节能产品惠民工程高效电机推广实施细则
- 格式:doc
- 大小:456.50 KB
- 文档页数:20
附件:节能产品惠民工程高效节能单元式空气调节机和冷水机组推广实施细则一、推广产品范围及条件(一)推广产品为采用电机驱动压缩机的单元式空气调节机、风管送风式空调(热泵)机组和屋顶式空调机组(以下简称单元机)和冷水机组。
(二)申请高效节能单元机推广的产品必须满足以下要求:1.依据国家标准GB 19576-2004《单元式空气调节机能效限定值及能源效率等级》,产品能效达到2级及以上;2.额定制冷量小于等于7100瓦的定速风管送风式空调(热泵)机组,参照国家标准GB 19576-2004《单元式空气调节机能效限定值及能源效率等级》的能效测试方法和能效等级判定方法,产品能源效率须达到表1 中的要求;表1 能源效率等级指标能效等级(EER)(瓦/瓦)1级2级EER≥2.90 2.90>EER≥2.70 转速可控型空调(热泵)机组,参照国家标准GB 21455-2008《转速可控型房间空气调节器能效限定值及能源效率等级》的制冷量范围、能效测试方法和能效等级判定方法,产品能效达到2级及以上。
4.名义制冷量不大于100kW的冷水机组,依据国家标准GB 19577-2004《冷水机组能效限定值及能源效率等级》,产品能效达到2级及以上。
5.通过能效标识备案(不包括额定制冷量小于等于7100瓦的定速风管送风式空调(热泵)机组和转速可控型空调(热泵)机组);6.通过节能产品认证(不包括额定制冷量小于等于7100瓦的定速风管送风式空调(热泵)机组和转速可控型空调(热泵)机组);7. 通过国家认可的第三方机构能效检测;8.通过强制性产品认证(CCC)或取得生产许可证;9.在近三年内国家产品质量监督抽查和国家能效标识市场专项调查中,该品牌单元机和冷水机组产品无不合格。
二、推广企业条件(一)申请高效节能单元机和冷水机组推广的生产企业必须满足以下要求:1.为中国大陆境内注册的独立法人;2.年推广高效节能单元机数量不少于3万台(套),或额定制冷量大于14000瓦的高效节能单元机累计制冷量不少于3万千瓦;年推广高效节能冷水机组数量不少于1000台(套),或高效节能冷水机组累计制冷量不少于2万千瓦;3.拥有所申请推广产品的自主品牌或品牌合法使用权,同一品牌只能由一家生产企业申请推广;4.具有完善的销售网络和产品销售、安装及用户信息管理系统;5.拥有完善的质量管理体系和环境管理体系;(二)纳入推广企业销售网络的流通企业和销售网点必须满足以下要求:1.为中国大陆境内注册的独立法人;2.具有完善的财务管理制度,会计核算规范;3.具有向消费者及时兑付补助资金的能力;4.能够有效收集、管理推广产品销售信息。
节能设计方案\目录一、企业电机能效提升项目介绍 (3)1、电机能效提升计划政策背景 (3)2、电机能效提升的相关政策文件 (4)二、高效电机简介 (4)三、高效电机节能设计方案 (6)1、项目概况 (6)2、电机改造方案设计 (6)3、节能效益分析 (6)4、投资回收期 (8)一、企业电机能效提升项目介绍1、电机能效提升计划政策背景为贯彻落实工信部、质检总局《电机能效提升计划(2013-2015 年)》(工信部联节〔2013〕226 号),加快推进工业节能降耗,促进工业转型升级和绿色发展,全面提升我省电机能效水平,帮助企业快淘汰低效电机,节能降耗。
推广高效电机:加强政策引导和能评审查,加强电机能效标识备案管理,确保新增电机产品全部达到高效电机能效标准,引导现有电机企业逐步转型生产高效电机。
淘汰低效电机:充分运用行政、市场、经济等手段,推动落后低效电机逐步退出应用市场。
实施电机系统节能技术改造:引导支持企业优先选用高效电机替换低效电机,采用先进技术对电机与拖动设备进行匹配性改造。
省安排专项资金采取以奖代补方式支持,按100 元/千瓦的补贴标准,鼓励各地安排资金配套,佛山按50 元/千瓦配套补贴,对采用合同能源管理模式开展电机系统节能改造,由节能服务公司申领改造补贴。
获得电机系统节能改造补贴的企业,不影响其申请和享受国家和省其他节能资金项目。
更换后的低压电机必须符合GB18613-2012标准的能效等级2级及以上高效电机。
更换后的高压三相异步电机效率保证值不得低于《节能产品惠民工程高效电机推广实施方案》(财建【2010】232号)规定指标。
2、电机能效提升的相关政策文件➢《工业和信息化部国家质量监督检验检疫局关于组织实施电机能效提升计划(2013-2015 年)的通知》;➢《广东省电机能效补贴实施细则》(粤财工〔2013〕389号);➢《GB18613-2006中小型三相异步电动机能效限定值及能效等级》;➢《GB18613-2012中小型三相异步电动机能效限定值及能效等级》;➢《粤经信节能函〔2014〕314号_关于开展电机能效提升计划实施情况专项监察的通知》;➢《广东省经济和信息化委关于印发2014年广东省节能监察计划的通知广东省经济和信息化委员会》;➢《佛价〔2014〕20号佛山市物价局佛山市经济和信息化局转发省物价局省经济和信息化委关于公布第五批实行惩罚性电价超能耗限额标准企业的通知》;➢《粤经信节能函〔2014〕482号_广东省经济和信息化委关于公布2014年重点电机使用企业专项监察名单的通知》;➢其它有关国家和行业相关技术标准、规范。
论节能产品惠民工程高效电机推广实施细则随着现代工业的迅速发展,电动机的使用量也在不断增加,因此电动机的节能和高效成为了现代社会发展的重要课题。
为了推广节能产品和实施惠民工程,我们需要制定一系列的细则,以确保高效电机的推广落地。
本文将从以下几个方面进行探讨。
首先,我们需要建立一个健全的法律法规体系,以支持高效电机的推广。
政府应加大对高效电机的研制和生产的扶持力度,鼓励企业生产高效电机,并确保产品质量符合相关标准。
同时,要加强对市场上低效电机的监管,对不符合节能标准的电机予以淘汰或处罚。
此外,还可以出台相关的财政政策,为购买高效电机的用户提供一定的补贴或奖励,进一步推动高效电机的普及。
其次,我们需要加大对高效电机的宣传力度,提高用户的认知度。
通过多种途径,如电视、广播、报刊、网络等,向公众普及高效电机的优势和重要性,使更多的人了解和购买高效电机。
同时,要加强对用户的培训,提高其使用高效电机的技能和意识,以最大限度地发挥高效电机的节能效果。
此外,我们还可以推行以节能为目标的惠民工程,通过政府采购等方式来推广高效电机的使用。
政府在进行各类工程建设时,应优先选择使用高效电机,同时为企业提供一定的支持和激励措施,鼓励其积极参与投标。
通过政府的示范作用和扶持措施,引导更多的企业和个人使用高效电机,进而推动整个市场向高效、节能方向发展。
最后,我们还可以加大对高效电机的研发力度,不断提升电机的效能。
通过研发新技术和新材料,不断降低电机的能耗,提高其效率。
同时,加强对高效电机技术的推广和转化,鼓励企业投入更多的资金和人力资源进行研发。
只有不断提升电机的节能和高效性能,才能更好地推广和普及高效电机。
综上所述,要想推广和实施高效电机的惠民工程,我们需要建立健全的法律法规体系,加大宣传力度,推行以节能为目标的惠民工程,加大研发力度等一系列措施。
只有这样,才能在节能减排的大背景下,更好地推动高效电机的推广和普及,为实现可持续发展做出积极贡献。
高效节能电机技术推广项目计划书一、项目背景随着全球能源消耗的不断增长和环境问题的日益严峻,节能已成为当今世界发展的重要课题。
电机作为工业领域中广泛应用的设备,其耗电量占据了工业总用电量的相当大比例。
因此,推广高效节能电机技术对于降低能源消耗、减少环境污染、提高企业经济效益具有重要意义。
二、项目目标本项目的主要目标是在具体时间段内,将高效节能电机技术在目标市场或行业中得到广泛应用,实现以下具体目标:1、提高高效节能电机的市场占有率,使其在目标市场或行业中的份额达到X%。
2、帮助企业降低电机能耗,平均节能率达到X%以上。
3、减少二氧化碳等温室气体排放,为环境保护做出积极贡献。
三、项目内容1、技术研发与创新投入资金用于高效节能电机的技术研发,提高电机的效率和性能。
与科研机构合作,共同攻克关键技术难题,如优化电机设计、改进制造工艺等。
2、产品推广与宣传举办产品推广活动,向潜在客户展示高效节能电机的优势和应用案例。
利用网络、媒体等渠道进行广泛宣传,提高产品知名度。
3、技术培训与服务为客户提供技术培训,帮助其了解高效节能电机的工作原理、安装调试和维护方法。
建立完善的售后服务体系,及时解决客户在使用过程中遇到的问题。
4、合作与联盟与电机制造商、供应商建立合作伙伴关系,共同推广高效节能电机技术。
参与行业协会和组织,加强与同行的交流与合作。
四、项目实施步骤1、第一阶段(具体时间段 1)完成市场调研,了解目标市场需求和竞争态势。
确定技术研发方向和合作机构。
2、第二阶段(具体时间段 2)开展技术研发工作,取得阶段性成果。
制定产品推广和宣传方案。
3、第三阶段(具体时间段 3)生产出首批高效节能电机产品,并进行试点应用。
组织技术培训活动。
4、第四阶段(具体时间段 4)对试点应用效果进行评估和总结。
扩大产品生产规模,全面推向市场。
5、第五阶段(具体时间段 5)跟踪客户使用情况,不断改进产品和服务。
评估项目目标的达成情况。
五、项目预算本项目预算主要包括以下几个方面:1、技术研发费用:X万元用于购买实验设备、材料,支付研发人员工资等。
(产品管理)节能产品惠民工程高效中小型三相异步电动机产品推广实施细则附件:节能产品惠民工程高效电机推广实施细则壹、推广产品范围(壹)额定功率为0.55千瓦(含)—315千瓦(含),额定电压为690伏及以下的低压三相异步电动机(以下简称低压三相异步电机)。
(二)额定功率为355千瓦(含)—25000千瓦(含),额定电压为6000伏或10000伏的高压三相异步电动机(以下简称高压三相异步电机)。
(三)额定功率为0.55千瓦(含)—315千瓦(含),额定电压为690伏及以下的稀土永磁三相同步电动机(以下简称稀土永磁电机)。
二、推广产品及企业条件(壹)申请推广的高效电机须满足以下要求:1.于中国大陆境内生产和使用。
2.低压三相异步电机效率达到国家标准GB18613《中小型三相异步电动机能效限定值及能效等级》现行版本中能效等级2级及之上水平,产品通过能效标识备案和“节”字标志节能产品认证。
3.高压三相异步电机效率保证值不低于规定指标(具体要求见附件1)。
4.同壹品牌只能由壹家生产企业申请推广,且于近三年内国家产品质量监督抽查和能效标识市场专项检查中,该品牌的电机产品无不合格记录。
(二)申请推广高效电机的生产企业须满足以下要求:1.具有完备的产品销售及用户信息管理系统,销售的高效电机能追溯到最终用户。
2.低压三相异步电机和高压三相异步电机年推广量不少于30万千瓦,或稀土永磁电机年推广量不少于1万千瓦。
三、推广补贴标准高效电机推广财政补贴标准具体为:产品类型,额定功率(千瓦),补贴标准(元/千瓦),,1级,2级低压三相异步电机,0.55≤额定功率≤22,40,35,22<额定功率≤315,20,15高压三相异步电机,355≤额定功率≤25000,12稀土永磁电机,0.55≤额定功率≤22,60,22<额定功率≤315,40四、推广资格申请和确定申请高效电机推广的生产企业,将高效电机推广申请方案(包括申请书、企业基本情况、推广产品信息、推广方案等内容及电子版本,具体格式见附件2)及下列材料逐级上报,经省级节能主管部门、财政部门审核后,报国家发展改革委、财政部。
节能产品惠民工程高效电机推广实施细则节能产品惠民公司内部档案编码:[OPPTR-OPPT28-OPPTL98-OPPNN08]附件:节能产品惠民工程高效电机推广实施细则一、推广产品范围(一)额定功率为千瓦(含)—315千瓦(含),额定电压为690伏及以下的低压三相异步电动机(以下简称低压三相异步电机)。
(二)额定功率为355千瓦(含)—25000千瓦(含),额定电压为6000伏或10000伏的高压三相异步电动机(以下简称高压三相异步电机)。
(三)额定功率为千瓦(含)—315千瓦(含),额定电压为690伏及以下的稀土永磁三相同步电动机(以下简称稀土永磁电机)。
二、推广产品及企业条件(一)申请推广的高效电机须满足以下要求:1.在中国大陆境内生产和使用。
2.低压三相异步电机效率达到国家标准GB18613《中小型三相异步电动机能效限定值及能效等级》现行版本中能效等级2级及以上水平,产品通过能效标识备案和“节”字标志节能产品认证。
3.高压三相异步电机效率保证值不低于规定指标(具体要求见附件1)。
4.同一品牌只能由一家生产企业申请推广,且在近三年内国家产品质量监督抽查和能效标识市场专项检查中,该品牌的电机产品无不合格记录。
(二)申请推广高效电机的生产企业须满足以下要求:1.具有完备的产品销售及用户信息管理系统,销售的高效电机能追溯到最终用户。
2.低压三相异步电机和高压三相异步电机年推广量不少于30万千瓦,或稀土永磁电机年推广量不少于1万千瓦。
三、推广补贴标准高效电机推广财政补贴标准具体为:申请高效电机推广的生产企业,将高效电机推广申请报告(包括申请书、企业基本情况、推广产品信息、推广方案等内容及电子版本,具体格式见附件2)及下列材料逐级上报,经省级节能主管部门、财政部门审核后,报国家发展改革委、财政部。
(一)营业执照和税务登记证(复印件加盖公章);(二)推广产品“节”字标志节能产品认证证书和能效标识备案证明(仅限于低压三相异步电机);(三)推广产品能效检测报告;(四)商标注册证明及授权书;(五)银行出具的资信证明;(六)其他相关材料。
财政部、国家发展改革委、工业和信息化部关于印发《节能产品惠民工程高效节能通风机推广实施细则》的通知文章属性•【制定机关】工业和信息化部,财政部•【公布日期】2012.11.06•【文号】财建[2012]852号•【施行日期】2012.11.06•【效力等级】部门规范性文件•【时效性】失效•【主题分类】节能管理正文财政部、国家发展改革委、工业和信息化部关于印发《节能产品惠民工程高效节能通风机推广实施细则》的通知(财建〔2012〕852号)各省、自治区、直辖市、计划单列市财政厅(局)、发展改革委、工业和信息化主管部门,新疆生产建设兵团财务局、发展改革委、工业和信息化主管部门:为促进节能家电等产品消费,经国务院同意,根据《财政部国家发展改革委关于开展节能产品惠民工程的通知》(财建〔2009〕213号)规定,我们制定了《节能产品惠民工程高效节能通风机推广实施细则》,现印发给你们,请遵照执行。
附件:节能产品惠民工程高效节能通风机推广实施细则财政部国家发展改革委工业和信息化部2012年11月6日附件:节能产品惠民工程高效节能通风机推广实施细则一、推广产品范围及条件(一)推广产品为能效2级及以上,一般用途的离心式和轴流式通风机、工业蒸汽锅炉用离心引风机、电站锅炉离心送风机和引风机、电站轴流式通风机、空调离心式通风机(以下简称风机)。
(二)申请高效节能风机推广的产品必须满足以下要求1.依据GB 19761《通风机能效限定值及能效等级》现行有效版本,风机能效为2级及以上;2.通过国家认可的第三方机构能效检测和节能产品认证(进入第一批推广目录的产品应在目录公布后三个月内通过节能认证);3.通过能效标识备案;4.在中国大陆境内生产和使用;5.近三年内国家产品质量监督抽查中,该品牌产品无不合格。
(三)高效节能风机的配套电机应优先选择能效等级2级及以上的高效节能电机。
二、推广企业条件申请高效节能风机推广的生产企业必须满足以下条件:1.为中国大陆境内注册的独立法人;2.年推广高效节能风机配套电机功率不少于2万kW或年推广高效节能通风机销售额超过1500万元;3.拥有所申请推广产品的自主品牌或品牌合法使用权,同一品牌只能由一家生产企业申请推广;4.具有完善的销售网络和产品销售、安装、售后服务及用户信息管理系统;5.具备完善的质量管理体系和环境管理体系。
2024年五类节能家电补贴细则范文出台财政部、国家发展改革委、工业和信息化部日前正式下发节能产品惠民工程高效节能家用电冰箱、洗衣机、热水器的推广实施细则。
加上此前印发的高效节能平板电视和空调的推广实施细则,空调、平板电视、电冰箱、洗衣机和热水器等五大类节能家电产品推广实施细则已全部印发。
财政部表示,目前,推广产品目录和销售网点等信息正在根据企业申报与审核情况陆续发布,消费者领取补贴的具体程序也已明确,这标志着节能家电推广工作进入了全面实施阶段。
财政部、国家发展改革委、工业和信息化部三部门在实施细则中明确,将采取财政补贴方式,支持高效节能家用电冰箱、电动洗衣机和热水器的推广使用。
推广期限暂定为____年____月____日至____年____月____日。
实施细则指出,企业是推广节能产品的责任主体。
消费者在购买产品时需提供本人____复印件,填写节能产品惠民工程补贴确认单后,由推广企业及时将补贴资金兑付给消费者,并与中央财政据实进行清算。
补贴资金属于价外补贴,推广企业需按产品的实际销售价格(即补贴前价格)开具销____。
核心提示。
财政部、国家发展改革委、工业和信息化部日前正式下发节能产品惠民工程高效节能家用电冰箱、洗衣机、热水器的推广实施细则。
实施细则指出,企业是推广节能产品的责任主体。
消费者在购买产品时需提供本人____复印件,填写节能产品惠民工程补贴确认单后,由推广企业及时将补贴资金兑付给消费者,并与中央财政据实进行清算。
补贴资金属于价外补贴,推广企业需按产品的实际销售价格(即补贴前价格)开具销____。
节能电冰箱、洗衣机、热水器推广实施细则出台为促进节能家电等产品的消费,近日,财政部、国家发展改革委、工业和信息化部下发了节能产品惠民工程高效节能家用电冰箱、洗衣机、热水器的推广实施细则(以下简称实施细则),明确采取财政补贴方式,支持高效节能家用电冰箱、电动洗衣机和热水器的推广使用。
实施细则规定,支持推广的高效节能家用电冰箱为能效1级的电机驱动压缩式家用电冰箱。
能产品惠民工程高效电机推广实施细则.doc能源产品惠民工程高效电机推广实施细则一、总则1.1 目的为响应国家节能减排政策,推广高效节能电机,提升能源利用效率,特制定本实施细则。
1.2 范围本细则适用于全国范围内的能源产品惠民工程,特别是高效电机的推广使用。
1.3 原则坚持“政府引导、市场运作、企业主体、社会参与”的原则,确保高效电机推广工作顺利进行。
二、组织机构与职责2.1 组织机构成立高效电机推广领导小组,由能源管理部门、工业和信息化部门、市场监管部门等组成。
2.2 职责能源管理部门:负责政策制定、项目审批和监督实施。
工业和信息化部门:负责技术支持和行业指导。
市场监管部门:负责市场监管,确保产品质量和公平竞争。
三、推广策略3.1 政策支持提供财政补贴,鼓励企业和个人购买高效电机。
实施税收优惠政策,降低高效电机的生产和使用成本。
3.2 技术研发鼓励企业加大研发投入,提升高效电机技术水平。
支持产学研合作,促进高效电机技术的创新和应用。
3.3 市场推广开展高效电机宣传推广活动,提高公众认知度。
建立高效电机示范项目,展示节能效果。
3.4 质量监管建立高效电机质量标准体系,确保产品性能。
加强市场监管,打击假冒伪劣产品。
四、实施步骤4.1 调研分析对现有电机市场进行调研,分析高效电机推广的可行性。
4.2 制定计划根据调研结果,制定高效电机推广的具体计划。
4.3 实施推广按照计划,逐步推广高效电机的使用。
4.4 监督评估定期对推广效果进行监督和评估,确保推广目标的实现。
五、保障措施5.1 资金保障确保推广活动所需的财政资金及时到位。
5.2 技术支持建立高效电机技术服务平台,提供技术咨询和支持。
5.3 人才培训开展高效电机相关技术和管理人才的培训。
5.4 信息共享建立高效电机推广信息共享机制,促进信息交流。
六、法律责任6.1 违反规定的处罚对违反高效电机推广相关规定的个人或企业,依法进行处罚。
6.2 责任追究对因管理不善导致推广工作受阻的,将追究相关责任人的责任。
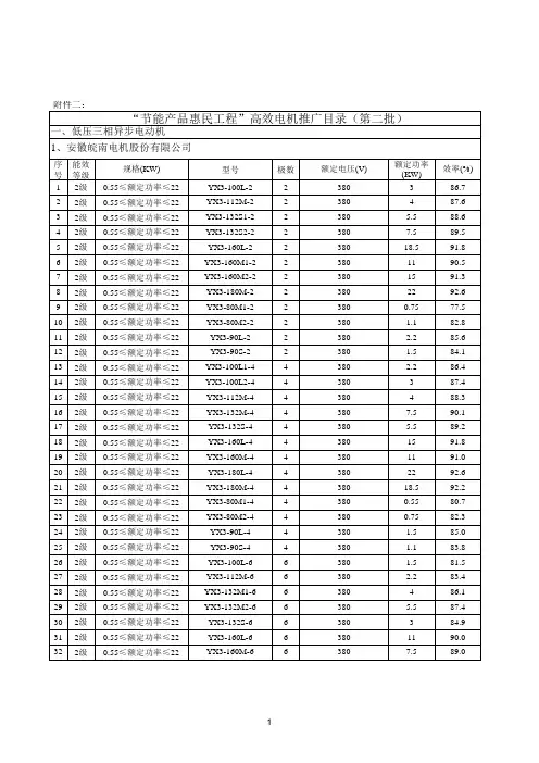
国家发展改革委、财政部公告2012年第4号――“节能产品惠民工程”高效电机推广目录(第四批)
【法规类别】节能管理
【发文字号】国家发展改革委、财政部公告2012年第4号
【发布部门】国家发展和改革委员会(含原国家发展计划委员会、原国家计划委员会)财政部【发布日期】2012.03.21
【实施日期】2012.03.21
【时效性】现行有效
【效力级别】XE0303
国家发展改革委、财政部公告
(2012年第4号)
根据《财政部国家发展改革委关于开展“节能产品惠民工程”的通知》(财建[2009]213号)和《财政部国家发展改革委关于印发“节能产品惠民工程”高效电机推广实施细则的通知》(财建[2010]232号)的要求,国家发展改革委、财政部组织对各地上报的高效电机推广申请报告及相关材料进行了审核。
现将“节能产品惠民工程”高效电机推广目录(第四批)予以公告,推广目录在国家发展改革委网站()和财政部网站()上发布,请有关部门、单位及企业到上述网站查阅、下载。
附件:一、“节能产品惠民工程”高效电机推广目录(第四批)入围企业
二、“节能产品惠民工程”高效电机推广目录(第四批,请到有关网站查阅、下载)
(略)
国家发展改革委
财政部
二〇一二年三月二十一日附件一:“节能产品惠民工程”高效电机推广目录(第四批)入围企业。
节能新规出台高效电机生产企业获补贴近日,记者从财政部获悉,财政部、国家发改委近日联合出台通知,将高效电机纳入节能产品惠民工程实施范围,采取财政补贴方式进行推广。
业内专家认为,此次补贴将从实质上推广节能电机。
据了解,我国电机系统总容量约7亿千瓦,但高效电机市场不足3%,电机拖动系统拖动整体运行效率比发达国家低20%。
此次国家补贴政策所涉及的电机范围主要应用于民用市场,此次补贴影响将很大。
规定细则据了解,此次下发的《关于印发节能产品惠民工程高效电机推广实施细则的通知》规定,对能效等级为一级和二级、额定功率为0.55千瓦(含)至315千瓦(含)的低压三相异步电机给予每千瓦15~40元补贴;对损耗比现行准入标准低20%、额定功率为355千瓦(含)至25000千瓦(含)的高压三相异步电机给予每千瓦12元补贴;对额定功率为0.55千瓦(含)至315千瓦(含)的稀土永磁电机给予每千瓦40~60元补贴。
通知明确提出,生产企业是高效电机推广的主体,中央财政将补贴资金拨付给高效电机生产企业,由生产企业按补贴后的价格销售给水泵、风机等成套设备制造企业。
同时,要求申请推广企业的低压三相异步电机和高压三相异步电机年推广量不少于30万千瓦,或稀土永磁电机年推广量不少于1万千瓦。
执行细则有待完善中国电器工业协会中小型电机分会综合信息部部长曹莉敏告诉记者,去年开始协会参与了该规定的制定工作,细则经过一年的酝酿后公布。
记者了解到,目前大部分电机生产企业还不清楚该通知的细则,没有动手进行申请工作,但企业相关人员得知电机补贴的消息,都表现出很大的兴趣,纷纷表示将着手该工作。
有些企业看到该通知的细则后提出了一些问题。
通知中,要求申请推广企业在国内低压三相异步电机和高压三相异步电机年推广量不少于30万千瓦,或稀土永磁电机年推广量不少于1万千瓦。
针对该条件,有企业反映,在国内的推广量比较难提供。
因为,电机销售渠道比较多,其中终端用户占5%,代理商约占15%,下游产业的机械设备配套商占80%。
惠城区电机能效提高补助实行细则根据《广东省电机能效提高(-)及注塑机节能改造工作实行方案》(粤经信节能函〔〕3016号)、《广东省电机能效提高补助实行细则》(粤财工〔〕389号)、《惠州市电机能效提高(-)及注塑机节能改造工作实行方案》(惠市经信〔〕626号)、《有关印发惠州市电机能效提高补助实行细则旳告知》(惠材工{}16号)、《有关印发惠城区电机能效提高(-)及注塑机节能改造工作实行方案旳告知》(惠城节能减办[]2号)规定,区财政计划从至区节能专题资金中每年安排50万元资金支持电机能效提高计划。
为规范和加强电机能效提高计划补助资金(如下简称电机能效补助资金)管理,提高资金使用效率,特制定本实行细则。
一、补助范围及条件(一)补助范围分为更换高效电机和实行电机系统节能技术改造两种状况,且必须满足如下条件:1、被淘汰旳电机原则上应属于工业和信息化部《在用低效电机淘汰路线图》中明确淘汰旳在用电机,鼓励企业超前淘汰在用低效电机,更换旳高效电机必须向具有有关资质旳电机生产企业采购。
2、更换后旳低压电机必须为符合GB18613-原则旳能效等级2级及以上高效电机。
3、更换后旳高压三相异步电机效率保证值不得低于《节能产品惠民工程高效电机推广实行细则》(财建〔〕232号)规定指标。
4、电机系统节能改造是指应用变频调速、伺服技术、变极调速、相控调压、电机与拖动设备优化(如直线电机替代旋转电机等)、运行工况匹配(如小功率电机替代大功率电机等)对电力、冶金、石油、化工、机械、建材、食品、轻纺、造纸、制药、塑料等行业旳风机、压缩机、注塑机、泵等设备进行改造。
5、开展电机系统节能改造旳电机不得为工业和信息化部《在用低效电机淘汰路线图》中明确淘汰旳电机。
(二)项目竣工时间需在6月10日之后。
其中,更换高效电机竣工时间以电机销售发票时间为准,采用协议能源管理模式进行改造旳电机或电机系统改造竣工时间按照节能服务协议中规定期间,结合项目验收时间确定。
节能产品惠民工程高效电机推广实施细则
一、推广产品范围
(一)额定功率为0.55千瓦(含)—315千瓦(含),额定电压为690伏及以下的低压三相异步电动机(以下简称低压三相异步电机)。
(二)额定功率为355千瓦(含)—25000千瓦(含),额定电压为6000伏或10000伏的高压三相异步电动机(以下简称高压三相异步电机)。
(三)额定功率为0.55千瓦(含)—315千瓦(含),额定电压为690伏及以下的稀土永磁三相同步电动机(以下简称稀土永磁电机)。
二、推广产品及企业条件
(一)申请推广的高效电机须满足以下要求:
1.在中国大陆境内生产和使用。
2.低压三相异步电机效率达到国家标准GB18613《中小型三相异步电动机能效限定值及能效等级》现行版本中能效等级2
级及以上水平,产品通过能效标识备案和“节”字标志节能产品认证。
3.高压三相异步电机效率保证值不低于规定指标(具体要求见附件1)。
4.同一品牌只能由一家生产企业申请推广,且在近三年内国家产品质量监督抽查和能效标识市场专项检查中,该品牌的电机产品无不合格记录。
(二)申请推广高效电机的生产企业须满足以下要求:
1.具有完备的产品销售及用户信息管理系统,销售的高效电机能追溯到最终用户。
2.低压三相异步电机和高压三相异步电机年推广量不少于30万千瓦,或稀土永磁电机年推广量不少于1万千瓦。
三、推广补贴标准
高效电机推广财政补贴标准具体为:
四、推广资格申请和确定
申请高效电机推广的生产企业,将高效电机推广申请报告(包括申请书、企业基本情况、推广产品信息、推广方案等内容及电子版本,具体格式见附件2)及下列材料逐级上报,经省级节能主管部门、财政部门审核后,报国家发展改革委、财政部。
(一)营业执照和税务登记证(复印件加盖公章);
(二)推广产品“节”字标志节能产品认证证书和能效标识备案证明(仅限于低压三相异步电机);
(三)推广产品能效检测报告;
(四)商标注册证明及授权书;
(五)银行出具的资信证明;
(六)其他相关材料。
国家发展改革委、财政部对上报材料进行审核,并公告推广产品目录。
五、补贴资金申请和拨付
(一)推广企业将推广信息及时录入“节能产品惠民工程”信息管理系统,于月度终了后10日内上报财政部(具体格式见附件3)。
(二)地方财政部门、节能主管部门通过“节能产品惠民工程”信息管理系统对本地区产品推广情况进行审核。
(三)财政部根据推广企业月度推广情况,预拨补贴资金。
(四)年度终了后30日内,推广企业提出年度补贴资金清算报告,逐级上报财政部。
(五)财政部根据地方财政部门、节能主管部门审核结果和专项核查情况进行补贴资金清算。
六、其他要求
(一)推广企业在推广产品的本体和包装上按要求加施“节能产品惠民工程”标识和字样(样式见附件4)。
(二)推广企业须在销售合同中写明推广产品的效率,注明推广产品不得用于出口。
(三)推广企业违反相关规定的,按照《高效节能产品推广财政补助资金管理暂行办法》(财建[2009]213号)进行处理。
附件:1. 高效高压三相异步电机效率保证值
2. 节能产品惠民工程高效电机推广申请报告
3. 节能产品惠民工程高效电机月度推广情况表
4. 节能产品惠民工程高效电机标识内容和样式
附件1:
高效高压三相异步电机(额定电压10000伏)效率保证值
节能产品惠民工程
高效电机推广申请报告企业名称:(盖公章)
企业所在地:省市编制日期年月
根据《财政部国家发展改革委关于开展“节能产品惠民工程”的通知》(财建[2009]213号)和《节能产品惠民工程高效电机推广实施细则》的相关规定,**************(申请企业名称)提出高效电机推广申请,提交下述文件正本一份,副本二份,电子版本二份(光盘):
一、企业基本情况介绍
二、推广产品基本情况
三、推广网络信息汇总
四、推广方案
五、相关证明材料
1、营业执照
2、推广产品能效标识备案证明和“节”字标志节能产品认证证书(仅限于低压三相异步电机)
3、推广产品能效检测报告
4、注册商标证明及授权书
5、银行出具的资信证明
并宣布同意如下:
1.将按相关文件的规定履行责任和义务;
2.已详细审查全部申请材料,并保证材料的真实性;
3.生产企业同意提供与本申请相关的其他材料。
法定代表人签章:日期:
企业基本情况介绍(一)企业基本情况表
企业基本情况介绍(二)企业基本能力
推广产品基本情况
推广网络信息汇总
推广方案
附件3:
节能产品惠民工程高效电机月度推广情况表(一)
节能产品惠民工程高效电机月度推广情况表(二)年月
附件4:节能产品惠民工程高效电机标识内容和样式
所有推广产品,在市场上销售时均应粘贴专门的标识。
标识按以下要求统一印制。
一、标识的内容与样式
标识的样式如下图所示:
(一)标识的内容
1.“节能产品惠民工程”
2.“高效电机企业名称(或简称)(如北京毕捷)型号
3.“政府补助金额:XXX 元/千瓦”
(二)标识的样式
1.基准字体
“节能产品惠民工程”:字体SimHei、字号20,对中;
“高效电机”:字体SimHe,字号12;
“企业名称(或简称)型号”:字体SimSun、字号7;
“政府补助金额:”字体SimHei,字号9,
“XXX 元/千瓦”:字体SimSun,字号9.。
2. 基准尺寸:
标识整体尺寸:66mm(宽)×66mm(高);
边框尺寸:左1.5 mm、右1.5 mm、上1.5 mm、下3.0mm。
3.颜色
边框、中心图案:绿色
其余部分:白色
二、标识的制作
1.标识由生产企业按规定的样式和内容自行印制,并对印制的质量负责。
2.粘贴在产品本体上的标识的图案、文字内容和颜色不得进行更改,标识尺寸、字体
大小可根据产品体积等比例放大或缩小,但应保证标识内容清晰可辨。
3.使用在产品说明书、外包装物以及宣传中的标识可单色印刷。
三、标识的粘贴
1.标识应采用不干胶方式粘贴。
2.享受财政补助的高效电机均应粘贴标识。
3.标识应粘贴在电机产品铭牌旁明显部位。