2014年北京交通大学校级大学生数学竞赛结果公布
- 格式:doc
- 大小:132.00 KB
- 文档页数:4
2014中国数学奥林匹克获奖名单2014年中国数学奥林匹克是中国数学学会主办的一项全国性高中生数学竞赛活动。
本届比赛吸引了来自全国各地的优秀高中生参赛,经过激烈角逐,最终产生了一批优秀的获奖选手。
以下是2014年中国数学奥林匹克的获奖名单:一等奖:1.张三,来自北京市清华中学,他在比赛中展现出了出色的数学思维能力和解题能力,凭借高分获得了一等奖。
2.李四,来自上海市复旦中学,他对数学问题有着深入的理解和独特的见解,也获得了一等奖。
3.王五,来自广州市华南中学,他在比赛中表现出了出色的逻辑推理能力和解题技巧,也获得了一等奖。
二等奖:1.赵六,来自天津市南开中学,他在比赛中表现出了较高的数学素养和解题能力,获得了二等奖。
2.曹七,来自成都市实验中学,他对数学问题有着深入的思考和创新的解决方法,也获得了二等奖。
3.郑八,来自武汉市光谷一中,他在比赛中展现出了扎实的数学基础和优秀的解题能力,也获得了二等奖。
三等奖:1.刘九,来自南京市金陵中学,他在比赛中展现出了良好的数学推理能力和解题技巧,获得了三等奖。
2.孙十,来自重庆市杨家桥中学,他对数学问题有着广泛的兴趣和独特的见解,也获得了三等奖。
3.周十一,来自济南市山大附中,他在比赛中展现出了较高的数学素养和较强的解题能力,也获得了三等奖。
优秀奖:1.张二十,来自西安市第一中学,他在比赛中展现出了出色的数学思维能力和解题技巧,获得了优秀奖。
2.杨二十一,来自沈阳市实验中学,他对数学问题有着深入的思考和创新的解决方法,也获得了优秀奖。
3.陈二十二,来自青岛市第一中学,他在比赛中展现出了扎实的数学基础和优秀的解题能力,也获得了优秀奖。
以上就是2014年中国数学奥林匹克的获奖名单,这些获奖选手经过了长时间的备战和努力,在激烈的竞争中脱颖而出。
他们不仅在数学方面有着出色的才能和能力,也展现出了坚持不懈的精神和勇于挑战的勇气。
他们的优秀成绩为全国数学爱好者树立了榜样,也为中国数学事业的发展做出了积极的贡献。
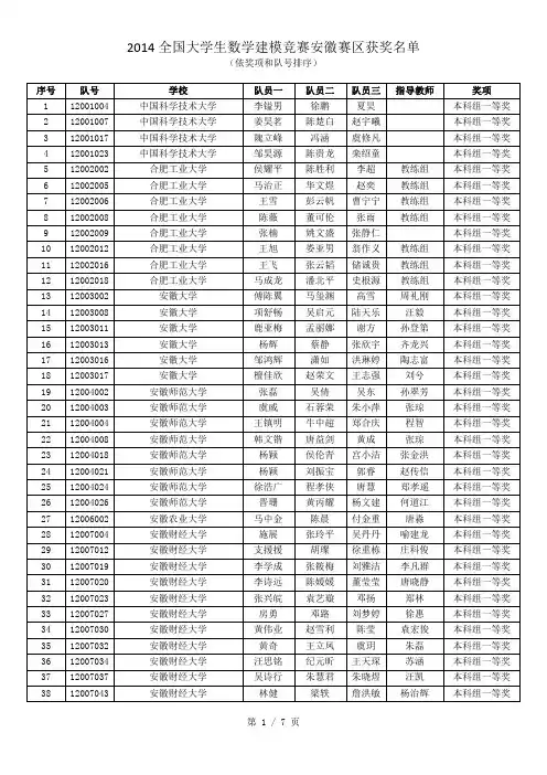
序号 队号 学校 队员一 队员二 队员三指导教师 奖项1 12001004 中国科学技术大学 李镒男 徐鹏 夏昊 本科组一等奖2 12001007 中国科学技术大学 姜昊茗 陈楚白 赵宇曦本科组一等奖3 12001017 中国科学技术大学 隗立峰 冯涵 虞修凡本科组一等奖4 12001023 中国科学技术大学 邹昊源 陈贵龙 栾绍童本科组一等奖5 12002002 合肥工业大学 侯耀平 陈胜利 李超 教练组 本科组一等奖6 12002005 合肥工业大学 马治正 华文煜 赵奕 教练组 本科组一等奖7 12002006 合肥工业大学 王雪 彭云帆 曹宁宁教练组 本科组一等奖8 12002008 合肥工业大学 陈薇 董可伦 张雨 教练组 本科组一等奖9 12002009 合肥工业大学 张楠 姚文盛 张静仁本科组一等奖10 12002012 合肥工业大学 王旭 娄亚男 翁作义教练组 本科组一等奖11 12002016 合肥工业大学 王飞 张云韬 储诚贵教练组 本科组一等奖12 12002018 合肥工业大学 马成龙 潘北平 史根源教练组 本科组一等奖13 12003002 安徽大学 傅陈翼 马玺渊 高雪 周礼刚 本科组一等奖14 12003008 安徽大学 项舒畅 吴启元 陆天乐汪毅 本科组一等奖15 12003011 安徽大学 鹿亚梅 孟丽娜 谢方 孙登第 本科组一等奖16 12003013 安徽大学 杨辉 蔡静 张欣宇齐龙兴 本科组一等奖17 12003016 安徽大学 邹鸿辉 潇如 洪琳婷陶志富 本科组一等奖18 12003017 安徽大学 檀佳欣 赵荣文 王志强刘兮 本科组一等奖19 12004002 安徽师范大学 张磊 吴倩 吴东 孙翠芳 本科组一等奖20 12004003 安徽师范大学 虞威 石蓉荣 朱小萍张琼 本科组一等奖21 12004004 安徽师范大学 王镇明 牛中超 郑合庆程智 本科组一等奖22 12004008 安徽师范大学 韩文锴 唐益剑 黄成 张琼 本科组一等奖23 12004018 安徽师范大学 杨颖 侯伦青 宫小洁张金洪 本科组一等奖24 12004021 安徽师范大学 杨颖 刘振宝 郭睿 赵传信 本科组一等奖25 12004024 安徽师范大学 徐浩广 程孝侠 唐慧 郑孝遥 本科组一等奖26 12004026 安徽师范大学 晋珊 黄丙耀 杨文建何道江 本科组一等奖27 12006002 安徽农业大学 马中金 陈晨 付金重唐淼 本科组一等奖28 12007004 安徽财经大学 施展 张玲平 吴丹丹喻建龙 本科组一等奖29 12007012 安徽财经大学 支援援 胡璨 徐重栋庄科俊 本科组一等奖30 12007019 安徽财经大学 李学成 张筱梅 刘雅洁李凡群 本科组一等奖31 12007020 安徽财经大学 李诗远 陈媛媛 董莹莹唐晓静 本科组一等奖32 12007023 安徽财经大学 张兴皖 袁艺璇 邓扬 郑林 本科组一等奖33 12007027 安徽财经大学 房勇 邓路 刘梦婷徐惠 本科组一等奖34 12007030 安徽财经大学 黄伟业 赵雪利 陈莹 袁宏俊 本科组一等奖35 12007032 安徽财经大学 黄奇 王立凤 虞玥 朱磊 本科组一等奖36 12007034 安徽财经大学 汪思铭 纪元昕 王天琛苏涵 本科组一等奖37 12007037 安徽财经大学 吴诗行 朱慧君 朱晓煜汪凯 本科组一等奖38 12007043 安徽财经大学 林健 梁轶 詹洪敏杨治辉 本科组一等奖39 12007049 安徽财经大学 王昌海 曾淑娴 刘雅倩张伟 本科组一等奖40 12007052 安徽财经大学 卞恒良 李昕 凡甲甲闫云侠 本科组一等奖41 12007053 安徽财经大学 李哲 赵美中 汪晓 陈春 本科组一等奖42 12007054 安徽财经大学 李祥宇 宋艺旋 吕晨 袁宏俊 本科组一等奖43 12008012 安徽理工大学 谢实海 李岩松 王慧 潘洁 本科组一等奖44 12009009 安徽建筑大学 吕振松 张坤坤 杨萍 欧剑 本科组一等奖45 12009012 安徽建筑大学 齐健 张颖兰 张亚军李璐 本科组一等奖46 12012006 安徽新华学院 王丽 常齐齐 王晓婉丁健 专科组一等奖47 12016009 淮北师范大学 许禧玉 聂双双 葛康康吴庆丰 本科组一等奖48 12018003 巢湖学院 张大全 魏红晶 季媛媛侯勇超 本科组一等奖49 12019021 宿州学院 卜烨晗 陈彬 许靓 李壮壮 专科组一等奖50 12020023 黄山学院 郭景 张鹏飞 曹金星张琳玲 本科组一等奖51 12021001 蚌埠学院 谢贤红 毛万葵 马海艳张迎秋 本科组一等奖52 12022004 铜陵学院 向亚云 周秀娟 邱上上教练组 本科组一等奖53 12022005 铜陵学院 杨晓旭 项磊 李珍 教练组 本科组一等奖54 12022006 铜陵学院 李敏 王骏 邓军 教练组 本科组一等奖55 12022008 铜陵学院 闫振军 赵爱国 张思婷教练组 本科组一等奖56 12023001 合肥学院 房周泉 许士张 高祥龙徐立祥 本科组一等奖57 12023009 合肥学院 储强盛 赵传阳 宋贤海李旭 本科组一等奖58 12024001 解放军电子工程学院 张博 杨刚 姚航 本科组一等奖59 12024002 解放军电子工程学院 徐明 杨常波 范鹏程本科组一等奖60 12024010 解放军电子工程学院 闫家鼎 胡瑜泽 李仰亮本科组一等奖61 12024011 解放军电子工程学院 魏浩浩 蔡进 马健凯本科组一等奖62 12025008 陆军军官学院 周炯 徐鑫 梁京晓李文涛 本科组一等奖63 12025011 陆军军官学院 祁启明 魏传耀 郑卓 田玉敏 本科组一等奖64 12025014 陆军军官学院 王森弘 段永飞 孟伟 江安 本科组一等奖65 12025017 陆军军官学院 胡跃 林振辉 丛龙旗彭宜青 本科组一等奖66 12025018 陆军军官学院 陈聚超 叶霖 丁成诚潘保国 本科组一等奖67 12025019 陆军军官学院 陈盛 向志 柴江飞李文涛 本科组一等奖68 12025020 陆军军官学院 陈十行 谢晋源 孙世超潘保国 本科组一等奖69 12029005 安徽大学江淮学院 王超 王俊 张大鹏洪海燕 本科组一等奖70 12031004 安徽财经大学商学院 彭伟刚 宛艺 施春红杨鹏辉 本科组一等奖71 12032003 安徽工程大学机电学院 刘鸿宇 朱俊 吴建 郝晓红 本科组一等奖72 12040002 河海大学文天学院 彭鹏 许栋海 王康 本科组一等奖73 12040008 河海大学文天学院 刘波 孔庆晓 金婷 本科组一等奖74 12042002 芜湖职业技术学院 周桃 梁佳 吴允 孔生林 专科组一等奖75 12042004 芜湖职业技术学院 欧阳少芬秦春 承明辉邓瑞娟 专科组一等奖76 12042006 芜湖职业技术学院 丛松 孔孟 郭前程刘有新 专科组一等奖77 12049001 安徽工商职业学院 刘方 曹金龙 冯蓉 王春珊 专科组一等奖78 12049003 安徽工商职业学院 俞银民 张家新 费孝银余国锋 专科组一等奖79 12049006 安徽工商职业学院 吴俊 武琼 丁利 赵雪梅 专科组一等奖80 12050001 安徽商贸职业技术学院 刘亚 赵立苗 杨远旺魏力 专科组一等奖81 12050002 安徽商贸职业技术学院 李进 刘珏 汪磊 叶迎春 专科组一等奖82 12050005 安徽商贸职业技术学院 汪坤乾 赵瀚 赵为成吴杰 专科组一等奖83 12050006 安徽商贸职业技术学院 钱江 王义明 周娇 陈辉 专科组一等奖84 12051003 安徽三联学院 张丽 徐瑾 严健 专科组一等奖85 12055004 安徽机电职业技术学院 方磊 王明明 李雪 李钰 专科组一等奖86 12055005 安徽机电职业技术学院 张锋雷 云建杰 罗丹 史娟荣 专科组一等奖87 12057005 合肥财经职业学院 陈小汝 任迪 陈瑞杰王祝园 专科组一等奖88 12059002 海军蚌埠士官学校 高阳 胡桂林 张凯涛教练组 专科组一等奖89 12059003 海军蚌埠士官学校 马乘飞 佘智利 张冉 教练组 专科组一等奖90 12059004 海军蚌埠士官学校 尚志成 陈建超 严春亮专科组一等奖91 12063001 安徽城市管理职业学院 张涛 陈杰 王巧凤教练组 专科组一等奖92 12001001 中国科学技术大学 滕志伟 郭俊辰 张臻昊本科组二等奖93 12001003 中国科学技术大学 张政 谢方明 宋清全本科组二等奖94 12001009 中国科学技术大学 谈海慈 王江川海周洋 本科组二等奖95 12001014 中国科学技术大学 彭雨晨 王文槊 王若水本科组二等奖96 12002001 合肥工业大学 陆世晗 覃子昂 彭光辉教练组 本科组二等奖97 12002003 合肥工业大学 李佳 张权 张志强教练组 本科组二等奖98 12002004 合肥工业大学 陈浩 王义 曹建华教练组 本科组二等奖99 12002010 合肥工业大学 张海潮 陈志阔 秦连松教练组 本科组二等奖 100 12002013 合肥工业大学 王松佳 庞博 孙瑞永教练组 本科组二等奖 101 12002014 合肥工业大学 廖务义 项清华 王青芳教练组 本科组二等奖 102 12002017 合肥工业大学 朱磊 魏庆伟 蔡祥健教练组 本科组二等奖 103 12003006 安徽大学 胡琪 董方洪 马丽娜章权兵 本科组二等奖 104 12003007 安徽大学 丁百鸣 郑辉 刘韬 朱明 本科组二等奖 105 12004006 安徽师范大学 赵云 赵薛蛟 徐雪 瞿萌 本科组二等奖 106 12004009 安徽师范大学 桂建秀 李露 陈军 黄旭东 本科组二等奖 107 12004019 安徽师范大学 蒋亚丽 干明瑞 胡姝慧崔静 本科组二等奖 108 12004020 安徽师范大学 金铭 杨欣新 黄晶 张金洪 本科组二等奖 109 12004023 安徽师范大学 周志俊 吕晶晶 邸维达申广君 本科组二等奖 110 12007008 安徽财经大学 徐梦伟 刘春英 黄雅楠温朝晖 本科组二等奖 111 12007010 安徽财经大学 陈森森 吴梦茹 李娜 李丽 本科组二等奖 112 12007022 安徽财经大学 朱勇 余珊珊 陈媛 李超 本科组二等奖 113 12007025 安徽财经大学 刘元志 王浩豫 肖聪 徐健 本科组二等奖 114 12007033 安徽财经大学 翟浩 吴秀盟 朱国燕高建福 本科组二等奖 115 12007038 安徽财经大学 胡柱斌 刘芸瑾 孟亚文孙颀 本科组二等奖 116 12007039 安徽财经大学 汪永 刘敏 刘茉莉朱磊 本科组二等奖117 12007044 安徽财经大学 段智中 李孟莹 李丹 杨鹏辉 本科组二等奖 118 12007048 安徽财经大学 石大伟 张俊 王晨睿唐晓静 本科组二等奖 119 12007055 安徽财经大学 马洋洋 洪粼 程若 赵魁君 本科组二等奖 120 12007059 安徽财经大学 程鹏 周卉 朱思雨朱家明 本科组二等奖 121 12008024 安徽理工大学 郭辉铭 储海龙 高梦萍蒋利华 本科组二等奖 122 12009014 安徽建筑大学 潘飞 姜坤 王雪 彭志捌 本科组二等奖 123 12010012 安徽工程大学 吴文俊 宋文 涂海峰周金明 本科组二等奖 124 12012007 安徽新华学院 于昊琳 代传海 王飞龙左学武 专科组二等奖 125 12014006 阜阳师范学院 杨彤彤 高飞 白元昊韩波 本科组二等奖 126 12014020 阜阳师范学院 施冉 孙朋 赵雪侠辛大伟 本科组二等奖 127 12015003 淮南师范学院 吴松 邵云婷 谢韵雅杜炜 本科组二等奖 128 12015008 淮南师范学院 沈先进 王刚 李亚珊陈宝国 本科组二等奖 129 12017004 皖西学院 曹强强 陈露露 艾洲 李国成 本科组二等奖 130 ******** 宿州学院 陈磊 王雪侠 陆昕雨晋守博 专科组二等奖 131 ******** 黄山学院 沈刚 汪旷 郝扬 胡建伟 本科组二等奖 132 ******** 黄山学院 赵建 项康玲 汪茹 胡建伟 本科组二等奖 133 ******** 解放军电子工程学院 陈乐东 梁宗伟 刘馥瑜本科组二等奖 134 ******** 解放军电子工程学院 朱书阅 华若晨 贲小康本科组二等奖 135 ******** 陆军军官学院 陈锦阳 雷晔 丁景福姚晓闺 本科组二等奖 136 ******** 安徽大学江淮学院 朱世柯 马宠宠 谢艺精袁光辉 本科组二等奖 137 ******** 安徽大学江淮学院 郭翔宇 高涛 潘怡 李双东 本科组二等奖 138 ******** 安徽财经大学商学院 陈龙 崔爽爽 苗晴 李柏年 本科组二等奖 139 ******** 安徽工程大学机电学院 卢平扬 王世龙 窦海石孙怡川 本科组二等奖 140 12032005 安徽工程大学机电学院 王曼丽 谢书峰 李升军耿杰 本科组二等奖 141 12033001 安徽科技学院 冯士贺 马寒寒 陈漱玉张建华 本科组二等奖 142 12033008 安徽科技学院 陈多云 梁修虎 尤菊 仇海全 本科组二等奖 143 12033009 安徽科技学院 王弦歌 熊海帆 刘广远李鑫 本科组二等奖 144 12034001 安徽交通职业技术学院 牛群 李荣昊 尹子琪李洪岩 专科组二等奖 145 12035003 六安职业技术学院 唐阿奇 霍道强 潘燕青彭杰 专科组二等奖 146 12038004 池州学院 吴苏正 梁红梅 刘亚培张敏珏 本科组二等奖 147 12040001 河海大学文天学院 方愚 赵瀚天 余辉 本科组二等奖 148 12040006 河海大学文天学院 洪美玲 尹婷婷 胡元超本科组二等奖 149 12040009 河海大学文天学院 杨乐天 朱宇钦 李芳菲本科组二等奖 150 ******** 河海大学文天学院 施浩威 王雨佳 范国瑞本科组二等奖 151 ******** 亳州师范高等专科学校 陈露 徐瑞 汪铭 喻晓锋 专科组二等奖 152 ******** 亳州师范高等专科学校 于娇 吴桃 钱芳 张宗标 专科组二等奖 153 ******** 芜湖职业技术学院 韩小雪 徐慧 许文娟李艳午 专科组二等奖 154 12042005 芜湖职业技术学院 郑克前 张学义 杜灿灿施吕蓉 专科组二等奖 155 ******** 安徽广播影视职业技术学院杨荣子 叶盛 姜秋月陈士龙 专科组二等奖156 ******** 安徽工商职业学院 张李 谢雄柳 王惠贞王霞 专科组二等奖 157 ******** 安徽商贸职业技术学院 薛琴 叶静贤 姜允珠吴松飞 专科组二等奖 158 ******** 安徽医科大学 江伟健 于典 陈冬冬梁振 本科组二等奖 159 ******** 徽商职业学院 闫晓莉 闫红红 江萍 教练组 专科组二等奖 160 12055006 安徽机电职业技术学院 邵杨 章强 陈林 刘莉 专科组二等奖 161 12057001 合肥财经职业学院 周王箭 陶余俊 崔婉君高继文 专科组二等奖 162 12059001 海军蚌埠士官学校 秦政 仪康 刘海东教练组 专科组二等奖 163 12062001 安徽工业经济职业技术学院金明智 朱婷婷 黄念平吕宁宁 专科组二等奖 164 12001022 中国科学技术大学 周凡 李一鸣 朱智成本科组三等奖 165 12001031 中国科学技术大学 林展 王晨 李培锴本科组三等奖 166 ******** 安徽大学 王哲强 朱建伟 钦铮承吴涛 本科组三等奖 167 12003014 安徽大学 陈超 赵春林 谢秀娟赵志兵 本科组三等奖 168 12003019 安徽大学 陈玉文 陈璐亭 黄欢 王丽智 本科组三等奖 169 12004011 安徽师范大学 李雨容 高世飞 廖凯 郭明乐 本科组三等奖 170 12004016 安徽师范大学 陈伟 余静 陈铮 何道江 本科组三等奖 171 12004027 安徽师范大学 舒童 郭小丰 黄韦倩崔静 本科组三等奖 172 12005001 安徽工业大学 王童玉 张超 周世平教练组 本科组三等奖 173 ******** 安徽工业大学 余石印 沈乐 刘慧 教练组 本科组三等奖 174 12006001 安徽农业大学 王雪莹 方鑫 倪亮 章林忠 本科组三等奖 175 ******** 安徽农业大学 严妍 方佳 刘娇 程娴 本科组三等奖 176 ******** 安徽农业大学 王晓鹤 李君 陈培桉武东 本科组三等奖 177 ******** 安徽农业大学 夏海 张现伟 汪浩浩曹宗宏 本科组三等奖 178 ******** 安徽农业大学 杨竣杰 李昌建 肖贵良乐毅 本科组三等奖 179 12007007 安徽财经大学 王维 刘越 周杰 邓留保 本科组三等奖 180 ******** 安徽财经大学 王振杰 李琼 夏蓉 朱存斌 本科组三等奖 181 ******** 安徽财经大学 刘泽华 王彦玲 郝诗红杨桂元 本科组三等奖 182 ******** 安徽财经大学 张衍林 赵思怡 陈嘉睿常啸 本科组三等奖 183 ******** 安徽财经大学 朱运良 程瑶瑶 刘红杉田晓兰 本科组三等奖 184 ******** 安徽财经大学 周小伟 徐贤丽 安胜男吴礼斌 本科组三等奖 185 ******** 安徽财经大学 程龙 赖秋平 马可 徐静 本科组三等奖 186 ******** 安徽财经大学 葛玉峰 马馨悦 焦雅婷夏茂森 本科组三等奖 187 ******** 安徽理工大学 岳占伟 刘恪 张莉 李强 本科组三等奖 188 ******** 安徽理工大学 冉奉民 石淑敏 董丰 李强 本科组三等奖 189 ******** 安徽理工大学 李孟芳 胡亮亮 王亭 詹倩 本科组三等奖 190 12008039 安徽理工大学 周涛 王若 陶军军高娟 本科组三等奖 191 12009002 安徽建筑大学 巢溪 黄鑫 吴丹玲赵林 本科组三等奖 192 12009006 安徽建筑大学 张悦 徐祥 张平 王菊香 本科组三等奖 193 12010002 安徽工程大学 孙书省 范佳健 薛国强邓寿年 本科组三等奖 194 12010004 安徽工程大学 方爱冬 潘显峰 廖小双徐红霞 本科组三等奖195 12010013 安徽工程大学 陆凤芝 李凯 陈文龙高婷婷 本科组三等奖 196 12010016 安徽工程大学 陈雅豪 刘永乾 张智祥马静 本科组三等奖 197 12013009 安庆师范学院 张慧淳 许劲松 葛晓雪陈素根 本科组三等奖 198 ******** 安庆师范学院 张理成 尹兰 徐亚丽许娟 本科组三等奖 199 ******** 安庆师范学院 祝传磊 周丽 曹燕 周伟平 本科组三等奖 200 12014004 阜阳师范学院 杨晴龙 章延 周鑫 王中心 本科组三等奖 201 12014019 阜阳师范学院 李飞 马欢欢 王春苗辛大伟 本科组三等奖 202 12014023 阜阳师范学院 陈杰 赵敬侠 梁园园孙娓娓 本科组三等奖 203 12014024 阜阳师范学院 范翔 丁海宁 雷丹丹王秋玲 本科组三等奖 204 12015001 淮南师范学院 吴瑶妹 苗秀楠 陈姚 吴正飞 本科组三等奖 205 12015002 淮南师范学院 周坤 张丹阳 瞿慧慧向伟 本科组三等奖 206 12015006 淮南师范学院 陆晴子 李才隆 武希希周毅 本科组三等奖 207 12015011 淮南师范学院 李泽群 刘栓 石群婵左宏坤 本科组三等奖 208 12015014 淮南师范学院 朱敏 何盼盼 吴雨晴徐耸 本科组三等奖 209 12015016 淮南师范学院 叶同彤 宋雪燕 郑昕明马小霞 本科组三等奖 210 12016005 淮北师范大学 王宇 张洲 王娜 李昌文 本科组三等奖 211 12016014 淮北师范大学 钟海 程佳 李玉 李孝诚 本科组三等奖 212 12017002 皖西学院 陈婧 程琳 温纪扬郁书好 本科组三等奖 213 12017007 皖西学院 李磊 王继德 束静 符茂胜 本科组三等奖 214 12018004 巢湖学院 杨国威 田静 殷俊 侯勇超 本科组三等奖 215 12019023 宿州学院 王义璇 孙晟 施亚男任敏 专科组三等奖 216 12019025 宿州学院 陈思 陈琳 张依然梁武 专科组三等奖 217 12021003 蚌埠学院 尤祥 王金周 张玉 李声锋 本科组三等奖 218 12024013 解放军电子工程学院 王一鹤 辛立刚 解博 本科组三等奖 219 12028004 滁州学院 昌晶晶 昂子怡 赵碧 胡贝贝 本科组三等奖 220 12029001 安徽大学江淮学院 谷元超 陈炎 周海洋王丽霞 本科组三等奖 221 12029002 安徽大学江淮学院 高广飞 卢军义 杨帅 潘欣 本科组三等奖 222 12031001 安徽财经大学商学院 毛卓 许倩 王靓 李柏年 本科组三等奖 223 12031003 安徽财经大学商学院 陈国庆 王苒 谢瑞瑞宋在科 本科组三等奖 224 12032006 安徽工程大学机电学院 洪瑞 王习超 赵蓉婷凌婷婷 本科组三等奖 225 12033002 安徽科技学院 董倩倩 马威锋 吴贵贤仇海全 本科组三等奖 226 12033006 安徽科技学院 徐阳 胡付琼 许晨晨张建华 本科组三等奖 227 12035002 六安职业技术学院 苏阳 朱康杰 甘德群彭杰 专科组三等奖 228 12037001 阜阳师范学院信息工程学院吴陵 李双 王婷婷葛新同 本科组三等奖 229 12038006 池州学院 陈强 赵晋彪 赵海龙钱克仕 本科组三等奖 230 12039001 安徽工业大学工商学院 刘伟伟 盛利 吴雨涓教练组 本科组三等奖 231 12040004 河海大学文天学院 汪春春 高凡 栗雪莉本科组三等奖 232 12040007 河海大学文天学院 李忠坡 梅仁杰 盛凯 本科组三等奖 233 12040011 河海大学文天学院 王雪莲 徐国强 张全南本科组三等奖234 12041008 亳州师范高等专科学校 吴润东 徐云龙 李道婧李猛 专科组三等奖 235 12041012 亳州师范高等专科学校 柏奉伶 赵曼 楚玉生杨景保 专科组三等奖 236 12041013 亳州师范高等专科学校 康星 江艳 汪健 冯依虎 专科组三等奖 237 12041014 亳州师范高等专科学校 程晶晶 闫盼盼 马秋丽宋世勤 专科组三等奖 238 12041016 亳州师范高等专科学校 张迎迎 吴琳琳 徐红恩黄静 专科组三等奖 239 12041019 亳州师范高等专科学校 马亚东 董雨晴 杨赐赐吴恒飞 专科组三等奖 240 12047005 淮南联合大学 吴国平 胡文武 徐莉 喻为民 专科组三等奖 241 12049004 安徽工商职业学院 胡刘兵 罗德苏 程春雁徐辉 专科组三等奖 242 12049005 安徽工商职业学院 李义刚 付小妹 周保乐张绍兰 专科组三等奖 243 12050004 安徽商贸职业技术学院 吴启龙 刘军 程欢 魏力 专科组三等奖 244 12052001 安徽医科大学 彭耀南 李娜娜 郑强 宋国强 本科组三等奖 245 12052003 安徽医科大学 郎俊杰 徐增辉 刘文敬刘国旗 本科组三等奖 246 12052004 安徽医科大学 唐正正 孙先红 何海珍宋国强 本科组三等奖 247 12052006 安徽医科大学 陈智杰 侯永利 吕菊香梁振 本科组三等奖 248 12052011 安徽医科大学 鲁浩 徐玲玲 王虹 孙江洁 本科组三等奖 249 12054002 徽商职业学院 郭翔坤 李晓楠 吴文文教练组 专科组三等奖 250 12054003 徽商职业学院 韦杰 丰启 王芳 教练组 专科组三等奖 251 12055001 安徽机电职业技术学院 张栋 金强 张丁丁姜绳 专科组三等奖 252 12055002 安徽机电职业技术学院 王青松 马益普 汪小飞王军 专科组三等奖 253 12055003 安徽机电职业技术学院 杨渊 李文玉 黄志刚高峰 专科组三等奖 254 12057002 合肥财经职业学院 余键 祝桂琴 潘淑英高继文 专科组三等奖 255 12057003 合肥财经职业学院 高尚 蒋俊杰 周月 高继文 专科组三等奖 256 12062002 安徽工业经济职业技术学院郑银飞 黄亚猛 周琴 权为民 专科组三等奖 257 12070001 安徽师范大学皖江学院 唐庆松 侯韩笑 方祥 本科组三等奖。
学校名称姓名1 姓名2 姓名3 教师姓名成绩北华航天工业学院彭宇龙赵雪志崔园园邓凤茹省一等北京交通大学海滨学院田婷婷卢思敏高苗董立伟省一等承德石油高等专科学校葛鹏飞马森刘永健唐世星省一等承德石油高等专科学校纪浩王旭豪安占强潘承松省一等东北大学秦皇岛分校蔡佳秀邹紫盛高志伟李明维省一等东北大学秦皇岛分校鄢盛丰董安葳翟洁丽刘建波省一等东北大学秦皇岛分校郑念祖顾立晨尤轲张子选省一等东北大学秦皇岛分校殷晓娟王海燕李起旺刘建波省一等邯郸学院赵庆彬宋玉玮闫晓阳张青省一等河北北方学院张鹏鹏孙晓栋毕天宇马鹏程省一等河北大学聂淑昆刘宸瑀马晓燕指导教师组省一等河北大学孙浩张静思张天一指导教师组省一等河北工程大学刘国强张闻天朱新宇庞培林省一等河北工程大学武方达刘毓乾金爱国王超省一等河北工业大学高静李真成张润锋苏国忠省一等河北工业大学刘富豪孙进周凤娇金少华省一等河北工业大学张新宇贾旭白云孙光坤省一等河北工业大学刘彦凯刘洋安贺舜焦艳东省一等河北金融学院叶飞李娜沈杨阳指导教师组省一等河北经贸大学高雅硕石滨萌杜飞飞指导教师组省一等河北科技大学樊聪聪张曼张立芳省一等河北科技大学许文鹏井梦龙马金瑶省一等河北联合大学刘凯王成林林琳指导教师组省一等河北联合大学罗兴军李明虎吴弯弯指导教师组省一等河北联合大学宁可云吴涛武刘惠指导教师组省一等河北联合大学姚茗放孙凯丽李佳指导教师组省一等河北联合大学祁明晓任喜亮孙月阔指导教师组省一等河北联合大学杨军辉戚鹏梅焦贝贝指导教师组省一等河北联合大学轻工学院张义学赵乾马洪福指导教师组省一等河北农业大学杨宁宫雅婷王振廷指导教师组省一等河北农业大学张晓彤刘雅钗王晓阳指导教师组省一等河北农业大学殷忠浩李子谦任晓磊指导教师组省一等河北师范大学暴俊华刘媛媛尹彦松周丙寅省一等河北师范大学李文杰蒋晓霞刘元元解建军省一等河北师范大学刘恩豪李浩天穆文琪侯波省一等河北师范大学刘颖王琛梅济民侯波省一等河北师范大学汇华学院王第增石毓杨莹莹鲁明省一等华北电力大学曹治李迎张雪原指导教师组省一等华北电力大学国赫刘婧妍杨雪指导教师组省一等华北电力大学刘力铭彭飞李得第指导教师组省一等华北电力大学刘祥韩金新吴光敏指导教师组省一等华北电力大学牛天尧李新军吉瑞芳指导教师组省一等华北电力大学陶冀赵篷阳韩新杰指导教师组省一等华北电力大学王长正王亚琦姚文展省一等华北电力大学张硕朱思丞米师农指导教师组省一等华北电力大学周新丽徐达王炜康指导教师组省一等华北电力大学董圣孝李宛容郭佳熠指导教师组省一等华北电力大学贾孟硕崔泽宇韩博指导教师组省一等华北电力大学李燕王睿豪周光奇指导教师组省一等华北电力大学邢法财申津京袁野指导教师组省一等华北电力大学张婕乐梦雅梁雪琪李鹏省一等华北电力大学张朋宇戚鹏胡皓玮指导教师组省一等华北电力大学张智敏杨江平吴若冰指导教师组省一等华北电力大学赵铮朱原兴刘佳指导教师组省一等华北电力大学科技学院陈怡树王靖云吴曼曼指导教师组省一等华北电力大学科技学院姬洪超张伟张西娇指导教师组省一等华北科技学院程胜杰王琛杨瑞锋杨戍省一等军械工程学院林枫周晓阳宋一凡王志平省一等军械工程学院曾宇杜军钟子睿王志平省一等廊坊师范学院肖亚敏李阳赵芳婷张宝雷省一等石家庄经济学院韩晓丹刘琬玥马阁张江省一等石家庄经济学院王凌志王旋安德凯张江省一等石家庄经济学院张文雅张皓东曾望王博省一等石家庄经济学院郑潇豪刘宇胡照乐张江省一等石家庄经济学院郭德敏王文霞李金爽张玉荣省一等石家庄经济学院李涛张洁贾红芳张玉荣省一等石家庄铁道大学安志勇徐方正孙冉刘宝友省一等石家庄学院随金明白莉莎谢瑞雪李伟才省一等石家庄邮电职业技术学院唐杰胡晓扬张艳贾慧羡省一等唐山职业技术学院张龙王鹏朱永兴于红省一等邢台学院韩晓妹闫岩康照川王明礼省一等燕山大学安文静李进环张明坤宋向东省一等燕山大学冯太永闫冷非王睿飞章胤省一等燕山大学顾艳田周梦涵柳世莹王艳宁省一等燕山大学路勇超孙娜郝遥迪王永茂省一等燕山大学牛子佳刘楠楠胡丽章胤省一等燕山大学孙雪皓李浩楠马敬山章胤省一等燕山大学滕秋润李潇连宸章胤省一等燕山大学谢韵博郭广路张询李建东省一等燕山大学徐朋顾英辉杨毅赵晓知省一等燕山大学张磊姜升殿闫小苗黄秋红省一等燕山大学贾雪娜阚玉红耿碧莹李德生省一等燕山大学景兴春李征王亭亭王刚省一等燕山大学李新丽王丽王俊德刘俊伟省一等燕山大学王思琦李达李叶儿王艳宁省一等燕山大学廉馨宋振宇孔志飞李德生省一等燕山大学里仁学院孙博梅刘朋李景忠王增富省一等中国人民武装警察部队学院朱晨旖张明帅肖蓉兰月新省一等中国人民武装警察部队学院昝永健崔博孟敬彬姜春艳省一等保定电力职业技术学院贾宝朋王路喜朱亚楠指导教师组省二等保定电力职业技术学院马全月柳致鹏张宇飞指导教师组省二等保定电力职业技术学院郭晓于史仁杰李宗盛指导教师组省二等保定学院何男张佳朋客文欢崔嵬省二等北华航天工业学院张浩然顾志明展朝飞张翠莲省二等北华航天工业学院李少华张小朋龚雪曾大有省二等渤海理工职业学院李伟王洪涛赵晨阳李梅玲省二等承德石油高等专科学校黄发宋宇刘旭光杨红梅省二等承德石油高等专科学校于金须郭美玲杨昭云杨红梅省二等承德石油高等专科学校杨禹尹朝庆高月相秀芬省二等东北大学秦皇岛分校韩锦姚洋邓维张建波省二等东北大学秦皇岛分校靳一徐礼林任鑫涛姜玉山省二等东北大学秦皇岛分校石浩孙慧任洁刘超省二等东北大学秦皇岛分校宋舒意付秀英李莉刘建波省二等东北大学秦皇岛分校孙业军孙静远郝承达肖楠省二等东北大学秦皇岛分校王嘉辉杨号鑫王志翔刘超省二等东北大学秦皇岛分校李忠飞尹芃森周春亚张子选省二等东北大学秦皇岛分校杨宇昊姚文峰张茂林刘超省二等东北大学秦皇岛分校赵利郭金梅王华姜玉山省二等防灾科技学院王东丁艳青王暾任晴晴省二等河北北方学院郝美情王娴郭爽郑秀亮省二等河北大学冯嘉琦张东琦刘唱指导教师组省二等河北大学董华李玉鹏石福宽指导教师组省二等河北大学张玉韩新新董海林指导教师组省二等河北大学刘悦黎孟吴桐熊志广指导教师组省二等河北大学岳娇王迪程育指导教师组省二等河北工程大学李鹤龚美玲孙博旭栗文国省二等河北工程大学马晓迪贾瑞丽张婉婷栗文国省二等河北工程大学宋晓旭李颖超王思雪张艳萍省二等河北工程大学科信学院沈奇韩玉珠白金龙王超省二等河北工程大学科信学院姚龙飞张士中张晨陈继强省二等河北工业大学毕成浩刘梦迪赵贤达王志京省二等河北工业大学陈会朋刘亚君谢宗霖徐常青省二等河北工业大学高洁艳周锦怡丁晓林高然省二等河北工业大学何厚锦李新新韩乃峥谭春晓省二等河北工业大学章昱昭刘伟强樊亚琴于新凯省二等河北工业大学高志红韩霞赵丽萌睢佰龙省二等河北工业大学李潇涵王青松谭芝王金环省二等河北工业大学王轲尧高敏靳炜徐勇省二等河北工业职业技术学院刘刚陈浩任雪兰李英芳省二等河北机电职业技术学院赵立燕杨玉丛窦博文程锋利省二等河北机电职业技术学院石文杰杨硕信广东周世兴省二等河北金融学院侯雯琰彭芳陈敏指导教师组省二等河北金融学院张梦驰王鑫高鹏飞指导教师组省二等河北金融学院陈玮琦陈雨奇何张璐指导教师组省二等河北经贸大学李云欣郭丽敏王欣欣指导教师组省二等河北经贸大学石梦如赵大力王艳海指导教师组省二等河北经贸大学杨琪郑冰冰刘阳指导教师组省二等河北科技大学樊明波蔡必光张盼省二等河北科技大学郑皓元陈锐陈庆峰省二等河北科技师范学院冀南南郭盼盼李帅邸聪娜省二等河北科技师范学院李扬张治苗婷婷吕金凤省二等河北科技师范学院要旭蔡金月刘佳惠毛学志省二等河北科技师范学院郝倩闫林林赵顺心何尚琴省二等河北科技师范学院王玉张弯孙斌刘建平省二等河北科技师范学院程柔茜崔美娟李腾飞张晓华省二等河北联合大学胡晓园李鹏永贺晓梦指导教师组省二等河北联合大学焦嫚赵梓欣韩韫泽指导教师组省二等河北联合大学亢静锐杨晓彤赵亚彬指导教师组省二等河北联合大学李帅印刘洪超舒英浚指导教师组省二等河北联合大学孙月欣袁明明冯建瑶指导教师组省二等河北联合大学陶万成马宁李晓菲指导教师组省二等河北联合大学王润泽张广鹤唐芳玲指导教师组省二等河北联合大学谢元艾王帅张婉指导教师组省二等河北联合大学张宇王一星张艺辉指导教师组省二等河北联合大学赵雷杜雷彭美叶指导教师组省二等河北联合大学赵志勇孙立波郭明超指导教师组省二等河北联合大学曹志林王永康万震指导教师组省二等河北联合大学李琴樊航赵靖指导教师组省二等河北联合大学刘颖任增耀韩共乐指导教师组省二等河北联合大学王荣孙文斌邢云青指导教师组省二等河北联合大学轻工学院崔佳磊刘丹璇杜铎指导教师组省二等河北联合大学轻工学院黄兰王自龙王强指导教师组省二等河北联合大学轻工学院孟繁强李贺冯美如指导教师组省二等河北联合大学轻工学院师燕鹏郭波超吕剑波指导教师组省二等河北联合大学轻工学院安家威范世达李娅楠指导教师组省二等河北联合大学轻工学院李俊萱贾瑞强赵杨指导教师组省二等河北联合大学轻工学院石帅杨晓磊刘金委指导教师组省二等河北联合大学轻工学院武若飞郭威东黄建苓指导教师组省二等河北民族师范学院李淅凤贾茹韩赛美尚宇辉省二等河北民族师范学院刘航赵亚丽胡潇媛韩伟省二等河北农业大学李赛赛郑玲玲张若曦指导教师组省二等河北农业大学张强强孟蕾王子婵指导教师组省二等河北农业大学李波李思蒙冯会江指导教师组省二等河北农业大学王通靳超刘晓帆指导教师组省二等河北师范大学白宁裴梦霄郝珍珍李俊红省二等河北师范大学刘洪琛陈磊侯家宏王志巍省二等河北师范大学张凯旋王健楠付一帆郑小伟省二等河北师范大学付芹郭增卫陈一玮曹鹏浩省二等河北师范大学汇华学院朱晓悦郝宁宇卢曼丽李俊红省二等衡水学院李树亮杨雪颖戴瑶瑶魏连秋省二等衡水学院张于黄金子张景芝周婷省二等衡水学院郭露景赵文娟仝丽嫒陈爱新省二等华北电力大学代家丞李军邓莉荣指导教师组省二等华北电力大学黄馨仪苏同发蒋畅王修武省二等华北电力大学蒋慧卿徐巧变刘智远省二等华北电力大学林志勇张小梅温家琦指导教师组省二等华北电力大学刘清晨张思行张冠群戴志辉省二等华北电力大学刘为辰康美娜李帅指导教师组省二等华北电力大学逄飞杨泽陈蕊指导教师组省二等华北电力大学裴鑫谭忠维蔡莹省二等华北电力大学任国俊赵圣楠肖艳红指导教师组省二等华北电力大学时钟肖卿宇廖成城指导教师组省二等华北电力大学童格格付佳良门向阳省二等华北电力大学王国庆魏安安崔悦指导教师组省二等华北电力大学王世杰胡灿张宇潇杨玉华省二等华北电力大学王亚祝张晨浩王祯指导教师组省二等华北电力大学鲜浩波师昭蓉文月李鹏省二等华北电力大学邢佳妮章钧恺肖曾翔石彤菊省二等华北电力大学张瑞雪游嵘臻龚宇佳马新顺省二等华北电力大学董国静梁芷睿陈曦省二等华北电力大学侯美玲陶君明杨新宇马新顺省二等华北电力大学裴继坤张屹刘树培李鹏省二等华北电力大学尹旭张思景李文乔指导教师组省二等华北电力大学科技学院陈方徐珺叶晟指导教师组省二等华北电力大学科技学院陈小龙谷晓会马标指导教师组省二等华北电力大学科技学院苟庆林王琪吴旭指导教师组省二等华北电力大学科技学院黄海宁孙世全周玉指导教师组省二等华北电力大学科技学院李灏李宁宁魏少雄指导教师组省二等华北科技学院凌玮杨鹏石洋洋王清省二等华北科技学院张玉杰姚林昌谭杰谭立云省二等华北科技学院张源源韩超解晶森杨文光省二等军械工程学院刘宝骏洪泽浩历寒李德清省二等军械工程学院李瑞刘国增雷浩孙梅慈省二等军械工程学院刘毅黄琛金录军李德清省二等军械工程学院何思雨刘益岑朱晓秀王志平省二等军械工程学院王胜利杨哲陈佳孟明强省二等军械工程学院吴恒卢昱铭张孟孟明强省二等军械工程学院杨岳张银赵润泽冯光辉省二等廊坊师范学院邓晓涵荣奕华马军硕仝雅娜省二等廊坊师范学院薛皓元杨璐李超群范利强省二等廊坊燕京职业技术学院李嘉新王京聂亚秋赵鹏省二等廊坊职业技术学院陈嘉鑫刘利许敬帅马东省二等石家庄经济学院曹柳青张溪郭丰辉张俊顺省二等石家庄经济学院孙佳奇齐鑫宇柳峰张俊顺省二等石家庄经济学院闫亚静刘福珍房海飞张俊顺省二等石家庄经济学院刘静飞郑国林乔婷宋建民省二等石家庄经济学院田琳琳谷二帅冯寒青宋建民省二等石家庄理工职业学院侯迎英王兢兢于龙李小敏省二等石家庄铁道大学蒋振中刘鹏张彦孙铁省二等石家庄铁道大学徐璐卢兆楠贾学梅刘炜省二等石家庄铁道大学张杨英刘鑫鑫马迅张素娟省二等石家庄铁道大学游朝俊寇晨辉龚斌张丽丽省二等石家庄铁道大学张壮陆贵银周新张丽丽省二等石家庄铁道大学四方学院解伟强任兵杰梁甜甜安宏伟省二等石家庄铁道大学四方学院高启杰孙张伟赵文兰郑莉芳省二等石家庄铁路职业技术学院贾栋梁李雄威陈战董文雷省二等石家庄学院苑俊华张莉邢睿聂翠平省二等石家庄学院张路迎王志波杨硕李伟才省二等石家庄邮电职业技术学院何凌寒唐琦李园于金青省二等石家庄邮电职业技术学院李林山张燕茹武笑丽李锦省二等石家庄邮电职业技术学院惠中升石天陈丽张静省二等唐山师范学院段娅杰吴丽苗闫克丽樊丽丽省二等唐山学院刁俊洁代金琳冯林星王成省二等唐山职业技术学院王毅娟冯敬捧闫少茜李海英省二等邢台职业技术学院马伟刘海瑞侯孟蝶艾立新省二等燕京理工学院张静婷曹显武静陈凡红省二等燕山大学董志涛陈培锴林勃婵王永茂省二等燕山大学刘蓓毛戌宁刘波刘俊伟省二等燕山大学刘财兴陈莹王怀翔杜会静省二等燕山大学刘广鹏霍如建李倩章胤省二等燕山大学刘琦贾宗显马小为李建东省二等燕山大学刘喜娈高鹏孙潇章胤省二等燕山大学佟玲韩菲菲秦碧磊王永茂省二等燕山大学吴中原闫占正韩颖章胤省二等燕山大学张佳佳张利萍沈若尧章胤省二等燕山大学冯琴琴肖斌刘若王刚省二等燕山大学付东东王伟然毛宏源王艳宁省二等燕山大学李雅娟朱萌萌彭云龙黄秋红省二等燕山大学张浩翔马超王雨薇李建东省二等燕山大学张泽林洋陆经纬杜会静省二等燕山大学里仁学院黄日辰马灿付华樊剑武省二等燕山大学里仁学院孔祥西孙妙然张扬王增富省二等燕山大学里仁学院路遥王旭辉林旭鹏陆瑶省二等燕山大学里仁学院王文彬白海龙王科磊章胤省二等燕山大学里仁学院赵伟陆鑫伟商雅静杨洋省二等燕山大学里仁学院赵永超郝素超孙亚楠鄂成国省二等燕山大学里仁学院周意牛雅馨陈志广章胤等省二等燕山大学里仁学院吴瑶孟爱文李奇阳王梅婷省二等燕山大学里仁学院张焱鑫袁丹真王凯陆瑶省二等中国人民武装警察部队学院张高杰王溢伟郑赛马莉省二等中国人民武装警察部队学院周子裕王浩宇陆润王立冬省二等中国人民武装警察部队学院冯峰俞超金建丞安晓伟省二等中国人民武装警察部队学院杨涵博陈跃峰杨立强姜春艳省二等。
十四届中国大学生数学竞赛获奖名单一、全国一等奖1.康宁,辽宁大学;2.陈思涛,北京大学;3.杨睿,清华大学;4.张浩然,复旦大学;5.林易,浙江大学;6.郑泽南,南京大学;7.郑浩,西安交通大学;8.郑文杰,武汉大学;9.蒋一帆,中南大学;10.熊昷,厦门大学;11.郑立灿,南开大学;12.贺雨桐,东南大学;13.马翔宇,太原理工大学;14.王云瀚,同济大学;15.李晗,电子科技大学;16.刘宇凡,中山大学;17. 郑小平,重庆邮电大学。
二、全国二等奖1.童维,西北工业大学;2.付新,西安电子科技大学;3.谭羽佳,南京航空航天大学;4.张涛,中国农业大学;5.杨汉龙,东北大学;6.谢嘉玮,上海交通大学;7.王峥然,中国科学技术大学;8.刘钰,哈尔滨工业大学;9.沈明雄,华东师范大学;10.孙名字,华中科技大学;11.许亮,南京农业大学;12.杨瑞昊,浙江师范大学;13.陶炜龙,合肥工业大学;14.张璇,北京师范大学;15.黄晓渝,中央民族大学;16.魏琪,苏州大学;17.周杨,北京交通大学;18.黄珩庆,中国人民大学;19.赵士卿,山东大学;20.李新,吉林大学。
三、全国三等奖1.马跃,北京航空航天大学;2.范苓,南京理工大学;3.张迪,湖南大学;4.罗家乐,深圳大学;5.李洋,大连理工大学;6.马艳秋,山东大学威海分校;7.丁耀,广西大学;8.王敏,安徽大学;9.马超,湖北大学;10.金鑫,西南大学;11.张俊宁,西安理工大学;12.马茹,西安科技大学;13.黄莎莎,中国矿业大学徐州校区;14.陈志伟,四川大学;15.孙健,武汉理工大学;16.赵洋,兰州大学;17.刘憬,深圳大学;18.李健,东北林业大学;19.崔传洁,河北工业大学;20.李益,北京科技大学。
四、特别奖1.郑凡,华南师范大学;2.刘磊,山西大学;3.张轩,西南民族大学;4.邓昊,四川师范大学;5.范妍,河南师范大学;6.李楠,江苏大学;7.丁晨,宁夏大学;8.陈江萁,云南大学;9.庞宗涛,福建师范大学;10.张志萍,山西农业大学;11.朱洋,西北农林科技大学;12.庞俊涛,浙江财经大学;13.张玉梅,青海大学;14.白赫,新疆师范大学;15.马昕,云南师范大学;16.刘浩,湖北中医药大学;17.曹舒,四川农业大学;18.李林,大连科技学院;19.张定祥,青岛大学;20.高雪琪,中国地质大学(武汉)。
2014年北京市中学生数学竞赛初二年级获奖名单一等奖(76名)姓名性别年级学校姓名性别年级学校王天睿男初二北京一零一中黄镇男初二十一学校张有辰男初一北师大实验中学张嘉宸男初二十一学校杨煦男初一北师大实验中学胡家祺男初二十一学校丘铱可男初二清华附中刘明钰女初二北师大实验中学李良辰男初二北京四中叶乃萌女初二清华附中毛宇翔男初二北师大实验中学于天韵女初二北大附中孔宇哲男初二北师大实验中学姚有恒男初二北京二中杨子琪女初一北师大实验中学刘石雨男初二北京四中刘辰飞男初二清华附中陈浩天男初二北京四中陈奕洋男初二人大附中袁景昭男初二北京四中高怿男初二十一学校张睿齐男初二北京五中分校樊潇宇男初一北师大实验中学饶腾铂男初二北京一零一中陈远洲男初一北师大实验中学赵一泽男初一北京一零一中朱辰澎男初二清华附中邓育豪男初二北师大实验中学徐易男初二清华附中王天玮女初二北师大实验中学方政清男初二清华附中陈通男初二北师大实验中学曾若凡男初二人大附中顾弘毅男初一北师大实验中学荆诚男初一十一学校苗中博男初一北师大实验中学康雨璇女初二北京十二中赵福民男初一北师大实验中学宋在男初二北师大实验中学蒲舒桐男初二清华附中顾博森男初二北师大实验中学柯王雨沁女初二清华附中杨思远女初一北师大实验中学魏宇辰男初二清华附中赵嘉瑞男初一北师大实验中学王妍女初二清华附属实验学校易睿哲女初一北师大实验中学郭承钰男初二人大附中崔博伦男初二人大附中郝仪宸男初二人大附中姜正一男初二人大附中熊宇轩男初二人大附中于惠施女初二人大附中项京东男初一人大附中王子明男初二北师大实验中学陈天杨男早七人大附中刘祎钒男初二北师大实验中学徐家兴男初二十一学校陈瑛新男初二北师大实验中学张凯勃男初二十一学校李博文男初一北师大实验中学李子恒男初二北师大实验中学杨秉衡男初一北师大实验中学丁汐昂男初二北师大实验中学曹瀚哲男初一北师大实验中学郭思成男初二北师大实验中学周勋仪女初二海淀实验中学佟美仪女初一北师大实验中学周梦熊男初二清华附中李春一男初一北师大实验中学徐嘉晨男初二人大附中曹策男初二北京五中分校仇傲男早七人大附中李源昊男初二人大附中张潜男初二三帆中学廉瑞峰男初二十一学校二等奖(111名)姓名性别年级学校姓名性别年级学校徐奕飞男初二北师大实验中学姚锦文男早六清华附中朱从榕男初一北师大实验中学曹紫昱女初二人大附中何宇琦男初二北师大实验中学李芸鹏男初二人大附中张麒男初二北师大实验中学陈起渊男早七人大附中刘艾女初一北师大实验中学吕挹清男早七人大附中马嘉旭男初二清华附中孙方圆男初二上地实验学校严子昂男初二人大附中刘孟臻男初二十一学校应润凯男初二北京一零一中王乐桐女初二首师大附中李经纬男初二北师大实验中学王宇洋恒男初二北京五中分校赵玥女初二北师大实验中学王子惠女初二十一学校李元鹏男初二北师大实验中学向李圆女初二北京一零一中沈孟京男初二北师大实验中学田隆凌男初二北师大实验中学汤恺宸男初一北师大实验中学雷原正男初二北师大实验中学田清磊男初二清华附中徐浩轩男初一北师大实验中学李汉唐男初二人大附中李天琦男初一景山学校周天翔男初二人大附中元晨晔男初二清华附中嵇晨希男初二人大附中黄思男初一清华附中闫子垚男早六人大附中安澜女初二人大附中段易非男初二三帆中学尚壮飞男初二人大附中陈子杰男初二三帆中学李逸涵男初二人大附中孙彻然女初二北大附中石雨哲男早七人大附中祁雅欣女初二北京四中胡小龙男早七人大附中赵昕瞳男初二北京四中赵博雨男初二北京八中邹永基男初二北京四中石宇豪男初二北京十二中陈楚洋男初二北京一零一中关文妍女早八人大附中薛司旸男初二北师大实验中学伍颉男初二北大附中韩百洋女初二北师大实验中学苏晴女初二北京十二中刘锐枫男初二北师大实验中学徐子昂男初一北京四中蒋宇初男初二北师大实验中学刘泓杉女初二北京五中分校朱玥华女初二北师大实验中学宗佳铭男初二北京一零一中孙孚嘉女初一北师大实验中学张弋丰男初二北京一零一中李思炀男初一北师大实验中学陈赫男初二北师大实验中学龙象男初一北师大实验中学孙博扬男初二北师大实验中学刘若怡女初一北师大实验中学王紫晨女初二北师大实验中学尹畅男初二景山学校陈朗女初二北师大实验中学王嘉伟女初二清华附中邢适之男初二北师大实验中学武钰淞男初二清华附中李西可女初一北师大实验中学宋子萌男初一清华附中吴寒羽男初一北师大实验中学谷泓毅男初一北师大实验中学程润腾男初二北师大实验中学辛雨晨男初二景山学校周世元男初二北师大实验中学张亦弛男初二清华附中田艺洵女初一北师大实验中学邱远男初一清华附中漆沛羽男初一北师大实验中学王衍之男初二人大附中谢瀚锋男初一北师大实验中学徐昕男初一人大附中印嘉驹男初二北京五中分校杨诚远男早六人大附中蔡天秦男初二北京五中分校林清源男初二十一学校钮滉男初二清华附中马昕桐女初二十一学校李翔龙男初二人大附中刘宇阳男初二十一学校殷文喆男初二人大附中崔子昂男初一十一学校胡煜彬男初一人大附中杨子江男初二北京一零一中张博然男初一人大附中甘晓露女初二北大附中姜岚曦男初一人大附中张以曦女初一北大附中张弛男早七人大附中李心怡女初二北京四中王晓鸥男初二三帆中学何蔚赞男初二北京四中王筱雯女初二上地实验学校张誉泷男初二北京一零一中王一辰男初二十一学校乐阳男初二北京一零一中三等奖(112名)姓名性别年级学校姓名性别年级学校刘昱婷女初二北大附中李冉昕男初二北师大实验中学高嘉成男初二北大附中曹浩轩男初二首师大附中孙毅男初二北京十二中胡亦洋女初二北京八中周显昊男初一北京四中马瀚洋男初二北京十二中方泽栋男初二北京一零一中冯湛女初二北京十二中王昊宇男初二北京一零一中邱杨嘉昱男初二北京四中王煦彤男初二北京一零一中兰纯熙男初二北京五中分校李浩云女初二北师大实验中学朱泽清男初二北师大实验中学齐嘉容女初二北师大实验中学白浩辰男初二北师大实验中学吴浩哲男初二北师大实验中学赵瀚之男初二北师大实验中学缴婧然女初二景山学校陈纪源男初一北师大实验中学梁馨为男初二景山学校杨东林男初一北师大实验中学李子昂男初二清华附中朱翊豪男初二清华附中王卓峣男初二人大附中唐颂男初二清华附属实验学校魏澜男初一人大附中李欣然女初二人大附中牛山水男早七人大附中徐宁男初二人大附中李辰飞女初二三帆中学荣星睿男早六人大附中田雅琦女初二十一学校艾文斯男早七人大附中徐子楷男初二十一学校邹寒凝男初二北京五中分校周昊泽男初二首师大附中屠俊天男初二北京五中分校祝一帆女初二北大附中王诗玥女初二北京五中分校张靖楠女初二北京八中金梓乔男初二北京五中分校阮思瑞男初二北京四中吴孟旌男初二北京五中分校袁慧华女初二北师大实验中学高国荃男初一北京五中分校崔达铭男初二北师大实验中学陆佳纬女初二北京一零一中朱铮男初二北师大实验中学张逸康男初二北京一零一中包逸博男初一北师大实验中学闫洁女初一北京一零一中张雪琪女初一景山学校汤博文男初二北师大实验中学刘子昂男初二清华附中王若晴女初二北师大实验中学凌紫舒男初二清华附中朱子健男初一北师大实验中学张志龙男初二人大附中屈文杰男初一北师大实验中学巩煜聪男初二十一学校崔轶锴男初一北师大实验中学樊洛卿女初一十一学校庾湫镆男初二景山学校郑乔男初二北师大实验中学牛润萱女初二景山学校张可欣女初一北师大实验中学郭帅男初二清华附中伊慧澄女初二人大附中谢屯洋男初二清华附中戴天翔男初二人大附中宁宇鸿男初二清华附中姚雅楠女初二北大附中徐浩川男初二清华附中孙逸男初一北京四中杜佳霖男初二清华附中潘乐延男初二北京一零一中张旭东男初一清华附中祁晟男初二景山学校郭涛鸣男初二人大附中陈诺男初二清华附中张彦哲男初二人大附中狄杰齐男初二首师大附中齐治平男初二人大附中王佳漪女初二北大附中张宇琪男初二人大附中刘晨男初一北大附中陈方辰男初二人大附中陈瑞麒女初二北京八中宛乐天男初二人大附中邓匡甫男初一北京八中褚子恒男初一人大附中汪泽西男初二北京二十中陈宇可女早七人大附中吕赛彤女初二北京十二中郑北辰女初二十一学校邹懿麟男初二北京四中计智怡女初二十一学校杨佳明男初二北京四中梁俊康男初二十一学校金梓博男初二北京四中郑皓天男初一十一学校杨天祎女初二北京四中蒋沛君男初一十一学校何佳昕男初二北京四中徐炜男初二首师大附中胡嘉铭女初一北京四中马瑞聪女初二首师大附中刘铭超男初二北京五中分校陈诗雨女初二北京五中分校。
参考答案参见微信公众号:考研竞赛数学(ID: xwmath)菜单“竞赛实验”下的“竞赛试题与通知” 相关知识点总结与解题思路分析、探索参见公众号《公共基础课》在线课堂,或公众号回复“在线课堂”12014年第六届全国大学生数学竞赛初赛(非数学类)试卷一 、填空题(共有5 小题,每小题6分,共30分)(1) 已知1x y e =和2x y xe =是齐次二阶常系数线性微分方程的解,则该微分方程是 .(2) 设有曲面22:2S z x y =+和平面:220x y z π++=,则与π平行的S 的切平面方程是 .(3) 设()y y x =由21sin d 4y x t x t π-⎛⎫ =⎝⎭⎰所确定,则0d d x y x == . (4) 设()11!n n k k x k ==+∑,则lim n n x →∞= . (5) 已知130()lim 1x x f x x e x →⎛⎫ ⎪++= ⎪ ⎪⎝⎭,则()20lim x f x x →= . 第二题:(12分)设n 为正整数,计算12d 1cos ln d .d n e I x x x π-⎛⎫ ⎪= ⎪ ⎪⎝⎭⎰ 第三题:(14分)设函数()f x 在0,1⎡⎤⎢⎥⎣⎦上有二阶导数,且有正常数,A B 使得()(),f x A f x B ''≤≤,证明:对于任意0,1x ⎡⎤∈⎢⎥⎣⎦,有()2.2B f x A '≤+ 第四题:(14分) (1) 设一球缺高为h ,所在球半径为R 。
证明该球缺的体积为()233R h h π-,球冠的面积为2.Rh π (2) 设球体()()()22211112x y z -+-+-≤被平面:6P x y z ++=所截的小球缺为 。
记球缺上的球冠为 ,方向指向球外,求第二型曲面积分d d d d d d .I x y z y z x z x y =++⎰⎰第五题:(15分)设f 在,a b ⎡⎤⎢⎥⎣⎦上非负连续,严格单增,且存在,n x a b ⎡⎤∈⎢⎥⎣⎦使得()()1d ,b n n n a f x f x x b a ⎡⎤⎡⎤=⎢⎥⎢⎥⎣⎦⎣⎦-⎰ 求lim .n n x →∞第六题:(15分)设22222,12n n n n A n n n n=++++++ 求lim .4n n n A π→∞⎛⎫ ⎪- ⎪ ⎪⎝⎭。
2014高教社杯全国大学生数学建模竞赛获奖名单
本科组高教社杯获得者:程双泽、李君昌、陈凌勤(信阳师范学院)
专科组高教社杯获得者:丁晓彤、回荣洲、段君宜(海军航空工程学院青岛校区)本科组MATLAB创新奖获得者:陈超、唐梦珏、杨克宇(浙江工业大学)
专科组MATLAB创新奖获得者:王磊、蒋国辉、蔡姗姗(四川建筑职业技术学院)[注]以下每一获奖等级内,按赛区顺序排列(同一赛区内,按学校笔画顺序排列)。
本科组一等奖(共293名)
本科组二等奖(共1256名)
专科组一等奖(共47名)
专科组二等奖(共197名)。
附件
2014全国大学生数学建模竞赛陕西赛区获奖名单
陕西赛区优秀组织工作奖(排名不分先后)
西安交通大学宝鸡文理学院
西北工业大学商洛学院
西安电子科技大学西安培华学院
陕西师范大学陕西国际商贸学院
长安大学西安航空学院
西北大学西安电力高等专科学校
西安建筑科技大学西安航空职业技术学院
西安科技大学陕西铁路工程职业技术学院延安大学西安铁路职业技术学院
陕西理工学院西安交通大学城市学院
本科组、高职组获奖名单(按获奖等级排列;同一等级内按本科组、高职组分别排列;同一等级同一组内学校排名不分先后)
本科组全国一等奖(24项)
高职组全国一等奖(2项)
本科组全国二等奖(58项)
高职组全国二等奖(19项)
本科组陕西一等奖(243项)
高职组陕西一等奖(57项)
本科组陕西二等奖(464项)
高职组陕西二等奖(111项)。
2014年全国高中数学联赛北京赛区获奖名单一等奖(52名)姓名性别学校年级姓名性别学校年级彭炳辉男北师大实验中学高三王啸辰男清华附中高二伍岳男人大附中高三邵瑞元男北京市十一学校高三欧阳铭晖男人大附中早培十何毓琛男北京市十一学校高二杨海欣男北师大二附中高三郭华男人大附中高三孙元逊男人大附中高三刘绍辉男人大附中高三罗明宇男北师大实验中学高三邵子涵男北师大实验中学高三林一衡男人大附中高二张润玉女北京四中高三蒋易悰男北京四中高二张蒲石男北师大实验中学高三孙家进男北京四中高三车凯男人大附中高二赵浩宇男人大附中高二贾泽宇男人大附中高二张子扬男人大附中高三邱言哲男人大附中高二彭俊尧男人大附中早培十李昀之男北京四中高二张子涵男人大附中高三张梓航男北师大实验中学高二谢彦桐男北师大实验中学高三张佳昕男北大附中高三刘睿男北师大实验中学高二白佳欣男北京市十一学校高三王雪莹女人大附中高二赵嘉熹男人大附中高二周展平男人大附中高二侯士钊男人大附中高三蒋励男人大附中早培十徐中恕男北师大实验中学高二王玥洁女北京四中高二王梦溪女北京市十一学校高三王森淼男北京市十一学校高三王伟宇男人大附中高三陈思亮男人大附中高三尚正元男人大附中高一章子豪男人大附中高二孙景波男人大附中高一方景和女人大附中高二王与常男北京四中高一徐呈寅男人大附中高二项梁男北师大实验中学高三王润基男北师大实验中学高三王思萍女北师大实验中学高三伍维晨男人大附中高三陈炤桦男人大附中高一二等奖(120名)姓名性别学校年级姓名性别学校年级葛道通男人大附中高三杜嘉涵男北京五中高二李禹辰男北京四中高三胡绍然男北师大二附中高三黄巍男北师大实验中学高二马英浩男北京二中高二宁小芾女北京四中高二游弘哲男北京四中高二陈肇盟男北京一零一中高二宋东泽男人大附中高二谭伯琛男北师大实验中学高三于雨辰女人大附中高二季北辰男人大附中高二薛彦钊男人大附中早培十张乔至男人大附中高三郑汉唐男人大附中早培十孙奥博男北京市十一学校高二纪晴男北京二中高二刘迪一男北师大实验中学高三梁德法男北京十二中高三李冠达男清华附中高二许珂女北京市十一学校高三邱厚德男人大附中早培十赵旭瑞男北京四中高二王嘉琦男北京市十一学校高三李书恒男北京一零一中高二贾子航男北京市十一学校高三刘砺寒男北师大实验中学高三贺博男北师大实验中学高三张宇佳男景山学校高二李澍鹏男北师大实验中学高三李蒙男人大附中高三王一同男人大附中高三王子涵男北京五中高一马思浩男北京八中少儿班李大维男北京一零一中高三朱怡洁女北师大实验中学高二陈家润男北京一零一中高二杨育璋男北师大实验中学高二夏晨曦男北师大二附中高一张林枫男人大附中高三舒惠泽男北师大实验中学高二李阳男北京市十一学校高三王星瀚男北师大实验中学高一韦祎男北京五中高三李聪乔男人大附中高三徐恺丰男景山学校高三陈远哲男人大附中高二龚其铭男人大附中高三程卓男人大附中高二邓丛悦女北京一零一中高二王健佑男北京市十一学校高一郑昊男清华附中高三徐禹生男北师大实验中学高三陈明阳男人大附中高三王天洋男人大附中早培十李昊亚男北京市十一学校高三薛竟一男北京市十一学校高二周博轩男北京一零一中高二王剑桥男北京四中高三孙谦男人大附中高二贾旺东男北京四中高二何逸飞男人大附中高二王显阳男北京四中高三孔鼎问男人大附中早培十那天行男北师大实验中学高二邓京阳男人大附中早培十段祺灏男人大附中高二范一喆男人大附中早培九李冬煜男北京市十一学校高二王逸伦男人大附中高三詹琦男北京四中高三王阳昇男北京四中高一许鹤凡男北京四中高二魏冕女北师大实验中学高三何章恺男北京四中高二谢卓凡男清华附中初三赵一霖男北京五中高三何彦辰男人大附中高三王则林男北师大二附中高三章钊男人大附中高二黄京磊男北师大实验中学高二柳婧娴女人大附中高三马睿男景山学校高三童露葳女北师大实验中学高三肖汝迪男北京市十一学校高三钏龙祥男人大附中高二李大珩男北京一零一中高三李逢双男北师大二附中高三丁牧聪男人大附中高三陈胜强男人大附中高三赵彤阳男人大附中高二张佳慧女北京市十一学校高二卢丹葳女北师大实验中学高二刘欣泽男北京市育英学校高二毕嘉川男北京二中高三李孝天男北京四中高二马浩睿男北京市十一学校高一滕蕴男北师大实验中学高二李志恒男北京市十一学校高一李一锦男人大附中高三刘晟芊男北京市十一学校高一杨靖云男人大附中高二李宇航男北师大实验中学高三姚宇浩男北京四中高三孙榕泽男人大附中高二王小涵女北京八中高一司云公男人大附中分校高二汪弘毅男人大附中高一单梦伊女人大附中早培十刘昆玉女人大附中高二张润宇男北京四中高二刘嘉牧男北京四中高三刘恺闻男北师大实验中学高一彭宇辰男北师大实验中学高二赵婧瑶女北师大实验中学高一韩玥君女清华附中高三武建宇男北师大实验中学高一钟岩青男人大附中高二金正韬男人大附中高三三等奖(80名)姓名性别学校年级姓名性别学校年级陈康安男北京市十一学校高一魏思源男人大附中高二李瀚祎男北京四中高二肖逸凡男人大附中高三王浩泽男北师大实验中学高三黄宇昊男人大附中高二曹旻男景山学校高二成西蒙男人大附中高三张瑞轩男清华附中高二杨星航男民大附中高三范阅女北京五中高三刘敏女北师大实验中学高二薛逸丹男北京四中高三王凯男北师大实验中学高三陈启昭女北京一零一中高二高润宣男景山学校高三朱广原男北京一零一中高二杨泓暕男人大附中早培九王雪瑶女北师大实验中学高三陈子逸男首师大附中高二于宸锴男人大附中高一蒋笑寒女人大附中高二崔旭萌女人大附中高二马泽霖男首师大附中高二王天冶男人大附中早培十孟泊宁男北京八中高三康梓峰男北京四中高三王嘉曦男北京十二中高二赵嘉霖男北师大实验中学高三崔曼修男北师大实验中学高二徐明宽男北师大实验中学高一刘嘉程男人大附中高二董昕妍女人大附中早培十许暘男人大附中高三冯韫禛男人大附中高一彭程男人大附中高二赵秋声男北京八中少儿班刘俊良男顺义一中高三汪梓超男北师大二附中高二潘嘉禾男北京市汇文中学高三于睿元男北京市十一学校高三李舳男育英中学高三王中天男北京市十一学校高三黄从舒男北京八十中高二邓祺男北京四中高二周之泰男八一中学高二王艾仪女北京四中高三高健翔男北师大良乡附中高三吴頔男北京四中高二郝天岳男北京十三中高二施歌男北京五中高二王存是男北京朝阳外国语学校高二彭铭燃男北京五中高三王子铭男北京十四中高三贺斌男北师大二附中高三张一舟男顺义一中高三孙雪萌女北师大附中高三王紫钰女延庆一中高三吴士林男北师大实验中学高三张芸迁男怀柔一中高二高志强男北师大实验中学高一冯雨晴女密云二中高三张云柯男人大附中早培十贾泽朗男牛栏山一中高三李泽昊男人大附中高三贾宏晨男牛栏山一中高三王宪盟男人大附中高二姜炳暄男首师大附属回龙观育新学校高三张雅雯女人大附中高二张宇男北京九中高三彭彬男人大附中高一腾立宝男北京九中高三杨怿飞男北京八中高三赵启航男怀柔一中高二陈天一男北京一七一中高二于悦女大兴一中高三武文浩男北京四中高二胡遂缘女延庆一中高三许恩畅男北师大二附中高二张佳昕男平谷中学高三。
关于公布北京交通大学
2014年“北京交通大学大学生数学竞赛”
获奖结果的通知
由北京交通大学大学生数学竞赛组委会主办、理学院承办的2014年“北京交通大学大学生数学竞赛”评审工作已经结束,经大赛评审专家组评审、组委会审定,大赛共有101名同学获奖,数学专业组共7名:其中一等奖1名;二等奖1名;三等奖5名;非数学专业甲组共94名:其中一等奖17名;二等奖31名;三等奖46名。
现将评审结果予以公布。
附件:2014年“北京交通大学大学生数学竞赛”获奖名单
北京交通大学
大学生数学竞赛组委会 2014年7月4日
附件:2014年“北京交通大学校级大学生数学竞赛”获奖名单
非数学专业组共94名:其中一等奖17名;二等奖31名;三等奖46名。