函数的极限及函数的连续性典型例题
- 格式:docx
- 大小:248.82 KB
- 文档页数:4
使用极限的性质求解函数的连续性问题在数学中,函数的连续性问题一直是一个重要的研究领域。
为了解决这些问题,数学家们经常运用极限的性质进行推导和证明。
本文将通过几个例子来探讨如何使用极限的性质来求解函数的连续性问题。
一、函数极限的定义在讨论函数的连续性之前,我们首先需要了解函数极限的定义。
对于一个实数函数$f(x)$,当$x$趋近于某个实数$a$时,如果存在实数$L$,使得对于任意给定的正数$\varepsilon$,都存在正数$\delta$,使得当$0<|x-a|<\delta$时,有$|f(x)-L|<\varepsilon$成立,则我们称函数$f(x)$在$x=a$处的极限为$L$,记作$\lim_{x\to a} f(x) = L$。
二、极限运算法则在研究函数连续性问题时,经常需要运用极限运算法则来简化计算。
这些法则包括加减乘除、复合函数、函数比较等。
下面通过几个例子来说明如何使用这些极限运算法则。
例1:求解函数$f(x) = \frac{x^2-1}{x-1}$在$x=1$处的极限。
我们可以通过因式分解将$f(x)$分解为$f(x) = \frac{(x-1)(x+1)}{x-1}$。
注意到当$x\neq 1$时,分母和分子都不为零,因此可以约去分子和分母的公因式$(x-1)$,得到$f(x) = x+1$。
显然,当$x$趋近于1时,$f(x)$趋近于2。
因此,$\lim_{x\to 1} f(x) = 2$。
三、函数连续性的定义在研究函数连续性问题时,我们需要了解函数连续性的定义。
对于一个函数$f(x)$,如果对于任意给定的$x=a$,函数在$x=a$处的极限存在且与函数在$x=a$处的取值相等,则称函数$f(x)$在$x=a$处连续。
四、连续函数的性质连续函数具有一些重要的性质,这些性质可以帮助我们判断函数是否连续。
1. 有界性:连续函数在一个闭区间上一定有界。
2. 介值性:若函数$f(x)$在闭区间$[a,b]$上连续,且$f(a) \neq f(b)$,则对于介于$f(a)$和$f(b)$之间的任意实数$L$,存在一个实数$c$,使得$f(c)=L$。
函数、极限与连续测试卷带答案第一篇:函数、极限与连续测试卷带答案上海民航学院函数、极限与连续测试卷总分100分命题人:叶茂莹一、填空题(每空2分,共20分)1、函数y=3-2x|-4的定义域是;解:|3-2x|-4≥0,3-2x≥4,或3-2x≤-4 ∴-2x≥1,或-2x≤-717∴x≤-,或x≥ 2217∴x∈(-∞,-]⋃[,+∞)222、把复合函数y=earctan(1+x)分解成简单的函数________________________;解:y=eu,u=arctanv,v=1+x23、函数y=arcsin2x的反函数是_____________________;1⎡ππ⎤解:y=sinx,x∈⎢-,⎥ 2⎣22⎦⎛1+x⎫4、lim ⎪; x→∞⎝x⎭2x2⎛1+x⎫解:lim ⎪x→∞⎝x⎭2x⎡⎛1⎫x⎤=lim⎢1+⎪⎥=e2 x→∞⎝x⎭⎦⎢⎥⎣2(2x-1)15(3x+1)30=;5、limx→∞(3x-2)45(2x-1)15(3x+1)30215⨯330⎛2⎫==⎪解:lim4545x→∞(3x-2)3⎝3⎭x2-3x+26、lim2;x→2x+4x-12(x-1)(x-2)=lim(x-1)=1x2-3x+2lim解:lim2 x→2x+6x→2x+4x-12x→2x+6x-28157、x→1=;2解:lim=x→1x→x-12x→12=x→1 =x→13x-1==34x+2的连续区间为(x+1)(x-4)解:x+2≥0,且(x+1)(x-4)≠08、函数f(x)=∴x≥-2,x≠-1,x≠4,∴x∈[-2,-1)⋃(-1,4)⋃(4,+∞)ax2+bx-19、已知a,b为常数,lim=2,则a=,b=.x→∞2x+1ax2+bx-1解:因为x的最高次为2,lim=2 x→∞2x+1所以a=0,b=2,即b=42x≠0在点x=0处连续,则a=x=0x1-⎤⎡=lim⎢(1-x)x⎥x→0⎣⎦-22⎧x⎪10、已知f(x)=⎨(1-x)⎪a⎩解:limf(x)=lim(1-x)x→0x→0=e-2因为f(x)在点x=0处连续,f(0)=a=limf(x)=e-2,所以a=e-2。
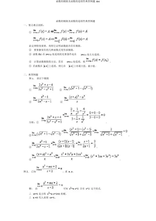
函数的极限及函数的连续性典型例题一、要点难点剖析:①此定理特别重要,利用它证明函数能否存在极限。
② 要掌握常有的几种函数式变形求极限。
③函数 f(x) 在 x=x 0处连续的充要条件是在x=x 0处左右连续。
④ 计算函数极限的方法,若在x=x 0处连续,则。
⑤若函数在 [a,b] 上连续,则它在[a,b] 上有最大值,最小值。
二、典型例题例 1.求以下极限①②③④分析:①。
②。
③。
④。
例 2.已知,求m,n。
解:由可知x2+mx+2含有x+2这个因式,∴x=-2 是方程 x2+mx+2=0 的根,∴m=3 代入求得 n=-1。
例 3.议论函数的连续性。
分析:函数的定义域为(-∞,+ ∞),由初等函数的连续性知,在非分界点处函数是连续的,又,∴,∴ f(x) 在 x=1 处连续。
由,进而 f(x) 在点 x=-1 处不连续。
∴f(x) 在 (-∞,-1),(-1,+ ∞)上连续, x=-1 为函数的不连续点。
例 4.已知函数, (a,b 为常数 )。
试议论 a,b 为什么值时, f(x) 在 x=0 处连续。
分析:∵且,∴,∴a=1, b=0。
例 5.求以下函数极限①②分析:①。
②。
例 6.设,问常数k 为什么值时,有存在?分析:∵,。
要使存在,只要,∴ 2k=1 ,故时,存在。
例 7.求函数在x=-1处左右极限,并说明在x=-1 处能否有极限?分析:由,,∵,∴f(x) 在 x=-1 处极限不存在。
三、训练题:1.已知,则2.的值是_______。
3. 已知,则=______。
4.已知,2a+b=0,求a与b的值。
5.已知,求a的值。
参照答案: 1. 3 2. 3. 4. a=2, b=-4 5. a=0。
极限与连续练习题及解析在数学课上,我们经常会遇到一些有关于极限与连续的练习题。
这些题目不仅能够帮助我们巩固对极限与连续的理解,还能提高我们解决问题的能力。
在本文中,我将为大家分享一些关于极限与连续的练习题及解析。
题目一:计算极限求解以下极限:1. $$\lim_{x\to 2}\frac{x^2-4}{x-2}$$解析:将被除数进行因式分解得:$$\lim_{x\to 2}\frac{(x+2) \cdot (x-2)}{x-2}$$最后得到:$$\lim_{x\to 2}(x+2)$$代入极限的定义,得到结果为:$$4$$题目二:证明函数连续证明下列函数在指定区间上连续:1. 函数$f(x)=\sqrt{x}$在区间$[0, +\infty)$上连续。
首先,我们需要证明$f(x)=\sqrt{x}$在$[0, +\infty)$上存在。
由于$x \geq 0$,所以$\sqrt{x}$是有定义的。
接下来,我们需要证明对于任意给定的$\varepsilon > 0$,存在一个$\delta > 0$,使得当$0 < |x-a| <\delta$时,$|\sqrt{x}-\sqrt{a}|<\varepsilon$。
根据不等式$|\sqrt{x}-\sqrt{a}|<|\sqrt{x}+\sqrt{a}|$,可以得到$$|\sqrt{x}-\sqrt{a}|<|\sqrt{x}-\sqrt{a}|\cdot\frac{|\sqrt{x}+\sqrt{a}|}{|\sqrt{x}-\sqrt{a}|}$$进一步化简得:$$|\sqrt{x}-\sqrt{a}|<\frac{|\sqrt{x}^2-\sqrt{a}^2|}{|\sqrt{x}-\sqrt{a}|}$$继续化简得:$$|\sqrt{x}-\sqrt{a}|<\frac{|x-a|}{|\sqrt{x}+\sqrt{a}|}$$由于$\sqrt{x}+\sqrt{a}$在$x$趋于$a$时不等于0,所以存在一个正数$M$,使得$|\sqrt{x}-\sqrt{a}|<M|x-a|$。
高中数学函数的极限与连续练习题及参考答案2023题目一:函数极限1. 计算以下极限:a) lim(x→2) (x^2 + 3x - 4)b) lim(h→0) [(4+h)^2 - 16]/hc) lim(x→∞) [(x+1)/(x-1)]^2d) lim(x→0) (1/x - 1)/(1 - sqrt(1 + x))解答:a) 将x代入函数,得到:lim(x→2) (2^2 + 3*2 - 4) = 8b) 将h代入函数,得到:lim(h→0) [(4+0)^2 - 16]/0 = 0c) 当x趋向于正无穷大时,[(x+1)/(x-1)]^2 = 1d) 将x代入函数,得到:lim(x→0) (1/0 - 1)/(1 - sqrt(1)) = undefined题目二:连续函数2. 判断以下函数在给定区间是否连续:a) f(x) = x^2 - 5x + 6, 在区间[1, 5]上b) g(x) = √(x + 2), 在区间[-2, 3]上c) h(x) = 1/(x-2), 在区间(-∞, 2)上解答:a) 函数f(x)是一个二次函数,对于任意实数x,f(x)都是连续的。
因此,f(x)在区间[1, 5]上连续。
b) 函数g(x)是一个开根号函数,对于非负实数x,g(x)都是连续的。
在区间[-2, 3]上,g(x)的定义域为[-2, ∞),因此在该区间上连续。
c) 函数h(x)在x=2处的定义域为无穷,因此在该点不连续。
在区间(-∞, 2)上除x=2之外的点,h(x)为一个连续函数。
题目三:函数极限的性质3. 判断以下命题的真假,并简要说明理由:a) 若lim(x→a) f(x) = L,且L≠0,则lim(x→a) [f(x)]^2 = L^2。
b) 若lim(x→a) f(x) = L,且f(x) > 0,那么lim(x→a) 1/f(x) = 1/L。
c) 若lim(x→a) f(x) = L,且lim(x→a) g(x) = M,则lim(x→a) [f(x) +g(x)] = L + M。
第1章.函数.极限和连续(约20%)1.函数(1).理解函数的概念,会求函数的定义域.表达式及函数值,会作出1些简单的分段函数图像。
定义域的求法原则(1)分母不为零(2)(3)(4)(5)同时含有上述4项时,要求使各部分都成立的交集例1. 求的定义域:(1)(2)(3)【提升】例2. 当是函数的定义域,求的定义域。
例3.当是函数的定义域,求的定义域。
表达式.函数值例4.下列各对函数中,两个函数相等的是———————————( ) A.与B.与C.与D.与例5.(1)设,则=______________(2)设,则=______________奇偶性例1.讨论函数的奇偶性。
(1)(2)例2.设是定义在上的任意函数,试证(1)是偶函数。
(2)是奇函数。
【综合】.设函数的定义域是全体实数,则函数是———( ) A.单调减函数 B.偶函数C.有界函数 D.周期函数求反函数例1.(1)(2)3角函数3角函数有正弦函数.余弦函数.正切函数.余切函数.正割函数和余割函数。
其中正弦.余弦.正切和余切函数的图形见图1-4。
2.极限(1).理解极限的概念(只要求极限的描述性定义),能依据极限概念描述函数的变化趋势。
理解函数在1点处极限存在的充分必要款件,会求函数在1点处的左极限与右极限。
性质3(数列极限几个常用的结论):1.()。
2.().例.计算极限(1)(2)(3)(4) (5) (6)(7) (8) (9)(3).理解无穷小量.无穷大量的概念,掌握无穷小量的性质,无穷小量与无穷大量的关系。
会比较无穷小量的阶(高阶.低阶.同阶和等价)。
会运用等价无穷小量替换求极限。
无穷小量的阶的比较(以下讨论的和都是自变量在同1变化过程中的无穷小,且,而也是在这个变化过程中的极限):(1)若,则称是比高阶的无穷小量,记作(时),也称是比低阶的无穷小量。
(2)若(),则称与为同阶无穷小量。
(3)若,则称与是等价无穷小量,记作或.(4).理解极限存在的两个收敛准则(夹逼准则与单调有界准则),掌握两个重要极限:,,并能用这两个重要极限求函数的极限。
当涉及函数极限时,以下是一些例题供参考:1.求函数 f(x) = (2x^2 - 5x + 3) / (x - 1) 在 x = 1 处的极限。
解答:可以通过直接代入计算,或者将分子因式分解来简化表达式。
将函数分解为f(x) = (x - 1)(2x - 3) / (x - 1),可以约简为 f(x) = 2x - 3。
当 x 接近于 1时,f(x) 接近于 2(1) - 3 = -1。
所以,f(x) 在 x = 1 处的极限为 -1。
2.求函数 g(x) = sin(x) / x 在 x 趋近于 0 时的极限。
解答:这是一个经典的极限例题。
直接代入 x = 0 会导致分母为 0 的情况,无法计算。
我们可以使用泰勒级数展开来解决这个问题。
根据泰勒级数展开,sin(x) 可以近似表示为 x - (x^3 / 3!) + (x^5 / 5!) - ...。
将它代入 g(x) = sin(x) / x,可以得到 g(x) = 1 - (x^2 / 3!) + (x^4 / 5!) - ...。
当 x 接近于 0 时,可以看出 g(x) 接近于 1。
所以,g(x) 在 x 趋近于 0 时的极限为 1。
3.求函数 h(x) = (sqrt(x + 1) - 1) / x 在 x 趋近于 0 时的极限。
解答:把函数表达式简化后,得到 h(x) = x / (sqrt(x + 1) + 1)。
当 x 接近于 0 时,可以看出分母趋近于 sqrt(0 + 1) + 1 = 2。
因此,h(x) 在 x 趋近于 0 时的极限为 0。
这些例题可以帮助你熟悉函数极限的求解过程。
对于更复杂的例题,可能需要使用更多的极限性质和数学工具来求解。
记住,在处理函数极限时,要注意特殊情况和分母为 0 的情况,并尝试使用泰勒级数展开或其他数学方法来简化表达式。
第一章 函数、极限、连续典型例题1:函数2sin(2)()(1)(2)x x f x x x x -=--在下列哪个区间内有界( ). A. (1,0)- B. (0,1) C. (1,2) D. (2,3) 解析:有如下的两个重要结论:❶若()f x 在闭区间[,]a b 上连续,则()f x 在闭区间[,]a b 上有界;❷若()f x 在开区间(,)a b 内连续,且极限lim ()x af x +→与lim ()x bf x -→存在,则()f x 在开区间(,)a b 内有界.当0,1,2x ≠时,()f x 连续,而1sin 3lim ()18x f x +→-=-,0sin 2lim ()4x f x -→=-,0sin 2lim ()4x f x +→=,1lim ()x f x →=∞,2lim ()x f x →=∞.所以()f x 在(1,0)-内有界,选(A ).2:设{}n a ,{}n b ,{}n c 均为非负数列,且lim 0n n a →∞=,lim 1n n b →∞=,lim n n c →∞=∞,则必有( ).A .n n a b <对任意n 成立B .n n b c <对任意n 成立C .lim n n n a c →∞不存在 D .lim n n n b c →∞不存在解析:应选(D ).由数列极限保号性的条件得A 、B 两项不是无条件成立的,故A 、B错误.C 项中的极限是“0⋅∞”的未定式,极限有可能是存在的,故C 项也错误.选D 项.3:设()f x 在0x =的某邻域内连续,0()lim 21cos x f x x→=-,则在0x =处()f x ( ).A .不可导B .可导且(0)0f '≠C .取得极大值D .取得极小值 解析:应选(D ).由0()lim21cos x f x x→=-可得,0x →时,1cos 0x -→,则()0f x →,而()f x 在点0x =的某邻域内连续,得(0)0f =.于是000()()(0)0()(0)2limlim lim 21cos 01cos 0x x x f x f x f x f x f x x x x x→→→---=⋅=⋅=----,而02limx x →=∞,因此0()(0)lim 00x f x f x →-=-,即'(0)0f =.(A )(B )均错误. 00()()(0)limlim 201cos 1cos x x f x f x f x x→→-==>--,由函数极限的局部保号性可得,(0,)U δ∃,(0,)x U δ∀∈,有()(0)01c o s f x f x->-,而1c o s 0x ->,得()(0)f x f >,因此()f x 在0x =处取得极小值.4:设lim ,n n a a →∞=且0,a ≠则当n 充分大时有( ).A. 2n a a >B. 2n a a <C. 1n a a n >-D. 1n a a n<+ 解析:应选(A ).用排除法,令n a 为简单数列的通项. (1)令21n a n =+,则lim 1n n a →∞=,11n a n >+,排除(D ).(2)令21n a n =-,则lim 1n n a →∞=,11n a n <-,排除(C ).(3)令11n a n=--,则lim 1n n a →∞=-,1112n a n -=+>,排除(B ).5:设数列{}n x 满足110,sin (1,2,...).n n x x x n π+<<== (1)证明lim n n x →∞存在,并求该极限.(2)计算211lim n x n n n x x +→∞⎛⎫ ⎪⎝⎭. 证明(1) 由于0x π<<时,0sin x x <<,于是10sin n n n x x x +<=<,说明数列{}n x 单调减少且0n x >. 由单调有界准则知lim n n x →∞存在.记为A .递推公式两边取极限得sin A A =,解得0A =. (2)原式21sin lim()nxn n nx x →∞=,为“1∞”型极限.因为离散型不能直接用洛必达法则,先考虑210sin lim()t t t t→. 22011sin lim ln 0sin lim()t ttt t t t e t→→=.其中2223220000011sin 1sin sin cos 112lim ln lim (1)lim lim lim 336t t t t t t t t t t t t t t t t t t →→→→→---=-====-. 所以 2221111016sin sin lim()lim()lim()nnxxn n x n n x nnx x x x x xe+→∞→∞→-===.6:41lim(cos 22sin )xx x x x →+解:(方法1)14441ln(cos22sin )limln(cos22sin )0lim(cos 22sin )lim xx x x x x x x xx x x x x x ee→++→→+==而42042040sin 2sin 2lim )sin 2sin 21ln(lim )sin 22ln(cos lim x xx x x x x x x x x x x x x +-=+-=+→→→121612lim 2sin 2lim 33030=⋅=+-=→→x x x x x x x ,所以原式31e =. (方法2)44121)sin 2sin 21(lim )sin 22(cos lim x x x x x x x x x x +-=+→→31sin 2sin 2sin 2sin 212422)sin 2sin 21(lim e x x x x xx x x x x x =+-=+-⋅+-→.7:1402sin lim ||1x x x e x x e →⎛⎫+ ⎪+ ⎪ ⎪+⎝⎭解:1144002sin 2sin 2lim lim 11111x xx x x x e x e x x x e e --→→⎛⎫⎛⎫++ ⎪ ⎪+=-=-= ⎪ ⎪ ⎪ ⎪++⎝⎭⎝⎭; 1144002sin 2sin lim lim 01111x x x x x x e x e x x x e e ++→→⎛⎫⎛⎫++ ⎪ ⎪+=+=+= ⎪ ⎪ ⎪ ⎪++⎝⎭⎝⎭; 左右极限存在且相等,所以1402sin lim 1.1x x x e x x e →⎛⎫+ ⎪+= ⎪ ⎪+⎝⎭8:22411limsin x x x x x x→-∞++++=+ .解:分子分母同时除以x (注意x 趋于负无穷大),可得2222411411limlimsin sin x x x x x x x x x x x xx x x→-∞→-∞++++++++=++ 22222241111141lim lim 1sin sin 1x x x x x x x x x x x x x x x →-∞→-∞+++-+-++++===+-+-.9:求221()lim 1n n n x f x x x →∞⎡⎤⎛⎫-=-⎢⎥ ⎪+⎝⎭⎣⎦的间断点,并判别类型. 解:当||1x <时,20nx→,则()1f x x =--,当||1x =时,则()f x x =-, 当||1x >时,2nx→∞,则()1f x x =-,1,||1(), ||11, ||1x x f x x x x x --<⎧⎪∴=-=⎨⎪->⎩.分段点为1x =±(1)1,(10)2,(10)0f f f =--=-+= (1)1,(10)2,(10)0f f f -=--=-+=则1x =±都为跳跃间断点.10:设)(x f 在[0,1]]连续,(1)0f =,212()1lim112x f x x →-=⎛⎫- ⎪⎝⎭,证明:(1)存在1,12ξ⎛⎫∈ ⎪⎝⎭,使()f ξξ=; (2))(x f 在[0,1]上最大值大于1.证明:(1)由212()1lim112x f x x →-=⎛⎫- ⎪⎝⎭及)(x f 在[0,1]连续,得121=⎪⎭⎫⎝⎛f .令()()x f x x φ=-,111102222f φ⎛⎫⎛⎫=-=>⎪ ⎪⎝⎭⎝⎭,(1)(1)110f φ=-=-<,由连续函数介值定理知存在1(,1)2ξ∈使()0φξ=,即()f ξξ=.(2)由于01211)(lim221>=⎪⎭⎫ ⎝⎛--→x x f x ,由保号性定理知1111(,)(,)2222x δδ∀∈-+时,有()1f x >,故)(x f 在[0,1]上最大值大于1.。
函数的连续性知识点及例题解析1. 函数的连续性概念在数学中,函数的连续性指的是当自变量的值变化时,函数值的变化趋势和自变量的变化趋势相一致。
如果在某个区间内,函数在该区间的任意一点都存在极限,并且极限与该点的函数值相等,则称该函数在该区间内连续。
2. 函数的连续性条件函数f(x)在点x=a处连续的条件是:- 函数在点x=a处存在- 函数在点x=a处的左极限等于右极限- 函数在点x=a处的极限与函数在该点的函数值相等3. 函数的连续性的判定方法3.1 图像法:通过观察函数的图像来确定函数是否连续。
如果函数的图像没有跳跃、断裂或间断现象,那么该函数在相应区间内是连续的。
3.2 极限法:通过计算函数的极限来判定函数是否连续。
如果函数在某个点的极限存在并与函数在该点的函数值相等,则该函数在该点连续。
4. 函数的连续性例题解析例题1:考虑函数:\[ f(x) = \begin{cases} x+1, & \text{if } x \leq 0 \\ x-1, & \text{if } x > 0 \end{cases} \]问:函数f(x)在点x=0是否连续?解析:根据函数的定义可知,函数在x=0处存在极限,即\(\lim_{x\to0^-}f(x) = 0+1 = 1\)和\(\lim_{x\to0^+}f(x) = 0-1 = -1\)。
由于左极限和右极限不相等,所以函数在x=0处不连续。
例题2:考虑函数:\[ g(x) = \begin{cases} \sin(x), & \text{if } x \neq 0 \\ 1, & \text{if } x = 0 \end{cases} \]问:函数g(x)在点x=0是否连续?解析:根据函数的定义可知,函数在x=0处存在极限,即\(\lim_{x\to0}g(x) = \lim_{x\to0}\sin(x) = \sin(0) = 0\)。
分段函数的极限和连续性例 设⎪⎪⎩⎪⎪⎨⎧<<=<<=)21( 1)1( 21)10( )(x x x x x f(1)求)x f (在点1=x 处的左、右极限,函数)x f (在点1=x 处是否有极限?(2)函数)x f (在点1=x 处是否连续?(3)确定函数)x f (的连续区间.分析:对于函数)x f (在给定点0x 处的连续性,关键是判断函数当0x x →时的极限是否等于)(0x f ;函数在某一区间上任一点处都连续,则在该区间上连续.解:(1)1lim )(lim 11==--→→x x f x x 11lim )(lim 11==++→→x x x f ∴1)(lim 1=→x f x 函数)x f (在点1=x 处有极限.(2))(lim 21)1(1x f f x →≠= 函数)x f (在点1=x 处不连续.(3)函数)x f (的连续区间是(0,1),(1,2).说明:不能错误地认为)1(f 存在,则)x f (在1=x 处就连续.求分段函数在分界点0x 的左右极限,一定要注意在分界点左、右的解析式的不同.只有)(lim ),(lim )(lim 000x f x f x f x x x x x x →→→+-=才存在. 函数的图象及连续性例 已知函数24)(2+-=x x x f ,(1)求)x f (的定义域,并作出函数的图象;(2)求)x f (的不连续点0x ;(3)对)x f (补充定义,使其是R 上的连续函数.分析:函数)x f (是一个分式函数,它的定义域是使分母不为零的自变量x 的取值范围,给函数)x f (补充定义,使其在R 上是连续函数,一般是先求)(lim 0x f x x →,再让)(lim )(00x f x f x x →=即可. 解:(1)当02≠+x 时,有2-≠x .因此,函数的定义域是()()+∞--∞-,22,当2≠x 时,.224)(2-=+-=x x x x f 其图象如下图.(2)由定义域知,函数)x f (的不连续点是20-=x .(3)因为当2≠x 时,2)(-=x x f所以4)2(lim )(lim 22-=-=-→-→x x f x x 因此,将)x f (的表达式改写为⎪⎩⎪⎨⎧-=--≠+-=)2(4)2(24)(2x x x x x f 则函数)x f (在R 上是连续函数.说明:要作分式函数的图象,首先应对函数式进行化简,再作函数的图象,特别要注意化简后的函数与原来的函数定义域是否一致.利用函数图象判定方程是否存在实数根例 利用连续函数的图象特征,判定方程01523=+-x x 是否存在实数根.分析:要判定方程0)(=x f 是否有实根,即判定对应的连续函数)(x f y =的图象是否与x 轴有交点,因此只要找到图象上的两点,满足一点在x 轴上方,另一点在x 轴下方即可.解:设152)(3+-=x x x f ,则)x f (是R 上的连续函数.又038)3(,1)0(<-=-=f f ,因此在[]0,3-内必存在一点0x ,使0)(0=x f ,所以0x 是方程01523=+-x x 的一个实根.所以方程01523=+-x x 有实数根.说明:作出函数)(x f y =的图象,看图象是否与x 轴有交点是判别方程0)(=x f 是否有实数根的常用方法,由于函数152)(3+-=x x x f 是三次函数,图象较难作出,因此这种方法对本题不太适用. 函数在区间上的连续性例 函数24)(2--=x x x f 在区间(0,2)内是否连续,在区间[]2,0上呢? 分析:开区间内连续是指内部每一点处均连续,闭区间上连续指的是内部点连续,左点处右连续,右端点处左连续. 解:224)(2+=--=x x x x f (R ∈x 且2≠x ) 任取200<<x ,则)(2)2(lim )(lim 0000x f x x x f x x x x =+=+=→→ ∴ )(x f 在(0,2)内连续.但)(x f 在2=x 处无定义,∴ )(x f 在2=x 处不连续.从而)(x f 在[]2,0上不连线说明:区间上的连续函数其图象是连续而不出现间断曲线.函数在某一点处的连续性例 讨论函数)0()11lim ()(+∞<≤⋅+-=∞→x x x x x f n n n 在1=x 与21=x 点处的连续性 分析:分类讨论不仅是解决问题的一种逻辑方法,也是一种重要的数学思想.明确讨论对象,确立分类标准,正确进行分类,以获得阶段性的结论,最后归纳综合得出结果,是分类讨论的实施方法.本题极限式中,若不能对x 以1为标准,分三种情况分别讨论,则无法获得)(x f 的表达式,使解答搁浅.讨论)(x f 在1=x 与21=x 点处的连续性,若作出)(x f 的图像,则可由图像的直观信息中得出结论,再据定义进行解析论证.由于)(x f 的表达式并非显式,所以须先求出)(x f 的解析式,再讨论其连续性,其中极限式中含nx ,故须分类讨论.解:(1)求)(x f 的表达式: ①当1<x 时,x x x x x x f nn nn =⋅+-=⋅+-=∞→∞→0101lim 1lim 1)( ②当1>x 时,x x x xx x f n n x -=⋅+-=⋅+-=∞→10101)1(1)1(lim )( ③当1=x 时,01111lim )(=⋅+-=∞→x x f nnx ∴⎪⎩⎪⎨⎧+∞<<-=<≤=x x x x x f 1,1,010,0)((2)讨论)(x f 在1=x 点处的连续性:1)(lim )(lim ,1lim )(lim 1111-=-===++→→-→-→x x f x x f x x x x ∴)(lim 1x f x +→不存在,)(x f 在1=x 点处不连续 (3)讨论)(x f 在21=x 点处的连续性: 21lim )(lim ,21lim )(lim 21212121====-+--→→→→x x f x x f x x x x21lim )(lim ,21lim )(lim 21212121====-+--→→→→x x f x x f x x x x ∴)21(21)(lim 21f x f x ==→,)(x f 在21=x 点处连续. 根据函数的连续性确定参数的值例 若函数⎪⎩⎪⎨⎧=≠+0,0,)1()(3x a x x x f x 在0=x 处连续,试确定a 的值 解:xx x x x f 300)1(lim )(lim +=→→ ,)0(,)1(lim 3310a f e x x x ==⎥⎦⎤⎢⎣⎡+=→欲)(x f 在0=x 处连续,必须使)0()(lim 0f x f x =→,故3e a = 说明:利用连续函数的定义,可把极限转化为函数值求解.友情提示:范文可能无法思考和涵盖全面,供参考!最好找专业人士起草或审核后使用,感谢您的下载!。
第一章 函数、极限与连续(A)1.区间[)+∞,a 表示不等式( )A .+∞<<x aB .+∞<≤x aC .x a <D .x a ≥ 2.若()13+=t t ϕ,则()=+13t ϕ( )A .13+tB .26+tC .29+tD .233369+++t t t 3.设函数()()x x x x f arcsin 2513ln +-++=的定义域是( )A .⎪⎭⎫ ⎝⎛-25,31B .⎪⎭⎫ ⎝⎛-25,1C .⎪⎭⎫⎝⎛-1,31 D .()1,1-4.下列函数()x f 与()x g 相等的是( )A .()2x x f =,()4x x g =B .()x x f =,()()2x x g =C .()11+-=x x x f ,()11+-=x x x g D . ()112--=x x x f ,()1+=x x g 5.下列函数中为奇函数的是( )A .2sin xx y = B .xxe y 2-= C .x x x sin 222-- D .x x x x y sin cos 2+= 6.若函数()x x f =,22<<-x ,则()1-x f 的值域为( ) A .[)2,0 B .[)3,0 C .[]2,0 D .[]3,0 7.设函数()x e x f =(0≠x ),那么()()21x f x f ⋅为( )A .()()21x f x f +B .()21x x f +C .()21x x fD .⎪⎪⎭⎫⎝⎛21x x f8.已知()x f 在区间()+∞∞-,上单调递减,则()42+x f 的单调递减区间是( ) A .()+∞∞-, B .()0,∞- C .[)+∞,0 D .不存在 9.函数()x f y =与其反函数()x fy 1-=的图形对称于直线( )A .0=yB .0=xC .x y =D .x y -=10.函数2101-=-x y 的反函数是( ) A .2lg-=x x y B .2log x y = C .xy 1log 2= D .()2lg 1++=x y 11.设函数()⎩⎨⎧=是无理数是有理数x x a x f x ,0,10<<a ,则( )A .当+∞→x 时,()x f 是无穷大B .当+∞→x 时,()x f 是无穷小C .当-∞→x 时,()x f 是无穷大D .当-∞→x 时,()x f 是无穷小 12.设()x f 在R 上有定义,函数()x f 在点0x 左、右极限都存在且相等是函数()x f 在点0x 连续的( )A .充分条件B .充分且必要条件C .必要条件D .非充分也非必要条件13.若函数()⎩⎨⎧<≥+=1,cos 1,2x x x a x x f π在R 上连续,则a 的值为( )A .0B .1C .-1D .-2 14.若函数()x f 在某点0x 极限存在,则( ) A . ()x f 在0x 的函数值必存在且等于极限值 B .()x f 在0x 函数值必存在,但不一定等于极限值 C .()x f 在0x 的函数值可以不存在 D .如果()0x f 存在的话,必等于极限值15.数列0,31,42,53,64,…是( )A .以0为极限B .以1为极限C .以n n 2-为极限 D .不存在在极限 16.=∞→xx x 1sin lim ( )A .∞B .不存在C .1D .017.=⎪⎭⎫ ⎝⎛-∞→xx x 211lim ( )A .2-eB .∞C .0D .21 18.无穷小量是( )A .比零稍大一点的一个数B .一个很小很小的数C .以零为极限的一个变量D .数零19.设()⎪⎩⎪⎨⎧≤≤-<≤<≤-=31,110,201,2x x x x x f x 则()x f 的定义域为 ,()0f = ,()1f = 。
微积分极限与连续例题微积分极限与连续性是数学分析中的核心概念。
极限是一个函数取某一数值时变化的最大值,而连续性是指函数的变化中存在某一连续的段落。
以下我将通过一系列例题来说明如何找出极限和证明连续性:例1:找出极限设h(x) = x^2-4x+3,求lim h(x) as x->2利用定义,求f(x)在x=2处的极限,得到f(2) = 3解:因此,lim h(x) as x->2 = 3例2:求解极限设f(x) = x^2-2x+1,求 lim f(x) as x->-1利用定义,求f(x)在x=-1处的极限,得到f(-1) = -2解:因此,lim f(x) as x->-1 = -2例3:证明连续性设函数f(x) = x^2-4x+3,我们要验证该函数在[1,2]区间内连续解:证明f(x)在[1,2]区间内连续,需满足f(1) = 0, f(2) = 3, 并且这两点处的斜率是相等的。
因此,我们需要证明:f'(x) = 2x - 4 对于任意x ∈ [1,2] 的值都是相等的。
根据傅立叶定理,f'(x) 的斜率可以通过求出f(x)在x处的导数得到。
令f'(x) = 2x-4,我们利用此函数求导数:解:f'(1) = 2*1 - 4 = -2f'(2) = 2*2 - 4 = 0由于f'(x) = -2, 0 在[1,2]之间保持不变,因此f(x) 是连续函数。
以上就是关于微积分极限和连续性的几个例子,可以看出,求极限可以利用函数定义,而证明连续性要求f(x) 在x处的导数值保持不变。
以上例子仅供参考,希望能给大家带来帮助。
1、函数()12++=x x x f 与函数()113--=x x x g 相同.错误 ∵当两个函数的定义域和函数关系相同时,则这两个函数是相同的。
∴()12++=x x x f 与()113--=x x x g 函数关系相同,但定义域不同,所以()x f 与()x g 是不同的函数。
2、如果()M x f >(M 为一个常数),则()x f 为无穷大. 错误 根据无穷大的定义,此题是错误的。
3、如果数列有界,则极限存在.错误 如:数列()nn x 1-=是有界数列,但极限不存在4、a a n n =∞→lim ,a a n n =∞→lim .错误 如:数列()nn a 1-=,1)1(lim =-∞→nn ,但n n )1(lim -∞→不存在。
5、如果()A x f x =∞→lim ,则()α+=A x f (当∞→x 时,α为无穷小). 正确 根据函数、极限值、无穷小量的关系,此题是正确的。
6、如果α~β,则()α=β-αo .正确 ∵1lim=αβ,是 ∴01lim lim =⎪⎭⎫⎝⎛-=-αβαβα,即βα-是α的高阶无穷小量。
7、当0→x 时,x cos 1-与2x 是同阶无穷小.正确 ∵2122sin 412lim 2sin 2lim cos 1lim2022020=⎪⎪⎪⎪⎭⎫ ⎝⎛⋅⋅==-→→→x x x x x x x x x 8、 01sin lim lim 1sin lim 000=⋅=→→→xx x x x x x .错误 ∵xx 1sin lim 0→不存在,∴不可利用两个函数乘积求极限的法则计算。
9、 e x xx =⎪⎭⎫⎝⎛+→11lim 0.错误 ∵e x xx =⎪⎭⎫⎝⎛+∞→11lim10、点0=x 是函数xxy =的无穷间断点.错误 =-→x x x 00lim 1lim 00-=--→x x x ,=+→x x x 00lim 1lim 00=+→xx x ∴点0=x 是函数xxy =的第一类间断点.11、函数()x f x1=必在闭区间[]b a ,取得最大值、最小值.错误 ∵根据连续函数在闭区间上的性质,()x f x1=在0=x 处不连续 ∴函数()x f x1=在闭区间[]b a ,不一定取得最大值、最小值 二、填空题:1、设()x f y =的定义域是()1,0,则 (1)()xef 的定义域是( (,0)-∞ );(2)()x f 2sin 1-的定义域是( ,()2x x k x k k Z πππ⎧⎫≠≠+∈⎨⎬⎩⎭);(3)()x f lg 的定义域是( (1,10) ). 答案:(1)∵10<<xe (2)∵1sin 102<-<x (3)∵1lg 0<<x2、函数()⎪⎩⎪⎨⎧≤<-=<<-+=403000222x x x x x x f 的定义域是( (]4,2- ).3、设()2sin x x f =,()12+=ϕx x ,则()[]=ϕx f ( ()221sin +x ).4、nxn n sinlim ∞→=( x ).∵x x n x n x n n x n x n n n n =⋅==∞→∞→∞→sinlim 1sin limsin lim 5、设()11cos 11211xx x f x x x x π-<-⎧⎪⎪=-≤≤⎨⎪->⎪⎩,则()10lim x f x →--=( 2 ),()=+→x f x 01lim ( 0 ). ∵()1010lim lim (1)2x x f x x →--→--=-=,()()01lim lim 0101=-=+→+→x x f x x6、设()⎪⎩⎪⎨⎧=≠-=00cos 12x ax x x x f ,如果()x f 在0=x 处连续,则=a ( 21 ).∵21cos 1lim 20=-→x x x ,如果()x f 在0=x 处连续,则()a f xx x ===-→021cos 1lim 20 7、设0x 是初等函数()x f 定义区间的点,则()=→x f x x 0lim ( ()0x f ).∵初等函数()x f 在定义区间连续,∴()=→x f x x 0lim ()0x f8、函数()211-=x y 当x →( 1 )时为无穷大,当x →( ∞ )时为无穷小.∵()∞=-→2111limx x ,()011lim2=-∞→x x9、若()01lim2=--+-+∞→b ax x x x ,则=a ( 1 ),=b ( 21-). ∵()b ax x xx --+-+∞→1lim2()()()bax x x bax x x b ax x x x +++-+++---+-=+∞→111lim 222()()b ax x x b ax x x x +++-+-+-=+∞→11lim 222()()()b ax x x b x ab x a x +++--++--=+∞→11211lim 2222欲使上式成立,令012=-a ,∴1a =±,上式化简为()()()2211212112lim lim lim1x x x bab ab x b ab a →+∞→+∞→+∞--++-++--+==+∴1a =,021=+ab ,12b =-10、函数()x x f 111+=的间断点是( 1,0-==x x ). 11、()34222+--+=x x x x x f 的连续区间是( ()()()+∞∞-,3,3,1,1, ).12、若2sin 2lim =+∞→x xax x ,则=a ( 2 ). ()200lim sin 2lim sin 2lim =+=+=⎪⎭⎫ ⎝⎛+=+∞→∞→∞→a a x x a x x ax x x x ∴2=a13、=∞→x x x sin lim( 0 ),=∞→xx x 1sin lim ( 1 ), ()=-→xx x 11lim ( 1-e ),=⎪⎭⎫ ⎝⎛+∞→kxx x 11lim ( ke ). ∵0sin 1lim sin lim=⋅=∞→∞→x x xx x x 111sin lim1sin lim ==∞→∞→xx x x x x()[]1)1(110)(1lim 1lim --⋅-→→=-+=-e x x xx x x k kx x kxx e x x =⎥⎦⎤⎢⎣⎡+=⎪⎭⎫ ⎝⎛+∞→∞→)11(lim 11lim14、limsin(arctan )x x →∞=( 不存在 ),lim sin(arccot )x x →+∞=( 0 )三、选择填空:1、如果a x n n =∞→lim ,则数列n x 是( b )a.单调递增数列 b .有界数列 c .发散数列2、函数()()1log 2++=x x x f a 是( a )a .奇函数b .偶函数c .非奇非偶函数 ∵()()11log 1)(log 22++=+-+-=-x x x x x f aa()()x f x x a -=++-=1log 23、当0→x 时,1-xe 是x 的( c )a .高阶无穷小b .低阶无穷小c .等价无穷小4、如果函数()x f 在0x 点的某个邻域恒有()M x f ≤(M 是正数),则函数()x f 在该邻域( c )a .极限存在b .连续c .有界5、函数()x f x-=11在( c )条件下趋于∞+. a .1→x b .01+→x c .01-→x6、设函数()x f xxsin =,则()=→x f x 0lim ( c )a .1b .-1c .不存在 ∵1sin lim sin limsin lim000000-=-=-=-→-→-→xx x x x xx x x1sin lim sin lim 0000==-→+→xx x x x x 根据极限存在定理知:()x f x 0lim →不存在。
函数的极限与连续性函数的极限和连续性是微积分中的重要概念,它们在数学和科学领域中具有广泛的应用。
本文将深入探讨函数的极限和连续性的概念、性质以及它们在实际问题中的应用。
一、函数的极限函数的极限是函数在某一点或无穷远处的趋势。
首先,我们来定义函数在某一点的极限。
定义1:设函数f(x)在点x=a的某一去心邻域内有定义,如果对于任意给定的正数ε,总存在正数δ,使得当0<|x-a|<δ时,有|f(x)-L|<ε成立,其中L是一个实数,则称L是函数f(x)当x趋于a时的极限,记作lim(x→a)f(x)=L。
根据上述定义,我们可以推导出一些性质:性质1:函数极限的唯一性。
如果函数f(x)当x趋于a时的极限存在,那么它是唯一的。
性质2:函数极限的局部性。
如果函数f(x)当x趋于a时的极限存在,那么它是局部的。
性质3:函数极限与函数值的关系。
如果函数f(x)当x趋于a时的极限存在且与f(a)相等,那么函数f(x)在点x=a处连续。
二、函数的连续性连续性是函数的一个重要性质,它描述了函数在定义域上的连续程度。
定义2:设函数f(x)在点x=a的某一邻域内有定义,如果lim(x→a)f(x)=f(a)成立,则称函数f(x)在点x=a处连续。
根据连续性的定义,我们可以得到以下结论:结论1:如果函数f(x)在点x=a处连续,则函数f(x)在点x=a的任意去心邻域内都连续。
结论2:如果函数f(x)在点x=a处连续且lim(x→a)g(x)=A,其中g(x)是另一个函数,那么lim(x→a)f(g(x))=f(A)。
结论3:在区间[a,b]上连续的函数必在该区间上有界。
三、函数极限与连续性的应用函数的极限和连续性在实际问题中有着广泛的应用,下面以两个典型例子来说明:例子1:求函数f(x)=sin(x)/x当x趋于0时的极限。
解:根据函数的极限定义,在x趋于0时,我们需要求lim(x→0)(sin(x)/x)。
函数 极限与连续 练习题一、判断题1. 函数x x x f -+=1)(2与函数xx x g ++=11)(2是同一函数 ( )2. 函数x e x f ln )(=与函数x e x g ln )(=是同一函数 ( )3. 函数21)(--=x x x f 与函数21)(--=x x x g 是同一函数 ( ) 4. 函数334)(x x x f -=与函数31)(-=x x x g 是同一函数 ( ) 5. 函数x x f lg 10)(=与函数x x g =)(是同一函数 ( ) 6. 函数 211()()11x f x g x x x-==-+是同一函数 ( ) 7. 函数212)cos 1()(x x f -=与函数x x g sin )(=是同一函数 ( ) 8. 函数)cos(arccos )(x x f =与函数x x g =)(是同一函数 ( ) 9. 函数)12ln()(2+-=x x x f 与函数)1ln(2)(-=x x g 是同一函数 ( ) 10. 函数)sin(arcsin )(x x f =与函数)arcsin(sin )(x x g =是同一函数 ( )11.1lnx arcctgx x x αβ+==→+∞设,,则当时则~αβ ( ) 1211()sin (0)f x x x x =⋅<<+∞ ,0()x f x →+当时不是无穷大,但无界.( )13.00()()(0)lim ()()x x x x f x g x A A f x g x →→→∞→≠=∞设当时,,,则.( )14.1lim 0lim||1n n n n nx x a a x +→∞→∞==≤设及存在,则:. ( )二、填空题1. 设)(x f 的定义域是(0,1),则)1(2x f -的定义域是________________。
2. 设)2ln(1)(x x x f -++=,则)(x f 的定义域用区间表示为_______________。
函数的极限及函数的连续
性典型例题
Last revision on 21 December 2020
函数的极限及函数的连续性典型例题
一、重点难点分析:
①
此定理非常重要,利用它证明函数是否存在极限。
②要掌握常见的几种函数式变形求极限。
③函数f(x)在x=x0处连续的充要条件是在x=x0处左右连续。
④计算函数极限的方法,若在x=x0处连续,则。
⑤若函数在[a,b]上连续,则它在[a,b]上有最大值,最小值。
二、典型例题
例1.求下列极限
①②
③④
解析:①。
②。
③。
④。
例2.已知,求m,n。
解:由可知x2+mx+2含有x+2这个因式,
∴ x=-2是方程x2+mx+2=0的根,
∴ m=3代入求得n=-1。
例3.讨论函数的连续性。
解析:函数的定义域为(-∞,+∞),由初等函数的连续性知,在非分界点处函数是连续的,
又,
∴,∴ f(x)在x=1处连续。
由,
从而f(x)在点x=-1处不连续。
∴ f(x)在(-∞,-1),(-1,+∞)上连续,x=-1为函数的不连续点。
例4.已知函数, (a,b为常数)。
试讨论a,b为何值时,f(x)在x=0处连续。
解析:∵且,
∴,∴ a=1, b=0。
例5.求下列函数极限
①②
解析:①。
②。
例6.设,问常数k为何值时,有存在
解析:∵,。
要使存在,只需,
∴ 2k=1,故时,存在。
例7.求函数在x=-1处左右极限,并说明在x=-1处是否有极限
解析:由,,∵,∴ f(x)在x=-1处极限不存在。
三、训练题:
1.已知,则
2.的值是_______。
3. 已知,则=______。
4.已知,2a+b=0,求a与b的值。
5.已知,求a的值。
参考答案:1. 3 2. 3. 4. a=2, b=-4 5. a=0。