基于弹性力学的圆形隧道岩爆分析
- 格式:pdf
- 大小:726.28 KB
- 文档页数:6
考虑中间主应力和软化的圆形隧道围岩弹塑性分析王凤云;钱德玲【摘要】为研究中间主应力在圆形隧道围岩承载力所发挥的作用,根据统一强度理论和塑性增量的非相关性流动法则,提出了考虑中间主应力影响的应变软化围岩特征曲线的有限差分计算方法,并通过实例验证该方法的正确性.由于围岩的力学模型对特征曲线的影响较大,采用3种不同力学模型——弹塑性模型、弹脆性模型和应变软化模型,分别研究了中间主应力和支护力对圆形隧道围岩塑性区半径,应力分布和隧道洞壁处位移的影响.结果表明:当围岩采用弹塑性模型时,计算的塑性区半径和洞壁处的位移均较小,没有考虑岩体强度在塑性区的弱化,建议慎重选择;中间主应力对塑性区半径和洞壁处的位移发展均有抑制作用,特别是在无支护状态下弹脆性模型的抑制作用最显著;中间主应力对塑性发展的抑制作用随着支护力的增加而减小;弹塑性交界处围压,应变软化模型下软化区与残余区交界面的围压均与支护力无关,且随中间主应力影响系数的增加而减小.【期刊名称】《煤炭学报》【年(卷),期】2018(043)012【总页数】9页(P3329-3337)【关键词】隧道;统一强度理论;中间主应力;塑性区半径;位移【作者】王凤云;钱德玲【作者单位】合肥工业大学土木与水利工程学院,安徽合肥230009;安徽建筑大学土木工程学院,安徽合肥230022;合肥工业大学土木与水利工程学院,安徽合肥230009【正文语种】中文【中图分类】TU452;TD353由于收敛约束法能够综合考虑围岩和支护结构的相互作用,常被学者们用于隧道设计中。
收敛约束法主要是由开挖隧道后岩体的特征曲线(GRC),纵向变形曲线(LDP)和支护结构的支护曲线(SCC)3个部分组成[1]。
其中GRC反映了支护力和围岩径向位移之间的关系,与LDP存在耦合性,因此,GRC直接影响了收敛约束法在隧道设计中应用。
近些年来,大量的研究表明GRC与岩体的峰后力学特性,剪胀性以及岩体的质量密切相关[2-6],但是这些研究都是建立在隧道截面满足平截面假定的基础上,即只考虑最大主应力和最小主应力的作用。
基于弹性理论的无限长圆形隧道岩爆发生的应力条件分析摘要:岩爆是高地应力条件下地下工程开挖过程中,硬脆性围岩因开挖卸荷导致洞壁应力重分布,储存于岩体中的弹性应变能突然释放,因而产生爆裂松脱、剥落、弹射甚至抛掷现象的一种动力失稳地质灾害。
它直接威胁施工人员、设备的安全, 影响工程进度,已成为世界性的地下工程难题之一。
本文将采用弹性力学的基本原理分析岩爆发生的应力条件。
关键词:高应力长圆隧道岩爆应力分析一、应力应变状态分析平面应变问题的基本假定:1)母线与oz轴平行且很长的柱形体;2)支承情况不沿长度变化;3)柱面上承受的外力和柱形体本身的体力均平行于横截面且不沿长度变化。
无限长圆形隧道符合上述基本假定,故可以按照平面应变问题来考虑。
长隧道周边的岩体应力,实际上并非对称应力状态,其顶部受地面堆载和上部岩石压力作用,底部受基地反力作用,两个侧面在侧面岩石压力作用下,应力为线性分布而非均匀分布。
受力状态见图1。
但为了简化计算其应力状态,根据岩石力学的分析结果,当隧道高度远远小于其埋深时,可以忽略隧道高度的初始应力变化,认为侧面压力为均匀分布。
如果不考虑地面堆载,当隧道埋深超过隧道直径三倍时,可以认为隧道上、下岩体中的竖向应力均为。
采用上述假定,计算隧道围岩应力时,将复杂初始应力状态转化为轴对称状态问题,可以直接采用弹性力学分析开孔板在外荷载作用下的应力公式。
计算简图如图2二、轴对称下的应力求解圆形截面的隧道,其平面问题宜采用极坐标法进行求解。
平面应变问题认为沿oz轴方向的位移为零,但在oz轴方向上的应力并不为零,假定这个应力为,根据泊松定律,,其中为泊松比,为简化计算,本文取岩石的泊松比为0.3。
另外,本文定义应力以压缩为正。
根据弹性力学对四周受压开孔平板的计算结果,可以得到应力分量:(1)(2)(3)(4)最大环向应力发生在处,即隧道的竖向中间位置顶部和底部沿MN轴线上。
此时,最大环向应力:(5)三、岩爆发生的极限深度分析根据上述分析,岩爆最可能发生的位置位于MN轴线上,但这个应力的大小还与、和有关。
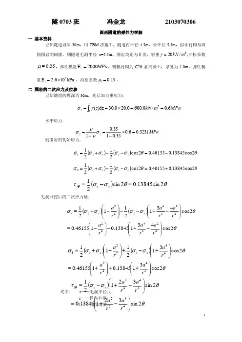
圆形隧道的弹性力学解一 基本资料已知隧道埋深30m ,用TBM 法施工,隧道内半径4.5m ,外半径5.5m ,因计衬砌与周围围岩的间隙,则隧道毛洞半径a=5.5m 。
围岩类别为Ⅱ类,容重3/20m kN =γ,泊松系数35.0=μ,弹性模量MPa 2000=E 。
筑模衬砌为C20素混凝土,厚度为1.0m ,弹性模量kPa 106.271⨯=E ,泊松系数15.01=μ。
二 围岩的二次应力及位移已知隧道的埋深为30m ,则已知自重应力:水平应力:则围岩的初始应力:毛洞开挖后的二次应力场:式中: a ——毛洞半径; r ——径向半径; θ——角度变量。
MPa m kN z lz 6.0/0.6000.200.30dz )(20==⨯==⎰γσMPa z z 3231.06.035.0135.01=⨯-=-=σμμσ()()θθσσσσσ2cos 13845.046155.02cos 2121-=--+=x z x z r ()()θθσσσσσθ2cos 13845.046155.02cos 2121+=-++=x z x z ()θθσστγθ2sin 13845.02sin 21=-=x z ()()θθσσσσσ2cos 43113845.0146155.02cos 43121121224422224422⎪⎪⎭⎫ ⎝⎛-+-⎪⎪⎭⎫ ⎝⎛-=⎪⎪⎭⎫ ⎝⎛-+--⎪⎪⎭⎫ ⎝⎛-+=r a r a r a r a r a r a x z x z r ()()θθσσσσσθ2cos 3113845.0146155.02cos 312112144224422⎪⎪⎭⎫ ⎝⎛++⎪⎪⎭⎫ ⎝⎛+=⎪⎪⎭⎫ ⎝⎛+-+⎪⎪⎭⎫ ⎝⎛++=r a r a r a r a x z x z ()θθσστγθ2sin 32113845.02sin 3212144224422⎪⎪⎭⎫⎝⎛-+=⎪⎪⎭⎫ ⎝⎛-+-=r a ra r a r a x z11h h 1A =⨯= 毛洞周边的围岩二次应力:位移分量:洞周边位移:三 围岩的三次应力及位移已知由弹性抗力所产生的应力场:位移场:式中:式中: I ——衬砌的横截面惯性矩,即 A ——单位宽度衬砌的面积,即 0=r σθθθ2cos 5538.09231.0+=0=γθτ12h I 31=()⎭⎬⎫⎩⎨⎧⎥⎦⎤⎢⎣⎡---E +=θμμ2cos 4113845.046155.013422r a r a r a u r ()θμμθ2sin 22113845.01342⎭⎬⎫⎩⎨⎧⎥⎦⎤⎢⎣⎡+-E +=r a r a u (){}θμμ2cos 4313845.046155.0)1(--E +=a u r {}θμμθ2sin )43(13845.0)1(-E+=a u θτθσθσθθ2sin 2cos 2cos 224'420'2420'⎥⎥⎦⎤⎢⎢⎣⎡⎪⎭⎫ ⎝⎛-⎪⎭⎫ ⎝⎛-=⎪⎭⎫⎝⎛+⎪⎭⎫ ⎝⎛-=⎥⎥⎦⎤⎢⎢⎣⎡⎪⎭⎫ ⎝⎛-⎪⎭⎫ ⎝⎛-⎪⎭⎫ ⎝⎛=r a r a S r a S r a S r a r a S r a S n r n n r ()()θμμθμμθ2sin 2131)1(2cos 1631)()1(3'30'⎥⎥⎦⎤⎢⎢⎣⎡⎪⎭⎫ ⎝⎛-+⎪⎭⎫ ⎝⎛E +=⎪⎭⎪⎬⎫⎪⎩⎪⎨⎧⎥⎥⎦⎤⎢⎢⎣⎡⎪⎭⎫ ⎝⎛--⎪⎭⎫ ⎝⎛+-E +=r a r a S a u r a r a S r a S a u n n r ()()()()IE E a Q Q S x z n 13221124652433μμσσμ+=+---=()()()()[]aE AE AE S x z 211101121μμσσμ-++++=这样计算得到:代入上式,得到弹性抗力产生的应力场: 位移为:由此得到毛洞周边的三次应力分量;洞周边位移:四 衬砌内力 已知不计切向抗力时衬砌的内力为:()()()()[]()()()Mpa 35331.030005.515.01106.20.135.0146155.0106.20.135.01112124421110=⨯⨯-+⨯⨯⨯+⨯⨯⨯⨯+=-++++=aE AE AE S xz μμσσμ()()()()()()Mpa01628.0422921.835.06513845.035.0433465243348006.92.1106.235.0130005.51122343132=⨯+⨯-⨯⨯-⨯=+---==⨯⨯⨯+⨯=+=Q S I E E a Q x z n μσσμμθτθσθσθθ2sin 01628.02cos 01628.035332.02cos 201628.035332.024'42'242'⎥⎥⎦⎤⎢⎢⎣⎡⎪⎭⎫ ⎝⎛-⎪⎭⎫ ⎝⎛-=⎪⎭⎫ ⎝⎛+⎪⎭⎫ ⎝⎛-=⎥⎥⎦⎤⎢⎢⎣⎡⎪⎭⎫ ⎝⎛-⎪⎭⎫ ⎝⎛-⎪⎭⎫ ⎝⎛=r a r a r a r a r a r a r a r r ()()θμμθμμθ2sin 213101855.0)1(2cos 16301855.0)(52829.0)1(3'3'⎥⎥⎦⎤⎢⎢⎣⎡⎪⎭⎫ ⎝⎛-+⎪⎭⎫ ⎝⎛⨯E +=⎪⎭⎪⎬⎫⎪⎩⎪⎨⎧⎥⎥⎦⎤⎢⎢⎣⎡⎪⎭⎫ ⎝⎛--⎪⎭⎫ ⎝⎛+-E +=r a r a a u r a r a r a a u r 0MPa 2cos 57008.056978.0MPa 2cos 01628.035332.0=+=+=θθτθσθσr r ()θμ2cos 239452.006674.0)1(--E +=au r 233268.0)1(⨯E+=a u μθ()θμμσσ2cos 4654322Q a N x z+----=代入相关值,有:内力如下图所示:()()kN M m kN N θθθθ2cos 16.1642cos 106.20.135.01121220005.5435.06535.0435.513845.0/2cos 85.292cos 106.20.135.01121220005.5435.06535.0435.51013845.043324336=⨯⨯⨯+⨯⨯⨯+⨯-⨯-⨯⨯==⨯⨯⨯+⨯⨯⨯+⨯-⨯-⨯⨯⨯=-142.161-82.079-164.158142.161164.15882.079142.16182.079-82.07929.84725.84814.92425.84814.924-25.848-25.848-14.924-14.924-29.847-29.847。
第22卷第2期工程力学V ol.22 No.2 2005年 4 月ENGINEERING MECHANICS April 2005文章编号:1000-4750(2005)02-0212-06具有衬砌圆形隧洞的弹塑性解*任青文,邱颖(河海大学工程力学系,南京 210098)摘要:圆形隧洞是土木工程中常见的结构。
但是,以往分析无限大均匀介质中轴对称圆形隧洞应力变形和屈服区的公式,是在Mohr-Coulomb屈服条件中的第一主应力为径向应力的情况下导出的,这样做还不够全面。
根据不同的工况和不同的地应力条件,正确选择Mohr-Coulomb屈服条件中的第一主应力,导出衬砌和围岩的屈服范围和应力计算公式,提出第一和第二临界压力的概念,并根据临界压力给出屈服区和应力计算公式的适用范围。
最后用算例比较了该方法和以往传统方法的不同。
关键词:圆形隧洞;衬砌;弹塑性解;Mohr-Coulomb屈服条件;临界压力中图分类号:U45 文献标识码:AELASTIC-PLASTIC SOLUTION OF CIRCULAR TUNNEL WITH LINER*REN Qing-wen , QIU Ying(College of Civil Engineering, Hohai University, Nanjing 210098, China)Abstract:The circular tunnel is a common structure in civil engineering. Engineers are always concerned about the stress field and displacement field of the liner and its surrounding rock. But the formulas of stresses, displacements and plastic range of the axisymmetric circular tunnel in the infinite uniform medium have been derived under the assumption that the first principal stress in Mohr-Coulomb yield function is always the normal uniform force acting on the inner face of the tunnel. The assumption is inadequate. In this paper, the formulas calculating yield range and stresses are deduced based on the proper choice of the first principal stress used in Mohr-Coulomb yield condition according to loads and in situ stresses. The concept of first and second critical pressure is introduced, which relate to the diameter of the circle tunnel, thickness of the liner, the elastic parameters and shear strength of the liner and its surrounding rock. The of applicability formulas is gained based on the critical pressures. An example is analyzed, and the yield range versus the inner pressure and stress distribution are presented. Results are compared to those based on the traditional method and significant disparity is observed. The greater of inner pressure, the greater of the difference.Key words:circular tunnel; liner; elastoplastic solution; Mohr-Coulomb yield function; critical pressure———————————————收稿日期:2003-09-01;修改日期:2003-09-18基金项目:教育部科学技术研究重点项目(02123)资助作者简介:*任青文(1943),男,浙江宁海人,教授,硕士,江苏省力学学会秘书长,从事水工结构与岩土地基稳定性研究(E-mail: qingwenren@);邱颖(1977),女,安徽蚌埠人,博士生,从事结构工程研究具有衬砌圆形隧洞的弹塑性解 2131 引言Fenner 公式[1,2]、修正的Fenner 公式和Kastner[3]公式给出了无限大均质体中轴对称圆形隧洞屈服范围与材料抗剪强度、初始地应力和洞内周边均布荷载的关系。
大广高速公路上坪隧道围岩的岩爆分析摘要:为避免上坪隧道深埋区存在的高地应力可能引起脆性围岩产生岩爆,本文通过对地应力的定性判定、水压致裂法的实测结果,并利用侯发亮及巴顿等人提出的发生岩爆的地应力临界条件进行综合对比分析,得出了上坪隧道局部会产生岩爆的结论。
关键词:深埋隧道;地应力;岩爆Abstract: in order to avoid the ping of buried deep in the tunnel on the area there exist high geostress may cause brittle surrounding rock produce rock burst, based on the qualitative determination, water pressure of stress method of crack the measured results, and use the hou shine once, and put forward the ground stress the occurrence of critical conditions rockburst comprehensive analysis, it is concluded that the SuiDaoJu would produce the ping of rock burst conclusion.Keywords: deep tunnel; Ground stress; Rock burst深埋隧道围岩中的高地应力可能引起脆性围岩产生岩爆,而造成开挖工作面破坏、设备损坏或人员伤亡。
本文运用定性分析结合定量计算,探讨了上坪隧道发生岩爆的可能性。
1、工程概况上坪隧道为大庆至广州高速公路粤境连平至从化段D1合同段最长的隧道,位于广东省连平县境内。
隧道穿越九连山支脉,地貌类型属中低山地貌,山体植被茂密,隧址区地面标高320.0~706.8m。
岩石卸载时岩爆现象的统一解摘要:应用统一强度理论推导了非均匀地应力下圆形巷道开挖卸载时岩爆现象岩石的应力场。
得到了强度理论参数、轴向应力参数对岩石切向应力的影响曲线,并与岩爆卸载试验结果进行了比较,符合较好。
有效的验证了利用围岩应力指数,即切向应力与岩石单轴抗压强度比值进行岩爆烈度分类的正确性,对于预测岩爆提供了理论依据。
关键词:岩爆;统一强度理论;非均匀地应力;巷道前言地下空间开发不断走向深部,岩爆现象是深部高地应力区地下工程开采过程中常见的一种地质灾害,是目前工程建设中迫切需要解决的问题之一。
岩爆主要表现为大范围的岩体突然破坏、岩片抛射并伴有不同程度的爆炸、撕裂声、围岩能量的猛烈释放,往往给施工人员、设备和地下建筑的安全带来巨大损失。
目前,已有很多学者基于岩爆理论和岩爆破坏机制而提出的各种理论预测方法[1]。
人们已从强度、刚度、能量稳定、断裂、损伤、分形和突变等方面对岩爆进行理论分析或数值模拟[2-3],分析其机理并提出了各种判据。
利用强度理论预测岩爆在实际工程中简便实用,如文献[5]中提出的利用硐室的最大切向应力与岩石的单轴抗压强度比值来预测岩爆的判据。
这种判据通过某一单一因素进行判定,适用于特定工程,工程适用性有限,且未考虑中间主应力对判断岩爆的影响,本文考虑了中间主应力作为岩爆的判据,对预测岩爆提供了理论依据,具有普适性。
完整岩石真三轴试验证明,岩石的破坏强度不仅与第一主应力和第三主主应力有关,而且还与第二主应力密切相关,即存在着中间主应力效应。
本文利用俞茂宏提出的统一强度理论[6],考虑中间主应力影响,引入材料统一强度参数和,研究了围岩在不均匀应力场下由于开挖卸载而导致岩体破坏并伴随岩爆现象的破坏机理,推导出了计算围岩切向应力的公式,并与文献中的岩爆试验结果进行了比较,符合较好,验证了用进行岩爆烈度分类的正确性。
本文针对不同拉压比的岩石材料,适用于非均匀地应力下围岩卸载后发生岩爆的判据。
Science and Technology &Innovation ┃科技与创新2023年第13期·105·文章编号:2095-6835(2023)13-0105-03圆形隧道弹塑性解析研究何鑫(青岛地铁集团有限公司,山东青岛266000)摘要:综合考虑围岩软化、剪胀性、中主应力的影响,建立了平面应变力学模型,获得了围岩应力场、位移场、塑性区半径、临塑支护压力及围岩特征曲线解析解。
隧道开挖面发生弹性变形时,围岩特征曲线斜率大,当支护压力小于临塑支护压力时,围岩发生弹塑性变形,围岩特征曲线逐渐平缓。
围岩应力和位移的释放是一个逐步发展的过程,而不是瞬时完成的。
利用算例分析,给出残余黏聚力、残余内摩擦角对隧道变形的影响规律。
关键词:隧道工程;解析解;围岩特征曲线;弹塑性分析中图分类号:U451文献标志码:ADOI :10.15913/ki.kjycx.2023.13.030针对深埋圆形隧道弹塑性问题,大多通过假定平面应变模型获得围岩应力场和位移场的解析解。
张常光等[1]基于弹脆塑性模型获得了围岩应力和位移分布;范文等[2]、王星华等[3]基于材料三折线模型获得了隧道围岩应力和位移解;张强等[4]考虑峰后岩石应变软化过程中引起后继强度面收缩的特性,将后继破坏岩体分为多个塑性区,给出符合围岩后继强度和变形演变规律的各软化区半径求解方程组。
本文基于平面应变条件,获得深埋隧道地层应力场和位移场解析解。
在深埋隧道力学模型中,综合考虑围岩软化、剪胀性、中主应力的影响,分析了残余黏聚力、残余内摩擦角对围岩特征曲线的影响规律。
1隧道应力和位移弹塑性解析解1.1力学分析模型隧道开挖后围岩应力和位移的释放是一个逐步发展的过程,而不是瞬时完成的,随着开挖面的接近,围岩应力和位移逐步释放。
如图1所示,建立了隧道开挖力学分析模型。
弹性区p r 1r 0塑性区1p 0p 0p 图1隧道开挖力学分析模型图1中,r 1为圆形隧道开挖面半径,p 0为初始应力值。