配筋计算excel程序(完善单筋截面配筋)
- 格式:xls
- 大小:173.50 KB
- 文档页数:3
Excel在梁板配筋计算中的应用与实践摘要:运用Excel 软件,高效解决了梁板配筋计算中涉及的重复计算,这有助于更好地理解其计算原理,熟悉Excel的应用,同时也便于结构设计工程师从繁琐的计算中摆脱出来,对于解决工程中的各种学科计算具有一定的参考作用。
关键词:Excel;主梁;配筋计算通过调查发现计算机专业软件的应用大大提高了工程师的工作效率,但也存在无法忽视的弱点,如专业人员对专业软件熟练掌握的耗时长,尚需对所得结果进行复核调整,为克服这一弊端,文章结合Excel软件强大的数据计算与分析功能,利用其公式编辑函数进行编写计算,可有效地简化计算过程。
主要以单筋矩形截面为例,说明如何用Excel实现其配筋设计。
1 受弯构件正截面配筋计算流程单筋矩形截面梁板配筋设计实用计算框图如图1所示。
2 Excel程序的编制2.1 程序界面设计在计算程序工作表中,将显示区域划分已知条件区、配筋计算区和承载力复核区,在计算中,将混凝土强度设计值、钢筋强度设计值、最小配筋率、最大配筋率等需要用到的参数汇总至第4张工作表中。
2.2 参数汇总表的编制①材料特性表。
将桥梁钢筋混凝土梁板中的常用材料混凝土、钢筋的特性编制成表格,包含材料种类、弹性模量、设计强度以及由材料决定的混凝土受压区相对界限高度。
②最小配筋率ρmin与最大配筋率ρmax。
选用不同种类的钢筋、不同强度等级的混凝土,E14单元格计算出规范要求的最小配筋率,J14单元格显示E14单元格与0.2%的最大值;F19单元格计算最大配筋率ρmax。
③公路桥涵结构的设计安全等级表。
不同的桥涵结构,设计安全等级不同,结构重要性系数不同,根据《公路桥涵设计通用规范》(JTG D60-2004)中的规定编制表格。
④梁、板混凝土保护层最小厚度表。
不同的环境条件,梁、板混凝土保护层最小厚度要求不同,根据《公路钢筋混凝土及预应力混凝土桥涵设计规范》(JTG D62-2004)中的规定编制表格。
预应力楼板配筋计算excel预应力楼板是指在楼板混凝土浇筑之前,通过预应力钢束或钢丝将混凝土楼板进行预应力处理,使之在载荷作用下能够更好地承受弯曲和剪切力。
预应力楼板在建筑结构中起到了非常重要的作用,可以提高楼板的承载能力,减小变形和开裂,延长使用寿命,降低结构材料的使用量等。
预应力楼板的设计和计算需要严格按照相关规范和标准进行,而楼板配筋计算则是其中非常关键的一环。
楼板配筋计算的目的是确定预应力楼板中的钢筋数量、布置、截面积等参数,使得楼板在受力情况下能够满足强度、刚度和变形等方面的要求。
为了提高配筋计算的效率和准确性,工程师通常会借助于计算工具,比如Excel表格,来进行楼板配筋计算。
以下是使用Excel进行预应力楼板配筋计算的基本步骤和方法:1. 录入基本参数在Excel表格中,首先需要录入预应力楼板的基本参数,包括楼板跨度、混凝土强度等。
这些参数将作为计算公式的输入,对于后续的计算非常重要。
2. 计算楼板受力根据预应力楼板的跨度、荷载、预应力钢束的设置等情况,利用梁理论、盖板理论等相关知识,计算楼板在受力情况下的弯矩、剪力等参数。
这些计算可以使用Excel中的函数或者自行编写公式来实现。
3. 确定楼板受力状态根据楼板在受力状态下的弯矩、剪力等参数,确定楼板不同截面的受力状态,包括正截面弯矩、剪力、弯矩应力、剪力应力等。
这些参数将作为后续配筋计算的依据。
4. 计算配筋根据楼板不同截面的受力状态,利用混凝土结构设计规范中的配筋计算公式,计算楼板所需的配筋数量、截面积、间距等参数。
这些计算可以通过Excel中的数据表格和函数进行,以提高计算的效率与准确性。
5. 结果分析与优化完成配筋计算后,需要对计算结果进行分析与比对,验证是否满足设计要求。
如果不满足,需要对楼板的结构参数进行调整与优化,重新进行配筋计算,直到满足设计要求为止。
通过以上步骤,利用Excel进行预应力楼板配筋计算可以提高计算的效率和准确性,为工程师在楼板设计中提供重要的参考依据。
冠梁配筋设计计算表格
冠梁配筋设计计算表格通常包括以下内容:
1.构件信息:包括冠梁的尺寸、截面形状、长度等。
2.受力分析:包括弯矩、剪力等受力情况的计算结果。
3.配筋设计:包括受力钢筋、箍筋等的设计计算结果。
4.钢筋数量和规格:汇总所需的受力钢筋和箍筋的数量及规格。
5.验算和核查:对设计结果进行验算和核查,确保设计符合规范要求。
以下是一个简化的冠梁配筋设计计算表格示例:
序号计算内容计算结果/参数单位
1冠梁尺寸300x500毫米
2弯矩设计值150kN·m
3剪力设计值80kN
4钢筋截面积As = 1250平方毫米
5弯矩钢筋配筋率ρ = 0.02无单位
6配筋数量6根主筋根
7配筋规格φ25毫米
8箍筋间距150毫米
9箍筋直径φ8毫米
10验算结果符合设计要求-
这是一个简单的示例表格,实际的冠梁配筋设计计算表格会根据具体的工程要求和设计规范进行详细设计和填写。
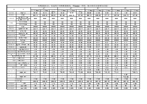
λ不1.2%,且应沿柱全长ρs为竖向、水平分布钢筋的0.20%; 2)框架-剪力墙0.4%1)钢筋砼梁中箍筋配筋率1) V>0.7f t bh 0ρsv =A sv /bs ≥0.24f t /f yv2) 在弯剪扭构件中,剪扭箍筋的配筋率ρsv =Asv/bs ≥0.28ft/fyv ,其中Asv 为配置在同一截面内具体见上表。
2) 梁内受扭纵向钢筋的配筋率柱钢bhA stl tl=rA stl :沿截面周边布置的受扭纵向钢筋的总截面面积。
受拉纵向钢筋的配筋率不应小于其中,b 为矩形截面的宽度,或T 形截面的腹板宽受扭纵向受力钢筋的最小配筋百分率bhA stl tl=r yc f f Vb T 6.0等级设计,且柱的剪跨比λ不大于2时,柱一侧纵不宜大于1.2%,且应沿柱全长采用复合箍筋。
计算不应小于腿有效截面计算不宜大于和竖向分布钢筋的配筋率ρsh 和ρsv;ρsh =Ash/(bSv);sv/(bSh);Sh 、Sv 为竖向、水平分布钢筋的间距)≥0.2%。
重要部位的,其水平和竖向分布钢筋的配筋率宜适当提高、二、三级抗震等级的剪力墙的水平和竖向分布钢筋最小配筋率均不应小于0.25;小于0.20%; 2)框架-剪力墙结构中的水平和竖向分布钢筋最小配筋0.25%;3)部分框架-剪力墙结构的剪力墙底部加强部位的水平和竖向分布应小于0.4%5560657075800.6040.5940.5840.5750.5650.5550.5400.5310.5220.5120.5030.4930.5080.4990.4900.4810.4720.46225.3027.5029.7031.8033.8035.901.96 2.04 2.09 2.14 2.18 2.220.990.980.970.960.950.940.790.780.770.760.750.74,其中Asv 为配置在同一截面内箍筋各肢的全部截面面积。
1.17931.09080.250.1890.3640.42980.3976
0.2
梁端一排钢筋数量超限
梁底底部钢筋根数是否超限
梁底部纵向钢筋的最小配筋率(%)梁端纵向受拉钢筋的配筋率(%)(按有效高度)梁端混凝土受压区高度和有效高度之比
梁端截面的底筋和顶面纵向钢筋配筋量的比值梁底部纵向钢筋的配筋率(%)(按有效高度)梁端纵向受拉钢筋的最小配筋率(%)梁底部纵向钢筋的配筋率(%)(按全截面)梁端上部钢筋根数是否超限梁端纵向受拉钢筋的配筋率(%)(按全截面) 说明:表中绿色单元格表示需要用户填写内容,黄色单元格表示计算结果,红字标示出需要注意的事项,另注意本表格不适用于4排及其以上钢筋的情况。
表中钢筋根数是否超限根
据输入不同钢筋根数和直
径计算是否一排满足,不满足需用户手动更改钢筋排数,这样计算得到的其它数据才正确。
筋计算软件操作指南一、启动软件:用鼠标双击桌面“钢筋自动计算”图标进入钢筋软件系统;二、新建或选择工程:1、新建一个工程——单击F文件菜单下的新建选项,在弹出窗口的文件名处输入工程名称,再单击打开即完成新建工作。
2、打开已存在的工程——单击F文件菜单下的打开选项,在弹出的窗口里选择您所要的工程连续双击即可打开您所选的工程。
三、输入工程基本信息:单击F文件菜单下的工程信息选项,在这个窗口里可输入本工程的基本概况,以便以后查找,同时在打印预算书时将使用其中的数据。
四、抽筋计算基本步骤:1、打开图标库:用鼠标左键单击T图标菜单下的打开选项或点击,会出现对话窗口——单击所需图标——单击打开——双击所需要的图标号(即和图纸相似的图形)——显示图标即可。
2、定义公共变量:(即搭接长度、锚固倍数等有关数据):用鼠标左键单击T 图标菜单下的公共变量选项,然后在对话框里按工程实际要求输入有关数据(已有的数据是按规范填写)。
填写完成后单击左上角的[存盘退出]按钮保存。
切记!五、输入数据:本系统设计了四种钢筋计算方法:图形标注法钢筋计算、表格录入法钢筋计算、多边形布钢筋计算及单根钢筋录入计算。
实际操作过程中请根据实际情况灵活使用。
(字母A、B、C、D、E,分别代表I、II、III、IV、V级钢)。
T型变量数据框:适用于钢筋根数配置数据,显示为,例如:4φ10,为(4)(A)(10)。
R型变量数据框:适用于距离配置的数据,显示为,例如:φ10@150,为(A)(10)@(150)。
以下举例说明:梁(表格输入法)1、基本步骤:单击“打开图标库”菜单—→单击“梁表格1.tbk”(.tbk表示图标库)—→单击打开—→双击所需要的图标号(即和图纸相似的图形)—→定义公共变量—→单击对话框顶部的(显示表格)按钮—→录入表格数据前单击表格初始化—→按照图纸要求输入数据(图纸上有的则填,没有的则跳过不填)—→在录入数据时有不清楚时——单击“图标说明”按钮仔细阅读。
一、表格使用说明:
1)首次使用前先按默认路径运行“钢筋图”文件。
2)Excel表的“工具—宏—安全性”,设置为中或底表格宏方能运行。
软件仅适用excel2003
3)在计算式列中填入计算公式,确认后表格会自动计算结果。
对工程量计算稿纸,表格会根据计算单位选择的倍率(单位)将结果传递到数量列的单元格中,对钢筋计算稿纸,表格会将公式计算结果自动传递到截长一列的单元格中。
4)在公式中可以插入标注,但标注必须放在一对“[]”中。
比如:[砼墙体积]3*3.6[高]*[厚度]*0.25是一个合法的计算式。
5)对工程量计算稿纸,如果有分步骤,其结果不能传递到数量一列的单元格中,分步骤可以用“[b]”标注。
6)在计算式一列的单元格中可以单独插入解释性的文字。
7)对表格不能删除列,可以删除除表头外的任意行。
表格可直接打印结果。
8)本表格的计算有些步骤(VBA程序控制的计算过程)是不能撤消的。
如要排序或汇总,应将表格另存为新文件后再排序或汇总,以防意外。
9)钢筋计算稿纸提供了两个工具。
钢筋样式是用来插入各种钢筋下料样式,选择相应的单元格后点击按扭可插入相应的钢筋样式;锚固(搭接)是在图纸无规定时用来计算各种钢筋的锚固(搭接)长度的。
10)钢筋计算稿纸使用电算能自动计算结果,如果要手工修改计算结果,请将计算方法改为“修改”状态
11) 如果计算速度变慢,可以将程序关闭再重新打开。
12) 修改计算式后要双击单元格,才可重新计算结果。
二、 以下是表格使用截图
1)钢筋计算稿纸:
2)工程量计算稿纸:
3)普通稿纸:。