北京华北电力大学考研811 2007-15真题
- 格式:pdf
- 大小:113.90 KB
- 文档页数:3
2007年华电研究生入学考试(传热学A)一、选择填空(可多选)(每题5分,共75分)1.靠得非常近的两个等面积平行大平板,可以近似认为它们之间的角系数是()A.0.5B. 1C.0D.0.252.某电缆外包裹导热系数是0.1W/(m-K)的绝缘层,绝缘层外表面与周围环境间表面传热系数是W/(m2.C),则它的临界绝缘直径是()A.11mmB.22mmC.27mmD.44mm3.半径为R的钢球,与周围环境间的表面传热系数是h,自身导热系数为m,则可以采用集总参数法分析钢球非稳态温度场变化规律的条件是()A.hR/m<0.1B. hR/m<0.2C. hR/m<0.05D.hR/m<0.03334.管槽内流体层流流动与湍流流动分界点的临界Re数一般取做()A.4500B.10000C.2300D.16005.二氧化碳被称作温室效应气体,是因为二氧化碳()A.具有辐射和吸收能力的光带均位与红外线的波长范围B.具有辐射和吸收能力的光带均为与可见光的波长范围C.具有在整个波长范围内连续吸收和辐射热量的能力D.在整个波长范围内呈现透明体的性质6.下列说法中正确的是()A.测量非稳态温度场的温度,热电偶的时间常数越大越好B.测量非稳态温度场的温度,热电偶的时间常数越小越好C.热电偶的性能与其时间常数无关D.热电偶只在测量稳态温度场时才考虑时间常数的影响7.为了更好地起到削减辐射换热的作用,插入两个辐射换热表面间的遮热板,其发射率()A.越大越好B.越小越好C.与辐射换热量无关D.与其他换热表面发射率相等8.采用肋片强化通过壁面的传热,肋片应该加在A.热阻较大的一侧B.热阻较小的一侧C.温度较高的一侧D.温度较低的一侧9.下列哪种情况满足基尔霍夫定律(即善于辐射者必善于吸收)()A.黑体辐射B.灰体辐射C.气体辐射D.实际物体与同温度黑体之间的辐射10.下列说法中,正确的是()A.管内强制对流流动的充分发展段,边界层厚度沿流动方向发生变化B.对大空间饱和沸腾,增加壁面过热度,壁面热流密度反而有可能下降C.通过等截面直肋的导热可以简化为带内热源的一维导热问题D.内部流动和外部流动间不可能存在相似现象11.欲设计一种换热器,要求将热流体由300。
华北电力大学 _2006-2007_学年第_2_学期考试试卷(A)班级: 姓名: 学号:一、单项选择与填空题(每空2分共36分) 1.随着时间的变化,单相脉振磁动势幅值的大小和幅值的位置遵循的变化规律是( )。
【⑴大小不变,位置变化; ⑵大小变化,位置不变; ⑶大小、位置均不变; ⑷ 大小、位置均变化】2.三相交流电机运行时的定子绕组的漏磁通可分为三个部分,即( )。
3.要想改变三相交流绕组通入三相对称交流电流产生的基波旋转磁场的转向,可采用的方法为( )。
4.交流电机三相合成基波磁势公式为111 1.35dp N k F I p=,其中1F 为( )。
【⑴正弦型脉振磁势波有效值; ⑵正弦型脉振磁势波幅值;⑶矩形脉振磁势波波幅值;⑷正弦型旋转磁势波幅值】5.在三相对称的交流绕组中通入三相对称电流时,其合成磁势波除基波外,还主要有( )次谐波磁动势。
【列出次数最低的两种谐波次数】。
6.对6p =的三相交流电机,其 A 、B 两相绕组轴线在空间相距的电角度为( )度。
7.葛洲坝水电厂的水轮发电机是96极的三相同步发电机,其转子的转速应为( )转/分;实测两极汽轮发电机的转速为2994转/分,则感应电势的频率为( )赫兹。
8.假设从三相对称交流绕组从各自首端 A 、B 、C 通入相同的正弦交流电流,此时所产生的基波磁动势幅值为( )。
【⑴1110.9dp p N k F I p=;⑵111 1.35dp p N k F I p=; ⑶零;】9.某交流电机,其槽距角为020α=。
下图是其一组交流线圈A X -,假设线圈'11-感应的基波电动势为10V ,则A X -线圈组感应的基波电动势为( )。
α1'1A X10.变压器运行时,当( )时效率最高。
【⑴额定运行时; ⑵铁损等于铜损时;⑶铁损等于50%铜损时;⑷铜损等于50%铁损时】11.一台三相变压器,N S =300kVA ,12N N U U =10kV/0.4kV ,Yd 接法,当此变压器额定运行时,二次侧的相电流为 ( ) 。
华北电力大学(保定)2009年硕士研究生入学考试试题1. 计算(1) n 阶行列式0 (01)0...00.....00.010.0a a a a;(2)1001111-⎡⎤⎢⎥⎣⎦2. 设123,,,...,l a a a a 是方程组AX b =的解。
试证112233...l l k a k a k a k a ++++(其中,123...1l k k k k ++++=)也是方程组AX b =的解。
3. 设线性变换ϕ在基1234,,,a a a a 下的矩阵表示为1201301225311213A -=,求ϕ在基 1121231234,,,a a a a a a a a a a ++++++下的矩阵表示。
4.设12,,L L L 分别为所有n 阶方阵、所有n 阶对称方阵、所有n 阶反对称(斜对称)方阵成的线性空间,证明: (1)12,L L 均为线性空间L 的子空间; (2)12L L L =⊕(L 是12,L L 的直和); (3)分别求出12,,L L L 的一组基和维数。
5.设111212103A -⎡⎤⎢⎥=⎢⎥⎢⎥-⎣⎦,12(1,1,1),(0,1,2)T Tαα==,1V 是12,αα张成的3R 的子空间,定义线性映射31:V R ϕ→,其中()x Ax ϕ=。
(1)求ϕ在1V 的基12,αα和3R 的基123(1,0,0),(0,1,0),(0,0,1)T T T e e e ===下的矩阵表示B;(2)求ϕ在1V 的基1212,αααα+-和3R 的基123(1,0,0),(0,1,0),(0,0,1),T T Te e e ===下的矩阵表示B;(3)求ϕ的象,核及他们的维数。
6. 设A 是n 阶方阵,I 为单位矩阵,已知2550A A I -+=.试证(1)2A I -是可逆矩阵;(2)求满足方程1(2)55AX A I A I X -+-=+的X.7. 已知5432()41048f x x x x x x =++--+,求()f x 的因式分解式。
2007年华北电力大学(北京)人文与社会科学学院行政管理综合考研真题及详解华北电力大学2007年硕士研究生入学试题考试科目:行政管理综合一、名词解释,每个6分,共计30分。
1.政策调整答:政策调整是指在政策评估与监测中所获得的有关政策执行效果的反馈信息的基础上,对政策方案、方案与目标之间的关系等进行不断地修正、补充和发展,以便达到预期政策效果的一种政策行为。
政策调整的内容包括问题的重新界定、目标的重新确定、方案的重新拟定,还包括政策效力、政策主体和客体的调整。
政策调整有利于保障公共政策的科学化,保证公共政策的权威性和严肃性,保持公共政策的稳定性和连贯性。
2.史密斯模型答:史密斯模型是指由史密斯提出的一种的政策执行过程模型。
史密斯政策执行模型最大的贡献就在于提出目标群体、执行机构与环境因素之间的互动关系。
他认为,政策可以被界定为由政府在旧的机构内,设立新的处理公共事务的模式或机构,或改变原来的处理模式的复杂行动。
政策发布以后即在社会上产生一种“张力”。
政策付诸实施以后,政策执行者和受政策影响者,就会感受到一种张力或压力,以及由此带来的冲突。
政策执行所产生的张力可能会引起激烈的抗议,因此可能需要采取相应的措施以实现政策目标,也可能带来一些其他变革。
如果在对张力进行处理以后,运作顺畅,就实现某种制度化,在必(1)理想化的政策:即政策目标是否切合实际?政策内容是否妥当?政策规定是否明确、可行?等等。
(2)执行机构:即负责政策执行的政府机关或单位的特性如何?(3)目标群体:即受公共政策影响的政策对象的特性如何?(4)环境因素:即影响政策执行或被政策执行所影响的环境方面的因素,可能是文化的、社会的、政治的或经济的。
3.政治文化答:政治文化是政治关系的心理的和精神的反映,是人们在社会政治生活中形成的对于政治的感受、认识和道德习俗规范的复杂综合。
它一般由政治心理、政治思想两个层次构成,政治心理是政治文化的表层和感性部分,政治思想是政治文化的深层和理性部分。
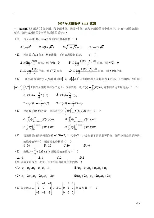
2007年考研数学(三)真题一.选择题(本题共10分小题,每小题4分,满分40分,在每小题给的四个选项中,只有一项符合题目要求,把所选项前的字母填在后边的括号内)(1)当0x +→等价的无穷小量是()A.1-.ln(1B+1C-.1D -(2)设函数()f x 在0x =处连续,下列命题错误的是:()A .若0()limx f x x→存在,则(0)0f =.B 若0()()limx f x f x x→+-存在,则(0)0f =.C .若0()limx f x x →存在,则'(0)f 存在.D 若0()()limx f x f x x→--存在,则'(0)f 存在(3)如图.连续函数()y f x =在区间[][]3,2,2,3--上的图形分别是直径为1的上、下半圆周,在区间[][]2,0,0,2-上图形分别是直径为2的上、下半圆周,设0()(),xF x f t dt =⎰则下列结论正确的是:().A .(3)F 3(2)4F =--.B (3)F 5(2)4F =.C (3)F -3(2)4F =-.D (3)F -5(2)4F =--(4)设函数(,)f x y 连续,则二次积分1sin 2(,)xdx f x y dy ππ⎰⎰等于().A 10arcsin (,)xdy f x y dx ππ+⎰⎰.B 10arcsin (,)ydy f x y dx ππ-⎰⎰.C 1arcsin 02(,)ydy f x y dxππ+⎰⎰.D 1arcsin 02(,)ydy f x y dxππ-⎰⎰(5)设某商品的需求函数为1602Q ρ=-,其中Q ,ρ分别表示需要量和价格,如果该商品需求弹性的绝对值等于1,则商品的价格是().A 10.B 20.C 30.D 40(6)曲线1ln(1),x y e x=++渐近线的条数为().A 0.B 1.C 2.D 3(7)设向量组线性无关,则下列向量组线相关的是()(A )12αα-2131,,αααα--(B)21αα-2331,,αααα++(C )1223312,2,2αααααα---(D)1223312,2,2αααααα+++(8)设矩阵211121112A --⎧⎫⎪⎪=--⎨⎬⎪⎪--⎩⎭,100010000B ⎧⎫⎪⎪=⎨⎬⎪⎪⎩⎭则A 与B ()(A )合同,且相似(B)合同,但不相似(C)不合同,但相似(D)既不合同,也不相似(9)某人向同一目标独立重复射击,每次射击命中目标的概率为,则此人第4次射击恰好第2次命中目标的概率为()2()3(1)A p p -2()6(1)B p p -22()3(1)C p p -22()6(1)D p p -(10)设随机变量(,)X Y 服从二维正态分布,且X 与Y 不相关,(),()x y f x f y 分别表示X,Y 的概率密度,则在Y y =条件下,X 的条件概率密度()X Y x y f 为()(A )()X f x (B)()y f y (C)()()x y f x f y (D)()()x y f x f y 二、填空题:11-16小题,每小题4分,共24分,请将答案写在答题纸指定位置上(11)3231lim (sin cos )________2x x x x x x x →∞+++=+.(12)设函数123y x =+,则()(0)_________n y =.(13)设(,)f u v 是二元可微函数,(,y x z f x y=则z zy x y∂∂-=∂∂________.(14)微分方程31()2dy y y dx x x=-满足11x y ==的特解为__________.(15)设距阵01000010,00010000A ⎛⎫⎪⎪= ⎪⎪⎝⎭则3A 的秩为_______.(16)在区间(0,1)中随机地取两个数,这两数之差的绝对值小于12的概率为________.三、解答题:17-24小题,共86分.请将解答写在答题纸指定的位置上.解答应写出文字说明、证明过程或演算步骤.(17)(本题满分10分)设函数()y y x =由方程ln 0y y x y -+=确定,试判断曲线()y y x =在点(1,1)附近的凹凸性.(18)(本题满分11分)设二元函数2. 1.(,)1 2.x x y f x y x y ⎧+≤⎪=≤+≤计算二重积分(,).Df x y d σ⎰⎰其中{}(,)2D x y x y =+≤(19)(本题满分11分)设函数()f x ,()g x 在[],a b 上内二阶可导且存在相等的最大值,又()f a =()g a ,()f b =()g b ,证明:(Ⅰ)存在(,),a b η∈使得()()f g ηη=;(Ⅱ)存在(,),a b ξ∈使得''()''().f g ξξ=(20)(本题满分10分)将函数21()34f x x x =--展开成1x -的幂级数,并指出其收敛区间.1231232123123(21)(11)020(1)4021(2)x x x x x ax x x a x x x x a a ⎧++=⎪++=⎨⎪++=⎩++=-本题满分分设线性方程组与方程有公共解,求的值及所有公共解(22)(本题满分11分)设3阶实对称矩阵A 的特征值12311,2,2,(1,1,1)Tλλλα===-=-是A 的属于1λ的一个特征向量.记534B A A E =-+,其中E 为3阶单位矩阵.(Ⅰ)验证1α是矩阵B 的特征向量,并求B 的全部特征值与特征向量;(Ⅱ)求矩阵B.(23)(本题满分11分)设二维随机变量(,)X Y 的概率密度为2,01,0 1.(,)0,x y x y f x y --<<<<⎧=⎨⎩其他(Ⅰ)求{}2P X Y >;(Ⅱ)求Z X Y =+的概率密度()Z f z .(24)(本题满分11分)设总体X 的概率密度为1,0,21(;),1,2(1)0,x f x x θθθθθ⎧<<⎪⎪⎪=≤<⎨-⎪⎪⎪⎩其他.其中参数(01)θθ<<未知,12,,...n X X X 是来自总体X 的简单随机样本,X 是样本均值.(Ⅰ)求参数θ的矩估计量 θ;(Ⅱ)判断24X 是否为2θ的无偏估计量,并说明理由.2007年考研数学(三)真题一、选择题(本题共10分小题,每小题4分,满分40分,在每小题给的四个选项中,只有一项符合题目要求,把所选项前的字母填在后边的括号内)(1)当0x +→等价的无穷小量是(B )A.1-.ln(1B+1C-.1D -(2)设函数()f x 在0x =处连续,下列命题错误的是:(D)A .若0()limx f x x→存在,则(0)0f =.B 若0()()limx f x f x x→+-存在,则(0)0f =.C .若0()limx f x x →存在,则'(0)f 存在.D 若0()()limx f x f x x→--存在,则'(0)f 存在(3)如图.连续函数()y f x =在区间[][]3,2,2,3--上的图形分别是直径为1的上、下半圆周,在区间[][]2,0,0,2-上图形分别是直径为2的上、下半圆周,设0()(),xF x f t dt =⎰则下列结论正确的是:(C ).A .(3)F 3(2)4F =--.B (3)F 5(2)4F =.C (3)F -3(2)4F =-.D (3)F -5(2)4F =--(4)设函数(,)f x y 连续,则二次积分1sin 2(,)xdx f x y dy ππ⎰⎰等于(B ).A 1arcsin (,)xdy f x y dx ππ+⎰⎰.B 1arcsin (,)y dy f x y dx ππ-⎰⎰.C 1arcsin 02(,)ydy f x y dxππ+⎰⎰.D 1arcsin 02(,)ydy f x y dxππ-⎰⎰(5)设某商品的需求函数为1602Q ρ=-,其中Q ,ρ分别表示需要量和价格,如果该商品需求弹性的绝对值等于1,则商品的价格是(D ).A 10.B 20.C 30.D 40(6)曲线1ln(1),x y e x=++渐近线的条数为(D ).A 0.B 1.C 2.D 3(7)设向量组线性无关,则下列向量组线相关的是(A)(A )12αα-2131,,αααα--(B)21αα-2331,,αααα++(C)1223312,2,2αααααα---(D)1223312,2,2αααααα+++(8)设矩阵211121112A --⎧⎫⎪⎪=--⎨⎬⎪⎪--⎩⎭,100010000B ⎧⎫⎪⎪=⎨⎬⎪⎪⎩⎭则A 与B (B )(A )合同,且相似(B)合同,但不相似(C)不合同,但相似(D)既不合同,也不相似(9)某人向同一目标独立重复射击,每次射击命中目标的概率为,则此人第4次射击恰好第2次命中目标的概率为(C)2()3(1)A p p -2()6(1)B p p -22()3(1)C p p -22()6(1)D p p -(10)设随机变量(,)X Y 服从二维正态分布,且X 与Y 不相关,(),()x y f x f y 分别表示X,Y 的概率密度,则在Y y =条件下,X 的条件概率密度()X Y x y f 为(A)(A )()X f x (B)()y f y (C)()()x y f x f y (D)()()x y f x f y 二、填空题:11-16小题,每小题4分,共24分,请将答案写在答题纸指定位置上(11)3231lim (sin cos )___0_________2x x x x x x x →∞+++=+.(12)设函数123y x =+,则()1(1)2!(0)___________3n n n n n y +-=.(13)设(,)f u v 是二元可微函数,(,y xz f x y =则''122(,)2(,)z z y y x x y x y f f x y x x y y x y∂∂-=-+∂∂.(14)微分方程31()2dy y y dx x x =-满足11x y ==的特解为221ln x y x=+.(15)设距阵01000010,00010000A ⎛⎫⎪ ⎪= ⎪⎪⎝⎭则3A 的秩为__1___.(16)在区间(0,1)中随机地取两个数,这两数之差的绝对值小于12的概率为_34_.三、解答题:17-24小题,共86分.请将解答写在答题纸指定的位置上.解答应写出文字说明、证明过程或演算步骤.(17)(本题满分10分)设函数()y y x =由方程ln 0y y x y -+=确定,试判断曲线()y y x =在点(1,1)附近的凹凸性.【详解】:''''1'2'''''''21''11ln 2102ln 112ln121()(2ln )0(2ln )()11(2ln1)8()(1,1)x x x y y y y yy y y y y y y y y y y yy y x ===+-=⇒=+==+++=⇒=-+=-=-<+=对方程两边求导得从而有再对两边求导得求在(1,1)的值:所以在点处是凸的(18)(本题满分11分)设二元函数2. 1.(,)1 2.x x y f x y x y ⎧+≤⎪=≤+≤计算二重积分(,).Df x y d σ⎰⎰其中{}(,)2D x y x y =+≤【详解】:积分区域D 如图,不难发现D 分别关于x 轴和y 轴对称,设1D 是D 在第一象限中的部分,即{}1(,)0,0D D x y x y =≥≥ 利用被积函数(,)f x y 无论关于x 轴还是关于y 轴对称,从而按二重积分的简化计算法则可得1(,)4(,)DD f x y d f x y d σσ=⎰⎰⎰⎰设11112D D D =+,其中{}{}1112(,)1,0,0,(,)12,0,0D x y x y x y D x y x y x y =+≤≥≥=≤+≤≥≥于是1111211122(,)4(,)4(,)4(,) 44(,)DD D D D D f x y d f x y d f x y d f x y d x d f x y d σσσσσσ==+=+⎰⎰⎰⎰⎰⎰⎰⎰⎰⎰⎰⎰由于{}11(,)01,01D x y x y x =≤≤≤≤-,故11111222000111(1)3412xD x d x dx dy x x dx σ-==-=-=⎰⎰⎰⎰⎰为计算12D 上的二重积分,可引入极坐标(,)r θ满足cos ,sin x r y r θθ==.在极坐标系(,)r θ中1x y +=的方程是1,2cos sin r x y θθ=+=+的方程是,2cos sin r θθ=+,因而12120,2cos sin cos sin D r πθθθθθ⎧⎫=≤≤≤≤⎨⎬++⎩⎭,故1222cos sin 2100cos sin 1cos sin D r d dr r ππθθθθθθθθ++==+⎰⎰⎰⎰⎰令tan2t θ=作换元,则2arctan t θ=,于是:0:012t πθ→⇔→且2222212,cos ,sin 111dt t td t t t θθθ-===+++,代入即得121122200001122100122(1)cos sin 122(1)22 22 =1)D dt dt d t u t t t du du duu u πθθθ===-=++--=-==--=⎰⎰⎰⎰⎰⎰⎰综合以上计算结果可知11(,)41)1)123Df x y d σ=⨯+=+⎰⎰(19)(本题满分11分)设函数()f x ,()g x 在[],a b 上内二阶可导且存在相等的最大值,又()f a =()g a ,()f b =()g b ,证明:(Ⅰ)存在(,),a b η∈使得()()f g ηη=;(Ⅱ)存在(,),a b ξ∈使得''()''().f g ξξ=【详解】:证明:(1)设(),()f x g x 在(,)a b 内某点(,)c a b ∈同时取得最大值,则()()f c g c =,此时的c 就是所求点()()f g ηηη=使得.若两个函数取得最大值的点不同则有设()max (),()max ()f c f x g d g x ==故有()()0,()()0f c g c g d f d ->-<,由介值定理,在(,)c d 内肯定存在()()f g ηηη=使得(2)由(1)和罗尔定理在区间(,),(,)a b ηη内分别存在一点''1212,,()()f f ξξξξ使得==0在区间12(,)ξξ内再用罗尔定理,即''''(,)()()a b f g ξξξ∈=存在,使得.(20)(本题满分10分)将函数21()34f x x x =--展开成1x -的幂级数,并指出其收敛区间.【详解】:102001111()()(4)(1)513121111513512111111()()()154151531()311243111111()()()(1)151101021()211122111()()153nn nnn n n f x x x x x x x x f x x x x x x f x x x x x x f x ∞=∞=∞===--+---+=----+-==-=-----<⇒-<<-===--++-<⇒-<<-=-+∑∑∑记其中其中则01((1)10212nnn x x ∞=---<<∑故收敛域为:1231232123123(21)(11)20(1)4021(2)x x x x x ax x x a x x x x a a ⎧++=⎪++=⎨⎪++=⎩++=-本题满分分设线性方程组与方程有公共解,求的值及所有公共解【详解】:因为方程组(1)、(2)有公共解,即由方程组(1)、(2)组成的方程组1231232123123020(3)4021x x x x x ax x x a x x x x a ++=⎧⎪++=⎪⎨++=⎪⎪++=-⎩的解.即距阵211100201401211a a a ⎛⎫ ⎪ ⎪ ⎪ ⎪ ⎪-⎝⎭211100110001000340a a a ⎛⎫ ⎪- ⎪→ ⎪- ⎪ ⎪++⎝⎭方程组(3)有解的充要条件为1,2a a ==.当1a =时,方程组(3)等价于方程组(1)即此时的公共解为方程组(1)的解.解方程组(1)的基础解系为(1,0,1)T ξ=-此时的公共解为:,1,2,x k k ξ==当2a =时,方程组(3)的系数距阵为111011101220011014400001111100⎛⎫⎛⎫⎪ ⎪⎪ ⎪→ ⎪ ⎪⎪ ⎪⎝⎭⎝⎭此时方程组(3)的解为1230,1,1x x x ===-,即公共解为:(0,1,1)Tk -(22)(本题满分11分)设3阶实对称矩阵A 的特征值12311,2,2,(1,1,1)Tλλλα===-=-是A 的属于1λ的一个特征向量.记534B A A E =-+,其中E 为3阶单位矩阵.(Ⅰ)验证1α是矩阵B 的特征向量,并求B 的全部特征值与特征向量;(Ⅱ)求矩阵B.【详解】:(Ⅰ)可以很容易验证111(1,2,3...)nnA n αλα==,于是5353111111(4)(41)2B A A E ααλλαα=-+=-+=-于是1α是矩阵B 的特征向量.B 的特征值可以由A 的特征值以及B 与A 的关系得到,即53()()4()1B A A λλλ=-+,所以B 的全部特征值为-2,1,1.前面已经求得1α为B 的属于-2的特征值,而A 为实对称矩阵,于是根据B 与A 的关系可以知道B 也是实对称矩阵,于是属于不同的特征值的特征向量正交,设B的属于1的特征向量为123(,,)Tx x x ,所以有方程如下:1230x x x -+=于是求得B 的属于1的特征向量为23(1,0,1),(1,1,0)TTββ=-=因而,矩阵B 属于2μ=-的特征向量是是1(1,1,1)Tk -,其中1k 是不为零的任意常数.矩阵B 属于1μ=的特征向量是是23(1,1,0)(1,0,1)TTk k +-,其中23,k k 是不为零的任意常数.(Ⅱ)由1122332,,,B B B ααβαββ=-==有令矩阵123123(,,)(2,,)B αααβββ=-,则1(2,1,1)P BP diag -=-,所以那么11123123211111033(2,,)(,,)210101303201110330B βββααα------⎡⎤⎡⎤⎡⎤⎢⎥⎢⎥⎢⎥=-=-=⎢⎥⎢⎥⎢⎥⎢⎥⎢⎥⎢⎥--⎣⎦⎣⎦⎣⎦(23)(本题满分11分)设二维随机变量(,)X Y 的概率密度为2,01,0 1.(,)0,x y x y f x y --<<<<⎧=⎨⎩其他(Ⅰ)求{}2P X Y >;(Ⅱ)求Z X Y =+的概率密度()Z f z .【详解】:(Ⅰ){}2(2)DP X Y x y dxdy >=--⎰⎰,其中D 为01,01x y <<<<中2x y >的那部分区域;求此二重积分可得{}112002(2)xP X Y dx x y dy>=--⎰⎰1205()8x x dx=-⎰724=(Ⅱ){}{}()Z F z P Z z P X Y z =≤=+≤当0z ≤时,()0Z F z =;当2z ≥时,()1Z F z =;当01z <<时,32001()(2)3zz x Z F z dx x y dy z z -=--=-+⎰⎰当12z <<时,1132115()1(2)2433Z z z x F z dx x y dy z z z --=---=-+-⎰⎰于是222,01()44,120,Z z z z f z z z z ⎧-<<⎪=-+≤<⎨⎪⎩其他(24)(本题满分11分)设总体X 的概率密度为1,0,21(;),1,2(1)0,x f x x θθθθθ⎧<<⎪⎪⎪=≤<⎨-⎪⎪⎪⎩其他.其中参数(01)θθ<<未知,12,,...n X X X 是来自总体X 的简单随机样本,X 是样本均值.(Ⅰ)求参数θ的矩估计量 θ;(Ⅱ)判断24X 是否为2θ的无偏估计量,并说明理由.【详解】:(Ⅰ)记EX μ=,则1022(1)xxEX dx dxθθμθθ==+-⎰⎰1142θ=+,解出122θμ=-,因此参数θ的矩估计量为 122X θ=-;(Ⅱ)只须验证2(4)E X 是否为2θ即可,而2221(4)4()4(())4(())E X E X D X E X DX EX n ==+=+,而1142EX θ=+,221(12)6EX θθ=++,22251()481212DX EX EX θθ=-=-+,于是22533131(4)1233n n n E X n n n θθ+-+=++≠因此24X 不是为2θ的无偏估计量.。
华北电力大学12、13年电气考研真题一:不定项选择,十个题,一个两分1,总装机容量的定义2,给定电抗标幺值,额定电压和容量,计算有名值3在武功不充裕的系统能用什么调压方式(今年备选项里居然有一个附加串联加压器调压,个人认为不能选,因为这种调整潮流的工作方式并不能为系统提供额外的无功电源,详见稳态书107页)4影响变压器灵虚电抗参数因素5架空地相对导线零序电抗的影响6使发电机频率特性平行上移的频率调整方式7无限大功率电源短路产生的电流分量都有什么8电力系统的运行要求9把每项导线分成若干根,相互间保持一定距离叫()导线10记不住了,哈~~二填空,一共二十分(好像也是每空两分)说我能记住的1串连电抗,串联电容各自在调整潮流当中的作用2有关发电机运行极限的问题,即那几种功率约束3已知Dab,Dac,Dbc问几何均距是多少。
等等三小计算题三十分,一个十分1、画出变压器变比为k:阻抗在左端,阻抗在右端、变比为1/k:阻抗在左端,阻抗在右端四种不同情况的π(pai)型等值电路(就是书上的那个等值电路的延伸,关键要会举一反三)2按电压要求选择变压器分接头(正常题,只不过今年这个题是以标幺制形式给出的)3发电机连接单个支路末端三相短路,(1)画出系统等值图(2)求发电机对短路点的转移阻抗、计算电抗(3)根据运算电抗和运算去算曲线算短路电流,和往年一样四,八十分,一个二十分1一根导线末端的r1,x1,b1、负荷和电压已知,求始端功率和电压(超常规的题)1联合连系统A、B,A增加600MW负荷时Pba等于500MW,联合系统联络线断开以后A系统频率49HZ,B系统频率50HZ,(1)Ka、Kb(2)若联合系统负荷增加800MW,求频率的变化量2两个发电机各自带着已知功率的负荷经一条支路(纯电抗的)连接并列运行(1问和3问有点记不清了)(1)已知PG2,若两个发电机极端电压都为1,求QG1,QG2,12发电机端电压相角差(2)若1节点电压幅值不变,2节点电压幅值变为0.9,定性分析QG1,QG2的变化(3)若1.2之间相角差为30度,幅值都为1,则求QG1、QG2 4简单系统C(注意,不是a相!!)经Y-三角形11(三角形侧靠近发电机)变压器、线路末端单相短路接地求发电机侧(即三角形侧)三个相各自的短路电流标幺值、有名值并画出变压器两侧短路电流的向量图1,电力系统总装机容量是指,该系统中实际安装发电机组的()2我国交流输电线路的最高电压等级是()3电网运行基本要求()4每相分成若干根,互相保持一定距离,称为()5Sb=100MV A,Ub=500KV,标幺值0.2pu,电抗有效值()6使发电机静态特性曲线平行上移,以保证频率偏差在允许范围内是指()7无功电源充足的时候使用的调节手段有()A改变发电机励磁调压B调节变压器变比C并联电容D串联加压器8无限大功率供电系统突然发生三相短路,短路电流含有()分量9影响变压器零序阻抗的因素()10架空线路避雷线对其零序阻抗影响()前十个题目为选择题,之后填空11发电机设备利用率是自己发电设备全年所发()与发电设备()之比12三相导线间距为Dab,Dbc。
(完整版)华北电力大学控制工程考研真题
2015年华北电力大学控制工程考研真题
以上内容由凯程集训营保录班学员回忆整理,供考研的同学们参考。
更多考研辅导班的详细内容,请咨询凯程老师。
一,胡寿送第五版19页第四题,原题
二,求二阶系统的单位阶跃响应,分情况讨论,77页至80页部分,比较复杂,公式也很长,然后画出闭环极点的分布和响应曲线。
三,类似于201页例5,画出曲线,判断稳定性
四,297页第七题bc,问那一个校正效果好
五,非线性部分较为典型的题,y=x的3次方,先求出N(A),结合线性部分判断稳定性六,离散部分的题,大致参考382页第十题(b)吧,注意采样开关
七,给出系统结构图让建立空间表达式,有难度有新意,
八,一个三阶系统,让求最小实现
九,关注11年的线控真题吧,求输出响应
第1页共1 页。
华北电力大学电机学试卷A1一.填空题1.单相电力变压器在额定电压下运行时,其激磁电流为_____波形。
2.变压器的变比为k,在高压侧做空载试验求得的激磁参数与在低压侧做空载试验求得的激磁参数,其欧姆值之比为_____,而标么值之比为______。
3.一台额定频率为60赫芝的电力变压器,接于50赫芝、电压为变压器5/6倍额定电压的电网上运行,当忽略原边漏阻抗,则此时变压器的铁心的饱和程度______;激磁电抗______;激磁电流______;铁心损耗_______。
(填入增大、减小或不变)4.变压器T型等效电路中激磁回路电阻rm的物理意义是_____________________,铁心越饱和,其数值越_______,它的数值可用_______________________方法来测量。
5.变压器的电压变化率与____________________________有关,从运行的观点看希望电压变化率_______。
6.一台变压器原边接在额定电压的电网上,副边空载电压与满载时电压之比为0.9804,则此时变压器的电压变化率△U=______%,且负载性质为______。
7.三相变压器理想并联运行的条件是:⑴_______________;⑵_________________;⑶__________________________________________________。
8.两台联结组别相同,额定电压相同的变压器并联运行,已知:SN1=1000KVA,uk1=4%;SN2=2500kVA,uk2=5%。
当第一台满载时,第二台变压器输出容量为_______kVA。
若要求共输出2700kVA,则第一台输出容量为______kVA,第二台输出容量为_______kVA。
9.三绕组变压器的额定容量是指:________________________________________,其等效电路中的X1、X2和X3的物理含义_____(填入是或不是)漏抗,它们均为____________。