广东省地下水功能规划(全文)
- 格式:pdf
- 大小:283.76 KB
- 文档页数:44
第二章湛江市城市地下水概况第一节自然地理概况湛江市位于雷州半岛东北部,地理坐标:东经110º07'00"~110º38'19",北纬20º50'00"~21º27'00",市区行政区划包括霞山、赤坎、坡头、麻章及东海岛经济开发试验区。
陆地面积1460km²(图1)。
湛江市是广东省西部经济、交通、文化中心。
湛江港是我国八大港口之一,是我国大西南主要出海口,随着我国开发大西南经济战略的实施,湛江市在我国的位置显得更加重要,随着湛江市委、市政府提出的以港口为依托的“大港口、大工业、大市场、大发展”的发展战略逐步实施,湛江市的经济正在高速持续向前发展。
一.地形地貌湛江市城市以台地、平原地形为主,北东及中部平岭一带地势较高,向南、东南至沿海逐渐降低。
西北高阳、志满一带为火山岩台地,标高20~100m,最高点高阳笔架岭为176.7m;东部龙头一带为基岩台地,标高20~50m,最高点龙头笔架岭100.4m;中部平岭及东海岛西部以侵蚀~剥蚀台地为主,地形切割强烈,高差较大,标高20~100m。
三岭山、牛母岭最高分别为142.1m,108.7m;麻章、太平、东海岛西部为冲洪积平原或海蚀阶地,地形平摊开阔,标高20~40m;南三岛及河谷低地为堆积平原,标高一般小于20m;硇洲岛中部高,向四周降低,中部最高点灯塔处标高为82.5m,沿海岸带标高5~10m。
海岸低地及海漫滩标高一般小于5m。
二.水文与气象(一)水文1. 河流流入湛江市的河流多为源近流短的季节性小溪流,较大的河流有:城月河:发源于遂溪县大塘,集水面积345km²,河长37km,坡降0.33%;通明河:发源于雷州市客路镇东坡村,集水面积225km²,河长26km,坡降0、64%。
此外,还有旧县河、北月河、南柳河、文保河、北桥河等季节小溪。
2. 湖泊、水库湖光湖:位于市郊湖光镇,为一破火山口,积水成湖,东西长2km、南北宽1.8km,面积约3.75km²,水深10~15m,最深达32m,总库容3055万m³。
ID序号水体功能水系河流湖库起点5733457334农业包金河曲溪水库4982049820综合北环河北环河阳东大水口顶2200022000综合北江浈江江西省界2201022010综合北江浈江南雄市区2202022020综合北江浈江古市2202122021农业防洪发电北江浈江孔江水库2202222022农业防洪发电北江浈江中坪水库2202322023农业防洪发电北江浈江宝江水库2202422024农业防洪发电北江浈江横江水库2202522025农业防洪发电北江浈江尖背水库2203022030综合北江北江沙洲尾2204022040综合北江北江韶关白沙2204122041综合北江北江英德市马径寮2204222042综合北江北江英德市沙口圩2204322043综合北江北江英城白沙2204422044综合北江北江英城桥下2204522045综合北江北江飞来峡区旧横石2204622046综合北江北江清远新北江大桥2205022050综合北江北江清城石角界牌2206022060饮用北江东平水道三水市思贤滘2210022100综合北江赤水河韶关沐溪2220022200综合北江大陂水韶关莲花2240022400综合北江梅花河韶关黄沙坑2240222402综合北江梅花河韶钢排污口2250022500综合北江石角河曲江水浸洞西北2310023100综合北江新龙水南雄高罗井2320023200综合北江南山水南雄大人岭2330023300综合北江岚头水南雄窑合2340023400综合北江凌江南雄中洞上2350023500饮用北江瀑布水南雄三角寨2350223502饮用北江瀑布水瀑布水库2350423504饮用北江瀑布水瀑布水库2360023600综合北江大坪水南雄观音崠2370023700综合北江都安水始兴云风山2381023810综合北江墨江始兴棉地坑顶2381223812综合北江墨江始兴深水渡乡2382023820综合北江墨江始兴瑶村2390023900综合北江罗坝水始兴饭池嶂2400024000饮用北江横水始兴樟村崠2400224002饮用北江横水始兴花山乡2400424004饮用北江横水花山水库2410024100综合北江百顺水南雄马坳2420024200综合北江灵溪水曲江黎壁面2430024300综合北江锦江江西省界2430224302综合北江锦江仁化长江镇2430424304综合北江锦江仁化仁化镇2430624306综合北江锦江锦江水库2430924309农业发电北江锦江赤石迳水库2431024310综合北江董塘水仁化后落山下2440024400综合北江扶溪水南雄黎水山2450024500综合北江城口水湖南省界2460024600综合北江大麻溪湖南省界2470024700综合北江黎屋水仁化黄泥洞2470224702综合北江黎屋水高坪水库大坝2470424704农业发电北江黎屋水高坪水库2480024800综合北江大富水曲江燕岩下2490024900综合北江枫湾水曲江旗头山2500025000综合北江大塘水曲江竹头排2510025100饮用农业北江武水湖南省界2510125101饮用农业北江武水坪石2510225102饮用农业北江武水乐昌城2510425104饮用农业北江武水犁市(曲江) 2510625106饮用农业北江武水西河桥2510825108饮用农业发电北江武水龙山水库2510925109农业北江武水西牛潭水库2511025110农业北江武水沐溪水库2520025200综合北江南花溪省界2530025300综合北江辽思水乐昌老鹏顶2540025400综合北江宜章水湖南省界2550025500综合北江白沙水湖南省界2560025600综合北江梅花水乐昌鹧鸪塘2570025700综合北江田头水湖南省界2580025800综合北江太平水乐昌阿公岩2590025900综合北江九峰水乐昌杨桐山2600026000综合北江西坑水乐昌武洞2610026100综合北江廊田水湖南省界2620026200综合北江杨溪水乳源老鹏顶2620226202综合北江杨溪水乳源大桥镇2630026300综合北江新街水乳源牛角岭2640026400综合北江重阳水乳源茶坪上2650026500饮用发电北江南水乳源安墩头2650226502饮用发电北江南水南水水库大坝2650426504饮用农业发电北江南水南水水库2660026600综合北江龙溪水乳源火烧山右2670026700综合北江龙归水乳源乐古坳2680026800综合北江续源洞水曲江天堂顶2691026910综合北江马坝水曲江黄茅嶂2692026920综合北江马坝水韶关龙岗2700027000综合北江樟市水曲江龙潭角2710027100综合北江官田水英德市1032高山2720027200综合北江仙桥水英德市狗心2721027210综合北江清水河英德全河段2730027300饮用工农业北江滃江翁源船肚东2730227302工农业北江滃江翁源河口2730427304饮用发电工农业北江滃江英德市大镇水口2730627306发电农业北江滃江长湖水库2730827308农业发电北江滃江跃进水库2730927309农业发电北江滃江桂竹水库2731027310农业发电北江滃江泉坑水库2731127311饮用农业发电北江滃江岩庄水库2731227312农业发电北江滃江上空水库2740027400综合北江九仙水翁源柑子山2750027500农业北江贵东水连平羊舌石2760027600农业北江陂头水连平分水坳2770027700饮用北江龙仙水翁源勒窝岭西2780027800综合北江周陂水新丰长塘2790027900综合北江涂屋水翁源翁源坳2800028000综合北江青塘水新丰分水坳顶右下2800228002综合北江青塘水新丰英德边界2801328013饮用工农业北江东洛水库2801528015饮用农业防洪发电北江罗坑水库2801828018饮用北江泉水水库2801928019饮用工农业北江苍村水库2803028030农业北江金水水库2803628036农业发电北江小坑水库2803728037农业发电北江黄岩坑河秀才山东水库2810028100综合北江横石水始兴黄茅嶂2820028200综合北江矾洞水曲江笠麻顶2830028300综合北江大镇水曲江十二度水山2840028400综合北江小北江佛冈县羊子崠2842028420综合北江遥田河新丰大南2850028500综合北江大陂水佛岗东天蜡烛2860028600综合北江白沙水佛岗东天蜡烛2870028700综合北江泣罗河新丰大塘山2880028800综合北江波罗坑英德市亚婆髻2890028900综合北江连江连州三姊妹2890228902综合北江连江连州市区2890428904综合北江连江阳山小江镇圩2890628906综合北江连江阳山县城2890828908综合北江连江英德市鱼咀2890928909综合北江连江英德市西牛圩2891028910综合北江连江上兰靛水库2891128911综合北江连江曹田坑水库2891228912综合北江连江沙坝水库2891328913综合北江连江天鹅水库2891428914综合北江连江茶坑水库2900029000综合北江潭源洞水连州市三姊妹2910029100综合北江长家水连州市菜地榜2920029200综合北江黄桥水连州市鹿子洞2930029300综合北江朝天桥水连州市岩坑山2940029400综合北江保安水连州市刀金塘2950029500综合北江长合水连州市天头岭2960029600综合北江东陂水连州市都庞岭2970029700综合北江冲口水连州市小坪河口2980029800综合北江大龙水连南大雾山2990029900综合北江三江水连南县超微山2990229902综合北江三江水连南县城南门桥3000030000综合北江太保水连山县王候山3010030100综合北江车田水连州市水竹塘3020030200综合北江同灌水连南县黄竹勒3020030200综合北江同灌水连南县寨岗3030030300综合北江称架水连南县石川顶上3040030400综合北江扶村洞水阳山县鸡公髻岭3050030500综合北江庙公坑阳山县红图山3060030600综合北江七拱水阳山石洋楼山3070030700综合北江沙河阳山县红图山3080030800综合北江鱼沙水阳山县石头磊3090030900综合北江青莲水阳山县猛坑石3100031000综合北江横梁桥水阳山岩坑石3110031100综合北江坑仔水阳山暗角山上3120031200综合北江岭背水阳山县岩坑山3130031300综合北江波罗河乳源天井山3140031400综合北江月坪水乳源天井山3150031500综合北江钟鼓水英德市水山上3160031600综合北江黄洞河乳源三磨莨下3170031700综合北江竹田河英德市龙潭角3180031800综合北江水边河英德市洛家塘3190031900综合北江青松水英德市双飞燕3200032000综合北江黎洞水英德市467高山3210032100综合北江高田水清新县大罗山3220032200综合北江潖江佛冈东天腊烛3220232202综合北江潖江佛冈县城湖滨3221032210综合北江黄花水佛冈县3222032220综合北江民安水佛冈县3230032300综合北江泣坑水佛冈县马将旗东3240032400综合北江四九河佛冈县红坪脑3250032500水源涵养工农业北江潖二河从化西坑岭3250232502水源涵养工农业北江潖二河从化茂墩水库大坝3250432504水源涵养工农业北江潖二河茂墩水库3260032600饮用北江滨江清新大雾山3260232602综合北江滨江清新县自来水厂吸水口下3261032610综合北江大岩水清新大雾山3270032700综合北江青龙寨水清新县白湾山3280032800综合北江黄洞水清新县大坪3290032900综合北江石坎河清新县石矶顶3300033000综合北江柄水清新县湴仔山3310033100综合北江坝子水清新县双飞燕3320033200综合北江秦皇河清新县百花窝3330033300综合北江大燕河清新江口圩3330233302综合北江大燕河清城区源潭圩3337033370农业防洪发电北江潭岭水库3340033400综合北江迎咀河花都大芒山3340233402综合北江迎咀河迎咀水库3350033500综合北江银盏河花都尖峰望3350233502综合北江银盏河银盏水库大坝3350433504综合北江银盏河银盏水库3360033600综合北江漫水河广宁江屯湴子山3360133601综合北江漫水河四会水迳水库大坝3360233602饮用农业发电北江漫水河水迳水库3369833700综合北江独水河三水大岭3370033700综合北江独水河龙王庙水库大坝3370133701综合北江独水河龙王庙水库3370233702农业发电北江大秦水库3370333703农业北江花斗水库3370433704发电北江龙须带水库3370533705综合北江空子水库3381033810综合北江绥江连山擒鸦岭3382033820综合北江绥江怀集县城3383033830综合北江绥江广宁怀集交界3383133831饮用北江绥江广宁古水梨溪3383233832综合北江绥江广宁竹浆板厂3383333833饮用北江绥江广宁石澜大胆石3383433834综合北江绥江广宁春水黄泥迳3383633836饮用北江绥江四会黄田3384033840综合北江绥江四会三棵榕3385033850饮用北江绥江四会五马岗3385233852饮用北江绥江黄泥塘水库3385433854饮用北江绥江毕陇水库3386033860综合北江高崀水广宁桃花尾3390033900综合北江小三江连山桐油坪3400034000综合北江上帅水连山横水顶3410034100综合北江太平水怀集石螺顶3420034200综合北江马宁水广西省界3420234202综合北江马宁水下竹水库3430034300综合北江大岗水怀集白鹤顶3440034400综合北江冷坑水连山上尾3440134401综合北江冷坑水怀集冷坑3440234402农业防洪发电北江冷坑水三坑水库3440434404农业防洪北江冷坑水湖琅水库3450034500综合北江闸岗水怀集大徐3450234502综合北江闸岗水怀集闸岗3460034600综合北江柑洞水怀集黎青顶3470034700综合北江风岗水连南湴洞3470234702综合北江风岗水怀集洽水镇3480034800综合北江茶岩水怀集桐油顶3490034900综合北江桃花水阳山心同顶3500035000综合北江诗洞水怀集天厌顶3500235002综合北江诗洞水怀集诗洞3501035010综合北江南架坑广宁南番3510035100综合北江古水清远凹坳顶3511035110综合北江惠爱河广宁云山林场与阳山交界3512035120综合北江正坑广宁新厂3520035200综合北江北市水广宁上鸟板3530035300综合北江螺岗水广宁潭布苏田村3540035400综合北江金场水德庆木格立集顶3540235402综合北江清水河广宁黄连山3550035500饮用北江南街水广宁林洞3550235502综合北江南街水广宁南街艮岗3551035510饮用北江西门坑广宁金山3560035600饮用北江新招水广宁五和十二山东3561035610综合北江小坑水广宁双芦坑3570035700综合北江扶罗河广宁石马顶3570235702综合北江蚌溪河广宁蚌溪3580035800饮用北江高崀水四会皆麻英3590035900综合北江龙江广宁十排山3590235902饮用北江龙江广宁四会交界3590435904饮用农业防洪发电北江龙江江谷水库3590535905饮用北江龙江大坑水库3600036000综合北江何礼河四会高崀3610036100工业北江甘竹溪顺德甘竹滩3613036130稀释混合北江大良河顺德江义3614036140饮用北江罗行河南海市金沙镇南沙3620036200饮用北江潭洲水道南海市南庄紫洞3620236202工农业北江潭洲水道顺德市北滘林头桥3640036400饮用北江平洲水道顺德市登洲3640236402工农业北江平洲水道南海市平洲五斗桥3645636456农业发电北江放牛洞水库3670036700工农业渔业北江洪奇沥顺德板沙尾3681036810饮用北江容桂水道顺德龙涌口3690036900综合北江顺德支流顺德勒流三介庙3691036910饮用北江顺德水道南海市南庄紫洞3692036920综合北江李家沙水道顺德伦教乌洲3695036950综合北江水口水道草场4670046700饮用渔业农业大隆洞水大隆洞水大隆洞水库大坝4670246702饮用渔业农业发电大隆洞水大隆洞水大隆洞水库4680046800工农业大隆洞水斗山河台山半天云1033010330饮用工业农业航运东江东江干流江西省界1034010340饮用工业农业航运东江东江北干流东莞石龙1034210342饮用工农业航运东江东江北干流增城新塘1034410344饮用工农业航运东江麻涌水道蒲基1041010410饮用东江东深供水渠桥头镇建塘水闸1041210412饮用东江东深供水渠雁田水库1041410414饮用东江东深供水渠深圳水库1050010500饮用工农业航运东江赤滘口河扶涌1050210502饮用工农业航运东江道滘水道道滘大桥1110011100农业东江水金河江西省界1120011200农业东江流田水龙川黄背坳1130011300农业东江沙洲水龙川野猪嶂1140011400农业东江罗浮水兴宁杨坑寨1150011500农业东江贝岭水江西省界1160011600农业东江定南水江西省界1170011700农业东江黄麻布水龙川金石嶂1180011800农业东江车田水龙川鸡恃嶂1190011900饮用农业东江浰江和平杨梅嶂1200012000饮用工农业东江和平水和平五指山1210012100农业东江贝墩河和平紫云嶂1220012200农业东江油竹坝河和平杨爷口1230012300农业东江彭寨水和平银炉嶂1240012400饮用农业东江小庙水龙川齐堂1250012500农业东江曾田水河源余屋1260012600饮用农业东江黄村河河源白雪嶂1270012700农业东江叶潭河龙川分水坳顶1280012800农业东江康禾河河源鸡田山1280212802发电东江康禾河散滩水库1290012900农业东江久社河河源上李树坑1291012910饮用东江两渡河上板桥1292012920农业东江埔前河桂山尖顶山1293012930饮用东江水坑河水坑1294012940农业东江小金水上坪茶活1294712947发电东江老园水库1294812948农业发电饮用东江新坑水库1294912949农业发电东江新村水库1295012950防洪发电农业东江枫树坝水库1295212952农业发电东江大坑水库1295412954农业发电东江七呩水库1295512955农业发电饮用东江白呩水库1295612956发电东江白溪水库1295712957农业发电饮用东江瓮潭水库1295812958农业发电东江霞沙洲水库1295912959农业发电东江上板桥水库1296012960饮用东江响水呩水库1296112961农业发电东江梅树下水库1296212962农业发电东江联合水库1296312963农业东江角洞水库1296412964农业发电东江鸡心石水库1296512965农业发电东江沙田水库1296612966农业发电东江招元水库1296712967农业发电东江伯公坳水库1296812968农业发电东江黄沙水库1296912969农业发电东江麻坡河黄山洞水库1297012970农业发电东江下宝溪水库1300013000饮用发电东江新丰江新丰县玉田点兵1300213002饮用发电东江新丰江新丰江水库1300413004农业发电东江新丰江赤竹径水库1300613006农业东江新丰江庙滩水库1310013100综合东江梅坑水新丰鸡社坳顶1320013200综合东江双良河新丰九妇女1330013300综合东江姜坑水新丰花岭1340013400综合东江层坑水新丰帽子1350013500工农业东江连平水连平黄牛石东1351013510饮用东江密溪河密溪尾1360013600农业东江崧头水连平冬桃嶂南1370013700农业东江大席水连平三株口1380013800农业东江船塘河龙川大影山1390013900农业东江大湖水和平和尚栋1400014000农业东江忠信河连平白叶嶂1410014100饮用农业东江高陂水和平青州三角山1420014200农业东江骆湖水河源曾田中呩凹1430014300农业东江灯塔河河源白石嶂1480014800农业饮用东江柏埔河紫金马天寨1490014900农业东江义容河紫金大山嶂1500015000农业东江丁村水紫金高矶山1510015100饮用农业东江秋香江紫金黎头寨1510215102饮用农业东江秋香江秋香江水库1520015200农业东江围坳水紫金黄葛坪嶂1530015300农业东江龙渡水惠阳麻竹坑1540015400农业东江青溪水紫金旱大东1550015500农业东江南山水惠东普公嶂1560015600农业东江上义水紫金牛角山北1570015700农业东江大岚河惠阳园子山1580015800农业东江公庄河博罗桂山糯米柏1590015900综合东江水东陂水博罗乳牯顶1590215902农业发电东江水东陂水水东陂水库1600016000饮用东江柏塘河博罗白石芽1610016100饮用东江石坝水博罗红花嶂1620016200饮用工农业东江西枝江紫金竹坳1620216202饮用工农业东江西枝江白盆珠水库大坝1620416204饮用农业防洪发电东江西枝江白盆珠水库1620616206农业发电东江西枝江花树下水库1620816208农业东江黄其洞黄坑水库1630016300综合东江杨梅水惠东小鸟凸1640016400饮用东江宝溪水惠东乌禽嶂1650016500饮用东江小沥河惠东笔架山1660016600饮用综合东江安墩水惠东乌禽嶂1670016700综合东江黄竹水惠东普公嶂1680016800综合东江楼下水惠东禾镰石1690016900综合东江上呩水惠东状元地1700017000饮用东江白花河惠东铁芦嶂1700217002农业东江白花河惠东白花镇1710017100综合东江上白水源头1710217102饮用东江梁化河惠阳平山嶂1710417104饮用东江梁化河惠阳梁化镇1711017110饮用农业东江观洞水库1720017200农业东江淡水河深圳梧桐山1720217202饮用东江淡水河惠阳边界1720417204饮用东江淡水河惠阳永湖镇1721017210饮用防洪东江淡水河清林径水库1731017310农业东江坪山河深圳梅沙尖1731217312饮用东江坪山河赤坳水库1740017400综合东江横岭水惠阳黄巢1750017500综合东江小金河博罗排东山1760017600综合东江稿树下水博罗高其凸1761017610农业发电东江稿树下水稿树下水库1790017900饮用综合东江潼湖水惠阳阳坑背1790217902饮用综合东江潼湖水黄沙水库大坝1790417904饮用综合东江潼湖水惠州潼湖军垦场1790617906饮用综合东江潼湖水黄沙水库1800018000饮用工农业东江沙河显岗水库大坝1800018000饮用工农业东江沙河博罗独山1800218002饮用农业防洪发电东江沙河显岗水库1810018100饮用东江响水河博罗带帽山1820018200农业东江里波水博罗罗浮山1831018310饮用农业林业东江增江新丰七星岭1832018320饮用工农业东江增江增城磨刀坑1832218322饮用东江增江增城小楼1832418324饮用工农业东江增江增城梁屋1832618326农业东江增江百花林水库1840018400饮用东江蓝田河龙门寒山顶1840218402饮用发电防洪农业东江蓝田河天堂山水库1850018500综合东江铁岗水龙门三角山1860018600综合东江白沙河龙门水尾尖1860218602农业防洪发电东江白沙河白沙河水库1870018700综合东江陈禾洞水龙门沙帽顶1880018800饮用东江永汉水龙门天堂顶1880218802饮用东江永汉水龙门永汉镇1880418804饮用东江永汉水七星墩水库1880618806综合东江永汉水梅州水库1890018900综合东江蒲油河龙门加照1900019000水源涵养东江派潭河增城佛坳1900219002水源涵养工农业东江派潭河增城派潭1910019100综合东江二龙河增城铜罗山1920019200水源涵养饮用东江西福河增城大鹧鸪1920119201饮用东江西福河增城西福桥1920219202饮用农业发电东江西福河联安水库1920419204饮用农业渔业东江西福河增塘水库1920619206农业东江西福河白洞水库1930019300饮用工农业东江金坑水广州蓝屋1930219302饮用农业发电东江金坑水金坑水库1940019400饮用东江雅瑶水广州石井1941019410工农业东江水声溪广州南蛇坳1941219412饮用东江水声溪水声水库1942019420饮用东江潭洞水大盘围1950019500综合东江南岗河源头1950219502饮用工农业东江南岗河鹅山1950419504工农业东江南岗河木襁水库1960019600饮用工农业航运东江东江南支流东莞石龙1960219602饮用工农业航运东江东莞水道东莞万江金泰1970019700饮用工农业东江寒溪水东莞大屏嶂1980019800饮用东江松木山水东莞马鞍山1980219802饮用东江松木山水松木山水库1990019900饮用工农业东江黄沙水东莞鸡塘窝2000020000饮用工农业航运东江倒运海水道东莞斗朗2010020100饮用工农业航运东江中堂水道大王洲头2011020110饮用工农业航运东江淡水河麻涌川2012020120饮用工农业东江东引运河桥头镇建塘水闸2013020130饮用工农业航运东江潢涌河中堂潢涌头2014020140饮用工农业东江洪屋窝水道起点2014220142饮用工农业航运东江洪屋窝水道洪梅镇梅沙对出河面2014720147饮用工农业东江勒竹排水库2014820148饮用工农业东江石古水库2014920149饮用工农业东江三坑水库2015020150饮用工农业东江黄牛埔水库2015120151饮用工农业东江水濂山水库2015220152饮用发电工农业东江契爷石水库2015320153饮用农业东江横岗水库2015420154饮用发电工农业东江茅輋水库2015520155饮用工农业东江五点梅水库2015620156饮用工农业东江虾公岩水库2015720157饮用发电工农业东江同沙水库2016020160工农业东江石鼓水库2016120161工农业东江思罗坑水库2016220162工农业东江官井头水库2016320163工农业东江老虎岩水库2016420164工农业东江长湖水库2016520165工农业东江金鸡咀水库2016620166工农业东江莲花山水库2016720167工农业东江佛岭水库2016820168工农业东江大鼓山水库2016920169工农业东江勒竹排水库2017020170饮用东江观澜河鸡公头2018020180饮用东江黄竹坑水库2018120181饮用东江岗头(金园)水库2018220182饮用东江白石塘水库2018320183饮用东江矿山水库2018420184饮用东江大山陂水库2018520185饮用东江红花岭水库2018620186饮用东江龙口水库2018720187饮用东江甘坑水库2018820188饮用东江铜锣径水库2018920189饮用东江黄龙湖水库2019020190饮用东江炳坑水库2019220192饮用东江茜坑水库2019420194饮用东江松子坑水库2019620196饮用东江三洲田水库4940049400饮用农业丰头河丰头河阳西鹅凰嶂4940149401饮用农业丰头河织篢河阳西瘌痢嶂4940249402饮用农业丰头河新湖水库4940349403饮用农业丰头河旱塘水库4940449404饮用农业丰头河樟木坑水库4940549405饮用农业丰头河麻地下水库4940649406饮用农业丰头河石碧口水库4940749407饮用农业丰头河罗垌水库4940849408饮用农业丰头河六围水库4940949409饮用农业丰头河新迳水库4941049410饮用农业丰头河莲塘河阳西万和田4983049830综合海朗河海朗河阳东大水口顶550550农业韩江铁场河回龙亚鸡寨560560农业发电韩江铁场河高陂水库561561农业发电韩江黄江水库600600农业饮用韩江琴江干流紫金七星崠610610农业韩江琴江干流五华县水寨611611农业韩江琴江干流五华县竹山尾612612农业韩江琴江干流五华兴宁边界614614农业饮用韩江梅江干流兴宁市水口620620工业农业航运景观韩江梅江干流程江入梅江口630630农业航运韩江梅江干流西阳镇640640农业航运韩江韩江干流三河镇642642农业航运韩江韩江干流银江口(北铺) 650650饮用韩江韩江干流丰顺县潮州市交界处660660综合韩江北溪韩江交界断面670670饮用韩江梅溪韩江支流韩江交界断面680680综合韩江北溪莲华镇下寨村682682综合韩江北溪义丰溪东里桥闸690690综合韩江南溪程洋岗仙美村700700综合韩江东溪隆都龙门关702702综合韩江东溪莲阳桥闸710710饮用韩江西溪蓬洞河出口712712综合韩江西溪外砂河外砂桥闸714714饮用韩江西溪新津河大衙716716综合韩江西溪新津河下埔桥闸720720饮用韩江西溪梅溪河大衙722722综合韩江西溪梅溪河梅溪桥闸730730综合韩江蓬洞河上华镇横陇村740740饮用韩江三饶镇西干渠饶平韩江林场800800农业韩江华阳水紫金伯公坳900900农业韩江水墩水紫金高岗山910910农业韩江龙窝水紫金龙交凤950950农业发电韩江秋溪河岗山水库10001000源头水韩江白泥坑水五华洋径11001100农业韩江周江水紫金烂泥坳11021102农业韩江周江水五华周江镇12001200源头水韩江平安水五华石山崠13001300农业韩江大都水五华学堂排14001400农业韩江蕉州河五华桐子羊14021402饮用农业发电韩江蕉州河桂田水库15001500农业发电韩江横陂水五华黄泥岗15021502农业发电韩江横陂水东方红水库16001600农业饮用韩江铁场河龙川亚鸡寨16021602农业饮用韩江五华河五华河口桥17001700农业饮用韩江桥头水龙川双河树18001800农业饮用韩江鹤市河龙川七目嶂19001900农业韩江潭下河五华石马顶19021902农业发电韩江潭下河益塘水库20002000农业韩江矮车河五华桃军塘21002100饮用农业韩江宁江干流兴宁方村坝21022102饮用农业韩江宁江干流望江桥闸21042104饮用农业韩江罗岗河兴宁方村坝21062106饮用农业防洪发电韩江宁江合水水库21072107饮用农业发电韩江宁江石壁水库21092109饮用农业发电韩江宁江和山岩水库22002200饮用韩江黄陂水兴宁白沙溪22022202饮用韩江黄陂水兴宁岗背22042204饮用农业发电韩江宁江温公水库23002300农业韩江石马河兴宁寨高围24002400农业韩江永和水兴宁五渡水25002500农业发电韩江古屋水梅县十二排26002600农业发电韩江荷泗水兴宁旱菜27002700农业发电韩江程江江西省界27022702农业发电韩江程江梅县槐岗27042704农业发电韩江程江富石水库27062706发电韩江程江梅西水库28002800农业韩江龙虎水兴宁箭竹顶29002900农业发电韩江南口水梅县火岭村30003000农业韩江周溪水梅县宫前31003100饮用农业发电韩江白宫水丰顺晴坑32003200农业发电韩江三乡水梅县圹子坑33003300饮用农业发电韩江石窟河福建省界33023302饮用农业发电韩江石窟河蕉城镇33043304饮用农业发电韩江石窟河蕉岭新铺镇33063306饮用农业发电韩江石窟河长潭水库34003400农业韩江差干河平远牛牯崠36003600农业韩江路亭水蕉岭金山笔37003700饮用农业韩江柚树河平远破屋37023702饮用农业韩江柚树河坝头37043704饮用农业韩江柚树河贤关37063706饮用农业韩江柚树河黄田水库38003800农业韩江东石水平远恍子坑39003900农业韩江大拓水平远大段40004000农业发电韩江隆文水蕉岭冬瓜山41004100农业发电韩江高思水蕉岭屏风嶂42004200农业发电韩江松源水福建省界42024202饮用韩江松源水多宝水库44004400农业发电韩江汀江福建省界45004500农业韩江小靖河大埔上坪斜46004600农业韩江漳溪福建省界47004700农业发电饮用韩江梅潭河福建省界47024702农业发电韩江梅潭河大埔湖寮镇47044704发电农业韩江梅潭河三河坝水库49004900农业韩江银江大埔阴山嶂50005000农业韩江合溪水大埔狮子石嶂51005100农业发电韩江沙田水丰顺枪子东52005200农业发电韩江大胜溪饶平三县顶53005300农业发电韩江丰良河兴宁铁牛古54005400农业发电韩江白溪丰顺坑尾55005500农业发电韩江龙溪丰顺铜鼓嶂56005600农业发电韩江南溪背水丰顺鸡笼嶂57005700农业发电韩江蔗溪丰顺寒湖尾57105710农业发电韩江溪峰水兰坊57125712农业发电韩江溪峰水蕉城镇57205720饮用韩江中行河江西省平远县交界处57315731饮用农业发电韩江福岭水库57345734饮用农业发电韩江横水水库57375737饮用农业发电韩江大双河岩前水库58005800综合韩江凤凰溪丰顺三县顶。
广东省水功能区划广东省水利厅二〇〇七年六月前言水功能区是指根据流域或区域的水资源条件和水环境状况,结合水资源开发利用现状和经济社会发展对水量、水质的需求及水体的自然净化能力,在江河湖库划定的具有相应使用功能,并且主导功能和水质管理目标明确的水域。
经批准的水功能区划是核定水域的纳污能力,提出限制排污总量意见,将水质管理目标落实到具体水域和入河污染源的主要依据;是加强水资源调度,维持江河合理流量和湖泊、水库的合理水位,维护水体的自然净化能力,强化陆域污染源管理,优化产业布局,科学确定和实施污染物排放总量控制的主要依据;是明晰水权的重要依据之一。
水功能区划是水资源规划的重要基础,也是我省水资源管理及水资源保护的一项重要的基础工作。
根据《中华人民共和国水法》第三十二、三十三和三十四条规定,按照2002年水利部和国家计委联合发出的《关于开展全国水资源综合规划编制工作的通知》(水规计[2002]83号),以及广东省计委和省水利厅联合发出的《关于开展广东省水资源综合规划编制工作的通知》(粤计农[2002]903号),要求各省对已批准的水功能区划进行复核和调整,并在水资源综合规划技术大纲和技术细则中明确了水功能区复核和调整的原则和方法。
据此,省水利厅委托省水文局,重新复核广东省水功能区划的成果。
《广东省水功能区划》是由省水文局在《广东省水资源保护规划》有关水功能区划成果基础上,通过野外勘查,广泛搜集基本资料、充分利用全省水资源开发利用和保护工作多年成果,按照全国统一的复核程序和方法,经详细论证编制而成,前后历时四年。
区划范围为地表水部分。
由国家确定的重要江河湖泊水功能一级区划分别是由珠江水利委员会、长江水利委员会会同我省划定的;跨省河流省界河段水功能区划是经流域机构协调,同周边相邻省水行政主管部门商定后划分的。
《广东省水功能区划》复核过程中,得到了珠江水利委员会的指导,省水利厅组织多次讨论会,邀请有关专家对《广东省水功能区划》进行多次研究讨论,并将修改后的《广东省水功能区划》向省环保、省农业厅、省海洋与渔业局及各地市水利(水务)局等有关部门征求意见。
广州市地下水保护和修复行动方案一、总体思路坚持保护优先的总体方针,加大对地下水污染状况调查和监管力度,边调查边治理,综合防治,着力解决地下水污染突出问题,切实保障地下水这一后备水源的环境安全。
健全法规标准,完善政策措施,逐步建成以防为主的地下水污染防治体系,保障地下水资源可持续利用,推动经济社会可持续发展。
二、总体目标通过实施地下水保护和修复行动方案,到2020年底,确保地下水环境监管能力全面提升,污染风险得到有效管理和防范,污染趋势基本遏制。
三、主要任务(一)制定完善地下水保护政策和规划1、制定完善地下水法律法规。
依据国家和广东省的相关法律法规,结合本市实际,制定广州市地下水管理条例。
依据划定的广州市禁采区和限采区,制定广州市禁采区、限采区管理办法。
研究相关配套措施,制定实施办法。
2020年底前完成相关任务。
2、编制地下水相关规划。
依据《广东省地下水功能区划》和《广东省地下水保护与利用规划》,结合本市实际,2020年底前编制实施广州市地下水保护与利用规划。
3、抓紧建立地下水取用水总量控制和水位控制制度。
按照本市用水总量控制指标和有关规划,明确各区地下水开发利用总量控制指标和水位控制目标,制定年度地下水开采计划。
2020年底前,编制广州市地下水取水总量与水位控制方案。
4、严控地下水超采。
在地面沉降、地裂缝、岩溶塌陷等地质灾害易发区开发利用地下水,应进行地质灾害危险性评估。
严格控制开采深层承压水,地热水、矿泉水开发应严格实行取水额许可和采矿许可。
编制地面沉降区、海水入侵区等区域地下水压采方案,对全市地下水利用现状开展评估。
2020年底前关闭未经批准的生产或商用水井。
2020年底前,编制实施广州市地下水取水许可管理方案。
2020年底前,编制实施广州市地面沉降区综合防治方案。
5、加大地下水水资源费征收力度。
按照国家发展改革委、财政部、水利部《关于水资源费征收标准有关问题的通知》(发改价格〔2013〕29号),完成水资源费征收标准调整工作。
广东省地下水保护与利用规划广东省水利厅二〇一一年一月目录一、地下水资源及其开发利用状况 (4)(一)地下水资源状况 (4)(二)地下水资源开发利用现状 (6)(三)地下水开采诱发的生态环境问题 (13)(四)地下水超采状况 (17)二、指导思想、基本原则和主要目标 (18)(一)指导思想 (18)(二)基本原则 (18)(三)主要目标 (20)三、地下水利用总量控制方案 (21)(一)规划地下水开采控制量 (21)(二)未超采区开采方案 (22)(二)超采区压采方案 (30)四、地下水开发利用与保护修复措施 (32)(一)地下水开发利用工程 (32)(二)地下水保护工程 (34)(三)地下水治理与修复工程 (35)(四)地下水监测体系建设 (36)五、重大工程项目 (37)(一)地下水监控工程 (37)(二)地下水源替代工程 (40)(三)地下水修复工程 (41)六、规划实施保障措施 (42)(一)加强地下水保护与利用规划实施管理,确保规划目标任务的实现 (42)(二)加强地下水资源法制建设,严格执法检查和监督 (42)(三)加强地下水资源开采管理和超采区的压采管理 (43)(四)强化执行地下水功能区管理制度 (43)(五)加强基础研究和宣传教育,营造良好的保护水资源氛围 (44)(六)构建保障规划实施的投入机制 (44)为贯彻落实科学发展观,加强地下水资源利用、保护与管理工作,根据《中华人民共和国水法》、《广东省水资源管理条例》等相关法律法规文件,按照水利部《关于做好全国地下水利用与保护规划编制工作的通知》(办规计函 [2007]409 号)要求,编制《广东省地下水保护与利用规划》(以下简称《规划》)。
《规划》以水利部颁发的《全国地下水利用与保护规划技术大纲》为依据,按照地下水保护优先原则,在广东省水资源综合规划成果和省人民政府2009 年批复同意实施的《广东省地下水功能区划》基础上,以地下水功能区为单元,评价地下水开发利用现状,制定地下水保护与利用方案,提出地下水治理、保护与管理措施。
广东省水资源管理条例【法规类别】水资源【发布部门】广东省人大(含常委会)【发布日期】2002.12.06【实施日期】2003.03.01【时效性】失效【效力级别】省级地方性法规【失效依据】广东省实施《中华人民共和国水法》办法(2014修订)广东省水资源管理条例(2002年12月6日广东省第九届人民代表大会常务委员会第三十八次会议通过)第一章总则第一条为合理开发、利用、节约和保护水资源,加强水资源统一管理,实现水资源的可持续利用,根据《中华人民共和国水法》及有关法律、法规,结合本省实际,制定本条例。
第二条本省行政区域内水资源的开发、利用、节约、保护和管理,适用本条例。
本条例所称水资源,是指地表水、地下水(包括地热水、矿泉水)。
水资源属国家所有,国家规定对水资源实行取水许可制度和有偿使用制度。
第三条各级人民政府应当加强水资源管理,增加和保护植被,涵养水源,防治水土流失和水污染,改善生态环境。
第四条水资源实行行政区域管理与流域管理相结合的管理体制。
省人民政府水行政主管部门负责本省水资源的统一管理及本条例的组织实施。
市、县人民政府水行政主管部门按照规定的权限负责本行政区域内水资源的统一管理。
本省设立的流域管理机构,在所管辖的范围内行使由法律、法规和省人民政府水行政主管部门授予的水资源管理和监督职责。
县级以上人民政府环境保护、交通、建设、国土资源、经济贸易、农业、渔业、林业等部门按照职责分工,负责本行政区域内水资源开发、利用、节约和保护的有关工作。
第五条开发、利用、节约和保护水资源应当全面规划,统筹兼顾,综合利用,讲求效益,发挥水资源的多种功能。
第六条实行计划用水、节约用水。
第七条鼓励、支持开发、利用、节约和保护水资源的科学研究。
第八条在水资源开发、利用、节约、保护和管理工作中成绩显著的单位和个人,由县级以上人民政府或者有关主管部门给予表彰和奖励。
第二章开发利用第九条水资源综合规划,由县级以上人民政府水行政主管部门组织编制,报本级人民政府批准,并报上一级人民政府水行政主管部门备案。
广东省水利厅关于印发水工程建设规划同意书制度实施细则的通知文章属性•【制定机关】广东省水利厅•【公布日期】2023.11.28•【字号】粤水规范字〔2023〕3号•【施行日期】2024.01.01•【效力等级】地方规范性文件•【时效性】现行有效•【主题分类】水资源正文广东省水利厅关于印发水工程建设规划同意书制度实施细则的通知各地级以上市水利(水务)局,厅直属(直管)各单位:为加强对水工程建设的监督管理,保障水工程建设符合流域综合规划和防洪规划的要求,我厅制定了《广东省水利厅水工程建设规划同意书制度实施细则》,现予印发,请遵照执行。
广东省水利厅2023年11月28日广东省水利厅水工程建设规划同意书制度实施细则目录第一章总则第二章审查权限及范围第三章申请、受理及审查程序第四章监督管理第五章附则第一章总则第一条为加强对水工程建设的监督管理,保障水工程建设符合流域综合规划和防洪规划的要求,根据《中华人民共和国水法》《中华人民共和国防洪法》《中华人民共和国行政许可法》《水工程建设规划同意书制度管理办法(试行)》等有关法律法规和规章,结合我省实际,制定本实施细则。
第二条本细则适用于在我省行政区域内的江河、湖泊上新建、扩建以及改建并调整原有功能的水工程,《水利部珠江水利委员会水工程建设规划同意书制度管理办法实施细则(试行)》明确由水利部珠江水利委员会负责办理水工程建设规划同意书的除外。
本细则所称水工程,是指水库、拦河闸坝、引(调、提)水工程、堤防、水电站(含航运水电枢纽工程)等在江河、湖泊上开发、利用、控制、调配和保护水资源的各类工程。
第三条水工程未取得水工程建设规划同意书的,建设单位不得开工建设。
第二章审查权限及范围第四条水工程建设规划同意书制度的实施和监督实行分级管理。
下列范围内的水工程,由省水利厅负责水工程建设规划同意书的审查签署和监督管理:(一)鉴江干流及河口:从信宜文昌水陂起,经高州、化州、吴川,至鉴江供水枢纽闸坝的干流河道;鉴江供水枢纽闸坝下至出海口河道。
广东省地下水资源开发利用规划概况(江火荣) 时间:2001-08-07 14:39:04 来源:《水问题论坛》2001-2放大缩小打印广东省地下水资源开采程度还不高,1997年现状年总供水量441亿m3中地下水供水量21.64亿m3,仅占5%。
全省大多数地区不开采地下水,仅在平原区中的湛江市和广州市的广花地区较多开采地下水。
开采地下水较多的一些地区,由于过量开采,引发了一系列环境地质问题。
广东省虽然地表径流比较丰富,但时空分布不均匀,地下水资源作为地表水资源的补充,应合理开发利用。
1 地下水开发利用及超采状况1.1 地下水开发利用现状广东省1997年地下水开采量为21.64亿m3,其中中、深层水为4.65亿m3地下水开采量占可开采量的5%。
地个水开采量中农田灌溉、林牧渔业、城镇工业、农村工业、城镇生活、农村生活用水总量分别为3.03亿m3、0.66亿m3、3.15亿m3、2.08亿m3、2.21亿m3、10.51亿m3。
现状年地下水开采量详见表1、表2[1]。
全省地下水开采集中在湛江市的雷州半岛地区、广州市的广花地区,属平原地区。
山丘区开采很少,只有韶关的韶关市、马坝地区及清远的英德等地开采较多。
全省共有地下水开采集中的水源地23个,其中湛江市8个,广花盆地15个。
这些水源地及上述山丘区的韶关、马坝、英德等地有较多用水大户,这些自来水厂、矿山及大的工厂开采地下水的机井往往是包括中深层的,日出水量一般有几千吨,甚至过万吨,如湛江十大自来水厂,日取地下水量约20万m3,机井80眼,湛江发电厂,目前日取水量约1万m3,湛江化工厂,日取水量约1.6万m3。
韶关钢铁厂历史上最高日取水量15304m3,红工矿务局日取地下水量13357m3,英德玻纤厂日取水8297m3等等。
广花地区则有较多的地下水开采集中的水源地,虽没有上述那么大的用水大户,但水源地都是以镇为核心,连同人口集中的郊区农村,开采量也是很大的,如江村水源地日开采量43749.8吨,新华水源地15150吨,肖岗水源地11583.3吨等。
广东省水资源管理条例全文水资源管理条例是为了更好的管理、配置水资源而设定的。
下面是广东省水资源管理条例全文,欢迎阅读。
广东省水资源管理条例第一章总则第一条为合理开发、利用、节约和保护水资源,加强水资源统一管理,实现水资源的可持续利用,根据《中华人民共和国水法》及有关法律、法规,结合本省实际,制定本条例。
第二条本省行政区域内水资源的开发、利用、节约、保护和管理,适用本条例。
本条例所称水资源,是指地表水、地下水(包括地热水、矿泉水)。
水资源属国家所有,国家规定对水资源实行取水许可制度和有偿使用制度。
第三条各级人民政府应当加强水资源管理,增加和保护植被,涵养水源,防治水土流失和水污染,改善生态环境。
第四条水资源实行行政区域管理与流域管理相结合的管理体制。
省人民政府水行政主管部门负责本省水资源的统一管理及本条例的组织实施。
市、县人民政府水行政主管部门按照规定的权限负责本行政区域内水资源的统一管理。
本省设立的流域管理机构,在所管辖的范围内行使由法律、法规和省人民政府水行政主管部门授予的水资源管理和监督职责。
县级以上人民政府环境保护、交通、建设、国土资源、经济贸易、农业、渔业、林业等部门按照职责分工,负责本行政区域内水资源开发、利用、节约和保护的有关工作。
第五条开发、利用、节约和保护水资源应当全面规划,统筹兼顾,综合利用,讲求效益,发挥水资源的多种功能。
第六条实行计划用水、节约用水。
第七条鼓励、支持开发、利用、节约和保护水资源的科学研究。
第八条在水资源开发、利用、节约、保护和管理工作中成绩显著的单位和个人,由县级以上人民政府或者有关主管部门给予表彰和奖励。
第二章开发利用第九条水资源综合规划,由县级以上人民政府水行政主管部门组织编制,报本级人民政府批准,并报上一级人民政府水行政主管部门备案。
防洪、治涝、灌溉、航运、供水、水力发电、渔业等专业规划,由县级以上人民政府水行政主管部门组织编制,或者其他有关部门会同同级人民政府水行政主管部门组织编制,报本级人民政府批准。
广东省人民政府关于广东省水土保持规划(2016-2030年)的批复正文:----------------------------------------------------------------------------------------------------------------------------------------------------广东省人民政府关于广东省水土保持规划(2016-2030年)的批复粤府函〔2017〕8号各地级以上市人民政府,省发展改革委、财政厅、国土资源厅、环境保护厅、水利厅、农业厅、林业厅:《广东省水利厅关于报请审定〈广东省水土保持规划(2016-2030年)〉的请示》(粤水水保〔2016〕110号)收悉。
现批复如下:一、原则同意《广东省水土保持规划(2016-2030年)》(以下简称《规划》),请认真组织实施。
二、《规划》实施要深入贯彻党的十八大和十八届二中、三中、四中、五中、六中全会精神,认真贯彻党中央、国务院关于生态文明建设的决策部署,牢固树立尊重自然、顺应自然、保护自然的理念,坚持预防为主、保护优先、因地制宜、综合防治、注重实效的原则,充分发挥水土保持的生态、经济和社会效益,为保护和改善生态环境、推动生态文明建设、促进我省经济社会持续健康发展提供重要支撑。
三、通过《规划》的实施,到2020年初步实现全面预防保护,全省新增水土流失治理面积5000平方公里,年均减少土壤流失量900万吨;到2030年,全面建立与我省经济社会发展相适应的水土保持综合防治体系,全省新增水土流失治理面积1.28万平方公里,年均减少土壤流失量2000万吨。
四、要以全省水土保持区划为依据,全面实施预防保护措施,加大江河源头区和重要水源地预防保护力度;以小流域为单元加强水土流失重点防治区和其他水土流失严重区的综合治理,对崩岗等侵蚀沟道和水土流失严重的坡地进行重点整治。
五、要强化水土保持监督管理,加大水土保持监测体系的建设与运行维护,推进信息化建设,提升科技水平,不断提高水土流失防治效果。
广东省地下水功能区划广东省水利厅二○○九年八月前言为贯彻落实科学发展观,加强广东省地下水资源管理,合理开发、有效保护地下水资源,保障地下水供水安全、生态与环境安全,根据《中华人民共和国水法》有关规定,按照水利部《关于开展全国地下水功能区划定工作的通知》(水资源[2005]386号)部署,经商广东省国土资源厅,广东省水利厅委托广东省水文局和广东省地质环境监测总站共同编制了广东省地下水功能区划。
依据水利部《全国地下水功能区划分技术大纲》要求,广东省地下水功能区划主要定位为浅层地下水,但考虑到湛江市主要以开采深层地下水为主,因此结合《广东省地下水保护与开发利用规划》,增划了湛江市深层地下水功能区。
广东省地下水功能区划以水利部《全国地下水功能区划分技术大纲》为依据,以水文地质单元为基础,结合区域地下水主导功能,划分地下水功能区,制定各功能区的开发利用和保护目标。
地下水功能区划分为一级区和二级区。
其中,一级功能区划分为开发区、保护区、保留区三类,主要协调经济社会发展用水和生态与环境保护的关系,体现国家对地下水资源合理开发利用和保护的总体部署;在一级功能区的框架内,根据地下水的主导功能,划分为集中式供水水源区、分散式开发利用区、生态脆弱区、地质灾害易发区、地下水水源涵养区、不宜开采区、储备区和应急水源区共8类地下水二级功能区。
地下水二级功能区主要协调地区之间、用水部门之间和不同地下水功能之间的关系。
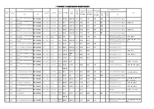
广东省地下水功能区划成果共划分236个地下水功能区。
其中浅层地下水功能区228个,包括62个分散式开发利用区、1个生态脆弱区、31个地质灾害易发区、90个地下水水源涵养区、20个不宜开采区、13个储备区和11个应急水源区;深层地下水功能区8个,包括5个集中式供水水源区,1个分散式开发利用区及2个地下水水源涵养区。
针对每个功能区,明确了相应的水量、水位和水质保护目标。
2009年5月18日,广东省水利厅以《关于报请批准广东省地下水功能区划的请示》(粤水资源〔2009〕9号),将业经组织专家评审论证并征求全省各地级以上市人民政府以及省国土资源厅、建设厅、农业厅、环保局、地质局等有关部门意见后编制的《广东省地下水功能区划》上报省政府。