上海历史上人口的变迁
- 格式:pdf
- 大小:679.19 KB
- 文档页数:8
“人口迁移的特点及成因”案例研究——以上海市人口迁移为例江苏省新海高级中学戴艳人们出于某种目的,移动到一定距离之外,改变其定居地的行为,即人口迁移。
上海是我国第一大城市,国际金融、贸易中心。
至2011年末,全市常住人口总数为2347.46万人,户籍人口总数为1419.36万人。
但在19世纪中期以前,上海还是个不起眼的小渔村。
上海是如何从一个小渔村发展为现代化的人口过千万的大都市的呢?上海的发展与繁荣离不开近现代的人口迁移。
我们可以通过研究上海市不同阶段的人口迁移,分析上海人口迁移的特点、原因,探究人口迁移对上海市发展的影响。
一、解放前上海人口迁移(1843~1949年)1、人口迁移的表现1843年11月17日,根据《南京条约》和《五口通商章程》的规定,上海正式开埠。
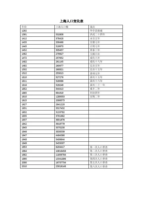
上海在开埠之前人口增长十分缓慢,上海开埠时人口不足10万,开埠以后,人口迅猛增长,至1949年解放时,上海人口为520万。
1928年始,上海华界(租界以外的地区)开始有居民籍贯登记,1937年抗日战争开始后,停止居民的籍贯登记。
下图为1929~1936年上海市人口迁移情况示意图。
海人口增长除了自然增长外,更重要的是人口的迁移与流动。
2、人口迁移的特点①迁入人口中,以工商业者及小型个体业主为主,即多为经济活动人口。
②流入上海市的以离上海近的江浙两省的人为最多,约占迁入总数的3/4(1949年上海市综合统计)。
③出现大量来自海外的移民,主要有英、美、法、俄等国的移民。
3、人口迁移的原因本阶段,由于上海开埠,使上海成为我国中外贸易中心,此阶段人口迁移的主要原因是经济因素的吸引。
上海开埠,为其经济的发展提供了如政治、交通、资金、技术等有利的条件,而快速发展的经济、更多的就业机会、更好的生活条件吸引了大量外来人口的迁入,大量的外来人口也极大的促进了上海经济的发展。
二、解放后上海人口迁移(1949年~现在)1、人口迁移的表现新中国成立后,上海的人口迁移呈现出波浪型发展曲线,大致可分为5个阶段。
1980年代以来上海城市人口空间分布及其演变作者:刘贤腾来源:《上海城市规划》 2016年第5期摘要研究人在城市中的居住活动的空间分布及其演变特征,有助于科学理性规划城市。
采用上海市第三、四、五、六等4次人口普查数据,首先计算不同圈层的居住人口总量及其人口密度,并全过程地分析3个10年期的演变特征和趋势,发现在不同的城市空间层次,人口变化存在明显差异:在1980—1990年间增长的人口主要分布在核心区,在1990—2010年间增长的人口主要集中在边缘区和外围区,核心区的人口外迁而呈持续下降态势,在1990—2000年间边缘区人口增长快于外围区,但在2000—2010年间,外围区的人口总量增长幅度快于边缘区。
其后,针对持续扩大的中心城区的人口密度分布及其变化,采用负指数函数模拟其分布曲线,发现在1990年代以来,体现距离衰减速率的参数b值持续在下降且速度较快,人口密度曲线持续趋于平缓,这潜在地说明居民克服空间阻力的能力在增强。
最后,对上海城市居住活动在过去30年间的集聚和扩散所表现的规律性及其内在机制进行了讨论。
关键词人口密度 | 空间分布 | 演变 | 负指数函数模型 | 上海0 引言在中国迈向城市社会的过程中,“要认识、尊重、顺应城市发展规律,端正城市发展指导思想”①。
正确认识城市发展规律和准确判断城市发展趋势,是科学理性规划城市的前提。
城市是人造的,也是为人服务的。
研究人在城市中的居住活动的空间分布及其演变特征,不仅能认识城市的空间扩张及其结构嬗变特征,而且其中体现出的规律性能给予规划师许多启示,是城市研究的重要内容。
在我国,城乡人口迁移以及城市人口规模的增长极大地受到国家宏观经济战略和社会治理政策的影响。
自1980年代以来,市场经济方向的持续改革逐步放松了对城乡人口流动的管制,代表了先进生产力和有着更高生产效率的城市,吸引了越来越多的农村迁移人口。
一方面,城市人口规模持续膨胀,城市空间范围不断扩大;另一方面,城市内部的人口空间分布也随市场经济机制的作用发挥,而必然会出现空间结构上的嬗变。
历年上海市人口数目变化情况(参考六次人口普查数据):一、人口性别1、常住人口性别比微升上海第六次全国人口普查(以下简称“六普”)资料显示,2010年上海2301.92万常住人口中,男性1185.49万人,占总人口的51.5 %;女性1116.43万人,占48.5 %;性别比(以女性为100)为106.19,与2000年第五次全国人口普查(以下简称“五普”)相比,上升0.51。
其中,外来常住人口性别比为118.7,比“五普”时下降11.27个百分点。
2、婴幼儿性别比上升“六普”资料显示,2010年上海0-3岁婴幼儿性别比为113.71 ,比“五普”上升3.23 ,且0-3岁年龄段每岁组的性别比均高于“五普”。
其中,外来常住人口0-3岁组婴幼儿性别比为126.13,比常住人口高12.42 ,而户籍常住人口0-3岁组婴幼儿性别比为106.09(见图1)。
显然,外来常住人口婴幼儿的性别比偏高,拉升了全市0-3岁组人口的性别比。
图1 上海0-3岁组婴幼儿年龄性别比3、劳动年龄人口性别比下降“六普”资料显示,2010年上海15-59岁劳动年龄人口中,男性占52%,女性占48%,性别比为108.41,比“五普”时下降2.06。
其中,户籍常住人口中劳动年龄人口性别比为101.43,比“五普”时下降3.96;外来常住人口中劳动年龄人口性别比为117.47,比“五普”下降13.31(见图2)。
10年来,外省市女性大量流入,拉低了上海的劳动年龄人口性别比。
图2 上海劳动年龄人口性别比4、老年人口性别比提高由于老年女性人数高于男性,所以上海老年人口性别比低于100。
“六普”资料显示,60岁及以上、65岁及以上和80岁及以上老年人口性别比均高于“五普”,60岁及以上老年人口性别比为91.7,比“五普”时提高7.69 ;65岁及以上老年人口性别比为85.19,提高5.03;80岁及以上老年人口性别比为65.76,提高6.69(见图3)。
开放宽容:近代上海的移民一、近代上海移民概况近代上海是五方杂处的移民城市。
上海人口中,本地人口只占20%左右,这是上海开埠后历次“移民潮”造成的。
“客弱主强”的人口构成对上海经济文化发展、社会变迁、城市特点和精神、市民特质产生了巨大影响。
上海在开埠后由一个地区商埠迅速成为全国经济中心、远东金融中心,原因多端,其中移民是上海上海城市发展的内在动力。
移民资源与其他因素汇聚为强大的发展动力,为上海的崛起和发展注入了生生不息的活力和强劲的动力。
1843年上海开埠时的人口不足10万;加上郊区人口50多万;1949年约为550万人。
1950年上海人口,本地籍占15%,非上海籍人口占上海总人口的85%以上。
上海于1843年开埠后,中国乃至世界各国的移民蜂拥进入上海,呈现出“主弱各强”的人口结构特点,这是上海开埠后历次“移民潮”造成的。
2011年第六次人口普查,上海市人口2301万人,占全国比重的1.72%。
改革开放,特别是1990年代上海开发浦东以来,中国乃至世界各地的新移民纷纷来到上海工作、生活,被称为“新上海人” 2011年末,上海外来常住人口达935.36万,占全市常住人口总量的39.8%,平均年龄31.6岁,15岁以上的87.4%。
移民的概念:移民是指实现了迁移的人口。
与人口的生育、死亡一样,迁移是人口系统中三个基本因素之一,亦是人口学中最模糊不清、争执最多的概念。
一般而言,人口迁移指空间地理位置上的变更,即人们离开原居住地,超过一定的行政界限,到另一个地方居住的移动,也称人口的机械变动。
中国自古以来就是安土重迁的农业国家,正如费孝通先生说的:“长在土里的庄稼行动不得,侍候庄稼的老农也因之象是半身插入了土里。
”因而不流动是乡土社会的主要特征之一。
纵观中国历史上的人口迁移,移民的迁移动机虽然各异,但多属被动、盲从的行为,大多是迫于天灾人祸或是统治者的强制,很少有心甘情愿、出于改变自身境况的迁移,这与中国传统的社会经济结构特点有关。
20世纪50年代中期上海的“回乡生产运动”一、问题开埠之初的上海人口不足50万,解放之初的人口统计录得人口502万。
到1954年,上海人口达到662.71万人,1955年更是接近700万大关。
[1]人口的迅速增长给上海这座城市带来了一系列问题。
早在1949年春,《人民日报》就发表了《把消费城市变成生产城市》一文,指出城市未来的发展方向是从消费型转向生产型。
而判断一个城市是消费型还是生产型的指标之一,是城市人口的劳动参与度。
1955年4月底上海的699.7万人口中,被赡养者的比例高达62.93%,远远高于被认为是合理水平的50%。
[2]1953年年底,粮食统购统销制度开始实施,政府直接承担起为城市人口供应粮食的任务。
而1954年到1955年的两年里,上海的粮食销售量屡屡超过计划供应量。
[3]对此,1955年5月,时任上海市委第一书记的柯庆施在讲话中说“上海的劳动人民和知识分子应该积极地、踊跃地到全国各地参加工农业和其他各项建设工作,特别是对于那些放弃农业生产跑到上海来等待就业的劳动人民应该说服动员他们回乡生产”。
[4]紧接着,上海市人民委员会在6月份制定方案,要求“从1955年7月起,到1956年6月份之前,坚决从各方面完成紧缩城市人口100万,其中动员40万至60万人回乡生产的任务,以达到贯彻本市紧缩与加强的方针,消除人口臃肿的不合理现象的目的。
”[5]这项方案意味着每十个生活在上海的人中,必须要有一个离开上海。
上海是中国最先进最繁荣的大都市,让已经来到上海、甚至已经生活下来的人放弃上海的生活,回到乡村或小城镇去,必然会有人不理解、不情愿。
将群众的“不支持”转化为支持,即成功地把那些原来不支持这个运动的民众疏散出上海,对于刚刚执政的中国共产党而言是一个巨大的挑战。
二、对策面对“回乡生产运动”遇到种种难题,中国共产党展示了有能力、有办法、有威信、有号召力的政党形象,达成了既定的目标。
其成功的要诀主要在以下几个方面:(一)充分发动宣传系统,对民众进行有策略的宣传和教育。
浦东新区建区前的人口概况正当中共中央、国务院决策开发开放浦东之时,我国正进行大规模的第四次人口普查,提供了最为准确的数据。
1.浦东新区的总人口根据1990年7月1日零时为标准时点的第四次人口普查,浦东新区41个乡、镇、街道,共计41.21万户。
常住人口138.82万人,占全市常住人口的10.4%。
1982年7月1日第三次人口普查时,该地区人口为105.83万人,八年间共增加32.99万人,增长31.2%,比全市人口增长速度高18.7个百分点;平均每年增加4.12万人,年平均增长率为3.9%,比全市年平均增长率高2个百分点。
浦东新区人口增长较快,主要是按照市政府关于疏解城市中心区,消除中心城市人口膨胀病的长远规划,在浦东新区内建造了许多住宅小区,吸引了大批的浦西居民,从而缓解了全市的住房矛盾和人口密度。
2.浦东新区的人口分布138.82万人中,分布在黄浦区4个街道1个镇的人口有35.70万人,占浦东新区总人口的25.7%;南市区4个街道1个镇的人口有26.40万人,占1 9.0%;杨浦区l街道有7.57万人,占5.5%;上海县1个乡有4.60万人,占3.3%;原川沙县3个镇26个乡有64.55万人,占总人口的46.5%。
3.浦东新区的人口密度浦东新区平均每平方公里的人口密度为2727人,比全市平均人口密度高63 8人,比市区的低8570人。
分地区的人口密度中,黄浦区的浦东部分24552人每平方公里,南市区的浦东部分为14578人,杨浦区的浦东部分为13789人,上海县三林乡为1452人,原川沙县全境为1470人。
由此可见,沿黄浦江-带人口密度较高,其中黄浦区的张家浜街道达4.33万人,崂山西路街道3.96万人,东昌路街道3.41万人,潍坊新村街道2.68万人,南市区的上钢新村街道2.8 9万人。
4.浦东新区的农业人口与非农业人口浦东新区的农业人口有56.23万人,占40.5%,非农业人口有81.70万人,占58.9%,其他0.89万人(出国人员和户口待定人员),占0.6%。
李健宁越敏1990年代以来上海人口空间变动与城市空间结构重构图2上海城市空间结构重构示意图4.2.1中心城区(650km:)。
至2010年中心城区人口控制在900万左右.这样以2000年数据为基准到2010年时要对外疏解70万人口。
核心区在考虑承载量、交通等问题基础上实行25000人/km2的密度标准,人口控制在120万以内;浦东内环内近40km:土地人口控制在90万人;内外环间约550kmz的面积人口密度控制在1.2万人/km2,总人口控制在650万人。
4.2.2通勤区(约1600km2)。
人口平均密度超过3000人瓜m2,规划人口为500万人。
2000年“五普”统计总人口为300万,这样到2010年要吸纳人口200万。
顾村、江桥、周浦、浦江等4个老基地将大于每个基地,按平均容纳约15万人计算,共可接纳约60万人;其他几个动迁基地按10万人计算,也可容纳近40万人口;松江新城、嘉定新城和通勤区范围内其他新市镇也足以再容纳100万人口。
4.2.3郊区(4100余km:)。
人口平均密度控制在1000人/kmz以内,人口规模控制在400万人。
以2000年的370万人口为基准2010年要吸纳人口30万。
其中新城、新市镇和以农村人口集中居住为目标的中心村将是郊区城镇人口的主要载体。
综上所述.上海大都市区人口的空问分布将直接影响和反映上海城市功能和发展状况.人口空问分布必须与城市区位功能区相适应,并与上海城市主导发展方向相一致。
从市域层面上规划好城镇体系的空问布局。
多数人口将依托轨道交通并采取跳跃模式直接疏解至通勤区范围内,还有少量城市中高收入人口可依托城市郊区的高速公路进行更大范围内的疏解。
但人口疏解必须遵循几个原则:①对各类不同层次的城市疏解人口应提供相应标准的优良环境品质和生活居住空间;②依托便利的城市快速交通.包括轨道交通和高速公路,以支撑中心城区同通勤区的密切联系;③必须结合城市产业空间布局的调整,在重点人口导人城镇和区域提供相应规模的就业岗位,实现以产业发展为先导。
教师培训之走近上海目录一、上海历史沿革二、上海风土人情三、上海重大事件(部分)四、上海旅游景点五、上海教育概况介绍上海的视频:视频1:/show/KfET8Rg5HPE12ndU.html视频2:/show/WV AgzOm3_2oH-1OWRHlBgQ...html?st=1_9_4_1&nr=1视频3:/v_show/id_XMzU5MjgwNDQ=.html视频4(一般):/v_show/id_XMjU4MjQ1MjQ=.html?from=y1.2-1-88.3.2-1.1-1-1-1视频5(高清):/v_show/id_XMzYyODc2NjMy.html?from=y1.2-1-88.3.6-1.1-1-1-5一、上海历史沿革(一)上海的起源与发展“申”、“沪”的由来上海,简称“沪”,别称“申”。
大约在六千年前,现在的上海西部即已成陆,东部地区成陆也有两千年之久。
相传春秋战国时期,上海曾经是楚国春申君黄歇的封邑,故上海别称为“申”。
公元四、五世纪时的晋朝,松江(现名苏州河)和滨海一带的居民多以捕鱼为生,他们创造了一种竹编的捕鱼工具叫“扈”,又因为当时江流入海处称“渎”,因此,松江下游一带被称为“扈渎”,以后又改“扈”为“沪”。
上海建城公元751年(唐天宝十年),上海地区属华亭县(现今的松江区),范围北到今天的虹口一带,南到海边,东到下沙。
公元991年(宋淳化二年)因松江上游不断淤浅,海岸线东移,大船出入不便,外来船舶只得停泊在松江的一条支流“上海浦”(其位置在今外滩以东至十六铺附近的黄浦江中)上,公元1267年(南宋咸淳三年)在上海浦西岸设置市镇,定名为上海镇。
公元1292年(元至元二十九年),元朝中央政府把上海镇从华亭县划出,批准上海设立上海县,标志着上海建城之始。
近代上海16世纪(明代中叶)上海成为全国棉纺织手工业的中心。
公元1685年(清康熙二十四年)清政府在上海设立海关。
作者: 陈熙[1]
作者机构: [1]复旦大学历史地理研究所,200433
出版物刊名: 当代中国史研究
页码: 101-109页
年卷期: 2011年 第3期
主题词: 上海;人口紧缩;人口疏散;粮食供应
摘要:1955-1956年,上海市经历了新中国成立以来首次大规模的城市人口疏散。
为了应对日益严峻的城市人口压力,上海市动员了大批外来农民回原籍生产,并组织城市失业人口前往江西等地参加垦荒建设,期间共有50余万城市人口被疏散。
从人口形势与粮食供给关系来看,城市粮食供应困难是导致这次城市人口疏散的重要原因。
这一事件影响到此后的国家政策走向。