《过程流体机械》补充习题及参考答案
- 格式:doc
- 大小:35.00 KB
- 文档页数:5
《过程流体机械第二版》思考题答案完整版要点----0c875fde-6ea6-11ec-88e7-7cb59b590d7d 《过程流体机械第二版》思考题答案-完整版要点工艺流体机械中思维问题的参考解决方案2容积式压缩机☆ 思考问题2.1往复式压缩机的理论循环和实际循环有什么区别?过程工作腔内工作过程进排气过程进气过程工作过程工作过程工作介质☆ 思考问题2.2写出体积系数λv理论循环(假设条件)无(剩余)间隙,进气、压缩和排气三个过程中无压力损失,压力稳定,与外界无热交换,无气体泄漏损失,压缩过程指数恒定,理想气体(状态方程(2-6))和实际循环(工作过程)之间有间隙,进气、压缩、排气和膨胀四个过程中有压力损失,压力脉动与外部(气缸壁)发生热交换,气体泄漏损失,压缩和膨胀过程呈指数变化,实际气体(状态方程(2-7))理论参数(阀套、头端和环端)V0α、λvλpλtλLM和NZ的表达式,并解释每个字母的含义。
λ=1-α(?-1)=1-v0?N警察局?1n体积系数λV(最重要系数)v?(2-12)?????1?vs??p?s?????1式中:α――相对余隙容积,α=v0(余隙容积)/vs(行程容积);α=0.07~0.12(低压),0.09~0.14(中压),0.11~0.16(高压),>0.2(超高压)。
ε――名义压力比(进排气管口可测点参数),ε=pd/ps=p2/p1,一般单级ε=3~4;n――膨胀过程指数,一般n≤m(压缩过程指数)。
☆ 思考问题2.3比较飞溅润滑和压力润滑的优缺点。
飞溅润滑(曲轴或油环甩油飞溅至缸壁和润滑表面),结构简单,耗油量不稳定,供油量难控制,用于小型单作用压缩机;压力润滑(喷油器润滑气缸,油泵强制输送润滑运动部件),结构复杂(增加整个供油系统的油站,如油泵、电源、冷却、过滤、控制和显示报警)。
它可以控制气缸的注油量和注油点,以及运动部件的压力、润滑油压和润滑油量。
适用于大中型固定功率或工艺压缩机,注意润滑油压和润滑油量的设定和设计计算。
过程流体机械第二版(李云姜培正著)课后答案下载过程流体机械第二版(李云姜培正著)内容简介1 绪论1.1过程流体机械1.1.1过程与生产过程1.1.2过程装备1.1.3过程流体机械1.2流体机械的分类1.2.1按能量转换分类1.2.2按流体介质分类1.2.3按流体机械结构特点分类1.3气体性质和热力过程1.3.1气体状态方程1.3.2气体热力过程1.3.3气体其他性质1.4压缩机概述1.4.1压缩机的分类与命名1.4.2压缩机的用途1.4.3各种压缩机的特点和适用范围1.4.4 压缩机的一些术语和基本概念1.5 流体机械的发展趋势1.5.1 创造新的机型1.5.2 流体机械内部流动规律的研究与应用 1.5.3 高速转子动力学的研究与应用1.5.4 新型制造工艺技术的发展1.5.5 流体机械的自动控制1.5.6 流体机械的故障诊断1.5.7 实现国产化和参与国际市场竞争2 容积式压缩机2.1 往复压缩机基本构成和工作过程2.1.1 基本构成和工作原理2.1.2 压缩机级的工作过程2.2 往复压缩机热力和动力性能2.2.1 压缩机的热力性能和计算2.2.2 压缩机的动力性能和计算2.3 往复压缩机气阀和密封2.3.1 气阀组件2.3.2 工作腔滑动密封2.4 往复压缩机调节和其他附属系统 2.4.1 压缩机的容积流量调节2.4.2 压缩机润滑与润滑设备2.4.3 压缩机冷却和冷却设备2.4.4 气体管路和管系设备2.5 往复压缩机选型和结构实例2.5.1 结构形式选择及分析2.5.2 结构参数选择及影响2.5.3 压缩机的驱动机选择2.5.4 压缩机典型结构实例2.5.5 选型计算实例2.6 回转式压缩机2.6.1 螺杆压缩机2.6.2 单螺杆压缩机2.6.3 滑片压缩机2.6.4 液环压缩机(真空泵)2.6.5 罗茨鼓风机3离心压缩机3.1离心压缩机的典型结构与工作原理 3.1.1离心压缩机的典型结构与特点 3.1.2离心压缩机的基本方程3.1.3级内的各种能量损失3.1.4多级压缩机3.1.5功率与效率3.1.6三元流理论与三元叶轮的应用 3.2性能、调节与控制3.2.1离心压缩机的性能3.2.2相似理论在离心压缩机中的应用 3.2.3压缩机的各种调节方法及其特点 3.2.4附属系统3.2.5压缩机的控制3.3安全可靠性3.3.1叶轮强度3.3.2转子临界转速3.3.3轴向推力的平衡3.3.4抑振轴承3.3.5轴端密封3.3.6离心压缩机机械故障诊断3.4选型3.4.1选型的基本原则3.4.2选型分类3.4.3选型方法3.4.4选型示例4泵4.1泵的分类及用途4.1.1泵的分类4.1.2泵的用途4.2离心泵的典型结构与工作原理4.2.1离心泵的典型结构、分类及命名方式 4.2.2离心泵的工作原理及基本方程4.3离心泵的工作特性4.3.1离心泵的汽蚀及预防措施4.3.2离心泵的.性能及调节4.3.3离心泵的启动与运行4.3.4相似理论在泵中的应用4.4其他泵概述4.4.1轴流泵4.4.2旋涡泵4.4.3杂质泵4.4.4往复活塞泵4.4.5螺杆泵4.4.6滑片泵4.4.7齿轮泵4.5泵的选用4.5.1泵的选用原则及分类4.5.2选用方法及步骤4.5.3泵的选用示例5离心机5.1离心机的典型结构及工作原理5.1.1非均一系的分离及离心机的典型结构5.1.2分离因数和离心力场的特点5.1.3沉降离心机流体动力学基本方程及沉降分离过程 5.1.4过滤离心机的有关计算5.1.5离心机的分类5.2过滤离心机与沉降离心机5.2.1过滤离心机5.2.2沉降离心机5.3离心机的选型5.3.1选型的原则5.3.2选型的依据5.3.3选型的基本方法过程流体机械第二版(李云姜培正著)图书目录《过程流体机械》是普通高等教育“十一五”国家级规划教材,是出版的《过程流体机械》的第二版,本版保留了第一版的编排结构,对部分内容进行了更详细的分析和阐述,还添加了反映近年来的过程流体机械新成果的内容。
过程流体机械_常州大学中国大学mooc课后章节答案期末考试题库2023年1.多变过程方程式中,当m= 1时,相当于:答案:等温过程2.占地最少的活塞压缩机型式是:答案:立式3.活塞压缩机的实际循环存在膨胀过程,这将导致气缸吸气量的减少。
在排气量计算中,反映该影响的系数是:答案:容积系数4.活塞压缩机只作旋转运动的零件是:平衡重5.离心泵的过流部件中,增能元件是:答案:叶轮6.已知叶轮转速以及叶轮直径,在叶轮的速度三角形中,可以确定的速率是:答案:牵连速度7.下列不属于离心泵工作过程中的水力损失的是?答案:泄漏损失8.在一定的离心力场下,给定沉降离心机悬浮液中固体颗粒存在一个分离极限,其本质原因在于()与布朗运动扩散力方向相反,形成平衡制约。
离心力9.计算环流系数时,采用的斯陀道拉假设描述错误的是:答案:斯陀道拉假设给出的环流系数是纯理论解10.关于临界转速描述错误的是:答案:临界转速的大小主要由偏心距决定11.活塞式压缩机理论循环包含的过程有:答案:排气过程吸气过程压缩过程12.活塞压缩机气缸容积利用方式有:答案:单作用式级差式双作用式13.与活塞压缩机旋转运动惯性力有关的因素有:答案:行程转速旋转运动件质量14.活塞压缩机综合活塞力包含有:答案:往复运动摩擦力一阶往复惯性力二阶往复惯性力15.离心泵的基本方程欧拉方程推导的假设包括:答案:流道中任意圆周上相对速度的分布是均匀的在任意点上相对速度的方向角与叶片在该点处的安置角相等理想液体在理想叶轮中流动16.离心泵相似的条件包括:答案:几何相似运动相似动力相似17.下面能够提高离心泵工作流量的方法有:答案:提高转速调大出口调节阀18.直接影响沉降式离心机生产能力的因素有:答案:转速液相密度固相颗粒物粒度转鼓长度19.离心式压缩机的中间级包括:答案:扩压器弯道叶轮20.下列关于离心压缩机喘振论述正确的是:答案:为防止发生喘振,可在出口安装压力监测仪表,一旦压力发生大幅波动,提前采取措施喘振现象表现为出口气体忽进忽出,产生周期性气体振荡现象离心式压缩机喘振是由于工作流量低于设计流量产生的21.当前,在各类压缩机中,滑片式压缩机可以达到的排气量最大。
第三章 离心式压缩机1.已知丙烯C3H6的R=197.57J/kg·K,,首级进口压力0.12Mpa,温度-41.7℃.若选取u=235.6m/s,,试求首级的压力比,级出口压力解:有限多叶片叶轮的理论能量头为:总耗功为:又因为多变效率为,则由气体的多变压缩功公式得:级的出口压力为2.已知某压缩机的第四级进口容积流量qVin=1.543m3/s.该级试计算该级叶轮出口相对宽度该值是否符合要求?解;那么所以,该值符合要求.第四章 泵1.某化工厂需要三台水泵,其性能要求是:第一台qv1=50m3/h,H1=100m,第二台qv2=400m3/h,H2=40m,第三台qv3=800m3/h,H3=18m,均选用n=1450r/min的叶轮外径,试问叶轮交流电动机驱动,试问如何初选泵型?又若选出的第二台泵的扬程偏大,需要切割外径允许的最大切割量是多少?相应的流量、扬程和效率约降低多少?解:(1)第一台qv1=50m3/h,H1=100m,第二台qv2=400m3/h,H2=40m,第三台qv3=800m3/h,H3=18m,均选用n=1450r/min那么,由得:第一台,选用活塞泵,第二台,选用离心泵,第三台,选用轴流泵。
(2),那么由表4-3得:叶轮外径允许的最大切割量为15%,即:则,流量降低15%,扬程降低27.75%,效率降低1.5%。
2.某化工厂由储水池清水输送到高位水槽中,要求供水量为100m3/h。
储水池至泵的高度为2.5m,泵至高位水槽的高度为26m,其上装有带滤网的底阀1个,闸板阀1个,90°弯头2个,锥型渐缩过渡接管1个,压水管长40m,其上装有止回阀1个,闸板阀1个,90°弯头2个,锥型渐扩过渡接管1个。
要求选用恰当的水泵。
解:选定管道直径由得:其中一般取吸水管中流速,中流速则吸水管直径,取外径为219mm(内径210mm)。
出水管直径,取外径为159mm(内径150mm)。
《过程流体机械第⼆版》思考题答案_完整版第⼀章控制系统的基本概念1.什么叫⽣产过程⾃动化?⽣产过程⾃动化主要包含了哪些内容?答:利⽤⾃动化装置来管理⽣产过程的⽅法称为⽣产过程⾃动化。
主要包含:①⾃动检测系统②信号联锁系统③⾃动操纵系统④⾃动控制系统。
2.⾃动控制系统主要由哪⼏个环节组成?⾃动控制系统常⽤的术语有哪些?答:⾃动控制系统主要有被控对象,测量元件和变送器,调节器,执⾏器等环节组成。
⾃动控制系统常⽤的术语有:被控变量y;给定值ys;测量值ym;操纵变量m;⼲扰f;偏差信号(e);控制信号u3.什么是⾃动控制系统的⽅框图?它与⼯艺流程图有什么不同?答:⾃动控制系统的⽅框图上是由传递⽅块、信号线(带有箭头的线段)、综合点、分⽀点构成的表⽰控制系统组成和作⽤的图形。
其中每⼀个分块代表系统中的⼀个组成部分,⽅块内填⼊表⽰其⾃⾝特性的数学表达式;⽅块间⽤带有箭头的线段表⽰相互间的关系及信号的流向。
采⽤⽅块图可直观地显⽰出系统中各组成部分以及它们之间的相互影响和信号的联系,以便对系统特性进⾏分析和研究。
⽽⼯艺流程图则是以形象的图形、符号、代号,表⽰出⼯艺过程选⽤的化⼯设备、管路、附件和仪表⾃控等的排列及连接,借以表达在⼀个化⼯⽣产中物料和能量的变化过程,即原料→成品全过程中物料和能量发⽣的变化及其流向。
4.在⾃动控制系统中,什么是⼲扰作⽤?什么是控制作⽤?两者有什么关系?答:⼲扰作⽤是指除操纵变量以外的各种因素引起被控变量偏离给定值的作⽤;控制作⽤是通过对被控变量的测量得到测量值,使其与给定值⽐较,得出偏差信号。
这个信号按⼀定规律计算出控制信号来改变操纵变变量克服⼲扰作⽤。
两者关系是控制作⽤的⼀部分职能就是减⼩或消除⼲扰对被控变量的影响。
5.什么是闭环控制?什么是开环控制?定值控制系统为什么必须是⼀个闭环负反馈系统?答:闭环控制是控制系统的输出信号的改变回返回影响操纵变量的控制⽅式。
开环控制是控制系统的输出信号不会影响操纵变量的控制⽅式。
绪论单元测试1【多选题】(5分)与化工过程流体机械相关的课程有哪些?A.工程流体力学B.泵与风机C.工程热力学D.机械设计基础第一章测试1【单选题】(5分)下列不属于离心泵的技术参数的是A.系统承压B.外界温度C.流量D.扬程2【单选题】(5分)金属材料在加热时,体积()的性质,称为热膨胀性。
A.不变B.减小C.增大D.其余都不对3【单选题】(5分)离心泵的做功原件是?A.泵轴B.机箱C.叶轮D.泵体4【单选题】(5分)离心泵的安装技术关键在于确定离心泵安装A.角度B.强度C.高度5【单选题】(5分)不属于离心泵启动前的准备工作的是A.暖泵B.检查C.充水D.降温6【单选题】(5分)离心泵内的各种损失不包括A.容积损失B.机械损失C.水力损失D.气体损失7【单选题】(5分)下列哪个角度弯管水流进出阻力损失最大A.90°B.180°C.120°D.150°8【单选题】(5分)下列不属于密封端面的故障的是A.热裂B.变质C.变形D.磨损9【单选题】(5分)下列不属于造成机封的动、静环平面磨损的原因是A.水质差B.气蚀C.介质温度过高D.安装过松10【单选题】(5分)机械密封处渗漏水的原因不包括A.封胶失败B.外界温度过低C.轴颈粗糙D.动环磨损第二章测试1【判断题】(5分)离心压缩机的效率一般低于活塞压缩机A.对B.错2【判断题】(5分)离心压缩机中叶轮是唯一做功原件A.错B.对3【判断题】(5分)绝能流动中,制止晗不变A.错B.对4【判断题】(5分)离心压缩机多变能头小于绝热能头A.对B.错5【判断题】(5分)离心压缩机流动效率大于绝热效率A.错B.对6【判断题】(5分)常压进气的离心压缩机冬季压力比要大一些A.错B.对7【判断题】(5分)二次涡流损失是因为流速分布不均造成的A.对B.错8【判断题】(5分)采用多级串联后,喘振流量变小了A.对B.错9【判断题】(5分)离心压缩机的绝热效率与输送介质无关A.错B.对10【判断题】(5分)气体在级中获得的总功全部以机械能的形式获得A.错B.对第三章测试1【判断题】(5分)往复式压缩机具有惯性力和惯性力矩A.错B.对2【判断题】(5分)往复式压缩机只采用活塞环密封A.对B.错3【判断题】(5分)正常工作时如果泄漏问题严重,会导致排气量不足。
过程流体机械高光藩版慕课答案我给你凑凑大概的答案哈。
1. 流体机械按照能量转换的方式可以分为哪几类?(5分)答案:可以分为容积式和动力式两类。
容积式是通过工作容积周期性变化来实现能量转换,像活塞式压缩机等;动力式是通过高速旋转的叶轮等部件对流体做功,如离心式压缩机等。
2. 离心式压缩机的主要部件有哪些?(5分)答案:主要部件有叶轮、扩压器、弯道、回流器、吸气室、蜗壳等。
叶轮是对气体做功的关键部件,扩压器用于将叶轮出口的高速气流的动能转化为压力能等。
3. 活塞式压缩机的工作循环包括哪几个过程?(5分)答案:包括吸气、压缩、排气、膨胀四个过程。
吸气过程是吸入低压气体,压缩过程是将气体压缩提高压力,排气是排出高压气体,膨胀是余隙容积内的气体膨胀。
4. 简述流体机械中的相似定律。
(5分)答案:相似定律表明相似的流体机械,它们的性能参数之间存在一定的比例关系。
比如流量与转速、叶轮尺寸等成正比,扬程(压力比)与转速的平方、叶轮尺寸等成正比,功率与转速的三次方、叶轮尺寸等成正比。
5. 容积式压缩机的容积效率与哪些因素有关?(5分)答案:与余隙容积大小、吸气压力损失、气体泄漏等因素有关。
余隙容积越大,容积效率越低;吸气压力损失越大,进入气缸的实际气量减少,容积效率也会降低;气体泄漏会使实际压缩的气体量减少,影响容积效率。
6. 离心式压缩机的喘振是怎么产生的?(5分)答案:当离心式压缩机的流量减小到一定程度时,叶轮进口气流冲角过大,气流在叶轮流道内产生严重的脱离,导致压缩机性能急剧下降,压力和流量大幅波动,就会产生喘振现象。
7. 活塞式压缩机的排气温度过高可能是由哪些原因引起的?(5分)答案:可能是压缩比过大,冷却不良,气阀泄漏等原因。
压缩比过大时,气体被压缩后温度升高幅度大;冷却不良,不能有效带走压缩产生的热量;气阀泄漏会使压缩过程不正常,导致排气温度升高。
8. 简述轴流式压缩机的工作原理。
(5分)答案:轴流式压缩机主要依靠叶片对气流产生的升力,使气体沿着轴向流动并被压缩。
第三章离心式压缩机1.已知丙烯C3H6的R=197.57J/kg·K,,首级进口压力0.12Mpa,温度-41.7℃.若选取u=235.6m/s,,试求首级的压力比,级出口压力解:有限多叶片叶轮的理论能量头为:总耗功为:又因为多变效率为,则由气体的多变压缩功公式得:级的出口压力为2.已知某压缩机的第四级进口容积流量qVin=1.543m3/s.该级试计算该级叶轮出口相对宽度该值是否符合要求?解;那么所以,该值符合要求.第四章泵1.某化工厂需要三台水泵,其性能要求是:第一台qv1=50m3/h,H1=100m,第二台qv2=400m3/h,H2=40m,第三台qv3=800m3/h,H3=18m,均选用n=1450r/min的叶轮外径,试问叶轮交流电动机驱动,试问如何初选泵型?又若选出的第二台泵的扬程偏大,需要切割外径允许的最大切割量是多少?相应的流量、扬程和效率约降低多少?解:(1)第一台qv1=50m3/h,H1=100m,第二台qv2=400m3/h,H2=40m,第三台qv3=800m3/h,H3=18m,均选用n=1450r/min那么,由得:第一台,选用活塞泵,第二台,选用离心泵,第三台,选用轴流泵。
(2),那么由表4-3得:叶轮外径允许的最大切割量为15%,即:则,流量降低15%,扬程降低27.75%,效率降低1.5%。
2.某化工厂由储水池清水输送到高位水槽中,要求供水量为100m3/h。
储水池至泵的高度为2.5m,泵至高位水槽的高度为26m,其上装有带滤网的底阀1个,闸板阀1个,90°弯头2个,锥型渐缩过渡接管1个,压水管长40m,其上装有止回阀1个,闸板阀1个,90°弯头2个,锥型渐扩过渡接管1个。
要求选用恰当的水泵。
解:•选定管道直径由得:其中一般取吸水管中流速,中流速则吸水管直径,取外径为219mm(内径210mm)。
出水管直径,取外径为159mm(内径150mm)。
《化工过程流体机械》总结、思考、公式、习题(第一、二章)2009.9.30(内容总结)第一章概述§ 1.1 流体机械的定义与分类§ 1.2 流体机械的工程应用§ 1.3 流体机械的技术发展小结:1.流体机械的分类叶片式、容积式;2.流体机械在石油化工行业的应用;3.(化工)过程流体机械。
(内容总结及思考题)第二章泵§ 2.1 离心泵的结构类型2.1.1 离心泵的基本结构2.1.2 离心泵的类型2.1.3 离心泵的典型结构2.1.4 主要零部件小结:1.离心泵的基本结构单级单吸悬臂式;2.离心泵的类型单级、多级;单吸、双吸;水平中开、节段式;3.叶轮开式、闭式。
§ 2.2 离心泵的工作原理2.2.1 离心泵的工作参数2.2.2 离心泵的工作原理2.2.3 叶轮中液体流动规律——速度三角形2.2.4 离心泵基本方程式2.2.5 叶片结构型式对能量转换的影响2.2.6 有限叶片对叶轮能量转换的影响小结:1.工作参数流量Q、扬程H、功率N、效率η等;2.速度三角形速度u、w、c,分速度c u、c r;液流角α、β,叶片安装角βA2等;3.基本方程欧拉方程(表达形式两种、物理意义三项)、理论扬程H T∞、静扬程H pol、动扬程H hyn等;4.叶片结构分析后弯、前弯、径向叶片型(βA2<=>90º);反作用度ρR∞,βA2极限值βA2min、βA2max等;5.叶片有限影响轴向涡流,β2<βA2、c u2<c2∞,滑移系数μ;(叶片有限无损失)理论扬程H T<H T∞等。
思考题:[2] 4-1.离心泵有哪些性能参数?其中扬程是如何定义的?它的单位是什么?[2] 4-2.试写出表达离心泵理论扬程的欧拉方程式和实际应用的半经验公式。
§ 2.3 离心泵的工作性能2.3.1 离心泵的吸入性能2.3.2 离心泵的特性曲线2.3.3 离心泵的性能换算小结:1.吸入特性汽蚀机理与危害,汽蚀参数(p、NPSH、H S、z g),汽蚀判别、安全条件,汽蚀特性([NPSH]、[H S]),抗汽蚀措施。
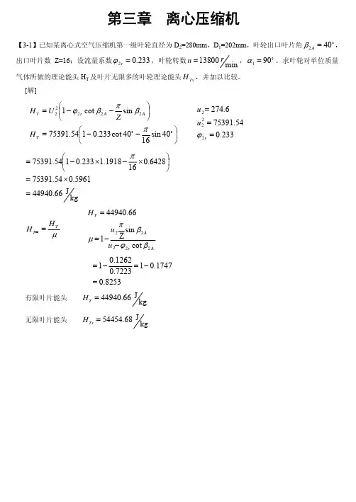
《过程流体机械》补充习题及参考答案 第三章 离心压缩机习题 3-1 DA450-121 裂解气离心式压缩机,第一级叶轮外径D 2 =655mm,叶片出口安装角β A2=35°,出口叶片数 Z 2 =22, 出口绝对速度 C 2∝=200m/s,气流方向角α 2∝=21.1°, 叶轮工作转速 n=8400rpm. 求该级叶轮对每kg 气体所作的理论功H th (α 1=90°) 参考答案:① u 2 =287.94m/s ②φ r2=0.25 ③ H th =46886.9J/Kg 3-2 DA350-61 型离心式压缩机,第一级叶轮外径 D 2 =600mm,叶片出口安装角β A2=45°,出口叶片数Z=18 选用流量系数φ r2=0.248,叶轮工作转速 n=8600rpm,求第一级叶轮对每kg 气体所作的 叶片功H th (α 1=90°) 参考答案:① u 2 =270.04m/s ② H th =45845.8J/Kg 3-3 丙烯离心式制冷压缩机PLS-2000 的第三级叶轮,其叶片进出口速度分别为: C1=62.25m/s, α 1=90 °,C 2 =136.4m/s, α 2 =18 °24 ˊ, 叶轮工作转速 n=12000rpm, 进出口直径�1�7�1�7别为: D1=0.180m,D 2 =0.330m,求:叶轮给予500kg 有效流量的理论能量头H th 参考答案:① u 1 =113.04m/s u 2 =207.24m/s ②C u1 =0m/s C u2 =129.43m/s, ③ H th =26823.07J/Kg*500Kg=1.34×10 4 KJ 3-4 已知某离心式空气压缩机的第一级叶轮 D 2 =380mm, D 1 =202mm,,β A2=40°,Z=16,叶轮转速 n=13800rpm,流量系数φ r2=0.233,α 1=90°,求叶轮对单位质量气体所提供的理论能头 H th 及叶片 无限多时的理论能头H th∝ 参考答案:① u 1 =145.88m/s u 2 =274.6m/s ② H th∞=54454.68J/Kg ③ H th =44940.7J/Kg 3-5 一台离心式压缩机,一级叶轮的叶片功H th =45864J/kg,η pol=78%, 级的进口速度C j =74m/s, 出口速度C c =96m/s,轮阻损失系数β df =0.03,漏气损失系数β L=0.012,求实际耗功H tot 及H pol 、 H hyd 、 H l 、H df 参考答案:① H tot =47790.29 J/Kg ② H pol =37276.43J/Kg ③ H hyd =6717.57J/Kg ④H l =550.37 J/Kg ⑤H df =1375.92 J/Kg 3-6 已知丙烯C 3 H 6 的R=197.57J/Kg·k,k=Cp/Cv=1.1548,首级进口压力0.12MPa,温度为-41.7℃, 若选取 u 2 =235.6m/s,φ r2=0.31,β A2=50°,Z=24,β L+β df =0.04,η pol=0.76,试求:首级的压力 比ε =,级的出口压力Pout=(Pg:143) 参考答案:① H th =35505.6 J/Kg ② H tot =36925.8J/Kg ③ H pol =28063.6J/Kg ④ε =1.614⑤ Pout=0.19368 3-7 已知某压缩机的第四级进口容积流量Qin=1.543 m 3 /s,该级的D 2 =0.65m,u 2 =170m/s, β A2=30°,δ 2=4mm,φ r2=0.134,ρ 2/ρ 0=1.094,Z=22,试计算该级叶轮出口相对宽度,b2/D2= 该值是否符合要求(Pg:143) 参考答案:① τ =0.914 ② b2/D2=0.05106 ③∵ 0.025≤b2/D2≤0.065 ∴ 合理 3-8 已知某离心式空气压缩机的有效流量G=6.95Kg/s,漏气损失系数β L=0.013,轮阻损失系数β df =0.03,叶轮对单位质量气体作功H th =49895J/kg,试计算叶轮作功时消耗的理论功率N th 、漏气损 失功率N l 、轮阻损失功率N df 、总功率N tot 及叶轮对单位质量有效气体的总耗功H tot 。 参考答案:① N th =346.77KW ②N l =4.508KW ③N df =10.4KW ④N tot =361.678KW ⑤H tot =52040 J/Kg 3-9 已知空气的K=1.4,R=288.4J/kg·k, 叶轮实际耗功H tot =47829J/kg,级的进口温度t j =20℃流速 C j =31.4m/s,各关键截面的流速为:C 0 =92.8m/s, C 1 =109m/s, C 2 =183m/s, C 4 =69.3m/s, C 6 =69m/s,试求此级各关键截面的气流温度 参考答案:① T0=16.22℃ ② T1=14.60℃ ③ T2=51.28℃ ④ T4=65.49℃ ⑤ T6=65.5℃ 3-10 DA350-61 离心压缩机,按设计要求吸入流量Q j=350 m 3 /min,排出压力Pc=600kpa。但某厂 实际操作中吸入流量只有Q j=300 m 3 /min,排出压力P C =400~500kpa,试分析: (1) Q j、 P C 都达不到设计指标的主要原因是什么? (2) 在进口管线上加一台风机,能否使压缩机的流量提高 (3) 该压缩机冬天的质量流量比夏天大,原因是什么 3-11 某离心压缩机出厂前通过实验的方法得到了如下图所示的性能曲线,试叙述压力比、多变效 率和功率曲线是如何通过实验得来的画出实验装置简图 3-12 大作业,压缩机选型,课本上Pg:143 的练习题3、4、5。 第四章 离心泵 4-1 用一台离心泵从井水抽水,井水水面渐渐下降,问水面降到离泵中心轴线几米处,泵开始发 生汽蚀已知泵为2BA-6,流量为20m 3 /h,吸入管内径50mm,吸入管路阻力损失约为0.2m 液柱, (假设PA=Pa,[Hs]=7.2m) 参考答案:① C 0 =2.82m/s ② ∴(Zsu)allo=6.6m ,当水面降到离泵中心轴线约 6.6m 处,泵开始 发生汽蚀 4-2 用一台50B31 型泵由一水池向外输送20℃的水,在进水管中的流速为1.5m/s,而在进水管路 上的总阻力损失为 4m 水柱,求泵可安装在距液面多高如其它条件相同,但水温为 80℃时又怎 样安装已知20℃时,[Hs]=8m,80℃时饱和蒸汽压力为47359Pa 参考答案:① (Zsu)allo=3.885m , �1�7�1�7�1�7必须安装在距液面约3.9m 处,才不会发生汽蚀 ② [Hs]´=3.414m, (Zsu)allo=-0.7m, 即泵必须安装在距液面下0.7m 处,才不会发生汽蚀 4-3 有一离心泵,叶轮外径 D2=220mm,叶轮出口宽度 b2=10mm,叶片出口角β A2=22°,叶片阻塞 系数τ 2=0.95,转速n=2900r/min,理论流量QT∝=0.025m 3 /s,设液体径向流向叶轮(α 1=90°),求: U2,W2∝,C2∝及α 2,并计算叶片无限多时叶轮的理论扬程H T∝ 参考答案:① u 2 =33.4m/s ② Cr2∝=3.81 m/s ③ W2∝=9.64 m/s ④ C2∝=24.73 m/s ⑤α 2=8°25 ⑥ Cu2∝=24.46 m/s ⑦H T∞=817.08J/Kg=83.38 m 4-4 有一离心泵,叶轮外径D2=220mm,转速n=2980 r/min,叶轮出口叶片角β A2=38°,出口处的 径向速度Cr2∝=3.6m/s。设流体轴向流入叶轮,试按比例画出出口速度三角形,并计算无限多叶片 叶轮的理论扬程H T∝为多少设叶片数Z=8,r1/r2=0.5,求有限叶片数时的理论扬程H T。设滑移系 数μ =0.756. 参考答案:① u 2 =34.33m/s ② H T∞=1020.36J/Kg=104.12 m ③ H T =771.4J/Kg=78.7 m 4-5 一台离心泵,输水时泵的允许吸上真空度[Hs]=5m,现用来输送ρ =700kg/ m 3 的汽油(粘度与 水相近),输送温度为20℃,汽油在20℃时的饱和蒸汽压为150mmHg,当地大气压为98066.5pa, 试求此时泵的允许吸上真空度为多少 参考答案:①[HS] =6.38 m 4-6 某离心泵输送密度为750 kg/ m 3 的汽油,实测得泵出口压力表读数为147100pa,入口真空表 读数为300mm 汞柱,两表测点的垂直距离为0.5m,吸入管与排出管的直径相同。试以液柱表示泵 的实际扬程。 参考答案:① HS=26 m 4-7 设某离心水泵流量 Q=0.025 m 3 /s,排出管压力表读数为 323730pa,吸入管真空表读数为 39240pa,表位差为0.8m,吸入管直径为100mm,排出管直径为75mm,电动机功率表读数为12.5kw, 电动机效率为 0.93,泵与电机采用直联,试计算离心泵的轴功率有效功率和泵的总效率各为多 少 参考答案:① H=381.8 J/Kg=38.96 m ②N e =9.545KW ③Ns=11.63KW ④ η =82.1% 4-8 有一离心泵,设计点参数为:扬程 H=100m,流量 Q=0.17 m 3 /s,轴功率 N=7.6kw,转速 n=2900r/min,现有一台 D2 为该泵 2 倍的相似泵,当转速 nˊ=1450r/min 时,求相似设计点参数 (Qˊ,Hˊ,Nˊ)各为多少 参考答案:① Qˊ=0.68m 3 /s, ② Hˊ=100m, ③ Nˊ=735.2KW 4-9 有一台转速为1450r/min 的离心泵,当流量Q=35m 3 /h 时的扬程H=62m,轴功率N=7.6kw,现 若流量增至Qˊ=52.5 m 3 /h,问原动机的转速应提高多少此时泵的扬程和功率各为多少 参考答案:① nˊ=2175 r/min, ② Hˊ=139.5m, ③ Nˊ=25.65 KW 4-10 大作业,离心泵选型,课本上Pg:191 的练习题1、2、3。