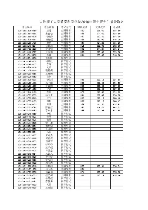
2016年大连理工大学软件学院考研复试拟录取名单
- 格式:xls
- 大小:60.50 KB
- 文档页数:4
2016年计算机学院全日制硕士研究生复试名单
一、各专业招生人数及推免生人数
按照我校复试录取方案的规定,经各专业指导组讨论,确定我院(所)相关专业第一志愿考生初试合格最低分数线为:
三、复试名单
(第一志愿)
按照差额比例,确定第一志愿考生复试名单如下(按初试成绩由高到低排列):
(调剂考生)
按照我校调剂办法,经考生申请,我院(所)相关专业指导组审查和筛选,根据专业培养要求,按照1:1.5的差额比例,将尽快确定调剂考生复试名单并上网公布。
计算机学院 2016年3月18日。
2016年软件学院硕士生复试名单2016年软件学院硕士生复试名单考生编号考生姓名复试专业初试总分政治外语业务课一业务课二102866321606803 谢伟软件工程(专业学位) 372 69 75 100 128 102866340308730 张银软件工程(专业学位) 367 61 71 109 126 102866340108320 赵宪阳软件工程(专业学位) 361 68 67 102 124 102866431612565 滕倚昊软件工程(专业学位) 359 68 76 111 104 102866320203167 孙瑜尧软件工程(专业学位) 354 71 64 97 122 102866322307866 常胜软件工程(专业学位) 353 64 70 101 118 102866530613113 田广泽软件工程(专业学位) 351 66 75 71 139 102866320204129 范文天软件工程(专业学位) 345 71 66 72 136 102866321606887 刘晨软件工程(专业学位) 342 66 81 70 125 102866351210043 康雪文软件工程(专业学位) 342 69 73 92 108 102866320203177 徐衔软件工程(专业学位) 341 65 53 93 130 102866321807140 沈哲先软件工程(专业学位) 341 63 77 70 131 102866420511989 管凯软件工程(专业学位) 341 60 63 111 107 102866442012710 施鹏软件工程(专业学位) 341 69 72 84 116 102866320203786 张怡年软件工程(专业学位) 340 69 75 82 114 102866214005381 韩雪软件工程(专业学位) 340 64 69 88 119 102866311405786 任忆软件工程(专业学位) 339 60 70 71 138 102866321406300 吴志成软件工程(专业学位) 339 67 69 117 86 102866360710207 赖伟软件工程(专业学位) 339 67 63 111 98 102866410111264 赵宏辉软件工程(专业学位) 338 66 68 95 109 102866411611409 马超软件工程(专业学位) 337 65 66 69 137 102866321205985 应雨婷软件工程(专业学位) 336 71 66 91 108 102866321406405 孙千惠软件工程(专业学位) 336 60 71 83 122 102866370210575 王引软件工程(专业学位) 335 72 67 84 112 102866321606849 季晓莉软件工程(专业学位) 333 67 69 85 112 102866320203340 张思文软件工程(专业学位) 332 71 78 73 110 102866342509473 吴晗软件工程(专业学位) 332 73 71 91 97 102866421912119 赵炯软件工程(专业学位) 332 64 72 101 95 102866320203206 金伟豪软件工程(专业学位) 331 66 65 70 130 102866320203231 杨安奇软件工程(专业学位) 331 67 68 73 123 102866330107968 李思软件工程(专业学位) 330 65 63 94 108 102866413711712 魏思冉软件工程(专业学位) 330 73 71 96 90 102866500112810 陈可心软件工程(专业学位) 330 70 60 92 108 102866320203166 孙伟软件工程(专业学位) 328 65 69 74 120 102866322007471 陈张软件工程(专业学位) 328 65 54 108 101 102866330208096 郭奕庭软件工程(专业学位) 328 69 61 79 11937 102866370210574 范雪梅软件工程(专业学位) 328 71 74 75 10838 102866610513139 肖伟软件工程(专业学位) 327 74 51 71 13139 102866321606902 刘兴软件工程(专业学位) 324 58 61 77 12840 102866345709601 陈晓曦软件工程(专业学位) 324 66 56 70 13241 102866340509036 潘慧娟软件工程(专业学位) 322 66 59 116 8142 102866345709597 姜旭软件工程(专业学位) 322 62 71 73 11643 102866370210593 张艳秋软件工程(专业学位) 322 66 80 74 10244 102866432512622 王春华软件工程(专业学位) 322 65 78 79 10045 102866322207702 单艳琪软件工程(专业学位) 321 65 67 98 9146 102866370210583 冯全超软件工程(专业学位) 321 72 74 77 9847 102866320203230 薛文艳软件工程(专业学位) 320 62 69 87 10248 102866140905039 张元秀软件工程(专业学位) 320 72 70 86 9249 102866321606916 胡正东软件工程(专业学位) 320 67 72 74 10750 102866320203046 问磊软件工程(专业学位) 319 67 57 79 11651 102866230605560 孙新越软件工程(专业学位) 319 68 58 107 8652 102866340509018 陈康软件工程(专业学位) 319 68 67 77 10753 102866611613258 王冠华软件工程(专业学位) 319 55 58 75 13154 102866320202570 黄佳艳软件工程(专业学位) 318 64 60 87 10755 102866320202744 张昊源软件工程(专业学位) 318 66 50 104 9856 102866130304740 薛宇软件工程(专业学位) 318 70 70 70 10857 102866612213285 景延琴软件工程(专业学位) 318 65 57 96 10058 102866320203273 李星软件工程(专业学位) 317 67 66 85 9959 102866320203366 秦天软件工程(专业学位) 317 67 63 84 10360 102866311405795 李嘉奕软件工程(专业学位) 317 71 73 78 9561 102866340508943 江平软件工程(专业学位) 317 66 54 84 11362 102866342509503 许立新软件工程(专业学位) 317 66 60 71 12063 102866320202583 李再升软件工程(专业学位) 316 70 57 95 9464 102866360810221 张晨梦软件工程(专业学位) 316 60 55 92 10965 102866320204465 李凤耀软件工程(专业学位) 315 52 52 88 12366 102866321406432 周伟东软件工程(专业学位) 315 64 58 101 9267 102866342509517 王溯源软件工程(专业学位) 315 67 62 78 10868 102866371010996 裴东旭软件工程(专业学位) 315 67 67 90 9169 102866220705509 李娟软件工程(专业学位) 314 68 65 74 10770 102866311405748 曹忠建软件工程(专业学位) 314 63 70 91 9071 102866422612321 王浩洋软件工程(专业学位) 314 62 61 91 10072 102866611513244 常泽天软件工程(专业学位) 314 65 58 97 9473 102866320203154 陆奕喆软件工程(专业学位) 313 67 63 78 10574 102866321907362 郭梦梦软件工程(专业学位) 313 72 75 89 7775 102866500112820 胡捷软件工程(专业学位) 313 70 69 76 9876 102866370210519 张闯软件工程(专业学位) 312 67 64 84 9777 102866420511967 夏宇琦软件工程(专业学位) 312 64 66 82 10078 102866321205909 陈超软件工程(专业学位) 311 68 59 100 8479 102866340208599 周燕君软件工程(专业学位) 311 56 60 76 11980 102866320203268 李博软件工程(专业学位) 310 70 60 82 9881 102866320204455 杨子豪软件工程(专业学位) 310 72 68 92 7882 102866321205904 朱迪软件工程(专业学位) 310 64 64 85 9783 102866420511960 宋玉软件工程(专业学位) 310 64 68 93 8584 102866321406420 杜鹏程软件工程(专业学位) 309 70 65 72 10285 102866120104568 姜涛软件工程(专业学位) 307 72 65 80 9086 102866347009801 尹强软件工程(专业学位) 306 67 64 91 8487 102866320203186 张沛软件工程(专业学位) 305 69 65 74 9788 102866320202539 骆宾逸软件工程(专业学位) 304 63 58 78 10589 102866320203361 胡羽扬软件工程(专业学位) 304 53 69 74 10890 102866321406430 张浩软件工程(专业学位) 304 70 59 70 10591 102866330108038 孙五九软件工程(专业学位) 304 61 70 72 10192 102866413211605 申合斌软件工程(专业学位) 304 61 61 102 8093 102866220705513 章铖软件工程(专业学位) 302 59 51 92 10094 102866110704509 高筠软件工程(专业学位) 301 54 56 77 11495 102866330108029 裴佳翔软件工程(专业学位) 300 68 65 89 7896 105586670107282 陆炫宇软件工程(专业学位) 352 67 69 74 14297 104866211018536 刘卓软件工程(专业学位) 334 66 62 86 12098 102466210007883 王琛软件工程(专业学位) 331 63 84 100 8499 104866211018681 李文豪软件工程(专业学位) 329 64 70 90 105 100 103356000906564 骆臻软件工程(专业学位) 329 62 67 106 94 101 105326431602186 陈志远软件工程(专业学位) 326 70 59 71 126 102 105586670107145 陈玉红软件工程(专业学位) 325 64 60 75 126 103 101836215322723 宫丽君软件工程(专业学位) 324 61 70 72 121 104 103356000906361 胡路路软件工程(专业学位) 320 64 62 113 81 105 102846213302913 张中一软件工程(专业学位) 319 67 78 76 98 106 102846213306646 齐凡软件工程(专业学位) 319 64 61 101 93 107 105586670106398 陈森海软件工程(专业学位) 319 59 65 99 96 108 103846213511941 陈伟刚软件工程(专业学位) 318 66 67 81 104 109 100016000170945 石鹏软件工程(专业学位) 317 56 72 79 110 110 102846213202742 周鹏软件工程(专业学位) 317 58 61 94 104 111 103356000906304 李林软件工程(专业学位) 317 71 68 90 88 112 102846213214200 任天舒软件工程(专业学位) 316 67 72 76 101 113 105586670107082 齐小嫚软件工程(专业学位) 315 70 68 70 107 114 102466210008159 沈启超软件工程(专业学位) 314 75 74 87 78 115 102846213302889 刘雷软件工程(专业学位) 314 66 75 72 101 116 100566000104304 崔文婷软件工程(专业学位) 314 59 60 83 112 117 104866211008220 吴圆软件工程(专业学位) 313 54 64 89 106 118 100016000170840 孙泽华软件工程(专业学位) 312 66 61 74 111 119 102846213304984 仲亮靓软件工程(专业学位) 311 65 68 93 85 120 106116014080055 刘琴软件工程(专业学位) 310 72 68 77 93 121 100066210500029 霍明毅软件工程(专业学位) 308 56 63 104 85 122 103586210002249 周金成软件工程(专业学位) 308 73 80 74 81123 103586210002431 乔月姣软件工程(专业学位) 308 64 66 92 86 124 102466210008115 刘俊佑软件工程(专业学位) 307 64 63 97 83 125 102846213202732 张健软件工程(专业学位) 307 61 62 79 105 126 102846213204968 周元坤软件工程(专业学位) 307 69 72 72 93 127 100566002407726 张浩软件工程(专业学位) 307 62 67 74 104 128 103356000901320 申良柱软件工程(专业学位) 307 60 67 70 110 129 100136149030707 宋燕琪软件工程(专业学位) 306 64 63 73 106 130 106106077500389 于聪软件工程(专业学位) 306 53 73 73 107 131 106146081206603 邢子娟软件工程(专业学位) 305 60 65 71 109 132 102696213902069 张晶晶软件工程(专业学位) 305 59 62 87 97 133 102886100001305 周濛软件工程(专业学位) 305 58 70 74 103 134 103586210002559 顾笑雪软件工程(专业学位) 305 67 70 78 90 135 100066210500306 朱淼软件工程(专业学位) 303 56 76 71 100 136 100566000102225 郝凯软件工程(专业学位) 303 60 66 73 104 137 106106077500369 李思达软件工程(专业学位) 302 65 61 72 104 138 102886500006529 涂亮软件工程(专业学位) 301 64 67 71 99。
年度考生编号考生姓名考试方式报考类别报考院系报考专业码2015101415137035172郭中凯全国统考非定向材料科学与工程学院080503 2015101415134054351徐倩虹全国统考非定向材料科学与工程学院080503 2015101415137024880徐信坤全国统考非定向材料科学与工程学院080503 2015101415121092523赵薇全国统考非定向材料科学与工程学院080503 2015101415121081697牛少强全国统考非定向材料科学与工程学院080502 2015101415134064375刘天鸷全国统考非定向材料科学与工程学院080503 2015101415114020669宋潞璐全国统考非定向材料科学与工程学院080503 2015101415113150553赵龙海全国统考非定向材料科学与工程学院080503 2015101415141035825位超群全国统考非定向材料科学与工程学院0805Z4 2015101415151147053郑冰玉全国统考非定向材料科学与工程学院0805Z2 2015101415137024875王雪霞全国统考非定向材料科学与工程学院080502 2015101415121081711邢方圆全国统考非定向材料科学与工程学院080503 2015101415134594430张方方全国统考非定向材料科学与工程学院080503 2015101415143026805李金玲全国统考非定向材料科学与工程学院0805Z4 2015101415121443278丁宁全国统考非定向材料科学与工程学院080502 2015101415121081695李文畅全国统考非定向材料科学与工程学院080502 2015101415136014534王明耀全国统考非定向材料科学与工程学院0805Z4 2015101415121081690苑峻豪全国统考非定向材料科学与工程学院080501 2015101415113150555薛晓晚全国统考非定向材料科学与工程学院080503 2015101415134574418刘照全国统考非定向材料科学与工程学院080502 2015101415136014531王祥宇全国统考非定向材料科学与工程学院080503 2015101415141035819刘建发全国统考非定向材料科学与工程学院080503 2015101415141035820段海洋全国统考非定向材料科学与工程学院080503 2015101415141035822董博闻全国统考非定向材料科学与工程学院080503 2015101415121443281赵鹏全国统考非定向材料科学与工程学院080503 2015101415121081710王丽媛全国统考非定向材料科学与工程学院080503 2015101415121081691朱盛铭全国统考非定向材料科学与工程学院080501 2015101415121021245耿天媛全国统考非定向材料科学与工程学院080503 2015101415121081715闻志恒全国统考非定向材料科学与工程学院080503 2015101415137024882许永强全国统考非定向材料科学与工程学院080503 2015101415141035823韩林格全国统考非定向材料科学与工程学院080503 2015101415121081720周弈全国统考非定向材料科学与工程学院0805Z4 2015101415121412958李俊颀全国统考非定向材料科学与工程学院080503 2015101415141055940秦振海全国统考非定向材料科学与工程学院080503 2015101415121463336张明海全国统考非定向材料科学与工程学院080502 2015101415114020668常晓雪全国统考非定向材料科学与工程学院080503 2015101415121443280胡鹏宏全国统考非定向材料科学与工程学院080503 2015101415121081705王振民全国统考非定向材料科学与工程学院080503 2015101415121031356何晓晨全国统考非定向材料科学与工程学院080503 2015101415121192773吕中源全国统考非定向材料科学与工程学院080503 2015101415121081718高剑英全国统考非定向材料科学与工程学院0805Z3 2015101415141316542闫育坦全国统考非定向材料科学与工程学院080502 2015101415114020667范世超全国统考非定向材料科学与工程学院080503 2015101415121081712丁旭全国统考非定向材料科学与工程学院080503 2015101415123173812高艳梅全国统考非定向材料科学与工程学院080503 2015101415123113697张晓旭全国统考非定向材料科学与工程学院0805Z4 2015101415133014228何欣全国统考非定向材料科学与工程学院080503 2015101415121081707徐光烨全国统考非定向材料科学与工程学院080503 2015101415132174165韩晓洁全国统考非定向材料科学与工程学院080503 2015101415113040296谷泽宇全国统考非定向材料科学与工程学院080501 2015101415121412956王汉全国统考非定向材料科学与工程学院080502 2015101415121081700隋龙飞全国统考非定向材料科学与工程学院080503 2015101415114130895杨俊慧全国统考非定向材料科学与工程学院080502 2015101415161367260李大艳全国统考非定向材料科学与工程学院0805032015101415114020666尹兵雪全国统考非定向材料科学与工程学院080502 2015101415132114017吴磊全国统考非定向材料科学与工程学院080503 2015101415141306470梁婧全国统考定向材料科学与工程学院080503 2015101415121081709马铭全国统考非定向材料科学与工程学院080503 2015101415151177063刘兴博全国统考非定向材料科学与工程学院080502 2015101415137035178郭素墨全国统考非定向材料科学与工程学院085204 2015101415121031357刘帅林全国统考非定向材料科学与工程学院085204 2015101415141296452王海林全国统考非定向材料科学与工程学院085204 2015101415121443282王忠侨全国统考非定向材料科学与工程学院085204 2015101415141035831景颂扬全国统考非定向材料科学与工程学院085204 2015101415121081723韩程旭全国统考非定向材料科学与工程学院085204 2015101415112010036高杨全国统考非定向材料科学与工程学院085204 2015101415137014666孙磊全国统考非定向材料科学与工程学院085204 2015101415153027106郑清艺全国统考非定向材料科学与工程学院085204 2015101415141035833李小香全国统考非定向材料科学与工程学院085204 2015101415142206698王凯全国统考非定向材料科学与工程学院085204 2015101415137035176宋茂付全国统考非定向材料科学与工程学院085204 2015101415121081725吕嘉欣全国统考非定向材料科学与工程学院085204 2015101415162097351郭伟全国统考非定向材料科学与工程学院085204 2015101415137014663陈雷全国统考非定向材料科学与工程学院085204 2015101415137014660孟垂玉全国统考非定向材料科学与工程学院085204 2015101415141316543马威全国统考非定向材料科学与工程学院085204 2015101415121081726冯扬全国统考非定向材料科学与工程学院085204 2015101415137035174李钱瑞全国统考非定向材料科学与工程学院085204 2015101415137014661宋以堃全国统考非定向材料科学与工程学院085204 2015101415121081724弓箭全国统考非定向材料科学与工程学院085204 2015101415141035832赵宇萌全国统考非定向材料科学与工程学院085204 2015101415121092526解浩楠全国统考非定向材料科学与工程学院085204 2015101415321220003李娜单独考试定向材料科学与工程学院085204报考专业政治外国语业务课一业务课二总分备注材料加工工程7161146131409材料加工工程6768131138404材料加工工程6867132126393材料加工工程7455139121389材料学7064129118381材料加工工程6052146123381材料加工工程6755142116380材料加工工程6855137120380★材料连接技术6259133126380★材料表面工程7156134118379材料学6657121130374材料加工工程7062131108371夏令营A档材料加工工程6555125126371★材料连接技术6867107127369材料学5557130126368材料学6360119124366夏令营A档★材料连接技术6462109131366材料物理与化学6760115122364材料加工工程7452124114364材料学6660112125363材料加工工程6853127115363材料加工工程6253121127363材料加工工程7056112123361材料加工工程5966127109361材料加工工程6054133114361材料加工工程6765128100360夏令营A档材料物理与化学617013593359材料加工工程6966121103359材料加工工程686115079358材料加工工程6746119124356材料加工工程6260118116356★材料连接技术7167112106356材料加工工程6057112126355材料加工工程6761117108353材料学6059122111352材料加工工程7552116108351材料加工工程7061102118351材料加工工程6548122114349材料加工工程5961109119348材料加工工程5951125113348★材料无损检测与评价6272108106348夏令营A档材料学6354121109347材料加工工程6054116116346材料加工工程656512987346夏令营A档材料加工工程6460117104345★材料连接技术6450121110345材料加工工程6363106112344材料加工工程606213389344夏令营A档材料加工工程6367103110343材料物理与化学6548103126342材料学695795121342材料加工工程686311397341材料学5758116108339材料加工工程6068105106339材料学715611299338材料加工工程6053116109338材料加工工程6052117107336少民材料加工工程596798112336夏令营A档材料学726375125335夏令营A档材料工程6865136118387材料工程6955137122383材料工程6758122118365材料工程6457135107363材料工程6958112116355材料工程6457123111355材料工程6363115110351材料工程6566104114349材料工程6252129104347材料工程6758118104347材料工程5956118108341材料工程705297118337材料工程676610896337材料工程655794117333材料工程686490110332材料工程6253108102325材料工程615911390323材料工程635710796323材料工程655794106322材料工程675882113320材料工程635496106319材料工程605987107313材料工程64549995312材料工程765711860311单考。
大连理工大学2016硕士研究生复试分数线根据教育部有关文件精神,结合我校实际情况,经学校研究生招生领导小组研究决定,2016年硕士研究生入学考试进入复试的初试成绩基本要求如下:一、学术型硕士研究生学科门类(专业)政治、外语业务课一业务课二总分【01】哲学45 7575305 【02】经济学5085 85340【03】法学458080 335【04】教育学【0401】教育学50 180-- 340【0403】体育学40150 --300【05】文学【0501】中国语言文学【0502】外国语言文学457575 330【0503】传播学45 7575350【07】理学4570 75305【08】工学45 7075 315【12】管理学5085 85345【13】艺术学408585 330 二、全日制专业学位硕士研究生学科门类(专业)政治、外语业务课一业务课二总分【0251】金融50 9090340【0252】应用统计4580 80330【0551】翻译50 7575 350【0552】新闻与传播4575 75340【0851】建筑学45 8080 325【0852】工程4570 75310【0853】城市规划458080 325【1351】艺术40 8585330 三、管理类联考专业学位硕士研究生学科门类(专业)外语综合能力总分【1251】工商管理4595 160【1252】公共管理4595 155【1256】工程管理40 95146 注意事项:1、生源充足的学部(学院、部)、校区可根据本学科特点、生源情况和招生计划数制定不低于学校基本要求的专业复试线。
考生需达到报考单位专业复试要求才能参加复试。
实行差额复试,复试工作由各单位自行组织。
2、少数民族骨干计划按照教育部公布的分数线执行。
3、强军计划考生参加复试的初试成绩总分不低于250分;单考生参加复试的初试成绩总分不低于300分。
4、其他相关照顾政策执行教育部相关规定。
凯程考研辅导班,中国最权威的考研辅导机构
第1页共1页 2016大连理工大学软件学院考研调剂信
息
大连理工大学软件学院2016年攻读硕士学位研究生调剂办法
软件工程专业拟接收调剂名额:22名。
优先接受第一志愿报考我校与软件工程相近学科的考生。
一、调剂条件
第一,初试科目:英语一或英语二,数学一或数学二;
第二,取得第一志愿学科专业的合格复试成绩;
第三,初试成绩满足我校工学[08]或工程【0852】分数线。
二、报名材料及拟录取程序
第一,填写校内调剂申请表见附件,第一志愿报考学科所在部门签字;
第二,身份证原件及复印件(双面复印)一份、本科在校期间学习成绩单;
第四,免二次复试,师生互选。
第五,经学院和学校研究生院审核通过后,发放调档函。
大连理工大学软件学院文件大工软办字[2008]第20号大连理工大学软件学院关于表彰2007-2008年度学生先进集体、优秀个人的决定为弘扬大连理工大学优良学风,鼓励学生刻苦学习、奋发向上、崇尚科学、勇于创新,进一步营造优良育人环境。
学院决定开展具有我院特色的优良学风建设活动,在学生中进行各类先进集体、优秀个人评比活动。
经集体和学生个人申请,学院评审、推荐、公示,学院奖学金评审委员会及学校各相关部门审核批准,决定对0606班等235个学生先进集体,张倩等1574名优秀学生个人进行表彰。
附件:软件学院2007—2008学年学生先进集体、优秀个人表彰名单二〇〇八年十二月附件:软件学院2007—2008年度学生先进集体、优秀个人获奖名单大连市先进班级(3个)0504班0523班0606班大连理工大学优良学风标兵班(1个)0606班大连理工大学先进党支部(2个)2007本科党支部 2006级本科第二党支部大连理工大学先进团支部(28个)0601团支部 0602团支部 0606团支部 0607团支部 0619团支部 0618团支部0616团支部 0615团支部 0627团支部 0621团支部 0710团支部 0620团支部0704团支部 0703团支部 0702团支部 0719团支部 0715团支部 0711团支部0720团支部 0723团支部 0726团支部 0729团支部 0505团支部 0504团支部0509团支部 0515团支部 0523团支部 0524团支部大连理工大学先进班级(16个)0702班0710班0711班0720班0729班0601班0602班0615班0618班0619班0620班0627班0509班0504班0523班0606班大连理工大学优良学风班(21个)0509班0515班0518班0523班0504班0505班0601班0602班0606班0615班0618班0619班0620班0627班0702班0710班0711班0719班0720班0723班0729班软件学院优良学风班(26个)0607班0616班0704班0715班0727班0509班0515班0518班0523班0504班0505班0601班0602班0606班0615班0618班0619班0620班0627班0702班0710班0711班0719班0720班0723班0729班大连理工大学千优寝室(138个)开发区一舍:306 305 308 307 201 202 325 402 424 624 720 725 404 313 314 318 319 320 622 409 425 423 410 413 217 218 221 203 208 210 211 212 207 215 704 705 708 620 609 610 611 612 613 614 615 616 617 618 619 716 715 717 718 723开发区二舍:202 228 208 108 124 201 120 214 226 401 403 407 308 311 318 321 325 331 705 717 415 426 503 508 510 515 526 531 606 607开发区三舍:715 630 716 705 632 707 709 613 614 210 432 312 320 328 326 309 316 212 224 222 220 430 419 523 509 510 607 418 514 501 601 608 426开发区四舍:320 416 505 506 507 512 514 523 526 624 106 107 111 116 122 201 214 225 318 306 313大连市三好学生(8人)李良倪佳才宋锐陈志源张倩刘宗勋张冰冰徐淑珍大连理工大学优秀学生标兵(1人)张倩大连理工大学优秀学生党支部书记(2人)李帅(软件本2006)申珅(软件本2007)大连理工大学优秀共产党员(2人)荣翠芳(软件硕2007)王蓬(软件本2006)大连理工大学优秀团干部(32人)王丽晶左伟张语嫣张振魏蕾王东洋曹钢杨玉刚潘兴亮李钰申丽媛刘宗勋刘春雷金声斌贾禛龚成孟昭瑞杨晓宇宋锐赵彩莲张晓然张鹏王学辉邱一腾齐钰刘东博杜博宇刘芳欣倪佳才张喜容申珅张倩大连理工大学优秀团员(92人)陈驭龙许志凯郭毅高文聪马啸虎王阳郭宝兴孙剑华刘铁星王倩莹朱成权柴贵山刘磊崔灿宋立贺尤全增朱兴民王莎滕琳孙云龙李姮萱丁鹏程荣华陈怀亮卜庆玲袁柱阴永俊程锐敏杨晓燕吴启微柳慧斌李琳孙天增周兆林冀宇从凌云陆佳宫兆君张文浩程超王晓琳汪楠孙嘉怿王昳姣王林强李沐莳马雪征李伟王永宁王强吴志敏张帅姜子扬富童丛德昕许家法李成玉朱磊潘少华崔龙宣然胡俊峰梁宁焦坤孙铭阳王志鹏朱玥黄婷孙卓薛曼季笑羽朱学勇曹铮杨潇蕾薛岱月王辰浩张学超纪东辰康海龙李聪慧牛浩史宇茜白雪唐堃董爱莉万杨孔聪关文博战晶李忠贞魏强吴双软件学院十佳学子(10人)崔世宇贺志宏张慧琳王侃李良倪佳才宋锐张倩李伟张冰冰软件学院学习标兵(10人)吴金鹏武庆华张娜齐霞光余奕峰赵艳娇李毅王淑艳黄宏韬王学辉软件学院社会工作标兵(10人)顾凯余淼吴维邢凯男张静刘勇杨永鑫刘春雷郝正鸿张秋实软件学院科技创新标兵(10人)张文浩时亮徐宁陈志源赵长明胡志恒袁林王杨杜俭马扬软件学院文体标兵(10人)杨阳王璐乔辰史宇茜王慧肖克莱提杨丝喻周子琼李钰张振软件学院自立自强标兵(10人)李成明窦书洋刘大伟张静伟马凤龙韩元波王丽晶徐淑珍李文茂梁东旭软件学院一等奖学金、优秀研究生(8人)韩博任志磊荣翠芳田伟商振东刘妮妮袁理锋惠科新软件学院二等奖学金、优良研究生(8人)赵来平玄跻锋李雪赵灵犀潘金培赵莹莹刘天昊于文武大连理工大学综合一等奖学金、校三好优秀生(22人)吴金鹏崔世宇于菲岳帅胡志恒窦书洋贺志宏张慧琳周晖杨勇义连晓晗王侃张娜武庆华杨丝喻于玉龙袁林杜俭张静刘勇张婧媛张照大连理工大学综合二等奖学金、校三好优良生(48人)王磊王怀亮李成明王苹何玉苗王碧水吕华丁文超金凌霄邹学将顾凯黄涛柯举李文涛张晶刘铁星李素然王友李建斌刘翔宇周晶莹阙瑞雪王亚琨罗又铭刘大伟王玉昊白雪石程童张宏宇杨世宇王文涛王杨张静伟李超朱兴民郑杨杨张舵油锡贺励璐吴志超佟德琴吴晓芳陈怀亮蒋明润赵彬张宗强高亮蓝霄大连理工大学优秀三好学生(41人)李良徐静张朝利马凤龙霍金光张文浩张倩刘春雷时亮薛粹瑶徐宁贾微周子琼宋锐段亚伟李毅姜子扬王丽晶刘宗勋张浩王佳鞠磊徐淑珍高翔杨雪王晶晶王伟焦坤张冰冰李婧黄戈张鹏黄宏韬付乔宾陈昭灿刘晓彤彭厚文杨爽韩旭雷思宇陈志源大连理工大学三好学生(87人)刘俊杰魏臣李秀张达吕有为杨英达马锡月邹卫琴杨希产世君吕子钰刘晓敏韩元波柏金华潘兴亮袁竹修汪楠何凤成吕明伟王永亮勇幸屈世超张巧萍陆小双韩坤鹏李鹤郭忠明张星星倪佳才贾敏田金凤李贞玉吴尧王晓琳陈方疏王淑艳田全李伟冯雪莹余鹏郑霄龙简道红赵乾利李祥利刘宇韩硕吕爱玲黄婷李鑫牛庆龙吴付坤李文茂吴双贾清东高正九张亮雷苏娇王晓孔飞陈钧赖永华李晓东尹佰顺罗庆龙李杰康海龙徐婷婷赵磊张锦林梁禹张亮赵喜文况亚萍田丽珍宗林林王双唐堃张焕晨董士超王东魏杨振兴刘崇贾怀玺张雪林玉鸳庞超石子凡大连理工大学综合三等奖学金、院系三好学生(71人)赵俊杰范天宇陈伟佳刘浩田韩姗姗冯晓娟唐亚梅张承俊罗四维张赫余娜宋明霖邹磊徐晓勤朱艳伟董昊王阳刘岳峰于婷刘海峰吴晓敏夏秋粉刘殿铭王倩莹陶莹任道远郭丽华王昊哲薛九中贾宏超陈巧莹赵京孙安宝刘强张丽君郭清清王长宇邱俊荧尤全增李莹张婷婷孙霆李洁郭晓鹤单世磊石晓宇吴黎霞曹阳娄振林刘琳李昌玲张洋刘百胤贾延举胡瑞华梁文博张杨杨晟尧王亮刘伟唐婷婷刘洋帆谢红粹潘双旺刘彩云肖娜位世华王静孙惠健赖莎莎赵海燕大连理工大学单项奖学金(60人)余淼佟星李吉祥王翔沈悦谢军宏周莹邵星史建军段晓露李金伟靳义双张欣夏赟武云龙张莉梅张岩杨建楠王亮王恒包洪沨牛原陈广星齐磊王宏亮潘素君朱超袁雨婷邵振兴郑雪刘卫华李泽民韩先光赵宏尧张宪宝邱鹏刘翔向敏刘薇李范茂于瀛张玉鹏王崇智孙国喜高景斌张凯刘娟邵琪昝新陈志伟宁华丽秦汉何月段倩瑞白英军嵇绪周星白雁斌田荣亮朱娜大连理工大学学习优秀奖学金(一等)(80人)齐霞光朱雅佩周鹏冲李天宇崔景衍刘倩杨广李良刘俊杰魏臣焦世清安雪琼刘春雷钱瀚刘晓敏刘秀龙韩元波柳小康朱春生邹鹏王春雨余奕峰倪佳才段亚伟何凤成张文浩赵艳娇李毅吕明伟杨丹张倩王永亮贾敏宋锐刘赢勇幸屈世超丁方伟王燕燕孙道勇郭华陈方疏刘晓琳郑琦王淑艳田全胡海波刘祥波闫春雷李伟冯雪莹徐淑珍吴付坤李文茂黄安冬吴双贾清东张冰冰宋崇生黄宏韬王学辉况亚萍王双邓莹莹梁东旭付乔宾徐婷婷陈昭灿宗林林赵喜文徐丰斌姚艳双宫海鹏陈志源王东魏李小梅杨爽彭厚文王季洁艾山彬大连理工大学学习优秀奖学金(二等)(238人)卜宪冠徐静刘晓阳李秀张达刘丽媛吕有为张朝利王礼文杨英达陈杰杨振辉刘丁瑜蔡龙兵马凤龙李志川辛臣荣霍金光马锡月邹卫琴王健磊王喆周磊李清东郭放张五贵杜枫杨希明远银产世君宁宇宇陈曼严香花吕子钰王志强张高峰于桂园时亮薛粹瑶沈文兴邱一腾徐宁孙嘉怿贾微柏金华潘兴亮陈善佩袁竹修张雪冰周子琼刘彬邱鹏孙晰锐郎明明王林强汪楠王润青李廷勇屈志民田金凤牟南张海斌朱丽中马书超杨统凯唐春华姜子扬闫志斌薛磊李贞玉赵雨唐浩齐钰张巧萍赵伟陆小双张颖楠梁高峰李显杰陈立峰孙笑梦王丽晶游志青吴尧陈渊波孙国勤林祖新谭俊东董道祥闵师达裴忠一韩坤鹏刘宗勋王振国覃力张帆李鹤肖永鹏陈超卓郭忠明张星星丁艳红王佳朱少萍王晓琳蒋超鞠磊冷鹏王倩程超林妙真孙禹航倪高鹏吴志武陈阵张浩陈晓杰翁茜马平余鹏郑霄龙简道红易磊田晓宇李飞翔赵乾利刘伟龚勋高翔杨雪刘坐松李祥利王晶晶魏欣邱黎元胡二涛李尧郭淑芳张前平王伟刘宇韩硕王晓吕爱玲王小龙黄婷魏伦王晓慧朱煦王志刚甘园园李鑫许可牛庆龙焦坤高正九陈哲张亮雷苏娇庞超王晓李婧赵丹谭成龙孔飞陈钧杨巍黄戈赖永华李晓东张鹏岳文龙尹佰顺石子凡罗庆龙李杰吴奇凡张锦林康海龙杨恩山梁禹刘晓彤余辰笛罗龙蔡景媛董爱莉林玉鸳邓建平汤乐敏李晓娟李佳唐堃陈栋梁刘崇周玉蒋成杨振兴谭崇康王乾林义成张雪姜毅高杰张亮周晨扬韩旭赵磊董博翔田丽珍吴维明李莹程睿贾怀玺齐哲孙铜轩杨俊君吴昀蓁王光宇赵亮张焕晨李彭王树东徐博都基强亢红领贾少攀杨帆梁爽董士超马春阳雷思宇桂真黄一行陈潇辛奇宁珠刘婷婷朴君大连理工大学精神文明奖学金(160人)杨晓燕魏臣产世君白岩马凤龙张双新张朝利霍金光祁伟杨英达李良李明浩贾昌鑫杨攀星王宁宁李秀柳慧斌李冠楠吴启微李琳徐静吴莹莹丛凌云马锡月丁静李沐莳韩元波单永胜周洋曾伟强时亮潘兴亮汪楠薛粹瑶刘春雷王立水吕甄妮王东梅张晓然陈琛王丽晶倪佳才宋锐范光钰刘宗勋何凤成王璐韩坤鹏李成玉屈世超勇幸张倩王佳张巧萍崔龙张帅王征赵彩莲张星星张浩郭忠明刘芳欣李毅刘德龙段亚伟田金凤覃力郝正鸿张凤富银帅吴尧戚冬杰贾禛鞠磊陈亚婷赵以民张保伟郝忠永张文浩姜子扬李祥利李鹤鸣王晶晶杨雪余亮邓浩博黄婷田全王韦杨小浩郭超文媛王伟焦坤徐淑珍余鹏高翔赵喆贾超贾圣羽周泓池宣然王志鹏李伟吕爱玲雷苏娇吴双王宇舟纪东辰张冰冰张翔张亮李文茂宋秀苗尹佰顺李杰王志华张鹏刘程艾利民张锦林张雪赵红峰陈志源杨振兴刘崇林玉鸳黄宏韬王东魏孙守明李忠贞梅树声万杨陈昭灿康海龙付乔宾况亚萍韩旭辛克亮荣坤丽徐淑敏杨爽田丽珍徐婷婷王双赵磊唐堃李聪慧张焕晨董士超史宇茜张亮文新宇葛亮雷思宇彭厚文韩承启赵长明冯铮顾磊大连理工大学科技创新奖学金(64人)杨希齐霞光张喜容王光辉吕有为袁志远方岚郑健胡婷婷白岩王明徐宁金鑫袁竹修时亮刘晓敏马扬张文浩李鹤牛亚男拓鑫崔喆张浩贾禛王永亮李毅王征于麒麟王梦蛟贾敏宋锐鞠磊刘祥波赵乾利张文龙韩硕刘宇王淑艳王晓栋冯雪莹余鹏赵心随朱沿熹高正九黄戈吴付坤李婧石子凡赵长明陈志源雷思宇付乔宾陈曦刘熙东秦海威宗林林黄宏韬杨恩山高鑫田非陈潇孙铜轩陈昭灿刘晓彤大连理工大学社会工作奖学金(96人)柳慧斌张喜容刘俊杰谭卓马凤龙李明浩王强胡婷婷徐静周兆林丛凌云张双新任海韩岩袁柱李沐莳张晓然邱一腾刘春雷贾微周子琼杨玉刚徐宁余川杨阳张倩张秋实杨永鑫胡小丰高菁申丽媛刘德龙戚冬杰王蓬贾禛李帅赵彩莲刘宗勋郝正鸿张帅姜子扬叶荣健朱磊张晓冶许家法李钰黄书民李成玉左伟郑霄龙胡俊锋焦坤申珅薛曼盛航孙铭阳徐楠杨雪魏蕾金倩倩邢丹丹李鑫牛庆龙张鹏朱学勇纪东辰王志华曹铮张学超张柳黄戈庞超张语嫣白雪尚书新杨倩南史宇茜杨爽李彬孔聪林益挺万杨杨俊君张雪娇王慧李忠贞王玲杨潇蕾王永宁关文博李聪慧马雪征贾怀玺王强文新宇赵红峰大连理工大学社会实践奖学金(64人)杨晓燕吕子钰马凤龙孟召志谭卓李良张朝利霍金光白岩胡婷婷邱一腾战鸽朱春生贾微柏金华秦延东贾禛刘德龙王征孙福鑫张文浩赵彩莲段亚伟高菁菁吕明伟刘守强尹碧波赵开达鞠磊刘龙杨永鑫王佳简道红王伟罗小玉申珅徐淑珍李海村闫晗陈方疏薛曼高翔罗庆龙赖永华张学超周炳昱石琪张冰冰王斐李征慧刁锐瑞韩旭吴浩然杨潇蕾万杨梁禹张超彭厚文张旸牛浩王慧史宇茜康海龙李晓娟大连理工大学文体活动奖学金(96人)石京邱文英胡婷婷徐静杨晓宇邹卫琴都鸿宇张达吴丽丽柳慧斌吴莹莹张喜容卢光峰张朝利纪永吉周子琼李沐莳迟旭战鸽邱一腾梁源栋薛粹瑶孟昭瑞张雪冰张倩李钰王征李贞玉沙晓凤申丽媛张振郑黎鸣杨阳王丽晶贾禛胡小丰孙道勇刘大煜齐钰宋锐陆小双王璐王蓬来冬清董鹏翔姜树朋潘少华王晓琳张承成梁艳于歌季笑羽薛曼王晶晶邓浩博蔚静赵心随张平魏蕾文媛徐楠孙铭阳宣然陈钧张冰冰王晓纪东辰张柳孔飞李婧刘程裴威王慧杨倩南史宇茜张语嫣王永宁兰怡芳赵唯白雪李聪慧雷思宇邬大卫马雪征刘晓彤刘思宁吴贵娇张芃太贤美王玲曹品卉姚艳双艾丽娜黄一行唐堂赵喜文大连理工大学专项奖学金优秀类(109人)国家奖学金:(46人)张冰冰李婧黄宏韬付乔宾陈昭灿康海龙刘晓彤徐淑珍高翔杨雪刘春雷段亚伟张文浩宋锐时亮薛粹瑶徐宁贾微李毅张倩姜子扬李良徐静张朝利陈志源彭厚文杨爽周晖杨勇义连晓晗贺志宏张婧媛袁林吴金鹏崔世宇于菲岳帅胡志恒窦书洋张娜杨丝喻于玉龙杜俭张静刘勇张照NOK奖学金(4人)高正九励璐赵乾利贾敏东方实业奖学金(8人)牟南朱丽中刘丁瑜李佳董爱莉刘翔宇周晶莹何玉苗光华奖学金:(3人)陈方疏田全王学辉花旗集团金融科技信息教育专项奖学金(4人)何凤成吕明伟王永亮吕有为屈伯川教育基金奖学金(7人)吴双庞超简道红王春雨赵艳娇张晶程童三菱化学奖学金(12人)郑霄龙李贞玉余奕峰丁方伟孙道勇刘晓阳蔡景媛罗龙王玉昊白雪石张宏宇杨世宇实德奖学金(9人)李伟勇幸刘俊杰李秀魏臣刘崇唐堃王双况亚萍中国科学院奖学金(1人)邓莹莹中国石油奖学金(4人)冯雪莹倪佳才陆小双李小梅住友化学奖学金(5人)张锦林徐婷婷余鹏刘赢王季洁住友商事奖学金(5人)郭华郑琦钱瀚杨恩山王苹航天科技奖学金(1人)邓莹莹大连理工大学专项奖学金清寒类(117人)国家励志奖学金:(108人)郭清清刘铁星高亮李素然王亚琨夏秋粉李建斌王友佟德琴尤全增李成明吕华柯举冯晓娟张承俊徐晓勤刘岳峰刘海峰刘大伟张静伟张舵油锡贺吴志超吴晓芳张宗强邱俊荧李昌玲贾延举胡瑞华王亮吴付坤李文茂张亮雷苏娇王晓孔飞赵磊梁禹贾清东宋崇生邓建平赵丹谭成龙王淑艳张前平吕爱玲田晓宇魏伦王晓王小龙牛庆龙王伟刘伟刘坐松马平胡二涛周子琼刘晓敏韩元波田金凤刘秀龙沈文兴游志青陈善佩张雪冰刘彬王振国李廷勇屈志民王丽晶张浩屈世超张巧萍韩坤鹏李鹤王燕燕马书超唐春华赵雨林祖新董道祥李成玉马凤龙霍金光杨英达马锡月邹卫琴齐霞光周鹏冲刘倩焦世清卜宪冠刘丽媛杨振辉杨振兴赵亮梁东旭林玉鸳艾山彬杨俊君贾怀玺吴维明谭崇康姚艳双吴昀蓁李晓娟宗林林王乾奇瑞东方之子奖学金(2人)吴晓敏蔡龙兵佳能奖学金(2人)杜磊李振来松下电器育英基金奖学金(1人)王志刚徐小麟先生,徐扬洁女士纪念奖学金(4人)李晓东郑黎鸣陈亚婷王树东大连理工大学专项奖学金日语学习类(8人)MEKTRON日语学习奖学金(8人)张达朱雅佩安雪琼李天宇崔景衍王怀亮王磊王碧水合计:先进集体235个优秀个人1574 人。