深圳市众鸿科技股份有限公司创业板首次公开发行股票doc资料
- 格式:doc
- 大小:30.00 KB
- 文档页数:10
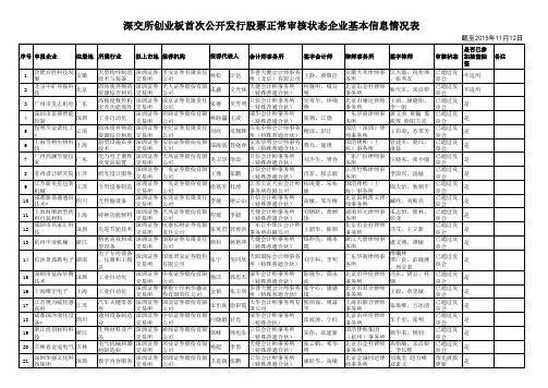
2012年02月02日 09:10证监会网站手机免费访问 |字体:大中小|我有话说序号申报企业注册地所属领域保荐机构保荐代表人1 山东泰丰液压股份有限公司山东关键机械基础件齐鲁证券有限公司战肖华张应彪2 北京欧地安科技股份有限公司北京电子专用设备东方证券股份有限公司孙树军张正平3 苏州天华超净科技股份有限公司江苏特种功能材料东海证券有限责任公司王磊马媛媛4 天津凯发电气股份有限公司天津轨道交通设备广发证券股份有限公司赵怡蒋继鹏5 江苏奥赛康药业股份有限公司江苏创新药物及关键技术中国国际金融有限公司吕洪斌徐慧芬6 山东华特磁电科技股份有限公司山东电力电子器件及变流装置华泰联合证券有限责任公司杨淑敏龚文荣7 深圳市景阳科技股份有限公司广东软件及应用系统招商证券股份有限公司陈佳杨爽8 闻泰通讯股份有限公司浙江计算机及外部设备国信证券股份有限公司赵刚吴小萍9 湖北富邦科技股份有限公司湖北新型高效生物肥料光大证券股份有限公司唐绍刚王广红10 南京宝色股份公司江苏复合材料国海证券股份有限公司刘迎军胡启11 河北四通新型金属材料股份有限公司河北复合材料兴业证券股份有限公司赵新征王剑敏12 北京水晶石数字科技股份有限公司北京数字内容服务中信证券股份有限公司刘顺明任波13 上海飞凯光电材料股份有限公司上海信息功能材料与器件国元证券股份有限公司罗欣于晓丹14 广东溢多利生物科技股份有限公司广东新型安全饲料民生证券有限责任公司王刚陆文昶15 上海麦杰科技股份有限公司上海软件及应用系统东海证券有限责任公司魏庆泉徐士锋16 江西3L医用制品集团股份有限公司江西医疗仪器东方证券股份有限公司李旭巍刘丽17 昆山华恒焊接股份有限公司江苏工业自动化东吴证券股份有限公司孟刚狄正林18 北京电旗通讯技术股份有限公司北京信息技术服务中信建投证券股份有限公司李旭东黄传照19 广东雅达电子股份有限公司广东软件及应用系统中信建投证券股份有限公司段斌李彦芝20 飞天诚信科技股份有限公司北京信息安全产品与系统国信证券股份有限公司何雨华马华锋21 深圳市神舟电脑股份有限公司深圳计算机及外部设备海通证券股份有限公司刘晴陈鸿杰22 浙江珍诚医药在线股份有限公司浙江电子商务服务光大证券股份有限公司任永刚王金明23 四川创意信息技术股份有限公司四川软件及应用系统招商证券股份有限公司傅承解刚24 深圳市盛讯达科技股份有限公司广东软件及应用系统恒泰证劵股份有限公司张英君郭春洪25 湖北龙辰科技股份有限公司湖北信息功能材料日信证券有限责任公司徐海啸方宏凯26 苏州斯莱克精密设备股份有限公司江苏数字化专用设备国信证券股份有限公司王中东钮蓟京27 成都豪能科技股份有限公司四川汽车关键零部件东方证券股份有限公司马云涛许劲28 福建归真堂药业股份有限公司福建中药制品万联证券有限责任公司李鸿项骏29 西安天和防务技术股份有限公司陕西民用雷达中信证券股份有限公司文富胜徐沛30 上海炫动传播股份有限公司上海数字内容服务中银国际证券有限责任公司宗俊俞露31 北京泰德制药股份有限公司北京重大疾病创新药物及关键技术华融证券股份有限公司付巍许欣32 深圳市凯立德科技股份有限公深圳卫星导航应用服务系中信建投证券股份邱平宋伟司统有限公司祎33 天壕节能科技股份有限公司北京先进节能技术国泰君安证券股份有限公司唐伟张斌34 唐山汇中仪表股份有限工司河北新型传感器广发证券股份有限公司张立军何宽华35 京华信息科技股份有限公司广东软件及应用系统中信建投证券股份有限公司代永波陈友新36 日地太阳能电力股份有限公司宁波太阳能齐鲁证券有限公司王初朱同和37 安徽国祯环保节能科技股份有限公司安徽工业和城市节水、废水处理国元证券股份有限公司梁化彬王钢38 大连路明发光科技股份有限公司大连新型显示器件中信建投证券股份有限公司吕晓峰郭瑛英39 东莞宜安科技股份有限公司广东复合材料安信证券股份有限公司唐劲松于冬梅40 浙江金卡高科技股份有限公司浙江软件及应用系统国金证券股份有限公司赵沂蒙余庆生41 北京光环新网科技股份有限公司北京软件及应用系统西南证券股份有限公司陈国潮李皓42 深圳市明源软件股份有限公司深圳软件及应用系统平安证券有限责任公司沈璐璐赵桂荣43 上海和鹰机电科技股份有限公司上海高精度数控机床及功能部件中信建投证券股份有限公司冯烜翟程44 新乡日升数控轴承装备股份有限公司河南关键机械基础件申银万国证券股份有限公司罗霄顾晶晶45 合肥百胜科技发展股份有限公司安徽大型构件制造技术与装备平安证券有限责任公司曾年生江成祺46 北京北信源软件股份有限公司北京软件及应用系统民族证劵有限责任公司何继兵姜勇47 长春迪瑞医疗科技股份有限公司吉林新型医用精密诊断及治疗设备国信证券股份有限公司孙建华苏勋智48 江苏斯菲尔电气股份有限公司江苏电力电子器件及变流装置齐鲁证券有限公司万炎华柳淑丽49 内蒙古和信园蒙草抗旱绿化股份有限公司内蒙古生态环境建设与保护东海证券有限责任公司冯文敏杨茂智50 深圳市明微电子股份有限公司深圳集成电路国信证券股份有限公司魏其芳龙敏51 珠海安联锐视科技股份有限公司广东数字音视频产品国信证券股份有限公司崔威曾劲松52 安徽铜都阀门股份有限公司安徽关键机械基础件平安证券有限责任公司徐圣能汪岳53 杭州泰格医药科技股份有限公司浙江科技成果转化服务中国中投证券有限责任公司王建刚魏德俊54 北京爱康宜诚医疗器材股份有限公司北京新型医用精密诊断及治疗设备招商证券股份有限公司蔡玉洁刘奇55 烟台台海玛努尔核电设备股份有限公司山东核技术应用中信建投证券股份有限公司彭波相晖56 广州市怡文环境科技股份有限公司广东环境自动监测系统广发证券股份有限公司成燕易莹57 深圳市中盟科技股份有限公司深圳信息技术服务海通证券股份有限公司胡宇廖卫江58 上海光维通信技术股份有限公司上海数字移动通信产品中国银河证券股份有限公司黄健李杰峰59 上海昊海生物科技股份有限公司上海新型医用精密诊断及治疗设备国信证券股份有限公司郭峰国磊峰60 山东道恩高分子材料股份有限公司山东高分子材料及新型催化剂齐鲁证券有限公司叶欣张文生61 江苏奥力威传感高科股份有限公司江苏新型传感器国金证券股份有限公司宋乐真徐彩霞62 深圳市劲拓自动化设备股份有限公司深圳工业自动化兴业证券股份有限公司刘秋芬徐长银63 楚天科技股份有限公司湖南高分子材料及新型催化剂宏源证券股份有限公司曾林彬郭宣忠64 深圳市长亮科技股份有限公司深圳软件及应用系统招商证券股份有限公司蒋欣王苏望65 湖南科美达电气股份有限公司湖南电力电子器件及变流装置海通证券股份有限公司梁石温家明66 长沙开元仪器股份有限公司湖南工业自动化平安证券有限责任公司汪家胜李红星67 天津膜天膜科技股份有限公司天津膜材料中信建投证券股份蔡诗林植有限公司文68 麦克奥迪(厦门)电气股份有限公司厦门电力电子器件及变流装置国金证券股份有限公司王强林庄海峻69 惠州硕贝德无线科技股份有限公司广东数字移动通信产品红塔证券股份有限公司姚晨航史哲元70 上海新文化传媒集团股份有限公司上海数字内容服务海通证券股份有限公司许灿汪烽71 华灿光电股份有限公司湖北信息功能材料与器件中信证券股份有限公司陈平进李小岩72 银邦金属复合材料股份有限公司江苏复合材料国盛证券有限责任公司孙盛良李舸73 江苏天鸟高新技术股份有限公司江苏特种纤维材料招商证券股份有限公司杨梧林于国庆74 宁夏日晶新能源装备股份有限公司宁夏太阳能民生证券有限责任公司李维丰于春宇75 AEM科技(苏州)股份有限公司江苏集成电路中信证券股份有限公司向晓娟王丹76 山东宏艺科技股份有限公司山东先进节能技术中信建投证券股份有限公司张志斌庄云志77 江苏润和软件股份有限公司江苏软件及应用系统中信证券股份有限公司杨峰王建文78 四川英杰电气股份有限公司四川工业自动化国都证券有限责任公司潘杨阳李亚峰79 重庆博腾制药科技股份有限公司重庆新型医用精密诊断及治疗设备西南证券股份有限公司王晖高贵雄80 浙江晶盛机电股份有限公司浙江电子专用设备、仪器和工模具国信证券股份有限公司张邦明郭晓彬81 江苏南大光电材料股份有限公司江苏信息功能材料与器件太平洋证券股份有限公司程正茂唐卫华82 深圳兆日科技股份有限公司深圳太阳能平安证券有限责任公司肖献伟朱文瑾83 山东联创节能新材料股份有限公司山东环境友好材料东吴证券股份有限公司尹鹏王茂华84 嘉兴佳利电子股份有限公司浙江数字移动通信产品财通证劵有限责任公司李建壮刘勇85 广州鹿山新材料股份有限公司广东太阳能招商证券股份有限公司朱权炼朱强86 安徽惊天液压智控股份有限公司安徽关键机械基础件华泰联合证券有限责任公司黄欣欣吴中华87 北京太空板业股份有限公司北京新型建筑节能材料国金证券股份有限公司罗洪峰韦建88 深圳市麦捷微电子科技股份有限公司深圳数字移动通信产品平安证券有限责任公司吴永平陈华89 北京安控科技股份有限公司北京工业自动化安信证券股份有限公司于睿陈若愚90 无锡上机数控股份有限公司江苏高精度数控机床及功能部件华泰联合证券有限责任公司孙川钟丙祥91 深圳市雄帝科技股份有限公司深圳电子专用设备招商证券股份有限公司王昭田建桥92 西安未来国际信息股份有限公司陕西软件及应用系统平安证券有限责任公司汪洋吴光琳93 光一科技股份有限公司江苏电网输送及安全保障技术华泰联合证券有限责任公司刘惠萍黄飞94 海诺尔环保产业股份有限公司四川固体废弃物的资源综合利用宏源证券股份有限公司温泉陈海军95 谱尼测试科技股份有限公司北京检验检测服务中信建投证券股份有限公司贾新吴书振96 深圳市财富趋势科技股份有限公司深圳软件及应用系统中国银河证券股份有限公司金崝王素文97 浙江德宏汽车电子电器股份有限公司浙江汽车电子平安证券有限责任公司杨琴张赟98 上海安硕信息技术股份有限公司上海软件及应用系统中德证劵有限责任公司张国峰崔学良99 河南思可达光伏材料股份有限公司河南太阳能光大证券股份有限公司魏贵云何声焘100 北京洪恩教育科技股份有限公司北京软件及应用系统国信证券股份有限公司欧煦范茂洋101 苏州苏大维格光电股份有限公司江苏信息功能材料与器件平安证券有限责任公司黄萌刘哲102 北京世纪东方国铁科技股份有北京数字移动通信产品民生证券有限责任王旭张志限公司公司国103 江门市科恒实业股份有限公司广东稀土材料国信证券股份有限公司杨健陈大汉104 北京博晖创新光电技术股份有限公司北京新型医用精密诊断及治疗设备国信证券股份有限公司许刚吴卫钢105 天津鹏翎胶管股份有限公司天津高分子材料及新型催化剂渤海证劵股份有限公司吴永强陈玮106 深圳市艾比森光电股份有限公司深圳信息功能材料与器件光大证券股份有限公司左廷江杨小虎107 安徽龙磁科技股份有限公司安徽特种功能材料国元证券股份有限公司陶传标刘云霄108 广东先导稀材股份有限公司广东稀土材料广发证券股份有限公司赫涛蔡铁征109 常熟市天银机电股份有限公司江苏电力电子器件及变流装置中信建投证券股份有限公司王广学倪进110 北京东方通科技股份有限公司北京软件及应用系统国信证券股份有限公司李兴刚周志林111 北京无线天利移动信息技术股份有限公司北京信息技术服务国泰君安证券股份有限公司孙小中水耀东112 北京三联虹普新合纤技术服务股份有限公司北京研发设计服务国都证券有限责任公司花宇周昕113 浙江永贵电器股份有限公司浙江电力电子器件及变流装置国泰君安证券股份有限公司张建华陈于冰114 北京恒华伟业科技股份有限公司北京电网输送及安全保障技术中银国际证券有限责任公司郑睿王珏115 西安富士达科技股份有限公司陕西数字移动通信产品中航证券有限公司杨德林眭衍照116 北京英博电气股份有限公司北京电力电子器件及变流装置招商证券股份有限公司王炳全沈卫华117 珠海健帆生物科技股份有限公司广东创新药物及关键技术中航证券有限公司叶海钢许春海118 南京大地水刀股份有限公司江苏关键机械基础件广发证券股份有限公司李声祥朱项平119 扬州扬杰电子科技股份有限公司江苏信息功能材料与器件广发证券股份有限公司吴其明张鹏120 常州市宏发纵横新材料股份有限公司江苏新型纤维材料东海证券有限责任公司李华峰郭婧121 东方网力科技股份有限公司北京数字音视频产品中信建投证券股份有限公司林煊张庆升122 黄石邦柯科技股份有限公司湖北轨道交通设备申银万国证券股份有限公司崔勇沈敏明123 杭州炬华科技股份有限公司浙江工业自动化海通证券股份有限公司金涛朱桢124 河北汇金机电股份有限公司河北精密高效和成型设备广发证券股份有限公司张晋阳禇力川125 北京九强生物技术股份有限公司北京创新药物及关键技术信达证券股份有限公司陈仕强陈勇126 江门市地尔汉宇电器股份有限公司广东电力电子器件及变流装置中国国际金融有限公司黄钦龙壳127 福建省三奥信息科技股份有限公司福建软件及应用系统国金证券股份有限公司周敏杨洪泳128 深圳市泰昂能源科技股份有限公司深圳电力电子器件及变流装置招商证券股份有限公司丁一刘光虎129 广东奔朗新材料股份有限公司广东环境友好材料海通证券股份有限公司刘军桑继春130 北京中矿环保科技股份有限公司北京固体废弃物的资源综合利用光大证券股份有限公司成鑫文光侠131 广州高澜节能技术股份有限公司广东先进节能技术平安证券有限责任公司吕佳周强132 成都任我行软件股份有限公司四川软件及应用系统民生证券有限责任公司廖禹邓德兵133 杭州星帅尔电器股份有限公司浙江电力电子器件及变流装置安信证券股份有限公司肖江肢钟铁峰134 钜泉光电科技(上海)股份有限公司上海新型元器件国泰君安证券股份有限公司张兴明王懿135 上海扬讯计算机科技股份有限公司上海软件及应用系统兴业证券股份有限公司雷亦石军136 苏州思睿屹新材料股份有限公司江苏高分子材料及新型催化剂宏源证券股份有限公司肖兵庞凌云137 湖北永祥粮食机械股份有限公湖北农林业机械东兴证券股份有限徐奕朵莎司公司138 杭州千岛湖鲟龙科技股份有限公司浙江畜禽水产新品种信达证券股份有限公司郑伟谭强139 鼎捷软件股份有限公司上海软件及应用系统长江证劵承销保荐有限公司何君光王海涛140 辽宁科隆精细化工股份有限公司辽宁高分子材料及新型催化剂华泰联合证券有限责任公司金巍锋陈桂平141 广东全通教育股份有限公司广东软件及应用系统民生证券有限责任公司田勇甘小军142 北京恒通创新赛木科技股份有限公司北京新型建筑节能材料中信证券股份有限公司庞雪梅董向征143 北京腾信创新网络营销技术股份有限公司北京信息技术服务招商证券股份有限公司吴宏兴王黎祥144 江苏辉煌太阳能股份有限公司江苏太阳能中航证券有限公司黄俊毅谢涛145 北京东土科技股份有限公司北京工业以太网海际大和证劵有限责任公司周春发袁宁146 丹东欣泰电气股份有限公司辽宁电力电子器件及变流装置兴业证券股份有限公司兰翔伍文祥147 北京浩丰创源科技股份有限公司北京软件及应用系统平安证券有限责任公司韩长风霍永涛148 潮州三环(集团)股份有限公司广东新型元器件中国银河证券股份有限公司黄钦亮彭强149 浙江我武生物科技股份有限公司浙江创新药物及关键技术海际大和证劵有限责任公司计静波于越冬150 广东正业科技股份有限公司广东电子专用设备、仪器和工模具华林证券有限责任公司何书茂铁维铭151 湖北菲利华石英玻璃股份有限公司湖北特种纤维材料中银国际证券有限责任公司金晓荣陈为152 江苏德威新材料股份有限公司江苏高分子材料及新型催化剂平安证券有限责任公司谢吴涛李鹏153 浙江花园生物高科股份有限公司浙江生物材料及产品万联证券有限责任公司王晓东宋涛154 江苏三六五网络股份有限公司江苏电子商务服务国信证券股份有限公司徐伟李明克155 任子行网络技术股份有限公司深圳软件及应用系统国信证券股份有限公司刘文宁魏宏林156 沈阳蓝英工业自动化装备股份有限公司辽宁工业自动化民生证券有限责任公司高立金任滨157 富春通信股份有限公司福建软件及应用系统国元证券股份有限公司甘宁傅贤江158 深圳市聚飞光电股份有限公司深圳新型显示器件国金证券股份有限公司陈伟刚吴承达159 北京旋极信息技术股份有限公司北京软件及应用系统平安证券有限责任公司邱勇胡智慧160 杭州远方光电信息股份有限公司浙江电子专用设备、仪器和工模具平安证券有限责任公司朱军曹玉江161 上海凯利泰医疗科技股份有限公司上海生物医学材料国金证券股份有限公司刘昊拓姜文国162 江苏云意电气股份有限公司江苏汽车电子广发证券股份有限公司杜涛徐荔军163 江西博雅生物制药股份有限公司江西生物技术药物及关键技术华泰联合证券有限责任公司毛成杰金雷164 蓝盾信息安全技术股份有限公司广东信息安全产品与系统广发证券股份有限公司张新强陈家茂165 广东宜通世纪科技股份有限公司广东软件及应用系统广发证券股份有限公司裴运华周郑屹166 吉艾科技(北京)股份公司北京软件及应用系统中国国际金融有限公司陈泉泉许佳167 宁波戴维医疗器械股份有限公司宁波新型医用精密诊断及治疗设备宏源证券股份有限公司江曾华周忠军168 四川新荷花中药饮片股份有限公司四川中药制品华泰联合证券有限责任公司龙丽潘银169 江苏吴通通讯股份有限公司江苏接入网系统设备东吴证券股份有限公司王学军阮金阳170 江阴海达橡塑股份有限公司江苏高分子材料及新型催化剂华泰联合证券有限责任公司覃文婷王骥跃171 南京斯迈柯特种金属装备股份有限公司江苏关键机械基础件东方证券股份有限公司俞军柯刘传运172 北京同有飞骥科技股份有限公北京软件及应用系统平安证券有限责任何涛钱程司公司173 北京掌趣科技股份有限公司北京软件及应用系统中信证券股份有限公司樊丽莉甘亮174 山东中际电工装备股份有限公司山东关键机械基础件广发证券股份有限公司许一忠陈凤华175 深圳市华鹏飞现代物流股份有限公司深圳现代物流恒泰证劵股份有限公司仇智坚李东茂176 厦门精图信息技术股份有限公司厦门软件及应用系统齐鲁证券有限公司冯响郭湘177 汉鼎信息科技股份有限公司浙江软件及应用系统国信证券股份有限公司孔海燕谢晶晶178 利亚德光电股份有限公司北京新型显示器件中信建投证券股份有限公司刘连杰朱明强179 海伦钢琴股份有限公司宁波精密高效和成型设备安信证券股份有限公司乔岩杨勇180 长沙三诺生物传感技术股份有限公司湖南新型医用精密诊断及治疗设备中信建投证券股份有限公司张宇刘东红181 深圳珈伟光伏照明股份有限公司深圳太阳能国泰君安证券股份有限公司张力曾建182 山东同大海岛新材料股份有限公司山东高分子材料及新型催化剂平安证券有限责任公司王为丰谢运183 邦讯技术股份有限公司北京软件及应用系统招商证券股份有限公司孙坚蔡丹184 深圳市长方半导体照明股份有限公司深圳新型显示器件国信证券股份有限公司邵立忠樊倩185 上海华虹计通智能系统股份有限公司上海软件及应用系统东方证券股份有限公司于力张勇186 中颖电子股份有限公司上海集成电路国信证券股份有限公司李勇徐传胜187 新疆天山畜牧生物工程股份有限公司新疆畜禽水产新品种民生证券有限责任公司肖继明贺骞。
宏电技术IPO:盈利能力逐年大幅下滑前十大客户群体不稳定李兴然【期刊名称】《股市动态分析》【年(卷),期】2015(000)033【总页数】2页(P42-43)【作者】李兴然【作者单位】【正文语种】中文深圳市宏电技术股份有限公司(以下简称“宏电技术”)日前发布了首次公开发行股票并在创业板上市招股说明书(申报稿)。
招股说明书显示,2011至2014年各年度,公司归属于发行人股东的净利润逐年大幅下降,2011年为2114.41万元,2012年-2014年分别为3177.25万元、3317.61万元、2082.45万元,2012-2014年净利润同比增幅分别为50.27%、4.42%、-37.23%。
公司主营业务收入亦逐年下降,原因是水利信息化领域、电力智能化以及其他产品应用领域尤其是水利信息化领域给公司贡献的收入比例逐年下滑,拖累了公司主营业务收入。
然而,公司在本次IPO所募集的资金用途中,运用于水利信息化系统解决方案项目的资金占比依然较重,比例高达30.62%。
而从主要客户情况来看,公司2012至2014年向前十大客户销售情况存在不稳定的迹象,2012年公司向前十大客户销售占销售总额的比例为39.93%,2013年占比为29.72%,2014年占比为41.32%,这种不稳定源于公司没有相对固定的大客户。
业内人士表示,销售客户群体的不稳定性,会直接造成公司营业收入的不稳定性。
盈利能力大幅下滑为了让投资者让清晰地了解公司的经营状况,记者同时研读了宏电技术2014年披露的招股说明书以及2015年最新披露的招股说明书。
数据显示,公司在2011至2014年各年度,归属于发行人股东的净利润逐年大幅下降,2011年为2114.41万元,2012年-2014年分别为3177.25万元、3317.61万元、2082.45万元,2012-2014年净利润同比增幅分别为50.27%、4.42%、-37.23%。
归属于发行人股东扣除非经常性损益后的净利润下降更为严重,2011年至2014年依次为1928.62万元、3036.63万元、2751.95万元、1613.04万元,2012-2014年同比增幅分别为57.45%、-9.37%、-41.39%。
关于江苏九九久科技股份有限公司首次公开发行人民币普通股股票并于深圳证券交易所上市的法律意见书上海市联合律师事务所中国上海Shanghai China上海市联合律师事务所关于江苏九九久科技股份有限公司首次公开发行人民币普通股股票并于深圳证券交易所上市的法律意见书(2010)沪联律股字第079-05号致:江苏九九久科技股份有限公司根据《中华人民共和国证券法》(以下简称“《证券法》”)、《中华人民共和国公司法》(以下简称“《公司法》”)、《首次公开发行股票并上市管理办法》(以下简称“《管理办法》”)、《深圳证券交易所股票上市规则(2008年修订)》(以下简称“《上市规则》”)等有关法律、法规和中国证监会、深圳证券交易所的有关规定,上海市联合律师事务所(以下简称“本所”)接受江苏九九久科技股份有限公司(以下简称“发行人”、“公司”)委托,作为发行人首次公开发行股票(以下简称“本次发行”)并于深圳证券交易所上市(以下简称“本次上市”)的专项法律顾问,按照律师行业公认的业务标准、道德规范和勤勉尽责精神,出具本法律意见书。
第一节律师声明事项一、本所律师根据本法律意见书出具日以前已发生或存在的事实和我国现行法律、法规和中国证监会、深圳证券交易所的有关规定发表法律意见。
二、本所律师已严格履行法定职责,遵循了勤勉尽责和诚实信用原则,对发行人的行为以及本次A股股票发行和上市申请的合法、合规、真实、有效进行了充分的核查验证,保证本法律意见书不存在虚假记载、误导性陈述及重大遗漏。
三、发行人向本所出具如下承诺:1、保证如实提供本所律师认为出具法律意见书所必需的一切原始书面材料、副本材料和口头证言等,并保证其真实性、准确性、完整性和有效性。
2、保证有关文件上的印章和签字是真实的,有关文件的影印件与其原件一致;3、保证不向本所律师作虚假或误导性陈述,若有虚假、严重误导性陈述或重大遗漏,愿承担相应的法律责任。
四、对于本法律意见书至关重要而又无法得到独立的证据支持的事实,本所律师依赖于有关政府部门、发行人或其他有关单位出具的证明文件出具本法律意见书。
本次股票发行后拟在创业板市场上市,该市场具有较高的投资风险。
创业板公司具有创新投入大、新旧产业融合成功与否存在不确定性、尚处于成长期、经营风险高、业绩不稳定、退市风险高等特点,投资者面临较大的市场风险。
投资者应充分了解创业板市场的投资风险及本公司所披露的风险因素,审慎作出投资决定。
南京通达海科技股份有限公司Nanjing TDH Technology Co.,Ltd.(南京市鼓楼区集慧路16号联创大厦B座20层)首次公开发行股票并在创业板上市招股说明书声明:本公司的发行上市申请尚需经深圳证券交易所和中国证监会履行相应程序。
本招股说明书不具有据以发行股票的法律效力,仅供预先披露之用。
投资者应当以正式公告的招股说明书全文作为作出投资决定的依据。
保荐机构(主承销商)(上海市广东路689号)声明发行人及全体董事、监事、高级管理人员承诺招股说明书及其他信息披露资料不存在虚假记载、误导性陈述或重大遗漏,并对其真实性、准确性、完整性承担个别和连带的法律责任。
发行人控股股东承诺本招股说明书不存在虚假记载、误导性陈述或重大遗漏,并对其真实性、准确性、完整性承担个别和连带的法律责任。
公司负责人和主管会计工作的负责人、会计机构负责人保证招股说明书中财务会计资料真实、完整。
发行人及全体董事、监事、高级管理人员、发行人的控股股东以及保荐人、承销的证券公司承诺因发行人招股说明书及其他信息披露资料有虚假记载、误导性陈述或者重大遗漏,致使投资者在证券发行和交易中遭受损失的,将依法赔偿投资者损失。
保荐人及证券服务机构承诺因其为发行人本次公开发行制作、出具的文件有虚假记载、误导性陈述或者重大遗漏,给投资者造成损失的,将依法赔偿投资者损失。
本次发行概况重大事项提示发行人提醒投资者特别关注下述重大事项提示。
此外,在做出投资决策之前,发行人请投资者认真阅读本招股说明书正文内容。
一、财务报告截止审计截止日后的主要经营情况(一)2022年1-12月审阅数据公司财务报告审计截止日为2022年6月30日,根据《关于首次公开发行股票并上市公司招股说明书财务报告审计截止日后主要财务信息及经营状况信息披露指引(2020年修订)》的要求,天健会计师对公司2022年7-12月的合并及母公司资产负债表、合并及母公司利润表、合并及母公司现金流量表、合并及母公司所有者权益变动表以及财务报表附注进行了审阅,并出具了天健审[2023]6-6号《审阅报告》。
2017年第32期行业·公司|公司深度Industry ·Company 深圳市宝鸿精密模具股份有限公司(以下简称“宝鸿控股”)近日发布了首次公开发行股票并在创业板上市招股说明书(申报稿),公司拟公开发行股票不超过2300万股,募集资金1.75亿元,拟用于精密模具生产建设项目、注塑产品生产建设项目和研发中心建设项目。
从宝鸿控股发行前的股东来看,显得比较简单——公司第一大股东、公司实际控制人黄永光持股5400万股,持股比例78.26%,发行后持股比例降为58.71%;第二大股东黄洪光(黄永光的兄弟)持股600万股,发行前持股比例为8.70%,发行后比例为6.52%;百利兴(为发行人的股权激励平台,出资人系公司员工),持股900万股,发行前持股比例为13.04%,发行后降为9.78%。
股东相对的简单看似没有什么大的问题,但对于宝鸿控股而言,实际上却暗藏着在治理机制方面存在着问题。
股市动态分析周刊记者发现,宝鸿控股曾经有两家关联企业,一家为港森科技;另一家为科鸿模具。
但是,宝鸿控股的实际控制人黄永光与这两家企业的股东因为矛盾和分歧,最终分道扬镳,这两件事情的背后无疑不反映出黄永光是一个在商业上比较难以合作相处的人。
本次宝鸿科技上市后,黄永光在公司具有绝对控制权,很难想象在这样一个人的领导下,公司未来如何去与其他合作伙伴进行合作和共同发展。
两家关联企业注销有玄机招股说明书显示,宝鸿控股主要从事精密模具的研发、生产与销售及注塑产品的生产与销售,其所生产的精密模具及注塑产品主要用于通信、汽车、电子及厨卫等领域。
凭借多年的积累,公司已与国内外一批知名企业建立了长期、稳定的合作关系。
宝鸿控股:实际控制人黄永光两度与股东分道扬镳本刊记者张婷宝鸿控股曾经有两家关联企业,一家为港森科技;另一家为科鸿模具。
但是,宝鸿控股的实际控制人黄永光与这两家企业的股东因为矛盾和分歧,最终分道扬镳。
34公司深度|行业·公司Industry·Company招股说明书同时披露,报告期内,公司曾经存在关联关系的企业有两家,一家为港森科技;另一家为科鸿模具。
北京英博电气股份有限公司创业板首次公开发行股票申请文件反馈意见招商证券股份有限公司:现对你公司推荐的北京英博电气股份有限公司(以下简称“公司”或“发行人”)首次公开发行股票并在创业板上市申请文件提出反馈意见,请你公司在30日内对下列问题逐项落实并提供书面回复和电子文档。
若涉及对招股说明书的修改,请以楷体加粗标明。
我会收到你公司的回复后,将根据情况决定是否再次向你公司发出反馈意见。
如在30日内不能提供书面回复,请向我会提交延期回复的申请。
若对本反馈意见有任何问题,请致电我会发行监管部审核员。
一、规范性问题1、2004年3月,奥地利公民艾哲•赫伯特(Herbert Atzl)申请投资设立外商独资企业英博电气(北京)有限公司。
注册资本20.00万美元,本次注册资本未缴纳。
德国英博2003年5月设立,杰森利泽持有德国英博100%股权,张欣禹持有杰森利泽100%股权。
德国英博2004年入股发行人,除持有发行人股份外无其他业务。
请发行人说明:(1)德国英博的历史沿革,德国英博与发行人商号相同的原因;艾哲•赫伯特与张欣禹、德国英博之间的关系,是否存在股份代持;艾哲•赫伯特设立英博有限三个月后将股权转出的原因;(2)艾哲•赫伯特未缴纳注册资本即将股权转让,是否符合当时法律法规的规定。
请保荐机构、律师核查并发表意见。
2、发行人历史沿革中,股东两次使用无形资产出资。
2004年7月,德国英博以折合5.00万美元的“低压智能配电系统”技术出资,出资比例为25%。
北京市洪州资产评估有限责任公司对此评估并出具《评估报告》。
2008年4月,英博有限增资,德国英博以非专利技术“基于动态调谐滤波的电网监测技术”作价出资28.92万美元进行出资,出资比例25.63%。
张欣禹以专利技术“碳化硅-铬纳米陶瓷镀层的瓦楞辊”、“ZrB2-Ag纳米复合镀层的高低压接触器触头”分别作价36.64万美元、39.51万美元进行出资,出资比例18.08%。
上市日期代码股票简称发行日期发行价格上市首日中间价上市首日涨幅%发行价发行市盈上市日申购中签率上市表现发行量/万承销商20150702300487蓝晓科技(创)2015061914.83----14.8320.32201507020.473蓝晓科技(创)2000平安证券20150702300480光力科技(创)201506237.28----7.2822.99201507020.16光力科技(创)2300光大证券20150701603838四通股份201506187.73----7.7322.96201507010.271四通股份3334广发证券20150701300489中飞股份(创)2015061917.56----17.5622.97201507010.414中飞股份(创)1135东北证券20150701300488恒锋工具(创)2015062320.11----20.1119.3201507010.151恒锋工具(创)1667国信证券20150630300482万孚生物(创)2015061916----1618.56201506300.389万孚生物(创)2200广发证券20150630300483沃施股份(创)2015061811.39----11.3922.99201506300.315沃施股份(创)1550华西证券201506302768国恩股份2015061817.47----17.4722.99201506300.437国恩股份2000安信证券20150630300481濮阳惠成(创)201506199.13----9.1322.95201506300.467濮阳惠成(创)2000中原证券20150630300486东杰智能(创)201506198.94----8.9422.96201506300.367东杰智能(创)3472中信证券201506302770科迪乳业20150619 6.85---- 6.8520.81201506300.494科迪乳业6840中原证券20150630603085天成自控201506197.27----7.2722.98201506300.272天成自控2500东方花旗20150630603979金诚信2015061917.19----17.1922.98201506300.781金诚信9500中信证券20150630603223恒通股份201506198.31----8.3122.97201506300.346恒通股份3000国信证券20150629603589口子窖2015061816----1622.98201506290.695口子窖6000华林证券201506292771真视通2015061812.78----12.7822.98201506290.188真视通2000民生证券20150629603117万林股份20150618 5.93---- 5.9322.98201506290.306万林股份6000安信证券20150629603116红蜻蜓2015061817.7----17.722.94201506290.769红蜻蜓5880国泰君安201506292775文科园林2015061816.93----16.9322.98201506290.485文科园林3000中德证券201506292769普路通2015061828.49----28.4919.64201506290.409普路通1850华英证券20150626300485赛升药业(创)2015061738.46----38.4622.99201506260.366赛升药业(创)3000信达证券201506262776柏堡龙2015061823.29----23.2922.98201506260.603柏堡龙2622国信证券20150626601211国泰君安2015061819.71----19.7122.9920150626 1.574国泰君安152500中国银河201506262773康弘药业2015061713.62----13.6222.98201506260.23康弘药业4560中银国际201506262772众兴菌业2015061713----1322.98201506260.219众兴菌业3725中国国际20150612601368绿城水务20150602 6.43---- 6.4322.96201506120.295绿城水务14700国泰君安201506122765蓝黛传动201506027.67----7.6722.98201506120.288蓝黛传动5200万联证券201506122767先锋电子2015060314.870-100%14.8722.43201506120.348先锋电子2500中航证券20150612300479神思电子(创)2015060311.02----11.0222.96201506120.276神思电子(创)2000招商证券20150612300470日机密封(创)2015060234.6----34.621.84201506120.334日机密封(创)1334国金证券20150612300473德尔股份(创)2015060328.76----28.7622.99201506120.594德尔股份(创)2500光大证券20150611603066音飞储存2015060312.43----12.4320.98201506110.257音飞储存2500华泰联合20150611300472新元科技(创)2015060311.39----11.3922.99201506110.351新元科技(创)1667广州证券201506112766索菱股份201506037.53----7.5322.82201506110.315索菱股份4580招商证券201506112760凤形股份201506038.31----8.3122.97201506110.345凤形股份2200华林证券20150611300471厚普股份(创)2015060354.01----54.0121.852********.526厚普股份(创)1880国金证券20150611601968宝钢包装20150603 3.08---- 3.0822.93201506110.453宝钢包装20833.33中信证券20150611603616韩建河山2015060311.35----11.3520.64201506110.329韩建河山3668招商证券20150611300476胜宏科技(创)2015060315.73----15.7322.97201506110.461胜宏科技(创)3667国信证券20150611300469信息发展(创)2015060310.14----10.1422.98201506110.255信息发展(创)1670中山证券20150610300477合纵科技(创)2015060210.61----10.6115.38201506100.236合纵科技(创)2704.5申万宏源201506102763汇洁股份2015060213.1----13.121.72201506100.366汇洁股份5400国信证券20150610601985中国核电20150602 3.39---- 3.3922.2920150610 1.632中国核电389100中信证券20150610300464星徽精密(创)2015060210.2----10.222.67201506100.282星徽精密(创)2067广发证券20150610300478杭州高新(创)2015060214.84----14.8422.99201506100.271杭州高新(创)1667齐鲁证券201506102762金发拉比2015060226----2618.71201506100.295金发拉比1700广发证券201506102761多喜爱201506027.28----7.2822.75201506100.228多喜爱3000海通证券20150610300475聚隆科技(创)201506028.8----8.813.33201506100.273聚隆科技(创)5000宏源证券20150529603901永创智能2015052015.81----15.8122.91201505290.35永创智能2500海通证券20150529603026石大胜华20150521 6.51---- 6.5132.55201505290.296石大胜华5068招商证券20150529603300华铁科技201505208.22----8.2222.98201505290.372华铁科技5067国信证券20150528300466赛摩电气(创)2015051910.25----10.2522.99201505280.31赛摩电气(创)2000宏源证券20150528603669灵康药业2015052011.7----11.722.98201505280.414灵康药业6500中信证券20150528300463迈克生物(创)2015051927.96----27.9622.99201505280.322迈克生物(创)4950宏源证券201505282759天际股份2015051912.02----12.0220.16201505280.314天际股份2400国金证券20150528603568伟明环保2015052011.27----11.2722.97201505280.461伟明环保4580中金公司20150528603198迎驾贡酒2015052011.8----11.819.4201505280.7迎驾贡酒8000日信证券20150528300465高伟达(创)2015052011.26----11.2622.93201505280.295高伟达(创)3334华泰联合20150528603918金桥信息201505209.5----9.522.99201505280.213金桥信息2200申万宏源20150527603885吉祥航空2015051911.18----11.1822.98201505270.306吉祥航空6800国泰君安20150527603023威帝股份2015051913.25----13.2514.46201505270.264威帝股份2000民生证券20150527300468四方精创(创)2015051918.76----18.7622.98201505270.272四方精创(创)2500国信证券201505272758华通医药2015051918.04----18.0422.98201505270.256华通医药1400爱建证券20150527603598引力传媒201505197.2----7.222.96201505270.169引力传媒3334德邦证券20150527300467迅游科技(创)2015051933.75----33.7522.99201505270.197迅游科技(创)1000国金证券20150527603108润达医疗2015051917----1722.97201505270.28润达医疗2360国金证券201505272757南兴装备2015051912.94----12.9422.98201505270.324南兴装备2734兴业证券20150527300462华铭智能(创)2015051914.25----14.2522.97201505270.355华铭智能(创)1722光大证券20150519300461田中精机(创)201505117.92----7.9222.98201505190.124田中精机(创)1668中德证券201505192753永东股份2015050713.56----13.5622.99201505190.413永东股份2470中德证券20150518300450先导股份(创)2015050621.21----21.2122.98201505180.474先导股份(创)1700兴业证券20150518603968醋化股份2015050719.58----19.5822.98201505180.581醋化股份2556平安证券20150518603022新通联2015050614.31----14.3122.98201505180.361新通联2000中德证券20150518603311金海环境20150507 5.39---- 5.3922.99201505180.3金海环境5250西南证券20150518603566普莱柯2015050715.52----15.5218.89201505180.506普莱柯4000平安证券20150515300455康拓红外(创)20150506 6.88---- 6.8818.11201505150.346康拓红外(创)3500中投证券20150515300453三鑫医疗(创)2015050612.87----12.8722.98201505150.413三鑫医疗(创)1986华泰联合20150515300458全志科技(创)2015050612.73----12.7319.89201505150.433全志科技(创)4000平安证券20150515300452山河药辅(创)2015050514.96----14.9622.99201505150.296山河药辅(创)1160国元证券201505152755东方新星201505067.49----7.4920.49201505150.316东方新星2534华泰联合201505152756永兴特钢2015050521.74----21.7417.97201505150.478永兴特钢5000平安证券20150515603718海利生物20150506 6.81---- 6.8121.28201505150.308海利生物7000海通证券20150515300459浙江金科(创)201505057.84----7.8422.97201505150.328浙江金科(创)2650平安证券20150515300460惠伦晶体(创)20150505 6.43---- 6.4322.96201505150.339惠伦晶体(创)4208招商证券20150515603989艾华集团2015050720.74----20.7422.99201505150.641艾华集团5000平安证券20150515603227雪峰科技20150506 4.98---- 4.9822.95201505150.298雪峰科技8235花旗证券20150514300457赢合科技(创)2015050512.41----12.4120.34201505140.33赢合科技(创)1950平安证券20150514300456耐威科技(创)2015050614.01----14.0122.98201505140.386耐威科技(创)2100国信证券20150514300451创业软件(创)2015050514.02----14.0222.98201505140.202创业软件(创)1700国元证券20150513603599广信股份2015050516.11----16.1120.62201505130.316广信股份4706华林证券20150513603355莱克电气2015050519.08----19.0822.99201505130.395莱克电气4100华林证券20150513300414中光防雷(创)2015050514.74----14.7413.24201505130.3中光防雷(创)2107国信证券20150428600959江苏有线20150415 5.47---- 5.4722.9820150428 1.239江苏有线59700华泰联合20150427603789星光农机2015041411.23----11.2321.19201504270.664星光农机5000中航证券20150424603315福鞍股份2015041510.77----10.7722.91201504240.472福鞍股份2500国信证券201504242751易尚展示2015041610.48----10.4822.98201504240.339易尚展示1756国金证券20150424300445康斯特(创)2015041418.12----18.1222.98201504240.518康斯特(创)1020东海证券20150424300442普丽盛(创)2015041619.17----19.1722.55201504240.62普丽盛(创)2500广发证券20150424300438鹏辉能源(创)2015041614.87----14.8722.99201504240.454鹏辉能源(创)2100华林证券20150424300448浩云科技(创)2015041515.79----15.7922.88201504240.463浩云科技(创)2000招商证券20150424603567珍宝岛2015041423.6----23.622.91201504240.828珍宝岛6458招商证券20150424300434金石东方(创)2015041610.57----10.5722.98201504240.436金石东方(创)1700海通证券20150424300404博济医药(创)2015041612.87----12.8722.98201504240.3博济医药(创)1667广发证券20150424603318派思股份20150414 6.52---- 6.5222.97201504240.319派思股份3010广发证券20150423300441鲍斯股份(创)201504159.81----9.8122.81201504230.685鲍斯股份(创)2112海通证券20150423300437清水源(创)2015041510.53----10.5319.3201504230.497清水源(创)1670中原证券20150423300440运达科技(创)2015041521.7----21.722.97201504230.606运达科技(创)2800中金公司20150423603703盛洋科技2015041411.32----11.3222.98201504230.451盛洋科技2300浙商证券20150423603883老百姓2015041416.41----16.4122.52201504230.544老百姓6700瑞银证券20150423300446乐凯新材(创)201504158.85----8.857.11201504230.457乐凯新材(创)1540中信建投20150423603021山东华鹏201504158.73----8.7322.97201504230.468山东华鹏2640广发证券20150423300444双杰电气(创)2015041512.13----12.1322.89201504230.77双杰电气(创)3448.64东北证券20150422300443金雷风电(创)2015041431.94----31.9419.66201504220.54金雷风电(创)1500齐鲁证券20150422300447全信股份(创)2015041412.91----12.9122.3201504220.432全信股份(创)2025国金证券20150422603025大豪科技2015041411.17----11.1722.98201504220.618大豪科技5100中信建投20150422603818曲美股份201504148.98----8.9822.99201504220.575曲美股份6052中信建投20150422603808歌力思2015041419.16----19.1622.96201504220.804歌力思4000国信证券20150422300449汉邦高科(创)2015041317.76----17.7622.98201504220.196汉邦高科(创)1770信达证券20150422300436广生堂(创)2015041421.47----21.4718.67201504220.304广生堂(创)1870华林证券20150422300424航新科技(创)2015041411.68----11.6821.63201504220.43航新科技(创)3327招商证券20150422300439美康生物(创)2015041427.51----27.5122.98201504220.596美康生物(创)2834光大证券201504222752昇兴股份20150414 5.74---- 5.7422.96201504220.526昇兴股份6000招商证券20150326300435中泰股份(创)2015031814.73----14.7318.09201503260.177中泰股份(创)2000湘财证券20150326603199九华旅游2015031212.08----12.0820.47201503260.722九华旅游2768国元证券20150326603869北部湾旅20150312 5.03---- 5.0321.33201503260.526北部湾旅5406国海证券20150325603020爱普股份2015031220.47----20.4722.9420150325 1.16爱普股份4000光大证券20150325603338浙江鼎力2015031329.56----29.5621.34201503250.36浙江鼎力1625中投证券20150324300431暴风科技(创)201503127.14----7.1422.97201503240.343暴风科技(创)3000中金公司20150324300429强力新材(创)2015031215.89----15.8918.67201503240.745强力新材(创)2000金元证券201503242750龙津药业2015031221.21----21.2122.99201503240.644龙津药业1675中投证券20150324603729龙韵股份2015031126.61----26.6122.55201503240.538龙韵股份1667华林证券20150323600958东方证券2015031110.03----10.0322.9820150323 1.624东方证券100000光大证券20150320603030全筑股份201503129.85----9.8522.91201503200.83全筑股份4000国信证券201503202749国光股份2015031226.92----26.9216.47201503200.687国光股份2000国都证券20150320603012创力集团2015031213.56----13.5622.9620150320 1.22创力集团7960国金证券20150320603158腾龙股份2015031214.53----14.5317.51201503200.902腾龙股份2667民生证券201503202747埃斯顿20150312 6.8---- 6.822.67201503200.391埃斯顿3000华林证券20150319603519立霸股份2015031113.69----13.6920.132********.573立霸股份2000华泰联合20150319603268松发股份2015031111.66----11.6622.86201503190.589松发股份2200广发证券20150319300374恒通科技(创)2015031113.21----13.2122.94201503190.667恒通科技(创)2434中信证券201503192748世龙实业2015031115.38----15.3822.96201503190.605世龙实业3000民生证券20150319300428四通新材(创)2015031114.71----14.7122.98201503190.66四通新材(创)2020兴业证券20150319300430诚益通(创)2015031118.91----18.9122.89201503190.531诚益通(创)1520西南证券20150319601689拓普集团2015031111.37----11.3719.8120150319 1.135拓普集团12910华林证券20150319300432富临精工(创)2015031113.97----13.9712.86201503190.57富临精工(创)3000首创证券20150318300433蓝思科技(创)2015031022.99----22.9922.98201503180.656蓝思科技(创)6736国信证券20150303603015弘讯科技2015021110.6----10.622.97201503030.714弘讯科技5010西南证券20150302603997继峰股份201502127.97----7.9717.33201503020.455继峰股份6000东方花旗20150302603309维力医疗2015021015.4----15.422.87201503020.61维力医疗2500齐鲁证券20150227603969银龙股份2015021113.79----13.7922.6120150227 1.107银龙股份5000海通证券20150226603828柯利达2015021117.2----17.222.93201502260.956柯利达3000东吴证券20150226601198东兴证券201502109.18----9.1822.9720150226 1.442东兴证券50000瑞银证券20150225603118共进股份2015021011.950-100%11.9519.27201502250.93共进股份7500国信证券201502172745木林森2015021021.5----21.522.520150217 1.137木林森4445平安证券201502172743富煌钢构201502107.22----7.2222.91201502170.772富煌钢构3034平安证券20150217300426唐德影视(创)2015021022.83----22.8322.96201502170.515唐德影视(创)2000齐鲁证券20150217603618杭电股份2015021011.65----11.6522.8420150217 1.118杭电股份5335华林证券20150217300421力星股份(创)201502109.13----9.1322.83201502170.889力星股份(创)2800海通证券20150217300394天孚通信(创)2015021021.41----21.4118.78201502170.614天孚通信(创)1970东吴证券201502172742三圣特材2015021020.37----20.3719.5920150217 1.051三圣特材2400宏源证券20150217300420五洋科技(创)201502108.27----8.2722.59201502170.683五洋科技(创)2000海通证券20150217603222济民制药201502107.36----7.3622.96201502170.539济民制药4000安信证券20150217300423鲁亿通(创)2015021010.3----10.322.89201502170.904鲁亿通(创)2200国信证券20150217300427红相电力(创)2015021010.46----10.4618.34201502170.955红相电力(创)2217长江证券20150217603898好莱客2015021019.57----19.5719倍201502170.907好莱客2450广发证券20150217300422博世科(创)2015021010----1022.97201502170.579博世科(创)1550国金证券20150217603939益丰药房2015021019.47----19.4722.93201502170.923益丰药房4000中信证券201502162746仙坛股份20150209 5.28---- 5.2822.96201502160.391仙坛股份3985民生证券20150216300425环能科技(创)2015020915.21----15.2122.97201502160.378环能科技(创)1800中信建投201502162741光华科技2015020912.31----12.3122.8201502160.398光华科技3000广发证券20150129603799华友钴业20150116 4.77---- 4.7722.94201501290.534华友钴业9100中信证券20150128603611诺力股份2015011418.37----18.3721.36201501280.755诺力股份2000广发证券20150128603698航天工程2015011612.52----12.5222.97201501280.608航天工程8230中投证券201501272734利民股份2015011410.69----10.6922.98201501270.714利民股份2500西部证券20150127603899晨光文具2015011513.15----13.1522.99201501270.69晨光文具6000兴业证券20150127603558健盛集团2015011519.25----19.2522.92201501270.684健盛集团2000国信证券20150126603678火炬电子2015011410.38----10.3815.04201501260.628火炬电子4160东北证券20150126603686龙马环卫2015011514.86----14.8621.23201501260.519龙马环卫3335兴业证券20150123300417南华仪器(创)2015011416.08----16.0822.65201501230.706南华仪器(创)1020民生证券20150123300415伊之密(创)2015011413.32----13.3222.6920150123 1.083伊之密(创)3000华泰联合20150123603600永艺股份2015011510.22----10.2222.71201501230.452永艺股份2500国信证券201501222740爱迪尔2015011416.48----16.4818.52201501220.942爱迪尔2500海通证券20150122603601再升科技201501147.9----7.922.34201501220.441再升科技1700齐鲁证券20150122601069西部黄金20150114 3.57---- 3.5722.31201501220.76西部黄金12600国泰君安20150122300419浩丰科技(创)2015011528.81----28.8122.94201501220.56浩丰科技(创)1030平安证券201501222739万达院线2015011421.35----21.3522.96201501220.862万达院线6000中银国际20150122300416苏试试验(创)2015011511.48----11.4822.96201501220.454苏试试验(创)1570东吴证券20150121601021春秋航空2015011218.16----18.1622.96201501210.652春秋航空10000瑞银证券20150121300364中文在线(创)20150114 6.81---- 6.8122.87201501210.528中文在线(创)3000西南证券20150121300418昆仑万维(创)2015011320.3----20.322.99201501210.77昆仑万维(创)7000中金公司20150121300413快乐购(创)201501139.06----9.0622.89201501210.786快乐购(创)7000中金公司20150120603788宁波高发2015011210.28----10.2819.4201501200.312宁波高发3420国信证券20141231603017园区设计2014122229.97----29.9722.88201412310.547园区设计1500东吴证券20141231300412迦南科技(创)2014121913.6----13.622.78201412310.455迦南科技(创)1340安信证券20141231300411金盾股份(创)2014121912.8----12.822.92201412310.476金盾股份(创)2000华西证券20141231603889新澳股份2014122317.95----17.9521.63201412310.428新澳股份2668国信证券20141231300410正业科技(创)2014121910.79----10.7922.96201412310.412正业科技(创)1500华林证券201412302738中矿资源201412197.57----7.5722.98201412300.396中矿资源3000中信建投201412302737葵花药业2014121836.53----36.5322.97201412300.638葵花药业3650东海证券20141230603636南威软件2014122214.95----14.9522.96201412300.396南威软件2500太平洋证券201412292736国信证券20141219 5.83---- 5.8322.9720141229 1.797国信证券120000广发证券20141229603588高能环境2014121918.23----18.2322.79201412290.409高能环境4040华林证券20141211601226华电重工2014112710----1022.22201412110.677华电重工15000招商证券20141209601969海南矿业2014112510.34----10.3419.8820141209 1.797海南矿业18667国泰君安201412052732燕塘乳业2014112410.13----10.1322.87201412050.54燕塘乳业3935广发证券20141205603998方盛制药2014112514.85----14.8522.852********.513方盛制药2726广发证券20141204603368柳州医药2014112426.22----26.2219.71201412040.401柳州医药2812.5国都证券20141203300407凯发电气(创)2014112422.34----22.3422.8201412030.489凯发电气(创)1700广发证券20141203300408三环集团(创)2014112529.39----29.3922.6120141203 1.231三环集团(创)4600银河证券20141203603518维格娜丝2014112420.02----20.0222.3201412030.64维格娜丝3699.5中信建投201412032735王子新材201411249.23----9.2322.51201412030.327王子新材2000民生证券201412032733雄韬股份2014112413.16----13.1622.31201412030.497雄韬股份3400招商证券20141203300409道氏技术(创)2014112417.3----17.320.35201412030.447道氏技术(创)1625招商证券20141127603166福达股份20141117 5.8---- 5.820倍201411270.299福达股份4350银河证券20141111603088宁波精达201410278.57----8.5722.91201411110.448宁波精达2000海通证券20141107603011合锻股份20141027 4.26---- 4.2622.42201411070.547合锻股份4500国元证券20141106603019中科曙光20141024 5.29---- 5.2922.98201411060.524中科曙光7500中信建投20141105601015陕西黑猫20141024 6.15---- 6.1522.6920141105 1.277陕西黑猫12000华西证券201411042724海洋王201410248.88----8.8822.77201411040.596海洋王5000招商证券20141104603988中电电机2014102414.88----14.8821.97201411040.488中电电机2000齐鲁证券201411042731萃华珠宝2014102411.92----11.9217.28201411040.684萃华珠宝3768广发证券20141031603688石英股份20141024 6.45---- 6.4519.61201410310.686石英股份5595中信证券20141030300403地尔汉宇(创)2014102319.3----19.321.99201410300.628地尔汉宇(创)3400中金公司20141030300406九强生物(创)2014102314.32----14.3210.07201410300.3九强生物(创)3340信达证券20141030300405科隆精化(创)2014102316.45----16.4522.84201410300.476科隆精化(创)1700华泰联合20141015603606东方电缆201409258.2----8.220.41201410150.49东方电缆3668西部证券20141013603018设计股份2014092432.26----32.2622.88201410130.753设计股份2600广发证券20141010300402宝色股份(创)20140925 4.47---- 4.4720.66201410100.578宝色股份(创)5100国海证券20141010603010万盛股份2014092411.7----11.722.76201410100.492万盛股份2500广发证券20141010603456九洲药业2014092415.43----15.4322.36201410100.748九洲药业5196招商证券20141010300400劲拓股份(创)201409257.6----7.621.11201410100.697劲拓股份(创)2000兴业证券201410092730电光科技201409248.07----8.0719.59201410090.455电光科技3667财通证券20141009300399京天利(创)2014092411.19----11.1920.35201410090.389京天利(创)2000国泰君安20141009300398飞凯材料(创)2014092418.15----18.1522.84201410090.518飞凯材料(创)2000国元证券20141009603169兰石重装20140924 1.68---- 1.6821.73201410090.614兰石重装10000华龙证券20141009300401花园生物(创)201409247.01----7.0121.1201410090.402花园生物(创)2270万联证券20140930600917重庆燃气20140922 3.25---- 3.2519.12201409300.877重庆燃气15600申银万国20140929601016节能风电20140918 2.17---- 2.1722.06201409290.704节能风电17778中德证券20140926603306华懋科技2014091812.08----12.0819.24201409260.298华懋科技3500国金证券20140912300393中来股份(创)2014082816.42----16.4220.95201409120.584中来股份(创)3200齐鲁证券201409122729好利来2014082811.9----11.919.29201409120.375好利来1668国金证券20140910300397天和防务(创)2014082824.05----24.0520.73201409100.593天和防务(创)3000中信证券20140910300392腾信股份(创)2014082926.1----26.122.7201409100.666腾信股份(创)1600招商证券20140910300395菲利华(创)2014082819.13----19.1318.94201409100.662菲利华(创)1620中银国际20140910300396迪瑞医疗(创)2014082929.54----29.5420.8201409100.765迪瑞医疗(创)1534国信证券20140909603188亚邦股份2014082820.49----20.4922.7520140909 1.214亚邦股份7200华泰联合20140905603806福斯特2014082827.18----27.1822.2820140905 1.516福斯特6000广发证券20140825601579会稽山20140814 4.43---- 4.4314.42201408250.491会稽山10000中金公司20140822603099长白山20140813 4.54---- 4.5420.25201408220.368长白山6667安信证券20140808603609禾丰牧业20140730 5.88---- 5.8821.78201408080.511禾丰牧业8000广发证券20140805603100川仪股份20140723 6.72---- 6.7221倍201408050.895川仪股份10000广发证券20140801603111康尼机电20140723 6.89---- 6.8918.62201408010.651康尼机电7230国泰君安20140801300391康跃科技(创)201407249.84----9.8420.5201408010.837康跃科技(创)1667长城证券20140801300384三联虹普(创)2014072430.66----30.6620.97201408010.619三联虹普(创)1334国都证券20140801300389艾比森(创)2014072418.43----18.4313.16201408010.725艾比森(创)2106光大证券20140801300388国祯环保(创)2014072412.14----12.1418.55201408010.477国祯环保(创)2206国元证券20140731603126中材节能20140723 3.46---- 3.4621.63201407310.85中材节能8000光大证券201407312728台城制药2014072314----1417.5201407310.377台城制药2500国信证券20140731300390天华超净(创)201407238.47----8.4718.29201407310.3天华超净(创)2080东海证券20140718603009北特科技201407107.01----7.0119.47201407180.281北特科技2667海通证券20140703603369今世缘2014062316.93----16.9312.5420140703 1.059今世缘5180国泰君安201407022727一心堂2014062312.2----12.213.45201407020.622一心堂6510信达证券20140702603168莎普爱思2014062021.85----21.8514.05201407020.762莎普爱思1635华龙证券20140702300387富邦股份(创)2014062420.48----20.4823.01201407020.71富邦股份(创)1600光大证券20140701603328依顿电子2014061915.31----15.3123.220140701 1.701依顿电子9000招商证券20140630603006联明股份201406189.93----9.9313.43201406300.437联明股份2000中信建投20140626300385雪浪环境(创)2014061814.7319.44532.01%14.7322.17201406260.458雪浪环境(创)2000太平洋证券201406262726龙大肉食201406189.7912.92532.02%9.7919.58201406260.833龙大肉食5460国信证券20140626300386飞天诚信(创)2014061833.1343.73532.01%33.1316.57201406260.544飞天诚信(创)2500国信证券201402192713东易日盛201402112127.7232.00%2138.32201402190.649东易日盛3358国信证券201402192715登云股份2014021110.1613.4131.99%10.1626.52201402190.456登云股份2300新时代证券201402192717岭南园林2014021122.3229.4631.99%22.3223.34201402190.577岭南园林2500中信建投20140211603288海天味业2014012451.2567.6532%51.2531.920140211 2.766海天味业7485中信证券20140210603005晶方科技2014012319.1625.2931.99%19.1633.7620140210 1.319晶方科技6317国信证券20140129300383光环新网(创)2014012138.350.5632.01%38.337.7920140129 1.541光环新网(创)1600西南证券20140129300363博腾股份(创)2014012125.133.13532.01%25.134.2620140129 1.554博腾股份(创)3225西南证券20140129300369绿盟科技201401214154.1232.00%4137.9620140129 2.028绿盟科技2500广发证券20140129300382斯莱克(创)2014012035.1546.432.01%35.1522.2920140129 1.647斯莱克(创)1539国信证券201401292723金莱特2014012013.3817.6732.06%13.3822.320140129 2.098金莱特2335民生证券20140129300367东方网力2014012149.965.8732.00%49.937.7520140129 2.231东方网力1750中信建投201401292725跃岭股份2014012015.3620.27532.00%15.3616.5220140129 1.767跃岭股份2500东北证券201401282722金轮股份201401207.189.48532.10%7.1819.4120140128 2.033金轮股份3450民生证券20140128601225陕西煤业201401174 5.08527.13%4 6.2320140128 4.87陕西煤业100000中信证券20140128300381溢多利(创)2014011727.8836.8132.03%27.8823.8320140128 1.734溢多利(创)1300民生证券20140128300379东方通(创)201401202229.0432%2230.2720140128 1.043东方通(创)1500国信证券201401282719麦趣尔2014012025.3833.5132.03%25.3839.6420140128 2.227麦趣尔2617东方证券201401282718友邦吊顶2014012028.0236.98532.00%28.0224.5820140128 2.095友邦吊顶1500华泰联合201401282716金贵银业2014011714.3518.94532.02%14.3523.2620140128 2.564金贵银业5876招商证券20140128300380安硕信息(创)2014011723.430.8932.01%23.440.0620140128 1.876安硕信息(创)2000中德证券201401282714牧原股份2014011724.0731.7731.99%24.0718.820140128 2.581牧原股份7068招商证券20140127300372欣泰电气(创)2014011616.3121.5332.01%16.3125.4820140127 1.449欣泰电气(创)2335兴业证券20140127300366创意信息(创)2014011618.1123.90532.00%18.1127.0820140127 1.08创意信息(创)1670招商证券201401272711欧浦钢网2014011718.2924.14532.01%18.2925.2320140127 2.043欧浦钢网3939华泰联合20140127300375鹏翎股份(创)2014011519.5825.8532.02%19.5824.1720140127 1.891鹏翎股份(创)2570渤海证券20140127300376易事特(创)2014011718.424.2932.01%18.414.5120140127 1.617易事特(创)2602海通证券20140127300378鼎捷软件(创)2014011720.7727.41531.99%20.7727.3720140127 2.591鼎捷软件(创)3000长江证券201401272721金一文化2014011610.5513.9332.04%10.5525.7320140127 1.198金一文化4735招商证券20140127300377赢时胜(创)2014011621.5828.4932.02%21.5833.120140127 2.421赢时胜(创)1500国金证券20140124603555贵人鸟2014011510.6----10.612.8620140124 2.287贵人鸟10000瑞银证券20140123300373扬杰科技(创)2014011519.525.85532.59%19.526.5320140123 1.383扬杰科技(创)2300广发证券20140123300368汇金股份(创)2014011518.7724.8932.61%18.7721.3320140123 1.287汇金股份(创)1670广发证券201401232712思美传媒2014011325.1833.432.65%25.1824.0620140123 1.147思美传媒2433国信证券20140123300370安控股份(创)2014011335.5147.09532.63%35.5140.3520140123 2.104安控股份(创)1456安信证券201401232709天赐材料2014011313.6618.1132.58%13.6628.0820140123 1.284天赐材料3300国信证券201401232707众信旅游2014011523.1530.732.61%23.1522.0520140123 1.083众信旅游1700华泰联合20140123300365恒华科技(创)2014011543.2157.29532.60%43.2142.1620140123 2.049恒华科技(创)1400中银国际20140123300371汇中股份(创)2014011539.8952.932.62%39.8939.1120140123 2.49汇中股份(创)1400广发证券20140122603308应流股份201401138.2810.9332.01%8.2819.620140122 1.791应流股份8001国元证券201401212706良信电器2014011019.125.35532.75%19.124.6420140121 1.426良信电器2154东吴证券20140121300360炬华科技(创)2014011055.1168.3824.08%55.1133.1720140121 2.249炬华科技(创)2500海通证券20140121300362天保重装(创)201401101215.9132.58%1241.3820140121 1.233天保重装(创)2570东北证券20140121300359全通教育(创)2014011330.3140.3433.09%30.3151.3720140121 1.679全通教育(创)2000民生证券201401212705新宝股份2014010810.513.92532.62%10.530.0820140121 1.049新宝股份7600东莞证券201401212708光洋股份2014011311.8815.7632.66%11.8828.2920140121 1.832光洋股份3332齐鲁证券20140121300357我武生物(创)2014010820.0526.60532.69%20.0539.31201401210.568我武生物(创)3000海际大和20140121300358楚天科技(创)201401094053.0432.60%4031.520140121 1.403楚天科技(创)2200宏源证券20140117603699纽威股份2014010917.6623.30531.97%17.6646.4720140117 1.774纽威股份12000中信建投。
国元证券股份有限公司关于上海佳豪船舶工程设计股份有限公司 首次公开发行股票并在创业板上市的 发行保荐工作报告目 录第一节 项目运作过程 (3)一、国元证券项目审核流程 (3)二、本项目的立项过程 (5)三、项目执行的主要过程 (6)四、国元证券内部核查部门审核本项目的主要过程 (11)五、国元证券内核小组审核本项目的主要过程 (12)第二节 项目存在的问题及其解决情况 (13)一、立项评估决策机构成员意见、立项评估决策机构成员审议情况 (13)二、项目执行成员在尽职调查过程中发现和关注的主要问题以及对主要问题的研究、分析与处理情况 (14)三、内部核查部门关注的主要问题及具体落实情况 (17)四、内核小组会议审核意见及具体落实情况 (18)五、中国证监会反馈意见及具体落实情况 (20)六、中国证监会创业板发审会审核意见及具体落实情况 (76)七、核查证券服务机构出具专业意见的情况 (83)保荐机构声明本保荐机构及指定的保荐代表人已根据《中华人民共和国公司法》、《中华人民共和国证券法》等有关法律、法规和中国证监会的有关规定,遵循诚实守信、勤勉尽责的原则,严格按照依法制订的业务规则、行业执业规范和道德准则,对发行人进行了尽职调查与审慎核查,并出具本《发行保荐工作报告》。
本保荐机构及指定保荐代表人保证本《发行保荐工作报告》的真实性、准确性和完整性。
第一节 项目运作过程一、国元证券项目审核流程本保荐机构投资银行业务的内部审核程序贯穿业务的全部过程,大体可分为以下三个步骤:(一)投资银行内部审核1、项目组对项目进行审慎的尽职调查,业务部门进行审核。
投资银行业务部门成立由保荐代表人和其他人员组成的项目组,项目组与目标公司进行接触,承揽项目;项目组在审慎尽职调查的基础上,分析项目的可行性,并按照《证券发行上市保荐业务管理办法》的规定排查是否存在关联禁止事项,确定能否担任保荐机构;在初步审核后,项目组按照统一格式编写可行性报告,由项目所在的业务部门进行审核,形成初步意见,确定是否报送投资银行总部申请立项。
1 广东省广州市德政北路538号达信大厦1209-1212;邮编Post Code:510045 Room 1209-1212, DS Building, 538 North De Zheng Road,Guangzhou, Guangdong Province, People’s Republic of China 电话Tel:(8620)8327 6630 传真Fax:(8620)8327 6487, 网址:www.xinyanglaw.com
广东信扬律师事务所 关于河南汉威电子股份有限公司首次公开发行人民币普通股并在深圳证券交易所创业板上市的法律意见书
信扬股法字(2009)第82号
致:河南汉威电子股份有限公司 广东信扬律师事务所(以下简称本所)接受河南汉威电子股份有限公司(以下简称汉威电子)的委托,指派全奋、卢伟东律师(以下简称本所律师)担任汉威电子首次申请公开发行股票并在创业板上市(以下简称本次股票上市)的专项法律顾问,现就汉威电子申请股票在深圳证券交易所创业板上市相关事宜出具本法律意见书。 本所律师根据《中华人民共和国证券法》(以下简称《证券法》)、《中华人民共和国公司法》(以下简称《公司法》)、《首次公开发行股票并在创业板上市管理暂行办法》(以下简称《管理办法》)和《深圳证券交易所创业板股票上市规则》(以下简称《上市规则》,以及中国证券监督管理委员会(以下简称中国证监会)和深圳证券交易所的其他有关规定,并按照律师行业公认的业务标准、道德规范和勤勉尽责精神,出具本法律意见书。 本所仅依据本法律意见书出具日前已经发生或存在的事实和我国现行法律、法规和规范性文件发表法律意见。 2
本所已经对与出具法律意见书有关的所有文件资料及证言进行核查、判断,并据此出具法律意见。本所严格履行法定职责,遵循了勤勉尽责和诚实信用原则,对汉威电子本次股票上市申请的合法合规性、真实有效性进行了充分的核查验证,并发表法律意见。法律意见书中不存在虚假记载、严重误导性陈述及重大遗漏,否则愿承担相应的法律责任。 本法律意见书仅供汉威电子为本次股票上市申请之目的使用,不得用作任何其他目的,本所同意汉威电子将本法律意见书随其他申报材料一起上报深圳证券交易所,并依法对出具的法律意见承担责任。
关于南京贝迪新材料科技股份有限公司首次公开发行股票并在创业板上市申请文件的审核问询函的回复保荐机构(主承销商)(北京市朝阳区安立路66号4号楼)二〇二二年五月深圳证券交易所:贵所于2022年1月21日出具的《关于南京贝迪新材料科技股份有限公司首次公开发行股票并在创业板上市申请文件的审核问询函》(审核函〔2022〕010110号)(以下简称“审核问询函”)已收悉。
南京贝迪新材料科技股份有限公司(以下简称“贝迪新材”、“公司”或“发行人”)与中信建投证券股份有限公司(以下简称“保荐机构”)、北京德恒律师事务所(以下简称“发行人律师”)、天职国际会计师事务所(特殊普通合伙)(以下简称“申报会计师”)对审核问询函所涉及的问题认真进行了逐项核查和落实,现回复如下,请予审核。
如无特别说明,本审核问询函回复(以下简称“本回复”)所使用的简称或名词释义与《南京贝迪新材料科技股份有限公司首次公开发行股票并在创业板上市招股说明书(申报稿)》(以下简称“招股说明书”)中一致。
本回复中的字体代表含义如下:本回复中若合计数与各分项数值相加之和在尾数上存在差异,均为四舍五入所致。
目录1.关于创业板定位 (3)2.关于储备产品LCP膜 (28)3.关于实际控制人持有股份争议 (39)4.关于上市条件 (49)5.关于收入 (59)6.关于毛利率 (93)7.关于应收账款与经营性现金流量 (115)8.关于关联方资金往来 (134)9.关于存货 (137)10.关于固定资产与在建工程 (155)11.关于主要客户 (167)12.关于主要供应商 (176)13.关于NANOSYS量子点技术授权 (189)14.关于可比公司选择 (199)15.关于成本 (215)16.关于期间费用 (226)17.关于应收票据和应收款项融资 (241)18.关于历史沿革 (246)19.关于信息披露 (267)20.关于信息披露豁免 (274)1.关于创业板定位申请文件显示:(1)发行人80%以上销售收入来自功能膜精加工,即公司外购其他品牌厂商的功能膜卷材后,按照下游客户要求,精加工成片材后进行销售。
关于上海安诺其纺织化工股份有限公司首次公开发行股票并在创业板上市的法律意见书北京市东城区东四十条68号平安发展大厦3层 邮编: 1000073/F,Ping An Development Mansion, No.68 Dongsi Shitiao,Dongcheng District, Beijing 100007, P.R.China电话(Tel): (86-10)8408 5858 传真(Fax): (86-10)8408 5338 网址(Website): 电子信箱(E-mail):jzj@目 录1本次发行上市的批准和授权 (5)2发行人发行股票的主体资格 (5)3本次发行上市的实质条件 (6)4发行人的设立 (10)5发行人的独立性 (11)6发起人和股东(追溯至发行人的实际控制人) (11)7发行人的股本及演变 (12)8发行人的子公司、分支机构 (13)9发行人的业务 (13)10关联交易及同业竞争 (13)11发行人的主要财产 (15)12发行人的重大债权债务 (15)13发行人重大资产变化及收购兼并 (16)14发行人章程的制定与修改 (16)15发行人股东大会、董事会、监事会议事规则及规范运作 (17)16发行人董事、监事和高级管理人员及其变化 (17)17发行人的税务 (18)18发行人的环境保护和产品质量、技术等标准 (19)19发行人募集资金的运用 (19)20发行人业务发展目标 (20)21诉讼、仲裁或行政处罚 (20)22发行人招股说明书法律风险的评价 (20)23结论意见 (20)北京市君泽君律师事务所关于上海安诺其纺织化工股份有限公司 首次公开发行股票并在创业板上市的法律意见书君泽君[2009]证券字007-1-1号敬启者:北京市君泽君律师事务所(以下简称“本所”)接受上海安诺其纺织化工股份有限公司的委托,担任其申请向社会公众首次公开发行A股股票并在创业板上市的发行人律师。
证监会关于沈阳隆基电磁科技股份有限公司首次公开发行股票招股说明书(申报稿2015年5月4日报送)
文章属性
•【制定机关】中国证券监督管理委员会
•【公布日期】2015.05.08
•【文号】
•【施行日期】2015.05.08
•【效力等级】部门规范性文件
•【时效性】现行有效
•【主题分类】证券
正文
沈阳隆基电磁科技股份有限公司首次公开发行股票招股说明
书
(申报稿2015年5月4日报送)
根据《证券法》第二十一条和《首次公开发行股票并上市管理办法》第五十八条、《首次公开发行股票并在创业板上市管理办法》第四十条的规定,申请文件受理后、发行审核委员会审核前,发行人应当将招股说明书(申报稿)在中国证监会网站预先披露。
附件:沈阳隆基电磁科技股份有限公司首次公开发行股票招股说明书(申报稿2015年5月4日报送).pdf。
深圳市众鸿科技股份有限公司创业板首次公开发行股票 申请文件反馈意见
长城证券有限责任公司: 现对你公司推荐的深圳市众鸿科技股份有限公司(以下简称“发行人”)首次公开发行股票并在创业板上市申请文件提出反馈意见,请你公司在30日内对下列问题逐项落实并提供书面回复和电子文档。若涉及对招股说明书的修改,请以楷体加粗标明。我会收到你公司的回复后,将根据情况决定是否再次向你公司发出反馈意见。如在30日内不能提供书面回复,请向我会提交延期回复的申请。若对本反馈意见有任何问题,请致电我会发行监管部审核员。 一、规范性问题 1.2006年9月,众鸿有限原股东扣正生将所持20%股权作价10万元转让给徐晴雯。请补充说明此次股权转让的背景、转让原因、定价依据、转让款项支付情况、相关个人所得税的缴纳情况,是否存在纠纷或潜在纠纷,是否存在委托持股、信托持股或其他利益安排。请保荐机构、发行人律师核查并发表明确意见。 2.2012年5月发行人进行增资,由新股东众鸿天成和富海银涛肆号认缴,分别出资1,371万元和1,352万元。(1)请说明并披露新股东的入股背景、入股原因、定价依据;(2)请说明并披露众鸿天成自然人合伙人的资金来源,是否存在纠纷或潜在纠纷,是否存在委托持股、信托持股或其他利益安排;(3)请说明并披露富海银涛肆号及其管理人、最终出资人与发行人及发行人的控股股东、实际控制人、董事、监事、高管、核心技术人员、发行人的客户和供应商、本次发行的各中介机构及其签字人员有无关联关系、是否存在交易、资金往来以及委托持股、信托持股、对赌协议等利益安排。请保荐机构、发行人律师核查并发表明确意见。 3.发行人实际控制人苏军、徐晴雯曾任职于东芝电子,报告期内东芝电子为发行人主要供应商之一且占比较高。请补充说明东芝电子的注册地、成立时间、注册资本、股权结构、主营业务和主要产品,东芝电子及其控股股东、实际控制人、董事、监事、高管、核心技术人员是否与发行人及发行人的控股股东、实际控制人存在关联关系或其他利益安排,东芝电子是否从事与发行人类似的业务,发行人两名实际控制人是否违反竞业禁止等相关规定,发行人长期向东芝电子进行大额采购的原因、必要性和公允性。请保荐机构、发行人律师核查并发表明确意见。 4.报告期内发行人的营业收入分别为14,244.26万元、16,276.46万元和10,221.54万元,营业利润分别为3,043.29万元、3,211.24万元和394.67万元。请进一步分析说明并披露发行人2014年销售收入和营业利润大幅下滑的具体原因,并结合国内车载电子后装市场的发展趋势、移动互联网在车载电子领域的应用情况,分析行业内的竞争格局、技术发展等是否出现了对发行人不利的变化。请保荐机构、发行人律师核查并发表明确意见。 5.报告期内发行人曾向主要竞争对手之一深圳美赛达进行采购。(1)请补充说明并披露发行人向深圳美赛达进行采购的具体情况,包括采购内容、产品类型、数量、价格、定价依据及交易价格的公允性;(2)请补充说明深圳美赛达的注册地、成立时间、注册资本、股权结构及演变情况、主营业务、主要产品,其控股股东、实际控制人、董事、监事、高管、核心技术人员与发行人及发行人的控股股东、实际控制人、董事、监事、高管、核心技术人员是否存在关联关系或委托持股、信托持股等利益安排;(3)请补充说明报告期内发行人独立董事曾担任深圳美赛达独立董事的原因。请保荐机构、发行人律师核查并发表明确意见。 6.发行人实际控制人曾控制新晔香港、众鸿国际、鸿日升和鑫巴斯四家企业与发行人进行交易,上述四家关联企业陆续被注销或转让;报告期内发行人曾向易顺微等公司进行关联销售。(1)请补充说明新晔香港、众鸿国际、鸿日升和鑫巴斯的成立时间、注册资本、股权结构及变化、具体业务、报告期内的主要财务数据,相关关联交易履行的程序、定价方式、交易的必要性和公允性;(2)请补充说明新晔香港和鑫巴斯股权转让交易的受让人、受让人是否与发行人及其实际控制人存在关联关系、转让价格、定价依据、转让价款支付情况、个人所得税缴纳情况、股权转让后上述企业开展业务的情况以及是否与发行人继续存在业务往来;被注销的众鸿国际和鸿日升是否存在重大违法违规行为,注销后相关资产、业务、技术、人员等的处置情况,以及相关债权人是否同意债务处置方案。请保荐机构、发行人律师核查并发表明确意见。 7.请结合相关原材料主要生产商在境内外的分布情况以及产品规格、性能、价格等参数的比较,补充说明并披露发行人大量采购来自境外的原因及合理性,在税收、海关等方面是否存在重大违法行为,是否存在因此受到行政处罚的情形,是否存在纠纷或潜在纠纷。请保荐机构、发行人律师核查并发表明确意见。 8.报告期内,发行人的主要客户集中于珠三角地区。请保荐机构和申报会计师:(1)说明报告期向前十名客户的销售名称、内容、销售方式、主要运用车型等情况,补充说明主要客户的获取方式。(2)说明发行人客户集中于深圳、东莞地区的原因,说明东莞市艺展电子有限公司销售占比较高的原因,是否符合细分行业厂商分布特点。(3)说明主要客户选择发行人产品的主要因素、客户测试的过程和时间、发行人主要订单来源方式,说明发行人对不同客户和渠道的销售方式或销售政策。(4)说明前十名客户及其关联方与发行人是否存在(潜在的)关联关系。 9.发行人前五名供应商报告期内占比为54.96%、56.94%、58.38%。请保荐机构和申报会计师:(1)说明前十名的供应商对象及其采购金额、采购内容、采购占比等情况。(2)说明供应商集中于香港和深圳的原因。(3)说明发行人主要股东曾在东芝电子任职的经历对发行人向该供应商采购的影响,该采购是否真实、价格是否公允。请保荐机构和发行人律师对发行人香港采购渠道的合法性进行核查并发表明确意见。 10.报告期内发行人的营业收入分别为14,244.26万元、16,276.46万元、10,221.54万元:(1)请披露2012-2013年系统控制处理器销售金额增长下滑,而同期系统应用处理器模组销售金额大幅上升的具体原因,请保荐机构和申报会计师说明这一现象与行业发展趋势是否一致,说明是否存在客户定制后违约的情形。(2)根据招股说明书披露,发行人商品销售收入均在客户验收后确认收入,请披露境外收入所涉产品客户验收时点、发行人获取境外验收报告的方式。(3)请保荐机构和申报会计师说明各报告期产品出口的类别、金额、地区分布、客户情况,并对比说明主管海关部门提供的报关数据表与账面收入的差异,说明对境外收入的审计和核查情况。(4)请汇总分析主要产品的合同销售情况,说明合同数据的来源,年度合同销售金额与年度收入确认金额是否存在重大差异,是否存在跨期收入调节的情况。(5)请保荐机构、申报会计师说明报告期内各产品价格大幅下降的主要影响因素。 11.发行人报告期内营业成本为7,598.72万元、8,962.63万元、5,806.24万元:(1)请披露各期各产品的营业成本及其构成的主要变动原因。(2)请保荐机构和申报会计师说明外协单位的主要加工工序、定价的公允性、设备情况、注册资本、资产规模、熟练工占比、成立时间、合作渊源等,外协加工单位与发行人及其董监高是否存在关联关系或其他密切联系,请发行人披露外协单位的具体情况。(3)2014年末发行人生产人员22人,直接人工支出159.76万元,请保荐机构和申报会计师说明发行人生产人员人均薪酬与当地在岗员工人均薪酬、当地上市公司同类员工人均薪酬的差异,并说明报告期各期各类员工的人均薪酬与当地在岗员工人均薪酬、当地上市公司同类员工人均薪酬的差异。 12.发行人各期毛利率为46.65%、44.94%、43.20%。(1)发行人2014年新产品未推出导致各产品价格下降超过26%以上,请保荐机构和申报会计师结合主要产品的具体单位成本及其构成,说明各产品毛利率下降不超过5个百分点的原因。(2)请保荐机构和申报会计师说明配套元器件的毛利率逐年上升的原因,说明技术开发收入的内容及其毛利率为100%的原因。(3)请保荐机构和申报会计师详细说明发行人2014年下半年亏损的原因。 13.发行人期间费用合计占营业收入的比例分别为24.28%、23.70%及35.00%,其中销售费用率低于可比上市公司12个百分点以上。请保荐机构和申报会计师:(1)说明发行人销售人员2014年进一步减少至5名的原因,销售人员较少是否满足市场的需求、是否符合行业的特性。请结合产品、业务、市场、客户、行业等因素说明发行人销售费用率远远低于可比上市公司的原因。(2)结合2013年的具体市场情况,说明发行人广告费用、质保费用、交通差旅费在2013年前后大幅变动的原因,说明各产品质保政策的内容,质保政策与质保费用、预计负债的关系。(3)说明公司支付给行业协会会费的具体内容,是否利用赞助的名义等获取所需的行业发展数据。(4)进一步分细项说明发行人管理费用率远低于同行业上市公司的原因。 14.发行人曾通过股东控制的众鸿国际和新晔香港向东芝电子采购原材料,同时股东控制的易顺微等公司向发行人采购芯片等产品,该产品为发行人向其他单位采购的商品,实际控制人控制的其他单位为发行人提供软件程序烧录的加工。请保荐机构和申报会计师:(1)说明众鸿国际、新晔香港为发行人采购原材料而不收取费用的原因,是否利用关联交易转移成本,说明通过众鸿国际、新晔香港向东芝电子采购的必要性,补充报告期内与新晔香港的业务往来。(2)说明易顺微等公司未直接向众鸿国际采购芯片和连接器的原因,是否存在价格转移、利益转移的情形。(3)说明烧录程序的内容、是否为重要工序,发行人委托其他单位烧录程序的原因。 二、信息披露问题 15.发行人的专利、软件著作权、软件产品以及注册商标等无形资产大部分为报告期内取得。(1)请补充说明发行人在报告期内集中获得大量无形资产的原因,相关专利、软件著作权和软件产品对发行人主营业务及主要产品的作用和重要程度,对发行人业务构成重大影响的专利、软件著作权和软件产品及其对应产品收入占营业收入的比例;发行人商标所属的产品类别是否与发行人产品相对应,是否存在即将到期和办理续展手续的情况,是否存在展期障碍及对发行人持续经营和本次发行上市的影响;(2)请结合发行人自设立以来主营业务的发展情况,补充说明在取得相关无形资产前如何开展具体业务;(3)