法学专业各校排名
- 格式:docx
- 大小:21.52 KB
- 文档页数:5
法学专业大学排名_法学专业的优势法学专业大学排名教育部门并没有公布权威的法学专业大学排名,但是公布了法学学科评估结果,具有参考意义。
全国法学学科评估结果序号学校代码学校名称评选结果110002中国人民大学A+ 210053中国政法大学A+ 310001北京大学A 410003清华大学A 510276华东政法大学A 610486武汉大学A 710652西南政法大学A 810036对外经济贸易大学A-910183吉林大学A-1010248上海交通大学A-1110284南京大学A-1210335浙江大学A-1310384厦门大学A-1410520中南财经政法大学A-1510611重庆大学B+ 1610726西北政法大学B+ 1710006北京航空航天大学B+ 1810027北京师范大学B+ 1910055南开大学B+ 2010140辽宁大学B+ 2110246复旦大学B+ 2210285苏州大学B+ 2310319南京师范大学B+ 2410422山东大学B+ 2510530湘潭大学B+ 2610533中南大学B+2710558中山大学B+ 2810610四川大学B+ 2910034中央财经大学B 3010041中国人民公安大学B 3110151大连海事大学B 3210212黑龙江大学B 3310247同济大学B 3410272上海财经大学B 3510357安徽大学B 3610421江西财经大学B 3710423中国海洋大学B 3810459郑州大学B 3910532湖南大学B 4010542湖南师范大学B 4110589海南大学B 4210651西南财经大学B 4311066烟台大学B 4410052中央民族大学B-4510353浙江工商大学B-4610386福州大学B-4710475河南大学B-4810487华中科技大学B-4910559暨南大学B-5010561华南理工大学B-5110590深圳大学B-5210592广东财经大学B-5310673云南大学B-5410698西安交通大学B-5510730兰州大学B-5611406甘肃政法学院B-5711835上海政法学院B-5810007北京理工大学C+ 5910030北京外国语大学C+ 6010075河北大学C+ 6110108山西大学C+ 6210126内蒙古大学C+ 6310254上海海事大学C+ 6410273上海对外经贸大学C+ 6510280上海大学C+ 6610385华侨大学C+6710511华中师范大学C+ 6810657贵州大学C+ 6910755新疆大学C+ 7011078广州大学C+ 7111646宁波大学C+ 7211846广东外语外贸大学C+ 7310004北京交通大学C 7410028首都师范大学C 7510065天津师范大学C 7610125山西财经大学C 7710166沈阳师范大学C 7810173东北财经大学C 7910251华东理工大学C 8010294河海大学C 8110394福建师范大学C 8210484河南财经政法大学C 8310524中南民族大学C 8410656西南民族大学C 8510674昆明理工大学C 8611117扬州大学C 8711832河北经贸大学C 8810009北方工业大学C-8910011北京工商大学C-9010079华北电力大学C-9110270上海师范大学C-9210327南京财经大学C-9310346杭州师范大学C-9410378安徽财经大学C-9510497武汉理工大学C-9610574华南师范大学C-9710593广西大学C-9810602广西师范大学C-9911065青岛大学C-10011482浙江财经大学C-法学专业适合什么性格的人逻辑思维能力强:法学专业需要具备较强的逻辑思维能力,能够理清事物间的关系和推理过程。
全国法律专业排名前十的大学(名单)全国法律专业排名前十的大学法律专业一般是指我们常说的法学类专业。
想要报考一所好的法律类专业,我们除了看这所学校在这个专业类的综合排名外,我们更应该看学校开设的这个专业好不好,有没有权威性,被不被外界认可。
那么,众所周知,想要了解一个专业整体水平较高的大学,我们还是得看全国学科评估结果。
以下就是为大家整理的法学类学科评估中被评为A类的学校:A+:共计2所大学上榜,分别是中国人民大学与中国政法大学;A:共计5所大学上榜,分别是北京大学、清华大学、清华大学、武汉大学、西南财政大学;A-:共计7所大学上榜,分别是对外经济贸易大学、吉林大学、上海交通大学、南京大学、浙江大学、厦门大学、中南财经政法大学。
以上这14所大学的法学类专业在当初参与排名的144所大学中脱颖而出,可见学校专业实力的强劲。
二、中国学法律最好的大学排名一所好的大学往往能提供优秀的教学资源、浓厚的学习环境等。
根据软科和校友会2个排行榜,为大家分别整理出了各自排名前十的法学大学。
注意:因排行榜评分因素不一致,两个榜单的排名有些许不同,供参考。
1、软科2022年法学学科排名第1:中国政法大学;第2:中国人民大学;第3:武汉大学;第4:西南政法大学;第5:华东政法大学第6:北京大学;第7:清华大学;第8:中南财经政法大学;第9:上海交通大学;第10:四川大学。
2、校友会2022年法学专业学科排名TOP1:北京大学;TOP2:中国人民大学;TOP3:中国政法大学;TOP4:西南政法大学;TOP5:吉林大学;TOP6:复旦大学;TOP7:清华大学;TOP8:武汉大学;TOP9:北京师范大学;TOP10:外交学院。
尽管这两个排行榜的评级方式不一样,上榜的大学也有所不同。
但综合来看,中国政法大学、中国人民大学、西南政法大学,这3所学校始终在这2个榜单的前5名,实力强劲。
此外中国政法大学和中国人民大学它们在全国第四论学科评估中,法学学科还是最强的A+级别,学校不容小觑。
大学法学专业排名大学法学专业是近年来备受关注的学科之一,培养了大量的法学人才,为我国的法治建设做出了重要贡献。
在众多大学中,哪些大学的法学专业排名靠前呢?首先,北京大学的法学专业一直是国内顶尖的法学专业之一。
该校的法学专业具有悠久的历史和雄厚的师资力量。
该校的法学系设有本科、硕士和博士专业,教学内容涵盖了法学的各个领域,如宪法学、刑法学、民法学等。
在培养法学人才方面,北京大学一直保持着高标准和严苛要求,培养出了许多优秀的法学家和法律专家。
其次,清华大学的法学专业也具有很高的声誉。
该校的法学系在教学和科研方面都有着卓越的表现。
清华大学法学专业侧重于培养学生的法学基础知识和实践能力,注重学生的创新能力和综合素质的培养。
该校的师资力量雄厚,教师们在法学研究方面积累了丰富的经验和成果,对学生的指导和培养起到了重要的作用。
此外,中国政法大学也是我国法学专业排名靠前的高校之一。
该校法学专业在国内外享有盛誉,被誉为中国法学的"摇篮"。
中国政法大学的法学专业历史悠久,具有深厚的学术底蕴和师资力量。
该校的法学专业侧重于培养学生的法学理论知识和实践能力,注重学生的创新思维和综合素质的培养。
这些优势使得中国政法大学的法学专业在培养出大批优秀法学人才方面独具优势。
除了上述几所高校,还有一些其他大学的法学专业也具有一定的排名。
例如,复旦大学、武汉大学、南京大学等在法学专业方面也取得了一定的成绩,培养了大批的法学人才。
总之,大学法学专业排名是一个复杂的问题,涉及到各个学校的师资力量、教学质量、科研成果等多个方面。
以上所提及的几所高校在国内法学界具有重要地位,对培养优秀的法学人才做出了巨大贡献。
但是,排名只是参考之一,学生在选择法学专业时,还应根据自身的兴趣和发展方向来综合考虑。
全国政法类大学排行榜(精选4篇)全国政法类大学排行榜(篇1)政法类院校,是指以法学、政治学为主要学科专业的高等院校。
政法就是研究政治,行政和法律,在我国的政法类大学中,中国政法大学,西南政法大学,中南财经政法大学,西北政法大学,华东政法大学,上海政法学院,甘肃政法学院等院校都相当不错。
动法律院校的证,法律的毕业生可以从事相关政法类的工作,也可以担任律师,还可到法律咨询机构工作,它的好处是进入政法系统工作的学生较多,担任公务员职务的考生较多,就业的质量比较高。
全国政法类大学排行榜(篇2)1.法学(总关注度:1614851人)法学专业可以说是这个大专业里面最主要的一个专业,法学又称法律学、法律科学,是以法律、法律现象以及其规律性为研究内容的科学,它是研究与法相关问题的专门学问,是关于法律问题的知识和理论体系。
推荐院校:中国人民大学、中国政法大学、北京大学、武汉大学等;2.社会工作(总关注度:297256人)社会工作是中国普通高等学校本科专业。
社会工作主要研究社会学、心理学、社会工作等方面的基本知识和技能,以助人为宗旨,对社会上的贫困者、老弱者、身心残障者和其他弱势人群进行救助和服务等。
毕业后可以从事妇联、慈善等机构、社会救助、社会服务等。
推荐院校:中国人民大学、北京大学、华中师范大学、四川大学等;全国政法类大学排行榜(篇3)政法类含法律、马克思主义学、社会学、政治学、公安等五个门类。
1、政法类包括法律类:下设法学、经济法、国际法、国际经济法、劳动改造法、商法、刑事司法、法律、行政法、涉外经济与法律、知识产权法、律师、涉外经济法、经济法律事务、行政法律事务、矫正教育、监所管理等专业。
2、政法类包括马克思主义学类:下设科学社会主义运动与国际共产主义运动等专业。
3、政法类包括社会学类:下设社会学、人口学、社会工作、公共事业管理、劳动与社会保障、公共关系学、公共政策学、城市管理、城市和社区管理、社区管理、公共管理、人力资源管理、劳动经济、人事管理、民族理论与民族政策、社会工作与管理、家政学、人口社会学与人口工作、行政管理、土地资源管理、文化产业管理、会展经济与管理、国防教育与管理等专业。
经济法学专业排名1. 简介经济法学作为一门交叉学科,旨在研究经济与法律之间的关系,包括经济法规及其应用、经济活动的法律规范、经济行为主体的法律地位等。
经济法学专业培养具备经济学、法学及相关学科知识的人才,以解决经济领域中的法律问题。
2. 专业排名经济法学专业在国内各高校具有较高的就业率和薪资水平,因此备受学生关注。
以下是近几年国内经济法学专业的排名情况:2.1 中国政法大学中国政法大学的经济法学专业一直位于国内排名前列。
该校法学专业在国内法学领域有着较高的声誉,与政府、法院、事务所等有着广泛的合作关系,为学生提供了广阔的实习和就业机会。
2.2 清华大学清华大学法学院的经济法学专业也非常受欢迎。
清华大学作为中国顶尖的综合性大学之一,其法学院在国内外都享有很高的声誉。
经济法学专业的教学质量和就业水平都处于较高水平。
2.3 北京大学北京大学在经济法学专业方面也具备一定的优势。
该校法学专业设有经济法学方向,培养学生掌握经济与法律相结合的知识和技能,毕业生在相关领域有着广阔的发展前景。
2.4 外地高校除了上述几所知名高校外,其他地方的高校也有不少经济法学专业具有一定的实力。
例如,上海财经大学、对外经济贸易大学等综合性大学的法学院在经济法学专业方面也有较好的教学和研究实力。
3. 就业前景经济法学专业的毕业生在就业市场上有着广阔的发展空间。
他们可以选择在政府部门、律师事务所、企事业单位、金融机构等领域就业,从事相应的法律与经济结合方面的工作。
在当前经济全球化和法治化的背景下,经济法学专业的就业前景非常广阔。
随着中国经济的不断发展,相关法律政策的完善和实施对经济法学专业人才的需求也在不断增加。
4. 发展趋势随着互联网技术和创新的快速发展,经济法学专业也面临新的发展趋势。
数字经济、电子商务、区块链等新兴领域对法律规范和监管提出了新的挑战,因此经济法学专业需要不断更新教学内容和培养方案,以适应时代的需求。
此外,国际经济互联互通也为经济法学专业提供了更广阔的发展平台。
法学专业大学前十排名(2023)法学专业大学前十排名中国人民大学(排名第1)、中国政法大学(排名第2)、北京大学(排名第3)、清华大学(排名第4)、华东政法大学(排名第5)、武汉大学(排名第6)、西南政法大学(排名第7)、对外经济贸易大学(排名第8)、吉林大学(排名第9)、上海交通大学(排名第10)。
法学课程有哪些法学专业核心课程采取“10+X”分类设置模式。
“10”指法学专业学生必须完成的10门专业必修课程,包括:法理学、宪法学、中国法律史、刑法、民法、刑事诉讼法、民事诉讼法、行政法与行政诉讼法、国际法、法律职业伦理。
“X”指各高校根据办学特色开设的其他专业必修课程,包括:经济法、知识产权法、商法、国际私法、国际经济法、环境资源法、劳动与社会保障法、证据法、财税法,“X”选择设置门数原则上不少于5门。
知识产权专业核心课程包括:法理学、宪法学、刑法、民法、刑事诉讼法、民事诉讼法、行政法与行政诉讼法、知识产权总论、著作权法、专利法、商标法、竞争法、知识产权管理、知识产权文献检索与应用。
监狱学专业核心课程包括:法理学、宪法学、刑法、民法、刑事诉讼法、民事诉讼法、行政法与行政诉讼法、犯罪学、社会学、监狱学、矫正教育学、矫治心理学、狱政管理学、国外矫正制度。
各专业可根据自身培养目标与特色,设置专业必修课程学分。
法学专业的就业前景法学专业,曾一度被人们公认为是捧着“铁饭碗”的好专业,但是随着公检法单位人员的饱和、法学毕业生人数暴增等,法学专业毕业生的就业寒冰期已到来。
这种现象已经不仅仅存在于一般本科生就业的情况中,而且一些知名的法学院校也存在着这样的问题。
法学专业从社会需要来看是大有发展前景的。
从法学专业毕业生就业现状来看,法学类专业整体薪酬水平,相比之下比其他行业要高些。
传统观念认为,法学专业毕业的学生,会从事法官、检察官等社会地位高、收入高的职业。
因此,很多家长和考生偏爱法学专业,认为毕业后能从事法官、检察官、高校教师等职业。
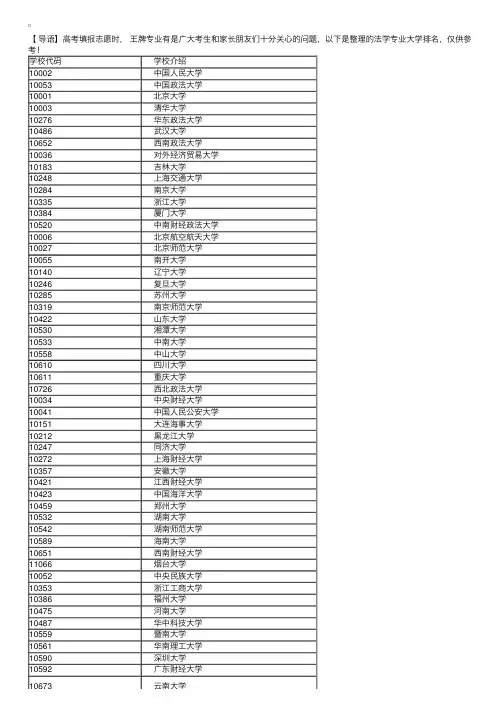
【 导语】⾼考填报志愿时, 王牌专业有是⼴⼤考⽣和家长朋友们⼗分关⼼的问题,以下是整理的法学专业⼤学排名,仅供参考!学校代码 学校介绍10002 中国⼈民⼤学 10053 中国政法⼤学 10001 北京⼤学 10003 清华⼤学 10276 华东政法⼤学 10486 武汉⼤学 10652 西南政法⼤学 10036 对外经济贸易⼤学 10183 吉林⼤学 10248 上海交通⼤学 10284 南京⼤学 10335 浙江⼤学 10384 厦门⼤学 10520 中南财经政法⼤学 10006 北京航空航天⼤学 10027 北京师范⼤学 10055 南开⼤学 10140 辽宁⼤学 10246 复旦⼤学 10285 苏州⼤学 10319 南京师范⼤学 10422 ⼭东⼤学 10530 湘潭⼤学 10533 中南⼤学 10558 中⼭⼤学 10610 四川⼤学 10611 重庆⼤学 10726 西北政法⼤学 10034 中央财经⼤学 10041 中国⼈民公安⼤学 10151 ⼤连海事⼤学 10212 ⿊龙江⼤学 10247 同济⼤学 10272 上海财经⼤学 10357 安徽⼤学 10421 江西财经⼤学 10423 中国海洋⼤学 10459 郑州⼤学 10532 湖南⼤学 10542 湖南师范⼤学 10589 海南⼤学 10651 西南财经⼤学 11066 烟台⼤学 10052 中央民族⼤学 10353 浙江⼯商⼤学 10386 福州⼤学 10475 河南⼤学 10487 华中科技⼤学 10559 暨南⼤学 10561 华南理⼯⼤学 10590 深圳⼤学 10592 ⼴东财经⼤学
10673 云南⼤学 10673 云南⼤学 10698 西安交通⼤学 10730 兰州⼤学 11406 ⽢肃政法学院 11835 上海政法学院 10007 北京理⼯⼤学 10030 北京外国语⼤学 10075 河北⼤学 10108 ⼭西⼤学 10126 内蒙古⼤学 10254 上海海事⼤学 10273 上海对外经贸⼤学 10280 上海⼤学 10385 华侨⼤学 10511 华中师范⼤学 10657 贵州⼤学 10755 新疆⼤学 11078 ⼴州⼤学 11646 宁波⼤学 11846 ⼴东外语外贸⼤学 10004 北京交通⼤学 10028 ⾸都师范⼤学 10065 天津师范⼤学 10125 ⼭西财经⼤学 10166 沈阳师范⼤学 10173 东北财经⼤学 10251 华东理⼯⼤学 10294 河海⼤学 10394 福建师范⼤学 10484 河南财经政法⼤学 10524 中南民族⼤学 10656 西南民族⼤学 10674 昆明理⼯⼤学 11117 扬州⼤学 11832 河北经贸⼤学 10009 北⽅⼯业⼤学 10011 北京⼯商⼤学 10079 华北电⼒⼤学 10270 上海师范⼤学
法学专业大学排名一览法学专业大学排名教育部门并没有公布权威的法学专业大学排名,但是公布了法学学科评估结果,具有参考意义。
法学专业简介法学,是关于法律的科学。
是以法律、法律现象以及其规律性为研究内容的科学。
法律作为社会的强制性规范,其直接目的在于维持社会秩序,并通过秩序的构建与维护,实现社会公正。
作为以法律为研究对象的法学,其核心就在对于秩序与公正的研究,是秩序与公正之学。
本专业培养追求社会正义,忠于法律,遵守法律职业道德,具备良好的法律思维、系统的法学专业知识和法律实务技能,了解财经理论和国家财经政策,能在国家机关、企事业单位、社会团体,特别是能在国家立法机关、司法机关、仲裁机构和法律服务机构从事法律工作的,宽口径、创新型的高素质法律应用人才。
法学专业就业方向学生毕业后,可以在立法机关、人民法院、人民检察院、公安机关等司法机关、行政机关、企业和事业单位、社会团体、律师事务所,基层乡镇法律服务机构从事法律、管理工作。
也可选择高校、继续深造。
主要就业方向:一、公务员主要包括检察官、法官、行政机关公务员。
由于国家统一司法考试制度的设立,使得本科生要想成为法官、检察官,必须在毕业后通过国家司法考试。
“毕业证”绝对不是“职业准入证”。
司法考试可以说是法学专业毕业生最重要的考试,这个考试过关率在30%左右。
当然,毕业生想进入公、检、法这样的单位,除了需要通过司法考试外,还要通过公务员考试。
二、律师律师既不像公务员队伍那样难进,又是法律专业的对口领域,是很多年轻毕业生的主要选择。
黎学宁表示,律师是个经验型行业,收入参差不齐。
根据工作经验、能力大小和所涉法律领域的不同,律师的收入有很大差别。
目前我国对律师的从业资格采取的是严格准入制度,必须通过国家司法考试。
三、公司法务人员公司法务人员也是目前法学专业毕业生就业人数最集中的一个领域,主要服务于企业的法律事务部、法律咨询部以及知识产权部等。
例如,各大国企、银行、外企、一些大型的私企内部都会设法务部门,专门处理企业所涉及的法律事务。
2022全国法学专业大学排名一览表_十大法学专业最好的大学法学专业相关介绍法学专业培养系统掌握法学知识,熟悉我国法律和党的相关政策,能在国家机关、企事业单位和社会团体、特别是能在立法机关、行政机关、检察机关、审判机关、仲裁机构和法律服务机构从事法律工作的高级专门人才。
主干课程:法理学、中国法制史、外国法制史、逻辑学、宪法、行政法与行政诉讼法、民法总论、民法分论、商法、知识产权法、经济法、刑法总论、刑法分论、民事诉讼法、刑事诉讼法、国际公法、国际私法、国际经济法、环境资源法、劳动与社会保障法、法律英语、公文写作与处理。
法学专业的就业方向一、公务员主要包括检察官、法官、行政机关公务员。
司法考试可以说是法学专业毕业生最重要的考试,这个考试过关率在30%左右。
当然,想进入公、检、法这样的单位,除了需要通过司法考试以外还要通过国家公务员考试。
二、律师律师既不像公务员队伍那样难进,又是法律专业的对口领域,是很多年轻毕业生的主要选择。
律师的收入构成可分两种计算,一种是拿工资式的,事务所付工资,律师负责打官司;另一种是律师不拿工资,在律师事务所,靠律师找客户,根据业务提成。
目前我国对律师的从业资格采取的是严格准入制度,必须通过全国司法考试。
三、公司法务人员公司法务人员也是目前法学专业毕业生就业人数最集中的一部分,主要服务于企业的法律事务部、法律咨询部以及知识产权部等。
例如,各大国企、银行、外企、一些大型的私企,公司内部都会设有法务部门,专门处理企业所涉及的法律事物。
还有一部分供职于政府的法律事物部门,但一般政府部门对学历和工作能力的要求较高,不是普通本科生能够达到的。
2022全国法学专业大学排名一览表。
法学开设院校
法学是一门涉及法律、政治、经济、社会等多个领域的学科,其重要性不言而喻。
因此,在中国,有很多高校都开设了法学专业,培养了大批优秀的法律人才。
以下是一些法学开设院校的介绍:
1.中国政法大学
中国政法大学是中国高等法律教育的领军学府,也是中国法学教育的重要基地之一。
学校设有法学、政治学、新闻学、哲学等多个学科,其中法学是学校重点学科之一。
2.复旦大学
复旦大学是中国著名的综合性大学之一,其法学专业一直以来都是中国法律教育的重要组成部分。
该校的法学院是中国法学界的著名学院之一,其师资力量强大、教学质量高。
3.北京大学
北京大学是中国最著名的高等学府之一,其法学专业一直以来都备受关注。
学校的法学院有着雄厚的师资力量和卓越的教学资源,其培养出的优秀法律人才广受社会认可。
4.中国人民大学
中国人民大学是中国最著名的综合性大学之一,其法学专业一直以来都备受关注。
该校的法学院是中国法学界的重要学院之一,其教学水平和研究实力得到了广泛认可。
5.武汉大学
武汉大学是中国著名的综合性大学之一,其法学专业一直以来都
备受关注。
学校的法学院师资力量强大,教学质量高,培养出了大批优秀的法律人才。
除了上述学校,还有很多其他高校开设了法学专业,包括中山大学、南京大学、山东大学、厦门大学等等。
这些学校的法学专业都有着不同的特色和优势,为学生提供了广泛的选择。
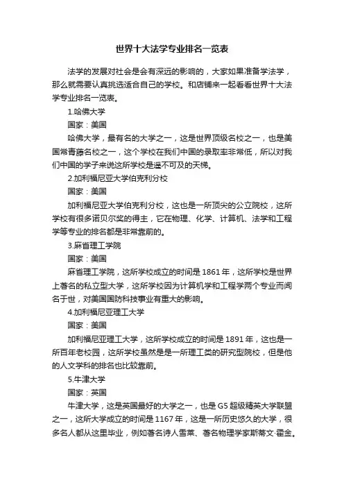
世界十大法学专业排名一览表法学的发展对社会是会有深远的影响的,大家如果准备学法学,那么就需要认真挑选适合自己的学校。
和店铺来一起看看世界十大法学专业排名一览表。
1.哈佛大学国家:美国哈佛大学,最有名的大学之一,这是世界顶级名校之一,也是美国常青藤名校之一,这个学校在我们中国的录取率非常低,所以对我们中国的学子来说这所学校是遥不可及的天梯。
2.加利福尼亚大学伯克利分校国家:美国加利福尼亚大学伯克利分校,这也是一所顶尖的公立院校,这所学校有很多诺贝尔奖的得主,它在物理、化学、计算机、法学和工程学等专业的排名都是非常靠前的。
3.麻省理工学院国家:美国麻省理工学院,这所学校成立的时间是1861年,这所学校是世界上著名的私立型大学,这所学校因为计算机学和工程学两个专业而闻名于世,对美国国防科技事业有重大的影响。
4.加利福尼亚理工大学国家:美国加利福尼亚理工大学,这所学校成立的时间是1891年,这也是一所百年老校园,这所学校虽然是是一所理工类的研究型院校,但是他的人文学科的排名也比较靠前。
5.牛津大学国家:英国牛津大学,这是英国最好的大学之一,也是G5超级精英大学联盟之一,这所大学成立的时间是1167年,这是一所历史悠久的大学,很多名人都从这里毕业,例如著名诗人雪莱、著名物理学家斯蒂文·霍金。
6.剑桥大学国家:英国剑桥大学,它是与牛津大学齐名的一所顶级的公立院校,也是英国第二所古老的大学院校,成立于1209年,英国历史上很多著名的学者、科学家都是这个学校的校友,例如培根、牛顿和达尔文等。
7.斯坦福大学国家:美国斯坦福大学,它是美国乃至世界都知名的顶尖私立大学,这所学校成立的时间是1891年,这个学校为美国和世界培养了很多高科技人才,为硅谷的形成和崛起奠定了基础。
8.耶鲁大学国家:美国耶鲁大学,它也是一所私立研究型大学,这个学校成立的时间是1701年,是美国历史上最早建立的第三所学校,这所学校的法学院闻名全球美国历史上五名总统都是从这个学校毕业的。
法学专业全国大学排名都有哪些法学专业都有哪些课程法学专业主要课程有:法理学、中国法制史、外国法制史、逻辑学、宪法、行政法与行政诉讼法、民法总论、民法分论、商法、知识产权法、经济法、刑法分论、民事诉讼法、刑事诉讼法、国际私法、国际经济法、劳动与社会保障法、公文写作与处理。
法学专业核心课程采取“10+X”分类设置模式。
“10”指法学专业学生必须完成的10门专业必修课程,包括:法理学、宪法学、中国法律史、刑法、民法、刑事诉讼法、民事诉讼法、行政法与行政诉讼法、国际法、法律职业伦理。
“X”指各高校根据办学特色开设的其他专业必修课程,包括:经济法、知识产权法、商法、国际私法、国际经济法、环境资源法、劳动与社会保障法、证据法、财税法,“X”选择设置门数原则上不少于5门。
知识产权专业核心课程包括:法理学、宪法学、刑法、民法、刑事诉讼法、民事诉讼法、行政法与行政诉讼法、知识产权总论、著作权法、专利法、商标法、竞争法、知识产权管理、知识产权文献检索与应用。
监狱学专业核心课程包括:法理学、宪法学、刑法、民法、刑事诉讼法、民事诉讼法、行政法与行政诉讼法、犯罪学、社会学、监狱学、矫正教育学、矫治心理学、狱政管理学、国外矫正制度。
各专业可根据自身培养目标与特色,设置专业必修课程学分。
法学专业就业前景怎么样近年来,法学专业一直是文科生报考的热门,实际就业情况并非与填报时一样“火爆”。
传统观念认为,法学专业毕业的学生,会从事法官、检察官等社会地位高、收入高的职业。
因此,很多家长和考生偏爱法学专业,认为毕业后能从事法官、检察官、高校教师等职业。
实际上,这些工作对院校背景或学历水平都有相当高的要求。
近年来,法学院许多学生会选择进一步学学习,考取国内著名大学的法学专业研究生。
大部分毕业生在立法机关、行政机关、审判机关、检察机关、仲裁机关、律师事务所、银行等单位从事法律工作。
法学专业大学排名_法学专业有哪些就业空间法学专业大学排名教育部门并没有公布权威的法学专业大学排名,但是公布了法学学科评估结果,具有参考意义。
全国法学学科评估结果序号学校代码学校名称评选结果110002中国人民大学A+ 210053中国政法大学A+ 310001北京大学A 410003清华大学A 510276华东政法大学A 610486武汉大学A 710652西南政法大学A 810036对外经济贸易大学A-910183吉林大学A-1010248上海交通大学A-1110284南京大学A-1210335浙江大学A-1310384厦门大学A-1410520中南财经政法大学A-1510611重庆大学B+ 1610726西北政法大学B+ 1710006北京航空航天大学B+ 1810027北京师范大学B+ 1910055南开大学B+ 2010140辽宁大学B+ 2110246复旦大学B+ 2210285苏州大学B+ 2310319南京师范大学B+ 2410422山东大学B+2510530湘潭大学B+ 2610533中南大学B+ 2710558中山大学B+ 2810610四川大学B+ 2910034中央财经大学B 3010041中国人民公安大学B 3110151大连海事大学B 3210212黑龙江大学B 3310247同济大学B 3410272上海财经大学B 3510357安徽大学B 3610421江西财经大学B 3710423中国海洋大学B 3810459郑州大学B 3910532湖南大学B 4010542湖南师范大学B 4110589海南大学B 4210651西南财经大学B 4311066烟台大学B 4410052中央民族大学B-4510353浙江工商大学B-4610386福州大学B-4710475河南大学B-4810487华中科技大学B-4910559暨南大学B-5010561华南理工大学B-5110590深圳大学B-5210592广东财经大学B-5310673云南大学B-5410698西安交通大学B-5510730兰州大学B-5611406甘肃政法学院B-5711835上海政法学院B-5810007北京理工大学C+ 5910030北京外国语大学C+ 6010075河北大学C+ 6110108山西大学C+ 6210126内蒙古大学C+ 6310254上海海事大学C+ 6410273上海对外经贸大学C+6510280上海大学C+ 6610385华侨大学C+ 6710511华中师范大学C+ 6810657贵州大学C+ 6910755新疆大学C+ 7011078广州大学C+ 7111646宁波大学C+ 7211846广东外语外贸大学C+ 7310004北京交通大学C 7410028首都师范大学C 7510065天津师范大学C 7610125山西财经大学C 7710166沈阳师范大学C 7810173东北财经大学C 7910251华东理工大学C 8010294河海大学C 8110394福建师范大学C 8210484河南财经政法大学C 8310524中南民族大学C 8410656西南民族大学C 8510674昆明理工大学C 8611117扬州大学C 8711832河北经贸大学C 8810009北方工业大学C-8910011北京工商大学C-9010079华北电力大学C-9110270上海师范大学C-9210327南京财经大学C-9310346杭州师范大学C-9410378安徽财经大学C-9510497武汉理工大学C-9610574华南师范大学C-9710593广西大学C-9810602广西师范大学C-9911065青岛大学C-10011482浙江财经大学C-法学专业有哪些就业空间法学专业毕业生有着广泛的就业空间,以下是一些常见的法学专业的就业领域:律师事务所:律师事务所是法学专业毕业生最常见的就业选择。
法硕大学排名法硕大学排名法律硕士(Master of Laws,简称LLM)是法学领域的研究生学位,是为那些已经获得法学学士或相关学位的学生提供更深入法学研究的机会。
随着法学的发展和国际间法律交流的增加,越来越多的学生选择攻读法律硕士学位。
以下是一些国内外知名大学的法学硕士排名,供有意愿攻读法学硕士学位的学生参考。
美国1. 哈佛大学法学院(Harvard Law School):作为世界上最著名的法学院之一,哈佛法学院以其优秀的师资队伍和卓越的教育质量享誉全球。
2. 斯坦福大学法学院(Stanford Law School):斯坦福法学院为学生提供了多元化的法学教育,注重法学实践和创新研究。
3. 芝加哥大学法学院(University of Chicago Law School):该法学院以其严谨的学术氛围和全面的法学教育而闻名。
英国1. 牛津大学法学院(University of Oxford Faculty of Law):牛津法学院是英国最古老的法学院之一,以其顶尖的学术研究和优秀的法学教育而闻名。
2. 伦敦政治经济学院法学院(London School of Economics and Political Science Law School):伦敦政治经济学院提供了一流的法学硕士课程,并且具有较高的国际声誉。
3. 剑桥大学法学院(University of Cambridge Faculty of Law):剑桥法学院拥有一流的师资队伍和研究资源,为学生提供了卓越的法学教育。
加拿大1. 多伦多大学法学院(University of Toronto Faculty of Law):多伦多法学院是加拿大最负盛名的法学院之一,其卓越的教育质量和广泛的法学领域设置使其成为许多学生的首选。
2. 魁北克大学法学院(Université Laval Faculty of Law):作为加拿大法学教育的重要机构之一,魁北克大学法学院致力于培养具备国际竞争力的法学硕士人才。
法学大学排名随着社会发展和人们法律意识的提高,法学专业越来越受到重视,越来越多的学生选择从事这一领域的研究与学习。
而对于想要选择法学专业的学生来说,他们关心的一个重要问题就是,哪所大学的法学专业更为权威和优秀,哪所大学的法学专业排名更高。
因此,本篇文档将介绍一下目前国内外的法学大学排名情况。
一、国内法学大学排名1. 中国政法大学中国政法大学是位于北京市海淀区的一所知名高等法律教育机构,是中国人民共和国法治教育领域唯一的“211工程”双重重点建设高校和一流学科建设高校。
其法学专业已经形成了“学科联动、特色鲜明、优势突出”的办学特色,在国内外享有很高的声誉。
2. 复旦大学复旦大学是中国长江三角洲地区一所著名的研究型大学,位于上海市杨浦区。
其法学专业办学历史悠久,教学质量一直处于国内领先地位,学院在法学、国际法、比较法等领域的研究水平也很高。
3. 中国人民大学中国人民大学是中华人民共和国教育部直属并且是“双一流”高水平大学中唯一一所负责财经金融和法律科学的综合性研究型大学。
拥有优秀的法学教育资源和师资力量,其法学专业毕业生在司法考试和公务员考试上的表现为其赢得了良多赞誉。
4. 上海交通大学上海交通大学位于中国上海市徐汇区,是中华人民共和国教育部直属的全国重点大学。
其法学专业由管理学院和法学院共同参与教学,涵盖了法学的各个方向,在商法、金融法、知识产权法等方面具有一定的优势。
二、国外法学大学排名1. 哈佛大学哈佛大学是美国及世界上著名的私立研究型大学,位于马萨诸塞州剑桥市。
其法学师资力量堪称一流,拥有许多法律界知名人士,如美国最高法院大法官。
该校的法学专业一直保持着全球排名前列的地位。
2. 牛津大学牛津大学是英国历史悠久的一所世界著名高等教育机构,拥有着优秀的法学传统和丰富的法学资源。
其法学专业位于牛津大学法律系,校友中有许多是英国政治及司法领域的重要人物。
3. 波士顿大学波士顿大学是一所位于美国麻省波士顿市的私立研究型大学,法学院在美国司法界和学术领域有着杰出的声誉,在国外的法学界也有着广泛的影响力。
全国法学专业评级排名
根据全国高等教育学位与研究生教育发展中心(CDGDC)2021年发布的中国大学法学专业排名,以下是全国法学专业评级排名:
1. 中国政法大学法学院
2. 清华大学法学院
3. 北京大学法学院
4. 复旦大学法学院
5. 武汉大学法学院
6. 吉林大学法学院
7. 对外经济贸易大学法学院
8. 山东大学法学院
9. 南京大学法学院
10. 东北大学法学院
这只是其中的一部分排名,具体排名请以CDGDC官方发布为准。
法学专业排名可能每年都会有一定变动,因此建议您查阅最新的官方排名数据。
中国211法学专业排行榜近年来,法律行业发展迅速,法学专业也成为了许多学生的热门选择。
那么,在众多的高校法学专业中,哪些211高校的法学专业是最受欢迎的呢?以下是2021年中国211高校法学专业排行榜:1. 北京大学法学院北京大学法学院是中国法学教育的领军者。
学院设有16个专业,分别为中国法制史与法理学、宪法与行政法学、刑法学、民法学、商法学、知识产权法学、国际法学、经济法学、环境与资源保护法学、司法制度与诉讼法学、法律英语、法律逻辑与法理学、国际关系学、公共管理学、法医学、社会保障法学。
北京大学法学院拥有一流的师资力量和雄厚的学术实力,是中国最顶尖的法学院之一。
2. 清华大学法学院清华大学法学院是中国法学教育的重要代表之一。
学院设有10个专业,分别为宪法学与行政法学、刑法学、民法学、商法学、知识产权法学、国际法学、经济法学、环境与资源保护法学、司法制度与诉讼法学、公共法学。
清华大学法学院拥有一流的师资力量和雄厚的学术实力,是中国法学教育的重要中心。
3. 复旦大学法学院复旦大学法学院是中国法学教育的重要代表之一。
学院设有16个专业,分别为宪法学与行政法学、刑法学、民法学、商法学、知识产权法学、国际法学、经济法学、环境与资源保护法学、司法制度与诉讼法学、法律史、法律哲学、法律经济学、国际政治学、公共管理学、社会保障法学、法医学。
复旦大学法学院拥有一流的师资力量和雄厚的学术实力,是中国法学教育的重要中心。
4. 上海交通大学法学院上海交通大学法学院是中国法学教育的重要代表之一。
学院设有10个专业,分别为宪法学与行政法学、刑法学、民法学、商法学、知识产权法学、国际法学、经济法学、环境与资源保护法学、司法制度与诉讼法学、公共法学。
上海交通大学法学院拥有一流的师资力量和雄厚的学术实力,是中国法学教育的重要中心。
5. 武汉大学法学院武汉大学法学院是中国法学教育的重要代表之一。
学院设有12个专业,分别为宪法学与行政法学、刑法学、民法学、商法学、知识产权法学、国际法学、经济法学、环境与资源保护法学、司法制度与诉讼法学、法律史、法律哲学、社会保障法学。
2010年全国大学法学A等学校 1中国人民大学 2北京大学 3中国政法大学 4武汉大学 5西南政法大学 6吉林大学 7中南财经政法大学 8厦门大学 9华东政法大学 10清华大学
11南京师范大学 12复旦大学 13浙江大学 14外对经贸大学 15山东大学 16南京大学 17湘潭大学 18上海交通大学大连海事大学西北政法大学 一级学科国家重点学科/博士点/硕士点 一级国家重点学科 北京大学 中国人民大学 中国政法大学
一级学科博士点 北京大学 华东政法大学 吉林大学 南京师范大学 清华大学 武汉大学 西南政法大学 厦门大学 中国人民大学 中国社会科学院研究生院 中国政法大学 中南财经政法大学 一级学科硕士点 安徽大学 北京大学 北京航空航天大学 大连海事大学 对外经济贸易大学 贵州大学 海南大学 黑龙江大学 湖南大学 湖南师范大学 华东政法大学 华南理工大学 吉林大学 兰州大学 辽宁大学 南京大学 南京师范大学 南开大学 清华大学 山东大学 山西大学 上海交通大学 四川大学 苏州大学 同济大学 武汉大学 西安交通大学 西北政法大学 西南财经大学 西南政法大学 厦门大学 湘潭大学 烟台大学 云南大学 郑州大学 中国人民大学 中国人民公安大学 中国社会科学院研究生院 中国政法大学 中南财经政法大学 中南大学 中山大学 重庆大学 国内名校法学专业院校的不同发展历程,学科发展的侧重,特色。 一、老牌劲旅,雄风不减 昔日名扬四海的“五院四系”,堪称法学界的老牌劲旅,他们欣逢盛世,在激昂奋进的发展中在法学领域独领风骚,雄风不减。据中国科学评价研究中心提供的相关信息显示,2006年法学专业全国各院校综合排名中,脱胎于“五院四系”的9所高校中,仍有8所雄霸前八名的宝座。 中国人民大学——老牌法学强校,民商法实力最强 人大法学院是在作为“五院四系”之一的人大法律系基础上发展起来的。作为老牌的法学强校,拥有宪法和行政法、刑法、民商法三个国家级重点学科,其中民商法实力最强。 【招生信息】开设硕士点专业有:法学理论、法律史、宪法学与行政法学、刑法学、民商法学、诉讼法学、经济法学、环境与资源保护法学、国际法学、知识产权法。人大最近几年的招生简章都不公布招生人数。 【攻关秘笈】人大法学院历年来的录取分数线都很高。专业课考试采用人大版的21世纪法学指定教材,市面上容易买到。试题题型比较稳定,重复率也不低,通常是名词解释、简答和论述,而且试题90%出自指定的参考教材。这些试题看似容易但难拿高分。考生在答题时要注意逻辑性,尽量多答,以展示出自已的思维能力和知识面。 武汉大学——国际法学、环境与资源保护法学、宪法与行政法学全国领先 武汉大学法学院是中国法学教育与研究的重点基地之一。无论是“大法学”(包括法学、马克思主义理论、社会学、政治学、公安学等5个学科类)还是“小法学”,其实力与研究底蕴在全国范围内都相当不错。优势学科突出,国际法学、环境与资源保护法学、宪法与行政法学都处于全国领先水平。 【攻关秘笈】武汉大学复试分数线相对较低,复试比例较大;专业课考试有指定的参考教材,考题通常不会超过这些教材的范围。专业课题型比较灵活,常见题型有名词解释、简答、论述等题型/填空、案例分析、辨析等题型,比较重视考查考生理论的掌握和理解。另外,武大在启航考研网上有辅导班,对考研成功也有一定帮助。 北京大学——法学理论名师云集,实力雄厚 法理学、宪法与行政法、经济法、刑法为国家重点学科,其中法学理论学科是我国最早设置硕士点的学科之一。名师云集,教学科研力量雄厚,北大法学理论学科长期以来在全国居于领先地位。 【攻关秘笈】北大法学院的招生十分挑剔,如果对自己的实力与竞争力不是非常有信心的考生,建议慎重报考。北大的研究生考试没有指定教材,平时积累很重要。考试试题基本上都是主观题,虽然考题不多,但是出题灵活,考查的信息量非常大,要求具备深厚的法学学术功底和很强的综合分析能力。 中国政法大学——有统有分的培养模式,法制史、诉讼法水平一流 中国政法大学的培养模式独具特色:被录取考生按专业分至法学院、民商经济法学院、刑事司法学院、国际法学院学习。按照有统有分的教学计划,通识课程与20门左右主要专业课程是统一的,各学院根据本院的学科优势为学生开设部分选修课程,既保证宽口径、高素质人才培养目标的实现,又实现法学专业特色人才的培养目标。法大在法学领域各个专业实力都很强,尤其是法制史和诉讼法的研究水平国内一流。 【攻关秘笈】法大保送生、推免生的比例不高,每年报考和录取的外校考生较多。专业课考试都有指定教材,出题一般都限定在指定教材的范围之内,考题相对北大、清华的纯主观题来说比较容易把握。 西南政法大学——学科体系齐全,经济法学傲视群雄 西南政法大学是全国公认的规模最大、学科体系最齐全的高级法律人才培养基地,是全国培养法学专门人才最多的院校。在全国二级学科评比中,西南政法大学的经济法国家级重点学科连续四年蝉联全国第一。 【攻关秘笈】西政研究生专业课考试也有指定参考书目,基本上是本科生教学用书,有条件的还可以参阅西政本科教学参考书,重点掌握基础知识,同时也要关注学科的一些研究热点问题。西政的公费生招生比例一般在1/3以上、1/2以下,自费生学费约为1万元/年。 吉林大学——律师实务颇具影响,法学理论全国闻名 吉大法学院拥有一批治学严谨的教授学者,科研成果丰富,律师实务也颇有影响。培养的毕业生中有许多已成为法律界和各条战线上的骨干力量,校友资源非常丰富。法学理论和刑法学是国家重点学科,尤其是吉大的法学理论研究,饮誉全国。 【攻关秘笈】吉大法学研究生专业考试有指定教材,认真复习指定教材,全面掌握知识点,基本上就可以取得不错的成绩。另外,笔者强烈推荐一本专业参考书给拟考吉大的同学,也就是吉大本科生差不多人手一本的《民法原论》(马俊驹著,蓝色封面1998年版)。 中南财经政法大学——4个部省级重点学科,知识产权法研究独树一帜 法学院是中南财经政法大学发展得比较成熟的一个大院,拥有民商法学、宪法与行政法学、刑法学、经济法学4个部省级重点学科,其中民商法学和宪法与行政法学为司法部和湖北省双重重点学科。设有知识产权法研究所,涌现了吴汉东、曹新明等国内外知名的知识产权专家,其研究成果在国内同行中处于领先地位。 【攻关秘笈】中南财经政法大学的专业课考试分别指定了初试参考书和复试参考书,值得注意的是,这些参考书中有相当一部分是新出版的,考生要注意它们“新”的地方。考试题型根据所报考的具体专业方向有所不同,客观题和主观题都有,基本以参考书为考试范围。 华东政法大学——国际法实力强劲,法律史、经济法、刑法全面开花 华东政法大学的教师多为上海知名律师,教学与国际接轨,注重实际分析能力的培养。法律史学、经济法为司法部、上海市重点学科,刑法学也被上海市教委确定为重点学科,并被联合国教科文组织确定为世界银行贷款资助项目。国际法专业被国家司法部确定为司法部和上海市重点学科。 【攻关秘笈】华政的考研难度要小于复旦大学,但华政本校的本科生考本校研究生的比较多,而且不乏有实力者,因此竞争还是比较激烈的。考生应多接触案例,注重培养运用法律分析实际问题的能力。 西北政法大学——刑法和经济法实力不俗 西北政法大学也是老牌的五所政法院校之一,是西北地区高等法学教育与法学科研中心,在西北地区声望很高,不过因为地理位置受限制等因素,在五所政法院校中知名度和号召力相对较弱,但实力不容小觑,刑法和经济法实力不俗。 【攻关秘笈】西北政法专业课考试没有公布指定教材,不过题目难度不是很大,比较好把握。 二、名校战队,底蕴深厚 除了“五院四系”外,国内还与许多知名高校都设有法学专业,凭借名校效应、深厚的学术底蕴、良好的学术氛围以及一流的科研条件,这些学校的法学专业也得到众多考生的追捧。 清华大学——后来居上,民商法最具实力 民商法是清华大学法学院最具实力的专业,汇集了包括中国商法研究会会长王保树、中国合同法学第一人崔建远在内的一批著名中青年法学专家,与社科院法学所、人民大学民商法成三足鼎立之势。 【攻关秘笈】清华大学法学的专业课考试试题与北大一样,基本是主观题,没有指定的复习参考教材,考生在复习备考的时候不妨了解一下该专业的教学用书以及所报专业命题教师的有关论著和学术观点,多关注该专业的相关论文。 厦门大学——地处经济特区,国际法、民商法实力不俗 厦门大学地处经济特区,国际法学、民商法学等与经济发展密切相关的法学专业实力不俗。国际法学学科综合实力已位居全国前列,尤其是在国际经济法基本理论、国际投资法、国际经济条约与国际经济组织、国际税法及国际经济争端解决等方面,取得了一批在海内外有影响的学术成果。 【攻关秘笈】厦门大学法学专业考试有指定教材,题目比较灵活。除了指定教材以外,还要复习厦大法学院出版的考研参考书,主要是与考试相关基础科目的习题集,包括历年真题。对照题目和答案就能对考研试题风格和考查方向有进一步的了解。 浙江大学——法理学、宪法学与行政法学为考研热门 浙江大学光华法学院是浙江大学文科建设的特区。实行独特的、不同于浙江大学其他学院以及其他大学法学院的管理体制、学术机制、评价体系。拥有法理学、宪法学与行政法学等一些优势学科,也是法学类考研的热门目标之一。 【攻关秘笈】浙大法学院招生人数少,慕名报考的人又多,浙大本校的学生进复试以后优势非常明显,竞争相当激烈。政治、英语等公共科过线分数偏高,专业课考题难度不算太大,不过法理的论述题往往比较灵活。 复旦大学——学科发展均衡,培养复合型法律人才 除了法学院本身快速发展以外,复旦大学与法学密切相关的经济学、管理学、政治学、历史学等人文、社会科学及外语教学的实力都居于全国前列,这也是其开展法学研究和教学、培养复合型法律人才得天独厚的条件。 【攻关秘笈】复旦的综合课考查的面比较广,其内容包括所有的法学核心课程,指定教材上的内容很少。考试既有老的内容,也有时事热点,有靠记忆的内容,也有需要综合运用法律知识分析的内容,复习时要注意把握好参考教材和其他资料的知识综合问题。 南京大学——增强对外交流,中德合作办学 南京大学经济法学是江苏省“十一五”期间重点建设的学科。学院设有中德法学研究所,是南京大学与德国哥廷根大学合办的国际性法学合作研究与教学实体,联合培养研究生,学制三年,其中两年在国内,一年在德国,对考生很有吸引力。 【攻关秘笈】南大法学院研究生考试竞争也很激烈,经济法专业尤甚,刑法学专业也比较热门。专业课考试不同专业的出题风格差别较大,考生要多收集一些相关信息