浙江传媒学院专业要求及考核录取方式- 英语专业
- 格式:doc
- 大小:17.50 KB
- 文档页数:2
2019年浙江传媒学院招生计划录取人数及招生专业目录(文科理科)浙江传媒学院招生计划录取人数及招生专业目录(文科理科)2019年浙江传媒学院招生计划录取人数及招生专业目录(文科理科)选择可以说在很大程度上影响着考生后半生的生活方向和轨迹,很多考生因为高考填志愿时没有足够重视,要么浪费了不少分数;要么学了不喜欢的专业,在大学里感觉“痛不欲生”。
俗话说“七分考,三分报”,正是说明志愿填报的重要性。
那么如何填报志愿,填报志愿时选大学应主要考虑哪些指标?其中一个重要指标就是大学招生计划人数和招生专业。
今日将带你一起了解关于浙江传媒学院招生计划和招生人数、浙江传媒学院招生专业目录等相关知识。
注:2019年浙江传媒学院招生专业和招生计划人数截至发稿前官方暂未公布,所以小编先整理了2018年浙江传媒学院的招生计划专业的信息。
考生务必以官方发布的信息为准,本文只作参考!2018年浙江传媒学院招生计划人数和招生专业在浙江招生计划专业名称计划类型层次科类计划数文化产业管理非定向本科文史14广播电视学非定向本科文史12编辑出版学非定向本科文史8经济学非定向本科文史3会展经济与管理非定向本科文史14中国语言文学类(汉语言文学及涉外文秘方向、汉语国际教育、秘书学)非定向本科文史30新闻学非定向本科文史12公共关系学非定向本科文史7传播学非定向本科文史9英语非定向本科文史17广告学非定向本科文史11网络与新媒体非定向本科文史12数字出版非定向本科文史8电子信息工程非定向本科理工19广播电视工程非定向本科理工34传播学非定向本科理工5英语非定向本科理工5网络工程非定向本科理工17经济学非定向本科理工8新闻学非定向本科理工8信息管理与信息系统非定向本科理工18网络与新媒体非定向本科理工8广告学非定向本科理工9数字出版非定向本科理工5广播电视学非定向本科理工9编辑出版学非定向本科理工3电子科学与技术非定向本科理工18公共关系学非定向本科理工3数字媒体技术非定向本科理工33会展经济与管理非定向本科理工10文化产业管理非定向本科理工11通信工程非定向本科理工18。
浙江传媒学院各省录取分数线2022年
注:以上信息****于网络,仅供参考!
浙江传媒学院宿舍条件如何
下沙校区生活区共有27幢公寓楼,生活设施齐全,配有空调、洗衣机、烘干机、挂烫机、饮水机等电器。
桐乡校区现有11幢学生公寓楼,空调、洗衣机、烘干机、挂烫机、饮水机等电器一应俱全。
每间宿舍均有饮水机,学生可自行联系送水。
两校区宿舍的配置基本一致,四人间,空调、电扇和饮水机一应俱全,都有独立卫浴和独立阳台。
下沙校区生活区1号楼和12~21号楼为上床下桌,其余的下沙校区宿舍楼和桐乡校区大部分宿舍一样,均为一边床一边桌。
桐乡校区9号楼的部分宿舍和10号楼为上床下桌的四人间宿舍。
学校学生住宿实行公寓管理,根据浙江省物价统一核定,学校住宿费每人每学年1600元。
(如有变动,按新的标准执行)。
浙传提前批录取规则浙江传媒学院提前批录取规则从多个方面综合评价学生的能力,全面、公正地选拔出优秀的学生。
以下为大家详细介绍浙传提前批录取规则。
首先,浙传提前批录取规则注重学生的综合素质评价。
学校并不只看重高考成绩,而是通过综合考评来判断一个学生的实际能力。
除了高考成绩外,学生的学科竞赛获奖情况、科研成果、社会工作经历、艺术特长等都会被纳入考虑范围,以全面评价学生的能力。
其次,浙传提前批录取规则注重学生的特长选拔。
学校鼓励学生发展特长,因此特长考试也成为录取规则的重要一环。
浙传在艺术、体育、科技等领域设立真实、公正的特长测试,通过对学生特长的评估,选拔具有发展潜力的学生进入学校。
再次,浙传提前批录取规则注重学生的综合素质培养。
学校在录取时会综合考虑学生的学习能力、思维品质、团队合作能力等方面的评估。
通过这样的评估方式,学校希望选拔到具有全面素质的学生,为他们提供更好的培养环境,让他们能够全面发展,成为有理想、有能力、有担当的新时代青年。
最后,浙传提前批录取规则注重学生的社会责任感。
学校希望选拔到有社会责任感的学生,通过考察学生的社会实践经历、志愿服务等方面来评估学生的社会责任意识。
这样的录取规则激励着学生在成长过程中不仅要注重个人能力的培养,还要关心社会问题,承担起社会责任,为社会的进步贡献力量。
总之,浙江传媒学院提前批录取规则是一个既注重学术能力,又注重综合素质的选拔机制。
学校通过科学的评估方式,综合评价学生的能力,选拔出具有全面素质、发展潜力和社会责任感的优秀学生。
这样的录取规则为学生提供了一个充分发展的平台,也为学校培养了一批优秀人才。
希望各位考生能够通过努力,成为浙传提前批录取的一员,为自己的人生道路奠定坚实的基础。
影视摄影与制作(电视节目制作)专业要求及考核录取方式一、专业要求本专业学生需要具有扎实的,涵盖影视节目制作、数字艺术设计以及新媒体制作方面的基本知识、基本理论和基本技能,尤其是要掌握数字影视剪辑、三维制作、后期合成等方面的专业技能;熟悉我国的文艺方针、政策和法规;具备专业创作能力和动手能力,特别是影视短片的导演能力和影视后期创作能力以及视频节目的特技合成包装能力。
二、专业核心课程要补修核心课程(“*”号标注的为第一学年的专业核心课程)电视节目制作技术*、高清节目制作、非线性编辑*、电视剪辑、电视导播、摄影技术与技巧*、电视摄像基础、影视造型与创作、影视特技合成、录音艺术、数字短片创作等。
三、学生申请条件1. 符合学校《浙江传媒学院学生转专业和转学管理办法》规定的全日制本科学生;2.大一期间无不及格重修课程、无受学院及以上违纪违规通报批评(含缺旷课通报)及以上处分。
四、考核方式及流程1.时间安排:第二学期,申请转专业学生所在学院进行转专业初审通过后,根据学校统一安排时间进行。
2.专业综合测试采取笔试和面试相结合的方式,先进行笔试,由学院根据影视摄影与制作(电视节目制作)专业人才培养方案要求统一组织命题、阅卷、打分,试卷采取闭卷方式,从高分到低分按1:1.5的比例筛选出考生进入面试。
3.根据综合成绩(笔试成绩占70%,面试成绩占30%)打分,成绩60分以上(含60分)为专业合格。
五、录取原则1.专业考核合格的同学。
2.分两批次开展转专业录取工作,第一批次录取对象为在原专业中排名百分比为前30%的学生,第二批转专业录取对象为其他所有学生。
同一批次的以转专业考核情况为录取依据,同等条件下有影视摄影与制作(电视节目制作)专业艺术类专业招生考试校考合格证或省统考合格证(摄制类合格证)者优先,同时参考当年的高考分数及原专业成绩。
3.报名人数小于或者等于可接纳人数时,按比例缩减录取人数。
六、转入学生的后续安排1. 学习安排转入学生将根据新专业进行修读,原专业中不合格课程仍需要重修完成学分。
2022年浙江传媒学院艺术类专业录取规则艺术⽣填报志愿要了解院校专业的录取规则,2022年浙江传媒学院的艺术类专业录取规则已经公布了,不同专业的录取规则是不同的。
下⾯是2022年艺术类专业录取规则的具体内容,⼀起来看!浙江传媒学院艺术类专业录取规则播⾳与主持艺术、播⾳与主持艺术(影视配⾳)、播⾳与主持艺术(礼仪⽂化)录取原则:贯彻德、智、体、美、劳全⾯考核择优录取的原则,在考⽣政治思想品德考核和体检合格的情况下,考⽣⽂化折算分达到70分以上(含),按专业分和⽂化折算分4:6⽐例的综合分排序择优录取,综合分并列的按专业成绩从⾼到低择优录取。
播⾳与主持艺术(双语播⾳)录取原则:贯彻德、智、体、美、劳全⾯考核择优录取的原则,在考⽣政治思想品德考核和体检合格的情况下,外语单科成绩105分以上(含),考⽣⽂化折算分达到70分以上(含),按专业分和⽂化折算分4:6⽐例的综合分排序择优录取,综合分并列的按专业成绩从⾼到低择优录取。
录⾳艺术录取原则:贯彻德、智、体、美、劳全⾯考核择优录取的原则,在考⽣政治思想品德考核和体检合格的情况下,考⽣⽂化折算分达到75分以上(含),按⽂化折算分排序择优录取,⽂化折算分并列的按专业成绩从⾼到低择优录取。
⼴播电视编导、影视摄影与制作(电视节⽬制作)、影视摄影与制作(电视摄像)、影视摄影与制作(电影摄影与制作)、摄影、戏剧影视⽂学、数字媒体艺术录取原则:贯彻德、智、体、美、劳全⾯考核择优录取的原则,在考⽣政治思想品德考核和体检合格的情况下,不实⾏平⾏志愿投档的省份按⽂化折算分排序择优录取,⽂化折算分并列的按⾼考相关单科⽂化成绩从⾼到低排序(⽐较顺序依次为语⽂、外语、数学)。
实⾏平⾏志愿投档的省份按各省相应统考类别(专业)平⾏志愿投档规则进⾏择优录取。
影视摄影与制作(电影摄影与制作)专业只招收明确填报有该专业志愿的考⽣。
表演录取原则:贯彻德、智、体、美、劳全⾯考核择优录取的原则,在考⽣政治思想品德考核和体检合格的情况下,不实⾏平⾏志愿投档的省份按专业分和⽂化折算分6:4⽐例的综合分排序择优录取,综合分并列的按专业成绩从⾼到低择优录取。
如何考浙江传媒学院,备考专业攻略By 杭州塔夫教育浙江传媒学院【学院介绍】—省内最好的、也是唯一的传媒类大学。
—传媒的播音大楼非常著名,浙江卫视有很多出名的节目在大楼里录制,比如我爱记歌词、中国梦想秀等,传媒学院的学生经常能够免票入场。
—传媒学院的学风不错,勤奋、努力,也很有才气,因为老师经常会带学生兼职工作,所以传媒的学生比其他学校的学生更早接触社会。
—广播电视编导专业是该校最火的专业,录取比例超过133:1。
2013年,约有65800人次(2012年近6万)报名校考,每位考生可报考4个专业。
可是,2013年艺术类招生总人数仅为1800名。
【分数线】院校综合分联考70分所需文化分联考75分所需文化分联考80分所需文化分联考85分所需文化分联考90分所需文化分浙江传媒学院542559 521.5 484 446 409院校综合分联考70分所需文化分联考75分所需文化分联考80分所需文化分联考85分所需文化分联考90分所需文化分浙江传媒学院541 557 519.5 482 444.5 407【Tips】—2013年播音主持类考生初、复试均不能化妆,小编预计明年将延用这一政策。
—2013年文化线比2012年高20分,而明年将只高不低。
—学院招办主任刘平透露,若新政策出台,明年艺术生文化分分数线将不低于同批次普通文理科考生分数线的70%。
而对于明年考试形式是否发生变化,刘主任是三缄其口说依照国家政策来。
—对于外省的学生来说,报考所有艺术类招生专业,都必须过两关:通过当地省艺术统考,参加浙江传媒学院校考。
浙传招生简章浙江传媒学院2020年招生工作已正式开始!本次招生共分为本科招生、研究生招生和博士招生三个项目,具体招生简章如下:一、本科招生1、招生对象:普通高中毕业生。
2、招生专业:传媒艺术、新闻学、数字媒体、广播电视编导、网络与新媒体、传播学、影视摄影技术等。
3、招生条件:年龄在16-22周岁之间,高中成绩优秀且具有持续学习能力,有较强的英语和计算机技能,具有较强的创新意识和社会责任感。
4、报名方式:可登陆浙江传媒学院官网进行在线报名,也可以现场报名,现场报名需要携带身份证、高中毕业证书和高中成绩单,并须参加学院统一安排的录取考试。
二、研究生招生1、招生对象:具有本科及以上学历的在职或应届毕业生。
2、招生专业:传播学、新闻学、传媒艺术、数字媒体、网络与新媒体、广播电视编导、影视摄影技术等。
3、招生条件:年龄在22-35周岁之间,具有本科及以上学历,有较强的英语和计算机技能,具有较强的创新意识和社会责任感。
4、报名方式:可登陆浙江传媒学院官网进行在线报名,也可以现场报名,现场报名需要携带身份证、学历证书和学位证书,并须参加学院统一安排的录取考试。
三、博士招生1、招生对象:具有硕士及以上学历的在职或应届毕业生。
2、招生专业:传播学、新闻学、传媒艺术、数字媒体、网络与新媒体、广播电视编导、影视摄影技术等。
3、招生条件:年龄在25-40周岁之间,具有硕士及以上学历,有较强的英语和计算机技能,具有较强的创新意识和社会责任感。
4、报名方式:可登陆浙江传媒学院官网进行在线报名,也可以现场报名,现场报名需要携带身份证、学历证书和学位证书,并须参加学院统一安排的录取考试。
注:此招生简章有效期至2020年6月30日,本招生简章最终解释权归浙江传媒学院所有,其他事宜请参照学校官方网站公布的招生简章。
祝大家都能成功报考!。
影视摄影与制作(电视摄像)专业要求及考核录取方式一、专业要求本专业学生需要具有全面扎实的电视摄像、影视摄影、照明技术、新闻采编、影视制作、数字媒体运用、网络媒体技术运用等方面的基本知识和基本理论,了解我国的新闻和文艺法规、方针、政策,了解电视摄像、影视摄影、新闻、广告、数字媒体、网络媒体的理论前沿、应用前景和发展动态,具备专业创作能力和动手能力、特别是电视摄像创作能力和运用影像造型语言进行叙事、表意的能力。
二、专业核心课程要补修核心课程(“*”号标注的为第一学年的专业核心课程)经典影像作品赏析*、摄像机原理与使用、视觉原理、电视摄影造型、多机位现场拍摄及导播、曝光控制与影调调节、电视纪录片创作、电视剧情片创作、电视画面研究、摄影技术与技巧*、影视照明、电视剪辑、非线性编辑、现代影视制作工艺、电视特效摄影与合成、数字校色等。
三、学生申请条件1. 符合学校《浙江传媒学院学生转专业和转学管理办法》规定的全日制本科学生;2.大一期间无不及格重修课程、无受学院及以上违纪违规通报批评(含缺旷课通报)及以上处分。
四、考核方式及流程1.时间安排:第二学期,申请转专业学生所在学院进行转专业初审通过后,根据学校统一安排时间进行。
2.专业综合测试采取笔试和面试相结合的方式,先进行笔试,由学院根据影视摄影与制作(电视摄像)专业人才培养方案要求统一组织命题、阅卷、打分,试卷采取闭卷方式,从高分到低分按1:1.5的比例筛选出考生进入面试。
3.根据综合成绩(笔试成绩占70%,面试成绩占30%)打分,成绩60分以上(含60分)为专业合格。
五、录取原则1.专业考核合格的同学。
2.分两批次开展转专业录取工作,第一批次录取对象为在原专业中排名百分比为前30%的学生,第二批转专业录取对象为其他所有学生。
同一批次的以转专业考核情况为录取依据,同等条件下有影视摄影与制作(电视摄像)专业艺术类专业招生考试校考合格证或省统考合格证(摄制类合格证)者优先,同时参考当年的高考分数及原专业成绩。
播音与主持艺术(英汉双语播音)专业要求及考核录取方式一、专业要求:1. 原则上学生不得跨类或跨大类进行转专业,艺术类与文史、理工类专业间不得互转,只有艺术类专业之间的专业方可互转。
2. 转入播音与主持艺术(英汉双语播音)专业的学生必须获得高考艺术类专业考试合格证。
3. 2017级已转入播音与主持艺术(双语播音)国际班的学生不再参与本次转专业。
二、专业核心课程:(“*”号标注的为第一学年的专业核心课程)《播音主持艺术导论》*《基础英语A1》*《基础英语A2》*《英语视听1》*《英语视听2》*《英语口语C1》*《英语口语C2》*《英语写作A》*《英语播音语音基础A1》*《英语播音语音基础A2》*《普通话语音与发声B》*《播音主持创作基础D》转入本专业后必须补修上述核心课程。
三、学生申请条件1.符合学校《浙江传媒学院学生转专业和转学管理办法》规定的2017级全日制本科学生,因本专业为国家特色专业,只面向学习成绩在本专业同级学生中排名百分比为前(含)30%的学生。
2.申请转入该专业的学生须获得我校高考时的播音与主持艺术类专业合格证,同时还须通过全国大学英语四级考试,成绩合格(425分以上)。
3.大学一年级学习期间无挂科和无违纪现象。
四、考核方式及流程1.考核方式:《基础英语综合水平测试》笔试(闭卷考试)和面试(朗读和口语会话)相结合。
2.考核流程:学院根据网上报名情况首先对拟转入本专业的学生申请条件进行初审,审核通过后,安排《基础英语综合水平测试》笔试和面试。
考核成绩满分100分,按照《基础英语综合水平测试》笔试(60%)和面试(40%)折算,考核成绩60分以上(含60分)为专业合格。
最后,将考核结果录入系统,上报教务处汇总公示。
3.提交材料:学生考核前需提交相关材料(相关专业合格证、第一学年成绩单和英语等级成绩证书)。
五、录取原则根据转入名额,按照专业考核成绩(专业考核必须合格)从高到低,择优录取,同等条件下可参考原专业成绩。
浙江传媒学院播音与主持艺术专业双语播音方向介绍浙江传媒学院播音与主持艺术专业(日汉双语播音方向)介绍:浙江传媒学院播音与主持艺术专业(日汉双语播音方向)主要培养具有扎实的日语语言基础和汉语广播电视播音学、新闻传播学、语言学知识,能在广播电台、电视台及网络媒体从事日汉双语播音与节目主持、进行涉外新闻采访和编译,具有一定的对外传播策划能力的媒体从业人员;能在动漫影视中心进行日汉双语配音和解说的专业人员;并能在旅游会展、翻译、外事等行业(部门)从事日语工作的复合型、应用型专门人才。
浙江传媒学院播音与主持艺术专业(日汉双语播音方向)除公共基础课外,主要课程有:基础日语、日语语音语调、日语语言与文化、日语视听说、日语播音主持:理论与实践、日语新闻采写、日语新闻作品选读、普通话语音与发声、播音主持创造基础、现场报道、播音业务、主持业务等。
浙江传媒学院播音与主持艺术专业(法汉双语播音方向)介绍:浙江传媒学院播音与主持艺术专业(法汉双语播音方向)主要培养具有扎实的法语语言基础和汉语广播电视播音学、新闻传播学、语言学知识,能在广播电台、电视台及影视中心以及网络媒体从事法汉双语播音与节目主持、进行涉外新闻采访和编译,具有一定的对外传播策划能力的媒体从业人员;并能在旅游会展、翻译、外事等行业(部门)从事法语工作的复合型、应用型、创新型专门人才。
本专业与法国知名专业院校建立友好合作关系,学生可通过选拔进入法国高校交流学习一年。
浙江传媒学院播音与主持艺术专业(法汉双语播音方向)除公共基础课外,主要课程有:基础法语、法语语音语调、法国语言与文化、法语视听说、法语播音主持:理论与实践、法语新闻编译、法语新闻作品选读、普通话语音与发声、播音主持创造基础、现场报道、播音业务、主持业务等。
浙江传媒学院播音与主持艺术专业(英汉双语播音方向)介绍:浙江传媒学院播音与主持艺术专业(英汉双语播音方向)包括英汉双语播音、国际新闻、双语出镜记者等方向,主要培养具有扎实的英语语言基础和汉语广播电视播音与主持、新闻传播、语言学知识,能在广播电台、电视台及影视中心以及网络媒体从事英汉双语播音与主持、进行涉外新闻采访和编译,具有一定的对外传播策划能力的媒体从业人员,并能在旅游会展、翻译、外事等行业(部门)从事英语工作的复合型、应用型、创新型专门人才。
浙江传媒⼤学录取条件有哪些
浙江传媒学院是⼀所艺术类院校,除了⾼考成绩和艺考成绩之外,⼀些专业对于考⽣的外在⾝体条件也有⼀定要求,下⾯⼩编为⼤家详细盘点⼀下相关信息,供⼤家参考。
浙江传媒学院部分专业报考要求
1.影视摄影与制作(电视摄像)专业要求考⽣⽆⾊弱、⽆⾊盲,矫正视⼒4.8以上,⾝⾼要求170厘⽶以上。
2.摄影专业要求考⽣⽆⾊弱、⽆⾊盲,矫正视⼒4.8以上。
3.播⾳与主持艺术专业男⾝⾼要求173厘⽶以上,⼥⾝⾼要求160厘⽶以上。
4.播⾳与主持艺术(双语播⾳)专业男⾝⾼要求170厘⽶以上,⼥⾝⾼要求160厘⽶以上。
5.播⾳与主持艺术(礼仪⽂化)专业男⾝⾼要求175厘⽶以上,⼥⾝⾼要求165厘⽶以上。
浙江传媒学院简介
浙江传媒学院简称“浙传”,位于浙江省杭州市,是中华⼈民共和国国家⼴播电视总局和浙江省⼈民政府共建⾼校,中国培养⼴播影视及其他传媒专门⼈才的主要基地之⼀,多年来为中央和各级各类传媒领域培养了⼤批专业⼈才。
学校是中国第⼆⼤传媒院校,国家级⼤学⽣创新创业训练计划实施⾼校、浙江省应⽤型建设试点⽰范学校,是⼀所⾏业特⾊鲜明的⾼⽔平传媒类⾼校,素有“北有北⼴、南有浙⼴”“北有中传、南有浙传”之美誉。
浙江传媒⼤学有哪些好专业
序号专业名称
1播⾳与主持艺术
2⼴播电视学
3⼴播电视⼯程
4⼴播电视编导
5动画
6戏剧影视⽂学。
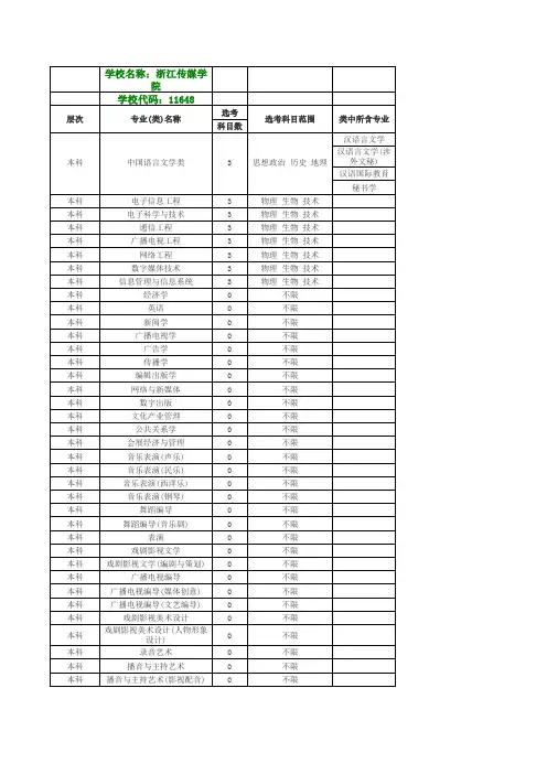
1层次专业类名称考选科目要求类中所含专业本科网络与新媒体不提科目要求本科电子信息类物理(1门科目考生必须选考方可报考)电子信息工程电子科学与技术通信工程广播电视工程本科传播学不提科目要求本科广告学不提科目要求本科广播电视学不提科目要求本科新闻学不提科目要求本科英语不提科目要求汉语言文学汉语国际教育秘书学本科中国语言文学类思想政治,历史,地理(3门科目考生选考其中一门即可报考)本科经济学不提科目要求不提科目要求服装与服饰设计本科设计学类(中外合作办学)本科艺术与科技不提科目要求本科数字媒体艺术不提科目要求本科设计学类不提科目要求视觉传达设计产品设计本科摄影不提科目要求本科影视摄影与制作(电影摄影与制作)不提科目要求不提科目要求本科影视摄影与制作(电视摄像)不提科目要求本科影视摄影与制作(电视节目制作)本科动画(漫插画)不提科目要求本科动画不提科目要求不提科目要求本科播音与主持艺术(双语播音)本科播音与主持艺术(礼仪文化)不提科目要求不提科目要求本科播音与主持艺术(影视配音)本科播音与主持艺术不提科目要求本科录音艺术不提科目要求本科戏剧影视美术设计不提科目要求不提科目要求本科广播电视编导(媒体创意)本科广播电视编导不提科目要求本科戏剧影视文学不提科目要求本科表演不提科目要求本科舞蹈编导不提科目要求本科音乐表演(西洋乐只招小提琴大提琴)不提科目要求不提科目要求本科音乐表演(民乐只招古筝二胡琵琶扬琴竹笛)本科音乐表演(钢琴)不提科目要求本科音乐表演(声乐)不提科目要求本科会展经济与管理不提科目要求本科文化产业管理不提科目要求本科数字媒体技术物理(1门科目考生必须选考方可报考)本科网络工程物理(1门科目考生必须选考方可报考)本科软件工程物理(1门科目考生必须选考方可报考)本科编辑出版学不提科目要求959305435.xls。
浙江传媒学院外籍人才工资待遇实施办法一、外国专业人才(一)根据国家外国专家局外国人来华工作分类标准(试行)规定,符合以下条件之一的,可确定为外国专业人才。
1.具有学士及以上学位和2年及以上相关工作经历,在教育、科研、新闻、出版、文化、艺术、卫生、体育等领域从事科研、教学、管理等工作的人员。
2.外国语言教学人员。
外国语言人员原则上应从事其母语国母语教学,并取得大学学士及以上学位且具有2年以上语言教育工作经历。
其中,取得教育类、语言类或师范类学士及以上学位的,或取得所在国教师资格证书或取得符合要求的国际语言教学证书的,可免除工作经历要求。
(二)工资待遇1.月薪:学士学位:6000元人民币/月(税后);硕士学位:6500元人民币/月(税后);博士学位:7000元人民币/月(税后)。
2.住宿:优先安排校外丽泽苑单身公寓,免住宿费(水、电及网络费等生活费用由外教自理)。
如单身公寓分配完毕需在校外租房的,每月发放不超过2500元的住房补贴(具体数额以租房合同为准);如外教有随行家属,每月发放不超过3500元的住房补贴(具体数额以租房合同为准)。
3.国际旅费:签订一学年及以上工作合同者,予以报销往返国际机票,报销总金额不超过8000元人民币。
签订一学期工作合同者,予以报销单程国际机票,报销总金额不超过6000元人民币。
4.交通补贴:签订一学年及以上工作合同者,予以发放每学年2200元人民币的国内交通补贴。
5.用餐补贴:参照学校统一标准按月发放6.续聘:续聘月薪按12个月实发,续聘月薪增幅按照《浙江传媒学院外教申请延期任教评审表》评审结果(优秀:+250元/月良好:+200元/月合格: +150元/月)。
二外国高端人才(一)根据国家外国专家局外国人来华工作分类标准(试行)规定,符合以下条件之一的,或长期在我校任职、在所从事的专业领域有一定造诣、学术成就得到认可、对我校专业发展有所建树的可确定为外国高端人才。
1.入选国内人才引进计划的经中共中央组织部、人力资源和社会保障部、国家外国专家局批准或备案同意的人才引进计划(详见国家外国专家局外国人来华工作分类标准(试行)中外国高端人才公认职业成就认定标准说明)。
有人形容高尔夫的18洞就好像人生,障碍重重,坎坷不断。
然而一旦踏上了球场,你就必须集中注意力,独立面对比赛中可能出现的各种困难,并且承担一切后果。
也许,常常还会遇到这样的情况:你刚刚还在为抓到一个小鸟球而欢呼雀跃,下一刻大风就把小白球吹跑了;或者你才在上一个洞吞了柏忌,下一个洞你就为抓了老鹰而兴奋不已。
我是去年参加中国传媒大学(以下简称传媒大学)的自主招生的,但是最后没有被录取,很悲剧T_T虽然这样,但是通过这次考试还是获得了许多经验,在这里分享一下如果想参加传媒大学的自主招生,需要提前一段时间准备。
去年传媒大学有两个专业在进行自主招生:分别是外语学院的英语(节目主持方向)和电视与新闻学院的广播电视新闻学,英语招40人,新闻招20人(面向全国),不得不说难度非常大,得做好心理准备呵呵~需要特别说明的是,英语专业还有一些硬性要求:口齿清晰,发音器官无疾病,五官端正,男生一般不低于1.75米,女生一般不低于1.65米。
===================================================================== 首先是报名,一般是十一月中旬到十二月中旬,具体的得关注中国传媒大学的网站()和你们学校的通知。
报名方式有两种,自荐和校荐。
校荐就是学校推荐,一般传媒大学会给一些比较好的学校推荐名额的,这个得看你们学校了(我是校荐上的)。
自荐就是自己从传媒网站上下载报名表,填完了之后让学校帮忙整相关资料(),盖章,然后就把报名表寄到传媒大学。
自荐的难度比较大,但是也有成功的,我的同桌就是通过自荐获得参加最后考试名额的。
审核需要精心准备,个人资料的填写一定要认真,突出自己的个性,特长,特别是自荐书一定要出彩。
自主招生的关卡一共有两个:初审和考试报名结束后需要做的就是等待了,等待初审的结果,这个结果一般会在年底的时候出来,通过率很一般,会刷下相当一批人。
和我一起报的人只有我和我同桌通过了。
2020年浙江传媒学院招生简章第一部分:艺术类招生简章一、艺术类招生计划(高考类别:艺术文理兼招)艺术类本科专业招生计划1.广电艺术类本科专业招生计划注:1.广电艺术类本科专业及专业方向面向全国招生,设杭州、北京、哈尔滨、兰州、山西、郑州、青岛、成都、长沙、南京和深圳11个考点,考生可按当地招生办(考试院)规定选择考点进行考试。
2.仅限于参加英语语种考试的高考生报考。
报考双语播音专业,且有日语基础的考生,建议到杭州考点报考。
3.考生所在省(自治区、直辖市)招生办规定艺术类专业需进行相关专业统考的,考生需参加该省(自治区、直辖市)相关专业统考。
4.戏剧影视导演专业计划招生20人,于当年新生入学后第一学期期末面向全校艺术类专业学生选拔。
5.播音与主持艺术(双语播音) 专业(国际化)计划招生20人,于当年新生入学后第一学期期末面向播音与主持艺术(英汉双语播音)、播音与主持艺术(法汉双语播音)和播音与主持艺术(日汉双语播音)3个专业学生中进行选拔。
6.此计划非最终性计划,可能有变动,以教育部最后审定的计划为准。
7. 学费如有变动,按20xx年浙江省物价部门统一调整后的标准执行。
2.影视表演类本科专业招生计划注:1. 表演专业只设哈尔滨、山西、郑州、青岛、成都、长沙、南京、深圳、杭州9个考点,面向全国招生,考生可按当地招生办(考试院)规定选择考点进行考试。
2.仅限于参加英语语种考试的高考生报考。
3.考生所在省(自治区、直辖市)招生办规定艺术类专业需进行相关专业统考的,考生需参加该省(自治区、直辖市)相关专业统考。
4.此计划非最终性计划,可能有变动,以教育部最后审定的计划为准。
5. 学费如有变动,按20xx年浙江省物价部门统一调整后的标准执行。
3.美术类本科专业招生计划注:1.动画专业/动画专业(漫插画)/视觉传达设计专业/环境设计专业/产品设计专业/服装与服饰设计专业(中外合作办学)/戏剧影视美术设计专业/戏剧影视美术设计专业(人物形象设计)考试设哈尔滨、兰州、山西、郑州、青岛、南京、深圳、合肥、杭州9个考点。
浙江传媒学院大学英语教学改革实施方案浙传院教〔2011〕6号为了进一步加强我校大学英语教学管理,提高英语教学水平和教学质量,调动学生学习英语的积极性,提高学生英语实际应用能力,根据教育部《大学英语课程教学要求》的精神,进一步完善我校自2007年以来的大学英语教学改革,特制定本实施方案。
一、总则(一)大学英语教学遵循分类分层教学的指导思想,针对不同类别的学生制定不同的教学内容、教学要求和教学目的,实行因材施教。
(二)大学英语教学分两部分,基础课程和后续课程,四年教学不间断。
前两年为大学英语基础课程,共16学分,分四学期完成,每学期4学分,为必修课程。
后两年为大学英语后续课程,为选修课,学生按个人需要和兴趣爱好选修相应课程。
在第一、二学期通过本校分层教学相应A层要求分数线的学生,可以免修“大学英语4”的课程,在第四学期提前进入大学英语后续课程的学习。
(三)除英语之外,大学外语教学部还提供法语、日语、韩语、德语等语种的课程,供有特殊需求的新生选择学习。
具体实施方法参见附件1。
(四)大学英语教学工作由大学外语教学部组织实施。
(五)本方案从2010级学生开始施行。
二、分类及分层(一)分类根据我校专业学科的特点、人才培养目标和生源的情况,大学英语教学按“音乐美术类”、“广电艺术类”和“文史理工类”等3类进行分类教学。
(“音乐美术类”、“广电艺术类”和“文史理工类”的专业名录见附件2)(二)分层1.分层教学的时间安排(1)大学英语分层教学从入学后的第一个学期开始。
“音乐美术类”学生从大学英语预备级教材开始学习,“广电艺术类”和“文史理工类”学生从大学英语第一册开始学习。
(2)第二学期结束前,学校依据学生第一学期参加大学英语等级考试的成绩进行第二次分层,第三学期按此分层结果进行教学;第三学期结束前,学校依据学生第二学期参加大学英语等级考试成绩进行第三次分层,第四学期按此分层结果进行教学。
(3)专科学生不参加分层教学。
英语专业要求及考核录取方式
一、专业要求:
原则上学生不得跨类或跨大类进行转专业,艺术类与文史、理工类专业间不得互转。
二、专业核心课程:
(“*”号标注的为第一学年的专业核心课程)
《综合英语B1》*《综合英语B2》*《英语泛读A1》*《英语泛读A2》*《英语视听A1》*《英语视听A2》*《英语口语B1》*《英语口语B2》*《英语语音语调B》*《英语语法》*转入本专业后必须补修上述核心课程。
三、学生申请条件
1.符合学校《浙江传媒学院学生转专业和转学管理办法》规定的2017级全日制本科学生。
2.申请转入英语专业的学生同时还必须通过全国大学英语四级考试,并且成绩为450分以上。
3.大学一年级学习期间无违纪现象。
四、考核方式及流程
1.考核方式:《英语专业水平测试》笔试(闭卷考试)和面试(朗读和口语会话)相结合。
2.考核流程:学院根据网上报名情况首先对拟转入本专业的学生申请条件进行初审,审核通过后,安排《英语专业水平测试》笔试和面试。
考核成绩满分100分,按照《英语专业水平测试》笔试(60%)
和面试(40%)折算,考核成绩60分以上(含60分)为专业合格。
最后,将考核结果录入系统,上报教务处汇总公示。
3.提交材料:学生考核前需提交相关材料(如第一学年成绩单、英语等级成绩等)。
五、录取原则
根据转入名额,按照专业考核成绩(专业考核必须合格)从高到低,择优录取,同等条件下可参考原专业成绩。
六、转入学生的后续安排
1. 转入新专业后,原已取得合格成绩和学分的课程符合转入专业人才培养方案对应课程要求的,经转入学院和教务处确认后,予以承认,直接载入该生在转入专业上的学籍档案;不符合要求的,作为选修课成绩和学分记入该生在转入专业上的学籍档案。
2. 转入新专业学习的学生必须完成新专业人才培养方案要求的所有专业核心课程的学习,同级学生已修习、但转入学生尚未修习的课程须及时重修。
3. 降级转专业的学生须跟班完整修习所有课程,单科成绩如达到80分或良好的,可申请该课程的免修。
4. 凡转专业和转学的学生在转入专业学习期满,修完该专业人才培养方案规定的所有课程,成绩合格,符合毕业条件的准予毕业,发给该专业的毕业证书。
如符合该专业所在学科的学士学位条件,可申请学士学位。
国际文化传播学院 2018年5月31日。