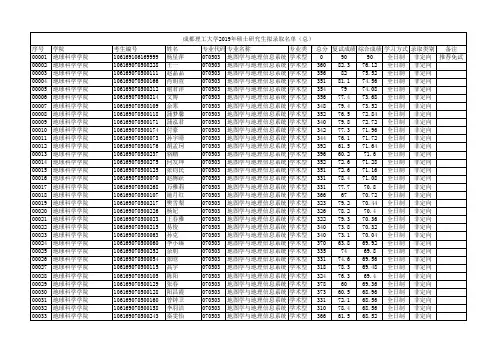
2019成都理工大学沉积地质研究院硕士研究生拟录取名单
- 格式:doc
- 大小:150.50 KB
- 文档页数:3
中国科学院地质与地球物理所2019年硕士研究生拟录取名单公示(第二批)
经中国科学院地质与地球物理研究所各复试小组对上线考生的资格审核和复试,所复试工作领导小组对考核和体检结果进行审议,综合考虑初试、复试成绩,现公布我所2019年硕士研究生通过复试(拟录取)名单(第二批):
公示期自2019年3月29日至2019年4月7日,经公示无异议的拟录取硕士研究生名单将上报中国科学院大学,审批后将于2019年6月中旬发放硕士录取通知书,凭录取通知书附调档函转档,不提前接收学生户口、档案及党团组织关系,不接收此类咨询。
请注意关注我所网站的相关通知。
全国硕士研究生调剂信息服务系统已于3月20日开通,请没有被录取且仍未找到调剂单位的复试考生关注该系统的相关专业调剂信息。
备注:
1、如发现考生本人材料虚假、严重违法违纪等情况,我所有权取消其录取资格;
2、录取考生导师分配情况入学前公布,请勿电话咨询。
成都理工大学2016年硕士地质工程拟录取名单地球科学学院张自凯地质工程专业型地球科学学院汤建地质工程专业型地球科学学院孟晓雷地质工程专业型地球科学学院林坤地质工程专业型地球科学学院桑永恒地质工程专业型地球科学学院贾旭地质工程专业型地球科学学院马虎超地质工程专业型地球科学学院杨圣都地质工程专业型地球科学学院周锐地质工程专业型地球科学学院殷彦彬地质工程专业型地球科学学院李婷地质工程专业型地球科学学院杨静宇地质工程专业型地球科学学院尹维大地质工程专业型地球科学学院冀盘龙地质工程专业型地球科学学院龚安州地质工程专业型地球科学学院李子琦地质工程专业型地球科学学院穆明明地质工程专业型地球科学学院田京京地质工程专业型地球科学学院邓晓强地质工程专业型地球科学学院张硕地质工程专业型地球科学学院刘淇地质工程专业型地球科学学院张强地质工程专业型
地球科学学院任俊光地质工程专业型地球科学学院曹莹地质工程专业型地球科学学院牛腾地质工程专业型地球科学学院苏明健地质工程专业型地球科学学院罗杨地质工程专业型地球科学学院李守源地质工程专业型地球科学学院刘新昕地质工程专业型地球科学学院张冠卿地质工程专业型地球科学学院卢柳地质工程专业型地球科学学院李辉地质工程专业型地球科学学院刘艳鹏地质工程专业型地球科学学院张斌斌地质工程专业型地球科学学院徐文坦地质工程专业型地球科学学院刘佳龙地质工程专业型文章来源:文彦考研。
成都理工大学2016年博士沉积学拟录取名单
王巍沉积学田景春定向李孝军沉积学田景春定向李潇雨沉积学伊海生定向董翼昕沉积学陈洪德非定向梁庆韶沉积学田景春非定向陈彬沉积学时志强非定向晁晖沉积学侯明才非定向李夔洲沉积学王剑非定向曾传富沉积学田景春非定向裴文超沉积学陈洪德非定向黄志发沉积学侯明才非定向黄树光沉积学侯明才非定向张诣泽地球化学倪师军非定向张凯亮地球化学施泽明非定向陈载林地球化学倪师军非定向邓晓宇地球探测与信息技术杨武年定向刘厚军地球探测与信息技术曹俊兴定向吴迪地球探测与信息技术李瑞定向肖荣健地球探测与信息技术何政伟定向王桥地球探测与信息技术王绪本定向张阳地球探测与信息技术王华军定向罗平地球探测与信息技术王华军定向洪承煜地球探测与信息技术王绪本定向王斌地球探测与信息技术李瑞定向陈淑娜地球探测与信息技术文晓涛非定向
谭峰地球探测与信息技术曹俊兴非定向卞江伟地球探测与信息技术王绪本非定向王文化地球探测与信息技术陈学华非定向刘芷彤地球探测与信息技术王绪本非定向江勇地球探测与信息技术郭勇非定向杨枭地球探测与信息技术苗放非定向巫南克地球探测与信息技术王元君非定向张怡地球探测与信息技术何政伟非定向文章来源:文彦考研。
成都理工大学2014届校优秀毕业生公示名单地球科学学院(56人)吴驰华兰叶芳林彬王艺云谭骏祥王莉李伟何朝鑫崔文玲何海林兰双双宗雯刘源李晶晶汪书羽张媛媛邓巧遇袁玉林陈玥刘丰豪林玲何丽王文海宋志娇何利秘贤周会林杨艳李峰罗刚陈佳俊周云龙郭佳佳罗博宇宋红莎潘文俊郭海燕于嘉宾罗兴海胥彪易鹏成勇陈翼李丹谢玉凤马冰李海峰范应苟文贤谭耕莉刘凯邹涛卢应辉刘礼杨王超夏成龙能源学院(43人)梁家驹马文辛吴红军孙藏军牛忠晓王喻孙千刘世界袁立范厚江吕孝威孙腾蛟刘媛萍陈志明王锐徐浩张东旭张玲蒋林宏曹贵孔蒙胡枭张国波孙朋谢超雄伍元刚高靖张小冬居竹溪杨培培张玥王林琪王平潘怡符浩余永强傅定伍杨佩芸周密任鹏飞胡新春陈泉键贾彬红环境与土木工程学院(110人)朱星常鸣韩蓓唐得胜李化段雪琴曾琳洁朱渊王涛叶咸黄辉魏斌斌李蔷黄伟邓通海李灿张维熙钟雨奕刘宇恒柳天佳杨鸿玮杨志强庞波巫晨笛陈保霖李部陈晨黄筠媛周冀昱马荣陈科杨彬蒋金阳张少锋陈中华徐荣剑张伟杨敏王一尘张露唐昌林赫子皓詹威威韩文奇陈语王森帅正阳李骅锦杨啡程瑞驭华春翔邱俊陈奕帆梁程马思秀姜美玲陶叶青刘霁茗谭洵刘畅曹有为舒建冬刘恋嘉周澎龙张灵熹刘霞朱金勇杨宏胜黄云韬袁忠伦陈永科杨进刘爽朱英彦袁婧徐丽萍黄红梅刘天毅易四维赵凤君何赟陈逸君王太珠吴非曹伟佳刘红君涂彩君曹依娜王丹丹田密秘曾洁张影李元碧舒婷高瑜唐鸥玲贾岛陈妙春万媛陈怡张璐胡雨柔孙为奕江馨怡喻琬琴罗丽娜陈雪晴彭芸霓游钦钦何鹏楠地球物理学院(47人)张赓潘佩芬邓辉黄雯丽陈思宇蒲丹蔡官洪薛丽萍卢昕李彬李怡冷眉黄加力陈汝康肖青松胥洋吉遇张建于淼李远娟孟美辰邓华杨超杰阮韵淇梁庆韶曹文忠邓海洋廖竞鸿杨林汤杰邓正李丹石宇含胡雯思杨祖明甘芳张宏国唐长江张兴龙胡盛海杨红严结耀涂程林胡济张敏超陈敏王康莉核技术与自动化工程学院(125人)连晓雯彭凤凌王新宇叶永钦黄方方张伟石睿宿吉龙李晨谢群芳张艳莉龚春慧张舸帆宗庆霞昝贵彬杜华坤赵静杨小龙孙镇罗建军李洪玉王棱肖婷婷王明何帅邹阳吴奕樵周文艺曾红林吴燕飞胡健平鲁丹丹甘力涵刘斌曾浩然黄正敏胡婷婷赵猛薛阳李和德曹旭王亚飞侯豪杰郑斌邹全黄文玉林文文钱桃林黄翠萍梁帆汪毅杨金凤林亚萍杨卓孙斌雷洪云朱筱琳覃珊罗凯娟凌哲豪王铤何彦迪谢臻杰周洋溢郑月杨明魏世龙梁伟忠荣浪刘文亮蒋越周思宇巨冰涛李芙蓉宋雨菲张云袁川成陈慧春崔雪露张梦张俊王段占建平赵文雷巧陈源罗良桃魏于苹黄波庞博李梨刘璐尹光琴赖亮生廖彬宇周孝方连天友卫秋云周晓露宋梦漪叶江红史文宇殷小涵付睿玺杨凤陈露成建峰左卓汪键喻杰刘焕黄红肖杨李倩张逢涛苏庭辉林清张朝煜张雪李擂耿大帅李虹燕张海涛赵辉赵晓彬材料与化学化工学院(79人)张学梅熊磊钟辉李佳佳李冬梅钟丝摇胡咏霞刘淑梅王娟张雷段炼齐园园李慧郑华平冯伟赵诣森唐英杰杨路孙庭徐扬谢柳竹毕香丽蔡希寇雪艳余明苏阳李春张倩周娅龙永林邱国剑马云春周悦严利民郝军梁军陈枫张舒涵辜小东宮兆琪周璟万林邹彩琴白花王顺祥孙明霞张小娟陈月露刘小玲王奎苟创黄琴向涵淑郑敏敏范小静赵孟娜高阳付羚卫蕾思邹旋唐广刘丹丹刘飞罗英谢芷昕陈丹丹范云霞李晓玉杨紫淇马艳杨熙何琴曾宇杨瑞琪廖玲彭春燕税小川王博孙思瑶管理科学学院(78人)余梦铷颜佳玲刘瀚龙李丛杉王斐闫睿苏建美杨小艳马腾陈秀荣徐彬凡强丁绪友戴智源侯欣欣谢丹丹翟苗苗邱海丹吴莎莎廖翠丁玲玲钱彧李亚雄王晓佳邓珊柳芳菲王静龚娅徐航林玲刘璐李中英范玉梅陈伍雷健锋胡湲湲陈香李馨杨昭张沙涂双段明君谢勤黄薇霖刘晨辰舒俊江帆黄秋阳张冬周梦颖代晶晶郭梦迪刘红琳胡少华丁滨张鹏沈洋刘一泽邹琴琴沈鑫亭代向丽胡艺曲恬李洁周丽平杜汶惠张新弘崔晓丽童圣杨浪朱萍张珍李丹宋非容张丽许梦程梅刘悦政治学院(18人)刘瑶马荟婷谭林徐嘉武琪黄仁斌张川吴诗梅玉琴孙富惠蒋晖曾霞丽慕雪妮张小虎唐小利卓伟陈雨王军大文法学院(42人)苟维龙熠黄勇军吴雨玲白曼琳刘倩罗淑琨魏黎赵梓一汪文倩蒋娅姣徐超杨莉华陈茜蔡喆毛得龙邹知函王泽珍尚凡力王慧周光樱孙艳玲陶瑜罗娇廖凯莉张秋悦唐秀名邵庆杨艳萍罗跃张翔邹雪莲张军川朱婷婷杨杰刁芸芸蒋慧冯思棋文雯黄冬姚丹李娜外国语学院(33人)黄梦迪谢棣冯炜成牛芳潘楚波孙季张飞玲程月冯乐苑朱芯苇彭允瀚薛尧冯殊姝邱丹杜枫戴星子林琴彭盈谢晓冬肖容李旭新侯雷阳王玉珏程秀莉杨可豪肖露吴悦邓远超康莉钱璐瑶杨杨严巨敏童撷璇商学院(120人)张清朵甘红霞何曦王炜杰黎润坤李康琪曾莉李凌芸王婷婷谭雪花刘云胡丹丹王晓芬彭静李月王传英方丽娟王静刘爽汪倩王玲张庆敏李琦晶杨航杜薇青文冰李润毅彭娇唐燕王君茹舒文秀李庆怡屈彬丁杨慧向仕军吴永玲胡莉李仙周玉钟苓徐杨雪曾贇郭闻郁陈韵竹王梦然杨伊廉李蒙科雷华娇谭博今郭天怡李若欣李佳佳于远航汪妍君方茜兰曦云宋琳红梁欢赵媛丁颖白玛布迟郭春燕张锦媛杨照欣郭小娟王晓芳樊秋菊王丽珠黄扬帆刘少蕾陈婷婷刘秋恋付晴晴颜彦唐娅姝袁仟杨丹丹于琳杨洋苟书菡罗畅曾卓范琴刘柯君李珂祝云张丹周姝含罗佳丽王欣许艺丹徐扬蒋建国张娟冉苒李艳苏姜文盛燕邹佶江顾径畅肖袁罗娜叶银银刘建霞苏晓蕾杨晓晨陈双芳孙珊彭思绮何单王菀丰晋琦琳姚一可董欣玲彭秋林傅冬玲唐海英查美芳文洁闫利婷冯珊珊传播科学与艺术学院(80人)林汐璐张耀元靖秋曹亚男刘帅杜娇娇王梓力李明候林沈天慧袁玲吕凌蕾韩汶睿朱迪蓓王雅茜王婧杰陈炎李美薇王茂轶赵轶聪叶丛林王雅丽李晓丹罗晟丹袁小淳雷丽茹候力维郭佳泰李雪芹张玉坤赵荷姗张艺钟孙旭东张桢耿响响刘婷张斐然何晨光杜文鑫罗忆雪韩冰王晶陈佳钰谢雅榕安晶宋梓菲周元惠张颖丽王程晶董皓冯昕邓为为顿建华戴萌邱竹向星竹丁维维张美华徐苗苗李江黄陈洁康黎赵欢欢刘宏亮吴於蔓汪星宇刘志娇刘南西雷璐帆张倩李圆圆李夏薇冯微张梓涵胥梅王欣段超宋婵娟郁智勇米珊体育学院(6人)邓柳玲蒋易庭曹少丽叶家雄高何玉婵刘鹏信息科学与技术学院(77人)成伟伟卢丹张宇周潞武莹王渊民张伟钟娅陈香孟士杰秦怡谢伟黄宇琪王琴杨靖文姚燕刘婷婷官玖伟罗海杰胡毅查成超兰奇蒲小鹏张良军张晨曦王姗韩月金祠波饶和丰邓燕陈唯雷宗友蒋薇蒋丹李天敏郑毅陈小雪魏芳姜金男谢文鹏周姝颖唐懋任鹏陈淳史宣攀陈立陈涛邓亚军何芹李海梁吴涛王雷杨磊石丰华陈刚陈飞翔杨洋颜寒冰李思璇梁光祥李小庆唐礼明邹晓琴高坤廖雨菲唐娟高文博苟朝洋孙飞黄照发黄开英刘燕刘豪易妍辰吴望庆胡雪枫董科廷旅游与城乡规划学院(55人)李振兴杨慧雯刘英钦刘英钦欧阳艳梅徐婷张丽平刘旭生陈岷琦刘莹彭龄莹朱玉婷敖焕兴杨秋伟朱俊瑶尹珊杨燕彪刘洋蒋超杨璐瑜范容曾静黄秦付雪陈春燕王淑贤周春秋何成军方婉莹景慧霞张单肖山奉亚玲王庆冯秀玲袁萍杨安淇郑亚莉郑凯芸李薇韩胜丹张晋华吴瑶王加权唐秋丽高王佳李娟康莉郑洁邓彬彬鲜昊孛胡贵林贺轶宁刘洁邓菲应用技术学院(38人)周娅汪雪峰王若雯肖盼胡志平李婷婷廖月盈杨洲郑群秀谭曦王喆权倩倩周艳芳李梦阳杜玉娇黄祥宇杨超严华锋代致远程茗敏彭璐薛丽邓杰吕恒星申李叶亚兰陈义超薛兰张跃文李冰丽杨冬梅皮红梅王欣蒲萌莹高雨露朱芋萍沈李奇李兰沉积地质研究院(4人)赵明胜邓敏李杨徐双辉校研究生会(3人)李思明赖思宇梁群。