2018届高一暑假作业1——指数对数运算
- 格式:doc
- 大小:303.50 KB
- 文档页数:4
2017-2018学年 高一数学 必修一 对数运算 计算题练习欧阳家百(2021.03.07)1、计算:.2、计算:3、计算:.4、计算:.5、计算:6、计算:3log 2lg 27log 5.0lg 24log 232-+-+8、计算:2.1lg 3.0lg )1000lg 8lg 27(lg 19lg 3lg 2⋅-+⋅+-.9、计算:lg25+lg2·lg 50+lg 22; 10、计算:11、计算:12、计算:13、计算:14、计算:12lg )2(lg 5lg 2lg )2(lg 222+-+⋅+15、计算:.16、计算:17、计算:;18、计算:20、计算:21、计算:22、计算:;23、计算:24、计算:25、计算:26、计算:27、计算:;28、计算.29、计算:.30、计算:.31、计算:32、计算:2log 32-log3+log38-;33、计算:.34、计算:35、计算:36、计算:lg +lg 70-lg 3-;37、计算:(lg5)2+lg2·lg50+21+log25.38、计算:39、计算:参考答案1、答案为:1.5.2、答案为:4.75.3、答案为:6.5.4、答案为:4.5.5、答案为:-4.6、答案为:1.5.8、答案为:-1.5.9、答案为:2.10、答案为:1.25.11、答案为:212、答案为:513、答案为:1+2.14、答案为:1.16、答案为:5.17、答案为:0.18、答案为:320、答案为:0.5.21、答案为:4.22、答案为:a-2.23、答案为:1.24、答案为:1.5.25、答案为:0.5.26、答案为:7/6.27、答案为:6.28、答案为:1.29、答案为:3.5.30、答案为:1.31、答案为:3.5.32、答案为:-7.33、答案为:2.34、答案为:035、答案为:1.25.36、答案为:lg3.37、答案为:1+2.39、答案为:2.。
高一数学指数运算及指数函数试题一.选择题x x=22.若非零实数a、b、c满足,则的值等于(B)∴设=3.已知,则a等于()解:因为4.若a>1,b>1,p=,则a p等于()p=b.6.若lgx﹣lgy=2a,则=(C)lg lg=lg﹣lg=lg﹣lglg(=7.已知函数,若实数a,b满足f(a)+f(b﹣2)=0,则a+b=x+8.=()×+1=9.设,则=()解:∵∴(()10.,则实数a的取值区间应为(C)=log11.若lgx﹣lgy=a,则=(A)解:12.设,则()13.已知a,b,c均为正数,且都不等于1,若实数x,y,z满足,满足=log14.化简a2•••的结果是(C)••x y xy2x x2x x2解可得,18.若关于x的方程=3﹣2a有解,则a的范围是(A)≤a<≥<a<≤≤,二.填空题19.,则m=10.+=log20.已知x+y=12,xy=9,且x<y,则=.=x+y+2=12+6=18,故答案为:21.化简:=(或或)..故答案为:(或或22.=1.23.函数在区间[﹣1,2]上的值域是[,8].=;=[,[24.函数的值域为(0,8].25.函数(﹣3≤x≤1)的值域是[3﹣9,39],单调递增区间是(﹣2,+∞)..y=三.解答题26.计算:(1);(2).)27.(1)若,求的值;(2)化简(a>0,b>0).=3=..28.已知函数f (x )=4x﹣2x+1+3. (1)当f (x )=11时,求x 的值;(2)当x ∈[﹣2,1]时,求f (x )的最大值和最小值.29.已知函数||22)(x x x f -=. (1)若2)(=x f ,求x 的值;(2)若0)()2(2≥+t mf t f t 对于]2,1[∈t 恒成立,求实数m 的取值范围。
(1)当0<x 时,0)(=x f ;当0≥x 时,x x x f 212)(-=. 由条件可知 2212=-x x ,即 012222=-⋅-x x , 解得 212±=x . 02>x ,()21log 2+=∴x . (2)当]2,1[∈t 时,021*******≥⎪⎭⎫ ⎝⎛-+⎪⎭⎫ ⎝⎛-t t t t t m , 即 ()()121242--≥-t t m . 0122>-t , ∴ ()122+-≥t m . ()]5,17[21],2,1[2--∈+-∴∈t t ,故m 的取值范围是),5[∞+-.30.如果函数)1,0(122≠>-+=a a a ay x x 在区间[—1,1]上的最大值是14,求a 的值。
职高一数学暑假作业(一)第四章、指数函数与对数函数一、指数幂的计算:1)a a n n =)(;2)当n 为奇数时,a a n n =;当n 为偶数时,⎩⎨⎧<-≥==)0()0(||a a a a a a n 。
3).幂的有关概念1)∈⋅⋅⋅=n a a a a n ( N*); 2))0(10≠=a a ;3)=-p a , 4)m a a a n m nm ,0(>=、∈n N* 且)1>n 5)=⋅s r a a ; 6)=sr a )( ; 7)=⋅r b a )( 。
二、对数的计算1.对数的定义:如果N a b =(10≠>a a 且),那么数 b 叫作_______________的对数,记作 _________。
其中a 叫做对数的________,N 叫做_______。
2.对数的基本性质: _________没有对数; _____的对数等于0; _____的对数等于1。
3.两种特殊的对数:(注:e 是一个无理数 ,它的值是e = 2.71828……)①常用对数:以10为底的对数叫作_________,N 的常用对数10log N 简记作_________.②自然对数:以e 为底的对数称为__________,N 的自然对数log e N 简记作_________. 4.对数的运算性质:(1)=MN a log __________; (2)=NM a log _________; (3)=αM a log ________5.对数恒等式:______________________,对数的换底公式:______________________________.三、.对数函数的图象、性质:四、指数函数图象与性质:基础练习: 1、 33)5(-= , 44)5(-= 。
22)()(x x -÷-= , =⋅-3232aa 。
4316= , 32)278(-= 。
上海双新暑假作业高一数学暑假是学生们放松和休息的时间,但也是巩固和提升自己知识的绝佳机会。
作为高一学生的你,即使暑假了,也不能忘记数学知识的学习。
上海双新暑假作业是为了帮助学生们复习和巩固高一数学知识的综合性作业。
下面,我将为大家详细介绍一下上海双新暑假作业高一数学的内容。
上海双新暑假作业高一数学内容主要包括高一上学期的知识点。
这些知识点包括了集合与常用逻辑符号、二次函数与图像、指数与对数、复数及其运算、三角函数与图像等内容。
这些内容组成了高一数学的基础知识,掌握好这些知识点,对于后续的学习会有很大的帮助。
在完成作业的过程中,学生们需要通过各种教材和参考资料进行自主学习。
可以阅读一些基础数学教材,如人教版、苏教版等,对于每个知识点进行巩固和复习。
可以通过阅读相关的数学辅导书籍,如《高中数学习题讲析》等,来帮助自己更好地理解和掌握知识点。
还可以搜索一些相关的数学学习网站,如数学网、免费数学题库等,进行更加灵活的学习。
在完成作业的过程中,学生们应该注重练习和实践。
可以通过做一些相关的习题来巩固和提升自己的知识水平。
可以通过做一些高校招生数学试题,如清华大学、北京大学的数学高考试题,来检验自己的数学功底。
还可以通过一些数学竞赛题目的练习,如全国青少年数学奥林匹克竞赛、浙江省高中数学联赛等,来提升自己的解题能力和思维能力。
在完成作业的过程中,学生们应该注重思考和归纳。
通过对知识点的归纳总结,可以加深对知识点的理解和记忆。
可以把一些重要的公式、定理、性质整理成表格或思维导图,以便于复习和记忆。
还可以尝试将一些概念和定理联系起来,形成自己的思维体系,帮助自己更好地理解和应用知识。
总之,上海双新暑假作业高一数学是为了帮助学生们复习和巩固高一上学期的数学知识的综合性作业。
通过自主学习、练习实践、思考归纳等方式,可以帮助学生们更好地掌握和应用数学知识。
希望学生们能够积极认真地完成作业,并在新学期中取得更好的成绩。
指数式、对数式的运算一、基础知识1.指数与指数运算(1)根式的性质①(na)n=a(a使na有意义).②当n是奇数时,na n=a;当n是偶数时,na n=|a|=⎩⎨⎧a,a≥0,-a,a<0.(2)分数指数幂的意义分数指数幂的意义是解决根式与分数指数幂互化问题的关键.①a m n=na m(a>0,m,n∈N*,且n>1).②a-m n=1a m n =1na m(a>0,m,n∈N*,且n>1).③0的正分数指数幂等于0,0的负分数指数幂没有意义.(3)有理数指数幂的运算性质①a r ·a s =a r +s (a >0,r ,s ∈Q); ②a ras =a r -s (a >0,r ,s ∈Q);③(a r )s =a rs (a >0,r ,s ∈Q); ④(ab )r =a r b r (a >0,b >0,r ∈Q). (1)有理数指数幂的运算性质中,要求指数的底数都大于0,否则不能用性质来运算.(2)有理数指数幂的运算性质也适用于无理数指数幂. 二.对数的概念及运算性质 1.对数的概念(1)如果a x =N (a >0,且a ≠1),那么x 叫做以a 为底N 的对数,记作x =log a N ,其中a 叫做对数的底数,N 叫做真数.(2)对数的性质:①负数和零没对数;②10a log =;③1a log a =; (3)对数恒等式a log a N =N 2.对数的运算法则如果a >0且a ≠1,M >0,N >0,那么 ①log a (MN )=log a M +log a N ; ②log a M N=log a M -log a N ;③log a M n =n log a M (n ∈R );④log a m M n =nmlog a M (m ,n ∈R ,且m ≠0).(3)对数的重要公式①换底公式:log b N =log a Nlog a b (a ,b 均大于零且不等于1);②log a b =1log b a ,推广log a b ·log b c ·log c d =log a d .③log a a b =b (a >0,且a ≠1)考点一 指数幂的化简与求值 考点 指数幂的化简及求值【例1】化简:(a 2·5a 3)÷(a ·10a 9)=________(用分数指数幂表示).【答案】a 65【解析 (a 2·5a 3)÷(a ·10a 9)=(a 2·a 35)÷(a 12·a 910)=a 135÷a 75=a 135-75=a 65.【例2】614+0.002-12-10×(5-2)-1-295-⎪⎭⎫ ⎝⎛+[(-2)3]-23的值为________.【答案】-18.25【解析】原式=225⎪⎭⎫⎝⎛+50012-10×(5+2)-1+(23)-23=52+105-105-20-1+2-2=2.5-21+0.25=-18.25.【例3】.若32121=+-x x ,则x 32+x -32+2x 2+x -2+3的值为________. 【答案】25【解析】由x 12+x -12=3,得x +x -1+2=9,所以x +x -1=7,所以x 2+x -2+2=49,所以x2+x-2=47.因为x 32+x -32=(x 12+x -12)3-3(x 12+x -12)=27-9=18,所以原式=18+247+3=25.[题组训练]1.化简4a 23·b -13÷⎝ ⎛⎭⎪⎫-23a -13b 23的结果为()A .-2a3bB .-8abC .-6a bD .-6ab解析:选C 原式=-6a⎛⎫-- ⎪⎝⎭2133b--1233=-6ab -1=-6ab.2.计算:-⎝ ⎛⎭⎪⎫32-2+⎝ ⎛⎭⎪⎫-278-23+(0.002)-12=________.解析:原式=-⎝ ⎛⎭⎪⎫232+⎣⎢⎡⎦⎥⎤⎝ ⎛⎭⎪⎫-323-23+⎝ ⎛⎭⎪⎫1500-12=-49+49+105=105.答案:10 5考点二 对数式的化简与求值[典例] 计算下列各式:(1)lg 2+lg 5-lg 8lg 50-lg 40;(2)log 23·log 38+(3)log 34.[解] (1)原式=lg2×58lg 5040=lg 54lg 54=1.(2)原式=lg 3lg 2·3lg 2lg 3+3log 4312=3+3log 32=3+2=5.[题组训练]1.(log 29)·(log 34)=( )A .14B .12C .2D .4解析:选D 法一:原式=lg 9lg 2·lg 4lg 3=2lg 3·2lg 2lg 2·lg 3=4.法二:原式=2log 23·log 24log 23=2×2=4.2.(2018·全国卷Ⅰ)已知函数f (x )=log 2(x 2+a ).若f (3)=1,则a =________.解析:∵f (x )=log 2(x 2+a )且f (3)=1, ∴1=log 2(9+a ), ∴9+a =2,∴a =-7. 答案:-7 3.计算:log 5[421log 102-(33)23-77log 2]=________.解析:原式=log 5[22log 10-(332)23-2]=log 5(10-3-2)=log 55=1.答案:14.若函数(),2log log 32++=x b x a x f 且520171=⎪⎭⎫⎝⎛f ,则()_______2017=f -1[课时跟踪检测]1.设1x=log 23,则3x -3-x 的值为( )A.83B.32C.52D.73解析:选B 由1x =log 23,得3x =2,∴3x -3-x =2-12=32.2.化简⎝⎛⎭⎫2a 23b 12(-6a 12b 13)÷⎝⎛⎭⎫-3a 16b 56的结果为( )A .-4aB .4aC .11aD .4ab解析:选B 原式=[2×(-6)÷(-3)]a +-211326b+-115236=4ab 0=4a .3.(log 29)(log 32)+log a 54+log a ⎝ ⎛⎭⎪⎫45a (a >0,且a ≠1)的值为( )A .2B .3C .4D .5解析:选B原式=(2log 23)(log 32)+log a ⎝ ⎛⎭⎪⎫54×45a =2×1+log a a =3.4.设a >0,将a 2a ·3a 2表示成分数指数幂的形式,其结果是( )A .a 12B .a 56C .a 76D .a 32解析:选Ca 2a ·3a 2=a 2a ·a23=a 2a53=a 2a56=a52-6=a 76.5.已知2log (2)log log a a a M N M N -=+,则MN的值为( ) A .14B .4C .1D .4或1【答案】B 【解析】因为2log (2)log log a a a M N M N -=+,所以2log (2)log a a M N MN -=(), 2(2)M N MN -=,2540M MN N-+=(), 解得=1(舍去),=4,故选B.6.若lg 2,lg(2x +1),lg(2x +5)成等差数列,则x 的值等于( )A .1B .0或18C.18D .log 23解析:选D 由题意知lg2+lg(2x +5)=2lg(2x +1),由对数的运算性质得2(2x +5)=(2x +1)2,即(2x )2-9=0,2x =3,x =log 23. 7.设2a =5b =m ,且1a +1b=2,则m 等于( )A.10 B .10 C .20D .100解析:选A 由2a =5b =m 得a =log 2m ,b =log 5m , 所以1a +1b=log m 2+log m 5=log m 10.因为1a +1b=2,所以log m 10=2.所以m 2=10,所以m =10.8.计算:9591log 2-=________. 解析:9591log 2-=912×959log -=3×15=35.答案:359.化简:a 23·b -1-12·a -12·b136a ·b 5=________.解析:原式=a -13·b 12·a -12·b13a 16·b56=a---111326·b+-115236=1a.答案:1a10.已知3log 2=a ,7log 3=b ,则________56log 14=abab++13 11.若3log 4=a ,则_______22=-+a a 334 12.已知指数函数y =f (x ),对数函数y =g (x )和幂函数y =h (x )的图象都过点P ⎝ ⎛⎭⎪⎫12,2,如果f (x 1)=g (x 2)=h (x 3)=4,那么x 1+x 2+x 3=________. 解析:令f (x )=a x (a >0,且a ≠1),g (x )=log b x(b>0,且b ≠1),h (x )=x c ,则f ⎝ ⎛⎭⎪⎫12=a 12=2,g ⎝ ⎛⎭⎪⎫12=log b 12=-log b 2=2,h ⎝ ⎛⎭⎪⎫12=⎝ ⎛⎭⎪⎫12c=2,∴a =4,b =22,c =-1,∴f (x 1)=4x 1=4⇒x 1=1,同理,x 2=14,x 3=14.∴x 1+x 2+x 3=32.答案:3213. 【2019年高考天津理数】已知5log 2a =,0.5og 2.l 0b =,0.20.5c =,则,,a b c 的大小关系为 A .a c b << B .a b c << C .b c a <<D .c a b <<【答案】A【解析】因为551log 2log 2a =<=, 0.50.5log 0.2log 0.252b =>=,10.200.50.50.5c <=<,即112c <<,所以a c b <<. 故选A.14. 【2018年高考天津理数】已知2log e a =,ln2b =,121log 3c =,则a ,b ,c 的大小关系为 A .a b c >> B .b a c >> C .c b a >> D .c a b >>【答案】D【解析】由题意结合对数函数的性质可知:2log e 1a =>,()21ln20,1log eb ==∈,12221log log 3log e 3c ==>, 据此可得:c a b >>. 本题选择D 选项.15.(2016全国I) 若1a b >>,01c <<,则CA .c c a b <B .c c ab ba <C .log log b a a c b c <D .log log a b c c <16.(2015新课标Ⅱ)设函数211log (2),1()2,1x x x f x x -+-<⎧=⎨⎩≥,则2(2)(log 12)f f -+=A .3B .6C .9D .12 17.已知2log 6a =,5log 15b =,7log 21c =则,,a b c 的大小关系为( ) A .a b c << B .c b a << C .c a b << D .b c a <<【答案】B 【解析】由于22log 6log 42a =>=,772log 211log 3,c a c >==+∴> 552log 151log 3b >==+, 33log 7log 5>,可得b c >,综合可得a b c >>, 故选B.18.设lg 6a =,lg 20b =,则2log 3=( )A .11a b b +-+B .11a b b +--C .11a b b -++D .11a b b -+-【答案】D 【解析】2312a lg lg b lg =+⎧⎨=+⎩ ,2131lg b lg a b =-⎧∴⎨=-+⎩,则2lg31log 3lg21a b b -+==-. 故选:D19.已知奇函数()f x 满足()()22-=+x f x f ,当(0,1)x ∈时,()2x f x =,则()2log 12f =( ) A.43-B.2332C.34D.38- 【答案】A 【解析】由题意()(4)f x f x =+,故函数()f x 是周期为4的函数, 由23log 124<<,则21log 1240-<-<,即204log 121<-<, 又函数()f x 是定义在R 上的奇函数, 则()()()2244log 12222log 1224log 12log 1244log 12223f f f -=-=--=-=-=-, 故选:A.20.已知1a b >>,若5log log 2a b b a +=,b a a b =,则a = ,b = . 【答案】4,2. 【解析】设log ,1b a t t =>则,因为21522t t a b t +=⇒=⇒=, 因此22222, 4.b a b ba b b b b b b a =⇒=⇒=⇒==21.(2018·全国高考真题(理))设0.2log 0.3a =,2log 0.3b =,则( ) A .0a b ab +<< B .0ab a b <+< C .0a b ab +<< D .0ab a b <<+【答案】B 【解析】求出0.2211log0.3,0.3log a b ==,得到11a b+的范围,进而可得结果.详解:.0.30.3log0.2,2a b log ==0.2211log0.3,0.3log a b ∴== 0.3110.4log a b ∴+= 1101a b ∴<+<,即01a b ab+<<又a 0,b 0><ab 0∴<即ab a b 0<+<故选B.22.化简下列各式:(1)⎝ ⎛⎭⎪⎫2790.5+0.1-2+⎝ ⎛⎭⎪⎫210272-3-3π0+3748;(2) 3a 72·a -3÷3a -3·a -1;(3)lg 3+25lg 9+35lg 27-lg3lg 81-lg 27.解:(1)原式=⎝ ⎛⎭⎪⎫25912+10.12+⎝ ⎛⎭⎪⎫6427-23-3+3748=53+100+916-3+3748=100.(2)原式= 3a 72·a 3-2÷3a -32·a -12=3a 72÷3a -12=a 76÷a -16=a 86=a 43.(3)法一:原式=lg 3+45lg 3+910lg 3-12lg 34lg 3-3lg 3=⎝ ⎛⎭⎪⎫1+45+910-12lg 34-3lg 3=115.法二:原式=lg3×925×27⨯1325×3-12lg 8127=lg 3115lg 3=115. 23 【2020年高考全国Ⅲ卷理数12】已知544558,138<<.设5813log 3,log 5,log 8a b c ===,则 ( )A .a b c <<B .b a c <<C .b c a <<D .c a b << 【答案】A【解析】解法一:由题意可知a 、b 、()0,1c ∈,()222528log 3lg 3lg81lg 3lg8lg 3lg8lg 241log 5lg 5lg 522lg 5lg 25lg 5a b ⎛⎫⎛⎫++⎛⎫==⋅<⋅==< ⎪ ⎪ ⎪⎝⎭⎝⎭⎝⎭,a b ∴<; 由8log 5b =,得85b =,由5458<,得5488b <,54b ∴<,可得45b <; 由13log 8c =,得138c =,由45138<,得451313c <,54c ∴>,可得45c >. 综上所述,a b c <<.故选A .解法二:易知(01)a,b,c ,∈,由()()2225555558log 3log 8log 24log 32log 3log 81log 5444a b +==⋅<=<=,知a b <.∵8log 5b =,13log 8c =,∴85b =,138c =,即5585b =,44138c =又∵5458<,45138<,∴445541385813c b b =>=>,即b c <.综上所述:a b c <<,故选A .。
指数对数计算题100道(含答案)1.0.×﹣+log3649+log89•log964.2.(1)(式中字母均为正数);(2).3.(1);(2)(2log43+log83)(log32+log92).4.(Ⅰ)(式中字母均为正数);(Ⅱ)log225×log34×log59.5.(Ⅰ);(Ⅱ)log3.6.(1)log3(9×27);(2);(3)lg25+lg4;(4).7.(1);(2).8.(1);(2).9.(1)log3﹣log32•log23﹣+lg+lg;(2)(lg2)2+lg20•lg5+log92•log43.10(Ⅰ)(lg2)2+lg5•lg20﹣1(Ⅱ)(×)6+(2)﹣4×()﹣×80.25﹣(2019)0 11.求值:(1);(2)log25.12.(1).(2).13.(1);(2).14.(1).(2).15.(Ⅰ)(a>0,b>0);(Ⅱ).16.(1);(2).17.(1);(2)log3+lg25+lg4++log23•log94.18.(1);(2).19.(Ⅰ)log525+lg;(Ⅱ).20.(1);(2)(log43+log83)(log32+log92).21.(1)0.﹣(﹣)0++0.;(2)lg25+lg2+()﹣log29×log32.22.(1);(2).23.计算的值.24.(1)4;(2)lg.25.(1)(2)+(2)﹣3π0+(2).26.求值:(1)(2).27.(1)(2).28.(1)(2.25)﹣(﹣9.6)0﹣()+(1.5)﹣2;(2)lg25+lg2﹣lg﹣log29×log32.29.解方程:log3(x+14)+log3(x+2)=log38(x+6)30.(1)已知4x+x﹣1=6,求的值;(2)若log32=m,log53=n,用m,n表示log415.31.求值:(1),(2).32.(1);(2).33.(1);(2).34.(1)(0.064)﹣(﹣)0+[(﹣2)3]+16﹣0.75;(2)2log32﹣log3+log38﹣5.35.(1);(2).36.(Ⅰ);(Ⅱ).37.(1);(2).38.(1)lg25+lg32+lg5•lg20+(lg2)2;(2).39.(1);(2).40.(1);(2)+lg2+lg5.41.(1)(a>0,b>0);(2).42.(Ⅰ);(Ⅱ).43.(1)4+()﹣(﹣1)0+;(2)log9+lg25+lg2﹣log49×log38.44.且a≠1);(2)(a≠0).45.(1);(2)(log37+log73)2﹣.46.log49•log38+lne2+lg0.01.47.(1);(2).48.(1);(2).49.(1)()×(﹣)0+9×﹣;(2)log3+lg25﹣3log334+lg4.50.计算下列各题:(Ⅰ)已知,求的值;(Ⅱ)求(2log43+log83)(log32+log92)的值.51.(1)化简(结果用有理数指数幂表示):;(2)已知log53=a,试用a表示log459;(3)若,则实数M.52.(Ⅰ)设函数f(x)=,计算f(f(﹣4))的值;(Ⅱ)log525+lg;(Ⅲ).指数对数计算题100道参考答案与试题解析一.试题(共52小题)1.0.×﹣+log3649+log89•log964.【解】0.×﹣+log3649+log89•log964==2×8﹣16+6×(﹣2)=﹣10.2.(1)(式中字母均为正数);(2).【解】(1)===1;(2)=log535﹣1+log550﹣log514=log5﹣1=3﹣1=2.3.(1);(2)(2log43+log83)(log32+log92).【解】(1)=﹣1+﹣=0.1﹣1+8﹣9=﹣1.9;(2)(2log43+log83)(log32+log92)=(2וlog23+log23)(log32+log32)=××log23×log32=2.4.(Ⅰ)(式中字母均为正数);(Ⅱ)log225×log34×log59.【解】(Ⅰ)(式中字母均为正数)=﹣6=﹣6a;(Ⅱ)log225×log34×log59=××=8.5.(Ⅰ);(Ⅱ)log3.【解】(Ⅰ)=()﹣1﹣()+64=﹣1﹣+16=16;(Ⅱ)log3=+lg1000+2=.6.(1)log3(9×27);(2);(3)lg25+lg4;(4).【解】(1);(2);(3)lg25+lg4=lg100=2;(4).7.(1);(2).【解】(1)原式=﹣1++e﹣=+e.(2)原式=+4﹣2log23×log32===1+2=3.8.:(1);(2).【解】(1)=1+=19.(2)==2+=.9.(1)log3﹣log32•log23﹣+lg+lg;(2)(lg2)2+lg20•lg5+log92•log43.【解】(1)原式=.(2)==.10.(Ⅰ)(lg2)2+lg5•lg20﹣1(Ⅱ)(×)6+(2)﹣4×()﹣×80.25﹣(2019)0【解】(Ⅰ)原式=(lg2)2+lg5•(lg5+2lg2)﹣1=(lg2)2+(lg5)2+2lg5lg2﹣1=(lg2+lg5)2﹣1=0,(Ⅱ)原式=2×3+﹣4×﹣×﹣1=4×27+4﹣7﹣2﹣1=102.11.求值:(1);(2)log25.【解】(1)==;(2)=;12.(1).(2).【解】(1)原式=﹣1﹣+16=16.(2)原式=+2+2=.13.(1);(2).【解】(1)原式===(2)原式===14.(1).(2).【解】(1)原式==4;(2)原式====.15.(Ⅰ)(a>0,b>0);(Ⅱ).【解】(Ⅰ)原式===(Ⅱ)原式===1 16.(1);(2).【解】(1)由题知a﹣1>0即a>1,所以=a﹣1+|1﹣a|+1﹣a=a﹣1;(2)=lg(5×102)+lg8﹣lg5﹣lg+50[lg(2×5)]2=lg5+2+lg8﹣lg5﹣lg8+50=52.17.(1);(2)log3+lg25+lg4++log23•log94.【解】(1)原式=﹣72+﹣+1=﹣49+64+=15+4=19.(2)原式=+lg(25×4)+2+=﹣+2+2+1=.18.(1);(2).【解】(1)===2•3=6;(2).==2(lg5+lg2)+lg5•lg2+(lg2)2+lg5=2+lg2•(lg5+lg2)+lg5=2+1=3.19.(Ⅰ)log525+lg;(Ⅱ).【解】解:(Ⅰ)=.(Ⅱ)==0.20.计算.(1);(2)(log43+log83)(log32+log92).【解】(1)=4=4a.(2)(log43+log83)(log32+log92)=(log6427+log649)(log94+log92)=log64243•log98===.21.(1)0.﹣(﹣)0++0.;(2)lg25+lg2+()﹣log29×log32.【解】(1)0.﹣(﹣)0++0.=﹣1++=2.5﹣1+8+0.5=10(2)lg25+lg2+()﹣log29×log32=lg5+lg2+﹣2(log23×log32)=1+﹣2=﹣22.(1);(2).【解】(1)原式==100;(2)原式=﹣3=log39﹣3=﹣1.23.计算的值.【解】==2+2﹣lg3+lg6﹣lg2+2=6.24.(1)4;(2)lg.【解】(1)===11﹣π;(2)====.25.(1)(2)+(2)﹣3π0+(2).【解】(1)原式=+﹣3+=+﹣3+=3﹣3=0.(2)原式=﹣3+log24+=﹣3+2+=﹣1+2=1.26.求值:(1)(2).【解】(1)原式=﹣1++=﹣1++=.(2)原式=+3+﹣=2+3+1﹣=.27.(1)(2).【解】(1)原式=﹣++1=﹣64++1=﹣.(2)原式=•=×log55=.28.(1)(2.25)﹣(﹣9.6)0﹣()+(1.5)﹣2;(2)lg25+lg2﹣lg﹣log29×log32.【解】(1)原式=﹣1﹣+=﹣1﹣+=;(2)原式=lg5+lg2﹣lg﹣2log23×log32=1+﹣2=﹣.29.解方程:log3(x+14)+log3(x+2)=log38(x+6)【解】∵log3(x+14)+log3(x+2)=log38(x+6),∴log3[(x+14)(x+2)]=log38(x+6),∴,解得x=2.30.(1)已知4x+x﹣1=6,求的值;(2)若log32=m,log53=n,用m,n表示log415.【解】(1)显然x>0,令,则已知a2+b2=6,ab=2,∴,∴,(2)∵,∴.31.求值:(1),(2).【解】(1)=5﹣9×+1=6﹣9×=6﹣4=2.(2)=log66+lg10﹣3+e ln8=1﹣3+8=6.32.(1);(2).【解】(1)原式=1+×+(﹣1)=+1,(2)原式=log327+(lg25+lg4)﹣2=+2﹣2=.33.(1);(2).【解】(1)==﹣5.(2)=.34.(1)(0.064)﹣(﹣)0+[(﹣2)3]+16﹣0.75;(2)2log32﹣log3+log38﹣5.【解】(1)(0.064)﹣(﹣)0+[(﹣2)3]+16﹣0.75=(0.43)﹣1+(﹣2)﹣4+(24)=0.4﹣1﹣1++2﹣3=﹣1++=.(2)2log32﹣log3+log38﹣5===﹣1.35.(1);(2).【解】(1)原式==.(2)原式==.36.(Ⅰ);(Ⅱ).【解】(Ⅰ)原式==16+1﹣1﹣1=15.(Ⅱ)原式====625.37.计算下列各式的值;(1);(2).【解】(1)原式=﹣+1﹣5=﹣2+1﹣5=﹣.(2)原式=﹣log33+4lg2+lg5﹣lg8+e ln8=﹣+3lg2+(lg2+lg5)﹣3lg2+8=﹣+1+8=.38.(1)lg25+lg32+lg5•lg20+(lg2)2;(2).【解】(1)原式=2lg5+lg2+lg5•(lg2+lg10)+(lg2)2=2(lg2+lg5)+lg5•lg2+lg5+(lg2)2=2+lg2•(lg2+lg5)+lg5=2+lg2+lg5=2+1=3;(2)原式=﹣﹣2×1÷=﹣﹣=0.39.(1);(2).【解】(1)原式=.(2)原式=.40.(1);(2)+lg2+lg5.【解】(1)原式=﹣+×=﹣+25×=﹣+2=.(2)原式=3+1﹣2+(lg2+lg5)=3+1﹣2+1=3.41.(1)(a>0,b>0);(2).【解】(1)原式=;(2)原式==.42.(Ⅰ);(Ⅱ).【解】(Ⅰ)原式=.(Ⅱ)原式=.43.(1)4+()﹣(﹣1)0+;(2)log9+lg25+lg2﹣log49×log38.【解】(1)4+()﹣(﹣1)0+=+﹣1﹣3=﹣;(2)log9+lg25+lg2﹣log49×log38=4+lg5+lg2﹣log23×log38=4+1﹣3=2.44.且a≠1);(2)(a≠0).【解】且a≠1)=+=(a x﹣1)=a x﹣1;(2)(a≠0)===﹣1.45.求值:(1);(2)(log37+log73)2﹣.【解】(1)原式=.(2)原式=.46.log49•log38+lne2+lg0.01.【解】原式==3+2+(﹣2)+5×3=18.47.计算(1);(2).【解】(1)原式=2lg2﹣(lg2﹣lg5)﹣﹣=lg2+lg5﹣﹣=1﹣=;(2)原式=3+1﹣2+1=3.48.(1);(2).【解】(1);(2).49.(1)()×(﹣)0+9×﹣;(2)log3+lg25﹣3log334+lg4.【解】(1)()×(﹣)0+9×﹣=()×1+×﹣()=×=3;(2)log3+lg25﹣3log334+lg4=log3+lg25﹣12+lg4=﹣+2﹣12=﹣10.50.(Ⅰ)已知,求的值;(Ⅱ)求(2log43+log83)(log32+log92)的值.【解】(Ⅰ)∵,∴a=,b=,∴=====2.(Ⅱ)原式=(log23)(log32)==2.51.幂、指数、对数的运算(在划线处直接填写结果)(1)化简(结果用有理数指数幂表示):;(2)已知log53=a,试用a表示log459;(3)若,则实数M.【解】(1)原式=2×(﹣6)÷4××=(﹣3)××b﹣1=﹣3b﹣1,(2)根据题意,log53=a,则log459====;(3)若,则M===.52.(Ⅰ)设函数f(x)=,计算f(f(﹣4))的值;(Ⅱ)log525+lg;(Ⅲ).【解】(Ⅰ)因为﹣4<0,所以f(﹣4)=﹣4+6=2>0所以,.(Ⅱ)=(每一项(1分)结论1分)(Ⅲ)==。
每天一刻钟,数学点点通郭大侠的数学江湖指数对数运算练习题1.已知,b=0.32,0.20.3c =,则a,b,c 三者的大小关系是()A.b>c>aB.b>a>cC.a>b>cD.c>b>a2.已知432a =,254b =,1325c =,则(A)b a c <<(B)a b c <<(C)b c a<<(D)c a b<<3.三个数6log ,7.0,67.067.0的大小顺序是()A.7.07.0666log 7.0<< B.6log 67.07.07.06<<C.67.07.07.066log << D.7.067.067.06log <<4.已知4log ,4.0,22.022.0===c b a ,则()A.c b a >>B.a c b>>C.c a b>>D.b c a>>5.设 1.1 3.13log 7,2,0.8ab c ===则()A.c a b <<B.ba c << C.ab c << D.bc a <<6.三个数3.0222,3.0log ,3.0===c b a 之间的大小关系是()A.b c a <<B.c b a <<C.ca b <<D.ac b <<7.已知 1.22a =,0.80.5b =,2log 3c =,则()A.a b c>>B.c b a <<C.c a b>>D.a c b>>8.已知132a -=,21211log ,log 33b c ==,则()A.a b c>>B.a c b>>C.c a b>>D.c b a >>9.已知0.30.2a =,0.2log 3b =,0.2log 4c =,则()A.a>b>cB.a>c>bC.b>c>aD.c>b>a10.设0.61.50.60.60.6 1.5a b c ===,,,则a b c ,,的大小关系是()(A)a b c <<(B) a c b <<(C)b a c <<(D)b c a<<试卷第2页,总8页11.设a=34⎛⎫ ⎪⎝⎭0.5,b=43⎛⎫ ⎪⎝⎭0.4,c=log 34(log 34),则()A.c<b<a B.a<b<c C.c<a<bD.a<c<b12.已知132a -=,21211log ,log 33b c ==,则()A.a b c>>B.a c b>>C.c a b>>D.c b a>>13.已知03131log 4,(),log 105a b c ===,则下列关系中正确的是()A.a b c >>B.b a c >>C.a c b >>D.c a b>>14.设0.5342log log 2a b c π-===,,,则()A.b a c>> B. b c a >> C.a b c >> D.a c b>>15.设0.90.48 1.512314,8,(2y y y -===,则()A.312y y y >>B.213y y y >>C.132y y y >>D.123y y y >>16.设12log 5a =,0.213b ⎛⎫= ⎪⎝⎭,132c =,则()A .a b c<<B .c b a<<C .c a b<<D .b a c<<17.设221333111(,(),()252a b c ===,则,,a b c 的大小关系是()A.a b c >>B.c a b >>C.a c b>> D.c b a>>18.已知0.5log sin a x =,0.5log cos b x =,0.5log sin cos c x x =,,42x ππ⎛⎫∈ ⎪⎝⎭,则,,a b c 的大小关系为()A.b a c>> B.c a b>> C.c b a>> D.b c a>>19.设0.50.82x =,2log y =sin1z =,则x 、y 、z 的大小关系为()A.x y z<< B.y z x<< C.z x y<< D.z y x<<每天一刻钟,数学点点通郭大侠的数学江湖20.若21log 0,(12ba <> ,则()A .1,0a b >>B .1,0a b ><C .01,0a b <<> D .01,0a b <<< 21.已知1122log log a b <,则下列不等式一定成立的是()A.1143ab⎛⎫⎛⎫< ⎪ ⎪⎝⎭⎝⎭B.11a b> C.()ln 0a b -> D.31a b-<22.计算(1)(2)1.0lg 10lg 5lg 2lg 125lg 8lg --+23.计算:1132081()274e π-⎛⎫⎛⎫--++ ⎪ ⎪⎝⎭⎝⎭;②2lg 5lg 4ln ++.24.化简下列各式(其中各字母均为正数):(1)131.5-×76⎛⎫-⎪⎝⎭0+80.25)6;211113322---()(3)41332233814a a bb a⎛÷⨯⎝--+25.(12分)化简或求值:(1)110232418(22(2)()5427--+⨯-;(2)2lg5+试卷第4页,总8页每天一刻钟,数学点点通郭大侠的数学江湖26.(12分)化简、求值:(1)220.53327492()()(0.008)8925---+⨯;(2)计算2lg 5lg8000(lg 11lg 600lg 36lg 0.0122⋅+--27.(本小题满分10分)计算下列各式的值:(1)2203227()(1()38-+-;(2)5log 33332log 2log 32log 85-+-试卷第6页,总8页28.计算:(1)0021)51(1212)4(2---+-+-;(2)3log 5.222ln 001.0lg 25.6log +++e 29.(本题满分12分)计算以下式子的值:1421(0.252--+⨯;(2)7log 237log 27lg 25lg 47log 1++++.30.计算(1)7log 203log lg 25lg 47(9.8)+++-(2)32310641(833()1(416-+--π-每天一刻钟,数学点点通郭大侠的数学江湖31.计算:()10012cos3022π-⎛⎫-+- ⎪⎝⎭.32.(本题满分12分)计算(1)5log 923215log 32log (log 8)2+-(2)())121023170.0272179--⎛⎫⎛⎫-+-- ⎪ ⎪⎝⎭⎝⎭33.(1)化简:1222232()()()a b ab a b ---⋅÷;.34.计算:(1)2482(2013)ππ---⨯--(26cos 45-o试卷第8页,总8页35.(1)计算3log 238616132(log 4)(log 27)log 82log 3--+.(2)若1122x x-+=,求1223x x x x --++-的值.36.求值:(122316ln 4⎛⎫-+ ⎪⎝⎭37.(1)求值:(2)已知31=+x x 求221xx +的值38.计算:(1)943232053312332278-⎪⎭⎫⎝⎛-⎪⎭⎫ ⎝⎛-⨯-⎪⎭⎫ ⎝⎛+⎪⎭⎫ ⎝⎛(2)23log 32lg 222lg 52lg ++-39.下列四个命题:①11(0,),()()23xxx ∃∈+∞>;②23(0,),log log x x x ∃∈+∞<;③121(0,),()log 2xx x ∀∈+∞>;④1311(0,),(log 32xx x ∀∈<.其中正确命题的序号是.40.(23227log 28-⎛⎫--- ⎪⎝⎭=_____________________________参考答案1.A【来源】2013-2014学年福建省三明一中高二下学期期中考试文科数学试卷(带解析)【解析】试题分析:由指数函数的单调性可知0.3xy =是单调递减的所以0.50.20.30.3<即a<c<1;2xy =是单调增的,所以0.30221y =>=,即可知A 正确考点:指数函数比较大小.2.A【来源】2016年全国普通高等学校招生统一考试理科数学(新课标3卷精编版)【解析】试题分析:因为422335244a b ==>=,1223332554c a ==>=,所以b a c <<,故选A.【考点】幂函数的性质.【技巧点拨】比较指数的大小常常根据三个数的结构联系相关的指数函数与对数函数、幂函数的单调性来判断,如果两个数指数相同,底数不同,则考虑幂函数的单调性;如果指数不同,底数相同,则考虑指数函数的单调性;如果涉及到对数,则联系对数的单调性来解决.3.D【来源】2013-2014学年广西桂林十八中高二下学期开学考理科数学试卷(带解析)【解析】试题分析:0.70661>=,6000.70.71<<=,0.70.7log 6log 10<=,所以60.70.7log 600.716<<<<.考点:用指数,对数函数特殊值比较大小.4.A .【来源】2014届安徽“江淮十校”协作体高三上学期第一次联考理数学卷(带解析)【解析】试题分析:因为0,10,1<<<>c b a ,所以c b a >>,故选A.考点:利用指数函数、幂函数、对数函数的单调性比较数式的大小.5.B【来源】2014年全国普通高等学校招生统一考试文科数学(安徽卷带解析)【解析】试题分析:由题意,因为3log 7a=,则12a <<; 1.12b =,则2b >; 3.10.8c =,则00.81c <=,所以c a b<<考点:1.指数、对数的运算性质.6.C【来源】2014-2015学年山东省德州市重点中学高一上学期期中考试数学试卷(带解析)【解析】试题分析:∵200.31a <=<,22b log 0.3log 10=<=,0.30221c =>=,∴c a b <<考点:根式与分数指数幂的互化及其化简运算.7.D【来源】2014届河北省唐山市高三年级第三次模拟考试文科数学试卷(带解析)【解析】试题分析:∵ 1.222a =>,0.800.51<<,21log 32<<,∴a c b >>.考点:利用函数图象及性质比较大小.8.C【来源】2014年全国普通高等学校招生统一考试文科数学(辽宁卷带解析)【解析】试题分析:因为132(0,1)a -=∈,221log log 103b =<=,112211log log 132c =>=,故c a b >>.考点:指数函数和对数函数的图象和性质.9.A【来源】2014届浙江省嘉兴市高三上学期9月月考文科数学试卷(带解析)【解析】试题分析:由指数函数和对数函数的图像和性质知0a >,0b <,0c <,又对数函数()0.2log f x x =在()0,+∞上是单调递减的,所以0.20.2log 3log 4>,所以a b c >>.考点:指数函数的值域;对数函数的单调性及应用.10.C【来源】2015年全国普通高等学校招生统一考试文科数学(山东卷带解析)【解析】由0.6xy =在区间(0,)+∞是单调减函数可知, 1.50.600.60.61<<<,又0.61.51>,故选C .考点:1.指数函数的性质;2.函数值比较大小.11.C【来源】2014届上海交大附中高三数学理总复习二基本初等函数等练习卷(带解析)【解析】由题意得0<a<1,b>1,而log 34>1,c=log 34(log 34),得c<0,故c<a<b.12.C【来源】2014年全国普通高等学校招生统一考试理科数学(辽宁卷带解析)【解析】试题分析:1032122110221,log 0,log log 31,33ab c -<=<==<==>所以c a b >>,故选C.考点:1.指数对数化简;2.不等式大小比较.13.A.【来源】2015届湖南省益阳市箴言中学高三第一次模拟考试文科数学试卷(带解析)【解析】试题分析:∵33log 4log 31a =>=,01(15b ==,11331log 10log 13c =<=,∴a b c >>.考点:指对数的性质.14.A【来源】2015届河南省八校高三上学期第一次联考文科数学试卷(带解析)【解析】试题分析:∵0.53422,,a b log c log π-===,0.52112>-,341122>,=log log π.∴>>b a c .故选:A.考点:不等式比较大小.15.C【来源】2012-2013学年广东省执信中学高一下学期期中数学试题(带解析)【解析】试题分析:根据题意,结合指数函数的性质,当底数大于1,函数递增,那么可知0.9 1.80.48 1.44 1.5 1.5123142,82,()22y y y -======,结合指数幂的运算性质可知,有132y y y >>,选C.考点:指数函数的值域点评:解决的关键是以0和1为界来比较大小,属于基础题。
第十九天 指数函数、对数函数与幂函数1. 指数运算法则:a x a y =a x +y ,(a x )y =a xy,a xa y =a x -y . 2. 对数运算法则:log a x +log a y =log a (xy ),log a x -log a y =log a x y ,log a x n=n log a x .1. 求下列函数的定义域:(1) y =log 0.2(4-x );(2) y =log a x -1(a >0,a ≠1).___________________________________________________________________________________________________________________________________________________________________________________________________2. 画出函数y =log 2|x |的图象,并根据图象写出函数的单调区间.___________________________________________________________________________________________________________________________________________________________________________________________________3. (1) 已知3x ≥30.5,求实数x 的取值范围;(2) 已知0.2x<25,求实数x 的取值范围.____________________________________________________________________________________________________________________________________________________________________________________________________________________________________________________________________4. 求下列各式的值:(1) log 2(23×45);(2) log 5125.____________________________________________________________________________________________________________________________________________________________________________________________________________________________________________________________________5. 求log 89×log 332的值.____________________________________________________________________________________________________________________________________________________________________________________________________________________________________________________________________6. 某种储蓄按复利计算利息,若本金为a 元,每期利率为r ,设存期是x (x ∈N *),本利和(本金加上利息)为y 元.(1) 写出本利和y 随存期x 变化的函数关系式;(2) 已知存入本金1000元,每期利率为2.25%,试计算5期后的本利和.____________________________________________________________________________________________________________________________________________________________________________________________________________________________________________________________________ _________________________________________________________________(参考时间60分钟 满分100分)班级________ 姓名________ 成绩________ 家长签字________一、 选择题(每题5分,共30分)3. (*)已知3m =5n =k 且1m +1n =2,则k 的值为( )A. 5B. 15C. 5D. 2254. (*)若幂函数f (x )=(m 2-2m +1)x 2m -1在(0,+∞)上为增函数,则实数m 的值为( )A. 0B. 1C. 2D. 1或25. (**)函数f (x )=log a (2x -3)-4(a >0且a ≠1)的图象恒过定点( )A. (1,0)B. (1,-4)C. (2,0)D. (2,-4)6. (**)函数y =x a ,y =x b ,y =x c 的大致图像如图所示,则实数a ,b ,c 的大小关系是( )A. c <b <aB. a <b <cC. b <c <aD. c <a <b二、 填空题(每题5分,共20分)7. (**)函数f (x )=log 2(4-3x 2)的定义域为________. 8. (**)若函数f (x )=|log 2x |,则当f (a )>f ⎝ ⎛⎭⎪⎫92时,a 的取值范围是________. 9. (**)已知奇函数f (x )在(0,+∞)上单调递增,且f (1)=0,则当f (lg t )<0时,t 的取值范围为________.10. (***)已知函数f (x )=1+log 2x (1≤x ≤4),则函数g (x )=f 2(x )+f (x 2)的值域为________. 三、 解答题(第11、12题每题16分,第13题18分)11. (**)已知函数f (x )=lg(x +1)-lg(1-x ).(1) 求函数f (x )的定义域;(2) 判断函数f (x )的奇偶性._________________________________________________________________ _________________________________________________________________ _________________________________________________________________ _________________________________________________________________ _________________________________________________________________ _________________________________________________________________ _________________________________________________________________ _________________________________________________________________12. (**)已知函数f (x )=lg(mx 2+x +1)的值域为R ,求实数m 的取值范围. _________________________________________________________________ _________________________________________________________________ _________________________________________________________________ __________________________________________________________________________________________________________________________________ _________________________________________________________________ _________________________________________________________________ _________________________________________________________________13. (***)已知函数f (x )=a x -1(a >0且a ≠1).(1) 若函数y =f (x )的图象经过点P (3,4),求a 的值;(2) 比较f ⎝ ⎛⎭⎪⎫lg 1100与f (-2.1)大小,并写出比较过程; (3) 若f (lg a )=100,求a 的值._________________________________________________________________ _________________________________________________________________ _________________________________________________________________ _________________________________________________________________ _________________________________________________________________ _________________________________________________________________ _________________________________________________________________ _________________________________________________________________第十九天 指数函数、对数函数与幂函数教材例题回顾练1. (1) (-∞,4) (2) (1,+∞)2. 略3. (1) [0.5,+∞) (2) (-2,+∞)4. (1) 13(2) 3 5. 1036. (1) y =a (1+r )x ,x ∈N * (2) 1117.68元 暑期限时检测1. C 解析:由条件知a ≥0,则a 12 a 12 a =a 12 a 12+12=a 12·a =a 12·a 12=a =a 12,故选C.2. A 解析:原式=36×13+log 2510=9-1=8. 3. B 解析:因为3m =5n =k >0,所以m =log 3k ,n =log 5k ,则1m +1n =1log 3k +1log 5k=log k 3+log k 5=log k 15=2,所以k =15.故选B. 4. C 解析:因为幂函数f (x )=(m 2-2m +1)·x2m -1在(0,+∞)上为增函数, 所以⎩⎪⎨⎪⎧ m 2-2m +1=1,2m -1>0,)解得m =2.故选C. 5. D 解析:令2x -3=1得x =2,所以f (2)=log a 1-4=-4.故f (x )过点(2,-4).故选D.6. A 解析:取x =12,则由图象可知⎝ ⎛⎭⎪⎫12a <⎝ ⎛⎭⎪⎫12b <⎝ ⎛⎭⎪⎫12c .因为0<12<1,相应的指数函数y =⎝ ⎛⎭⎪⎫12x 是减函数,所以c <b <a .7. ⎝ ⎛⎭⎪⎫-2 33,2 33 8. ⎝ ⎛⎭⎪⎫0,29∪⎝ ⎛⎭⎪⎫92,+∞ 9. ⎝ ⎛⎭⎪⎫0,110∪(1,10) 10. [2,7] 11. 解:(1) 依题意有⎩⎪⎨⎪⎧ x +1>0,1-x >0,)解得-1<x <1,故函数的定义域为(-1,1).(2) 因为f (-x )=lg(1-x )-lg(1+x )=-f (x ),所以f (x )为奇函数.12. 解:因为f (x )=lg(mx 2+x +1)的值域为R ,所以g (x )=mx 2+x +1可以取到一切的正实数,① 当m =0时,g (x )=x +1可以取到一切正实数;② 当m <0时,g (x )=m ⎝ ⎛⎭⎪⎫x +12m 2+1-14m <1-14m ,显然不满足题意; ③ 当m >0时,若g (x )可以取到一切的正实数,则有Δ≥0,即1-4m ≥0,所以m ≤14,此时,0<m ≤14. 综上实数m 的取值范围为⎣⎢⎡⎦⎥⎤0,14. 13. 解:(1) 因为函数y =f (x )的图象经过P (3,4),所以a3-1=4,即a 2=4.又a >0,所以a =2. (2) 当a >1时,f ⎝ ⎛⎭⎪⎫lg 1100>f (-2.1); 当0<a <1时,f ⎝ ⎛⎭⎪⎫lg 1100<f (-2.1). 因为f ⎝ ⎛⎭⎪⎫lg 1100=f (-2)=a -3,f (-2.1)=a -3.1. 当a >1时,y =a x 在(-∞,+∞)上为增函数,因为-3>-3.1,所以a -3>a -3.1. 即f ⎝ ⎛⎭⎪⎫lg 1100>f (-2.1). 当0<a <1时,y =a x 在(-∞,+∞)上为减函数,因为-3>-3.1,所以a -3<a-3.1. 即f ⎝ ⎛⎭⎪⎫lg 1100<f (-2.1). (3) 由f (lg a )=100知,alg a -1=100. 所以lg a lg a -1=2(或lg a -1=log a 100).所以(lg a -1)lg a =2.所以lg 2a -lg a -2=0,所以lg a =-1或lg a =2,所以a =110或a =100.。
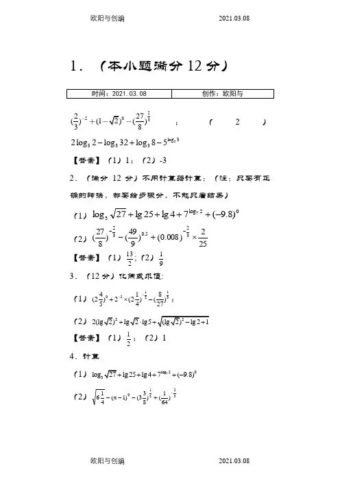
2017-2018学年 高一数学 必修一 对数运算 计算题练习时间:2021.02.03创作:欧阳体1、计算:.2、计算:3、计算:.4、计算:.5、计算:6、计算:3log 2lg 27log 5.0lg 24log 232-+-+8、计算:2.1lg 3.0lg )1000lg 8lg 27(lg 19lg 3lg 2⋅-+⋅+-.9、计算:lg25+lg2·lg 50+lg 22; 10、计算:11、计算:12、计算:13、计算:14、计算:12lg )2(lg 5lg 2lg )2(lg 222+-+⋅+15、计算:.16、计算:17、计算:;18、计算:20、计算:21、计算:22、计算:;23、计算:24、计算:25、计算:26、计算:27、计算:;28、计算.29、计算:.30、计算:.31、计算:32、计算:2log 32-log3+log38-;33、计算:.34、计算:35、计算:36、计算:lg +lg 70-lg 3-;37、计算:(lg5)2+lg2·lg50+21+log25.38、计算:39、计算:参考答案1、答案为:1.5.2、答案为:4.75.3、答案为:6.5.4、答案为:4.5.5、答案为:-4.6、答案为:1.5.8、答案为:-1.5.9、答案为:2.10、答案为:1.25.11、答案为:212、答案为:513、答案为:1+2.14、答案为:1.15、答案为:-7.16、答案为:5.17、答案为:0.18、答案为:320、答案为:0.5.21、答案为:4.22、答案为:a-2.23、答案为:1.24、答案为:1.5.25、答案为:0.5.26、答案为:7/6.27、答案为:6.28、答案为:1.29、答案为:3.5.30、答案为:1.31、答案为:3.5.32、答案为:-7.33、答案为:2.34、答案为:035、答案为:1.25.36、答案为:lg3.37、答案为:1+2.38、答案为:11.39、答案为:2.时间:2021.02.03 创作:欧阳体。
1.(本小题满分12分)223227()(12)()38;(2)5log 33332log 2log 32log 85-+-【答案】(1)1;(2)-32.(满分12分)不用计算器计算:(注:只要有正确的转换,都要给步骤分,不能只看结果) (1)02log 3)8.9(74lg 25lg 27log 7-++++(2)252)008.0()949()827(325.032⨯+---【答案】(1)213;(2)913.(12分)化简或求值:(1)110232418(2)2(2)()5427--+⨯-;(2)2lg5+【答案】(1)21;(2)14.计算(1)7log 203log lg25lg47(9.8)+++-(2)32310)641()833()1(416-+--π-【答案】(1)132(2) 165.(本小题满分10分) 计算下列各式的值:(1)223227()(12)()38; (2)5log 33332log 2log 32log 85-+-【答案】(1)1;(2)-3.6.求值:1)21lg5(lg8lg1000)(lg lg lg 0.066++++;2211113322a a b--【答案】1)1;2)1 。
7.(12分)(1)计算2532)31(001.0lg 9log 4log 25log --+•• (2) 63735a a a ÷⋅ 【答案】(1)-4;(2)21a 。
8.(本小题满分12分) 计算5log 3333322log 2log log 859-+-的值。
【答案】-19.(本小题满分13分) 计算下列各式的值: (1)10421()0.252-+⨯;(2)8log )12()31(2lg 5lg 202+-+--+- .【答案】(1)原式=414132--+⨯=-;(2)原式=-410.(本小题满分12分)计算:(1)0.25×421-⎪⎭⎫ ⎝⎛-4÷()2116115-⎪⎭⎫⎝⎛--;(2)()22lg 50lg 2lg 25lg +•+.【答案】(1)原式=-4;(2) 原式=2 11.求51lg12.5lg lg 82-+的值.【答案】51lg12.5lg lg 82-+1=12.计算下列各式的值: (1)31213125.01041027.010])833(81[])87(3[)0081.0(⨯-+⨯⨯------;(2) 12lg )2(lg 5lg 2lg )2(lg 222+-+•+; 【答案】(1)原式===0 (2)原式===113.求7log 23log lg 25lg 473+++的值 【答案】解:原式=2)425lg(33log 433+⨯+ =210lg 3log 2413++-=4152241=++-14.计算下列各式 (Ⅰ)120lg 5lg 2lg )1(2-+(Ⅱ)025.04213463)2011(82)4916(4)22()32(--⨯-⨯-+⨯-【答案】15.(本小题满分8分)不用计算器计算:7log 203log lg25lg47(9.8)+++-。
学习目标 1.构建知识网络;2.进一步熟练指数、对数运算,加深对公式成立条件的记忆;3.以函数观点综合理解指数函数、对数函数、幂函数.1.指数幂、对数式的运算、求值、化简、证明等问题主要依据指数幂、对数的运算性质,在进行指数、对数的运算时还要注意相互间的转化.2.指数函数和对数函数的性质及图像特点是这部分知识的重点,而底数a的不同取值对函数的图像及性质的影响则是重中之重,要熟知a在(0,1)和(1,+∞)两个区间取值时函数的单调性及图像特点.3.应用指数函数y=a x和对数函数y=log a x的图像和性质时,若底数含有字母,要特别注意对底数a>1和0<a<1两种情况的讨论.4.幂函数与指数函数的主要区别:幂函数的底数为变量,指数函数的指数为变量.因此,当遇到一个有关幂的形式的问题时,就要看变量所在的位置从而决定是用幂函数知识解决,还是用指数函数知识去解决.5.比较几个数的大小是幂函数、指数函数、对数函数性质应用的常见题型,在具体比较时,可以首先将它们与零比较,分出正数、负数;再将正数与1比,分出大于1还是小于1;然后在各类中两两相比较.6.求含有指数函数和对数函数复合函数的最值或单调区间时,首先要考虑指数函数、对数函数的定义域,再由复合函数的单调性来确定其单调区间,要注意单调区间是函数定义域的子集.其次要结合函数的图像,观察确定其最值或单调区间.7.函数图像是高考考查的重点内容,在历年高考中都有涉及.考查形式有知式选图、知图造式、图像变换以及用图像解题.函数图像形象地显示了函数的性质,利用数形结合有时起到事半功倍的效果.类型一指数、对数的运算例1 化简:(1)2932-⨯÷解 原式=2239533222(2)(10)10-⨯÷=2-1×103×1052-=2-1×1012=102. (2)2log 32-log 3329+log 38-25log 53.解 原式=log 34-log 3329+log 38-552log 3=log 3⎝⎛⎭⎫4×932×8-55log 9 =log 39-9=2-9=-7.反思与感悟 指数、对数的运算应遵循的原则指数式的运算首先注意化简顺序,一般负指数先转化成正指数,根式化为分数指数幂运算,其次若出现分式则要注意分子、分母因式分解以达到约分的目的.对数运算首先注意公式应用过程中范围的变化,前后要等价,熟练地运用对数的三个运算性质并结合对数恒等式,换底公式是对数计算、化简、证明常用的技巧.跟踪训练1 计算80.25×42+(32×3)6+log 32×log 2(log 327)的值为________. 答案 111解析 ∵log 32×log 2(log 327)=log 32×log 23 =lg2lg3×lg3lg2=1, ∴原式=314422⨯+22×33+1=21+4×27+1=111. 类型二 数的大小比较 例2 比较下列各组数的大小. (1)27,82;解 ∵82=(23)2=26,由指数函数y =2x 在R 上递增知26<27,即82<27. (2)log 20.4,log 30.4,log 40.4;解 ∵对数函数y =log 0.4x 在(0,+∞)上是减函数, ∴log 0.44<log 0.43<log 0.42<log 0.41=0. 又幂函数y =x -1在(-∞,0)上是减函数,∴1log 0.42<1log 0.43<1log 0.44, 即log 20.4<log 30.4<log 40.4.(3)13212112,log ,log .33-解 ∵0<132-<20=1,log 213<log 21=0,112211log log 1,32>= 1321211log 2log .33-∴<<反思与感悟 数的大小比较常用方法:(1)比较两数(式)或几个数(式)的大小问题是本章的一个重要题型,主要考查指数函数、对数函数、幂函数图像与性质的应用及差值比较法与商值比较法的应用.常用的方法有单调性法、图像法、中间搭桥法、作差法、作商法.(2)当需要比较大小的两个实数均是指数幂或对数式时,可将其看成某个指数函数、对数函数或幂函数的函数值,然后利用该函数的单调性比较.(3)比较多个数的大小时,先利用“0”和“1”作为分界点,即把它们分为“小于0”,“大于等于0小于等于1”,“大于1”三部分,再在各部分内利用函数的性质比较大小. 跟踪训练2 比较下列各组数的大小. (1)log 0.22,log 0.049; (2)a 1.2,a 1.3; (3)30.4,0.43,log 0.43.解 (1)∵log 0.049=lg9lg0.04=lg32lg0.22=2lg32lg0.2=lg3lg0.2=log 0.23. 又∵y =log 0.2x 在(0,+∞)上递减, ∴log 0.22>log 0.23,即log 0.22>log 0.049.(2)∵函数y =a x (a >0,且a ≠1),当底数a >1时在R 上是增函数;当底数0<a <1时在R 上是减函数,而1.2<1.3,故当a >1时,有a 1.2<a 1.3; 当0<a <1时,有a 1.2>a 1.3. (3)30.4>30=1, 0<0.43<0.40=1, log 0.43<log 0.41=0, ∴log 0.43<0.43<30.4.类型三 指数函数、对数函数、幂函数的综合应用 命题角度1 函数的性质及应用例3 已知函数f (x )=a ·2x +b ·3x ,其中常数a ,b 满足ab ≠0. (1)若ab >0,判断函数f (x )的单调性;(2)若ab <0,求f (x +1)>f (x )时的x 的取值范围.解 (1)当a >0,b >0时,因为a ·2x ,b ·3x 在R 上都是增函数,所以函数f (x )在R 上是增函数; 当a <0,b <0时,因为a ·2x ,b ·3x 在R 上都是减函数, 所以函数f (x )在R 上是减函数. (2)f (x +1)-f (x )=a ·2x +2b ·3x >0. ①当a <0,b >0时,⎝⎛⎭⎫32x >-a 2b , 解得x >log 32⎝⎛⎭⎫-a2b ; ②当a >0,b <0时,⎝⎛⎭⎫32x <-a2b , 解得x <log 32⎝⎛⎭⎫-a2b . 反思与感悟 指数函数、对数函数、幂函数是使用频率非常高的基本初等函数,它们经过加、减、乘、除、复合、分段,构成我们以后研究的函数,使用时则通过换元、图像变换等手段化归为基本的指数函数、对数函数、幂函数来研究. 跟踪训练3 已知函数f (x )=log a (1-x )+log a (x +3)(0<a <1). (1)求函数f (x )的定义域;(2)若函数f (x )的最小值为-2,求a 的值.解 (1)要使函数有意义,则有⎩⎪⎨⎪⎧1-x >0,x +3>0,解得-3<x <1,∴定义域为(-3,1).(2)函数可化为f (x )=log a [(1-x )(x +3)]=log a (-x 2-2x +3)=log a [-(x +1)2+4]. ∵-3<x <1,∴0<-(x +1)2+4≤4. ∵0<a <1,∴log a [-(x +1)2+4]≥log a 4. 由log a 4=-2,得a -2=4,∴a =124-=12. 命题角度2 函数的图像及应用例4 如图,函数f (x )的图像为折线ACB ,则不等式f (x )≥log 2(x +1)的解集是( )A .{x |-1<x ≤0}B .{x |-1≤x ≤1}C .{x |-1<x ≤1}D .{x |-1<x ≤2} 答案 C解析 借助函数的图像求解该不等式.令g (x )=y =log 2(x +1),作出函数g (x )的图像如图.由⎩⎪⎨⎪⎧ x +y =2,y =log 2(x +1), 得⎩⎪⎨⎪⎧x =1,y =1.∴结合图像知不等式f (x )≥log 2(x +1)的解集为{x |-1<x ≤1}.反思与感悟 指数函数、对数函数、幂函数图像既是直接考查的对象,又是数形结合求交点,最值,解不等式的工具,所以要能熟练画出这三类函数图像,并会进行平移、伸缩,对称、翻折等变换.跟踪训练4 若函数y =log a x (a >0,且a ≠1)的图像如图所示,则下列函数图像正确的是( )答案 B解析 由题意得y =log a x (a >0,且a ≠1)的图像过(3,1)点,可解得a =3.选项A 中,y =3-x =(13)x ,显然图像错误;选项B 中,y =x 3,由幂函数图像可知正确;选项C 中,y =(-x )3=-x 3,显然与所画图像不符;选项D 中,y =log 3(-x )的图像与y =log 3x 的图像关于y 轴对称.显然不符.故选B.1.化简2lg (lg a 100)2+lg (lg a )为( )A .1B .2C .3D .0答案 B解析 2lg (lg a 100)2+lg (lg a )=2lg (100·lg a )2+lg (lg a )=2[lg100+lg (lg a )]2+lg (lg a )=2.2.在同一直角坐标系中,函数f (x )=x a (x >0),g (x )=log a x 的图像可能是( )答案 D解析 显然a >0且a ≠1. 若0<a <1,则只有D 符合.若a >1,只有B 中y =x a 符合,但B 中g (x )不符合.3.函数f (x )=⎝⎛⎭⎫12x与函数g (x )=log 12|x |在区间(-∞,0)上的单调性为( )A .都是增函数B .都是减函数C .f (x )是增函数,g (x )是减函数D .f (x )是减函数,g (x )是增函数 答案 D解析 f (x )=⎝⎛⎭⎫12x在x ∈(-∞,0)上为减函数,g (x )=log 12|x |为偶函数,x ∈(0,+∞)时g (x )=log 12x 为减函数,所以在(-∞,0)上为增函数.4.已知322,P -=Q =⎝⎛⎭⎫253,R =⎝⎛⎭⎫123,则P ,Q ,R 的大小关系是( ) A .P <Q <R B .Q <R <P C .Q <P <R D .R <Q <P答案 B解析 由函数y =x 3在R 上是增函数知,⎝⎛⎭⎫253<⎝⎛⎭⎫123, 由函数y =2x在R 上是增函数知,322->2-3=⎝⎛⎭⎫123,所以P >R >Q .5.函数f (x )=2x |log 0.5x |-1与x 轴交点的个数为( ) A .1 B .2 C .3 D .4答案 B解析 函数f (x )=2x |log 0.5x |-1与x 轴的交点个数即为函数y =|log 0.5x |与y =12x 图像的交点个数.在同一直角坐标系中作出函数y =|log 0.5x |,y =12x 的图像(图略),易知有2个交点.1.函数是高中数学极为重要的内容,函数思想和函数方法贯穿整个高中数学的过程,对本章的考查是以基本函数形式出现的综合题和应用题,一直是常考不衰的热点问题. 2.从考查角度看,指数函数、对数函数概念的考查以基本概念与基本计算为主;对图像的考查重在考查平移变换、对称变换以及利用数形结合的思想方法解决数学问题的能力;对幂函数的考查将会从概念、图像、性质等方面来考查.课时作业一、选择题1.函数f (x )=1ln (x +1)+4-x 2的定义域为( )A .[-2,0]∪(0,2]B .(-1,0)∪(0,2]C .[-2,2]D .(-1,2]答案 B解析 由⎩⎪⎨⎪⎧x +1>0,ln (x +1)≠0,4-x 2≥0,得-1<x ≤2,且x ≠0.即x ∈(-1,0)∪(0,2].2.已知x ,y 为正实数,则( ) A .2lg x+lg y =2lg x +2lg yB .2lg(x +y )=2lg x ·2lg yC .2lg x ·lg y=2lg x +2lg yD .2lg(xy )=2lg x ·2lg y 答案 D解析 2lg x ·2lg y =2lg x+lg y=2lg(xy ).故选D.3.设函数f (x )=⎩⎪⎨⎪⎧1+log 2(2-x ),x <1,2x -1,x ≥1,则f (-2)+f (log 212)等于( )A .3B .6C .9D .12 答案 C解析 因为-2<1,log 212>log 28=3>1,所以f (-2)=1+log 2[2-(-2)]=1+log 24=3,f (log 212)=22log 121-=22log 12×2-1=12×12=6,故f (-2)+f (log 212)=3+6=9,故选C.4.下列区间中,函数f (x )=|ln(2-x )|在其上为增函数的是( ) A .(-∞,1] B.⎣⎡⎦⎤-1,43 C.⎣⎡⎭⎫0,32 D .[1,2)答案 D解析 方法一 当2-x ≥1,即x ≤1时,f (x )=|ln(2-x )|=ln(2-x ),此时函数f (x )在(-∞,1]上递减.当0<2-x ≤1,即1≤x <2时,f (x )=|ln(2-x )|=-ln(2-x ),此时函数f (x )在[1,2)上递增,故选D.方法二 f (x )=|ln(2-x )|的图像如图.由图像可得,函数f (x )在区间[1,2)上为增函数,故选D.5.已知f (x )是函数y =log 2x 的反函数,则y =f (1-x )的图像是( )答案 C解析 因为f (x )是函数y =log 2x 的反函数,所以f (x )=2x ,所以y =f (1-x )=21-x =⎝⎛⎭⎫12x -1,其函数图像可由函数y =⎝⎛⎭⎫12x 的图像向右平移1个单位长度得到,故选C.6.设f (x )是定义在(-∞,+∞)上的偶函数,且它在[0,+∞)上单调递增,若a =f ⎝⎛⎭⎫log213,b =f ⎝⎛⎭⎫log312,c =f (-2),则a ,b ,c 的大小关系是( ) A .a >b >c B .b >c >a C .c >a >b D .c >b >a答案 C解析 因为1=log 22<log23<log 22=2,0<log32<log33=1,所以0<log32<log23<2.因为f (x )在[0,+∞)上递增, 所以f (log32)<f (log23)<f (2).因为f (x )是偶函数, 所以a =f ⎝⎛⎭⎫log213=f (-log 23)=f (log23),b =f ⎝⎛⎭⎫log312=f (-log 32)=f (log32),c =f (-2)=f (2). 所以c >a >b . 二、填空题7.若函数f (x )=x ln(x +a +x 2)为偶函数,则a =________. 答案 1解析 f (x )为偶函数,则ln(x +a +x 2)为奇函数, 所以ln(x +a +x 2)+ln(-x +a +x 2)=0,即ln(a +x 2-x 2)=0,∴a =1.8.已知a 12=49(a >0),则log 23a =________.答案 4解析 ∵a 12=49(a >0),∴log 23 (a 12)=log 2349=2,∴12log 23a =2,∴log 23a =4. 9.若函数y =log 12(3x 2-ax +5)在[-1,+∞)上是减函数,则实数a 的取值范围是________.答案 (-8,-6]解析 令g (x )=3x 2-ax +5,其对称轴为直线x =a 6.依题意,有⎩⎪⎨⎪⎧a 6≤-1,g (-1)>0,即⎩⎪⎨⎪⎧a ≤-6,a >-8.10.若函数f (x )=2|x -a |(a ∈R )满足f (1+x )=f (1-x ),且f (x )在[m ,+∞)上单调递增,则实数m 的最小值等于________. 答案 1解析 ∵f (1+x )=f (1-x ),∴y =f (x )关于直线x =1对称,∴a =1. ∴f (x )=2|x -1|在[1,+∞)上单调递增.∴[m ,+∞)⊆[1,+∞). ∴m ≥1,即m 的最小值为1. 三、解答题11.若lg a ,lg b 是方程2x 2-4x +1=0的两根,求lg(ab )·⎝⎛⎭⎫lg a b 2的值. 解 ∵lg a ,lg b 是方程2x 2-4x +1=0的两根, ∴lg a +lg b =2,lg a lg b =12,∴(lg a -lg b )2=(lg a +lg b )2-4lg a lg b =4-2=2,∴lg(ab )·⎝⎛⎭⎫lg a b 2=(lg a +lg b )·(lg a -lg b )2 =2×2=4.12.已知函数f (x )=222x x a++(-2≤x ≤2).(1)写出函数f (x )的单调区间;(2)若f (x )的最大值为64,求f (x )的最小值. 解 (1)令t =x 2+2x +a ,则其对称轴x =-1, ∴t =x 2+2x +a 在[-2,-1]上递减, 在[-1,2]上递增,又y =2t 在(-∞,+∞)上递增,∴f (x )的增区间为[-1,2],减区间为[-2,-1]. (2)由(1)知f (x )max =f (2)=22222a ⨯++=28+a .∴28+a =64=26,∴8+a =6,a =-2,∴f (x )min =f (-1)=22(1)2(1)2⨯-+--=2-3=18.13.已知常数a (a >1)和变量x ,y 之间的关系式是log a x +3log x a -log x y =3,若x =a t (t ≠0),且当t ≥1时,y 的最小值是8,求相应的x 的值. 解 把x =a t 代入log a x +3log x a -log x y =3, 得t +3t -1t log a y =3.∴log a y =t 2-3t +3, ∴y =a 233t t -+.又t ≥1,a >1,故可令u =t 2-3t +3, 则当t =32时,u =t 2-3t +3有最小值为34,此时y 也有最小值,即y min =a 34=8, 此时x =a t=a 32=(a 34)2=82=64. 四、探究与拓展14.如图,矩形ABCD 的三个顶点A ,B ,C 分别在函数y =x ,y =x 12,y =⎝⎛⎭⎫22x的图像上,且矩形的边分别平行于两坐标轴.若点A 的纵坐标为2,则点D 的坐标为________.答案 ⎝⎛⎭⎫12,14解析 由图像可知,点A (x A,2)在函数y =x 的图像上,所以2=x A ,x A =⎝⎛⎭⎫222=12.点B (x B,2)在函数y =x 12的图像上,所以2=x 12B,x B =4.点C (4,y C )在函数y =⎝⎛⎭⎫22x的图像上, 所以y C =⎝⎛⎭⎫224=14. 又x D =x A =12,y D =y C =14,所以点D 的坐标为⎝⎛⎭⎫12,14.15.已知函数f (x )=x n -4x ,且f (4)=3.(1)判断f (x )的奇偶性并说明理由;(2)判断f (x )在区间(0,+∞)上的单调性,并证明你的结论;(3)若对任意实数x 1,x 2∈[1,3],有|f (x 1)-f (x 2)|≤t 成立,求t 的最小值. 解 (1)f (4)=4n -1=3,即4n =4,∴n =1. ∴f (x )=x -4x.其定义域为(-∞,0)∪(0,+∞),关于原点对称. 又∵f (-x )=-x +4x =-⎝⎛⎭⎫x -4x =-f (x ), ∴f (x )为奇函数.(2)f (x )在(0,+∞)上递增,证明如下: 任取x 1,x 2∈(0,+∞),且x 1>x 2, 则f (x 1)-f (x 2)=x 1-4x 1-x 2+4x 2=x 1-x 2+4(x 1-x 2)x 1x 2=(x 1-x 2)⎝⎛⎭⎫1+4x 1x 2. ∵x 1>x 2>0,∴x 1-x 2>0,1+4x 1x 2>0.∴f (x 1)-f (x 2)>0,即f (x 1)>f (x 2). ∴f (x )在(0,+∞)上递增. (3)依题意,得t ≥|f (x 1)-f (x 2)|成立, 只要t ≥|f (x 1)-f (x 2)|的最大值即可. ∵f (x )在区间[1,3]上递增. ∴|f (x 1)-f (x 2)|的最大值为|f (3)-f (1)|=⎪⎪⎪⎪⎝⎛⎭⎫3-43-(1-4)=143. ∴t ≥143.14故t的最小值为3.。
指数对数计算题
当涉及指数和对数计算题时,可以使用以下公式来解决问题:
1. 指数运算:
a^b = c
这表示a的b次方等于c,其中a为底数,b为指数,c 为结果。
2. 对数运算:
log(a, c) = b
这表示以a为底,c的对数等于b,其中a为底数,b为指数,c为结果。
下面是一些常见的指数和对数计算题目及其解答示例:
1. 计算指数:
示例:求解2的4次方。
解答:2^4 = 2 ×2 ×2 ×2 = 16。
2. 计算对数:
示例:求解以2为底,16的对数。
解答:log(2, 16) = 4。
这意味着以2为底,16的对数是4。
注意:在计算指数和对数时,确保使用正确的底数和指数,并根据需要使用计算器或数学软件进行计算。
海南省农垦中学2018届高一暑假作业
数学1——指数与对数运算
一、选择题:(每题5分,共60分) 1、计算:1602
[(2)](1)---=( )
A 、9-
B 、7
C 、10-
D 、9
2、已知()(01)x x f x a a a a -=+>≠且,且(1)3f =,则(2)f =( )
A 、7
B 、8
C 、9
D 、1
3、已知1
12
2
a a
-+= 01a <<, 则112
2
a a
-
-=( )
A 、1
B 、1-
C
D 、4、若35a
b
k ==,且
11
2a b
+=,则k =( )
A 、
B 、±
C 、
D 5、已知log 162x =,则x =( )
A 、4±
B 、256
C 、4
D 、2
6、若(10)x
f x =,则(3)f =( )
A 、3log 10
B 、lg 3
C 、310
D 、10
3
7、若1
log ,log 32
a
a m n ==,则2m n a +=( ) A 、3 B 、34 C 、9 D 、9
2
8、(2015新课标理科)设211log (2)1
()2
1x x x f x x -+-<⎧=⎨≥⎩,则2(2)(log 12)f f -+=( )
A 、3
B 、9
C 、6
D 、12 9、已知函数1()lg
1x f x x -=+,且1
()2
f a =,则()f a -= ( ) A 、2 B 、2- C 、12 D 、1
2
-
10、(2013陕西)设 ,,a b c 均不为1的正实数,则下列等式中恒成立的是( ) A 、log log log a c c b b a ⋅= B 、log log log a c c b a b ⋅=
C 、log ()log log a a a bc b c =⋅
D 、log ()log log a a a b c b c +=+
11、计算:25lg2⋅=( )
A 、2
B 、
1
2
C 、1
D 、10
12、(2012年安徽)计算:23(log 9)(log 4)⋅=( )
A 、
14 B 、1
2
C 、2
D 、4 二、填空题:(每题5分,共20分)
13、(2012年上海)方程2
42
120x
x ++-=的解为 ;
14、计算:100.25
337()()826-⨯-+= ;
15、计算:1ln 2
21(lg lg 25)1004
e --÷+= ;
16、设函数()f x 满足21
()1()log 2
f x f x =+,则(2)f = ;
三、解答题:(共70分)
17、计算:(每小题5分,共10分)
(1)若0x >,计算:1313114242
22
(23)(23)4()x x x x x -
+---;
(2)14
2
0.500.25
3
37(0.027)0.1(2)389
π-
-++-+。
18、计算:(每小题6分,共12分)
(1)3log 22536611
log 2log 1log 3log 12log 272
-++++- (2)22
lg 25lg8lg 5lg 20(lg 2)3
+
+⋅+
19、(12分)计算:
2
1111
3
3
22
---();
(2
(1-
20、(12分)(1)已知lg lg 2lg(2)x y x y +=-
,求x
y
的值。
(2)若3log 41x ⋅=,求332222x x
x
x
---+的值.
21、(12分)设,,x y z R +∈,且346x y z
==。
(1)求证:111
2z x y
-=
; (2)比较3,4,6x y z 的大小。
22、(12分)(1)计算:2
35111log log log 2589
⨯⨯. (2)已知18log 9,185b a ==,请用,a b 表示36log 45。