单参数变换群中L算子的性质和应用
- 格式:docx
- 大小:91.51 KB
- 文档页数:8
关于Navier-Stokes-Voight方程精确解的相关探究刘星辰;马韶光【摘要】研究Navier-Stokes-Voight(简称NSV)方程,介绍Navier-Stokes-Voight方程的研究背景,为论文的展开做一些准备工作.利用Lie群的对称性质求解李方程,最终通过构造标准Lie算子的方法求解一维Navier-Stokes-Voight方程的一维精确解.【期刊名称】《淮北师范大学学报(自然科学版)》【年(卷),期】2017(038)002【总页数】6页(P19-24)【关键词】Navier-Stokes-Voight方程;Lie-Backlund算子;精确解【作者】刘星辰;马韶光【作者单位】南京财经大学应用数学学院,江苏南京 210046;南京财经大学应用数学学院,江苏南京 210046【正文语种】中文【中图分类】O175.2精确解在偏微分方程理论中占据着重要的位置,通过求解精确解,人们可以给方程以参数得到其数值模拟解,对人们更好地了解流体的发展状态做重要的参考.在众多的求解精确解的方法中,群理论中用对称李群的方法是求解大量偏微分方程的通用工具.近年来,随机扰动下的无穷维动力系统越来越多地引起人们的注意,其在力学、化学、生物学、地球物理学、大气海洋气候学等中得到广泛应用.本文主要研究随机扰动下的Navier-Stokes-Voigh(t简称NSV)方程.NSV方程描述Kelvin-Voight粘弹性不可压流体的动力学,确定情形下,NSV方程在数学物理各相关问题方面已有不少的结论,具体参见国内外研究现状[1-5].当流体动力学中湍流的影响不能用确定的函数来描述时,引入随机因素是合适而且是必然的.用表示不可压流体的速度,表示压力,那么三维空间下的Navi⁃ er-Stokes-Voight方程可以表示为其中Ω是一个带有光滑边界的有界区域,表示给定的外部压力,与时间t相互独立.νΔu表示扩散项,ν>0是粘性系数,gk表示随机压力项.定义1.1 Sobolev空间[6]其中表示一般的Lebesgue空间,那么显然是Banach空间,当p=2时引理1.1 Burkholder-Davis-Gundy(BDG)不等式.假设T>0,并且(Mt)0≤t≤T是一个连续的局部鞅,M0=0,对于每一个0<p<∞,都存在与T无关常数cp和Cp和(Mt)0≤t≤T,使得有如下不等式成立:特殊情况下,取p=2则不等式可化为引理1.2 其中引理1.3令H表示在空间下ν的闭包.引理1.4正交投射算子.定义是Stokes算子,其中定义域算子A是H中定义域为D(A)且在H中稠密的线性无界自共轭算子,它的逆A-1是一个从H到H的紧的自共轭算子.因此A的特征向量wj构成H的标准正交基且满足Awj=λjwj,0<λ1≤λ2≤λ3≤…,定义Hn=span{w1,w2,…,wn},并且令Pn是H到Hn的投射,定义Qn=I-Pn.引理1.5[7]Young′s不等式其中q=p/(p-1),1<p<∞.其中λ1是Stokes算子在齐次Dirichlet边界条件下的第一个特征值.定义2.1 在此只考虑单个参数的群,设Ta是一个依赖于实参数a,并且作用在(x,y)坐标平面上的变换:其中和满足边值条件:设是函数无关的,即他们关于x,y的雅可比矩阵的行列式不等于零.则变换Ta是一个可逆变换.那么群的性质也相应由如下方程来表示:这样就可以得到如下定义:定义2.2 如果G包含恒等变换及其逆变换,且它遵循上述群的性质,那么可逆变换的集合G在变量t,x,u的空间下称为单参数变换群.把函数f,g在a=0的附近进行泰勒展开,把初值条件(2)考虑进去,就可以得到群G的无穷小变换:式(3)提供群的生成元,即微分算子:其中X为标准Lie算子.定义2.3 一个函数关于群G的变换是不变的,如果即成立.函数的不变性可以用群的无限生成元的方法构造,如下面的引理2.1.引理2.1 若F(x,y)是群的不变函数当且仅当如下一阶线性偏微分方程成立引理2.2 若对称变换有如下形式对称变换可以写成如下形式那么这意味着可以找到带有如下对称形式的不变算子生成元(4)称为方程的一个无穷小对称容许算子.定义2.4[9]若G是单参数的近似变换群,考虑如下函数一个近似方程被叫做关于群G的近似不变方程,如果根据引理2.2,找到Navier-Stokes-Voight方程的延拓形式的Lie算子.其中NSV可以得到延伸的Lie-Backlund算子其中α2为正的无穷小量.计算出关于X0的决定方程和生成元,其中对u,t,x进行变量替换,那么新变量满足方程(4),对进行Taylor级数展开,并且只保留关于a的线性项,那么可以得到下列展开式:根据运算法则,其中的系数分别由如下的多项式表示:这里Dt和Dx分别表示关于t和x的全微分算子:根据(4)式可知,原方程经过变换得:因此,方程需要满足:即建立的决定方程为决定方程(10)是一个关于未知数的三阶线性齐次偏微分方程,因此,决定方程的所有解集的一个向量空间L是一个李代数,即它关于换位子是闭合的.其中决定方程的单参数前面的每一个系数由REDUCE软件得到:挑选出决定方程(13)中包含的uxx项,从延拓方程中看到只有根据uxx前面的系数可以得到可设对方程进行化简,同时挑出含有utx的项根据(15)式的信息ξu=0知把(11)式(12)式带入到算子(7)式中,则可简化为如下形式:在(16)式中,已经用uxx-uux替换掉ut-αutxx,使得方程更加简洁.那么将方程(16)化简整理,可以分成如下3个方程:根据方程ηuu=0可知,ξ关于u至多是线性的,又因为ξxx=2ηux,所以η可以设为如下形式:又由(18)式可得:所以,根据得到根据方程(22)可以得到:综合上述信息,得到所以可以得到由方程所允许的生成元为:关于X8有两个自变量,一个是x,另外一个是从特征方程得到的.因此得到积分不变量为因此,在或者中寻找不变解.那么偏微分方程降至一阶常微分方程解上述一阶常微分方程得到原方程的一个不变解为在这里C表示正的常数.经过验证得知,此精确解是符合一维Navier-Stokes-Voight方程模型的.【相关文献】[1]FLANDOLI F,GATAREK D.Martingale and stationary solutions for stochastic Navier-Stokes equations[J].Prob Theory Relat Fields,1995,102:367-391.[2]GAO H,SUN C.Random dynamics of the 3D stochastic Navier-Stokes-Voight equations[J].Nonlinear Analysis Series B:Real World Applications,2012,13:1197-1205.[3]OSKOLKOV A P.On the theory of Voight fluids[J].Zap Naûcn Sem Leningrad Otdel Mat Inst Steklov LOMI,1980,96:233-236.[4]KUBERRY P,LARIOS A.Numerical approximation of the Voigtregularization for incompressible Navie–Stokes and magne⁃tohydrodynamic flows[J].Computers&Mathematics with Applications,2013,354:2647-2662.[5]SUN C,GAO H.Hausdorff dimension of attractor for stochastic Navier-Stokes-Voight equations and primitive equations[J].Dynamics of PDE,2010,7:307-326.[6]CAPINSKI M,CUTLAND N J.Statistical solutions of stochastic Navier-Stokes equations[J].Indiana Univ Math J,1994,43 (3):927-940.[7]LIONS P L.Mathematical topics in fluid mechanics compressible models[M].Oxford:Oxford University Press,1998.[8]CAO C,TITI E S.Global well-posedness of the three-dimensional primitive equations of large scale ocean and atmosphere dynamics[J].Ann Math,2007,166:245-267. [9]LIONS J L,TEMAM R,WANG S.On the equations of the large-scale ocean[J].Nonlinearity,1992,5:1007-1053.[10]EWALD B,PETCU M,TEMAM R.Stochastic solutions of the two dimensional primitiveequations of the ocean and atmo⁃sphere with an additive noise[J].Anal Appl,2007,5:183-198.[11]OSKOLKOV A P.The uniqueness and solvability in the large of boundary value problems for the equations of motion of aqueous solutions of polymers[J].Zap Naucn Sem Leningrad Otdel Mat Inst Steklov(LOMI),1973,38:98-136.[12]GRIGORIEV Y N,IBRAGIMOV.Symmetries of integro-differential equations.With applications in mechanics and plasma physics[M].Berlin:Springer Press,2010.[13]GUILLÉN-GONZÁEZ F,MASMOUDI N,RODRGÍUEZ-BELLIDO M A.Anisotropic estimates and strong solutions of the primitive equations[J].Diff Integral Eqn,2001,14:381-408.。
带算子代数,左余单位双代数和DN-双代数带算子代数,左余单位双代数和DN-双代数引言:代数是数学中一个重要的研究对象,它研究的是代数对象和这些对象之间的变换关系。
在代数中,我们常常会遇到各种各样的代数结构,比如群、环、域等等。
本文将介绍三个重要的代数概念:带算子代数、左余单位双代数和DN-双代数。
一、带算子代数:带算子代数是一种广义的代数结构,它是代数学中集结代数、李代数和结合代数等多种代数的特点于一体的数学对象。
带算子代数是一种三元组(A,*,⊗),其中A是一个非空集合,*是A 上的一个自由幺代数的运算,⊗是A上的一个同态运算。
带算子代数有以下两个基本性质:1. 自由幺代数的性质:即(A,*)是一个自由幺代数,即对于任意的非空集合B和映射f:B→A,存在唯一的一个自由幺代数的同态映射g:F(B)→A,使得g∘i_{B}=f成立,其中i_{B}是F(B)到B的一个同构映射。
2. 同态运算的性质:⊗满足下面两个等式:(a⊗b)*c=a*(b⊗c)a*(b⊗c)=(a*b)⊗c二、左余单位双代数:左余单位双代数是指一个实数域上的双代数,在这个双代数中存在一个元素e,对于任意的x∈V,有e*x=x和e^2=e。
其中V是一个实数域上的向量空间。
左余单位双代数在数学中有很多重要的应用,特别是在代数几何中,左余单位双代数对于研究拟多项式拓扑的性质具有重要作用。
三、DN-双代数:DN-双代数是指一个复数域上的双代数,其中的D和N分别表示右导数和左导数。
DN-双代数可以用于描述一类特殊的算子,这类算子既是右导子又是左导子。
DN-双代数在数学物理学中有广泛的应用,特别是在量子力学中,DN-双代数可以描述线性变换和算子的性质。
结论:带算子代数、左余单位双代数和DN-双代数是代数学中非常重要的概念,它们可以很好地描述代数对象之间的变换关系。
带算子代数是一种广义的代数结构,左余单位双代数是左余单位性质和双代数结构的结合,DN-双代数则是复数域上的双代数结构。
密度算子的性质及其应用秦欣云;许道云【摘要】在量子力学中,密度算子作为量子系统的混合状态表示,其表达能力和性质得到广泛应用.本文基于矩阵和密度算子基础理论,利用Bloch向量表示单量子比特,得到纯态和混合态的密度矩阵的奇异值分解表达式和幂形式.通过分析密度矩阵的若尔当标准形,得到密度算子的一些特殊性质.利用密度算子的基本性质,通过选取二进制点作为量子比特的基矢,分析了由密度矩阵表示的多量子比特系统中量子叠加态的相干性,并研究了密度算子作为量子态可区分的数学理论.%In quantum mechanics, density operators are expressed as mixed states of quantum systems, the ex-pression and properties of it are widely used. Based on the basic theory of matrix and density operator, the singu-lar value decomposition expression and the power form of density matrix of pure and mixed states were obtained by using Bloch vector to represent single quantum bits. Then, some special properties of density operators were ac-quired by analyzing the Jordan standard form of density matrix. Finally, based on the basic properties of the den-sity operator, the coherence of the quantum superposition state in the multi-quantum system represented by the density matrix was analyzed by selecting the binary basis as the basis vector of the quantum bit. And the density operator was studied as a quantum state to be discriminable Mathematical theory.【期刊名称】《贵州大学学报(自然科学版)》【年(卷),期】2018(035)002【总页数】6页(P4-9)【关键词】密度算子;奇异值分解;若尔当标准形;相干性;可区分性【作者】秦欣云;许道云【作者单位】贵州大学数学与统计学院,贵州贵阳550025;贵州大学计算机科学与技术学院,贵州贵阳550025【正文语种】中文【中图分类】O413.1随着量子计算和量子计算机等相关领域的研究发展[1-5],量子力学已成为量子理论发展中一门重要的基础学科,密度算子作为量子力学的一个重要概念,简化了某些具体问题的计算。
单应性变化的原理及应用1. 引言单应性变化是计算机视觉中的一个重要概念,它可以用于图像处理、相机姿态估计、三维重建等多个领域。
本文将介绍单应性变化的原理以及其在计算机视觉中的应用。
2. 单应性变换的原理单应性变换指的是一个平面上的点在两个不同视角下的投影位置之间的变换关系。
假设点在第一个视角下的坐标为(x, y),在第二个视角下的坐标为(x’, y’),则可以用一个齐次变换矩阵H来表示两者之间的转换关系,即其中H是一个3x3的矩阵。
3. 单应性变换的求解方法3.1. 直接线性变换(DLT)直接线性变换是求解单应性变换矩阵H的一种常用方法。
它通过构建视角中点对的线性方程组,利用最小二乘法求解得到H。
具体步骤如下:1.收集一组已知对应点的坐标(x, y)和(x’, y’)。
2.将每个对应点的坐标表示为齐次坐标形式(x, y, 1)和(x’, y’, 1)。
3.构建一个2n x 9的矩阵A,其中n为对应点的数量。
矩阵A的每一行表示一个对应点的线性方程,即4.使用SVD(Singular Value Decomposition)对矩阵A进行分解,得到SVD的结果U、S和V。
5.取矩阵V的最后一列作为H的列向量,将其重塑为3x3的矩阵。
3.2. RANSAC算法RANSAC算法是一种鲁棒估计方法,可以用于求解单应性变换矩阵。
它通过随机选择一组点对,求解出一个初始的单应性变换矩阵,然后计算出其他点对到该变换矩阵的投影误差。
根据误差大小进行筛选,并利用筛选后的点对重新求解单应性变换矩阵,迭代若干次后得到最好的拟合单应性变换。
4. 单应性变化的应用4.1. 图像拼接图像拼接是指将多幅图像拼接在一起形成一幅大图的过程。
单应性变化可以用于图像拼接中,通过求解单应性变换矩阵,可以将不同视角下的图像投影到同一个平面上,然后通过图像融合的技术将它们拼接成一幅大图。
这在全景图生成、虚拟现实等领域有着广泛的应用。
4.2. 相机标定相机标定是指确定相机内参数和外参数的过程。
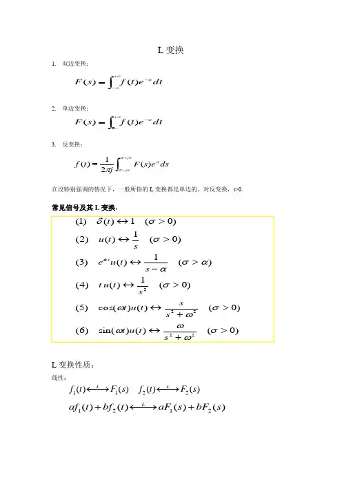
L 变换1. 双边变换:2. 单边变换:3. 反变换:在没特别强调的情况下,一般所指的L 变换都是单边的。
对反变换,t>0.常见信号及其L 变换:L 变换性质:线性:⎰+∞∞--=dte tf s F st)()(⎰+∞--=0)()(dte tf s F st⎰∞+∞-=j j stdse s F j tf σσπ)(21)()0()()sin()6()0()()cos()5()0(1)()4()(1)()3()0(1)()2()0(1)()1(22222>+↔>+↔>↔>-↔>↔>↔σωωωσωωσασασσδαst u t s s t u t st u t s t u est u t t)()()()(2211s F t f s F t f L L −→←−→←)()()()(2121s bF s aF t bf t af L +−→←+时移性:复频移性:时频倍数:微分性:积分性:卷积:)()(s F t f L−→←)()()(000s F e t t u t t f t s L -−→←--)()(s F t f L−→←)()()()(0000s s F e t f s s F e t f Lt s Lt s -−→←+−→←+-)()(s F t f L−→←)0()(||1)(≠−→←a a s F a at f F )()(s F t f L−→←)0()()]([--−→←f s sF t f dt d L )()(s F t f L−→←s d f s s F d f L t⎰⎰-∞-∞-+−→←0)()()(ττττ)()(11s F t f L −→←)()(22s F t f L−→←)()()()(2121s F s F t f t f L⋅−→←*)]()([21)()(2121s F s F j t f t f L*−→←⋅π初值定理:终值定理:L 变换与F 变换的关系:L 变换的计算: 分式计算:exist.are and of tranform laplace The )]([)(t f dt d t f )()(s F t f L−→←)(lim )0(s sF f s ∞→=+exi st.i s )(lim t f t →∞)(lim )(0s sF f s →=∞⎰⎰+∞∞--+∞∞--==dt e t f j F dt e t f s F tj t s ωω)()()()( sj j s j F s F s F j F ====∴ωωωω|)()(|)()()(......)()()(01110111n m a s a s a s b s b s b s b s D s N s F n n n m m m m <++++++++==----ord er) (one :poles If n p p p s D ,...,0)()1(21⇒=nn p s k p s k p s k s D s N s F -+-+-==...)()()(2211Then ips i i s F p s k Where =-=)()()(]...[)(],...,max[)(221121t u e k e k e k t f p p p s F t n p n t p t p n +++=> Then is of ROC the When σ)(]...[)(],...,min[)(221121t u e k e k e k t f p p p s F t n p ntp t p n -+++-=< Then i s of ROC the When σ)()()()()()(21t u t f t u t f t f s F b a -+=<< Th en i s of ROC the Wh en σσσ复函数方程的整合:ord er) (:poles If m p s D 10)()2(⇒=nn m m m p s k p s k p s k p s k p s k s D s N s F -+-+-++-+-==-...)(...)()()()()(22111112111Then ),...,2,1()]()[()!1(1111m i s F p s ds d i k Where ips mi i i i =--==--f raction.real is ,polynomial a is Whereas chang must we then n m If :NOTICE )()()()()()()()(s D s N s P s D s N s P s F s F ''+=≥∑⎰⎰===∞+∞-C curve close wi thi n of ploes all of Res. The stC ts j j ts e s F dse s F j dse s F j tf )()(21)(21)(ππσσ.)()(ste s F s F of same the are of poles The :NOTICE i ps sti i i es F p s p s F p =-=)()(][)(Res Then , of pole order one a i s If (1)ips stk i k k i i es F p s dsdk p s F k p =----=)()()!1(1][)(11Res Then , of pole order a i s If (2)。
算子代数的效应算子代数是现代数学中的一个重要分支,它研究的是一类特殊的代数结构,即由一组线性算子组成的代数。
这些算子可以是线性变换、微分算子、积分算子等等,它们可以描述物理、工程、经济等领域中的各种现象。
算子代数的研究不仅有理论上的价值,也有着广泛的应用价值。
本文将介绍算子代数的基本概念和性质,以及它在数学和其他领域中的应用。
一、算子代数的基本概念和性质1.1 算子代数的定义算子代数是由一组算子及其线性组合构成的代数结构,其中这些算子可以是线性变换、微分算子、积分算子等等。
一般地,我们可以定义一个算子代数为一个向量空间 $A$,其中定义了一个乘法运算$cdot$,满足以下条件:(1)对于任意的 $a,b,cin A$,有结合律:$(acdot b)cdotc=acdot (bcdot c)$。
(2)存在一个单位元 $1in A$,使得对于任意的 $ain A$,有$acdot 1=1cdot a=a$。
(3)对于任意的 $a,bin A$,有分配律:$acdot (b+c)=acdot b+acdot c$ 和 $(a+b)cdot c=acdot c+bcdot c$。
(4)对于任意的 $ain A$,存在一个逆元 $a^{-1}in A$,使得$acdot a^{-1}=a^{-1}cdot a=1$。
1.2 算子代数的例子下面给出一些算子代数的例子:(1)矩阵代数:所有 $ntimes n$ 实矩阵组成的向量空间$M_n(mathbb{R})$,其中乘法定义为矩阵乘法。
(2)微分算子代数:所有 $C^infty$ 函数的集合$C^infty(mathbb{R})$,其中乘法定义为函数的复合。
(3)多项式代数:所有次数不超过 $n$ 的实系数多项式的集合$mathbb{R}[x]$,其中乘法定义为多项式的乘法。
1.3 算子代数的性质算子代数具有很多重要的性质,下面列举几个:(1)算子代数是一个环。
一阶微分算子微分算子是微积分中的重要概念,它是指对函数进行微分运算的操作符。
一阶微分算子是指对函数进行一次微分运算的操作符。
在微积分中,一阶微分算子是非常重要的,因为它可以用来描述函数的变化率和斜率。
一阶微分算子的定义一阶微分算子是指对函数进行一次微分运算的操作符。
它可以用符号“d/dx”表示,其中“d”表示微分运算符,“dx”表示自变量x 的微小变化量。
一阶微分算子可以用来计算函数在某一点的斜率,也可以用来计算函数在某一点的变化率。
一阶微分算子的应用一阶微分算子在微积分中有着广泛的应用。
它可以用来求解函数的极值、最大值和最小值,也可以用来求解函数的导数和微分方程。
在物理学中,一阶微分算子可以用来描述物体的运动状态和变化率。
一阶微分算子的性质一阶微分算子具有以下性质:1. 线性性:对于任意两个函数f(x)和g(x),以及任意两个常数a和b,有d/dx(af(x)+bg(x))=ad/dx(f(x))+bd/dx(g(x))。
2. 乘法法则:对于任意两个函数f(x)和g(x),有d/dx(f(x)g(x))=f(x)d/dx(g(x))+g(x)d/dx(f(x))。
3. 链式法则:对于任意两个函数f(x)和g(x),有d/dx(f(g(x)))=f'(g(x))d/dx(g(x))。
4. 反函数法则:对于任意一个可逆函数f(x),有d/dx(f^-1(x))=1/d/dx(f(x))。
5. 常数函数法则:对于任意一个常数c,有d/dx(c)=0。
6. 幂函数法则:对于任意一个正整数n,有d/dx(x^n)=nx^(n-1)。
7. 指数函数法则:对于任意一个正实数a,有d/dx(a^x)=a^xlna。
8. 对数函数法则:对于任意一个正实数a,有d/dx(loga(x))=1/(xlna)。
总结一阶微分算子是微积分中的重要概念,它可以用来描述函数的变化率和斜率。
一阶微分算子具有线性性、乘法法则、链式法则、反函数法则、常数函数法则、幂函数法则、指数函数法则和对数函数法则等性质。
证明拉普拉斯算子的旋转不变性拉普拉斯算子L是常数形式的二阶偏微分算子,它是数学物理学中非常重要的算子,在很多理论中有着重要的意义。
在空间(二维和三维)中拉普拉斯算子有很多几何性质,其中一个是旋转不变性。
这意味着,对于任意函数f(x,y),将它沿着某轴旋转90度后,再代入拉普拉斯算子中,得到的值是原来的值,即:L [f (x′, y′)] = L [f (x, y)]我们可以用椭圆积分的方法证明此性质。
不令f (x, y)令人疑惑,如果它是无穷可微的,仍然可以验证该性质。
它可以表示为一个无穷级数:f (x, y) =ΣG n (x, y)其中G n (x, y)是对任意n的均匀可积分函数;这可以被写为:G n (x, y) =∫ φn (θ)g (x, y, θ)dθ其中,φ n (θ)是一个周期性函数,与θ相关,g (x, y, θ)是偏微分方程组的频率参数。
旋转不变性表明,任何函数f (x, y)与f (x′, y′)(其中x′= xcosθ+ ysinθ,y′=−xsinθ+ ycosθ)的拉普拉斯算子应该相等;对应地,这两个函数的和应该相等。
由于旋转不变性,我们可以得到:ΣL [G n (x′, y′)] =ΣL [G n (x, y)]并且L [G n (x′, y′)] =L [G n (x, y)]双边积分,Σ∫ L [G n (x′, y′)]dA=Σ∫ L [G n (x, y)]dA由于g (x, y, θ)和φ n (θ)都是可积函数,我们可以得到:Σ∫°2∫°φn (θ)L [g (x′, y′, θ)]dθdA=Σ∫°2∫°φn (θ)L [g (x, y, θ)]dθdA由于L是二阶偏微分操作,所以我们可以将上式简化为:Σ∫L [φn (θ)]g (x′, y′, θ)dθ=Σ∫L [φn (θ)]g (x, y, θ)dθ换句话说,拉普拉斯算子的旋转不变性得到了证明。
建筑几何造型中的Lie群Lie代数方法张群力;黄俊;程健;林涛涛【摘要】Lie群Lie代数理论在机器人机构学中有着重要应用.E3中刚体的连续运动对应于Lie群SE(3)上的一条连续曲线.运动旋量ξ∈se(3)作为Lie群SE(3)的Lie 代数元素,将刚体运动与Lie群SE(3)联系起来了.根据se(3)与SE(3)之间的指数映射及刚体运动的叠加定理建立串联机器人正向运动指数积公式,从而解析表达出虚拟的刚体运动.伴随刚体的空间运动,刚体边缘曲线在E3空间扫掠出了一张曲面.用计算机图形学与几何造型的方法,获得与刚体运动相对应的,用nurbs表达的建筑几何造型曲面.【期刊名称】《土木建筑工程信息技术》【年(卷),期】2014(006)001【总页数】9页(P29-36,50)【关键词】Lie群;Lie代数;指数映射;刚体运动群;刚体旋转群;几何造型【作者】张群力;黄俊;程健;林涛涛【作者单位】浙江省建筑设计研究院,杭州310006;浙江省建筑设计研究院,杭州310006;浙江省建筑设计研究院,杭州310006;浙江省建筑设计研究院,杭州310006【正文语种】中文【中图分类】TU113.6+41;TU12前言Lie群的理论发端于19世纪70年代挪威数学家Sophus Lie的工作。
Lie群是一个群,其上有拓扑,又是一个解析流形。
它上面同时包含代数结构、拓扑结构和解析结构,这些结构满足一些相容性条件。
在Lie群上,可以同时研究群结构、拓扑结构和几何结构。
Lie群是非线性的数学对象,Lie代数是Lie群结构的自然的线性化。
Lie群和Lie代数处于代数、拓扑、几何和分析的结合点上。
实际工程应用中,研究卫星的姿态、机器人运动及计算机图形学等,Lie群Lie代数理论是一个有效工具。
本文将其应用于建筑造型[1]。
刚体变换群SE(3)是Lie群中的一个经典范例,与一般抽象的Lie群不同。
它有具体的运动学和几何学意义,能够进行直观的形象思维。
单参数变换群中L算子的性质和应用
作者:杨在春
来源:《科技创新导报》 2014年第3期
杨在春
(山东科技大学信息系山东泰安 271019)
摘要:通过无穷小变换引入单参数变换群(OPG)中的L算子,介绍并证明L算子的几个重
要性质,在此基础上给出了其性质的一个应用。
关键词:无穷小变换单参数变换群 L算子
中图分类号:O177 文献标识码:A 文章编号:1674-098X(2014)01(c)-0219-02
21世纪60年代中期以来,非线性波动的研究取得了惊人的进展,非线性科学在许多科学
研究领域得到了广泛的应用[1]。
近年来,各种由非线性发展方程描述的非线性问题在一定程度上都取得了较好的解决方法,如反散射方法、李变换群方法、齐次平衡法、双曲正切函数展开法、试探函数法、非线性变换法、s i n e — c o s i n e方法和Ja c obi椭圆函数展开法等,并用这些方法求解了很多
非线性发展方程。
但是非线性方程的求解仍然难以把握,特别是当非线性方程带有高维、高阶
或高次项时求解更是难上加难,所以寻求非线性发展方程的解析解仍是一个长期而艰巨的任务[2]。
算子是现代科学技术中广泛使用的一个概念,是函数、映射等概念的进一步推广。
常用的
算子有哈密尔顿算子、拉普拉斯算子、遗传算子等,许多学科分支是在一些基本算子的基础之
上构建起来的。
算子也称为算符,在数学上,常把无限维空间到无限维空间的变换叫做算子。
从更广泛的意义上来讲,算子通常用来表示一个或一组作用,对一个算子的应用,我们必须研
究其整体性质。
1 L算子的定义
李变换群方法是由挪威数学家M.S.L i e发展起来的一种求解微分方程的方法。
该方法涉
及到的单参数变换群(OPG)是一种连续群[3],给出x-y平面上的变换:
如果( 1 ) 式满足以下三个条件,1 :表示恒等变换;2:表示逆变换;3:两个变换的乘积仍为(1)式对应的群中的元素,则称(1)式对应的群为单参数变换群,又称L i e点变换群。
(1)式给出的形式为OPG的整体变换,但在运用O P G解决问题时常常用的是其无穷小形式:
其中、是x,y 的二元函数,分别称为x和y的无穷小。
有两种方法可由O P G的无穷小形式求出其整体形式,其一是积分如下的初值问题[3]:
其二是运用李级数方法,正是在该方法中定义并运用了L算子,其定义形式为:
2 L算子的性质及其证明L算子是两个二元函数和两个偏微分运算符号的组合,一般作用于一个二元函数,作用结果还是一个二元函数。
作为一个整体概念,L算子有如下一些基本的重要性质:
1)幂次性质[3]
设是任意的关于一个二元函数,它不明显含有,而是通过依赖于,对微分有:
上述所有算式的结果仍为的函数。
我们可以这样来证明这个性质,以二次幂为例,,则有:,其中应将作为整体来对待。
若按二次导数展开求解则比较复杂,证明将非常困难。
这正
是定义算子带来的运算上的便利。
注意这里L 1只是个记号,与上面的L 算子的定义是一致的。
由O P G的无穷小形式求整体变换形式的李级数方法正是利用了L 算子的幂次性质。
2)线性性质
线性性质是指L 算子对它所作用的函数可以按线性运算的性质展开,设是两个任意关于的二元函数,是两个任意的常数,则有:
该性质的证明可利用偏微分算子的线性性质,证明如下:
乘积性质L 算子乘积性质与偏微分算子的乘积性质类似,同样设是两个任意的关于二元函数,则有:
证明如下:
使用类似的方法我们可以得到L算子的关于两个函数除法的性质:
4)微分性质
微分性质是指对L 算子的作用结果求导数,在此基础上,我们可以得到如下的关系式:
该性质与两个函数乘积的导数性质形式上非常相似,其中,与前面的L1同理,只是一个记号,不能理解为对L 算子求导数,此性质的证明利用了函数的可积性条件,即混合偏导数求导与其的次序无关。
3 L算子应用举例
上面我们介绍并证明了L算子的几个重要性质,理解掌握上述关于L算子的这些性质并加以应用,可以简化许多关于L 算子问题的求解,达到事半功倍的效果,下面试举一例说明。
下面我们利用上面介绍的L 算子的性质,给出(9)的证明:
在上述证明过程中,按Ja c ob i行列式展开后,第一步用到了L 算子的微分性质,经第二步整理,第三步利用了L算子的乘积性质,第四步利用了L 算子的线性性质,合并后L 算子所作用的函数恰好是关于的Ja c o b i行列式,整个运算过程非常简明,若直接将两边全部展开,计算起来相对要复杂的多。
4 结语
算子在现代数学、物理等学科的演绎计算中的使用越来越广泛,本文通过引进L算子的概念,介绍并证明了L算子的几个重要性质,并用实例说明该算子在一些相关问题求解过程中的作用。
参考文献
[1] 王明亮.非线性发展方程与孤立子[M].兰州:兰州大学出版社,199 0.
[2] 钱天虹.一类非线性波方程新的精确解[ J ].合肥:安徽建筑工业学院学报,2 0
05(12).
[3] 潘祖梁.非线性问题的数学方法及其应用[M].苏州:浙江大学出版社,19 98.
《科技创新导报》稿件要求及投稿说明
稿件要求
1.稿件应具有科学性、先进性和实用性,论点明确、论据可靠、数据准确、逻辑严谨、文字通顺。
2.计量单位以国家法定计量单位为准;统计学符号须按国家标准《统计学名词及符号》的规定书写。
3.所有文章标题字符数在20字以内。
4.参考文献按引用的先后顺序列于文末。
6.正确使用标点符号,表格设计要合理,推荐使用三线表。
7.图片要清晰,注明图号。
投稿说明
1.来稿一律使用Wor d排版且具有一定的学术水平,以270 0字左右为宜,并保证文章版权的独立性,严禁抄袭,文责自负,请勿一稿多投,欢迎投稿。
2.本刊已加入《中国学术期刊(光盘版)》《中文科技期刊数据库》《万方数据数字化期刊群》等网络媒体,本刊发表的文章将在网络媒体上全文发布。
3.本刊编辑部对来稿有修改权,不愿改动者请事先说明。
自收稿之日起1个月内未收到刊用通知,作者可自行处理。
4.来稿请注明作者姓名、单位、通讯地址、邮编、联系电话及电子信箱。
5.本刊发表周期为10天,出刊后5天内邮寄样刊。
6.如有一稿多投、剽窃或抄袭行为者,一切后果由作者本人负责。