎰⎰⎰⎰+±+=±+=+=+=+-=⋅+=⋅+-==+==Ca x x a x dx C shx chxdx C chx shxdx Ca a dx a Cx xdx x Cx dx x x Cx xdx x dx C x xdx x dx xx)ln(ln csc cot csc sec tan sec cot csc sin tan sec cos 22222222Ca x x a dx C x a xa a x a dx C a x ax a a x dx C a xa x a dx Cx x xdx C x x xdx Cx xdx C x xdx +=-+-+=-++-=-+=++-=++=+=+-=⎰⎰⎰⎰⎰⎰⎰⎰arcsin ln 21ln 21arctan 1cot csc ln csc tan sec ln sec sin ln cot cos ln tan 22222222⎰⎰⎰⎰⎰++-=-+-+--=-+++++=+-===-Cax a x a x dx x a Ca x x a a x x dx a x Ca x x a a x x dx a x I nn xdx xdx I n n nn arcsin 22ln 22)ln(221cos sin 2222222222222222222222ππ三角函数的有理式积分:222212211cos 12sin ududx x tg u u u x u u x +==+-=+=, , , 和差角公式: ·和差化积公式:倍角公式:·半角公式:ααααααααααααααααααcos 1sin sin cos 1cos 1cos 12cot cos 1sin sin cos 1cos 1cos 12tan2cos 12cos 2cos 12sin -=+=-+±=+=-=+-±=+±=-±= ·正弦定理:R CcB b A a 2sin sin sin === ·余弦定理:C ab b a c cos 2222-+=·反三角函数性质:x arcc x x x tan 2arctan arccos 2arcsin -=-=ππ2sin2sin 2cos cos 2cos2cos 2cos cos 2sin2cos 2sin sin 2cos2sin2sin sin βαβαβαβαβαβαβαβαβαβαβαβα-+=--+=+-+=--+=+αββαβαβαβαβαβαβαβαβαβαβαcot cot 1cot cot )cot(tan tan 1tan tan )tan(sin sin cos cos )cos(sin cos cos sin )sin(±⋅=±⋅±=±=±±=± αααααααααα2333tan 31tan tan 33tan cos 3cos 43cos sin 4sin 33sin --=-=-=αααααααααααααα222222tan 1tan 22tan cot 21cot 2cot sin cos sin 211cos 22cos cos sin 22sin -=-=-=-=-==高阶导数公式——莱布尼兹(Leibniz )公式:)()()()2()1()(0)()()(!)1()1(!2)1()(n k k n n n n nk k k n k n n uv v u k k n n n v u n n v nu v u v u C uv +++--++''-+'+==---=-∑中值定理与导数应用:拉格朗日中值定理。
高等数学公式篇·平方关系:sin^2(α)+cos^2(α)=1tan^2(α)+1=sec^2(α)cot^2(α)+1=csc^2(α)·积的关系:sinα=tanα*cosαcosα=cotα*sinαtanα=sinα*secαcotα=cosα*cscαsecα=tanα*cscαcscα=secα*cotα·倒数关系:tanα·cotα=1sinα·cscα=1cosα·secα=1直角三角形ABC中,角A的正弦值就等于角A的对边比斜边,余弦等于角A的邻边比斜边正切等于对边比邻边,·三角函数恒等变形公式·两角和与差的三角函数:cos(α+β)=cosα·cosβ-sinα·sinβcos(α-β)=cosα·cosβ+sinα·sinβsin(α±β)=sinα·cosβ±cosα·sinβtan(α+β)=(tanα+tanβ)/(1-tanα·tanβ)tan(α-β)=(tanα-tanβ)/(1+tanα·tanβ)·三角和的三角函数:sin(α+β+γ)=sinα·cosβ·cosγ+cosα·sinβ·cosγ+cosα·cosβ·sinγ-sinα·sinβ·sinγcos(α+β+γ)=cosα·cosβ·cosγ-cosα·sinβ·sinγ-sinα·cosβ·sinγ-sinα·sinβ·cosγtan(α+β+γ)=(tanα+tanβ+tanγ-tanα·tanβ·tanγ)/(1-tanα·tanβ-tanβ·tanγ-tanγ·tanα)·辅助角公式:Asinα+Bcosα=(A^2+B^2)^(1/2)sin(α+t),其中sint=B/(A^2+B^2)^(1/2)cost=A/(A^2+B^2)^(1/2)Asinα+Bcosα=(A^2+B^2)^(1/2)cos(α-t),tant=A/B·倍角公式:sin(2α)=2sinα·cosα=2/(tanα+cotα)cos(2α)=cos^2(α)-sin^2(α)=2cos^2(α)-1=1-2sin^2(α)tan(2α)=2tanα/[1-tan^2(α)]·三倍角公式:sin(3α)=3sinα-4sin^3(α)cos(3α)=4cos^3(α)-3cosα·半角公式:sin(α/2)=±√((1-cosα)/2)cos(α/2)=±√((1+cosα)/2)tan(α/2)=±√((1-cosα)/(1+cosα))=sinα/(1+cosα)=(1-cosα)/sinα·降幂公式sin^2(α)=(1-cos(2α))/2=versin(2α)/2cos^2(α)=(1+cos(2α))/2=covers(2α)/2tan^2(α)=(1-cos(2α))/(1+cos(2α))·万能公式:sinα=2tan(α/2)/[1+tan^2(α/2)]cosα=[1-tan^2(α/2)]/[1+tan^2(α/2)]tanα=2tan(α/2)/[1-tan^2(α/2)]·积化和差公式:sinα·cosβ=(1/2)[sin(α+β)+sin(α-β)]cosα·sinβ=(1/2)[sin(α+β)-sin(α-β)]cosα·cosβ=(1/2)[cos(α+β)+cos(α-β)]sinα·sinβ=-(1/2)[cos(α+β)-cos(α-β)]·和差化积公式:sinα+sinβ=2sin[(α+β)/2]cos[(α-β)/2]sinα-sinβ=2cos[(α+β)/2]sin[(α-β)/2]cosα+cosβ=2cos[(α+β)/2]cos[(α-β)/2]cosα-cosβ=-2sin[(α+β)/2]sin[(α-β)/2]·推导公式tanα+cotα=2/sin2αtanα-cotα=-2cot2α1+cos2α=2cos^2α1-cos2α=2sin^2α1+sinα=(sinα/2+cosα/2)^2sinα+sin(α+2π/n)+sin(α+2π*2/n)+sin(α+2π*3/n)+……+sin[α+2π*(n-1)/n]=0cosα+cos(α+2π/n)+cos(α+2π*2/n)+cos(α+2π*3/n)+……+cos[α+2π*(n-1)/n]=0 以及sin^2(α)+sin^2(α-2π/3)+sin^2(α+2π/3)=3/2tanAtanBtan(A+B)+tanA+tanB-tan(A+B)=0三角函数的角度换算[编辑本段]公式一:设α为任意角,终边相同的角的同一三角函数的值相等:sin(2kπ+α)=sinαcos(2kπ+α)=cosαtan(2kπ+α)=tanαcot(2kπ+α)=cotα公式二:设α为任意角,π+α的三角函数值与α的三角函数值之间的关系:sin(π+α)=-sinαcos(π+α)=-cosαtan(π+α)=tanαcot(π+α)=cotα公式三:任意角α与-α的三角函数值之间的关系:sin(-α)=-sinαcos(-α)=cosαtan(-α)=-tanαcot(-α)=-cotα公式四:利用公式二和公式三可以得到π-α与α的三角函数值之间的关系:sin(π-α)=sinαcos(π-α)=-cosαtan(π-α)=-tanαcot(π-α)=-cotα公式五:利用公式一和公式三可以得到2π-α与α的三角函数值之间的关系:sin(2π-α)=-sinαcos(2π-α)=cosαtan(2π-α)=-tanαcot(2π-α)=-cotα公式六:π/2±α及3π/2±α与α的三角函数值之间的关系:sin(π/2+α)=cosαtan(π/2+α)=-cotαcot(π/2+α)=-tanαsin(π/2-α)=cosαcos(π/2-α)=sinαtan(π/2-α)=cotαcot(π/2-α)=tanαsin(3π/2+α)=-cosαcos(3π/2+α)=sinαtan(3π/2+α)=-co tαcot(3π/2+α)=-tanαsin(3π/2-α)=-cosαcos(3π/2-α)=-sinαtan(3π/2-α)=cotαcot(3π/2-α)=tanα(以上k∈Z)部分高等内容[编辑本段]·高等代数中三角函数的指数表示(由泰勒级数易得):sinx=[e^(ix)-e^(-ix)]/(2i) cosx=[e^(ix)+e^(-ix)]/2 tanx=[e^(ix)-e^(-ix)]/[ie^(ix)+ie^(-ix)]泰勒展开有无穷级数,e^z=exp(z)=1+z/1!+z^2/2!+z^3/3!+z^4/4!+…+z^n/n!+…此时三角函数定义域已推广至整个复数集。
高等数学公式一、常用的等价无穷小当x →0时x x x x x (1+x ) ~-11x a(1+x )α-1 ~ αx (α为任意实数,不一定是整数)1x ~21x 2增加x x ~61x 3 对应 x –x ~ 61x 3x –x ~ 31x 3 对应 x - x ~ 31x 3二、利用泰勒公式= 1 + x + +!22x o (2x ) ) (33 o !3sin x x x x +-=x 1 – +!22x o (2x ) (1+x )=x – +22x o (2x )导数公式: 基本积分表:三角函数的有理式积分:ax x a a a ctgx x x tgx x x x ctgx x tgx a x x ln 1)(log ln )(csc )(csc sec )(sec csc )(sec )(22='='⋅-='⋅='-='='222211)(11)(11)(arccos 11)(arcsin x arcctgx x arctgx x x x x +-='+='--='-='⎰⎰⎰⎰⎰⎰⎰⎰⎰⎰+±+=±+=+=+=+-=⋅+=⋅+-==+==Ca x x a x dx C shx chxdx C chx shxdx Ca a dx a Cx ctgxdx x Cx dx tgx x Cctgx xdx x dx C tgx xdx x dx xx)ln(ln csc csc sec sec csc sin sec cos 22222222C axx a dx C x a xa a x a dx C a x ax a a x dx C a xarctg a x a dx Cctgx x xdx C tgx x xdx Cx ctgxdx C x tgxdx +=-+-+=-++-=-+=++-=++=+=+-=⎰⎰⎰⎰⎰⎰⎰⎰arcsin ln 21ln 211csc ln csc sec ln sec sin ln cos ln 22222222⎰⎰⎰⎰⎰++-=-+-+--=-+++++=+-===-Cax a x a x dx x a Ca x x a a x x dx a x Ca x x a a x x dx a x I nn xdx xdx I n n nn arcsin 22ln 22)ln(221cos sin 2222222222222222222222ππ222212211cos 12sin u dudx x tg u u u x u u x +==+-=+=, , , 一些初等函数: 两个重要极限:三角函数公式: ·诱导公式:xxarthx x x archx x x arshx e e e e chx shx thx e e chx e e shx x xxx xx xx -+=-+±=++=+-==+=-=----11ln21)1ln(1ln(:2:2:22)双曲正切双曲余弦双曲正弦...590457182818284.2)11(lim 1sin lim0==+=∞→→e xxxx x x·和差角公式: ·和差化积公式:·倍角公式:·半角公式:ααααααααααααααααααcos 1sin sin cos 1cos 1cos 12cos 1sin sin cos 1cos 1cos 122cos 12cos 2cos 12sin -=+=-+±=+=-=+-±=+±=-±=ctg tg·正弦定理:R CcB b A a 2sin sin sin === ·余弦定理:C ab b a c cos 2222-+=·反三角函数性质:arcctgx arctgx x x -=-=2arccos 2arcsin ππ高阶导数公式——莱布尼兹()公式:2sin2sin 2cos cos 2cos2cos 2cos cos 2sin2cos 2sin sin 2cos2sin2sin sin βαβαβαβαβαβαβαβαβαβαβαβα-+=--+=+-+=--+=+αββαβαβαβαβαβαβαβαβαβαβαctg ctg ctg ctg ctg tg tg tg tg tg ±⋅=±⋅±=±=±±=±1)(1)(sin sin cos cos )cos(sin cos cos sin )sin(μμμαααααααααα23333133cos 3cos 43cos sin 4sin 33sin tg tg tg tg --=-=-=αααααααααααααα222222122212sin cos sin 211cos 22cos cos sin 22sin tg tg tg ctg ctg ctg -=-=-=-=-==)()()()2()1()(0)()()(!)1()1(!2)1()(n k k n n n n nk k k n k n n uv v u k k n n n v u n n v nu v u v u C uv +++--++''-+'+==---=-∑ΛΛΛ中值定理与导数应用:拉格朗日中值定理。
高等数学公式导数公式:基本积分表:三角函数的有理式积分:ax x a a a x x x x x x x x x x a x x ln 1)(log ln )(cot csc )(csc tan sec )(sec csc )(cot sec )(tan 22='='⋅-='⋅='-='='222211)cot (11)(arctan 11)(arccos 11)(arcsin x x arc x x x x x x +-='+='--='-='⎰⎰⎰⎰⎰⎰⎰⎰⎰⎰+±+=±+=+=+=+-=⋅+=⋅+-==+==Ca x x a x dx C shx chxdx C chx shxdx Ca a dx a Cx xdx x Cx dx x x Cx xdx x dx C x xdx x dx xx)ln(ln csc cot csc sec tan sec cot csc sin tan sec cos 22222222C axx a dx C x a xa a x a dx C a x ax a a x dx C a xa x a dx Cx x xdx C x x xdx Cx xdx C x xdx +=-+-+=-++-=-+=++-=++=+=+-=⎰⎰⎰⎰⎰⎰⎰⎰arcsin ln 21ln 21arctan 1cot csc ln csc tan sec ln sec sin ln cot cos ln tan 22222222⎰⎰⎰⎰⎰++-=-+-+--=-+++++=+-===-Cax a x a x dx x a Ca x x a a x x dx a x Ca x x a a x x dx a x I nn xdx xdx I n n nn arcsin 22ln 22)ln(221cos sin 2222222222222222222222ππ222212211cos 12sin ududx x tg u u u x u u x +==+-=+=, , , 和差角公式: ·和差化积公式:倍角公式:·半角公式:ααααααααααααααααααcos 1sin sin cos 1cos 1cos 12cot cos 1sin sin cos 1cos 1cos 12tan2cos 12cos 2cos 12sin -=+=-+±=+=-=+-±=+±=-±= ·正弦定理:R CcB b A a 2sin sin sin === ·余弦定理:C ab b a c cos 2222-+= ·反三角函数性质:x arcc x x x tan 2arctan arccos 2arcsin -=-=ππ高阶导数公式——莱布尼兹(Leibniz )公式:)()()()2()1()(0)()()(!)1()1(!2)1()(n k k n n n n nk k k n k n n uv v u k k n n n v u n n v nu v u v u C uv +++--++''-+'+==---=-∑ΛΛΛ中值定理和导数使用:拉格朗日中值定理。
一.函数1.函数定义域由以下几点确立 (1) y1; f (x)f (x)(2) y 2nf ( x); f (x) 0 (此中 n 为正整数)(3) ylog a f ( x) : f (x) 0 。
(4)函数代数和的定义域,取其定义域的交集.(5)对拥有实质意义的函数,定义域由问题特色而定.2.判断函数的奇偶性,依照以下两点确立,不然函数为非奇非偶的.(1) 若 f ( x) f ( x), f ( x) 是偶函数,若 f ( x) f (x), f ( x) 是奇函数.(2) 若 yf (x) 的 图 象 关 于 y 轴 对 称 , 则 函 数 是 偶 函 数 . 如yx 2 ..ycosx 等。
若 yf (x) 的 图 象 关 于 坐 标 原 点 对 称 , 则 函 数 是 奇 函 数 . 如yx..yx 3..y sin x3.将函数分解成几个简单函数的合成.由六类基本初等函数的形式,对要分解的函数,由外层到内层,分别设出关系.函数与常数的四则运算,不用另设一层关系.二.极限与连续1.主要观点和计算方法: (1). f xAf xf xA( )lim( )lim( )limx x 0x xx x(2).若 limf ( x) 0 (极限过程不限) ,则当 xx 0 时 f ( x) 为无量小量。
xx 0( 3).若 limf ( x)f ( x 0 ) ,则函数在 x 0 处是连续的。
x x 0即(1)函数值存在、 (2)极限存在、 (3)极限值和函数值相等。
若上述三条起码一条不知足,则x 0 是函数的间段点。
( 4).中断点的分类:设 x 0 是函数的中断点若左、右极限均存在,则x 0 称为第一类中断点。
若左、右极限起码有一个是无量大,则x0称为第二类中断点。
( 5).重要公式:条件lim( x) 0 (极限过程不限)结论《1》 lim sin ( x)11 ;《2》lim[ 1 (x)]( x)e(x)2.求极限的方法:先判断极限种类(依照基本初等函数图象和函数值)(1)定式:直接得结论(即常数C、不存在:无量大、震荡、左极限不等于右极限)。
高等数学考研大纲(一)、数一考试大纲第一章函数的极限与连续1.理解函数的概念,掌握函数的表示法,会建立应用问题的函数关系.2.了解函数的有界性、单调性、周期性和奇偶性.3.理解复合函数及分段函数的概念,了解反函数及隐函数的概念.4.掌握基本初等函数的性质及其图形,了解初等函数的概念.5.理解极限的概念,理解函数左极限与右极限的概念以及函数极限存在与左极限、右极限之间的关系.6.掌握极限的性质及四则运算法则.7.掌握极限存在的两个准则,并会利用它们求极限,掌握利用两个重要极限求极限的方法.8.理解无穷小量、无穷大量的概念,掌握无穷小量的比较方法,会用等价无穷小量求极限.9.理解函数连续性的概念(含左连续与右连续),会判别函数间断点的类型.10.了解连续函数的性质和初等函数的连续性,理解闭区间上连续函数的性质(有界性、最大值和最小值定理、介值定理),并会应用这些性质.第二章一元函数微分学1.理解导数和微分的概念,理解导数与微分的关系,理解导数的几何意义,会求平面曲线的切线方程和法线方程,了解导数的物理意义,会用导数描述一些物理量,理解函数的可导性与连续性之间的关系.2.掌握导数的四则运算法则和复合函数的求导法则,掌握基本初等函数的导数公式.了解微分的四则运算法则和一阶微分形式的不变性,会求函数的微分.3.了解高阶导数的概念,会求简单函数的高阶导数.4.会求分段函数的导数,会求隐函数和由参数方程所确定的函数以及反函数的导数.5.理解并会用罗尔(Rolle)定理、拉格朗日(Lagrange)中值定理和泰勒(Taylor)定理,了解并会用柯西(Cauchy)中值定理.6.掌握用洛必达法则求未定式极限的方法.7.理解函数的极值概念,掌握用导数判断函数的单调性和求函数极值的方法,掌握函数最大值和最小值的求法及其应用.8.会用导数判断函数图形的凹凸性(注:在区间内,设函数具有二阶导数.当时,的图形是凹的;当时,的图形是凸的),会求函数图形的拐点以及水平、铅直和斜渐近线,会描绘函数的图形.9.了解曲率、曲率圆与曲率半径的概念,会计算曲率和曲率半径.第三章一元函数积分学1.理解原函数的概念,理解不定积分和定积分的概念.2.掌握不定积分的基本公式,掌握不定积分和定积分的性质及定积分中值定理,掌握换元积分法与分部积分法.3.会求有理函数、三角函数有理式和简单无理函数的积分.4.理解积分上限的函数,会求它的导数,掌握牛顿-莱布尼茨公式.5.了解反常积分的概念,会计算反常积分.6.掌握用定积分表达和计算一些几何量与物理量(平面图形的面积、平面曲线的弧长、旋转体的体积及侧面积、平行截面面积为已知的立体体积、功、引力、压力、质心、形心等)及函数的平均值.第四章向量代数和空间解析几何1.理解空间直角坐标系,理解向量的概念及其表示.2.掌握向量的运算(线性运算、数量积、向量积、混合积),了解两个向量垂直、平行的条件.3.理解单位向量、方向数与方向余弦、向量的坐标表达式,掌握用坐标表达式进行向量运算的方法.4.掌握平面方程和直线方程及其求法.5.会求平面与平面、平面与直线、直线与直线之间的夹角,并会利用平面、直线的相互关系(平行、垂直、相交等))解决有关问题.6.会求点到直线以及点到平面的距离.7.了解曲面方程和空间曲线方程的概念.8.了解常用二次曲面的方程及其图形,会求简单的柱面和旋转曲面的方程.9.了解空间曲线的参数方程和一般方程.了解空间曲线在坐标平面上的投影,并会求该投影曲线的方程.第五章多元函数微分学1.理解多元函数的概念,理解二元函数的几何意义.2.了解二元函数的极限与连续的概念以及有界闭区域上连续函数的性质.3.理解多元函数偏导数和全微分的概念,会求全微分,了解全微分存在的必要条件和充分条件,了解全微分形式的不变性.4.理解方向导数与梯度的概念,并掌握其计算方法.5.掌握多元复合函数一阶、二阶偏导数的求法.6.了解隐函数存在定理,会求多元隐函数的偏导数.7.了解空间曲线的切线和法平面及曲面的切平面和法线的概念,会求它们的方程.8.了解二元函数的二阶泰勒公式.9.理解多元函数极值和条件极值的概念,掌握多元函数极值存在的必要条件,了解二元函数极值存在的充分条件,会求二元函数的极值,会用拉格朗日乘数法求条件极值,会求简单多元函数的最大值和最小值,并会解决一些简单的应用问题.第六章多元函数积分学1.理解二重积分、三重积分的概念,了解重积分的性质,,了解二重积分的中值定理.2.掌握二重积分的计算方法(直角坐标、极坐标),会计算三重积分(直角坐标、柱面坐标、球面坐标).3.理解两类曲线积分的概念,了解两类曲线积分的性质及两类曲线积分的关系.4.掌握计算两类曲线积分的方法.5.掌握格林公式并会运用平面曲线积分与路径无关的条件,会求二元函数全微分的原函数.6.了解两类曲面积分的概念、性质及两类曲面积分的关系,掌握计算两类曲面积分的方法,掌握用高斯公式计算曲面积分的方法,并会用斯托克斯公式计算曲线积分.7.了解散度与旋度的概念,并会计算.8.会用重积分、曲线积分及曲面积分求一些几何量与物理量(平面图形的面积、体积、曲面面积、弧长、质量、质心、、形心、转动惯量、引力、功及流量等).第七章 无穷级数1.理解常数项级数收敛、发散以及收敛级数的和的概念,掌握级数的基本性质及收敛的必要条件.2.掌握几何级数与级数的收敛与发散的条件.3.掌握正项级数收敛性的比较判别法和比值判别法,会用根值判别法.4.掌握交错级数的莱布尼茨判别法.5.了解任意项级数绝对收敛与条件收敛的概念以及绝对收敛与收敛的关系.6.了解函数项级数的收敛域及和函数的概念.7.理解幂级数收敛半径的概念、并掌握幂级数的收敛半径、收敛区间及收敛域的求法.8.了解幂级数在其收敛区间内的基本性质(和函数的连续性、逐项求导和逐项积分),会求一些幂级数在收敛区间内的和函数,并会由此求出某些数项级数的和.9.了解函数展开为泰勒级数的充分必要条件.10.掌握,cos ,sin ,ln(1)x e x x x +及(1)x α+ 的麦克劳林(Maclaurin )展开式,会用它们将一些简单函数间接展开为幂级数.11.了解傅里叶级数的概念和狄利克雷收敛定理,会将定义在上的函数展开为傅里叶级数,会将定义在上的函数展开为正弦级数与余弦级数,会写出傅里叶级数的和函数的表达式.第八章 常微分方程1.了解微分方程及其阶、解、通解、初始条件和特解等概念.2.掌握变量可分离的微分方程及一阶线性微分方程的解法.3.会解齐次微分方程、伯努利方程和全微分方程,会用简单的变量代换解某些微分方程.4.会用降阶法解下列形式的微分方程:和.5.理解线性微分方程解的性质及解的结构.6.掌握二阶常系数齐次线性微分方程的解法,并会解某些高于二阶的常系数齐次线性微分方程.7.会解自由项为多项式、指数函数、正弦函数、余弦函数以及它们的和与积的二阶常系数非齐次线性微分方程.8.会解欧拉方程.9.会用微分方程解决一些简单的应用问题.(二)数三大纲第一章 函数的极限与连续1.理解函数的概念,掌握函数的表示法,会建立应用问题的函数关系.2.了解函数的有界性、单调性、周期性和奇偶性.3.理解复合函数及分段函数的概念,了解反函数及隐函数的概念.4.掌握基本初等函数的性质及其图形,了解初等函数的概念.5.了解数列极限和函数极限(包括左极限与右极限)的概念.6.了解极限的性质与极限存在的两个准则,掌握极限的四则运算法则,掌握利用两个重要极限求极限的方法.7.理解无穷小量的概念和基本性质,掌握无穷小量的比较方法.了解无穷大量的概念及其与无穷小量的关系.8.理解函数连续性的概念(含左连续与右连续),会判别函数间断点的类型.9.了解连续函数的性质和初等函数的连续性,理解闭区间上连续函数的性质(有界性、最大值和最小值定理、介值定理),并会应用这些性质.第二章 一元函数微分学1.理解导数的概念及可导性与连续性之间的关系,了解导数的几何意义与经济意义(含边际与弹性的概念),会求平面曲线的切线方程和法线方程.2.掌握基本初等函数的导数公式、导数的四则运算法则及复合函数的求导法则,会求分段函数的导数,会求反函数与隐函数的导数.3.了解高阶导数的概念,会求简单函数的高阶导数.4.了解微分的概念、导数与微分之间的关系以及一阶微分形式的不变性,会求函数的微分.5.理解罗尔(Rolle )定理、拉格朗日( Lagrange)中值定理,了解泰勒(Taylor )定理、柯西(Cauchy)中值定理,掌握这四个定理的简单应用.6.会用洛必达法则求极限.7.掌握函数单调性的判别方法,了解函数极值的概念,掌握函数极值、最大值和最小值的求法及其应用.8.会用导数判断函数图形的凹凸性(注:在区间(,)a b 内,设函数()f x 具有二阶导数.当()0f x ''>时,()f x 的图形是凹的;当()0f x ''<时,()f x 的图形是凸的),会求函数图形的拐点和渐近线.9.会描述简单函数的图形.第三章 一元函数积分学1.理解原函数与不定积分的概念,掌握不定积分的基本性质和基本积分公式,掌握不定积分的换元积分法与分部积分法.2.了解定积分的概念和基本性质,了解定积分中值定理,理解积分上限的函数并会求它的导数,掌握牛顿-莱布尼茨公式以及定积分的换元积分法和分部积分法.3.会利用定积分计算平面图形的面积、旋转体的体积和函数的平均值,会利用定积分求解简单的经济应用问题.4.了解反常积分的概念,会计算反常积分.第四章多元函数微积分学1.了解多元函数的概念,了解二元函数的几何意义.2.了解二元函数的极限与连续的概念,了解有界闭区域上二元连续函数的性质.3.了解多元函数偏导数与全微分的概念,会求多元复合函数一阶、二阶偏导数,会求全微分,会求多元隐函数的偏导数.4.了解多元函数极值和条件极值的概念,掌握多元函数极值存在的必要条件,了解二元函数极值存在的充分条件,会求二元函数的极值,会用拉格朗日乘数法求条件极值,会求简单多元函数的最大值和最小值,并会解决简单的应用问题.5.了解二重积分的概念与基本性质,掌握二重积分的计算方法(直角坐标、极坐标),了解无界区域上较简单的反常二重积分并会计算.第五章无穷级数1.了解级数的收敛与发散、收敛级数的和的概念.2.了解级数的基本性质及级数收敛的必要条件,掌握几何级数及p级数的收敛与发散的条件,掌握正项级数收敛性的比较判别法和比值判别法.3.了解任意项级数绝对收敛与条件收敛的概念以及绝对收敛与收敛的关系,了解交错级数的莱布尼茨判别法.4.会求幂级数的收敛半径、收敛区间及收敛域.5.了解幂级数在其收敛区间内的基本性质(和函数的连续性、逐项求导和逐项积分),会求简单幂级数在其收敛区间内的和函数.+的麦克劳林(Maclaurin)展开6.了解e x,sin x,cos x,ln(1)x+及(1)xα式.第六章常微分方程与差分方程1.了解微分方程及其阶、解、通解、初始条件和特解等概念.2.掌握变量可分离的微分方程、齐次微分方程和一阶线性微分方程的求解方法.3.会解二阶常系数齐次线性微分方程.4.了解线性微分方程解的性质及解的结构定理,会解自由项为多项式、指数函数、正弦函数、余弦函数的二阶常系数非齐次线性微分方程.5.了解差分与差分方程及其通解与特解等概念.6.了解一阶常系数线性差分方程的求解方法.7.会用微分方程求解简单的经济应用问题.(三)、高等数学数二考试大纲第一章函数、极限、连续1.理解函数的概念,掌握函数的表示法,并会建立应用问题的函数关系.2.了解函数的有界性、单调性、周期性和奇偶性.3.理解复合函数及分段函数的概念,了解反函数及隐函数的概念.4.掌握基本初等函数的性质及其图形,了解初等函数的概念.5.理解极限的概念,理解函数左极限与右极限的概念以及函数极限存在与左极限、右极限之间的关系.6.掌握极限的性质及四则运算法则.7.掌握极限存在的两个准则,并会利用它们求极限,掌握利用两个重要极限求极限的方法.8.理解无穷小量、无穷大量的概念,掌握无穷小量的比较方法,会用等价无穷小量求极限.9.理解函数连续性的概念(含左连续与右连续),会判别函数间断点的类型.10.了解连续函数的性质和初等函数的连续性,理解闭区间上连续函数的性质(有界性、最大值和最小值定理、介值定理),并会应用这些性质.第二章 一元函数微分学1.理解导数和微分的概念,理解导数与微分的关系,理解导数的几何意义,会求平面曲线的切线方程和法线方程,了解导数的物理意义,会用导数描述一些物理量,理解函数的可导性与连续性之间的关系.2.掌握导数的四则运算法则和复合函数的求导法则,掌握基本初等函数的导数公式.了解微分的四则运算法则和一阶微分形式的不变性,会求函数的微分.3.了解高阶导数的概念,会求简单函数的高阶导数.4.会求分段函数的导数,会求隐函数和由参数方程所确定的函数以及反函数的导数.5.理解并会用罗尔(Rolle )定理、拉格朗日(Lagrange )中值定理和泰勒(Taylor )定理,了解并会用柯西( Cauchy )中值定理.6.掌握用洛必达法则求未定式极限的方法.7.理解函数的极值概念,掌握用导数判断函数的单调性和求函数极值的方法,掌握函数最大值和最小值的求法及其应用.8.会用导数判断函数图形的凹凸性(注:在区间(),a b 内,设函数()f x 具有二阶导数.当()0f x ''>时,()f x 的图形是凹的;当()0f x ''<时,()f x 的图形是凸的),会求函数图形的拐点以及水平、铅直和斜渐近线,会描绘函数的图形.9.了解曲率、曲率圆和曲率半径的概念,会计算曲率和曲率半径.第三章 一元函数积分学1.理解原函数的概念,理解不定积分和定积分的概念.2.掌握不定积分的基本公式,掌握不定积分和定积分的性质及定积分中值定理,掌握换元积分法与分部积分法.3.会求有理函数、三角函数有理式和简单无理函数的积分.4.理解积分上限的函数,会求它的导数,掌握牛顿一莱布尼茨公式.5.了解反常积分的概念,会计算反常积分.6.掌握用定积分表达和计算一些几何量与物理量(平面图形的面积、平面曲线的弧长、旋转体的体积及侧面积、平行截面面积为已知的立体体积、功、引力、压力、质心、形心等)及函数的平均值.第四章 多元函数微积分学1.了解多元函数的概念,了解二元函数的几何意义.2.了解二元函数的极限与连续的概念,了解有界闭区域上二元连续函数的性质.3.了解多元函数偏导数与全微分的概念,会求多元复合函数一阶、二阶偏导数,会求全微分,了解隐函数存在定理,会求多元隐函数的偏导数.4.了解多元函数极值和条件极值的概念,掌握多元函数极值存在的必要条件,了解二元函数极值存在的充分条件,会求二元函数的极值,会用拉格朗日乘数法求条件极值,会求简单多元函数的最大值和最小值,并会解决一些简单的应用问题.5.了解二重积分的概念与基本性质,掌握二重积分的计算方法(直角坐标、极坐标).第五章 常微分方程1.了解微分方程及其阶、解、通解、初始条件和特解等概念.2.掌握变量可分离的微分方程及一阶线性微分方程的解法,会解齐次微分方程.3.会用降阶法解下列形式的微分方程:()(),(,)n y f x y f x y '''== 和 (,)y f y y '''=.4.理解二阶线性微分方程解的性质及解的结构定理.5.掌握二阶常系数齐次线性微分方程的解法,并会解某些高于二阶的常系数齐次线性微分方程.6.会解自由项为多项式、指数函数、正弦函数、余弦函数以及它们的和与积的二阶常系数非齐次线性微分方程.7.会用微分方程解决一些简单的应用问题.。
高等数学公式导数公式:基本积分表:ax x a a a x x x x x x x x x x a x x ln 1)(log ln )(cot csc )(csc tan sec )(sec csc )(cot sec )(tan 22='='⋅-='⋅='-='='222211)cot (11)(arctan 11)(arccos 11)(arcsin x x arc x x x x x x +-='+='--='-='⎰⎰⎰⎰⎰⎰⎰⎰⎰⎰+±+=±+=+=+=+-=⋅+=⋅+-==+==Ca x x a x dx C shx chxdx C chx shxdx Ca a dx a Cx xdx x Cx dx x x Cx xdx x dx C x xdx x dx xx)ln(ln csc cot csc sec tan sec cot csc sin tan sec cos 22222222Ca x x a dx C x a xa a x a dx C a x ax a a x dx C a xa x a dx Cx x xdx C x x xdx Cx xdx C x xdx +=-+-+=-++-=-+=++-=++=+=+-=⎰⎰⎰⎰⎰⎰⎰⎰arcsin ln 21ln 21arctan 1cot csc ln csc tan sec ln sec sin ln cot cos ln tan 22222222⎰⎰⎰⎰⎰++-=-+-+--=-+++++=+-===-Cax a x a x dx x a Ca x x a a x x dx a x Ca x x a a x x dx a x I nn xdx xdx I n n nn arcsin 22ln 22)ln(221cos sin 2222222222222222222222ππ三角函数的有理式积分:222212211cos 12sin ududx x tg u u u x u u x +==+-=+=, , , A.积化和差公式:[])sin()sin(21cos sin βαβαβα-++=[])sin()sin(21sin cos βαβαβα--+=[])cos()cos(21cos cos βαβαβα-++=()[]βαβαβα--+-=cos )cos(21sin sin B.和差化积公式:①2cos2sin2sin sin βαβαβα-+=+ ②2sin2cos2sin sin βαβαβα-+=-③2cos 2cos 2cos cos βαβαβα-+=+ ④2sin2sin 2cos cos βαβαβα-+-=- 1.正弦定理:A asin B b sin Cc sin 2R (R 为三角形外接圆半径)2..余弦定理:2222A cos2222B cos2222C cos bca cb A 2cos 222-+=3⊿21a h ⋅21C sin 21A sin 21B sin R abc 42R 2A sin B sinC sinA CB a sin 2sin sin 2BC A b sin 2sin sin 2CBA c sin 2sin sin 2))()((c p b p a p p ---(其中)(21c b a p ++=, r 为三角形内切圆半径) 4.诱导公试三角函数值等于α的同名三角函数值,前面加上一个把α看作锐角时,原三角函数值的符号;即:函数名不变,符号看象限5.和差角公式①βαβαβαsin cos cos sin )sin(±=± ②βαβαβαsin sin cos cos )cos( =± ③βαβαβαtg tg tg tg tg ⋅±=± 1)( ④)1)((βαβαβαtg tg tg tg tg ⋅±=±6.二倍角公式:(含万能公式)①θθθθθ212cos sin 22sin tg tg +== ②θθθθθθθ22222211sin 211cos 2sin cos 2cos tg tg +-=-=-=-=③θθθ2122tg tg tg -= ④22cos 11sin 222θθθθ-=+=tg tg ⑤22cos 1cos 2θθ+=7.半角公式:(符号的选择由2θ所在的象限确定)①2cos 12sinθθ-±= ②2cos 12sin 2θθ-= ③2cos 12cos θθ+±= ④2cos 12cos 2θθ+=⑤2sin 2cos 12θθ=- ⑥2cos 2cos 12θθ=+ ⑦2sin2cos )2sin 2(cos sin 12θθθθθ±=±=±⑧θθθθθθθsin cos 1cos 1sin cos 1cos 12-=+=+-±=tg高阶导数公式——莱布尼兹()公式:)()()()2()1()(0)()()(!)1()1(!2)1()(n k k n n n n nk k k n k n n uv v u k k n n n v u n n v nu v u v u C uv +++--++''-+'+==---=-∑中值定理与导数应用:拉格朗日中值定理。
高等数学公式导数公式:基本积分表:三角函数的有理式积分:222212211cos 12sin u dudx x tg u u u x u u x +==+-=+=, , , ax x aa a ctgx x x tgx x x x ctgx x tgx a x x ln 1)(log ln )(csc )(csc sec )(sec csc )(sec )(22='='⋅-='⋅='-='='222211)(11)(11)(arccos 11)(arcsin x arcctgx x arctgx x x x x +-='+='--='-='⎰⎰++-+==CCctgx C tgx xdx x dx sec cos 22Cx ctgxdx C x tgxdx +=+-=⎰sin ln cos ln ⎰++-=-Cax a x a x dx x a arcsin 2222222一些初等函数: 两个重要极限:三角函数公式:2sin2sin 2cos cos 2cos22cosβαβαβαβαβα-=----xxarthx x x archx x x arshx e e e e chx shx thx e e chx e e shx x x xx xx xx -+=-+±=++=+-==+=-=----11ln21)1ln(1ln(:2:2:22)双曲正切双曲余弦双曲正弦...590457182818284.2)11(lim 1sin lim 0==+=∞→→e xx x x x x·倍角公式:·半角公式:ααααααααααα2cos 1sin sin cos 1cos 1cos 122cos 2cos 12sin =+=-=+-±==-±=ctg tg ·正弦定理:R CcB b A a 2sin sin sin ===)()()(n k uv v ++.1;0.)1(lim M s 320aK a K y y ds d s K M M s =='+''==∆∆='∆→∆的圆:半径为直线:点的曲率:弧长。
高等数学公式 导数公式:
基本积分表:
三角函数的有理式积分: 222212211cos12sinududxxtguuuxuux
, , ,
axxaaactgxxxtgxxxxctgxxtgxaxxln1)(logln)(csc)(cscsec)(seccsc)(sec)(22
2222
11)(11)(11)(arccos11)(arcsinxarcctgxxarctgxxxxx
CaxxaxdxCshxchxdxCchxshxdxCaadxaCxctgxdxxCxdxtgxxCctgxxdxxdxCtgxxdxxdxxx)ln(lncsccscsecseccscsin
seccos
2222
22
22
CaxxadxCxaxaaxadxCaxaxaaxdxCaxarctgaxadxCctgxxxdxCtgxxxdxCxctgxdxCxtgxdxarcsinln2
1
ln2
1
1csclncscseclnsecsinlncosln
22222222
CaxaxaxdxxaCaxxaaxxdxaxCaxxaaxxdxaxInnxdxxdxInnnnarcsin22
ln22
)ln(22
1cossin
22222
2222222
222222222020
一些初等函数: 两个重要极限: 三角函数公式: ·诱导公式: 函数 角A sin cos tg ctg
-α -sinα cosα -tgα -ctgα 90°-α cosα sinα ctgα tgα 90°+α cosα -sinα -ctgα -tgα 180°-α sinα -cosα -tgα -ctgα 180°+α -sinα -cosα tgα ctgα 270°-α -cosα -sinα ctgα tgα 270°+α -cosα sinα -ctgα -tgα 360°-α -sinα cosα -tgα -ctgα 360°+ sinα cosα tgα ctgα
xxarthxxxarchxxxarshxeeeechxshxthxeechxeeshxxxxxxxxx11ln21)1ln(1ln(:2:2:22)双曲正切双曲余弦双曲正弦...590457182818284.2)11(lim1sinlim0ex
xxxx
x α ·和差角公式: ·和差化积公式:
2sin2sin2coscos2cos2cos2coscos2sin2cos2sinsin2cos2sin2sinsin
ctgctgctgctgctgtgtgtgtgtg1)(
1)(sinsincoscos)cos(sincoscossin)sin( ·倍角公式:
·半角公式:
cos1sinsincos1cos1cos12cos1sinsincos1cos1cos122cos12cos2cos12sinctgtg
·正弦定理:RCcBbAa2sinsinsin ·余弦定理:Cabbaccos2222 ·反三角函数性质:arcctgxarctgxxx2arccos2arcsin 高阶导数公式——莱布尼兹(Leibniz)公式:
)()()()2()1()(0)()()(!)1()1(!2)1()(nkknnnnnkkknknnuvvukknnnvunnvnuvuvuCuv
中值定理与导数应用:
拉格朗日中值定理。时,柯西中值定理就是当柯西中值定理:拉格朗日中值定理:xxFfaFbFafbfabfafbf)(F)()()()()()())(()()(
曲率:
.1;0.)1(limMsMM:.,13202aKaKyydsdsKMMsKtgydxydss的圆:半径为直线:点的曲率:弧长。:化量;点,切线斜率的倾角变点到从平均曲率:其中弧微分公式:
2333
3133cos3cos43cossin4sin33sintgtgtgtg
222222
122212sincossin211cos22coscossin22sintgtgtgctgctgctg
定积分的近似计算:
bannnbannbanyyyyyyyynabxfyyyynabxfyyynabxf)](4)(2)[(3)(])(21[)()()(1312420110110
抛物线法:梯形法:矩形法:
定积分应用相关公式:
babadttfabdxxfabykrmmkFApFsFW)(1)(1,2221均方根:函数的平均值:
为引力系数引力:水压力:功:
空间解析几何和向量代数:
。代表平行六面体的体积为锐角时,向量的混合积:例:线速度:两向量之间的夹角:是一个数量轴的夹角。与是向量在轴上的投影:点的距离:空间,cos)(][..sin,cos,,cosPrPr)(Pr,cosPr)()()(2222222212121221221221cbacccbbbaaacbacbarwvbacbbbaaakjibacbbbaaababababababababaajajaajuABABABjzzyyxxMMdzyxzyxzyxzyxzyxzyxzyxzzyyxxzzyyxxuu
(马鞍面)双叶双曲面:单叶双曲面:、双曲面:同号)(、抛物面:、椭球面:二次曲面:参数方程:其中空间直线的方程:面的距离:平面外任意一点到该平、截距世方程:、一般方程:,其中、点法式:平面的方程:113,,22211};,,{,1302),,(},,,{0)()()(1222222222222222222220000002220000000000czbyaxczbyaxqpzqyp
x
czbyaxptzzntyymtxxpnmstpzznyym
xx
CBADCzByAxd
czbyaxDCzByAxzyxMCBAnzzCyyBxxA
多元函数微分法及应用 zyzxyxyxyxyx
FFyzFFxzzyxFdxdyFFyFFxdxydFFdxdyyxFdyyvdxxvdvdyyudxxuduyxvvyxuuxvvzxuuzxzyxvyxufztvvztuuzdtdztvtufzyyxfxyxfdzzdzzudyyudxxududyyzdxxzdz, , 隐函数+, , 隐函数隐函数的求导公式: 时,,当 :多元复合函数的求导法全微分的近似计算: 全微分:0),,(
)()(0),(
),(),()],(),,([)](),([),(),(22